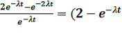
Интероперабельность и безопасность совместного использования европейской системы управления движением поездов ERTMS с микропроцессорной централизацией Еbilock-950 на украинских железных дорогах
СОДЕРЖАНИЕ
ВВЕДЕНИЕ
1. СОСТОЯНИЕ ПРОБЛЕМЫ. ЦЕЛИ И ЗАДАЧИ ИССЛЕДОВАНИЯ
1.1 Анализ технического состояния устройств СЦБ на железных
дорогах Украины
1.2 Перспективы развития железнодорожного транспорта Украины,
цели и задачи на сегодняшний день
1.3 Вклад телематических
функций МПЦ в развитие международных транспортных коридоров через территорию
Украины
1.4 Выводы, постановка цели и задач исследования
. ЕДИНАЯ СИСТЕМА УПРАВЛЕНИЯДВИЖЕНИЯ ПОЕЗДОВ
.1 Предпосылки создания
2.2 Цели проекта и структура
системы ERTMS/ETCS
.3 Приемоотвечик EUROBALISE
.4 Шлейф EUROLOOP
.5 Система радиосвязи
EURORADIO
.6 Локомотивное оборудование
EUROCAB
.7 Первая ступень оснащения
ETCS (LEVEL 1)
2.8 Вторая ступень оснащения ETCS (LEVEL 2)
.9 Третья ступень оснащения ETCS (LEVEL 3)
2.10
Различные режимы ведения поезда
3. МИКРОПРОЦЕССОРНАЯ СИСТЕМА ЦЕНТРАЛИЗАЦИИEBILOCK-950
3.1
Эксплутационно-технические характеристики системы
3.2 Структура системы
.3 Процессорный модуль централизации
3.3.1 Аппаратные средства
3.3.2 Структура аппаратных средств
3.4 Методы обеспечения
безопасности
4. УВЯЗКА ERTMS/ETCS И МПЦ EBILOCK-9500
4.1 Опыт внедрение зарубежных железных дорог
.2 Совместное использование МПЦ Ebilock-950 и ERTMS/ETCS на
железных дорогах Украины
5. ОТКАЗЫ МИКРОПРОЦЕССОРНЫХ СИСТЕМ. МЕТОДЫ ПОВЫШЕНИЯ
БЕЗОТКАЗНОСТИ И БЕЗОПАСНОСТИ МИКРОПРОЦЕССОРНЫХ СИСТЕМ
.1 Влияние отказов устройств систем железнодорожной
автоматики на поездную работу станций
5.2 Применения точечных
путевых датчиков в области железнодорожной автоматики
.2.1Типы датчиков. Емкостные
датчики
.2.2 Индуктивные датчики
.2.3 Датчики пути и скорости
.2.4 Датчики контроля
проследования поезда
5.2.5 Принцип действия и основные параметры точечных путевых
датчиков счета осей
.2.6 Принцип действия магнитоиндукционного путевого датчика
.2.7 Принцип действия индукционного электромагнитного
путевого датчика
5.2.8 Потенциометрические
датчики
.2.9 Гальванический
преобразователь
.2.10 Термоэлектрические
преобразователи
.2.11 Оптические датчики
.2.12Пьезоэлектрические
преобразователи
.2.13 Тензочувствительные
преобразователи (тензорезисторы)
5.3 Повышение показателей надежности (безопасности и
безотказности) МПЦ путем резервирования. Анализ эффективности систем
резервирования
.4 Обеспечение надежного электропитания МПЦ
ВЫВОДЫ
СПИСОК ИСПОЛЬЗОВАННОЙ ЛИТЕРАТУРЫВВЕДЕНИЕ
Сегодня украинские
железные дороги непосредственно граничат и взаимодействуют с железными дорогами
России, Беларуси, Молдовы, Польши, Румынии, Словакии, Венгрии, обеспечивают
работу по 40 международным железнодорожным переходам, а также обслуживают 18
украинских морских портов Черноморско-Азовского бассейна. В Украине один из
самых высоких коэффициентов транзитности в Европе. Приоритетное задание для
Украины сегодня - это реализация своего транзитного потенциала как сухопутного
моста между Европой и Азией.
Что же касается
технических характеристик соседних государств, то они
такие: Латвия, Литва, Эстония (государства ЕС) имеют колею 1520 мм, Финляндия -
колею 1524 мм, Польша и Словакия - 1435 мм и
отдельные железнодорожные линии с колеей 1520 мм. По сухопутным переходам ЕС
граничит с четырьмя государствами, которые не являются ее членами. Это
Беларусь, Молдова, Россия и Украина. Они имеют колею 1520 мм. Страны ЕС и СНГ взяли курс на сотрудничество в сфере
транспортной политики с целью унифицировать свои железнодорожные сети, сделать
их способными взаимодействовать между собой. Украина также работает в этом
направлении. Конечно, выбранный путь очень тяжелый и долгий, предстоит решить,
кроме технических вопросов, правовые, экономические, вопросы безопасности и
т.д. Изменения коснутся всех отраслей Укрзализныци, в том числе и
систем СЦБ.
Одним из первых шагов к интероперабельности отечественных систем
автоматики есть внедрение микропроцессорных систем, которые легче интегрируются
или стыкуются с другими, чем релейные. Кроме того, существуют еще причины, по
которым необходимо внедрять микропроцессорные централизации на станциях
железных дорог Украины. Первая причина заключается в том, что огромное число релейных систем ЭЦ, построенных в прошлом
столетии, работают уже очень долго. И поэтому необходимо достичь того,
чтобы темпы внедрения новых систем опережали
темпы старения аппаратуры.
Вместе с физическим,
имеет место и
моральное старение релейных систем ЭЦ. При широком внедрении на сегодняшний день информационных технологий в процесс перевозоки управления
железнодорожным
транспортом релейные системи тяжело интегрируются в
соответственные информационные и вычислительные структуры. Для этой интеграции являются недостаточными функциональные и информационные возможности релейных систем, их быстродействие, кроме того, требуются дополнительные переходные устройства и преобразователи электрических сигналов. В этом отношении микропроцессорные централизации полностью удовлетворяют современным требованиям. Рассмотрим преимущества, которые дает использование микропроцессорной и компьютерной техники при построении ЭЦ.
Расширение функциональных возможностей ЭЦ. К новым функциям могут относится накопление маршрутов,
автоматизация установки маршрутов, усиление замыкания секций, интеграция с системами автоблокировки,
диспетчерской централизации и др.
Протоколирование действий оперативного персонала и поездных ситуаций и
сохранение данных. Микропроцессорные и компьютерные системы ЭЦ имеют "черный ящик". Это
качество невозможно получить в релейных системах. Простота адаптации
системы реконфигурации путевого развития станции.
Введение в эксплуатацию новых микропроцессорных централизаций
сопровождается не только рядом преимуществ, но и рядом недостатков, которые
нужно решить при последующем внедрении этих новых систем.
При разработке микропроцессорных систем централизации необходимо четко
представлять функции отдельных схемных узлов релейной ЭЦ. Нужно иметь в виду,
что, модернизируя технические средства, мы не меняем их функциональное
назначение.
1. СОСТОЯНИЕ
ПРОБЛЕМЫ. ЦЕЛИ И ЗАДАЧИ ИССЛЕДОВАНИЯ
1.1 Анализ технического состояния устройств СЦБ на железных
дорогах Украины
сигнализация
централизация блокировка микропроцессорный
Выбор развития систем сигнализации, централизации, блокировки на железных
дорогах Украины был определен еще во время СССР. Темпы обновления и внедрения
новых систем были достаточно высоки. С начала 90-х годов тенденция модернизации
систем автоматики значительно снизилась. На сегодняшний день темпы обновления
физически изношенных и морально устарелых устройств СЦБ недостаточны, общий
износ которых составляет приблизительно 79%. Прогрессирующее старение устройств
СЦБ наблюдается на Приднепровской, Одесской и Львовской железных дорогах.
Сравнительная динамика износа технических средств хозяйств “Ш” железных
дорог показана на диаграмме (рис. 1.1).
Рис.1.1. Диаграмма состояния устройств СЦБ по дорогам на 2010 г.
Динамика износа устройств СЦБ на железных дорогах Украины в процентном
измерении (2005 - 2010 годы) показана в табл. I.
Таблица
I. Динамика износа устройств СЦБ на
железных дорогах Украины
|
ЖД / года
|
2005
|
2006
|
2007
|
2008
|
2009
|
2010
|
|
Донецкая
|
74
|
72
|
77
|
81
|
76
|
75,4
|
|
Львовская
|
53
|
54
|
56
|
56
|
63
|
65
|
|
Одесская
|
75
|
72
|
75
|
72
|
54
|
78
|
|
Южная
|
63
|
59
|
57
|
68
|
85
|
82
|
|
Юго-Зап.
|
76
|
66
|
57
|
59
|
98,6
|
97,9
|
|
Приднепр.
|
74
|
70
|
72
|
75
|
96
|
97
|
Кроме того, если провести анализ транспортных событий на железных дорогах
Украины за 2010 год, то по причине старения устройств, приходится почти треть
всех транспортных событий (рис.1.2).
Рис.1.2. Диаграмма распределения транспортных событий по причинам.
Причем, если сравнивать данные за 2010 г. с даными 2009 г., то количество
транспортных событий, вызванных по этой причине, значительно выросло (табл. II).
Таблица II. Распределение транспортных событий
по причинам
|
Причина
транспортного события
|
Количество 2010/2009г.
|
|
1 Нарушение
технологии выполнения работ
|
8/5
|
|
2 Неоперативное
устранение отказа
|
-/4
|
|
3
Несовершенствотехнологи
|
-/1
|
|
4 Конструктивный не
достаток
|
-/1
|
|
5 Неправильные
действия персонала
|
3/4
|
|
6 Старение
устройств
|
5/-
|
|
7 Вмешательство
сторонних лиц
|
2/-
|
|
ВМЕСТЕ:
|
18/15
|
Многолетняя практика показывает, что на долю устройств ЭЦ приходится
менее половины маршрутного брака станции, большая часть нарушений и аварий
происходит по вине эксплуатационного персонала. Основные причины этого:
усталость, рассеянность, низкая дисциплина, спешка, неверная информация,
отсутствие опыта. Нужно особо подчеркнуть, что брак в работе ДСП, как правило,
происходит в тех случаях, когда ЭЦ частично или полностью прекращает
функционировать. Например, при приеме или отправлении поезда по
пригласительному сигналу, выключении устройств СЦБ из зависимости. Очень много
ошибок эксплуатационный персонал допускает при операциях с негабаритными,
опасными грузами, закреплении грузов, выдачи предупреждений работникам на
путях. Во всех этих и других ситуациях релейные системы централизации реально
ничем помочь дежурному и его помощникам не могут. Дальнейшее расширение их
функций очень усложняет технические средства, снижает надежность, усложняет
обслуживание. Итак, мы сталкиваемся с таким понятием, как “человеческий
фактор”, который при данных технических условиях техники оказывает огромное
влияние на безопасность. Если проанализировать статистику за последние 6 лет,
то на железных дорогах Украины ежегодно из 100% всех транспортных событий
примерно 80% происходят по причине “человеческого фактора” (рис.1.3). Конечно,
не все они связаны с работой ДСП. Но тот факт, что все же именно от действий
Дежурного по станции зависит очень много в поездной и маневровой работе, дает
нам уверенность полагать, что эта статистика наиболее подходит к характеристике
данной такой напряженной и ответственной работе, что наглядно нам демонстрирует
диаграмма транспортных событий по профессиям (рис.1.4).
Кроме того, такая причина, отрицательно влияющая на безопасность, как
отсутствие опыта также наглядно отображена на диаграмме транспортных событий по
стажу работы (рис.1.5).
Рис.1.3. Диаграмма транспортных событий, совершенных на железных дорогах
Украины.
Рис.1.4. Диаграмма транспортных событий по профессиям
Рис.3.6. Диаграмма распределения транспортных событий по стажу работы
В настоящее время очень многие стороны деятельности ДСП, связанных с
безопасностью, вообще не проверяются электрическими зависимостями. В этих
ситуациях безопасность обеспечивается субъективными факторами: памятью
человека, степени его добросовестности, физиологическим состоянием. Как видим,
существующие релейные системы морально устаревшие и не позволяют снизить
влияние “человеческого фактора” на общую картину безопасности.
Микропроцессорные системы, обладая памятью, позволяют некоторое время
продолжать функционировать без информации от датчиков. Так, например, при
повреждении схем рельсовых цепей или стрелок, микропроцессорная система может
частично функционировать, основываясь на информации, которая была до отказа
напольных объектов. Микропроцессорная система будет “помнить” о локомотиве в
тупике, не оборудованном изоляцией, или о дорожной бригаде на участке как
угодно долго. МПЦ имеют более широкий спектр функциональных возможностей, чем
релейные. К преимуществам МПЦ по сравнению с релейными системами централизации,
в частности, относятся:
· более высокий уровень надежности за
счет дублирования многих узлов, включая центральный процессор - ядро МПЦ, и
непрерывного обмена информацией между этим процессором и объектами управления и контроля (что также способствует
повышению уровня безопасности);
· возможность управления объектами
многих станций и перегонов с одного рабочего места;
· возможность интеграции управления
перегонными устройствами СЦБ и приборами контроля состояния подвижного состава
в одном станционном процессорном устройстве;
· расширенный набор технологических
функций, включая замыкание маршрута без открытия светофора, блокировку стрелок
в требуемом положении, запрещающих показаний светофоров, изолированных секций
для исключения задания маршрута и др.;
· предоставление эксплуатационному и
техническому персоналу расширенной информации о состоянии устройств СЦБ на
станции с возможностью передачи этой и другой информации в региональный центр
управления перевозками;
· возможность централизованного и
децентрализованного размещения объектных контроллеров для управления
станционными и перегонными объектами. Децентрализованное размещение объектных
контроллеров позволяет значительно снизить удельный расход кабеля на одну
централизуемую стрелку;
· сравнительно простая стыковка с
системами более высокого уровня управления;
· возможность непрерывного
протоколирования действий эксплуатационного персонала по управлению объектами и
всей поездной ситуации на станциях и перегонах;
· наличие встроенного диагностического
контроля состояния аппаратных средств централизации и объектов управления и
контроля;
· возможность регистрации номеров
поездов, следующих по станциям и перегонам, а также всех отказов объектов
управления;
· значительно меньшие габариты
оборудования и, как следствие, в 3 - 4 раза меньший объем помещений для его
размещения, что позволяет заменять устаревшие системы централизации без
строительства новых постов;
· значительно меньший объем
строительно-монтажных работ;
· удобная технология проверки
зависимостей без монтажа макета за счет использования специализированных
отладочных средств;
· сокращение срока исключения из работы
станционных и перегонных устройств в случаях изменения путевого развития
станции и связанных с этим зависимостей между стрелками и сигналами;
· использование в качестве среды
передачи информации между устройствами управления и управляемыми объектами не
только кабелей с медными жилами, но и волоконно-оптических кабелей;
· возможность получения из архива
параметров работы напольных устройств СЦБ для последующего прогнозирования их
состояния или планирования проведения ремонта и регулировки, не допуская полных
отказов этих устройств;
· снижение эксплуатационных затрат за
счет уменьшения энергоемкости системы, сокращения примерно на порядок
количества электромагнитных реле и длины внутрипостовых кабелей, применения
современных необслуживаемых источников питания, исключения из эксплуатации
громоздких пультов управления и манипуляторов с большим числом рукояток и
кнопок механического действия.
В тоже время весь перечень основных функций микропроцессорной
централизации делится на три группы управляющие, контрольные и сервисные. Две
первые непосредственно отвечают за безопасность.
Контрольные функции:
• контроль правильности установки маршрутов;
• контроль за работой ДСП, особенно в ситуациях частичного или полного
выключения устройств СЦБ,
• контроль состояния устройств СЦБ с фиксацией повреждений;
• контроль работы электромеханика;
• техническая диагностика устройств централизации, особенно напольного
оборудования.
Управляющие функции:
• установление маршрутов любой сложности, протяженности и категории;
• накопление маршрутов невраждебных и враждебных;
• замыкание маршрута без открытия светофора;
• замыкания отдельных секций и стрелок;
• автоматическое размыкание секций маршрута;
• пользование пригласительными сигналами;
• раздельное управление стрелками, установка маршрута в режиме вспомогательного
управления;
• автовозвращение стрелки из среднего положения, повторный перевод;
• исключение перекрытия сигнала при ошибочных действиях ДСП;
• автоматическая установка
маршрутов;
• отмена маршрута и набора.
Также следует подчеркнуть важность применения волоконно-оптических кабелей. Тенденция современного
развития технологий в большинстве случаев имеет цель использовать новые
нестандартные материалы для построения аппаратуры, альтернитивные существующим,
которые имеют меньшую стоимость. Отсюда возникает потребность внедрения волоконно-оптических линий вместо медных. Наиболее распространенным
типом кабельной системы является витая пара. Различают системы для приложений с
частотой: до 16 МГц - категории 3, до 20 МГц - категории 4, до 100 МГц -
категории 5. Все системы работают с кабелями длиной до 100 м. При сходных ценах
оптический кабель может быть использован для приложений с частотами в несколько
сотен мегагерц на расстояниях более 2000 м. А если учесть издержки жизненного
цикла системы, включающие возможное старение и выход из строя компонентов, то
оптической кабельной системе можно отдать предпочтение перед медной. Итак, к преимуществам волоконно-оптическим кабелям относятся следующие
характеристики:
1. Информационная емкость. Полоса пропускания оптоволокна
превышает все потребности сегодняшних сетевых применений. Оптоволоконный кабель
62.5/125 мкм, рекомендованный для использования в зданиях, имеет полосу
пропускания 160 МГц-км (при длине волны 850 нм) или 500 МГц- км (при 1300 нм).
Полоса пропускания зависит от частоты и расстояния, поэтому при длине
оптического кабеля 100 м ее ширина превышает 1 ГГц. (Для сравнения: медный
кабель категории 5 при той же длине имеет полосу пропускания 100 МГц.)
. Низкие потери. Благодаря низким потерям можно работать на
значительных расстояниях. Для оптоволокна максимальное рекомендованное
расстояние составляет 2000 м. (Если сравнить с медью, это расстояние равно 100
м.) Принципиальный недостаток медного кабеля - потери растут с увеличением
частоты сигнала. Иными словами, с увеличением скорости передачи данных растут
потери и уменьшаются расстояния. Оптоволокно не имеет этого недостатка.
. Устойчивость к электромагнитным воздействиям. По некоторым
оценкам, более 60% сбоев в сетях на основе меди связаны с кабельными системами.
Перекрестные искажения, рассогласование, электромагнитная восприимчивость
являются основными источниками шума и сбоев в медных системах. Более того, эти
проблемы усиливаются при неправильной установке кабельной системы, в
особенности это касается систем категории 5.
Оптоволокно является диэлектриком и обладает иммунитетом к
электромагнитным воздействиям. Здесь невозможны перекрестные искажения.
Оптоволокно может быть использовано в условиях сильных электромагнитных полей.
На него не влияют такие источники шума, как линии электропитания,
люминесцентные лампы.
. Небольшой вес. Оптоволоконный кабель легче медного.
Двухжильный оптический кабель на 20-50% легче 4-парного кабеля категории 5.
Меньший вес облегчает процесс установки.
. Меньший размер. Оптоволоконный кабель занимает меньшее
пространство. Оптическому кабелю в 2 жилы нужно на 15% меньше места, чем кабелю
5-й категории.
. Безопасность. Оптоволокно не искрит. С точки зрения
возгорания и выделения газа, оптоволоконные кабели и кабели витой пары имеют
одинаковые параметры.
. Секретность. К оптическим кабелям крайне сложно
подключиться, и незамеченным такое подключение быть не может. А так как
оптические кабели не излучают, передачи по ним перехватить невозможно.
Эти преимущества известны со времени появления
оптоволокна.Они терялись в сравнении с неудобствами при работе с оптоволокном.
С учетом проведенного выше анализа делаем вывод, что необходима полная
модернизация устройств СЦБ. В каком направлении будет осуществляться
модернизация точно неизвестно, но если учесть курс интеграции Украины в ЕС, то
соответственно не трудно предположить и курс развития систем СЦБ.
1.2 Перспективы развития железнодорожного транспорта Украины,
цели и задачи на сегодняшний день
Украина расположена на перекрестке важных транспортных путей между
государствами. Выгодное экономико-географическое положение Украины относительно
государств Западной Европы, Прибалтики, Росийской Федерации, Белорусии,
Молдовы, стран Ближнего и Среднего Востока, Северной и Восточной Африки при благоприятных
условиях может быть широко использовано для транзитных перевозок грузов и
пассажиров железнодорожным транспортом. В этом заинтересована не только
Украина, но и государства, которые будут использовать самый короткий путь через
ее территорию.
Экспорт транспортных услуг является очень выгодным делом, так как
продаются не сырьевые и не материальные ресурсы, а услуги. Но в тоже время
транзитные перевозки требуют дополнительных капиталовложений на соответствующее
обслуживание, эксплуатацию. Однако, железнодорожный транспорт является наиболее
экологически чистым по сравнению с другими, особенно это проявляется на фоне с
автомобильным в плане загрязнения воздуха. Кроме того, железная дорога при
одинаковой пропускной способности занимает меньшие земляные площади, чем
автодорога. В связи с этим, переориентация транзитных перевозок с автомобильных
на железнодорожные должна быть одной из главных целей общегосударственных задач
на ближайшее будущее.
Украина как другие страны СНГ унаследовала сильную железнодорожную
систему, способную хорошо взаимодействовать с другими системами на этом
территориальном пространстве. Это стало результатом исторических, политических,
географических факторов. Распад СССР привел к тому, что каждая страна
самостоятельно развивает свою транспортную систему, поэтому железные дороги
данных стран начинают приобретать новые особенности отличные друг от друга.
Однако даже на сегодняшний день есть ряд факторов, которые заставляют
взаимодействовать железные дороги для реализации совместных проектов.
Развитие экономики Украины без использования ресурсов железнодорожного
транспорта немыслимо. В свою очередь железная дорога может развиваться только
тогда, когда есть потребность эффективного ее использования. Данная логическая
цепочка - это стратегическая задача нашего государства, целью которого является
развитие страны экономически при поддержании высоких экологических стандартов
на перевозки.
В связи с этим, главной проблемой, которую необходимо решить является
интеграция железнодорожного транспорта Украины в международную транспортную
сеть, повышение интероперабельности и безопасности железнодорожного транспорта.
Для построения транспортных коридоров необходимо качественное
взаимодействовие с соседними странами. В этом плане, как уже отмечалось ранее,
железнодорожная сеть Украины не имеет проблем с сетями государств, которые
ранее входили в СССР. А вот чтобы наладить интероперабельную связь с
железнодорожной сетью западных государств, таких как Польша, Словакия,
необходимо решить ряд технических, правовых, экономических вопросов, то есть
унифицировать свои национальные железные дороги в одну общую сеть.
Процесс унификации, иными словами процесс перехода от одной структуры к
другой, является очень долгим и трудным, во время которого уровень безопасности
значительно снижается, что должно быть учтено. Для решения данной задачи
необходимо задействовать весь научно-технический потенциал, а также тщательно
изучить все достоинства и недостатки процессов объединения железнодорожных
сетей Западной и Центральной Европы.
1.3 Вклад телематических функций МПЦ в развитие международных
транспортных коридоров через территорию Украины
По территории Украины проходят три панъевропейских коридора
(№ 3, 5 и 9). Через украинские порты Измаил и Рени Укрзализныця взаимодействует
с панъевропейским коридором № 7, который проходит по Дунаю. Активно развиваются
перевозки по международным транспортным коридорам ТРАСЕКА Европа - Кавказ -
Азия и Черное море - Балтийское море (рис.3.13).
Прохождение огромного числа транзитных поездов через территорию Украины
сопровождается большими объемами информации (о грузах, сроках доставки, мест
погрузки-разгрузки и т.д.). С учетом растущей транзитности естественно, что и
объемы информации также будут расти. В связи с этим оптимизации даной транспортной
мегасистемы должна осуществлятся за счет использования новых коммуникационных и
информационных технологий.
Вклад телематических услуг в устойчивость транспортной системы состоит в
том, что, как правило, типичный профиль концепции телематики направлен на - 1)
развитие экономики; 2) безопасности; 3) окружающей среды.
Рис. 3.13.Международные транспортные коридоры через Украину
Для повышения эффективности транспортных систем требуется развитие
телематики.
Возможные выгоды телематики ясны. Она позволит обеспечить равномерный
поток движения по дорогам и железнодорожным путям, чтобы свести к минимуму
время поставки, чтобы более адаптировать процессы обмена информацией по
габаритам, фактические расходы, графики, использования опасных материалов,
управление рисками и деградирующими режимами. Задачи: улучшение доступа к
железнодорожным терминалам, портам, индустриальным зонам и карьерам. Объекты,
доступные для железной дороги или для железнодорожного транспорта, получат
приоритет при разработке земляных работ и экономического развития. Партнерские
отношения должны рассматриваться как перевозчиками, так и производителями.
Обеспечение достаточного внимания грузовым перевозкам, а именно поиску
малоиспользуемых коридоров или второстепенных путей, не требующих большого
переустройства и в то же время позволяющих увеличить пропускную способность,
скорость и гибкость перевозок. Согласованное и совместимое (интероперабельное)
использование телематики, такое, как отслеживание грузов, может повысить
качество и стоимость дополнительных услуг и улучшить эффективность и надежность
всей перевозки.
Повышение конкурентоспособности железнодорожного транспорта при
перевозках на большие расстояния, что предусматривает включение в европейские инициативы
(трансрегиональные взаимосвязи, интероперабельность, создание транснациональных
временных периодов выполнения перевозки).
Социальная цель телематики: повышение производительности железнодорожного
сообщения в рамках мультимодальных грузовых перевозок для частных операторов,
обеспечение безопасности и надежности при перевозке опасных грузов путем
создания эффективной системы отслеживания и интероперабельности, что
гарантирует отчетность и ответственность. Предоставить для погрузчиков и
перевозчиков (особенно для портовых перевозчиков) возможность выбора
железнодорожных или cмeшанных решений до и после доставки груза.
Как видим, что развитие телематических и информационных технологий может
осуществлятся только за счет новой современной компьютерной техники. На этом
этапе преимущества микропроцессорных централизаций по сравнению с релейными
очевидны. Так, МПЦ обладают рядом сервисных функций, таких как:
• выдача рекомендаций ДСП при установке маршрутов, в
зависимости от длины состава, характера груза, степени его габаритности;
• выдача рекомендаций по закреплению грузов;
• автоматическая выдача предупреждений дорожным бригадам;
• учет местных грузов, вагонов, местной работы;
• ведение необходимой для ДСП документации.
В заключение важно сказать, что применение телематики может сыграть
решающую роль в освобождении железнодорожных грузоперевозок от сдерживающих их
факторов, чтобы обеспечить более высокую транзитность, повысить уровень
безопасности перевозок опасных грузов, развитие других перспективных услуг
доступа к информационным ресурсам.
.4 Выводы,
постановка цели и задач исследования
Проведенный аналитический обзор позволяет сделать следующие выводы:
) Системы управления движением поездов на украинских железных дорогах, в
большей части, морально и физически устарели, степень изношенности основных
технических средств на дорогах составляет более 80%. Такое состояние вызывает
необходимость их замены на новые микроэлектронные и компьютерные системы
управления с использованием современных информационно-управляющих технологий.
2) Интеграция украинских железных дорог в общеевропейскую транспортную
систему выдвигает требования гармонизации организационных мероприятий и
технических решений для беспрепятственного быстрого и безопасного перемещения
грузов и пассажиров к пункту назначения на межгосударственном пространстве.
) Реорганизация украинских железных дорог должна проходить с учетом
обязательных директив и технических спецификаций интероперабельности в области
железнодорожного транспорта, принятых в Евросоюзе.
4) Системы управления движением поездов должны строиться в соответствии с
разработанной в Европе системой ERTMS/ETCS на перегоне и микропроцессорных
систем управления движением на станциях.
) Системы ERTMS и МПЦ на первых стадиях внедрения
планируются для использования с национальными напольными устройства СЦБ:
рельсовыми цепями, стрелочными переводами, светофорами.
) Применение
микроэлектронных и компьютерных систем управления движением поездов увеличивает актуальность проблемы обеспечения их функциональной безопасности, что особенно важно на первой стадии
внедрения, поскольку при поэтапном вводе в эксплуатацию новых систем, они будут
функционировать параллельно со старыми устройствами СЦБ.
) Внедряемые в Украине в последние годы устройства МПЦ разработаны без
учета их увязки с европейскими системами. Внедрение данных систем носит
точечных и хаотический характер.
8) Функциональная
безопасность систем управления движением поездов в соответствии с европейскими нормативными документами
(Директивами, ТСИ) и национальными нормативными документами должна обеспечиваться на всем
жизненном цикле системы от разработки коннцепции и проектирования до вывода из
эксплуатации и утилизации.
9) Переход от старых систем автоматики к более новым, не проверенным
достаточно на практике, является очень долгим и трудным, во время которого
уровень безопасности очень снижается. Эта особенность должна быть обязательно
учтена при проектировании и внедрении новых устройств управления движения
поездов.
) Текущее состояние экономики не всегда способствует принятию решений по
приобретению или модернизации железнодорожных систем автоматики. Идеальным
решением было бы приобретение систем, которые соответствуют в целом или по
большей части требованиям, указанных в целевых спецификациях ТСИ. Выполнение
этих требований открывает возможности неограниченного сотрудничества
отечественной железнодорожной сети с европейской.
В соответствии с выше изложенным, в работе поставлена цель разработки схемных решений увязки европейской системы
управления движением поездов ERTMS/ETCS с микропроцессорной
централизацией Еbilock - 950, а также оценки безопасности системы в соответвтвие с техническими
спецификациями интероперабельности (ТСИ) для совместного использования на
Украинских железных дорогах .
Для достижения поставленной цели необходимо решить следующие
задачи:
)Рассмотреть принципы построения и функционирования европейской системы управления
движением поездов ERTMS и микропроцессорной
централизацией Еbilock - 950.
2)Разработать
схемные решения увязки европейской системы
управления движением поездов ERTMS и МПЦ
3) Рассмотреть методы оценки безопасности микропроцессорных систем
управления движением поездов.
2. ЕДИНАЯ СИСТЕМА УПРАВЛЕНИЯДВИЖЕНИЯ
ПОЕЗДОВ
.1 Предпосылки создания
В странах Западной Европы различные частные железнодорожные компании
создавали свои железнодорожные сети, границы которых соответствуют
государственным границам. Особенно, на образование данных сетей сильно повлияли
процессы разорения, слияния, покупки, национализации, а также экономические
кризисы. Объединить железные дороги в одну сеть и наладить взаимодействие с
железными дорогами стран Восточной Европы, которые являются выходом в Азию -
вот главные цели Европейского Сообщества. Поэтому приоритетным делом стало
объединить железнодорожные сети, фактором, который ускорял этот процесс, стала
- экономика.
Экономическая интеграция европейских стран содействует развитию международных
железнодорожных перевозок. Однако для беспрепятственного пересечения поездом государственных границ
требуется параллельное оснащение локомотива несколькими системами АЛС. Из-за
обилия новых систем обеспечения безопасности движения поездов и стремительного
развития электроники положение на железнодорожном транспорте становится
сложнее. Ситуация усугубляется конкуренцией автомобильного и воздушного
транспорта в скоростной доставке пассажиров и грузов. Различия в инфраструктуре
железных дорог европейских стран вызывают значительные задержки в международном
сообщении, вследствие чего скорость движения невысока.
Для снижения затрат на различные системы локомотивной
сигнализации и повышения скорости движения поездов в международном сообщении
было выдвинуто предложение о создании единого стандарта на развитие систем АЛСН
в Европе. Проект создания европейской
системы управления перевозочным процессом на железных дорогах (ERTMS)
инициирован в 1995 г. Европейской комиссией. Основой проекта является система
управления и обеспечения безопасности движения поездов ERTMS/ETCS (ERTMS- European Rail Traffic Management System - Европейская система управления
движением поездов; ETCS - European Train Control System - Европейская система контроля за
следованием поездов).
Для разработки спецификаций и проведения испытаний в августе
1995г. была образована так называемая группа пользователей ERTMS, куда вошли
железные дороги Германии (DBAG), Италии (FS) и Франции (SNCF). Эта группа
приступила к работе в декабре 1995 г. в Брюсселе. В ноябре 1997 г. к ней
присоединились железные дороги Нидерландов (NS) и Испании (RENFE), а в начале
1998 г. также и компания Railtrack (Великобритания). В 2000 г. Европейским союзом была утверждена единая система управления
движением поездов, обеспечения безопасности и сигнализации на трансъевропейской
высокоскоростной железнодорожной сети.
Первой крупной задачей группы стало составление технической
спецификации, рассчитанной на действие в европейском масштабе. При этом
опирались преимущественно на результаты проекта ETCS, который выполняется в
рамках МСЖД. Для того чтобы добиться гарантий одобрения спецификаций группы
пользователей ERTMS другими европейскими железными дорогами, на завершающем
этапе создания этот документ подвергся переработке группой независимых
экспертов Европейского института исследований железнодорожного транспорта
(ERRI).
.2 Цели проекта и структура системы ERTMS/ETCS
При создании системы ERTMS/ETCS преследовались следующие цели:
· обеспечение эксплуатационной совместимости на национальных
железнодорожных сетях в Европе, где сегодня эксплуатируется большое число
различных систем сигнализации, несовместимых между собой;
· увеличение пропускной и провозной способности за счет повышения
скорости движения и сокращения интервала попутного следования поездов;
· уменьшение капитальных вложений в инфраструктуру благодаря отказу от
напольных сигналов и устройств контроля свободности пути;
· улучшение условий конкуренции на европейском транспортном рынке за счет
применения общих европейских норм.
Система ERTMS/ETCS основана на непрерывной и точечной передаче данных
между напольными устройствами и поездом, модульной архитектуре бортового
компьютера и интеллектуальных датчиках, которые позволяют поезду определять
свое местоположение на линии с высокой точностью.
ETCS является частью ERTMS, в которую входят также
компоненты управления поездной работой, пассажирских информационных систем,
формирования составов, энергетически оптимального ведения поезда и др. Целью
разработки ETCS является унификация систем
обмена информацией между поездом и путевыми устройствами. Эта система состоит
из приемоответчика Eurobalise, шлейфа Euroloop, средств радиосвязи Euroradio, локомотивного оборудования Eurocab.
В таблице III приведены основные ТСИ, определяющие функции, структуру, безопасность систем управления движением поездов,
которые являются обязательными в странах Евросоюза. Кроме этого, разработаны
нормативные документы и ТСИ, которые носят информационный рекомендательный
характер.
Таблица
III. Список обязательных для выполнения ТСИ, определяющих
функции, структуру, безопасность систем управления движением поездов
|
Index N
|
Reference
|
Document Name
|
Version
|
|
|
1
|
ERA/ERTMS/003204
|
ERTMS/ETCS
Functional Requirement Specification
|
5.0
|
|
|
2
|
|
Intentionally deleted
|
|
|
|
3
|
UNISIG SUBSET-023
|
Glossary of
Terms and Abbreviations
|
2.0.0
|
|
|
4
|
UNISIG SUBSET-026
|
System Requirement
Specification
|
2.3.0
|
|
|
5
|
UNISIG SUBSET-027
|
FFFIS Juridical
Recorder-Downloading Tool
|
2.3.0
|
|
|
6
|
UNISIG SUBSET-033
|
FIS for
Man-Machine Interface
|
2.0.0
|
|
|
7
|
UNISIG SUBSET-034
|
FIS for the
Train Interface
|
2.0.0
|
|
|
8
|
UNISIG SUBSET-035
|
Specific
Transmission Module FFFIS
|
2.1.1
|
|
|
9
|
UNISIG SUBSET-036
|
FFFIS for
Eurobalise
|
2.4.1
|
|
|
10
|
UNISIG SUBSET-037
|
Euroradio FIS
|
2.3.0
|
|
|
11
|
Reserved 05E537
|
Off line key
management FIS
|
|
|
|
12
|
UNISIG SUBSET-039
|
FIS for the
RBC/RBC Handover
|
2.3.0
|
|
|
13
|
UNISIG SUBSET-040
|
Dimensioning and
Engineering rules
|
2.3.0
|
|
|
14
|
UNISIG SUBSET-041
|
Performance
Requirements for Interoperability
|
2.1.0
|
|
|
15
|
ERA SUBSET-108
|
Interoperability-related
consolidation on TSI annex A documents
|
1.2.0
|
|
|
16
|
UNISIG SUBSET-044
|
FFFIS for
Euroloop sub-system
|
2.3.0
|
|
|
17
|
|
Intentionally
Deleted
|
|
|
|
18
|
UNISIG SUBSET-046
|
Radio In-fill FFFS
|
2.0.0
|
|
|
19
|
UNISIG SUBSET-047
|
Track-side-Trainborne
FIS for Radio In-Fill
|
2.0.0
|
|
|
20
|
UNISIG SUBSET-048
|
Trainborne FFFIS
for Radio In-Fill
|
2.0.0
|
|
|
21
|
UNISIG SUBSET-049
|
Radio In-fill
FIS with LEU/Interlocking
|
2.0.0
|
|
|
22
|
|
Intentionally
deleted
|
|
|
|
23
|
UNISIG SUBSET-054
|
Assignment of
Values to ETCS variables
|
2.0.0
|
|
|
24
|
|
Intentionally
deleted
|
|
|
|
25
|
UNISIG SUBSET-056
|
STM FFFIS Safe
Time Layer
|
2.2.0
|
|
|
26
|
UNISIG SUBSET-057
|
STM FFFIS Safe
Link Layer
|
|
|
27
|
UNISIG SUBSET-091
|
Safety
Requirements for the Technical Interoperability of ETCS in Levels 1 & 2
|
2.5.0
|
|
|
28
|
Reserved
|
Reliability -
Availability Requirements
|
|
|
|
29
|
UNISIG SUBSET-102
|
Test
specification for Interface “k”
|
1.0.0
|
|
|
30
|
|
Intentionally
deleted
|
|
|
|
31
|
UNISIG SUBSET-094
|
UNISIG
Functional Requirements for an On-board Reference Test Facility
|
2.0.2
|
|
|
32
|
EIRENE FRS
|
GSM-R Functional
Requirements Specification
|
7
|
|
|
33
|
EIRENE SRS
|
GSM-R System
Requirements Specification
|
15
|
|
|
34
|
A11T6001 12
|
(MORANE) Radio
Transmission FFFIS for EuroRadio
|
12
|
|
|
35
|
ECC/DC(02)05
|
ECC Decision of
5 July 2002 on the designation and availability of frequency bands for
railway purposes in the 876-880 and 921-925 MHz bands.
|
|
|
|
Index N
|
Reference
|
Document Name
|
Version
|
|
36c
|
UNISIG SUBSET-074-
2
|
FFFIS STM Test
cases document
|
1.0.0
|
|
37a
|
|
Intentionally
deleted
|
|
|
37b
|
UNISIG SUBSET-076-
5-2
|
Test cases
related to features
|
2.3.1
|
|
37c
|
UNISIG SUBSET-076-
6-3
|
Test sequences
|
2.3.1
|
|
37d
|
UNISIG SUBSET-076-
7
|
Scope of the
test specifications
|
1.0.2
|
|
37e
|
|
Intentionally
deleted
|
|
|
38
|
06E068
|
ETCS marker board
definition
|
1.0
|
|
39
|
UNISIG SUBSET-092-
1
|
ERTMS EuroRadio
Conformance Requirements
|
2.3.0
|
|
40
|
UNISIG SUBSET-092-
2
|
ERTMS EuroRadio
Test cases Safety Layer
|
2.3.0
|
|
41
|
Reserved UNISIG
SUBSET 028
|
JRU Test
Specification
|
|
|
42
|
|
Intentionally
deleted
|
|
|
43
|
UNISIG SUBSET 085
|
Test
Specification for Eurobalise FFFIS
|
2.2.2
|
|
44
|
Reserved
|
Odometry FIS
|
|
|
45
|
UNISIG SUBSET-101
|
Interface “K”
Specification
|
1.0.0
|
|
46
|
UNISIG SUBSET-100
|
Interface “G”
specification
|
1.0.1
|
|
47
|
Reserved
|
Safety
Requirements and Requirements to Safety Analysis for Interoperability for the
Control- Command and Signalling Sub-System
|
|
|
48
|
Reserved
|
Test
specification for mobile equipment GSM-R
|
|
|
49
|
UNISIG SUBSET-059
|
Performance
requirements for STM
|
2.1.1
|
|
50
|
UNISIG SUBSET-103
|
Test specification
for EUROLOOP
|
1.0.0
|
|
51
|
Reserved
|
Ergonomic
aspects of the DMI
|
|
|
52
|
UNISIG SUBSET-058
|
FFFIS STM
Application Layer
|
2.1.1
|
|
53
|
Reserved
AEIF-ETCS-Variables- Manual
|
AEIF-ETCS-Variables-Manual
|
|
|
54
|
|
Intentionally
deleted
|
|
|
55
|
Reserved
|
Juridical recorder
baseline requirements
|
|
|
56
|
Reserved 05E538
|
ERTMS Key
Management Conformance Requirements
|
|
|
57
|
Reserved UNISIG
SUBSET-107
|
Requirements on
pre-fitting of ERTMS on-board equipment
|
|
|
58
|
UNISIG SUBSET-097
|
Requirements for
RBC-RBC Safe Communication Interface
|
1.1.0
|
|
59
|
Reserved UNISIG
SUBSET-105
|
Requirements on
pre-fitting of ERTMS track side equipment
|
|
|
60
|
Reserved UNISIG
SUBSET-104
|
ETCS version
management
|
|
|
61
|
Reserved
|
GSM-R version
management
|
|
|
62
|
Reserved UNISIG
SUBSET-099
|
RBC-RBC Test
specification for Safe Communication Interface
|
|
|
63
|
UNISIG SUBSET-098
|
RBC-RBC Safe
Communication Interface
|
1.0.0
|
|
|
|
|
|
|
|
|
2.3 Приемоотвечик EUROBALISE
Конструктивно приемоответчик выполнен в плоском корпусе
желтого цвета и размещают его на шпале между рельсами. Он работает без
источников питания и предназначен для передачи данных с пути на поезд. При
проезде над приемоответчиком поезд регистрирует настроенный на частоту 27,1 МГц
пассивный LC-контур и передает ему от
локомотивной антенны энергию в виде электромагнитного излучения. Эту энергию
приемоответчик использует для кодирования информации и посылке ее на частоте
4,2 МГц на поезд. С помощью антенны сигналы принимаются и передаются для
расшифровки на локомотив. В зависимости от вариантов кодирования и направлений
передачи информации разработаны четыре вида приемоответчиков.
Тип 1 - кодирование приемоответчика осуществляется
изготовителем и не может быть изменено в процессе эксплуатации. Эти
приемоответчики используют для определения поездом его местоположения. Они
выполняют функцию «электронных километровых столбов» и передают на локомотив
данные о координате, а также расстоянии до следующего аналогичного прибора.
Информация в таких устройствах передается только с пути на поезд.
Тип 2 - приемоответчик кодирует потребитель при использовании
специальных устройств. Это кодирование можно изменить, но для этого необходимо
прибор доставить в лабораторию. Данный приемоответчик используют в качестве
«электронного километрового столба» и для других целей при передаче информации
с пути на подвижной состав (рис. 2.1).
Тип 3 - информация, передаваемая приемоответчиком на
транспортные средства, зависит от получаемых им данных от других путевых
устройств. Такой приемоответчик (рис.2.2) имеет вход и кодируется в процессе эксплуатации изменением сигнала на
нем. Транспарентный приемоответчик используют для передачи постоянной
информации и меняющихся данных, например, показаний светофора. В этом случае
между сигналом и приемоответчиком устанавливают специальное устройство LEU (Lineside Electronic Unit - Электронная напольная группа
объектов), осуществляющее необходимое кодирование.
Рис.2.1. Приемоответчик (Тип 2) Рис.2.2. Приемоответчик (Тип 3)
Тип 4 - дополнительно к функциям приемоответчика третьего
типа может также принимать информацию от подвижного состава и передавать ее
(например, через устройство LEU) в системы контроля и управления движения поездов. Такой приемоответчик
разработанконцептуально, но пока не изготавливается.
Для всех типов приемоответчиков имеются единые требования к
объему сообщений и числу их повторений. Зона действия приемоответчика -
примерно 50 см, и за время прохождения поезда на высокой скорости возможна
передача не более десятка коротких (341 бит с 210 битами полезной информации)
или пары длинных (1023 бита с 829 битами полезной информации) сообщений. Исходя
из этих расчетов длинные сообщения допускается передавать лишь на скоростях до
300 км/ч, короткие -при более высоких скоростях движения поездов (до 500 км/ч).
2.4 Шлейф EUROLOOP
Укладываемый на путь электрический шлейф имеет длину до 1000
м. С помощью него информация непрерывно передается от путевых устройств на
подвижной состав. Этот шлейф предназначен для участков, оборудованных
автоматической локомотивной сигнализацией точечного типа, без задержек передает
на поезд информацию об изменениях сигнальных показаний. Так, при открытии
светофора уже после прохода поездом места установки напольного устройства АЛСТ,
удаленного от сигнала на расстояние тормозного пути, локомотивное устройство
получает актуальную информацию от шлейфа и отменяет принятую ранее команду
остановки.
Применяемый в качестве шлейфа одножильный кабель с
размещенным под изолированной внешней оболочкой обратным проводом укладывают на
подошву одного из рельсов. Хотя шлейф находится на некотором удалении от оси
пути, принимающая информацию от приемоответчиков локомотивная антенна в
состоянии регистрировать его сигналы. Информация от путевых устройств на шлейф и приемоответчики
передается от устройства LEU. По
этой причине приемоответчики имеют одинаковую частоту передачи сигнала 4,2 МГц.
Регистрация шлейфа и передача на него энергии от локомотивной антенны
осуществляются также на частоте приемоответчика 27,1 МГц.
.5 Система радиосвязи EURORADIO
На сети европейских железных дорог внедряется специализирован ная
система цифровой радиосвязи GSM-R (Global System for Mobile Communication Railway - Глобальная система мобильной связи
дляжелезнодорожного транспорта). Она предназначена для обеспечения переговоров между работниками железной дороги
(например, для обеспечения маневровой, туннельной, поездной и ремонтно-технологической
связи), а также в
коммерческой эксплуатации для абонентов сети. GSM-R- стандарт для 30 европейских
железнодорожных компаний,
который должен
заменить различные ж/д радио-системы единой цифровой системой. Он также
является основой для унифицированной электронной системы защиты поездов ETCS и
ERTMS. Созданный на основе компонента Euroradio системы GSM-R безопасный метод передачи информации
позволяет обмен ответственными командами между диспетчерським пунктом и подвижным составом.
Исключение опасных отказов при этом гарантируется избыточным кодированием сигнала.
Есть и другие системы для дальнейшего расширения возможностей
связи земля-кабина.
2.6 Локомотивное оборудование EUROCAB
Это
оборудование
представляетсобой гибкую построенную на модульном принципе систему обработки
поступающих с внешних устройств (антенны приемоответчика,измерителя пройденного
пути, датчика скорости и локомотивной антенны GSM-R) данных. Ее важнейшим
компонентом является безопасный
локомотивный компьютер EVC (European Vital Computer)
и удобный для пользователя интерфейс MMI (Man Machine Interface).
При проезде над приемоответчиком локомотив получает
информацию о своем местоположении, с помощью компьютера EVC кодирует и передает ее по каналу GSM-R на центральный пост. В получаемом с
центрального поста ответе содержится информация о максимально допустимой
скорости движения поезда, которая декодируется и сопоставляется с текущей
скоростью. При ее превышении компьютер EVC выдает управляющее воздействие на
систему тяги и торможения.
Для удобства машиниста информация о скорости, предстоящем ее
ограничении и расстоянии до него через интерфейс локомотивного компьютера MMI поступает на дисплей.
Интерфейс MMI - этосамый
заметный элемент модуля EUROCAB.
Это тинтерфейс является результатом эргономического исследования,
проведенного МСЖД и Европейским Институтом Железнодорожных Исследований и
подходит любому машинисту.
Он состоит из экрана 640 X 480
пикселей, разделенного на 6 зон:
зона A размером 54 X 300 DPI, вверху слева выводит информацию, связанную с
торможением. Она также указывает целевую дистанцию и время до автоматического
вмешательства.
зона B 280 X 300 DPI, рядом с зоной A указывает :
o в виде круглого циферблата с тремя стрелками 3 скорости: предельно допустимая скорость,
реальная скорость поезда и целевая скорость
o информацию о режиме ведения поезда (нормальный ход,
маневренный ход, ход в пределах видимости…)
o точечные приказы (Опустить токоприемник, Открыть сцепку…)
зона C 334 X 50 DPI, подзонами A et B выводит индикацию:
o уровень ERTMS
o В этой зоне указывается, что задействовано аварийное торможение
- Зона D, 246 X 300 DPI, справа от зоны B показывает характеристики инфраструктуры: профиль, скорость,
ключевые точки, инженерные сооружения, переезды, плоскость пути. Эта зона не
используется систематически, выбор индикации остается за оператором, например,
эта зона не используется в SNCF.
зона E, 334 X 80 DPI , под зоной C предназначена для текстовых сообщений, сгенерированных системой
(указания, системные ошибки…)
зона G ниже зоны D, 246 X 150 DPI, выводит
информацию о состоянии локомотива и состава.
зона F позволяет ввод
данных, она расположена справа на экране (9 функциональных клавиш) и под зоной E (клавиатура телефонного типа для
набора цифр и букв).
.7. Первая ступень оснащения ETCS (LEVEL 1)
В системе ERTMS/ETCS предусмотрены три уровня, позволяющие реализовать
различные эксплуатационные программы в зависимости от степени оснащенности
линии напольным оборудованием.
Система уровня 1 обеспечивает регулирование скорости поезда в зависимости
от передаваемых с пути на поезд данных, сформированных на основе показаний
напольных сигналов.
Первая ступень ETCS актуальна для участков, не имеющих современных устройств автоматической
локомотивной сигнализации. В ней к традиционным средствам контроля местоположения поезда (рельсовым
цепям или счетчикам осей) добавляются два управляемых сигналом приемоответчика Eurobalise третьего типа: один -
непосредственно у светофора, а второй - на расстоянии тормозного пути до него.
Они управляются установленным у сигнала специальным устройством LEU. Для повышения безопасности системы,
а также снижения энергозатрат на ведение поезда приемоответчики дополняют
подключенным к LEU
шлейфом Euroloop(рис. 2.3).
Рис.2.3. Первая ступень оснащения ETCS (LEVEL 1)
Оснащать таким оборудованием необязательно участки, имеющие
аналогичные или более совершенные системы безопасности. В Германии первую
ступень ETCS применяют на участках
пригородного сообщения Берлинского узла, оснащенных устаревшей системой
механической АЛС точечного типа.
Системы первого уровня уже работают на опытных участках в
Болгарии, Австрии, Румынии, Испании, Италии, Греции, Словении и Венгрии, а также
внедряются на магистральных линиях в Турции. На железных дорогах Люксембурга
уже переходят на систему этого уровня, многие другие железные дороги планируют
переход на ETCS по мере исчерпания срока службы
действующих систем АЛС.
В процессе внедрения в эксплуатацию данного оборудования
серьезных проблем не возникало, так как передача сигналов на поезд от
приемоответчиков и шлейфов уже длительное время практиковалась на железных
дорогах многих стран мира.
.8 Вторая ступень оснащения ETCS (LEVEL 2)
Система уровня 2 представляет собой законченную систему управления и
обеспечения безопасности движения поездов без использования напольных сигналов,
но с сохранением жесткого разделения линии на блок-участки. Напольные
устройства определяют местоположение поездов и контролируют их
полносоставность.
На этой ступени сведения о поездной ситуации передаются на локомотив
непрерывно по радиосистеме GSM-R. Приемоответчики третьего типа,
шлейфы точечной АЛС и блоки LEU
могут быть демонтированы. Поезда фиксируют свое местоположение с помощью
приемоответчиков первого типа, установленных на пути через определенное
расстояние (рис.2.4). В промежутках между ними поезд определяет свою позицию по
показаниям датчика пути. Информация о местоположении поезда после проезда
приемоответчика передается по радиоканалу на центральный пост. На второй
ступени ETCS сохраняются традиционные устройства
контроля местоположения поезда (рельсовые цепи и системы счета осей), а
передача на пост ординаты локомотива используется пока только в качестве
дополнительного источника информации. В то же время поступающие по радиоканалу
команды АЛСН сообщают на поезд основную информацию о разрешенной скорости
движения. Сохраняемые на этом этапе напольные светофоры предусмотрены в
качестве резерва. Управление движением поездов на этой ступени, как и прежде,
осуществляется с помощью фиксированных блок-участков.
Оборудование участков этой системой проводится в Бельгии,
Чехии, Франции, Италии, Нидерландах, Швеции и Испании . На участке Ютербог -
Галле / Лейпциг (Германия) эти работы были успешно завершены в 2004 г.
При внедрении этой ступени ETCS сложно использовать радиоканал АЛСН
в сильно пересеченной местности. Так, на горном участке Федеральных железных
дорог Швейцарии Ольтен - Люцерн компания Bombardier за 18 месяцев опытной эксплуатации
не смогла обеспечить удовлетворительную работу системы.
Рис.2.4.Вторая ступень оснащения ETCS (LEVEL 2)
.9 Третья ступень оснащения ETCS (LEVEL 3)
Система уровня 3 - это законченная система управления и обеспечения
безопасности движения поездов без использования напольных сигналов и с
подвижными блок-участками. Определение местоположения поезда и контроль его
полносоставности осуществляются бортовыми средствами.
Интервальное регулирование движения поездов на третьей
ступени осуществляется исключительно по радиоканалу. Традиционные устройства
контроля местоположения подвижного состава больше не применяются, локомотив
устанавливает свою позицию с помощью измерителя пути, корректируемого
приемо-ответчиками. Для контроля целости и длины состава предусмотрен
внутрипоездной радиоканал. Попутное следование поездов на последней ступени ETCS будет осуществляться с интервалом,
соответствующим длине тормозного пути, что значительно повысит пропускную
способность участка. Напольные сигналы использовать не будут из-за отсутствия
фиксированных блок-участков (рис.2.5). Уровень 3 находится в
настоящее время под развитием.
Рис.2.5. Третья ступень оснащения ETCS (LEVEL 3)
Эти три уровня совместимы друг с другом как в функциональном, так и в
техническом отношении, т. е. поезд, оборудованный системой верхнего уровня,
может обращаться на линии, оборудованной системой более низкого уровня. Система
уровня 1 или 2 может быть доведена до уровня 3 путем добавления модулей
расширения.
Для обеспечения совместимости новой системы управления движением поездов
с существующими предусмотрено промежуточное включение специальных модулей
передачи STM (Specific Transmission Modul).
.10 Различные
режимы ведения поезда
Поскольку система распространяется во всей Европе, было необходимо
определить единую терминологию с учетом особенностей каждой:
Например:
· Определение маневренного хода различается в разныхстранах.
· Режим ведения поезда под ответственность машиниста
применяется только на некоторых сетях, и было необходимо воссоздать этот режим
движения.
Режимыхода
ERTMS такие:
· Номинальный режим(full supervision ou FS) который соответствует нормальному ходу.
· Маневровый режим (Shunting ou SH), соответствующий маневровому ходу.
· Режим в пределах видимости (On Sight ou OS) соответствующий ходу в пределах видимости.
К этим самым распространенным режимам можно добавить особые режимы
· Режим под ответственность персонала (Staff Responsible ou SR).
· Режим ожидания (Stand By ou SB).
· Режим экстренного торможения (Reversing ou RV).
· Режим экстренной остановки (TrainTrip), который соответствует полному
переключению на систему.
· Неактивный режим (Unfitted), что указывает что ERTMS
не работает.
· Вспомогательный режим (Non Leading, который
указывает, что ведение поезда осуществляется из другой кабины).
Эти указания режима в виде символов выводятся на интерфейс и могут быть
различных цветов (красный, желтый, зеленый) в зависимости от срока их
применения - немедленного или планируемого.
Итак, из того как осуществляется переход железных дорог Европы к системе
ERTMS/ETCS, делаем
вывод, что предпосылками
создания данного широко масштабного проекта по созданию единой европейской системы управления
движением поездов и обеспечения безопасности движения, явились:
• стремление создать единую систему управления на
локомотивах, не зависящую от особенностей ранее применявшихся национальных
систем автоматики;
• стремление сократить затраты на дорогостоящую напольную
структуру систем автоматики.
В тоже время предпосылки создания системы ERTMS/ETCS являются одновременно и ее
преимуществами. Что же касается современного состояния, то в большинстве стран
ЕС реализуется минимум по одному проекту внедрения этой системы и только 1 и 2 уровней, так как 3 уровень находится
под развитием. Также необходимо отметить, что в европейской системе управления движением поездов, как правило, вместо рельсовых цепей
используются датчики счета осей. Эту особенность необходимо учесть в случаи
внедрения европейской
системы на территории
Украины. Большая нагрузка на ось, интенсивное движение грузовых поездов большой
массы на наших железных дорогах обуславливает необходимость контролировать
излом рельсав большей степени, чем в странах Западной Европы. Достичь такого
контроля можно только с помощью рельсовой цепи, а не с помощью датчика счета
осей. Поэтому этот момент можна отнести к недостатку, естественно, с поправкой
на то, где данная система будет использоваться, в каких условиях.
3. МИКРОПРОЦЕССОРНАЯ СИСТЕМА
ЦЕНТРАЛИЗАЦИИ EBILOCK-950
.1 Эксплутационно-технические характеристики системы
Как уже отмечалось ранее, отечественные железные дороги положили курс на
интеграцию в общую европейскую сеть. Одним из шагов для достижения данной цели
является внедрение микропроцессорных систем автоматики. Переход от релейной
централизации к микропроцессорной не является данью моде. Это - объективная
необходимость обновления всего технологического процесса управления перевозками
и работой структурных подразделений железнодорожного транспорта на основе
применения информационных технологий. Здесь сразу проявляются преимущества МПЦ,
которая служит удобным связующим звеном между источниками получения первичной
информации (подвижной состав, объекты СЦБ и др.) и системами управления
перевозочным процессом более высокого уровня, позволяя обойтись без
дополнительных надстроек, которые были бы нужны при использовании электрической
централизации на базе реле. Выбор системы МПЦ для будущего внедрения на
железнодорожных станциях Украины является довольно таки сложным и нелегким. В
этом случаи необходимо тщательно изучить все технические особенности
существующих систем. В первую очередь необходимо уделить особое внимание на
системы, которые эксплуатируются на жд сетях, имеющих сходную фундаментальную
базу, т.е. на территории соседних государств: России, Белорусии. Одной из новых
перспективных систем является МПЦ Ebilock-950.
Система Ebilock-950 адаптирована, т.е. ее основные
эксплуатационно-технические характеристики соответствуют требованиям,
предъявляемым к системам электрической централизации (ЭЦ), эксплуатируемым в
настоящее время в РФ. Вместе с тем программируемая элементная база позволила
улучшить эксплуатационные свойства системы, реализовав с ее помощью следующие
дополнительные функции:
• «Блокировка стрелки в заданном положении», выполняемая по
команде оператора и обеспечивающая индивидуальную блокировку стрелки, указанной
в его команде. После этого невозможен индивидуальный перевод стрелки или
использование ее в маршруте в положении отличном от заблокированного. Допустимо
использовать стрелку в маршруте, если его трасса совпадает с положением
стрелки;
• «Блокировка секции», выполняемая по команде оператора и
обеспечивающая индивидуальное блокирование секции, указанной в его команде, с
исключением возможности открытия сигнала в маршруте через данную секцию;
• «Установка поездного маршрута с автоматическим действием
сигналов»;
• контроля горения запрещающих показаний на маневровых
светофорах прикрытия при задании поездных маршрутов. Открытие светофора в
поездном маршруте на разрешающее показание происходит только при горении на
маневровом светофоре прикрытия запрещающего показания, если до этого светофора
установлен маршрут. После открытия поездного светофора контроль горения
запрещающего показания на маневровом светофоре прикрытия исключается.
Программно-аппаратными средствами АРМ ДСП реализован ряд
информационно-сервисных функций, связанных с визуализацией и протоколированием
действий ДСП и состояния напольного оборудования, а также неисправной работы
технических средств системы МПЦ. Графический пользовательский интерфейс
базируется на возможностях операционной системы Microsoft Windows NT. Он обеспечивает интегрированную
среду для всех операций ДСП и единый подход построения системы меню, диалоговых ввода и вывода сообщений.
В системе, кроме основного, предусмотрен режим вспомогательного
управления, в который переходят при частичной неработоспособности устройств
МПЦ, отказах объектов управления и кабельной сети станции.
Во вспомогательном режиме управления соблюдаются особые условия
взаимодействия оператора и системы МПЦ, направленные на проверку осмысленности
действий оператора. К таким условиям относятся:
• однозначно воспринимаемая, четкая, ясная индикация действий;
• повторные запросы от системы к оператору с пояснением
производимых им действий, требующих подтверждения;
• обязательное требование от системы к оператору на указание
причины работы во вспомогательном режиме, которая должна быть зафиксирована и
зарегистрирована ею. В данном режиме обеспечивается:
- «Индивидуальный перевод стрелок без контроля состояния
стрелочной рельсовой цепи (в случае ложной занятости)»;
- «Установка маршрутов без открытия разрешающего показания
светофоров».
МПЦ Ebilock-950 может быть реализована в двух
вариантах: с централизованным и децентрализованным размещением оборудования. В
первом варианте процессорный модуль централизации (ПМЦ), Interlocking Processing Unit (IPU),
реализующий логические взаимозависимости между станционными объектами, и
аппаратура управления напольными устройствами (система объектных
контроллеров-СОК) располагаются на посту централизации. Во втором варианте ПМЦ
размещается на посту централизации, а СОК распределяется по станции в
непосредственной близости от объектов управления.
Один комплект ПМЦ может управлять 150 логическими объектами (образами
физических объектов станции в программе компьютера), 1000IPU объектов (стрелками, светофорами,
обмотками и контактами реле), что приблизительно соответствует станции, имеющей
около 40-60 стрелок. Количество управляемых объектов может быть увеличено путем
увеличения числа ПМЦ. Емкость системы по количеству петель связи,
концентраторов и объектных контроллеров характеризуется максимальным
количеством:
• петель связи на один ПМЦ- 12;
• концентраторов в каждой петле связи -15;
• объектных контроллеров в каждой петле связи - 32.
В Ebilock-950 предусмотрено 100 %-е
резервирование постовых устройств, применение собственных источников
электропитания, рассчитанных на автономную работу в течение не менее 0,5 ч,
специальное построение линий связи и каналообразующей аппаратуры, позволяющее
сохранять работоспособность системы при возникновении отказов.
3.2 Структура системы
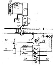
Структура микропроцессорной централизации приведена на рис. 3.1.
Рис. 3.1. Структурная схема МПЦ Еbi1оск-950
С точки зрения функционального назначения в Ebilock-950 можно выделить четыре основных подсистемы:
• диалоговую;
• диагностики;
• логических зависимостей;
• управления и контроля состояния объектов.
В состав диалоговой подсистемы входит автоматизированное рабочее место
дежурного по станции (АРМ ДСП), основными функциями которого являются: отображение
путевого развития станции с индикацией текущего состояния объектов контроля и
управления; обработка команд ДСП; регистрация событий; обработка сигналов о
неисправностях; отображение журнала событий и списка неисправностей.
Применение стандартного персонального компьютера в качестве аппаратной
реализации АРМ позволяет снизить стоимость, упростить эксплуатацию и
обслуживание системы МПЦ. В АРМ использован широко распространенный оконный
интерфейс пользователя, интуитивно понятный и легкий для освоения.
Подсистема диагностики в Еbi1оск-950
представлена в виде терминала электромеханика (АРМ ШН), на который поступает
информация о различных неисправностях в системе, например, обрыве петли связи
или перегорании лампы в светофоре. Пользовательские интерфейсы и общие принципы
построения АРМ ДСП и АРМ ШН во многом схожи. В АРМ ШН сокращен набор допустимых
команд и отсутствует окно, отображающее мнемосхему станции.
Реализация логических взаимозависимостей между станционными объектами в
соответствии с требованиями безопасности движения поездов осуществляется на
уровне подсистемы логических зависимостей. Технической основой это подуровня
системы МПЦ является ПМЦ, структура аппаратного и программного обеспечения
которого обеспечивает заданные параметры безотказности и безопасности. ПМЦ
состоит из двух компьютеров, один из которых находится в работе, а другой-в
«горячем» резерве. В состав каждого компьютера входят два аппаратных канала
обработки информации. Функции, к которым предъявляются требования по безопасности,
реализуются в двух независимых вычислительных каналах, а функции, связанные с
поддержанием интерфейса внешних устройств и системы объектных контроллеров,
обеспечивает сервисный процессор.
Компьютер «горячего» резерва постоянно актуализирует данные, поэтому
система всегда готова перейти на него в случае отказов или сбоев в основном.
Для непосредственного контроля и управления станционными объектами
(стрелки, светофоры, рельсовые цепи и т.д.) служит система объектных
контроллеров.
Каждый объектный контроллер может управлять и контролировать один или
несколько напольных объектов в зависимости от их типа, используя для этого
микропроцессор со специальной программой.
.3 Процессорный модуль централизации
3.3.1 Аппаратные средства
Процессорный модуль централизации состоит из модулей, установленных в
19-дюймовый корпус, содержащий пассивную объединительную плату для межмодульной
связи и распределения питания. ПМЦ занимает как левую, так и правую половины
корпуса. Модули устанавливаются парами, что соответствует основному и
резервному комплекту.
В состав процессорного блока входят следующие модули:
-питания (PSM);
-дисковый и сетевой (DEM);
-центрального процессора (СРМ);
-ввода-вывода (IOМ).
Модуль питания формирует напряжения для функционирования ПМЦ: +5 В/10 А;+12
В/30 А; -12 В/0,5 А, а также обеспечивает защиту от короткого замыкания,
индикацию пропадания выходного напряжения, сохранение в течение 30 мс выходного
напряжения при пропадании входного.
Дисковый и сетевой модуль состоит из двух отдельных подсистем: сетевого
интерфейса и жесткого диска. Подсистема сетевого интерфейса предназначена для
подключения ПМЦ к различным внешним устройствам, например к АРМ ШH, а на этапе разработки-к общей сети
предприятия. Разъем может также использоваться для подключения к системе АРМ
ДСП.
Подсистема жесткого диска содержит SCSI-контроллер, внутренний жесткий диск и внешний SCSI-разъем, к которому можно подключить
до пяти различных SCSI- совместимых
устройств, например жесткие диски, CD-устройства и ленточные накопители.
Модуль центрального процессора состоит из трех одинаковых процессоров Motorola68030 с тактовой частотой 32 МГц с
межмодульной шиной и двух интерфейсов двойного канала.
Три процессора, размещенных на плате СРМ, называются соответственно
безопасным процессором A (FSPA), безопасным процессором В (FSPA) и
сервисным процессором (SPU).
Два первых выполняют все правила централизации, а последний отвечает за
операции ввода-вывода и управления.
Модуль ввода-вывода обеспечивает связь с объектными контроллерами. Для
этого в состав каждой платы входят
COS
порт (RS232);
два возможных типа портов, для связи с концентраторами. Оба типа могут
устанавливаться на одном модуле IOМ в
любой комбинации и конфигурируются в проектных данных; внутреннее соединение
для чтения (записи) данных в (из) модуля СРМ.
В каждом модуле может быть максимально четыре порта, а в каждой половине IPU950-по три модуля IOМ, в зависимости отколичества
напольного оборудования. Платы IOМ
работают парами, так что в системе должно быть необходимое количество плат,
т.е. количество плат IOМ в
левой половине IPU950 должно
соответствовать количеству IOМ,
установленных в правой половине.
3.3.2 Структура аппаратных средств
Структура аппаратных средств процессорного модуля состоит из следующих
элементов. Процессорный модуль централизации Interlocking Processing Unit (IPU)
содержит два синхронно работающих процессорных блока централизации: один
функционирует в рабочем режиме (on - line), а другой - в резервном (stand -
by). Резервный процессор не влияет на функционирование рабочего, но к нему
непрерывно поступает информация со стороны системного программного обеспечения
о состоянии рабочего процессора. В случае сбоя рабочего процессора резервный
берет на себя всю обработку информации.
Сервисное или связное процессорное устройство - Service Processing Unit
(SPU) - выполняет все асинхронные функции, например, операции по вводу / выводу
данных и команд. Работа устройства происходит под управлением UNIX -
совместимой операционной системы реального времени DNIX.
Внутри каждого процессорного модуля находятся по два обособленных друг от
друга безопасных процессорных модуля Fail - Safe Processing Unit FSPU (FSPA,
FSPB), выполняющих параллельно собственные программы (А и В соответственно) по
проверке всех зависимостей централизации. Каждый блок имеет собственный
микропроцессор, память и высокоскоростной двунаправленный канал, позволяющий
посылать обработанные данные в резервный комплект системы. Различные версии
алгоритма работы обеспечивают корректность выполнения зависимостей в системе
централизации.
В случае выявления неисправностей в работе основного модуля ПМЦ по каналу
происходит переключение на резервный процессорный блок.
Каждый блок IPU использует собственную коммуникационную подсистему (COU),
присоединенную к общему интерфейсного адаптера Common Interface Adapter (CIA) и
служащую для связи с концентраторами и АРМ ДСП.
Рассматривать работу компьютера централизации лучше всего на
взаимодействии трех основных составляющих блока IPU: SPU, FSPA. FSPB. Обработка
логики централизации в FSPU происходит циклически. На каждый цикл отводится
примерно 0,3 с, в течение которого осуществляется: - сбор информации,
отражающей состояние всех станционных объектов; - обработка информации; -
формирование приказов на объектные контроллеры; - передача информации о
состоянии объектов централизации на дисплей очередного для индикации.
Для обеспечения достоверности в вычислительных каналах ПМЦ использованы
диверситетные версии программного обеспечения в каналах А и В, а в каждом цикле
делается: 52 - перекрестное сравнение входных, промежуточных и выходных данных
- контроль версии используемого ПО и его целостности; - контроль динамики и
актуальности обрабатываемой информации - контроль временных параметров
программы и последовательности выполнения программных модулей; - контроль
памяти программ и оперативной памяти.
.4 Методы обеспечения безопасности
Передача данных между системой централизации и контроллером устройств
СЦБ. Одной из предпосылок безопасного функционирования системы является то, что
любое искажение в потоке данных между ПМЦ и контроллерами должно
диагностироваться, а его влияние - немедленно исключаться.
Такая способность системы обеспечивается использованием помехозащитного
кодирования содержательной части телеграммы, которое предохраняет
информационное сообщение, или команду от искажений в канале связи.
Организация передачи данных по кольцу основана на очень ограниченном
наборе команд протокола HDLC соответствии с ISO 4335. Организация передачи
данных по кольцу основана на очень ограниченном наборе команд протокола HDLC
соответствии с ISO 4335. Команда (а также информационное сообщение) передается
в виде двух копий А и В. Обе копии включают, кроме содержательной части, такое
количество дополнительных битов, обеспечивающих помехозащищенность (код
Хемминга), при котором расстояние Хэмминга равно 4. Это означает, что ложное
сообщение может быть принято заистинное, если в 127 его информационных битах
при передаче по каналу связи окажется не более 4 ошибочных битов, причем
порядок их следования не позволит выявить ошибки проверкой на избыточность (CRC
- 8).
Более того, команды и информационные сообщения дублируются, и для каждой
копии используется собственный порядок кодирования. Копии А и В упаковываются
каждая в свой пакет, включающий,: Хэмминга равно 4. Это означает, что ложное
сообщение может быть принято заистинное, если в 127 его информационных битах
при передаче по каналу связи окажется не более 4 ошибочных битов, причем
порядок их следования не позволит выявить ошибки проверкой на избыточность (CRC
- 8).
Более того, команды и информационные сообщения дублируются, и для каждой
копии используется собственный порядок кодирования. Копии А и В упаковываются
каждая в свой пакет, включающий,: уникальный адрес, вид сообщения и метку
длины; метку времени для исключения использования в системе устаревшей
информации; содержательную информацию; биты кодирования.
Контролер проверяет идентичность и синхронность копий А и В команды,
переданной ПМЦ. Эта проверка выполняется независимо двумя разными программами А
и В. Если при этом какая-либо из программ обнаруживает различие в содержании
принятых копий, то обработка и выполнение этой телеграммы прекращаются.
Безопасность процесса управления. Для соблюдения требований по
безопасности при реализации процесса управления опираются на принцип
диверситета (вариабельный) программирование, согласно которому одна и та же
функция системы программируется двумя разными коллективами программистов.
Способы программной реализации в обоих случаях полностью разные. Окончательное
изделие имеет в себе разработки обеих групп программистов, определяемые как
программы А и В, которые согласно своим спецификаций принимают участие в
процессах управления и контроля.
Определение состояния контактов реле. Перевод напольных устройств из
одного состояния в другое осуществляется с помощью переключения механических
контактов с помощью реле, которые используются в аппаратуре рельсовых цепей или
схемах соединения с устройствами автоблокировки. Для исключения каких-либо
ошибок при переключении контактов их положение постоянно контролируется.
Положение контактной группы определяется путем посылки на нее знакопеременной
случайной последовательности прямоугольных импульсов. Такая последовательность
выбрана, чтобы исключить слияния внешних воздействий, которые могли бы привести
к опасным корреляций в чей самой.
Зависимости от положения контактной группы последовательность импульсов
или инвертируется, или нет, и на основе сравнения последовательности импульсов
до и после контактной группы делается заключение о ее положения. Сравнение
выполняется программой контроллера устройств СЦБ, которая позволяет также
учесть время переходного процесса при замыкании или размыкании контакта. Для
этого временные параметры измерения выбираются так, чтобы время переходного
процесса, зависящий от возложенных функций и типа контактного устройства
перекрывался продолжительностью временной задержки между измерениями.
Принципы идентификации. Согласно требованиям по безопасности для каждого
контроллера должны быть идентифицированы: система связи с контроллером -
телеграммы, которые он способен принимать и передавать; функция контроллера -
тип сигнала, тип стрелки, которыми он управляет. Идентификационная метка
каждого контроллера встроенная в разъем, который вставляется в разъем
конструкции напольного шкафу.
За время эксплуатации МПЦ Еbilock 950 не было
зарегистрировано ни одного системного отказа. Наблюдались отказы отдельных
печатных плат стрелочных и сигнальных объектных контроллеров из-за повреждений
кабеля или других причин, а также перезапуска объектных контроллеров вследствие
слишком высокой чувствительности к изменениям параметров напольных устройств
СЦБ. На малых станциях были случаи сбоев в системе передачи информации. Все эти
недостатки учтены в новой версии прикладного программного обеспечения для
центрального процессора.
Система Еbilock - 950 пригодна для применения на железных дорогах стран
СНГ и Балтии, поскольку все эксплуатируемые на них средства СЦБ соответствуют
утвержденным (еще МПС СССР) техническим требованиям или отличаются от них лишь
незначительно.
Итак, делаем вывод, что МПЦ - являются системами нового поколения,
которые на порядок лучше предыдущих и имеют возможность выполнять большее
количество функций и большую экономическую эффективность (так как релейная
аппаратура отсутствует), а минимизация аппаратуры приводит к сокращению средств
на строительство постов ЭЦ.
4. УВЯЗКА ERTMS/ETCS И МПЦ EBILOCK-950
.1 Опыт внедрение зарубежных железных дорог
Как уже отмечалось выше, в странах ЕС применяются системы ERTMS/ETCS. Как правило, система ETCS отвечает за интервальное
регулирование движением поездом на перегоне, а ERTMS является надсистемой, аналогом отечественной
диспетчерской централизации. Что же касается станций, то здесь же присутствует
большое разнообразие систем, однако они, как правило, являются
микропроцессорными.
В отношении МПЦ Ebilock-950,
то данная система уже в какой-то мере является интероперабельной. Она уже
проявила себя в качестве интероперабельной при внедрении новой железнодорожной
линии между Швецией и Данией. Для управления движением поездов на ней выбрана
единая система микропроцессорной централизации, разработанная на базе системы
Ebilock 850 компании Adtranz Signal. С учетом имеющихся различий система была
соответствующим образом адаптирована, и со стороны Дании применяется в версии
DSB 1990, со стороны Швеции- STLV 85, причем полная унификация не достигнута
из-за того, что для этого требуются слишком существенные изменения. Так, в
Дании предусмотрена защита индикации на дисплеях операторов системы управления
от отказов, в Швеции - нет. В пункте стыкования две системы объединяются с
помощью релейного интерфейса, также разработанного Adtranz Signal.
МПЦ Ebilock-950, которая является шведской
продукцией, отлично применяется на российских железных дорогах, инфраструктура
которых такая же, как и на железных дорогах Украины. МПЦ Ebilock-950 работает на 16 малых, средних и
крупных станциях участков с автономной тягой и электрифицированных на
постоянном и переменном токе девяти железных дорог России. Ведется подготовка к
вводу в эксплуатацию МПЦ на станции Рига (120 стрелок) железных дорог Латвии.
Как видим, система Еbilock 950 пригодна для применения на железных дорогах
России, стран СНГ и Балтии, так как все эксплуатируемые на них средства СЦБ
соответствуют утвержденным (еще МПС СССР) техническим требованиям или
отличаются от них лишь незначительно.
Рис.4.1 . Линия Ютербог - Галле/Лейпциг
Как правило, из опыта уже существующих систем взаимосвязи, взаимодействие
ETCS с МПЦ осуществляется через RBC (центр радиоблокировки). Эту особенность можна проследить
на жд линии Ютербог - Галле/Лейпциг, которая находится к югу от Берлина и
является частью сообщения Берлин - Мюнхен (рис.4.1) . Электрифицированная двухпутная линия длиной 154 км рассчитана
на движение поездов со скоростью 200 км/ч. После ввода в эксплуатацию системы
ETCS на линии сохранены светофоры (с комбинированными сигналами) и счетчики
осей, поскольку на первом этапе ETCS уровня 2 работает совместно с традиционной
системой сигнализации (рис.4.2).
Рис. 4.2. Структура системы ETCS уровня 2
Основой ETCS являются два центра автоблокировки на базе радиосвязи (RBC)
в Биттерфельде и Виттенберге. Оба RBC соединены локальной сетью с аппаратурой
микропроцессорной централизации (МПЦ) типа ESTW L90 компании Alcatel. МПЦ
передает в соответствующую RBC информацию о состоянии стрелок и сигналов для
формирования команды на движение. При этом данные о свободности или занятости пути
не требуются. Двусторонний обмен данными между центром RBC и поездом
осуществляется по сети радиосвязи GSM-R. Для этого оба центра RBC подключены к
центру коммутации в Лейпциге.
.2 Совместное использование МПЦ Ebilock-950 и
ERTMS/ETCS на железных дорогах Украины
В случаи европейского выбора, переход на ERTMS/ETCS будет представлять определенные
трудности. Внедрение системы возможно по двум основным причинам только
поэтапно:
- Первая связана с невозможностью заменить сразу весь тяговый
подвижной состав, работающий на одной линии.
- Вторая связана с невозможностью заменить все оборудование на
всей протяженности линии.
Как уже отмечалось ранее, система ETCS 1 и 2 уровней используют либо рельсовые цепи, либо счетчики осей. При
внедрении европейской системы на железных дорогах Украины соответственно
существующие рельсовые цепи остаются без каких-либо изменений. Первая же ступень ETCS актуальна для участков, не имеющих
современных устройств автоматической локомотивной сигнализации. Оснащать таким оборудованием необязательно
участки, имеющие аналогичные или более совершенные системы безопасности. Кроме того, на первом уровне
применяется АЛС точечного типа. На украинских железных дорогах применяется АЛС
непрерывного типа, а переоборудовать на АЛСТ не целесообразно. В этом случаи
более перспективным для внедрения есть 2 уровень ETCS.
На второй ступени сведения о поездной
ситуации передаются на локомотив непрерывно по радиосистеме GSM-R. Напольные устройства определяют местоположение поездов и
контролируют их полносоставность. Приемоответчики третьего типа, шлейфы точечной АЛС могут быть
демонтированы. На этой ступени ETCS сохраняются традиционные устройства
контроля местоположения поезда (рельсовые цепи и системы счета осей). В случаи внедрения, функцию АЛСН
будет выполнять радиосистема GSM-R.Так как рельсовые цепи остаются,
поэтому именно их необходимо увязывать с МПЦ Еbilock - 950. В большей степени
такая увязка будет касаться кодовых рельсовых цепей. С учетом того, что на
втором уровне ETCS можно обойтись без напольных
светофоров, то возникает возможность внедрения тоналных рельсовых цепей,
которые являются перспективными для железных дорог Украины.
Как уже отмечалось ранее, на российских железных дорогах активно
эксплуатируется МПЦ
Еbilock - 950.
Естественно, что были разработаны техническме решения по увязкам с различными
видами устройств:
) с однопутной кодовой АБ.
) с двухпутной кодовой АБ.
) с однопутной КЭБ.
) с двухпутной КЭБ.
) с двухпутной релейной АБТЦ.
) с однопутной ПАБ.
) с релейной ЭЦ при отсутствии перегона.
) с релейной ЭЦ при разграничении зон управления по
приемо-отправочным путям.
) с релейной ЭЦ при разграничении зон управления по участку пути.
) с устройствами горочной автоматики.
) с однопутной 4-х значной релейной АБТЦ.
) с оборудованием неохраняемого переезда на станции.
) с оборудованием охраняемого переезда на станции.
Необходимо отметить, что данные решения разрабатывались для существующих
устройств СЦБ. Естественно, данными решениями можно воспользоваться, но с
учетом внедрения ETCS, и в них
следует сделать соответствующие изменения. Эти изменения будут касаться
передачи кодов АЛСН, так как в данных схемах предусмотрено использование КПТШ
(рис.4.3).
Рис.4.3. Автоматическая локомотивная сигнализация непрерывного типа
Для работы АЛСН кодовые сигналы, несущие информацию о показаниях путевых
светофоров, передаются на локомотив при помощи рельсовых цепей. Формирование,
включение и выключение кодовых сигналов числового кода осуществляется схемами
кодирования. Для образования этих схем у каждого путевого светофора
устанавливают кодовый путевой трансмиттер КПТШ и трансмиттерное реле Т. Кодовой
путевой трансмиттер вырабатывает сигнальные коды, необходимые для передачи всех
сигнальных показаний путевого локомотива на светофор (рис.4.4).
В ETCS 2 уровня коды АЛСН с центрального
диспетческого пункта передаются на локомотив с
помощью GSM-R канала. Созданный на основе компонента Euroradio системы GSM-R безопасный метод передачи информации позволяет обмен ответственными командами
между диспетчерським пунктом и подвижным составом.
Исключение опасных отказов при этом гарантируется избыточным кодированием сигнала.
Рис.4.4. Числовые коды, вырабатываемые трансмиттерами КПТШ-5 и КПТШ-7.
Теперь непосредственно переходим к техническим решениям увязки МПЦ
Еbilock - 950 с устройствами СЦБ. На сегодняшний день подавляющее число
рельсовых цепей на перегоне - это числовые кодовые. Поэтому естественно
технические изменения должны коснуться именно увязки Еbilock - 950 с кодовой АБ
(однопутной, двухпутной). На рис. 4.5 представлена часть схемы увязки МПЦ с
однопутной кодовой АБ.
Рис. 4.5 Часть схемы увязка Еbilock - 950 с кодовой АБ.
Данная схема взята из типовых альбомов для проектирования, разработанных
российским институтом по проектированию сигнализации, централизации, связи и
радио на железнодорожном транспорте “Гипротранссигналсвязь”. Изменения в данных
схемах должны коснуться аппаратуры для передачи кодов АЛСН: КПТШ,
трансмиттерное Т, так как при организации 2 уровня ETCS коды АЛСН передаются по цифровому радиоканалу GSM-R. Таким образом сущность данных кодовых цепей будет сводится
к фиксированию места нахождения поезда, т.е. контролю состояния рельсовой цепи:
свободна или занята. Кроме того, как сведетельствует официальная статистика за
2009 - 2010 годы количество сбоев АЛСН тоже существенно (табл. IV).
Таблица IV. Статистика сбоев АЛСН железных
дорог Украины за 2009/2010
|
Показатель
|
Донецкая
|
Львовская
|
Одесская
|
Южная
|
Юго-Зап.
|
Придн.
|
Вместе
|
|
Количество сбоев АЛСН
|
53/103
|
93/65
|
224/757
|
333/476
|
263/177
|
1160/ 1755
|
|
Из них, что привели к откл. АЛСН
|
28/29
|
4/2
|
-
|
15/12
|
41/55
|
30/33
|
118/131
|
Поэтому внедрение новой системы является очень актуальным. Однако, кодовые
рельсовые цепи были введены в эксплуатацию уже давно и в большей степени
исчерпывают свой ресурс. В связи с этим их переоборудование является
нецелесообразно.
Перспективным является использование ТРЦ, основные
достоинства которых связаны с возможностью их
работы без изолирующих стыков. Исключается самый ненадежный элемент СЖАТ -
изолирующие стыки (на долю изолирующих стыков приходится 27% всех отказов
устройств систем железнодорожной автоматики). Отпадает необходимость установки
дорогостоящих дроссель-трансформаторов для пропуска тягового тока в обход
изолирующих стыков. При этом уменьшается число отказов по причине обрыва и
хищений перемычек и снижаются затраты на обслуживание. Типовые решения по увязке ТРЦ с МПЦ
Еbilock - 950, но здесь, как и прежде, необходимо изменять схеху кодирования
рельсовых цепей (рис.4.6).
Рис. 4.6. Обобщенная структурная схема ТРЦ
Подводя итог даннаго раздела, делаем вывод, что переход от релейной
централизации, кодовых рельсовых к более новым систем (МПЦ, ТРЦ, ETCS) не является данью моде. Это -
объективная необходимость обновления всего технологического процесса управления
перевозками и работой структурных подразделений железнодорожного транспорта на
основе применения информационных технологий. Здесь сразу проявляются
преимущества МПЦ, которая служит удобным связующим звеном между источниками
получения первичной информации (подвижной состав, объекты СЦБ и др.) и
системами управления перевозочным процессом более высокого уровня, позволяя обойтись
без дополнительных надстроек, которые были бы нужны при использовании
электрической централизации на базе реле.
5. ОТКАЗЫ
МИКРОПРОЦЕССОРНЫХ СИСТЕМ. МЕТОДЫ ПОВЫШЕНИЯ БЕЗОТКАЗНОСТИ И БЕЗОПАСНОСТИ
МИКРОПРОЦЕССОРНЫХ СИСТЕМ
.1 Влияние отказов устройств систем железнодорожной
автоматики на поездную работу станций
Отказы станционных устройств ЖАТ снижают пропускную и
перерабатывающую способность станций. Например, по данным статистики на
двухпутном участке длиной в 200 км отказ ЭЦ в течение двух часов снижает
пропускную способность на 1.8 поезда на сутки при среднем показателе потока
отказов и на 11 поездов при максимальном значении этого параметра.
При отказах устройств ЭЦ увеличивается протяжность трех
операций : времени приготовление маршрута, времени открытия сигнала и времени
проследования поездом маршрута приема и отправления. Увеличение последней
составляющей станционного интервала определяется тем, что пригласительный огонь
на входном или выходном светофоре, разрешение на бланке зеленого цвета или приказ
дежурного по станции, который передается по радиосвязи, дает право машинисту
проследовать закрытый светофор и вести поезд к моменту остановки по пути или к
первому проходному светофору со скоростью на выше 20 км/ч с особенной
бдительностью и готовностью остановится, если встретится препятствие для
следующего движения.
Первая составляющая увеличивается в силу того, что при
организации движения поездов по станции в течение времени возобновления
работоспособности устройств ЭЦ дежурный по станции и рабочие движения, которые
помогают ему, должны выполнять ряд операций по установлению и розделению
маршрутов, которые требуют дополнительного времени. Кроме того, в данных
условиях от момента выявления отказа дежурным по станции и к моменту начала
установления первого маршрута проходить определенный отрезок времени, которое в
сущности является “окном”.
Вторая составляющая растет, так как перед приемом или
отправлением поезду при запрещающем показании светофора дежурный по станции
должен выполнить ряд дополнительных операций, чтобы лично удостовериться в
готовности маршрута для его следующего использования.
На больших станциях при отказе стрелок или рельсових кругов в
маршруте, который задается, есть возможность задания вариантного маршрута, в
результате чего протяжность “ окна ” резко сокращается и хранится возможность
работы при автоматической проверке условий безопасности движения поездов без
использования в маршрутах, которые задаются, поврежденных устройств. В этих
условиях отказы имеют меньшее влияние на процесс перевозки,а величина задержек
может быть рассчитана с учетом структурной надежности и степени заполнения
пропускной способности ее горловины.
В случаи внедрения системы Еbilock - 950 или другой МПЦ не
обходимо также учитывать очень важную деталь - это достоверность получения
информации от напольных устройств на пост ЭЦ. Работа станционных систем
автоматики во многом зависит от надежности работы рельсовых цепей, которые
работают в условиях пониженного сопротивления балласта, влияния индустриальных
помех, наличия большого количества изолирующих стыков. Любой грубой отказ существующих
систем приводит к задержкам поездов, потере множества клиентов и т. д. Рассмотрев статистику отказов
электрической централизации поУЗ за период с 1998 по 2003 год, мыполучаем следующие данные:
Рис.5.1. Отказы электрической централизации на всех дорогах УЗ.
На рис.5.1. приведено процентное соотношение отказов устройств
электрической централизации за период 6 лет. Где:
-Пульты, табло, аппараты управления;
- Релейные шкафы, стативы;
- Щитовыеэлектропитающие установки;
- Релейнаяи бесконтактная аппаратура;
-Трансформаторы, преобразователи, випрямители, электрические машины;
6 -Элементы защиты;
- Аккумуляторыи первичныеэлементы;
-Сигналы;
-Электроприводы;
-Воздушные линии;
11 - Кабельные линии;
- Рельсовыецепи;
- Неустановленные объекты;
- Другие.
Все выше упомянутые проблемы, влияют на работу релейных,
релейно-процессорных, микропроцессорных централизаций в той или другой мере. И
это необходимо учитывать при внедрении новых систем. Качественное отличие
микропроцессорных ЕЦ от релейных есть в том, что система может принимать
участие в принятии решения оператором, или инициировать его сама. Это
эффективно, например, после ликвидации отказа, при наличии большого количества
работы у дежурного по станции, в случае, когда необходимо пропустить огромное
количество поездов через станцию.
Особенно необходимо это тогда, когда к наличию всех проблем
добавляется отсутствие определенного опыта у дежурного по станции. В этом
случае безопасность движения может быть повышена при реализации новых функций,
особенно в ситуацииях, когда управление берет на себя человек. В перспективе
количество интеллектуальных функций, которые выполняются микропроцессорными
системами централизации, будет увеличиваться, что должно улучшить показатели
системы централизации.
Таблица V. Показатели надежности объектов ЭЦ
|
Параметр
|
Значение
параметра для объєктов
|
|
Светофоры
|
Элетропривод
|
Рельсовые цепи
|
Постовыеустройства
|
Источники питания
|
Маневровые
колонки
|
Кабельные линии
|
|
Средняя продолжительность задержки одного поезда, мин.
|
9.7
|
18.1
|
11.6
|
12.5
|
9.9
|
21
|
13.2
|
|
Средняя продолжительность задержки поезда на одинотказ, мин.
|
6.21
|
11.95
|
4.99
|
4.25
|
8.6
|
22.26
|
12.8
|
|
Число задержанных
поездов, среднее на одинотказ
|
0.64
|
0.66
|
0.43
|
0.34
|
0.87
|
1.06
|
0.97
|
|
Число задержанных
поездов на тысячу маршрутов
|
0.08
|
0.09
|
0.1
|
0.015
|
0.02
|
0.015
|
0.03
|
|
Средняя продолжительность отказов, мин.
|
28.1
|
32.3
|
30.8
|
21.1
|
23.2
|
70.6
|
67.9
|
Если проанализировать статистические данные по отказам в устройствах ЭЦ,
то мыувидим, что найбольшее число неисправностей приходится на рельсовые цепи,
стрелочные электроприводы, релейную аппаратуру, светофоры и элементы защиты.
Показатели надежности объектов ЭЦ приведены в таблице V. В этой таблице также указано время задержки поезда в связи с отказами электрической централизации, а также середняя длительность отказа.
На первом месте по отказам рельсовые цепи, которые и при
переходе на микропроцессорную элементную базу остаються найболее ненадежным элементом.
В связи с этим
необходимо повышать надежность автоматического управления движением поездов на
наиболее напряженных участках железных дорог, что в свою очередь требует
достоверной и разнообразной информации от первичных датчиков.
.2
Применения точечных путевых датчиков в области железнодорожной автоматики
На отечественных и зарубежных железных дорогах датчики
применяют в системах:
− полуавтоматической и автоматической блокировки
(ПАБ, АБ) для контроля занятости перегона и блок- участков;
− автоматической локомотивной сигнализации (АЛС), автоматического регулирования
скорости и автоматического управления тормозами (САУТ) для получения информации
о фактической скорости и местонахождении поездов;
− переездной сигнализации (ПС) и ограждающих
устройствах для сигнализации о приближении поезда, контроля скорости
приближения и движения подвижного состава;
− горочной автоматизации (ГАЦ, АРС) для определения скоростей и
ускорений отцепов для управления тормозными средствами, а также для контроля
свободности стрелочных участков и измерения веса отцепов;
− обнаружения перегревшихся букс (ПОНАБ), наличия
ползунов на колесах в проходящих поездах для определения нарушения нормальных
условий эксплуатации и регистрации числа осей, проходящих через
контрольную точку;
− в измерительных вагон- лабораториях;
Рассмотрим наиболее распространенные типы датчиков.
.2.1 Типы датчиков. Емкостные датчики
Емкостным датчиком называют такие датчики, в которых измеряемая
величина преобразуется в значение емкости непосредственно или при механических
перемещениях. Известно, что емкость плоского конденсатора
пропорциональна диэлектрической проницаемости среды eи рабочей площади пластин
и обратно пропорционально расстоянию между ними
:
,
(5.1)
где
- относительная диэлектрическая проницаемость среды
между обкладками;
- активная площадь обкладок;
- расстояние между обкладками.
Принцип действия емкостных датчиков основан на изменении одной из
величин
,
,
. Как правило, емкостные датчики включают в мостовые
схемы переменного тока или колебательные контуры высокочастотных генераторов.
Характерные области применения емкостных датчиков -измерения механических
перемещений (емкостные микрометры), измерения уровней, измерения давлений и
т.д.
.2.2 Индуктивные датчики
Принцип действия индуктивных преобразователей основан на зависимости
индуктивности или взаимной индуктивности обмоток от положения, геометрических
размеров и магнитного состояния элементов их магнитной цепи.
Индуктивности и взаимные индуктивности обмоток, расположенных на
магнитопроводе, при отсутствии рассеяния магнитного потока определяются
формулами:
,
(5.2)
,
(5.3)
где
и
-
число витков
-й и
-й
обмоток;
- магнитное сопротивление, где
- активная составляющая магнитного сопротивления,
здесь
,
,
- соответственно длина, площадь поперечного сечения и
относительная магнитная проницаемость
-го
участка магнитопровода;
- магнитная проницаемость пустоты;
- длина воздушного зазора;
- площадь поперечного сечения воздушного участка
магнитопровода;
- реактивная составляющая магнитного сопротивления,
здесь
- потери в магнитопроводе на частоте
, обусловленные вихревыми токами и гистерезисом;
- магнитный поток в магнитопроводе.
Из приведенных формул следует, что индуктивность и взаимную индуктивность
можно изменять, воздействуя на длину или площадь поперечного сечения воздушного
участка магнитной цепи, на магнитную проницаемость или на потери в
магнитопроводе.
Некоторые типы индуктивных преобразователей схематически показаны на
рис.3.8.
Рис.5.2. Индуктивные преобразователи
Индуктивный преобразователь (рис.5.2,а) с переменной длиной воздушного зазора
характеризуется нелинейной (близкой к
гиперболической) зависимостью с перемещением 0,01 -10 мм. Преобразователь с
изменяющейся площадью воздушного зазора позволяют измерять перемещения до 15-20
мм (рис.5.2,б). Преобразователь с разомкнутой магнитной
цепью применяется для измерения перемещений от 1мм до 100 мм (рис.3.8,г).
Широкое распространение на практике получилидифференциальные преобразователи,
вкоторых перемещение подвижного элемента вызывает увеличение индуктивности
одной обмотки иуменьшение индуктивности другой (рис.5.2,д,е.).
Индукционные преобразователи применяются для измерений скорости
линейных и угловых перемещений. Наибольшее применение они получили в приборах
для измерения угловой скорости (тахометрах) и в приборах для измерения
параметров вибраций, т. е. для измерения линейных и угловых перемещений и
ускорений (в виброметрах и акселерометрах).
.2.3 Датчики пути и скорости
Датчик используют, напр., в системы автоматического управления
тормозами (САУТ) и устанавливают в корпус скоростемера на буксе колесной пары.
Он содержит в качестве основного элемента транзисторный автогенератор с
задающим LC-контуром и ротор, выполненный из стальной шестерни, которая имеет
16 импульсов. При введении в зазор между базовой и коллекторными обмотками
автогенератора металлической пластины уменьшается коэффициент обратной связи,
вызывающий срыв генерации.
Ротор датчика приводится во вращение от шейки оси колесной
пары. Каждый зубец при вращении ротора выполняет функцию металлической
пластинки. За каждый оборот колесной пары датчик выдает 16 импульсов. Таким
образом, число импульсов, выработанных датчиком, пропорционально пройденному
пути, а их частота - скорости движения. Коэффициент пропорциональности определяется
диаметром колеса.
Другой разновидностью датчика скорости используют в системе
автоматического регулирования скорости на метрополитене и высокоскоростном
наземном транспорте. Основными частями такого датчика являются два постоянных
магнита, сердечник и обмотка. Зубчатый ротор вращается вместе с колесной парой.
Датчик устанавливают на специальной крышке буксы подвижного состава. Магнитный
поток постоянных магнитов замыкается через зубья ротора и при вращении колеса
за счет изменения магнитного потока в сердечнике в обмотке наводится ЭДС,
частота которой пропорциональна скорости вращения колеса, т.е. скорости
движения поезда. Таким образом, датчик скорости преобразует скорость движения
поезда в частоту электрических сигналов.
Датчик пути решает задачу измерения скорости вращения оси
колесной тележки путём фотоэлектрического преобразования сигнала прерываний
светового потока щелевой маски (диском с радиальными прорезями), усиления и
порогового формирования электрических сигналов импульсов.
.2.4 Датчики контроля проследования
поезда
В контактных датчиках измеряемому механическому перемещению
соответствует замкнутое или разомкнутое состояние контактов, управляющих
электрической цепью. Их применяют в системах автоматического контроля,
сортировки деталей по размерам и автоматической сигнализации.
В системах ЖАТ распространение получили контактные датчики,
выполняющие функции контроля проследования подвижного состава и называемые
рельсовыми педалями, а так же путевые датчики весомера. Педали выдают электрический
сигнал при срабатывании контактов их выходных элементов в результате
воздействия колеса на воспринимающий пружинно-рычажный механизм датчика .
Примером может служить педаль рельсовая, состоящая из
корпуса, который крепят на бетонном основании, контактной схемы с выводами,
предохранительного кожуха и прихвата на рельсе, соединенном посредством рычага
с осью. Когда колесо въезжает в зону действия педали и рельс просаживается на
глубину 0,8 мм и более, рычаг поворачивает ось с коромыслом, переключая контакты
педали и возвращая их в исходное положение при выходе колеса из этой зоны.
Действие мембранной педали основано на передаче давления от
прогиба рельса под подвижным составом через нажимное приспособление на
сжимаемую воздушную камеру, расположенную под рельсом, и воздействия
вытесняемого из этой камеры воздуха на мембрану, с которой связана контактная
схема.
Рассмотренные контактные датчики применяют для счета осей
подвижного состава только в ограниченном диапазоне нагрузок на ось и скоростей
подвижного состава. Вне этих пределов педали не фиксируют группу проходящих
осей или не выделяют отдельные оси.
Магнитоэлектронный датчик применяют в устройствах
реверсивного счета осей на пути. Датчик работает в диапазоне скоростей 0-200
км/ч. По принципу действия он близок к рассмотренному выше датчику пути и
скорости.
.2.5 Принцип действия и основные параметры точечных путевых датчиков
счета осей
По виду воздействия колеса (колесной пары) на первичный преобразователь
датчики подразделяются: на механически взаимодействующие, не требующие наличия
связующей энергии (пьезоэлектрические, механические, гидравлические,
пневматические, электроконтактные) и взаимодействующие через связующее
магнитное или электромагнитное поле.
Надежность механически взаимодействующих датчиков зависит от таких
факторов, как скорость движения и нагрузка на ось подвижного состава,
климатические условия работы, ударные и вибрационные ускорения, а также наличие
значительной инерционности механизма, что ограничивает область их применения.
Структура систем счета осей, несмотря на различие физических принципов
действия и конструкций, имеет следующие основные элементы (рис. 3.9):
Рис. 5.3.Структурная схема системы
счета осей
1 - рельсовые датчики первичной информации (Д), располагаемые
непосредственно на рельсах на границах контролируемого участка пути,
взаимодействующие с каждым колесом, или колесной парой железнодорожного
подвижного состава в отдельности, и вырабатывающие при этом сигналы (как
правило, электрический);
- устройство преобразования первичного сигнала в форму, удобную для
передачи по выделенным или стандартным (телефонным) каналам связи (ЛС);
- решающий прибор (РП), иногда называемый приемником, располагаемый, как
правило, в аппаратном помещении, соединенный с рельсовыми датчиками линиями
ЛС1, ЛС2 и, на основе полученных от них сигналов, формирующий в системе счета
осей сигнал о занятом или свободном состоянии контролируемого участка пути.
В настоящее время на отечественных железных дорогах и за рубежом в
системах счета осей наибольшее распространение получили индукционные датчики,
которые обеспечивают работоспособность в любых климатических условиях, при
наличии мощных магнитных полей тягового тока и полей тяговых двигателей, и не
оказывают заметного биологического воздействия на окружающую среду.
Индукционные датчики в силу простоты их схемных и конструктивных решений,
а также повышенной надежности, являются наиболее распространенным типом
бесконтактного датчика и применяются на железных дорогах многих стран в двух
основных модификациях: магнитоиндукционных (с источником связующего поля -
постоянным магнитом) и индукционных электромагнитных (с переменным магнитным
полем)
.2.6 Принцип действия
магнитоиндукционного путевого датчика
В магнитоиндукционном точечном путевом датчике используется генераторный
первичный преобразователь (формирующий информационный сигнал под воздействием
колеса и при отсутствии внешнего источника питания), основанный на принципе
электромагнитной индукции, закон которой выражается формулой
(3.4)
где е - индуктируемая в катушке электродвижущая сила (эдс); w - число
витков в катушке; Ф - магнитный поток пронизывающий витки катушки.
Рассмотрим конструкцию и принцип действия магнитоиндукционного путевого
датчика SERVO фирмы GENERAL ELECTRIK. Датчик представляет собой (рис. 5.4, а и
б) размещенный в диамагнитном корпусе 1 подковообразный постоянный магнит 2 с
отдельными обмотками 6 на каждом из его полюсов.
Рис.5.4.Магнитоиндукционный точечный путевой датчик: а - общий вид; б -
схема усилителя
При входе ферромагнитной массы реборды 4 колеса 5 в зону действия датчика
магнитное сопротивление воздушного зазора магнита изменяется, что вызывает
изменение магнитного потока 3, сцепленного с витками катушек датчика, и, как
следствие, индуктирование эдс (в обеих последовательно соединенных катушках) с
амплитудой, пропорциональной скорости движения колеса. Полярность индуктируемой
эдс в приемных катушках меняется от прямой до обратной при проследовании колеса
над датчиком.
Амплитуда напряжения на выходе датчика тем больше, чем выше скорость
движения колеса. Полученный электрический сигнал достаточно просто
обрабатывается электронными устройствами исполнительного элемента.
Схема исполнительного элемента магнитоиндукционного путевого датчика рис.
5.4, б состоит из интегрирующей цепочки RC, диодаД и транзистора Т,
управляемого отрицательной полуволной сигнала датчика (положительная полуволна
шунтируется диодом Д). Цепочка RC, включенная на входе транзистора,
отфильтровывает из сигнала высокочастотные составляющие и короткие импульсы
помех, обусловленные вибрацией датчика и наводками от внешних магнитных полей.
Амплитуда импульса падает с уменьшением скорости состава, и при остановках
колеса над датчиком напряжение на катушках практически отсутствует. Таким
образом, рассматриваемый датчик имеет информационное ограничение по скоростному
диапазону.
Следует отметить, что невысокая стоимость датчика обусловлена
относительно простой его конструкцией (магнит и обмотка). Однако достаточно
большая масса ограничивает срок службы датчика, установленного на рельсе,
вследствие разрушения его вибрациями, возникающими при движении поездов.
На элементы согласования датчика с исполнительным элементом оказывают
существенное влияние электромагнитные помехи, воздействующие на обмотки датчика
и соединительные провода. Применяемые меры к их ослаблению не всегда эффективны
вследствие широкого частотного спектра помех и случайного характера этих процессов.
Аналогично рассмотренному принципу действия работают также
магнитоиндукционные точечные путевые датчики (педали) типа ПБМ, ДМ и другие.
Рассмотрим следующую группу датчиков, принцип работы которых основан на
формировании информационных сигналов о движении колеса путем амплитудной
модуляции выходного сигнала. Это так называемые индукционные электромагнитные
путевые датчики, где чувствительным элементом являются катушки индуктивности,
параметры которых (взаимная индуктивность) изменяются при движении колеса над
ним. Выходным сигналом датчика является амплитуда переменного тока.
5.2.7 Принцип действия индукционного электромагнитного путевого датчика
Рассмотрим
следущую группу датчиков, принцип действия которых основан на формировании
информационных сигналов о движении колеса путем амплитудной модуляции выходного сигнала. Это так называемые индукционные электромагнитные путевые датчики, где чувствительным элементом есть катушки индуктивности, параметрыкоторых (взаимоиндуктивность) изменяется
при движении колеса над ними. Выходным сигналом датчика есть амплитуда переменноготока.
В рассматриваемой конструкции индукционного электромагнитного путевого
датчика переменное магнитное поле, создаваемое передающей катушкой W1
(рис.5.5), пересекает витки приемной катушки W2, расположенной на другой
стороне рельса, и генерирует в ней эдс выходного сигнала.
Рис. 5.5. Индукционный электромагнитный путевой датчик
Форма и расположение обеих катушек и их ферритовых сердечников образуют
два магнитных потока Ф1 и Ф2, проходящих через первичный преобразователь
(обмотку W2) в противоположных направлениях. При отсутствии колеса преобладает
поток Ф1, который и индуктирует выходной сигнал в виде переменного напряжения
Uвых. В значительно упрощенном виде магнитный поток катушки, без учета
магнитного потока рассеивания (Фр), определяется выражением
(5.4)
где Rст - суммарное магнитное сопротивление всех ферромагнитных участков
магнитопровода (по которым замыкается магнитный поток, пронизывающий обе
катушки); Rв - магнитное сопротивление всех воздушных промежутков, по которым
замыкается магнитный поток Ф1, пронизывающий обе катушки; lст - длина
ферромагнитных магнитопроводов; lв - длина воздушных промежутков магнитопровода.
Подставляя значение уравнения (5.2) в уравнение (5.1), получим уравнение
для определения эдс, наводимой в обмотке W2 первичного преобразователя
магнитным потоком Ф1:
(5.5)
где W1 - число витков передающей катушки (источника связующего
магнитного поля); W2 - число витков приемной катушки; SК2-эквивалентная площадь
катушки первичного преобразователя (приемной катушки); w - круговая частота; I1
- амплитудное значение переменного тока передающей катушки; К< 1 - коэффициент
связи обмоток, учитывающий соотношение магнитных потоков полного (с учетом
потоков рассеивания) и сцепляющегося с приемной катушкой.
Аналогично, с учетом параметров своих составляющих воздушных промежутков
и ферромагнитных магнитопроводов, можно определить значение магнитного потока
Ф2 и эдс, наводимую этим потоком в катушке W2.
Если между катушками датчика проходит колесо, то его металлическая масса
изменяет направление и действует как экран для потока Ф1, который уменьшается в
катушке W2. Разность эдс в приемной катушке, индуктируемых потоками Ф1 и Ф2,
снижается до нуля, это и является сигналом счета оси, выдаваемого точечным
путевым датчиком.
По такому принципу построены точечные путевые датчики в некоторых
системах СЦБ фирмы SEL, передающие катушки которых запитываются от
автогенератора прямоугольных колебаний частотой 5,06 кГц. Чаще всего для
повышения безопасности в системах железнодорожной автоматики, использующих
счетчики осей для контроля участков пути, применяют два последовательно расположенных
датчика, размещенных в общем корпусе. Такая конструкция датчика позволяет
повысить достоверность фиксации проследования каждой колесной пары методом
сравнения результатов, полученных от каждого из датчиков, и определить
направление движения подвижной единицы по последовательности их срабатывания.
Изменяя взаимное расположение передающих и приемных катушек, а также
частоту генерируемого сигнала в передающих катушках, можно создать индукционный
электромагнитный путевой датчик, у которого при проходе колеса сигнал в
приемных катушках будет возрастать. По такому принципу построен датчик в
системе счета осей AzS 350 фирмы “SIEMENS”.
.2.8 Потенциометрические датчики
Для преобразования угловых или линейных механических
перемещений в соответствующие изменения сопротивления, напряжения или тока
служит потенциометрический датчик, который представляет собой резистор,
включенный по схеме потенциометра.
На каркасе из изоляционного материала размещена обмотка. По
кромке провода обмотки перемещается контакт щетки, приводимой во вращение осью.
Движок соединяет контакт щетки с щеткой токосъемного кольца. Ось вращения и
движок электрически изолированы друг от друга. Напряжение питания подается на
зажимы потенциометра, выходное напряжение снимается между одним из зажимов, на
которые подается питание, и контактом, соединенных с токосъемным кольцом.
Элемент, угловое перемещение которого нужно преобразовать, механически
связывается с осью, положение которой определяет сопротивление, а
следовательно, выходное напряжение и ток в нагрузке. В качестве нагрузки
может быть использован электроизмерительный прибор,
например вольтметр, отградуированный в значениях угловых перемещений.
Статическая характеристика потенциометрического датчика показывает зависимость
выходного напряжения от контролируемого угла поворота подвижного контакта щетки
в режиме холостого хода и при наличии нагрузки. Обычно стремятся к реализации
линейной статической характеристики. Для этого необходимо выполнить соотношение
, где
-
сопротивление потенциометра.
Потенциометрические датчики используют на тепловозах в качестве
датчиков давления масла. Под давлением масла мембрана, воздействующая на шток,
рычажную передачу и далее подвижной контакт потенциометра, прогибается.
Реостатные преобразователи с проволочной обмоткой являются ступенчатыми
(дискретными) преобразователями, поскольку непрерывному изменению перемещения
соответствует дискретное изменение сопротивления. Дискретный характер выходной
величины определяет возникновение соответствующей погрешности дискретизации,
которая уменьшается с увеличением числа витков обмотки. Поэтому реостатные
преобразователи обычно имеют не меньше 100-200 витков обмотки. Указанная
погрешность дискретизаций отсутствует в реохордных преобразователях, в которых
щетка скользит вдоль оси калиброванной проволоки.
.2.9 Гальванический преобразователь
Гальванические преобразователи основаны на зависимости ЭДС
гальванической цепи от концентрации ионов в электролите
иокислительно-восстановительных процессов, происходящих на электродах. Наиболее
широко гальванические преобразователи используются в качестве приборовдля
измерения активности(концентрации) водородных ионов. Они основаны на свойствах
различных растворов (нейтральных, кислых, щелочных), которые зависят от
концентрации в нихводородных ионов.
Гальванический преобразователь состоит из двух элементов:
измерительного электрода, помещенного в исследуемый раствор, и вспомогательного
элемента, электродный потенциал которого должен оставаться постоянным.
ИзмерениеЭДС гальванических преобразователей должно производиться таким
образом, чтобы через преобразователь не проходил ток, вызывающий погрешности от
поляризации электродов ипадения напряжения на внутреннем сопротивлении
преобразователя, которое при использовании стеклянных электродов составляет
107-109 Ом. Указанное требование делает необходимым применение
электрометрических усилителей или компенсационных измерительных приборов. Следует
также учитывать, что измерение давления с помощью гальванических
преобразователей требует введения поправки на температуру.
.2.10 Термоэлектрические преобразователи
Термоэлектрические преобразователи (термопары) основаны на
термоэлектрическом эффекте, заключающемся в том, что в замкнутом контуре,
состоящем из двух разнородных проводников (или полупроводников), течет ток,
если места спаев проводников имеют различные температуры.
Если взять замкнутый контур, состоящий изразнородных проводников
(термоэлектродов), то на их спаях и возникнут термо-ЭДС
и
,
зависящие от температур
и
этих
спаев. Так как эти термо-ЭДС оказываются включенными встречно, то
результирующая термо-ЭДС
, действующая в контуре, равна
(5.6)
При равенстве температур обоих спаев результирующая термо-ЭДС
равна пулю. Спай, погружаемый в контролируемую среду, называется рабочимконцом
термопары, а другой - свободным.
.2.11 Оптические датчики
В
качестве приемных элементов в оптических датчиках используют фоторезисторы,
фотодиоды и фототранзисторы. Действие фототранзисторов основано на явлении
внутреннего фотоэффекта, состоящего в том, что в результате поглощения света в
полупроводнике фоторезистора появляются свободные электроны. Под действием
приложенного напряжения первичные электроны приходят в движение и сталкиваются
с атомами кристаллической решетки, вызывая дополнительный вторичный поток
электронов. Таким образом, при освещении фоторезистора его проводимость резко
увеличивается, что приводит к увеличению тока
в цепи
нагрузки. Изменение интенсивности излучение влияет на их сопротивление в
непроводящем направлении. В фоторезисторах светом излучается базовая область.
При этом действие светового потока (подобно действию напряжения,
прикладываемого между базой и эмиттером в обычном транзисторе) приводит к
увеличению тока эмиттера и соответственно выходного тока коллектора.
Оптические
датчики используют в СЖАТ на метрополитене для контроля скорости движения
поездов в районе остановочных платформ; в устройствах пассажирской автоматики
(турникетах); в устройствах контроля прохода в тоннель и пр. На сортировочных
горках оптические датчики контролируют свободность стрелочных участков при
проследовании длиннобазных вагонов.
В
системах, предназначенных для автоматического обнаружения перегретых букс
подвижного состава (ПОНАБ), применяют датчики, реагирующие на инфракрасное
излучение от корпусов греющихся букс. Они называются болометрами. Эти датчики
преобразуют инфракрасное излучение от нагретых букс в электрические сигналы.
Приемные устройства срабатывают при достижении температуры шеек осей колесных
пар определенного значения, зависящего от настройки прибора. В сочетании с
рельсовыми педалями система ПОНАБ контролирует наличие нагретых букс и
определяет их порядковый номер.
Оптоэлектрические преобразователи используются для
бесконтактных измерений разнообразных физических величин. Чаще всего под
действием измеряемой величины изменяется интенсивность излучения, например,
вследствие изменения температуры излучателя, изменения поглощения или рассеяния
оптического канала, однако могут изменяться также фазовый сдвиг между
колебаниями в двух лучах, вызываемый разностью оптического хода этих лучей,
частота идлина волны излучения, генерируемого источником.
В преобразователях излучений выходная электрическая величина
функционально связана с характеристиками излучения. В зависимости от вида
излучения различают оптоэлектрические и ионизационные преобразователи.
В оптоэлектрическихпреобразователях используется оптическое
излучение видимого, инфракрасного или ультрафиолетового диапазона. Источниками
излучения могут служить лампы накаливания, газоразрядные лампы, светодиоды и
лазеры. В качестве приемников излучения чаще всего применяют фотоэлементы,
фотоумножители, фоторезисторы, фотодиоды ифототранзисторы. Следует отметить,
что фотоэлементы являются генераторными преобразователями, а фотодиоды могут
быть генераторными или параметрическими преобразователями.
Оптоэлектрический преобразователь измеряемой величины
или
в
выходную электрическую величину
содержит
источник излучения ИИ потока
,
некоторый оптический канал ОК и приемник излучения ПИ, воспринимающий поток и
преобразующий его вэлектрическую величину
(рис.5.4).
Рис.5.6. Структурная схема
оптоэлектрического преобразователя
Воздействие измеряемой величины на поток излучения
может осуществляться двумя путями. В первом случае
измеряемая величина
воздействует непосредственно на источник излучения и
изменяет тот или иной параметр излучаемого потока
. Во втором случае измеряемая величина
модулирует соответствующий параметр потока
в процессе его распространения по оптическому каналу.
.2.12 Пьезоэлектрические преобразователи
Пьезоэлектрические преобразователи основаны на использовании
прямого пьезоэлектрического эффекта, заключающегося в появлении электрических
зарядов на поверхности некоторых кристаллов (кварца, сёгнетовой соли и др.) под
влиянием механических напряжений. Это преобразователи генераторного типа,
однако, их выходная мощность мала, поэтому к выходу преобразователя должен быть
подключен измерительный усилитель с возможно большим входным сопротивлением
(1011Ом и более).
В пьезоэлектрических преобразователях применяют главным
образом кварц, который обладает высокой механической прочностью и очень слабой
зависимостью параметров от температуры.
.2.13 Тензочувствительные преобразователи
(тензорезисторы)
Принцип действия термопреобразователей сопротивления
(терморезисторов) основан на зависимости электрического сопротивления
проводников и полупроводников от температуры. В основе работы тензорезисторов
лежит явление тензоэффекта, заключающееся в изменении сопротивления резисторов,
выполненных из проводников или полупроводников, при их механической деформации.
Характеристикой тензоэффекта материала является коэффициент
относительной тензочувствительности
,
(5.7)
где
- относительное изменение сопротивления резистора;
-
относительное изменение линейного размера резистора.
В настоящее время наиболее широко используются наклеиваемые
тензопреобразователи (рис.3.3).
Рис. 5.7. Тензочувствительный преобразователь
Преобразователь представляет собой тонкую зигзагообразно
уложенную и приклеенную к полоске бумаги (подложке 1) проволоку 2 (проволочную
решетку). Преобразователь включается в схему с помощью привариваемых или припаиваемых
выводов 3. Преобразователь наклеивается на поверхность исследуемой детали так,
чтобы направление ожидаемой деформации совпадало с продольной осью решетки.
Для изготовления преобразователей применяется главным образом проволока
диаметром 0,02-0,05 мм из константана, имеющего коэффициент
. Применяются также фольговые и пленочные
тензорезисторы, габаритные размеры которых меньше габаритных размеров
проволочных тензорезисторов.
Изменение температуры вызывает изменение функции преобразования
тензорезисторов, что объясняется температурной зависимостью сопротивления
преобразователя и различием температурных коэффициентов линейного расширения
материала тензорезистора и исследуемой детали. Влияние температуры устраняется обычно
путем применения соответствующих методов температурной компенсации.
Для измерения выходной величины тензорезисторного преобразователя чаще
всего применяют мостовые схемы. Тензорезисторы всех типов находят широкое
применение для измерения деформаций, усилий, давлений, моментов и т. п.
Широкое распространение на практике получили более дешевые медные
терморезисторы, имеющие линейную зависимость сопротивления от температуры:
,
при
, (5.8)
где
Недостатком меди является небольшое ее удельное сопротивление и легкая
окисляемость при высоких температурах, вследствие чего конечный предел
применения медных термометров сопротивления ограничивается температурой 180
.
По стабильности и воспроизводимости характеристик медные терморезисторы
уступают платиновым.
Стандартные платиновые термометры сопротивления имеют обозначение ТСП,
а медные ТСМ. При температуре 0
сопротивления
термометров равно: платиновых 1; 5; 1О; 50; 100; 500
Ом, медных 10,50, 100 Ом.
Для измерения температуры наиболее распространены полупроводниковые
терморезисторы типов КМТ (смесь окислов кобальта и марганца) и ММТ (смесь
окислов меди и марганца).
Термисторы имеют нелинейную функцию преобразования, которая достаточно
хорошо описывается формулой
,
(5.9)
где
- абсолютная температура;
- коэффициент, имеющий размерность сопротивления;
- коэффициент, имеющий размерность температуры.
По сравнению с металлическими тензорезисторами более высокой
чувствительностью обладают полупроводниковые терморезисторы (термитсоры). Они
имеют отрицательный температурный коэффициент сопротивления, значение которого
при 20
составляет
,
т. е. на порядок больше, чем у меди и платины. Полупроводниковые терморезисторы
при весьма малых размерах имеют высокие значения сопротивления (до 1МОм).
Кроме нелинейности функции преобразования, недостатком
термисторов является плохая воспроизводимость характеристик, т.е. значительное
отличие характеристик одного экземпляра от другого.
5.3
Повышение показателей надежности (безопасности и безотказности) МПЦ путем
резервирования. Анализ эффективности систем резервирования
Современные системы, с использованием идентификации подвижного состава,
построены на основе точечных путевых датчиков (ТПД), которые в развитых странах
во многом определяют общую эффективность автоматических систем управления
движением поездов. Актуальность новых разработок и широкого внедрения
современных точечных путевых датчиков в странах СНГ в настоящее время также
вызвано созданием международных транспортных коридоров, в которых применяются
системы идентификации подвижного состава. Такие наиболее известные датчики
обнаружения транспортных средств, как рельсовые цепи, фотоэлектрические
устройства, шлейфы не решают задачи высокой точности позиционирования оси
колесной пары, надежного счета осей, что необходимо для современных систем
управления движением поездов. Чтобы повысить степень надежности устройств
железнодорожной автоматики и телемеханики необходимо дублировать одни датчики
информации о состоянии путевых участков другими, т.е. возникает потребность в
резервировании аппаратуры.
Резервирование может иметь разную структуру и принцип
функционирования. Каждая резервируемая структура имеет свои собственные
показатели безопасности, безотказности, надежности и потому применения той или
другой конфигурации, определяется необходимыми уровнями этих показателей для
данной системы.
При построении безопасных структур в настоящее время больше
всего применяют двухканальные и трехканальные (мажоритарные) структуры.
Проведем анализ этих структур. Двухканальная (дублируемая) система, которую
называют “два из двух ”. Состояния системы в зависимости от состояний каналов
приведены в табл. VI.
Таблица VI. Состояния системы в
зависимости от состояний каналов
|
Состояние
|
Состояние системы
“два из двух ”
|
|
ТПД 1
|
ТПД 2
|
|
|
Работоспособное
|
Работоспособное
|
Работоспособное
|
|
Работоспособное
|
Неработоспособное
|
Защитное
|
|
Неработоспособное
|
Работоспособное
|
Защитное
|
|
Неработоспособное
|
Неработоспособное
|
Опасное
|
Один канал називається система “один
из одного”. Система работоспособна только в том
случае, когда работоспособные оба канала. Если известная интенсивность отказов
одного канала, то показатели безотказности одного канала рассчитываются по
формулам:

; (5.10)

; (5.11)

. (5.12)
Система “два из двух ” работоспособная только в том случае, когда
работоспособные оба канала, тогда

;
(5.13)

;
(5.14)

;
(5.15)

.
(5.16)
Система переходит в опасное состояние, когда не работоспособные оба
канала. Поэтому

;
(5.17)

;
(5.18)

;
(5.19)

.
(5.20)
На (рис.5.8) показанный график отношения вероятности безопасности
двухканальной системы к одноканальной в зависимости от интенсивности отказов.
Для данного момента времени t вероятность безопасной работы системы
“два из двух” увеличивается в сравнении с вероятностью безопасной работы одного
канала у
(
раз, так как

=
);
(5.20)
Рис.5.8 График соотношения безопасности двухканальной и одноканальной
систем (отношение вероятностей безотказности)
Отсюда можно сделать вывод, что вероятность безопасной работы
двухканальной системы “два из двух” не может быть больше, чем вероятность
безопасной работы одного канала в 2 раза. Например, при t=10t это увеличение
составляет 1.999955. Чтобы получить большее повышение безопасности, необходимо
повышать число каналов(кратность резервирования) в многоканальной системе. Если
сравнить двухканальную и одноканальную системы за показателем безотказности
(рис.5.9.),
Рис.5.9 График соотношения безотказности двухканальной и одноканальной
систем (отношение вероятностей безотказности)
то видим, что один канал имеет преимущество над двумя в этом
аспекте. В результате чего имеет место уравнение :

(5.21)
Поэтому по отношению к одному каналу в двухканальной системе “два из
двух” для дорогого момента времени ti приращивания
вероятности безопасной работы равняется уменьшение вероятностей безотказной
работы. В системе “два из двух” есть существенный недостаток: безопасность
обеспечивается за счет уменьшения безотказности.
Наиболее чаще при построении систем используют трехканальные
мажоритарные структуры( “два из трех”). В табл.VII
приведеннахарактеристика состояний мажоритарной системы в зависимости от
состояния каналов.
ТаблицаVII. Приведенная
характеристика состояний мажоритарной системы в зависимости от состояния
каналов.
|
Состояние
|
Состояние системы
“два из трех”
|
|
3№
|
ТПД 1
|
ТПД 2
|
ТПД 3
|
|
|
1
|
Работоспособное
|
Работоспособное
|
Работоспособное
|
Работоспособное
|
|
2
|
Работоспособное
|
Работоспособное
|
Неработоспособное
|
Работоспособное
|
|
3
|
Работоспособное
|
Неработоспособное
|
Работоспособное
|
Работоспособное
|
|
4
|
Работоспособное
|
Неработоспособное
|
Неработоспособное
|
Опасное
|
|
5
|
Неработоспособное
|
Работоспособное
|
Работоспособное
|
Работоспособное
|
|
6
|
Неработоспособное
|
Работоспособное
|
Неработоспособное
|
Опасное
|
|
7
|
Неработоспособное
|
Неработоспособное
|
Работоспособное
|
Опасное
|
|
8
|
Неработоспособное
|
Неработоспособное
|
Неработоспособное
|
Опасное
|
Состояние всей системы может быть работоспособным (Р) или
опасным (О). Из данной таблицы вытекает принцип работы мажоритарной системы
“два из трех”:система работоспособна, если будут работоспособными хотя бы два
канала из трех; при отказе двух каналов система переходит в опасное состояние;
защитных состояний не существует. Показатели безотказности системы “два из
трех”, согласно к табл., расчитываются по формулам:

;
(5.22)

;
(5.23)

;
(5.24)
Так как все отказы системы “два из трех” являются опасными, то имеют
место следующие уравнения:

(5.26)

(5.27)

.
(5.28)
Из графика соотношения безотказности систем “ два из трех ” и “ два из
двух” (рис.5.10) видно, что безотказность мажоритарной системы превышает
безотказность системы “ два из двух ” при всех значениях λ t.
Из графика соотношения безотказности систем “ два из трех ” и “ два из
двух” (рис.5.10) видно, что безотказность мажоритарной системы превышает
безотказность системы “ два из двух ” при всех значенияхи “ два из двух”
(рис.5.11) в области малых значений λ t(λ t>0.2)
это уменьшение не существенно. Например, при λ t=0.2 по отношению к системе “ два из двух ” безопасность мажоритарной
системы уменьшается на 5.5%,в то время безотказность увеличивается на 36.3%.
Рис.5.10 График соотношения безотказности мажоритарной и двухканальной
систем (отношение вероятностей безотказности)
Рис.5.11 График соотношения безопасности мажоритарной и двухканальной
систем (отношение вероятностей безопасности)
В сравнении с системой “ два из двух ” относительноеизменение
интенсивностиотказов системы “ два из трех ” равняетсяизменению
интенсивностиопасных отказов. В целом система “ два из двух ” в сравнении с
системой “ два из трех ” дает существенноеувеличение безотказности при
увеличенномуменьшении безопасности.
Чтобы улучшить показатели безопасности мажоритарной
структуры, храня при этом тот же уровень безотказности, применим систему “ два
из трех ” с реконфигурацией. В этой системе при отказе одного канала выходы
этого канала отключаются и структура “ два из трех ” трансформируется в
структуру “ два из двух”. На табл. VIII приведенная таблица состояний системы “ два из трех ” с
реконфигурацией.
ТаблицаVIII. Характеристика состояний
системы “ два из трех ” с реконфигурацией
|
Состояние
|
Состояние системы
“два из трех”
|
|
№
|
ТПД 1
|
ТПД 2
|
ТПД 3
|
|
|
1
|
Работоспособное
|
Работоспособное
|
Работоспособное
|
Работоспособное
|
|
2
|
Работоспособное
|
Работоспособное
|
Неработоспособное
|
Работоспособное
|
|
3
|
Работоспособное
|
Неработоспособное
|
Работоспособное
|
Работоспособное
|
Работоспособное
|
Неработоспособное
|
Неработоспособное
|
Защитное
|
|
5
|
Неработоспособное
|
Работоспособное
|
Работоспособное
|
Работоспособное
|
|
6
|
Неработоспособное
|
Работоспособное
|
Неработоспособное
|
Защитное
|
|
7
|
Неработоспособное
|
Неработоспособное
|
Работоспособное
|
Защитное
|
|
8
|
Неработоспособное
|
Неработоспособное
|
Неработоспособное
|
Опасное
|
У нее в отличие от системы “ два из трех ” состояния №3,5 но
6 является защитными.
Поэтому :

; (5.29)

; (5.30)

=
. (5.31)
Отношение вероятностей безопасности системы “ два из трех ” с
реконфигурацией к одноканальной системе выражается следующим выражением:

=
;
(5.32)
Таким образом, в области больших значений λ t вероятность безопасной работы системы “ два из трех ” из ре
конфигурацией в три раза превышает величину 
,так
как опасный отказ возникает при одновременном отказе всех трех каналов. В то же
время величина 
превышает величину 

в
1.5 раза, так как опасный отказ в системе “ два из двух ” возникают при
одновременном отказе двух каналов ( рис.5.12).
Выражение соотношения за которым строится данный график:

=
;
(5.33)
Рис.5.12График соотношения безопасности “ два из трех ” с реконфигурацией и двухканальной систем (отношение
вероятностей безопасности)
С точки зрения безотказности в области малых значений λt наилучшие показатели имеют
мажоритарная система “ два из трех ” но система с реконфигурацией. Особенно это
преимущество перед вторыми системами очень большое при высокой надежности
одного канала[1,8].
В областе большых значений λ
t безотказность структур “ два
из трех” и “два из трех ” с реконфигурацией становится меньше безотказности
одного канала. Например, в системы “ два из трех ” это проходить при λ
t>0.69. При λ
t→∞ эти системы
реконфигурируются в дублируемые системы и их интенсивность отказов приближается
к величине 2 λ. Проходить это потому, что в структуре
“ два из трех ” с реконфигурацией приоритет безопасности за счет безотказности.
Этими обстоятельствами объясняется тот факт, что одноканальная система имеет
наибольшее значение средней наработка на отказ

.
(5.34)
С точки зрения безопасности наилучшие показатели имеет система “ два из
трех ” с реконфигурацией в сравнении с системой “ два из трех ” (рис.5.13).
Рис.5.13
График соотношения безопасности систем“ два из трех ” и “ два из трех ” с реконфигурацией (отношение вероятностей безотказности)
В области малых значений эта система обеспечивает высокий уровень
безопасности. В структуре “ два из трех ” с реконфигурацией успешно совмещаются
высокие качества безотказности мажоритарных структур и высокие качества
безопасности коньюктивного совпадания. Система “ два из трех ” с
реконфигурацией имеет наибольшие значения средней наработки к опасному отказу
.
В табл. IX приведенные формулы для расчета показателей безотказности и
безопасности основных структур.
Таблица IX. Показателей безотказности и безопасности
основных структур.
|
Показатель
|
Система
|
|
“1 из 1”
|
“2 из 2”
|
“2 из 3”
|
“2 из 3Р”
|
|
|
|
|
|
|
|
|
|
|
|
|
|
|
|
|
|
|
|
|
|
|
|
|
|
|
|
|
|
|
|
|
|
|
|
|
Системы “ два из трех ” но “ два из трех ” с реконфигурацией
действительно имеют красивые показатели надежности, но если речь идет об этих
структурах как системах, которые отвечают за выдачу важной информации, то здесь
есть некоторые недостатки. Например, возьмем структуру “ два из трех ” с
реконфигурацией .Эта структура работоспособна, когда два канала
работоспособные, а третий - нет. Как поведет себя система в этом случае,
например, если работоспособный канал выдаст ошибочную информацию? Да, система
будет находиться в работоспособном, но какую информацию она выдаст на выходе,
какая команда будет принята и как она повлияет на последующий процесс
функционирования аппаратуры ЭЦ. Отсюда возникает проблема надежности работы
централизации из-за недостоверной информации. Много отказов на станции
возникают по поводу неверных и ошибочных данных. Решением этой проблемы
является применение структуры “три из трех”. Такая система работает по следующему
принципу: все три каналы работоспособны (и дают одинаковую информацию) -
состояние структуры работоспособно (на выходе системы достоверная информация);
если один или два канала неработоспособные система переходит в защитное
состояние (информация классифицируется как недостоверная); если все каналы
неработоспособны состояние системы классифицируется как опасный отказ. Таблица
состояний структуры “три из трех” приведенная в табл.X.
Таблица X. Характеристика состояний структуры “три из
трех”
|
Состояние
|
Состояние системы
“два из трех”
|
|
3№
|
ТПД 1
|
ТПД 2
|
ТПД 3
|
|
|
1
|
Работоспособное
|
Работоспособное
|
Работоспособное
|
Работоспособное
|
|
2
|
Работоспособное
|
Работоспособное
|
Неработоспособное
|
Защитное
|
|
3
|
Работоспособное
|
Неработоспособное
|
Работоспособное
|
Защитное
|
|
4
|
Работоспособное
|
Неработоспособное
|
Неработоспособное
|
Защитное
|
|
5
|
Неработоспособное
|
Работоспособное
|
Работоспособное
|
Защитное
|
|
6
|
Неработоспособное
|
Работоспособное
|
Неработоспособное
|
Защитное
|
|
7
|
Неработоспособное
|
Неработоспособное
|
Работоспособное
|
Защитное
|
|
8
|
Неработоспособное
|
Неработоспособное
|
Неработоспособное
|
Опасное
|
В сравнении со структурами “ два из трех ” но “ два из трех ”
с реконфигурацией система “три из трех” имеет меньший показатель по
безотказности (рис.5.14) и одинаковый по безопасности, это предопределено тем,
что система в большинстве случаев переходит в защитное состояние.
Рис.5.14 График соотношения безотказности систем “ два из трех ” с реконфигурацией
система и “три из трех” (отношение
вероятностей безотказности)
Такой принцип работы объясняется назначением данной
структуры, как информационной. Поэтому важность принятия правильного решения
(или получение достоверной информации) есть более
приоритетным, а отсюда и меньшие показатели по безотказности.
Преимущество здесь заключается в четком разграничении состояния системы с
исключением всех ситуаций, которые могли бы повлиять на последующую работу всей
структуры. Показатели безотказности и безопасности рассчитываются за формулами:

; (5.35)

;
(5.36)
На рис.5.15 приведенная графика зависимостей вероятностей безотказности
от интенсивности отказов всех систем.
Рис.5.15
График зависимости вероятности безотказности от интенсивности отказов
Где
кривая №1 - зависимость вероятности безотказности от интенсивности отказов
систем “ два из трех ” и “ два из
трех ” с реконфигурацией; кривая № 2 - система “ два из двух ”, кривая №3 - “
три из трех ” и кривая №4 - “ один из одного”.
Из рис.5.15 видно, что при малых значениях интенсивности отказов
показатели безотказности приблизительно одинаковые, и только с увеличением t
каждая структура ведет себя по-разному. И это необходимо учитывать при
проведении периодических профилактических проверок.
На рис.5.16 приведен график зависимости вероятности безопасности от
интенсивности отказов всех систем.
Рис.5.16
График зависимости вероятности безопасности от интенсивности отказов
Где
кривая №1 - зависимость вероятности безопасности от интенсивности отказов
системы “ один из одного ”;
кривая № 2 - система “ два из двух ” , кривая №3 - “ два из трех ” и кривая №4 -
“ два из трех ” с реконфигурациейи “ три из трех ” . Проанализировав график,
изображенный на рис.3.22, можно сделать 100% вывод, что наиболее безопасной
системой является “ два из трех ” с реконфигурацией. Но применение той или
другой структуры зависит от условий эксплуатации, нормативных требований
безопасности, назначения системы, за функционированием, экономичности
применения но др.. На рис.5.13 и рис.5.14 приведены структуры системы
резервирования: “ три из трех ” и “ два из трех ”.
Рис. 5.17 Структура системы резервирования “ три из трех ”
Рис. 5.18 Структура системы резервирования “ два из трех ”
Итак, кроме вероятностных оценок показателей безопасности также
необходимо отметить, что наибольшая актуальность в разработке новых первичных
преобразователей ТПД и обработке измеряемой ими информации связана с
проектированием современных сложных автоматических систем железнодорожной
автоматики и телемеханики. Таким образом, развитие теоретических основ
эффективного функционирования ТПД, их совершенствования, является актуальной
научной задачей, а также имеет большое значение для всего железнодорожного
транспорта Украины.
5.4 Обеспечение надежного электропитания МПЦ
Следущая проблема функционирования МПЦ связана с
электропитанием ее аппаратуры. Устройства ЭЦ должны иметь два независимых
источника питания, которые резервируют один другого. Независимым источником
питания есть такой источник, на каком сохраняется напряжение при отключении его
на других (другом) источниках. Подведение напряжения питани як посту ЭЦ должно
бать выполнено самостоятельными линиями питания - фидерами. Каждый из фидеров
выполнен в виде четырехжильного кабеля (три жили и фаза), сечение которого
расчитывается на максимальный ток нагрузки.
Кроме того, в качестве резервного питания устройств ЭЦ могут быть
использованы электростанции с автоматизированным дизель-генератором (ДГА),
являющимся для потребителей третьим независимым источником питания. Системой
питания должен обеспечиваться автоматический запуск ДГА при соблюдении условия,
что эти электростанции обслуживают только устройства СЦБ и связи. При наличии
свободной мощности ДГА может быть использован для питания негарантированного
освещения и общей вентиляции здания поста. Запас топлива для ДГА должен
обеспечивать работу дизель-генератора в течение 2 суток.
Дополнительно для питания устройств СЦБ и связи должен предусматриваться
аккумуляторный резерв. Таким образом, компьютерные ЭЦ являются потребителями
электроэнергии 1 категории и должны получать питание от двух независимых
источников энергии по двум фидерам, а на крупных станциях дополняться ДГА с
автоматическим переключением с одного фидера на другой в случае пропадания
напряжения.
Наличие вычислительных средств в составе систем ЭЦ предъявляет
дополнительные требования к электропитанию. К сожалению, параметры электросетей
не всегда соответствуют норме, поэтому актуален вопрос о гарантированном
питании системы в случае возникновения неполадок электросети. К повреждениям относятся любые отклонения параметров
питающею напряжения от установленных стандартом значений. Основными неполадками
сетевого питания являются: аварии сети (полное пропадание напряжения);
долговременные и кратковременные подсадки и всплески напряжения; высоковольтные
импульсные помехи; высокочастотный шум; выбег частоты.
Электронное оборудование компьютерных систем ЭЦ в процессе эксплуатации
оказывается под воздействием различных электромагнитных помех, большая часть
которых распространяется по цепям электропитания. Применение двух независимых
фидеров питания позволяет только значительно снизить вероятность полного
пропадания сетевого напряжения, но остается зависимость системы от качества
этого напряжения.
Эти факторы могут вызвать не только сбои в работе компьютера или другого
электронного оборудования и потерю данных, но и необратимые процессы разрушения
программного продукта, а также выход из строя аппаратуры. Статистика
повреждений
микропроцессорных устройств приведена на рис. 5.19.
Рис.5.19 Диаграмма повреждений микропроцессорных устройств в зависимости от факторов
воздействия.
Судя по данным из диаграммы 75% всех повреждений
микропроцессорных устройств возникает по причине перенапряжений.
Статистика также свидетельствует, что по причинам, связанным со сбоями в
электросети, в 75 % случаев происходит потеря информации и в 65 % выходит из
строя электронное оборудование. Искаженное, нестабильное электропитание системы
отрицательно воздействует на файл-серверы, рабочие станции и сетевую аппаратуру
(концентраторы, маршрутизаторы, коммутаторы, мосты и пр.). Так, со снижением
напряжения возрастает потребляемый ток, в результате растет температура внутри
корпуса системного блока, монитора, модемов и других периферийных устройств.
Повышенная температура значительно сокращает срок службы многих элементов,
особенно электролитических конденсаторов, приводит к выходу из строя
полупроводниковых элементов. Например, перенапряжений с амплитудойот десятков вольт до
нескольких киловольт, которые возникают вследствие процессов коммутацииили при
воздействии электростатических разрядов, являються “ смертельными ” для
внутренних микроэлементов микросхем и процессоров. По данным обычные
транзисторы (дискретные элементы) могут выдерживать напряжение
электростатического разряда в 70 раз больше, нежели, например, микрочип памяти
(EPROM) микропроцессорной системы. Самое
плохое то, что случайные сбои в работе микропроцессора, которые возникли в
результате воздействия электромагнитных шумов, могут бать временными, такими
как самопроизвольное изменение содержание оперативной памяти (RAM) и регистров, а внутренние
повреждения могут носить внутренний характер. Оба эти вида повреждения не
определяются никакими тестами и могут проявляться в самые неподходящие моменты.
Поэтому в связи с низкой устойчивостью даного оборудования к переходным
процессам и перенапряжениям необходимо предьявлять жесткие требования к защите
от электромагнитных помех.
Существует два подхода использования УБП в компьютерных ЭЦ.
Первый подход, используемый, например, в системе РПЦ «Диалог»,
предполагает питание от УБП только вычислительных средств, а все остальные
устройства ЭЦ (реле, стрелки, сигналы) соединены с традиционными панелями
питания. В этом случае для каждого (основного и резервного) комплектов АРМ ДСП,
для АРМ ШН устанавливаются индивидуальные маломощные (до 1000 ВА) УБП с
продолжительностью питания 10-15 мин при пропадании гарантированного
напряжения. Непрерывность функционирования компьютерного оборудования сопряжения
с ЭЦ обеспечивается подачей постоянного тока напряжением 24 В с аккумуляторным
резервом от контрольной батареи поста ЭЦ.
Главный недостаток традиционных панелей в составе безбатерейной системы
питания - при пропадании внешних фидеров от аккумуляторного резерва
обеспечивается питание только реле. Нормальное действие других устройств
прекращается: отсутствует контроль положения стрелок, не переводятся стрелки с
двигателями переменного тока и нарушается светофорная сигнализация на станции,
за исключением заградительной на входных светофорах. Считается, что прекращение
работы ЭЦ по причине отсутствия электроэнергии не влечет за собой угрозы
нарушения условий безопасности перевозочного процесса. Однако косвенная угроза
остается, поскольку персонал вынужден регулировать движение без технических
средств, что, кроме того, приводит к потерям в движении из-за перехода станции
на курбельное управление.
Условием бесперебойной работы ЭЦ является постоянное электропитание.
Поэтому второй подход предполагает использование в составе системы питания
мощных УБП, полностью обеспечивающих электроснабжение всех устройств ЭЦ не
менее чем в течение 1 ч. Такая продолжительность обусловлена усредненным
нормативом времени прибытия обслуживающего персонала для устранения отказа.
Устройства безперебойного питания должны решать две основные задачи : обеспечение приемлемого качества
электроэнергии на выходе, ликвидируя потенциальные возмущения входного
напряжения,и выполнение роли резервного источника энергии в случае полного
пропадания (или отклонения за пределы установленных норм) входного напряжения.
В состав любого УБП входят следующие элементы: входной фильтр (ВФ),
включающий в себя радиочастотный фильтр и подавитель импульсов; аккумуляторная
батарея (АКБ) с зарядным устройством (ЗУ); инвертор-преобразователь постоянного
тока в переменный; в некоторых типах УБП - преобразователь постоянного тока в
постоянный ток другого номинала (конвертор); в некоторых типах УБП-различные
трансформаторные развязки между выходом и входом;
Способность УБП обеспечить заданные качество и бесперебойность питания
нагрузки определяется главным образом его внутренней архитектурой или классом.
В соответствии с международным стандартом IEC60146-4 различают три класса источников: off-line (standby),
line-interactive, on-line.
В УБП класса off-lineэлектроэнергия внешнего источника
снабжения через подавитель импульсов и радиочастотный фильтр передается на
нагрузку (рис. 3.11).
Рис.5.20
Функциональная схемаoff-line устройства бесперебойного питания
В случае недопустимых возмущений или полного пропадания входного
напряжения специальные ключи переводят подключаемую к УБП нагрузку на АКБ и
инвертор. Общим недостатком таких УБП является время переключения на резервный
источник, при котором на выходе устройства возникает разрыв синусоиды
напряжения на время 1-15 мс.
Ввиду большой суммарной входной емкости блоков питания ПЭВМ, достаточной
для поддержания номинального напряжения на силовых элементах схемы в течение
такого промежутка времени (менее четверти периода синусоиды), в цепях
вторичного электропитания компьютеров перерыва в электроснабжении не
произойдет. Однако для некоторых потребителей такой перерыв недопустим. К ним
относятся, например, потребители с линейными (трансформаторными) блоками
питания, маломощное (с точки зрения потребляемого тока) сетевое оборудование
(репитеры, концентраторы, коммутаторы и др.).
Недостатком УБП off-line также является его
неудовлетворительная работа при низком качестве входного напряжения, когда
имеют место частые переключения на батарею и обратно. При этом трудно
восстанавливается емкость аккумулятора.
Главными преимуществами таких УБП являются высокий КПД и простота
схемотехнических решений.
Схема УБП on-line построена по принципу двойного
преобразования энергии (рис.5.21).
Рис.5.21Функциональная
схема on-line устройства бесперебойного питания
Входное
напряжение через фильтрующие элементы поступает на выпрямитель, затем на
инвертор и далее на нагрузку. На входе и выходе этой цепи могут стоять
трансформаторные развязки. АКБ подключена к инвертору, и в случае пропадания
напряжения входной сети нагрузка безобрывно переходит на питание от АБ. В
случае нарушения работы какого-либо из элементов входное напряжение напрямую
коммутируется на нагрузку (режим обхода-by-passmode).
Такая технология имеет свои недостатки: снижение ресурса АБ, относительно
низкий КПД, ограниченные динамические и перегрузочные возможности.
Однако бесспорными преимуществами УБП on-line являются:
отсутствие разрыва кривой выходного напряжения при переходе на резервный
источник; синусоидальность форм выходного напряжения в любом режиме работы;
лучшие, по сравнению с другими УБП, стабилизационные и помехоподавляющие
характеристики. Поэтому они находят применение для электропитания файловых
серверов, телекоммуникационных систем, в АСУ управления ответственными
технологическими комплексами, к которым относятся системы ЭЦ, и др.
УБП класса line-interactive представляют собой разнообразные
гибриды on-line и off-line-систем. Их объединяет тот факт, что,
являясь по своей природе системами типа off-line
(прерываемыми), они снабжают нагрузку в той или иной степени стабилизированным
напряжением при питании от сети.
Все перечисленные особенности должны быть обязательно учтены при
проектировании и внедрении новых микропроцессорных централизаций.
ВЫВОДЫ
В работе решена важная научно-практическая задача повышения безопасности
европейских и отечественных микропроцессорных систем управления движением
поездов при их совместном использовании, а также оценки безопасности систем в
соответствие с техническими спецификациями интероперабельности.
Системы управления движением поездов на украинских железных дорогах, в
большей части, морально и физически устарели, степень изношенности основных
технических средств на дорогах составляет более 80%. Такое состояние вызывает
необходимость замены устаревших систем на новые микроэлектронные и компьютерные
системы управления с использованием современных информационно-управляющиъ
технологий.
Интеграция украинских железных дорог в общеевропейскую транспортную
систему выдвигает требования гармонизации организационных мероприятий и
технических решений для беспрепятственного быстрого и безопасного перемещения
грузов и пассажиров к пункту назначения на межгосударственном пространстве.
Реорганизация украинских железных дорог должна проходить с учетом
обязательных директив и технических спецификаций интероперабельности в области
железнодорожного транспорта, принятых в Евросоюзе.
Системы управления движением поездов должны строиться в соответствии с
разработанной в Европе системой ERTMS/ETCS на перегоне и микропроцессорных
систем управления движением на станциях.
Системы ERTMS и МПЦ на первых стадиях внедрения
планируются для использования с национальными напольными устройства СЦБ:
рельсовыми цепями, стрелочными переводами, светофорами.
Применение
микроэлектронных и компьютерных систем управления движением поездов увеличивает актуальность проблемы обеспечения их функциональной безопасности, что особенно важно на первой стадии
внедрения, поскольку при поэтапном вводе в эксплуатацию новых систем, они будут
функционировать параллельно со старыми устройствами СЦБ.
Внедряемые в Украине в последние годы устройства МПЦ разработаны без
учета их увязки с европейскими системами.
Функциональная
безопасность систем управления движением поездов в соответствии с европейскими нормативными документами
(Директивами, ТСИ) и национальными нормативными документами должна обеспечиваться на всем
жизненном цикле системы от разработки коннцепции и проектирования до вывода из
эксплуатации и утилизации.
Разработаны схемные решения увязки европейской системы управления
движением поездов ERTMS и МПЦ
Проведен анализ безопасности совместного использования Европейской
системы управления движения поездов ERTMS с микропроцессорной централизацией
Ebilock-950.
Оценены показатели надежности (безопасности и безотказности)
резервируемых безопасных структур на основе тех же путевых датчиках.
СПИСОК ИСПОЛЬЗОВАННОЙ ЛИТЕРАТУРЫ
1)
Existing Command - Control systems in Europe. Workshop on ETCS mode
"Limited Supervision" 30.6.04. UIC, Paris, 2008.-7 P.
2)
DBAG: Information about critical requirements for locomotives in European
approval-procedures. 2009.-17 S.
)Берндт Т., Власенко С. В.
Унификация железнодорожного комплекса в Европе // Железные дороги мира, 2007, № 3, с. 16-20.
4) Б е р г е р Р. Координация
внедрения системы ETCS на
европейской сети // Железные дороги мира.- 2005, № 10, с. 57-61.
5)Гавзов Д.В. Методы определения норм
надежности микропроцессорных систем автоматики и телемеханики:
Микропроцессорные системы на железнодорожном транспорте.Л.: ЛИИЖТ,1991.с.
15-19.
) Залізничний транспорт
України, № 1, 2009, с. 50-56. РОЗРОБНИКИ : О.Мусієнко, М. Кутняк, С.
Ребриков, В. Крот.
Аналіз
стану безпеки руху на залізницях України у 2010 році , с. 88-95
) Мойсеєнко
В.І. Мікропроцесорні системи залізничної автоматики. Частина 1.Централізація
стрілок і сигналів. - Харків: ХФВ “Транспорт України” ,
1999. - 148 с.
) Крамаренко Е.Р.К 777 . Системы сбора информации на
железнодорожном транспорте. Курс лекций / Е. Р. Крамаренко - Хабаровск: Изд-во
ДВГУПС, 2010. - 145 с. ( с. 28 - 40).
) Лекута Г.Ф. Микропроцессорная
централизация на железных дорогах России // Железные дороги мира, 2009, № 5.
10) Пилотный проект европейской
системы управления движением поездов в Германии // Железные дороги мира, 2009, № 5.
)Правила
технічної експлуатації залізниць України. - К: Транспорт
України, 1995.
)Сапожников
Вл.В., Елкин Б.Н., Кокурин И.М. Станционные системы автоматики и телемеханики:
Учеб. для вузов ж.- д. трансп. - М.:Транспорт, 2010. - 432 с.
)Сапожников
Вл.В. и др. Микропроцессорные системы централизации: Учебник для техникумов и
колледжей железнодорожного транспорта. - М.:ГОУ “Учебно-методический центр по
образованию на железнодорожном транспорте”, 2008. - 398 с.
)Сапожников
В.В., Сапожников Вл.В., Талалаев В.И. и др.Сертификация и доказательство
безопасности систем железнодорожной автоматики.-М.: Транспорт, 2007. - 288 с.
)Сапожников
В.В., Сапожников Вл.В. , Шаманов В.И.Надежность систем железнодорожной
автоматики ,телемеханики и связи :Учебное пособие для вузов ж.д. трансп. - М.:
Маршрут,2009. - 263 с.
)Сапожников
В.В. , Кравцов Ю.А., Сапожников Вл.В. Дискретные устройства железнодорожной
автоматики и связи. - М. : Транспорт, 1988. - 255 с.
)Сапожников
В.В. , Кравцов Ю.А., Сапожников Вл.В. Дискретные устройства железнодорожной
автоматики и связи. - М. : Транспорт, 1988. - 255 с.
)Сапожников
В.В., Сапожников Вл.В., Талалаев В.И., Гавзов Д.В., Наседкин О.А. Сертификация на железнодорожном
транспорте.-М.: Транспорт, 2007. - 288 с.
)Сапожников
В.В., Сапожников Вл.В. О понятии опасного отказа в микропроцессорных системах.
Автоматика, телемеханика и связь.-1989.-N7. -С.22-25.
)Сапожников
Вл.В. Методы построения безопасных микроэлектронных систем железнодорожной
автоматики. -М.: Транспорт, 2005. - 270 с.