Н-катионирование

  • Вид работы:
    Контрольная работа
  • Предмет:
    Химия
  • Язык:
    Русский
    ,
    Формат файла:
    MS Word
    236,3 Кб
  • Опубликовано:
    2013-11-20
Вы можете узнать стоимость помощи в написании студенческой работы.
Помощь в написании работы, которую точно примут!

Н-катионирование

Министерство образования и науки Российской Федерации

Федеральное государственное бюджетное образовательное учреждение

высшего профессионального образования

Ульяновский государственный технический университет

Кафедра «Теплоэнергетика»






Pасчётно гpафическая pабота

На тему: «Н-катионирование»


Выполнил:

Ахметшин Э.И.

Проверил:

Фёдоров Р.В.

Ульяновск 2013

Содержание

Введение

. Водород - катионитовое умягчение воды

. Схемы катионирования

. Технологические данные для расчета Н-катионитных фильтров

Заключение

Список литературы

Введение

Целью данной работы является подробное изучение процесса Н-катионировании.

В процессе водоподготовки применяется один из основных процессов для удаления из воды примесей - катионирование. Существуют H - катионирование и Na - катионирование. Na - катионирование имеет самостоятельное значение, как процесс и используется для умягчения воды при водоподготовке. H - катионирование, как процесс используется в обессоливании воды. Процесс использования катионита при Na - катионировании и H - катионировании на установках водоподготовки протекает в насыпных ионитных фильтрах раздельного и смешанного действия.

1. Водород - катионитовое умягчение воды

Обработка воды водород-катионированием (Н-катионированием) основана на фильтровании ее через слой катионита, содержащего в качестве обменных ионов катионы водорода. Процесс описывается следующими реакциями:


При Н-катионировании воды (табл. 20.6) значительно снижается ее рН из-за кислот, образующихся в фильтрате. Выделяющийся при Н-катионировании оксид углерода (IV) можно удалить дегазацией, и в растворе останутся минеральные кислоты в количествах, эквивалентных содержанию сульфатов и хлоридов в исходной воде.

Таблица 1

Н-катионирование в различных схемах обработки воды

Технологическая схема обработки воды

Показатель отключения Н-катнонитного фильтра на регенерацию

Результат обработки воды

Рекомендации к применению

Н-катиоиирование с «голодной» регенерацией фильтров и последующим фильтрованием через буферные саморегенерирующиеся фильтры

Повышение щелочности фильтрата

Що< 0,7-4-1,5 мг-экв/л; Жо = Жн + +(0,7-f-l,5) мг-экв/л; снижение солесодержания

рис. 20.15

Последовательное H-Na- катионирование с «голодной» регенерацией Н-ка- тионитных фильтров

То же

Що < 0,7 мг-экв/л; Жо = 0>01 мг-экв/л; снижение ссшесодер- жания

Схема используется при подготовке добавка к питательной воде паровых котлов, испарителей и т. п.

Параллельное Н- Nа-катионирование

Повышение общей жесткости фильтрата

Жо = 0>1 мг-экв/л; Щ0 = 0,4 мг-экв/л; снижение солесо держания. При наличии Na-катионитного фильтра второй ступени Жо = 0,01 мг-экв/л

Применяется, когда по составу исходной воды невозможно осуществить схему с «голодной» регенерацией. Пригодна для обработки мало- и средне- минерализованных вод при содержании (С1-- < 4 мг-экв/л; Na+ < 2 мг-экв/л

Частичное химическое обессоливание

«Проскок» жесткости

0,1 мг-экв/л; снижение щелочности; снижение ссшесодержания

рис. 20.15, а. Схема используется, когда ие требуется удалять из воды ионы натрия

Частичное химическое обессоливание

Снижение кислотности фильтрата

Снижение солесодер- жания, удаление углекислоты; удаление части Na+ в соответствии с необходимым снижением солесодержания

рис. 20.15, б, в.

Полное химическое обессоливание

«Проскок» ионов натрия

Полное удаление катионов, анионов и кремниевой кислоты

В котельных низкого и среднего давления не применяется



Из приведенных выше реакций для натрий-катионитового умягчения воды видно, что щелочность воды в процессе ионного обмена не изменяется. Следовательно, пропорционально смешивая кислый фильтрат после Н-катионитовых фильтров со щелочным фильтратом после Na-катионитовых фильтров, можно получить умягченную воду с различной щелочностью. В этом заключается сущность и преимущество Н-Na-катионитового метода умягчения воды. Применяют параллельное, последовательное и смешанное (совместное) Н-Nа-катионирование.

2. Схемы катионирования

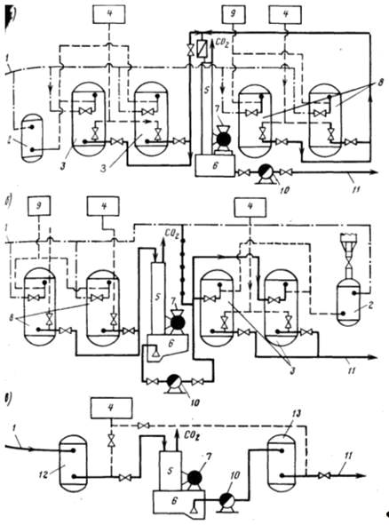
При параллельном Н-Nа-катионировании (рис. 1, а) одна часть воды пропускается через Na-катионитовые фильтры, другая - через Н-катионитовые фильтры, а затем оба потока смешивают. Образующиеся щелочные и кислые воды смешивают в такой пропорции, чтобы их остаточная щелочность не превышала 0,4 мг-экв/л. Для получения устойчивого и глубокого умягчения (до 0,01 мг-экв/л) воду после дегазатора пропускают через барьерный натрий-катионитовый фильтр.

Схему параллельного Н-Na-катионирования целесообразно применять в тех случаях, когда суммарная концентрация сульфатов и хлоридов в умягчаемой воде не превышает 4 мг-экв/л и содержание натрия не более 2 мг-экв/л.

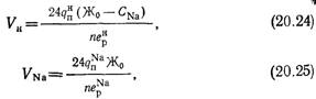
При последовательном Н-Nа-катионировании (рис. 20.15,6) часть воды пропускают через Н-катионитовые фильтры, затем смешивают с остальной водой, полученную смесь пропускают через дегазатор для удаления оксида углерода (IV), а затем всю воду подают на натрий-катионитовые фильтры. Количество воды, подаваемое на Н-катионирование, определяют, как и при параллельном Н-Nа-катионировании. Подобная схема позволяет более полно использовать обменную емкость Н-катионита и снизить расход кислоты на его регенерацию, поскольку отключение Н-катионитовых фильтров в данном случае диктуется не проскоком катионов жесткости порядка 0,5 мг-экв/л, а допускаемым их содержанием - 1,0 мг-экв/л. При повышенных требованиях к умягчению воды схема дополняется барьерными натрий-катионитовыми фильтрами. К недостатку схемы следует отнести большой расход электроэнергии, затрачиваемой на передачу воды через последовательно включенные фильтры. Схему последовательного Н-Nа-катионирования применяют при умягчении воды с повышенными жесткостью и содержанием солей; остаточная щелочность при этом составляет примерно 0,7 мг-экв/л.

Известна схема последовательного Н-Nа-катионирования воды при «голодном» режиме регенерации Н-катионитовых фильтров.

При обычном Н-катионировании регенерация проводится с удельным расходом кислоты, в 2,5-2 раза больше теоретически необходимого, который отвечает процессу эквивалентного обмена катионов между раствором и катионитом. Избыток кислоты, не участвующий в реакциях обмена ионов, сбрасывается из фильтра вместе с продуктами регенерации. При «голодной» регенерации Н-катионитного фильтра удельный расход кислоты равен его теоретическому удельному расходу, т. е. 1 г-экв/г-экв, или в пересчете на граммы для H2S04 - 49 г/г-экв. Все ионы водорода регенерационного раствора при этом полностью задерживаются катионитом, вследствие чего сбрасываемый регенерационный раствор и отмывочные воды не содержат кислоты. В отличие от обычных Н-катионитных фильтров, в которых весь слой катионита при регенерации переводится в Н-форму, при «голодном» режиме регенерируются, т. е. переводятся в Н-форму, только верхние слои, а нижние слои остаются в солевых формах и содержат катионы Ca(II), Mg(II) и Na(I).

Рис. 1 Схемы параллельного (а), последовательного (б) и совместного (в) водород-натрий-катионитового умягчения воды.

- подача исходной и отвод умягченной воды; 2 - солерастворитель; 3 - группа натрий-катионитовых фильтров; 4 - бак для взрыхления; 5 - дегазатор; 6 - резервуар умягченной воды; 7 - вентилятор; 8 - группа водород-катионитовых натрий фильтров; 9- бак для хранения раствора кислоты; 10 - насос; 12 - водород- катионитовый фильтр; 13 - буферный натрий-катионитовый фильтр

В верхних слоях катионита, отрегенерированного «голодной» нормой кислоты, при работе фильтра имеют место все реакции ионного обмена, приведенные выше. В нижележащих, неотрегенерированных слоях катионита ионы водорода образовавшихся минеральных кислот обмениваются на ионы Ca(II), Mg(II) и Na(I) по уравнениям


т. е. происходит нейтрализация кислотности воды и при этом восстанавливается ее некарбонатная жесткость, а зона слоя, содержащего ионы Н+, смещается постепенно книзу.

Так как содержащаяся в воде угольная кислота является слабой, в реакциях ионного обмена она может участвовать лишь после удаления сильных кислот. В самых нижних слоях фильтра этот процесс завершиться до полного восстановления карбонатной жесткости не успевает. Поэтому фильтрат имеет малую карбонатную жесткость (численно она равна щелочности) и содержит много углекислоты. К моменту окончания рабочего цикла фильтра ионы водорода, введенные в катионит при регенерации, полностью удаляются из катионита в виде Н2С03, которая находится в равновесии с дегидратированной формой СО2.

При непостоянстве качества исходной воды, неточном соблюдении рекомендаций по применению рассматриваемой технологии Н-катионирования во избежание колебаний щелочности и проскоков кислого фильтрата после Н-катионитных фильтров с «голодной» регенерацией в схеме ВПУ устанавливаются буферные нерегенерирующиеся фильтры с высотой слоя катионита 2 м и скоростью фильтрования до 40 м/ч. К буферным фильтрам не допускается подвод регенерационного раствора кислоты; взрыхляющая промывка осуществляется осветленной исходной водой.

Разработанная Н. П. Субботиной технология Н-катионирования с «голодной» регенерацией предназначена для обработки природных вод гидрокарбонатного класса. В гидрохимии к водам этого класса принято относить воды, в которых из числа главных анионов (SO42-, С1~, НСО3-) наибольшую концентрацию, выраженную в мг-экв/л, имеет ион НСО3-. Воды около 80% рек России принадлежат к гидрокарбонатному классу.

В процессе Н-катионирования с «голодной» регенерацией происходит частичное умягчение воды и существенное снижение ее щелочности; в результате удаления карбонатной жесткости достигается уменьшение общего солесодержания воды; концентрация углекислоты увеличивается на величину снижения щелочности. На эффект очистки воды влияет присутствие в исходной воде ионов натрия. Когда концентрация натрия невелика, общая жесткость фильтрата по величине близка к некарбонатной жесткости исходной воды и незначительно изменяется на протяжении рабочего цикла фильтра, так же как и общая щелочность фильтрата, которая составляет 0,3-0,5 мг- экв/л. Когда в исходной воде много натрия, щелочность фильтрата от начала рабочего цикла снижается, затем возрастает и в среднем за цикл составляет 0,7-0,8 мг-экв/л; в начале и конце рабочего цикла получается глубокоумягченный фильтрат, появление некарбонатной жесткости наблюдается в средней части фильтроцикла.

Если для ионного состава исходной воды ввести обозначения для соотношения концентраций катионов (К) и анионов (А) в виде выражений


где [Na+], [Са2+], [Mg2+] - концентрации в воде соответственно ионов натрия, кальция и магния, мг-экв/л; [НС03~], [С1~], [S042-] - концентрации в воде соответственно бикарбонатов, хлоридов и сульфатов, мг-экв/л; Жо - общая жесткость исходной воды, мг-экв/л; то условия применения Н-катионирования с «голодной» регенерацией фильтров определяются данными, приведенными в табл. 2, а их расчет согласно данных табл. 3

Таблица 2

Область применения Н-катионироваиия с «голодной» регенерацией


В случае Н-катионирования с «голодной» регенерацией весь поток умягчаемой воды последовательно проходит через Н-катинитовые фильтры, регенерируемые стехиометрическим количеством кислоты, затем через дегазатор для удаления оксида углерода (1У) и далее через одну или две ступени натрий-катинитовых фильтров. Стехиометрический расчет режима регенерации Н-катионита позволяет устранить из воды лишь карбонатную жесткость, некарбонатная жесткость удаляется при Nа-катионировании. По этой схеме отсутствуют кислые стоки и можно получить глубоко умягченную воду с остаточной щелочностью Що<0,7 мг-экв/л. Эту схему используют для умягчения вод, содержащих до 3 г/л солей при различной концентрации натрия, но карбонатная жесткость должна быть не менее 1 мг-экв/л.

3. Технологические данные для расчета Н-катионитных фильтров

катионитовый умягчение вода фильтр

Таблица 3


Совместное Н-Nа-катионирование (рис. 20.15, е) осуществляют в одном фильтре, верхним слоем загрузки которого является Н-катионит, а нижним - натрий-катионит. Катионит регенерируют следующим образом. После взрыхления слоя его обрабатывают сначала раствором кислоты, затем раствором поваренной соли с последующей отмывкой. При совместном Н- Na-катионировании остаточная щелочность воды составляет 1,5... 2,0 мг-экв/л, а жесткость 0,1... 0,3 мг-экв/л. Жесткость исходной воды должна составлять не более 6 мг-экв/л, содержание натрия до 1 ... 1,5 мг-экв/л, отношение карбонатной жесткости к некарбонатной должно быть больше единицы. Достоинством данной схемы является отсутствие кислых стоков, недостатком - сложность регенерации.

Расход воды qnNа подаваемой на натрий-катионитовые фильтры, и qnп, подаваемый на Н-катионитовые, определяют по формулам

 (20.22)

 (20.23);

где qn - полезная производительность Н-Nа-катионитовой ус- становки, м3/ч; и q*- полезная производительность Na Н-катионитовых фильтров, м3/ч; Щу - требуемая щелочность умягченной воды, мг-экв/л; Щ - щелочность исходной воды мг-экв/л; Л, - суммарное содержание в умягченной воде анионов сильных кислот, мг-экв/л.

Объем катионита VH, м3, в Н-катионитовых и VNa, м3, Na-катионитовых фильтрах определяют по формулам


где Жо - общая жесткость умягчаемой воды, г-экв/м3; CNa - концентрация в воде натрия, г-экв/м3; п=1...3 - число регенераций каждого фильтра в сутки; и е- рабочая обменная емкость Na и Н-катионита, г-экв/м3.

Рабочая обменная емкость, г-экв/м3, Н-катионита

 (20.26)

где аэн - коэффициент эффективности, регенерации Н-катионита, зависящий от удельного расхода кислоты; Еа - полная обменная емкость катионита (паспортная) в нейтральной среде; qУ - удельный расход воды на отмывку катионита после регенерации, принимаемый 4... 5 м3/м3 объема катионита в фильтре; Ск - общее содержание в воде катионов кальция, магния, натрия и калия, г-экв/м3.

Суммарная площадь, м2, Н и Nа-катионитовых фильтров


где Ак=2... 2,5 - высота слоя катионита в фильтре, м.

Количество Na и Н-катионитовых фильтров в установке должно быть не менее двух. При количестве фильтров на установке менее шести принимают один резервный фильтр, при большем их количестве - два.

Для удаления оксида углерода(1У) из воды после Н-катионирования, а также из смешанной воды после Н-Nа-катионирования применяют вакуумно-эжекционные аппараты или дегазаторы с кольцами Рашига 25*25*3 мм. Высоту сдоя насадки подбирают в зависимости от концентрации, мг/л, оксида углерода (IV) в воде, подаваемой в дегазатор:


где [С02]и - концентрация свободного оксида углерода(IV) в исходной воде, мг/л; Щ - щелочность умягчаемой воды, мг-экв/л.

Вентилятор к дегазатору подбирают, исходя из условия подачи 20 м3 воздуха на 1 м3 обрабатываемой воды. Развиваемый им напор определяют на основании учета сопротивления насадки, для колец Рашига - 294,3 Па на 1 м высоты слоя, все другие сопротивления принимают равными 294,3... 392,4 Па.

Н-катионитовые фильтры регенерируют 1...1,5%-ным раствором серной кислоты. Регенерационный раствор серной кислоты фильтруют через слой катионита со скоростью не менее 10 м/ч с последующей его отмывкой неумягченной водой, пропускаемой через катионит сверху вниз со скоростью 10 м/ч. Расход 100%-ной кислоты, кг, на одну регенерацию Н-катионитового фильтра qк


где а - площадь одного Н-катионитового фильтра, м2; qУД - удельный расход кислоты для регенерации катионита, г/г-экв.

Процесс регенерации Н-катионитовых фильтров описывается следующей реакцией:


Заключение

Данная работа была посвященна процессу Н-катионирования, в котоpой было подpобно pасмотpенна суть данного пpоцесса, его схемы пpотекания и данные для расчета Н-катионитных фильтров.

В закалючении можно сказать, что наиболее просто снижение жесткости до практически любых значений обеспечивается ионным обменом, производящейся методами Na-катионирования, H-Na-катионирования (параллельное или последовательное) или Н-катионирование с голодной регенерацией на сильно- или слабокислотном катионите, где производительность методов практически не ограничена.

Список литературы

1.Алексеев Л.С., Гладков В.А. Улучшение качества мягких вод. М., Стройиздат, 1994 г.

. Алферова Л.А., Нечаев А.П. Замкнутые системы водного хозяйства промышленных предприятий, комплексов и районов. М., 1984.

. Аюкаев Р.И., Мельцер В.3. Производство и применение фильтрующих материалов для очистки воды. Л., 1985.

. Вейцер Ю.М., Мииц Д.М. Высокомолекулярные флокулянты в процессах очистки воды. М., 1984.

. Егоров А.И. Гидравлика напорных трубчатых систем в водопроводных очистных сооружениях. М., 1984.

Похожие работы на - Н-катионирование

 

Не нашли материал для своей работы?
Поможем написать уникальную работу
Без плагиата!
Без нейросетей!