Переходные процессы в системе поддержания водно-солевого состояния у человека при адаптации к высокогорной гипоксии

  • Вид работы:
    Статья
  • Предмет:
    Медицина, физкультура, здравоохранение
  • Язык:
    Русский
    ,
    Формат файла:
    MS Word
    180,81 Кб
  • Опубликовано:
    2013-08-02
Вы можете узнать стоимость помощи в написании студенческой работы.
Помощь в написании работы, которую точно примут!

Переходные процессы в системе поддержания водно-солевого состояния у человека при адаптации к высокогорной гипоксии














ПЕРЕХОДНЫЕ ПРОЦЕССЫ В СИСТЕМЕ ПОДДЕРЖАНИЯ ВОДНО- СОЛЕВОГО СОСТОЯНИЯ У ЧЕЛОВЕКА ПРИ АДАПТАЦИИ К ВЫСОКОГОРНОЙ ГИПОКСИИИ

Федорова О.И., Подкорытова Е.В.

Надежная информация о первичных реакциях организма и динамике адаптационного процесса в натурных условиях среды помогает прогнозировать и корректировать функциональное состояние не акклиматизированных лиц при вахтовом методе труда, поездках на курортное лечение, туристических путешествиях, во время научных экспедиций. В большинстве исследований состояния вводно-солевого статуса у людей, перемещенных в высокогорные регионы, регистрация параметров водно-солевого статуса проводилась эпизодически, нерегулярно, в случайно взятые периоды пребывания человека в новых условиях среды (Меерсон, 1986; Новожилов, Г.Н., Ломов О.П., 1987; Тигранян,1990); практически отсутствуют данные о восстановлении функционального состояния при возвращении в привычные условия

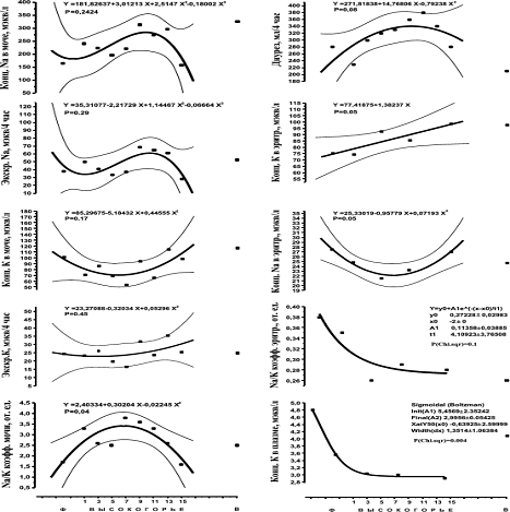
В настоящей работе представлены результаты хронобиологического исследования актуальных показателей водно-солевого состояния (анализ мочи, взятой 6 раз в течение суток) у восьми здоровых лиц в следующем формате: 1) в низкогорье при среднесуточной температуре среды 17,5 до 22,6°С, г. Барнаул) (1 суточный цикл); 2) на высоте 3200 м над ур. м. (перевал Туя-Ашу) при среднесуточной температуре среды 10,1 до 15,6°С, в течение 20 дней (8 суточных циклов для показателей мочи и 4 - для показателей крови); на 7-е сутки реадаптации (1суточный цикл), г. Барнаул. Определяли концентрацию натрия (Naм) и калия (Км), диурез (Д), экскрецию натрия и калия (Naэкс и Кэкс), концентрация натрия и калия в эритроцитах (Na, и Кэ) и калия в плазме (Кп). Рассчитывали Na/К коэффициенты в моче и эритроцитах.

Тип переходных процессов оценивался путем аппроксимации рядов среднесуточных значений показателей математическими функциями; исключались выборы с низкими уровнями значимости и не удовлетворяющие биологической реальности; за стартовую точку принимался уровень фона (Ф). Среднединамическое значение всех вариант (2304 по каждому показателю) расценивалось как уровень реакции, а степень его изменения в процентах по отношению к фоновому уровню - как реактивность. Среднесуточный уровень в период реадаптации обозначался как уровень восстановления (В), а его отношение к фоновому уровню - как степень восстановления.

В условиях высокогорья у испытуемых достоверно увеличился диурез, концентрация натрия в моче и снизилась концентрация калия (таб.1). Эти изменения могут быть вызваны гипосекрецией альдостерона, о чем косвенно свидетельствует выраженное увеличение Na/К коэффициента мочи, и АДГ (Красновская, 1974; Тигранян, 1985; Янгалычева с соавт.,1992). Повышение концентрации натрия в моче происходило непропорционально снижению концентрации калия, что в обмен на натрий почками реабсорбируются также и ионы водорода, что весьма типично для состояния респираторного алкалоза, который был зарегистрирован у испытуемых.

В эритроцитах снизилось содержание натрия и Na/Кэ коэффициент, повысилась концентрация калия, что совпадает с результатами авторов, наблюдавших это явление при стрессе (Галиулина, Симхович, 1994) и при действии гипоксии в сочетании с введением норадреналина (Hirche et.al.,1990). Одни исследователи связывают это явление с активацией симпато-адреналовой системы, другие - с гипоальдостеронизмом (Меерсон с соавт., 1986).

Изменение уровня концентрации натрия и его экскреции имеют согласованную динамику (коэффициент корреляции ρ = 0.9, Р = 0.004), адекватно описываются степенной функций 3-й степени, имеющей вид двухфазной кривой (рис. 1). Динамика концентрации и экскреции калия описывается квадратичной функцией и имеет направленность, противоположную изменению Naм.

Регрессионный анализ позволил установить квадратичную зависимость концентрации калия от концентрации натрия (Р = 0,11). Это означает, что в диапазоне содержания натрия в моче от 140 до 230 мэкв/л увеличение его концентрации сопровождается снижением концентрации калия в моче, а в диапазоне содержания натрия от 230 до 320 мэкв/л степень натрийурии приводит примерно к пропорциональному росту калийуретического эффекта.

Таблица 1. Состояние водно-солевого обмена у людей в низкогорье, высокогорье и в период восстановления

Показатель

Фон

Уровень реакции

Реактивность (%)

Р

Восстано-вление

Степень восстано-вления (%)

Р

Км, мэкв/л

100.8±6.7

81.3 ±7.1

-19.3

0.05

106.6 ±15.5

+5.8

-

Naм, мэкв/л

164.6±16.7

239.6 ±18.4

+45.6

0.01

303.0 ±26.7

+84.1

0.01

Na/Км, от. ед.

1.7 ±0.1

2.9 ±0.2

+70.6

0.01

2.5 ±0.4

+47.1

0.05

Кэкс, мэкв/4 час

24.3 ±3.1

25.4 ±2.1

+4.3

-

24.8 ±4.2

+2.1

-

Naэкс мэкв/4 час

38.2 ±1.8

48.5 ±5.2

+21.2

0.01

52.7 ±1.8

+38.0

0.01

Д, мл/4 час

280.0 ±20.0

331.3 ±10.0

+15.4

0.05

210.0 ±20.0

-25.0

0.01

Кп, мэкв/л

4.8 ±0.5

3.1 ±0.14

-35.4

4.1 ±0.6

-15.4

-

Naэ, мэкв/л

27.5 ±2.2

24.1 ±1.2

-12.4

0.05

24.7 ±2.4

-10.2

-

Кэ, мэкв/л

71.2 ±5.8

87.6 ±4.4

+16.4

0.05

97.7 ±7.0

+29.9

0.01

Na/Кэ, от. ед.

0.38 ±0.02

0.29 ±0.02

-23.7

0.01

0.26 ±0.04

-31.6

0.01


Изменения Na/К коэффициента мочи и диуреза имеют согласованную динамику, которая также описывается квадратичной степенной функцией, но имеющей вид параболы c вогнутостью к верху. Корреляционный анализ эмпирических данных показывает, что изменение содержания натрия в моче положительно коррелирует с динамикой Na/К коэффициента (ρ = 0.87, Р= 0,06), и диуреза (ρ = 0.91, Р=0.04), что подтверждает версию о совместном действии альдостерона и АДГ. К концу 2-х-недельного периода пребывания в высокогорье показатели концентрации электролитов в моче, их экскреции и диуреза возвращаются или приближаются к исходному уровню, что согласуется с данными Р.А. Тиграняна (1980).

Рис. 1. Переходные процессы в системе регуляции водно-солевого состояния в высокогорье

концентрация калий эритроцит плазма

Динамика концентрации натрия в эритроцитах описывается параболой с возвратом показателей к исходному уровню, а концентрации калия в эритроцитах линейной функцией Р=0,05), и демонстрирует выраженную тенденцию к дальнейшему росту, продолжению накопления калия в эритроцитах. Показатели Na/К коэффициента эритроцитов и концентрации калия в плазме снижаются с выходом на плато.

Таким образом, зафиксированы следующие типы переходных процессов: 1) однофазный характер с возвращением или приближением физиологических параметров к исходному уровню; 2) изменение с последующей стабилизацией и выходом на плато; 3) линейный характер с прогрессирующим изменением параметра. Из биокибернетики известно, что при наличии в регуляторах звеньев с нелинейными передаточными функциями, которые преобладают в биосистемах, после ступенчатого воздействия приведение регулируемого параметра к прежнему или новому значению достигается его волнообразным изменением. Признаком оптимальной регуляции является затухающий характер колебаний, признаком дисрегуляции - возрастание во времени амплитуды колебаний (Новосельцев, 1991). Мы не наблюдаем ни затухающих, ни возрастающих по амплитуде колебаний, поэтому возврат показателей электролитного состава мочи и диуреза к исходному уровню к концу 20-и-дневного периода не является свидетельством завершения адаптивных перестроек, а может быть лишь эпизодом в более длительном процессе регуляции, выходящем за пределы периода исследования.

Тип переходных процессов с выходом на плато, как это характерно для показателей крови, может свидетельствовать о подлинно адаптивной реакции, когда происходит сдвиг установочной точки в системе управления параметрами внутренней среды, выходе системы на новый уровень регулирования (гомеокинез). Тип переходного процесса в виде линейного прогрессивного изменения (Кэ), на наш взгляд представляет собой лишь начальный фрагмент выхода функции на стационарный уровень.

Процесс реадаптации по мнению авторов представляет собой повторный стресс, так как перемещение хотя и в привычную, но теперь уже качественно новую среду по сравнению с предшествующей (Казначеев, 1980). На 7-е сутки реадаптации ряд параметров системы после возмущения имеют тенденцию возврата к исходным величинам, приближаясь к фоновым значениям; при этом, некоторое отклонение уровня восстановления в меньшую или большую сторону от фона не существенно, так как возврат, скорее всего, осуществляется волнообразно. Уровень восстановления Naконц, Naэкск, Na/Км, Кэ и Na/Кэ значительно отличается от исходного. Возможно, гормональные механизмы регуляции водно-солевого обмена обладают некоторой инерцией, а возврат к фоновому уровню происходит путем весьма мощных колебаний.

ЛИТЕРАТУРА

1.   Галиулина М.В., Симхович Е.И. Влияние раздражения гипоталамуса на активную концентрацию электролитов калия и натрия в крови Тез. докл. 3(16)-го съезда Физиологического Общества при РАН Успехи физиол. наук. 1994. - Т. 25. - № 1. - С. 97.

2.      Казначеев В.П. Современные аспекты адаптации. - Новосибирск: Наука, 1980. - 191 с.

.        Красновская И.А. Изменения гипоталамо-гипофизарной нейросекреторной системы крыс в условиях длительной гипоксии // Пробл. эндокринол.- 1974. - Т. 20. - № 2. - С. 53 - 57.

.        Меерсон Ф.З. Основные закономерности индивидуальной адаптации // Физиология адаптационных процессов. - М.: Наука, 1986. - С. 10 - 76.

.        Новосельцев В.Н. Системные аспекты гомеостаза Гомеостаз на различных уровнях организации биосистем. - Новосибирск: Наука, 1991. - С. 3 - 17.

.        Новожилов Г.Н., Ломов О.П. Гигиеническая оценка микроклимата. - Л.: Медицина, 1987. - 109 с.

.        Тигранян Р.А. Гормонально-метаболический статус организма при экстремальных воздействиях. - М.: Наука, 1990. - 285 с.

.        Янгалычева Э. А., Закиров Дж. З., Асанов Д.С. и др. Морфофункциональное состояние супраоптико-нейрогипофизарной системы саморегуляции в высокогорье // Тез. докл. 2-го Респ. съезда физиологов Туркменистана. - Ашхабад: Ылым, 1992. - С. 155.

9.      Hirche H., Knopf H, Homburg H., Walser R. Does noradrenaline influense the extracellular accumulation of potassium, sodium, calcium and hydrogen ions during global ichemiain isolated rat heart? - Basic Res. Cordiol. - 1990 - V.85. - Р. 283-293.

Похожие работы на - Переходные процессы в системе поддержания водно-солевого состояния у человека при адаптации к высокогорной гипоксии

 

Не нашли материал для своей работы?
Поможем написать уникальную работу
Без плагиата!
Без нейросетей!