Структура и свойства линганы

  • Вид работы:
    Реферат
  • Предмет:
    Химия
  • Язык:
    Русский
    ,
    Формат файла:
    MS Word
    178,95 Кб
  • Опубликовано:
    2013-08-23
Вы можете узнать стоимость помощи в написании студенческой работы.
Помощь в написании работы, которую точно примут!

Структура и свойства линганы

Лигнаны - природные фенольные соединения, димеры фенилпропана, связанные b, b¢ углеродными атомами боковых цепей. Термин "лигнаны" был впервые введен Хеуорсом в 1936 г.

Общую структуру димера (С6336) можно представить схемой:


В настоящее время известно более 200 представителей этой группы. Разнообразие лигнанов обусловлено наличием различных заместителей в бензольных кольцах и характером связи между ними, а также степенью насыщенности боковых цепей и степенью окисления b-углеродных атомов. Наиболее часто в составе ароматических колец имеются гидроксильные (-ОН), метоксильные (-ОСН3) и метилендигидроксигруппы

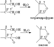
В некоторых случаях при окислении углеродный скелет (-С3) может быть модифицирован циклизацией с образованием оксидных (тетрагидрофуран, тетрагидрофурофуран) или лактонных циклов.

Классификация лигнанов основана на строении углеродного скелета. В настоящее время практическое применение имеют следующие группы лигнанов:

1. Производные дибензилбутана:


К этой группе относятся лигнаны, содержащиеся в смоле, получаемой из древесины гваякового дерева (Guajacum officinale), например, гваяретовая кислота и также в плодах кубебы (Piper cubeba), например, кубебин.


2. Производные дибензоциклооктадиена:

Содержатся в плодах и семенах лимонника китайского - Schisandra chinensis, например, схизандрин.


3. Производные дибензилбутиролактона:


Производные 2,6-дифенилтетрагидрофурофурана:


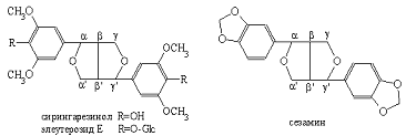
Содержатся в корневищах и корнях элеутерококка колючего - Eleutherococcus senticosus (сирингарезинол и его гликозид - элеутерозид Е) и семенах кунжута - Sesamum indicum (сезамин).


5. Производные 1-фенилтетрагидронафталин-2,3-бутиролактона:


Содержатся в смоле и подземных органах подофилла щитовидного - Podophyllum peltatum.


. Особую группу соединений составляют флаволигнаны, имеющие более сложную структуру (С63636) и сочетающие в себе свойства флавоноидов и лигнанов, например силибин, силидианин и силихристин, содержащиеся в плодах расторопши пятнистой - Silybum marianum.


Лигнаны довольно широко распространены в растительном мире. Они обнаружены у представителей многих семейств голосеменных и цветковых растений, часто встречаются в семействах Сосновые, Сложноцветные, Аралиевые, Барбарисовые, Рутовые, Кунжутные и др. Накапливаются во всех органах растений, но больше содержится в семенах, корнях, деревянистых стеблях. Могут содержаться в ядровой древесине и смолистых выделениях из раневых повреждений некоторых видов хвойных. В растениях они обычно находятся в растворенном состоянии в жирном и эфирном маслах, смолах или выпадают в виде "бусин" (лигнаны лимонника), поэтому выделение индивидуальных веществ затруднено.

Как правило, это твердые бесцветные или окрашенные кристаллические вещества, хорошо растворимые в спирте, хлороформе, жирных и эфирных маслах; не растворимы в воде (кроме гликозидов). В растениях чаще всего встречаются в форме агликонов. В УФ-свете лигнаны флуоресцируют голубым или желтым цветом.

Химические свойства зависят как от индивидуального строения веществ, так и обусловлены принадлежностью лигнанов к фенольным соединениям.

Сроки заготовки и режимы сушки индивидуальны для разных видов сырья. Методы анализа разработаны недостаточно.

Хранение сырья осуществляется по общему списку, за исключением корневищ с корнями подофилла (список Б).

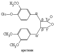
Многие лигнановые соединения обладают ценными фармакологическими свойствами: противоопухолевыми (подофиллотоксин), стимулирующими и адаптогенными (схизандрин и производные сирингарезинола), антигеморрагическими (сезамин), противомикробными (арктиин) и др. Флаволигнаны расторопши пятнистой оказывают гепатозащитное действие.

Fructus Schisandrae - плоды лимонника

(Schisandrae fructus - лимонника плод)

Semina Schisandrae - семена лимонника

(Schisandrae semen - лимонника семя)

Собранные в период полного созревания (в сентябре-октябре), до наступления осенних заморозков, высушенные плоды и зрелые, освобожденные от околоплодника и высушенные семена дикорастущей деревянистой лианы лимонника китайского Schisandra chinensis (Turcz.) Baill., сем. Лимонниковые - Schisandraceae, используют в качестве лекарственного сырья и лекарственного средства.

Лимонник китайский - древесная лиана с характерным лимонным запахом листьев (при растирании) и горьковатым вкусом. Стебли достигают 10-16 м в длину и 1-2 см в толщину. Кора у молодых побегов красно-коричневая, глянцеватая (или желтоватая), у старых - шелушащаяся темно-коричневая. Листья черешковые, эллиптические или обратнояйцевидные мелкозубчатые с заостренной верхушкой. Расположены пучками. Цветки раздельнополые, собраны по 2-3 в основании укороченных побегов, розовато-белые, с приятным запахом. Плод - сочная многолистовка с удлиняющимся во время плодоношения цветоложем, на котором расположено 4-40 сочных ярко-красных ягодообразных плодиков листовок. Семена желтые, почковидные. Цветет в мае-июне, плоды созревают в сентябре-октябре.

Произрастает в Приморском крае, на юге Хабаровского края, Сахалинской области и на юго-западе Амурской области (см. рис. , 2).

Растет в хвойно-широколиственных лесах маньчжурского типа с участием кедра корейского, а также в темнохвойной тайге в составе пойменных лесов. Предпочитает лимонник хорошо дренированные, богатые перегноем почвы, распространен по берегам рек и ручьев, а также вдоль лесных дорог. В горах поднимается до высоты 700-900 м, но чаще растет на высоте 200-500 м над уровнем моря.

Промышленные заготовки производят в Приморском и Хабаровском краях и в Амурской области. Одно растение дает 4-5 кг плодов.

Лимонник освоен в культуре. Его можно возделывать почти во всех районах страны.

Химический состав. Во всех частях лимонника содержатся лигнаны: в околоплоднике и семенах - до 4-5%. Это схизандрин (формулу см. выше), схизандрол, дезоксисхизандрин; в плодах обнаружены лигнаны гомизины. Именно они и обусловливают лечебное действие растения. Кроме того, плоды богаты органическими кислотами: лимонной (11%), яблочной (10%), винной, щавелевой, янтарной, аскорбиновой (до 500 мг%). Имеются сесквитерпеноиды, пектиновые вещества и сахара. В семенах содержатся эфирные масла (1,9-2,9%), сесквитерпеновые кетоны, витамин Е, жирное масло (до 33%).

Заготовка, первичная обработка и сушка. Вполне зрелые плоды собирают в корзины или эмалированные ведра, аккуратно обрывая кисти (удлиненные цветоложа). Рассыпают на брезент или мешковину и удаляют примеси (землю, листья, веточки, испорченные плоды и др.), снова пересыпают в ящики, корзины или бочки и по возможности быстро доставляют на заготовительные пункты. Здесь плоды подсушивают в течение 2-3 дней, затем обрывают их, освобождая от цветоложа (ось кисти). Сушат в калориферных сушилках при температуре 40-55°С в течение 6-8 ч.

Стандартизация. Качество плодов должно соответствовать требованиям ГФ Х.

Внешние признаки. Плоды округлой формы, часто деформированные, крупноморщинистые, одиночные (5-9 мм в диаметре) или слипшиеся по нескольку вместе. В мякоти плода 1-2 блестящих, округло-почковидных, желтовато-бурых или светло-коричневых семени. Цвет плодов от красноватого до темно-красного, иногда почти черный. Запах слабый, специфический. Вкус пряный, горьковато-кислый с терпким привкусом и характерным жжением во рту.

Микроскопия. При рассмотрении оболочки плода с поверхности видны многоугольные прямостенные клетки эпидермиса со складчатой кутикулой, среди которых расположены секреторные клетки с каплями эфирного масла, устьица встречаются редко.

Числовые показатели. Влаги не более 14%; золы общей не более 4%; золы, нерастворимой в 10%-ном растворе кислоты хлористоводородной, не более 1,5%; плодов, подгоревших и поврежденных, не более 2%; других частей лимонника (остатков цветоложа, веточек) не более 1%; органической примеси не более 1%, минеральной (пыль, песок, земля, камешки) - не более 0,5%. линганы дибензилбутан фармакологический противоопухолевый

Семена лимонника получают из зрелых свежих плодов после отжатия из них сока на винтовых или гидравлических прессах. Затем мякоть, содержащую семена, слегка увлажняют, тщательно перемешивают и оставляют в теплом месте на 3-5 дней для брожения. После этого семена на решетах сильной струей отделяют от частей околоплодника и сушат в отапливаемых помещениях, рассыпая тонким слоем, или в калориферных сушилках с вентиляцией при температуре 50-60°С.

Стандартизация. Качество семян регламентирует ГФ ХI.

Внешние признаки. Семена округло-почковидной формы, 3-5 мм в длину, 2-4,5 мм в ширину и 1,5-2,5 мм в толщину, с гладкой блестящей поверхностью желтовато-бурого цвета. Семенная кожура твердая и хрупкая, легко ломается и свободно отстает от ядра. На вогнутой стороне семени заметен темно-серый рубчик. Ядро восковидно-желтое. Основную массу ядра составляет эндосперм. Зародыш маленький.

Микроскопия. На поперечном срезе семени обнаруживается многослойная семенная кожура. Верхний эпидермальный ее слой состоит из крупных радиально вытянутых клеток с утолщенной одревесневшей темно-желтой оболочкой, пронизанной порами. Под ним расположен склеренхимный слой, состоящий из 4-6 рядов одревесневших каменистых клеток, далее следует слой спавшихся клеток, а под ним один ряд очень крупных четырехугольных тонкостенных клеток с включениями в виде капель лимонно-желтого цвета, последний слой кожуры семени - бесструктурная спавшаяся тонкостенная ткань. В эндосперме семени, состоящем из многоугольных некрупных клеток, накапливаются капли жирного масла и мелкие алейроновые зерна.

Числовые показатели. Влажность не более 12%; золы общей не более 3%; золы, нерастворимой в 10%-ном растворе кислоты хлористоводородной, не более 0,5%; других частей лимонника (мякоти плода, веточек) не более 3%; поврежденных семян не более 5%; органической примеси не более 1%, минеральной - не более 1%.

Хранение. Хранят сырье на складах на стеллажах в сухом, хорошо проветриваемом помещении, в аптеках - в ящиках или жестянках, отдельно от других видов сырья. Срок годности 2 года.

Использование. Плоды и семена используют для получения настойки, которая применяется в качестве тонизирующего и стимулирующего центральную нервную систему средства. Плоды и семена оказывают общеукрепляющее действие на организм. Семена лимонника в виде порошка содержат больше лигнанов, чем настойка. Они широко применяются в народе как эффективное средство при гиперацидных гастритах (по 1 г 3 раза в день до еды), повышают также остроту зрения. Препараты лимонника противопоказаны при повышенной нервной возбудимости, бессоннице, повышенном артериальном давлении и нарушениях сердечной деятельности. Используются в составе БАД к пище, влияющих на функции ЦНС.

Rhizomata et radices Eleutherococci senticosi

·   корневища и корни элеутерококка колючего

(Eleutherococci senticosi rhizoma et radix

·   элеутерококка колючего корневище и корень)

Собранные осенью, тщательно очищенные от земли, разрубленные на куски и высушенные корневища и корни дикорастущего кустарника элеутерококка колючего Eleutherococcus senticosus (Rupr. et Maxim.) Maxim. (=Acanthopanax senticosus (Rupr. et Maxim.) Harms), сем. Аралиевые - Araliaceae; используют в качестве лекарственного сырья.

Элеутерококк колючий (свободноягодник колючий, дикий перец, чертов куст) - кустарник высотой 1,5-2,5 м с многочисленными стволиками, густо усаженными направленными вниз шипами. Листья пятипальчатосложные, длинночерешковые; листочки обратнояйцевидные или эллиптические с клиновидным основанием и заостренной верхушкой, сверху голые или со щетинками, снизу по жилкам с рыжеватым опушением. Края остродвоякозубчатые. Цветки в простых зонтиках, расположенных на концах ветвей; тычиночные и обоеполые цветки бледно-фиолетовые, пестичные - желтоватые. Плоды - шаровидные, черные ценокарпные костянки с 5 косточками. Цветет в июле-августе, плодоносит в сентябре-октябре.

Растет на Дальнем Востоке - в Приморском и Хабаровском краях, Амурской области и на южном Сахалине - в кедрово-широколиственных лесах, как в долинах, так и на склонах гор, предпочитая хорошо увлажненные, но не сырые места. Встречается неравномерно - от единичных экземпляров до зарослей в редколесьях различных лесов. Между женьшенем и элеутерококком существует биологическая несовместимость, подмеченная еще В.К.Арсеньевым. Там, где встречается женьшень, никогда не растет элеутерококк.

В естественных условиях элеутерококк размножается вегетативно, так как его семена отличаются замедленным прорастанием.

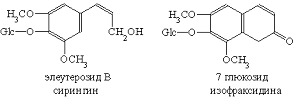
Химический состав. Биологически активные вещества корневищ и корней элеутерококка колючего можно разделить на несколько групп. В первую группу входят четыре стерина, в числе которых идентифицированы b-ситостерин, его гликозид даукостерин и тритерпеноиды. Вторая группа представлена веществами фенольной природы. Это ароматические спирты (в частности, моноглюкозид синапового спирта - элеутерозид В); кумарины (глюкозид изофраксидина); лигнаны (арктиин, савинин и производное сирингарезинола - элеутерозид Е). Третью группу составляют смолы, липиды, полисахариды.


Заготовка, первичная обработка и сушка. Заготовку корневищ и корней элеутерококка проводят ручным и механизированным способами осенью, во второй половине сентября. Выкапывают корневую систему взрослых, вполне развитых растений высотой более 1 м. Их быстро моют в проточной воде, рубят на куски и сушат на чердаках или в сушилках при температуре 70-80°С. Длительная сушка приводит к плесневению сырья в местах трещин.

Стандартизация. Качество сырья регламентировано ФС 42-2725-90 и изменением к ней.

Внешние признаки. Куски корневищ и корней, цельные или расщепленные вдоль, длиной до 8 см, толщиной до 4 см, деревянистые, твердые, прямые или изогнутые, иногда разветвленные. Кора тонкая, плотно прилегает к древесине. Корневища с поверхности гладкие или слабо продольно-морщинистые с пазушными почками и следами отмерших стеблей и обломанных корней. Поверхность корней более гладкая со светлыми поперечными бугорками. Излом длинноволокнистый, светло-желтого или кремового цвета. Корневища с поверхности светло-бурые, корни - более темные. Запах слабый, приятный. Вкус слегка жгучий.

Качественные реакции. Методом высокоэффективной жидкостной хроматографии проводится соотнесение времен удерживания пика элеутерозида В на хроматограмме испытуемого раствора с пиком на хроматограмме раствора ГСО сирингина (элеутерозида В).

Числовые показатели. Цельное сырье. Содержание суммы элеутерозидов в пересчете на элеутерозид В не менее 0,30%; элеутерозида В не менее 0,03%; влажность не более 14%; золы общей не более 8%; остатков стеблей, в том числе отделенных при анализе, не более 1,5%; побуревших в изломе корневищ и корней не более 3%; органической примеси не более 1%, минеральной - не более 1%.

Количественное определение в сырье суммы элеутерозидов в пересчете на элеутерозид В и элеутерозида В проводят методом ВЭЖХ.

Измельченное сырье. Суммы элеутерозидов в пересчете на элеутерозид В не менее 0,30%; элеутерозида В не менее 0,03%; влажность не более 14%; золы общей не более 8%; частиц, не проходящих сквозь сито с отверстиями диаметром 7 мм, не более 10%; частиц, проходящих сквозь сито с отверстиями размером 0,5 мм, не более 20%; органической примеси не более 1%; минеральной примеси не более 1%.

Хранение. На складах сырье хранят на подтоварниках в хорошо проветриваемом помещении. Срок годности 3 года.

Использование. Из сырья получают жидкий экстракт и сухой экстракт, который входит в состав таблеток, покрытых оболочкой. Все препараты обладают адаптогенным действием. Корневища и корни элеутерококка входят в состав сбора урологического (ВФС 42-2717-96). Элеутерозид В обладает противодиабетической активностью.

В качестве сырья предложены листья для получения жидкого экстракта, рекомендованного к применению при климактерическом синдроме, а также стебли, которые имеют аналогичный подземным органам состав элеутерозидов. Это сырье можно заготавливать не только осенью, но и зимой.

Используется в БАДах к пище, влияющих на функции ЦНС.

Rhizomata cum radicibus Echinopanacis - корневища с корнями заманихи

(Echinopanacis rhizoma cum radicibus - заманихи корневище с корнями)

Собранные осенью, по окончании вегетации, тщательно очищенные от земли, разрезанные на куски и высушенные корневища с корнями дикорастущего кустарника заманихи высокой Oplopanax elatus (Nakai) Nakai (Echinopanax elatum Nakai), сем. Аралиевые - Araliaceae; используют в качестве лекарственного сырья.

Заманиха высокая (эхинопанакс высокий) - кустарник 1-1,5 м в высоту; побеги густо усажены длинными игольчатыми шипами; восходящие полегающие стебли укореняются, напоминают подземные корневища; листья простые, очередные, округлые в очертании, 5-7-лопастные, на длинных черешках, покрытых желтоватыми ломкими шипиками; край листовых пластинок с острыми двойными зубцами и бахромкой из шиповатых волосков, пластинка листа ярко-зеленая, морщинистая, снизу более светлая. Цветки мелкие, зеленоватые, в простых зонтиковидных соцветиях, образующих метельчатый поникающий тирс. Плод - ярко-оранжевая костянка. Цветет в июне-июле, плоды созревают в августе-сентябре.

На территории России встречается только на юге Приморского края. Ареал заманихи протянулся вдоль побережья Японского моря почти на 420 км. Наиболее обильны ее заросли в пихтово-еловом криволесье, где заманиха доминирует в подлеске. В некоторых местах она образует ельники заманиховые. Вид занесен в Красную книгу, ввиду его небольшого ареала. Все заготовки сырья этого растения должны быть строго регламентированы.

Основные заготовки проводятся в Шкотовском, Партизанском, Лазовском, Чугуевском и Анучинском районах Приморского края.

Химический состав. Корневища с корнями содержат сапонины - эхинопсозиды (до 7%), 2,7% эфирного масла, 0,2% кумаринов, 0,9% флавоноидов, 11,5% смолистых веществ, лигнаны.

Заготовка, первичная обработка и сушка. Корневища с корнями собирают осенью после созревания плодов, выкапывая специальными металлическими крючками или небольшими кирками. Рекомендуется надевать брезентовые рукавицы, предохраняющие руки от шипов. Выкопанные корневища очищают от земли, удаляют надземную часть растения, а также сгнившие и почерневшие участки. При заготовке соблюдают меры по охране зарослей. Затем корневища рубят на куски длиной до 35 см, увязывают в пучки по 10-20 таких кусков проволокой или веревкой и доставляют к месту сушки. Перед сушкой пучки развязывают. Сушка воздушно-теневая. Сырье рассыпают тонким слоем на чердаках, под навесами, в процессе сушки переворачивают.

Стандартизация. Качество сырья регламентируют требования ФС 42-314-72.

Внешние признаки. Сырье состоит из деревянистых, цилиндрических, часто изогнутых кусков корневищ длиной до 35 см, толщиной до 2 см. На поверхности корневища заметны слабые кольцевые утолщения, от которых отходят придаточные корни. Наружная поверхность продольно-морщинистая, буровато-серая, на изломе бурая, с оранжевыми пятнами секреторных канальцев. Древесина желтовато-белая, годичные кольца и сердцевинные лучи плохо заметны. Сердцевина широкая, рыхлая, беловатая. Корни малочисленные, деревянистые, толщиной до 1 см, изогнутые, цилиндрические, с желтовато-белой древесиной. Запах специфический, вкус горьковатый, слегка жгучий.

Микроскопия. Для поперечного среза корневища характерно, что в коре, состоящей из тонкостенных неодревесневших клеток, концентрическими рядами расположены секреторные ходы; клетки паренхимы содержат простые и сложные крахмальные зерна и друзы оксалата кальция. Древесина кольцесосудистая с отчетливо выраженными годичными кольцами. Сердцевинные лучи узкие, 1-3-рядные. Сердцевина состоит из крупноклеточной тонкостенной паренхимы и занимает большой объем.

На продольных срезах видно, что секреторные ходы тянутся вдоль корневища. Корни отличаются от корневищ наличием склеренхимных клеток, расположенных одиночно или чаще группами вблизи секреторных канальцев и отсутствием сердцевины.

Числовые показатели. Цельное сырье. В сырье должно содержаться влаги не более 14%; золы общей не более 10%; золы, нерастворимой в 10%-ном растворе кислоты хлористоводородной, не более 0,25%; экстрактивных веществ, извлекаемых 70%-ным спиртом, не менее 10%; органической примеси не более 0,5%, минеральной - не более 1%.

Измельченное сырье. Частиц размером свыше 8 мм не более 10%; частиц, проходящих сквозь сито с размером отверстий 0,5 мм, не более 10%.

Хранение. Хранят на стеллажах в сухом, хорошо проветриваемом помещении. Срок годности 3 года.

Использование. Из корневищ с корнями заманихи получают настойку, которую используют как стимулирующее средство, по действию близкое настойке женьшеня. Корневища с корнями заманихи могут входить (вместо корней аралии) в состав гипогликемического сбора "Арфазетин".

Rhizomata cum radicibus Podophylli - корневища с корнями подофилла

(Podophylli rhizoma cum radicibus - подофилла корневище с корнями)

Собранные осенью или весной (в фазу отрастания побегов), отмытые от земли и высушенные корневища с корнями культивируемых многолетних травянистых растений подофилла щитовидного Podophyllum peltatum L. и подофилла гималайского Podophyllum hexandrum Royle (P. hexandrum var. hexandrum и P. hexandrum var. emodi), сем. Барбарисовые - Berberidaceae; используют в качестве лекарственного сырья.

Подофилл щитовидный - растение высотой до 50 см высотой. Корневище горизонтальное, узловатое, простое или разветвленное, до 1 м в длину и 1,5 см в толщину. Придаточные корни, отходящие от многочисленных узлов, мясистые, длиной до 3,5 см, толщиной до 0,5 см. Цветоносный побег несет два ложносупротивных листа и один цветок. Листья округлые, щитовидные, до 20 см в диаметре, пальчато раздельные на лопастные доли, по краю неравнозубчатые. Цветок поникающий, белый, до 7 см в диаметре, с приятным дынным запахом. Плод - съедобная, многосемянная ягода, округлая или яйцевидная, лимонно-желтая, кисловато-сладкая, до 8 см в длину. Цветет в июне, плоды созревают в сентябре (рис. ).

Это эндемичное растение Северной Америки, растет на увлажненных плодородных почвах под пологом леса, около ручьев.

Подофилл гималайский - растение до 60 см высотой. Корневище вертикальное, короткое, до 4 см длиной и 2 см толщиной. Придаточные корни мясистые, шнуровидные, до 9,0 см длиной и 0,6 см толщиной. Листья округлые, до 30 см в диаметре, рассеченные на 3-7 цельных, тройчатолопастных или тройчатораздельных сегментов по краю зубчато-пильчатых. Цветок прямостоячий, бледно-розовый. Плод - продолговатая, ярко-красная ягода до 11 см в длину. Цветет в мае, плоды созревают в августе-сентябре.

Подофилл гималайский - восточно-азиатский вид, распространенный в горных лесах Гималаев. Растет около родников и ручьев, на увлажненных почвах.

Оба вида культивируются в Ленинградской и Львовской областях. Промышленные плантации располагаются во Львовской области (Украина).

Химический состав. Корневища с корнями подофилла содержат до 8% смолы - подофиллина, основными компонентами которого являются лигнановые агликоны подофиллотоксин (до 40%), пельтатины (формулы см. выше) и флавоноиды. Найдены также гликозилированные производные подофиллотоксина и пельтатинов.

Заготовка, первичная обработка и сушка. Сырье заготавливают с 3-5-летних плантаций. Рано весной или осенью растения выпахивают плугом на глубину пахотного слоя картофелекопалкой или комбайном. Отделяют подземные органы (сырье) от надземных. Сырье отряхивают от земли, промывают и сушат, режут вручную или кормоизмельчителем поперечно на куски до 10 см длиной. Затем сырье слегка подвяливают на воздухе или под навесом, сушат в сушилках при температуре не выше 40°С.

Стандартизация. Качество сырья регламентирует ФС 42-1475-89.

Внешние признаки. Цельное сырье. Это цельные или частично измельченные куски корневищ с корнями или без них, а также отдельные корни. Корневища простые или разветвленные, продольно-морщинистые или узловатые, с ямчатыми углублениями - следами прикрепления побегов, корнями или их остатками, излом корневищ гладкий, длиной до 50 см, толщиной до 9 см; корни длиной до 10 см и толщиной до 2 см. Цвет корневищ и корней снаружи красновато- или светло-коричневый, на изломе - зеленовато- или желтовато-белый. Запах неприятный.

Измельченное сырье. Кусочки корневищ и корней различной формы, проходящие сквозь сито с отверстиями диаметром 10 мм.

Микроскопия. При микроскопическом исследовании как цельного, так и измельченного сырья диагностическое значение имеют простые и сложные (из 2-15 зернышек) крахмальные зерна различной величины и формы, а также друзы кальция оксалата, находящиеся в паренхимных клетках коры и сердцевины. В ксилеме, представленной проводящими пучками, на границе с сердцевиной встречаются каменистые клетки (рис. ).

Числовые показатели. Цельное сырье. Подофиллина не менее 3%; подофиллотоксина в подофиллине не менее 40%; влажность не более 13%; золы общей не более 9%; органической примеси не более 2%, минеральной - не более 1%.

Измельченное сырье. Частиц, не проходящих сквозь сито с отверстиями диаметром 10 мм, не более 10%; частиц, проходящих сквозь сито с отверстиями диаметром 0,5 мм, не более 3%; остальные показатели как для цельного сырья.

Содержание подофиллина и подофиллотоксина определяют гравиметрическим методом с использованием соответствующих растворителей.

Хранение. На складах сырье хранят в сухом, хорошо проветриваемом помещении отдельно от других видов сырья (список Б). Срок годности 5 лет.

Использование. Сырье используют для получения препарата "Подофиллин" (список А), который применяют наружно при кандиломах, а также в качестве вспомогательного средства при папилломатозе мочевого пузыря и гортани. Препарат обладает цитостатической активностью и блокирует митоз на стадии метафазы. Кроме того, оказывает сильное слабительное и желчегонное действие, однако в виду токсичности с такой целью не используется.

Подофилл щитовидный применяется в гомеопатии.

Лигнин

Лигнин - нерегулярный трехмерный полимер, играющий чрезвычайно важную роль в жизни растений. В качестве предшественников лигнина, равно как и лигнанов, выступают оксикоричные спирты (п-кумаровый, конифериловый и синаповый), однако эти классы соединений имеют самостоятельные пути биосинтеза. В растении при ферментативном окислении этих спиртов происходит образование свободных радикалов и их дальнейшая конденсация (полимеризация) по закону случая. В результате образуется продукт, не имеющий с химической точки зрения строго определенного строения.

В процессе жизнедеятельности растений лигнин связывается целлюлозой и гемицеллюлозами гликозидными и полуацетальными связями и избирательно откладывается в области клеточной стенки и срединной пластинки. В результате лигнификации опорные элементы тканей, находящиеся в стволах, стеблях и многолетних корнях растений, одревесневают и приобретают механическую прочность. Содержание лигнина в оболочках некоторых видов клеток может достигать до 30%. Такие клетки дают положительную реакцию с раствором сернокислого анилина, флороглюцином с концентрированной серной кислотой (малиновое окрашивание), что часто используется в фармакогностическом анализе при определении подлинности и качества сырья.

В медицинской практике применяют препараты, полученные при переработке технического лигнина. Их действие основано на высокой адсорбционной способности и фармакологической индифферентности. "Полифепан" в виде гранул или пасты применяется при желудочных интоксикациях. "Билигнин" при приеме внутрь связывает желчные кислоты в кишечнике и используется при заболеваниях печени, нарушении обмена веществ и повышенном содержании холестерина в организме.

Сырье, содержащее ксантоны

Ксантоны - класс природных фенольных соединений, имеющих структуру дибензо-g-пирона. Название ксантонов происходит от греческого ксантос, что значит желтый, так как природные производные ксантона имеют желтую или кремовую окраску.

Первый представитель этого ряда - генцизин - выделен Генри еще в 1921 г. из горечавки желтой. Успешные исследования ксантонов начались с 1969 г. в Японии, Франции, США, Швеции, Индии, а также в странах СНГ. В настоящее время насчитывается до 300 выделенных из растений ксантоновых производных. Производные ксантона содержат в молекуле от одного до семи заместителей. В качестве заместителей выступают гидрокси-, метокси-, ацетокси-, метилендиоксигруппы, галогены, а также изопренильные, геранильные и другие радикалы. Их находят в свободном виде и в составе О- и С-гликозидов.

В.И.Глызин с сотрудниками предложили классифицировать ксантоновые производные на основании строения основного скелета. Выделено пять групп: 1) собственно ксантоны; 2) пирано- и дигидропираноксантоны; 3) дипираноксантоны; 4) фураноксантоны; 5) ксантолигноиды.

Из ксантоновых гликозидов наиболее известен мангиферин (см. "Трава копеечника"), который одним из первых введен в научную медицину:


Ксантоновые производные распространены преимущественно среди горечавковых, зверобойных, истодовых, тутовых. Мангиферин в отличие от большинства других ксантонов широко распространен в растительном мире, в том числе у папоротников.

Интерес к классу ксантонов вызван широким спектром их фармакологического действия: кардиотоническое, диуретическое, желчегонное, психотропное. Отмечена их противовирусная и противотуберкулезная активность.

Herba Hedysari - трава копеечника

(Hedysari herba - копеечника трава)

Собранная во время бутонизации или цветения и высушенная обмолоченная трава многолетних дикорастущих травянистых растений копеечника альпийского Hedysarum alpinum L. и копеечника желтеющего Hedysarum flavescens Regel et Schmalh., сем. Бобовые - Fabaceae; используют в качестве лекарственного сырья.

Копеечник альпийский - многолетнее травянистое растение 40-120 см высотой. Стебли голые, прямостоячие. Листья непарноперистосложные, из 5-9 пар короткочерешковых продолговато-яйцевидных или удлиненно-эллиптических листочков, достигающих в длину 3 см, с прилистниками. Цветки по 20-30 (до 60) собраны в густые длинные кисти, превышающие длину листьев. Чашечка колокольчатая, венчик мотылькового типа фиолетового цвета. Плод - 1-4 членный боб, членики эллиптические, голые или прижато-волосистые, негустосетчатые, без окраины. Цветет в июле-августе, плоды созревают в конце августа (рис. ).

Это евразиатское растение, произрастает от юга Кольского полуострова до Урала, Сибири и Дальнего Востока. Его ареал охватывает лесную и лесостепную зоны Восточной и Западной Сибири, Урала. Заросли копеечника приурочены к хорошо дренированным участкам пойм рек и ручьев. Предпочитает влажные и богатые гумусом луговые почвы. Растет во влажно-луговых сообществах, в ерниках и ивняках. Основные промысловые массивы растения выявлены в Читинской области. На одних и тех же массивах для обеспечения восстановления зарослей копеечника рекомендуется вести заготовки сырья через 1 год.

Копеечник желтеющий достигает 150 см высоты. Листья из 3-5 пар более крупных листочков длиной до 4 см и более. Соцветия - негустые однобокие кисти из 15-35 крупных цветков с желтым венчиком. Плоды - бобы с 2-4 плоскими, продолговато-эллиптическими, тонкосетчатыми члениками, по краю с цельным крылом.

Является эндемиком Центральной Азии, широко распространен в горно-лесном поясе Западного Памиро-Алая и Западного Тянь-Шаня. Он образует заросли на каменистых осыпях и среди мезофильных кустарников.

Учитывая сложности по заготовке травы копеечника в природе и большую потребность в этом сырье, проводят разработку агротехники возделывания копеечника альпийского.

Химический состав. В траве обоих видов копеечника установлено наличие ксантонов (мангиферин, изомангиферин, глюкомангиферин и глюкоизомангиферин), флавоноидов (гиперозид, полистихозид, кверцетин-3-L, a-рамнофуранозид, авикулярин), моносахаридов, пектиновых веществ, полисахаридов и аскорбиновой кислоты. Моносахариды представлены галактозой, глюкозой, арабинозой, ксилозой, рамнозой и галактуроновой кислотой.


В траве копеечника альпийского установлено содержание таких макро- и микроэлементов, как K, Ca, Mg, Mo, Cu, Se.

Заготовка, первичная обработка и сушка. Заготовку проводят в июле-августе, срезая серпами облиственные стебли на высоте 10-20 см от поверхности почвы. Удаляют возможные примеси, попавшие в сырье при сборе. Собранную надземную часть растения сушат в тени или на солнце при периодическом ворошении. Затем траву обмолачивают и с помощью граблей удаляют грубые толстые стебли.

Стандартизация. Качество сырья регламентировано требованиями ВФС 42-1498-85.

Измельченное сырье. Состоит из кусочков листьев, стеблей, соцветий, цветков, плодов различной формы, проходящих сквозь сито с отверстиями диаметром 3 мм.

Микроскопия. К основным диагностическим признакам в строении листочков обоих видов можно отнести то, что эпидермис верхней стороны имеет зубчатые, а с нижней - извилистые очертания стенок; на нижней стороне листочка по главной жилке видны простые волоски с округлой базальной клеткой, имеющей утолщенные стенки и расположенной почти под прямым углом к базальной длинной конечной клетке с желтовато-бурым содержимым; вдоль жилки - многочисленные призматические кристаллы кальция оксалата.

Качественные реакции. Устанавливают наличие оранжево-желтого пятна мангиферина на хроматограммах в УФ-свете, получаемых при разделении экстрактов сырья в тонком слое целлюлозы.

Числовые показатели. Цельное сырье. Влажность не более 13%; золы общей не более 9%; стеблей диаметром более 2 мм до 10%; органической примеси не более 3%, минеральной - не более 1%. Содержание мангиферина, определяемое хроматоспектрофотометрическим методом после кислотного гидролиза экстракта сырья, должно быть не менее 1%.

Измельченное сырье. Содержание мангиферина не менее 1%; потеря в массе при высушивании не более 13%; золы общей не более 9%; частиц, не проходящих сквозь сито с диаметром отверстий 3 мм, не более 5%.

Хранение. На складе сырье хранят на подтоварниках в сухом, темном, чистом помещении. Срок годности 2 года.

Использование. Для производства препарата "Алпизарин", представляющего собой индивидуальный ксантоновый гликозид мангиферин. Алпизарин применяется в форме линиментов, мази и таблеток как противовирусное средство для лечения заболеваний, вызванных кератогенными и дерматотропными штаммами вируса герпеса.

Литература

1.Аналитическая химия. Физические и физико-химические методы анализа./ Под ред. О.М.Петрухина. М.; 2006.

.Артеменко А.И. Органическая химия. М.; 2006.

.Ахметов Н.С. Общая и неорганическая химия. М.; 2008.

.Биологическая химия./Под ред. Ю.Б.Филипповича, Н.И.Ковалевская, Г.А.Севастьяновой. М.; 2009.

.Биохимия / Под редакцией В.Г.Щербакова. СПб.; 2008.

.Вольхин В.В. Общая химия. Избранные главы. СПб, М, Краснодар.; 2008.

.Вольхин В.В. Общая химия. Основной курс. СПб, М, Краснодар.; 2008.

.Гельфман М.И., Юстратов В.П. Химия. СПб, М, Краснодар.; 2008.

Похожие работы на - Структура и свойства линганы

 

Не нашли материал для своей работы?
Поможем написать уникальную работу
Без плагиата!
Без нейросетей!