Комплексонометрія у фармацевтичному аналізі
Міністерство
охорони здоров’я
Національний
фармацевтичний університет
Кафедра
фармацевтичної хімії
Курсова
работа
на
тему:
«Комплексонометрія
у фармацевтичному аналізі»
Виконала:
студентка 4 курсу 3
групи
Косенко Юлія
Перевірила:
доц., Леонова С.Г.
Харків
рік
Зміст
.
Вступ
.
Теоретичні основи комплексонометричного титрування
.1
Комлексонометрія як титриметричний метод кількісного аналізу
.2
Титранти методу (комплексони) та їх властивості
.3
Особливості протікання реакції комплексоутворювання
.4
Стійкість комплексонатів металів у водних розчинах
.5
Визначення кінцевої точки титрування (еквівалентності)
.6
Методи комплексометричного титрування
.
Лікарські форми, в яких кількісний вміст діючої речовини визначають
комплексометрично
.1
Кальцію хлорид
.2
Магнію оксид
.3
Цинку сульфат
.4
Кальцію лактат
.5
Ртуті дихлорид
.6
Ксероформ
.
Висновки
.
Список літератури
реакція комплексоутворювання розчин
лікарський
1. Вступ
До якості лікарських засобів висуваються
особливі вимоги, так як вони вводяться в організм людини та повинні проявляти
адекватну фармакологічну активність і обов’язково бути безпечними для
застосування. Саме тому, лікарські препарати піддаються багатьом видам аналізу,
які можна загально поділити на якісний та кількісний аналіз.
Методами кількісного хімічного аналізу є
гравіметричний метод та титриметричний метод. До останнього відносяться 1)
методи осадження, аргентометрія; 2) комплексонометрія; 3) меркуриметрія; 4)
кислотно-основне титрування у водному середовищі; 5) кислотно-основне
титрування у неводному середовищі; 6) методи окиснення-відновлення.
Об’єктом дослідження моєї курсової роботи є
метод кількісного аналізу комплексонометрія.
Метод комплексонометричного титрування має
високу чутливість (до 10-3 моль / л) і точність (похибка 0,1-0,3%), швидкий і
простий у виконанні, має достатньо високу вибірковість (селективність), що
забезпечило його широке застосування в практиці хімічного аналізу.
У фармації комплексонометричне титрування
використовують для кількісного визначення препаратів кальцію (хлорид, глюконат,
лактат та ін), цинку (оксид і сульфат, цинк-інсулін), заліза (гліцерофосфат,
лактат, сахарат, аскорбинат, сульфат і ін), кобальту (ціанкобламін, коамід,
ферковен), препаратів, що містять солі магнію, вісмуту, ртуті, свинцю та інших
металів.
Широко застосовують комплексонометрію при
аналізі води, зокрема, при визначенні її жорсткості, обумовлену присутністю
солей кальцію і магнію. При аналізі різних мінералів і рослинної сировини метод
комплексонометричного титрування дозволяє проводити визначення різних елементів
при їх спільній присутності.
Велике значення комплексонометрія має при
аналізі промислових відходів і стічних вод, а також при визначенні екологічної
чистоти природних об'єктів. Непрямою комплексонометрією, методами зворотного і
замісного титрування можна визначати аніони (сульфати, фосфати,, оксалати і
ін), що утворюють малорозчинні сполуки з катіонами, комплексонів.
Завданням курсової роботи є дослідження методу
комплексонометрії, визначення характерних особливостей даного методу, способів
титрування, використання специфічних титрантів та індикаторів; розгляд
препаратів, для яких застосовується комплексонометрія, також дослідити переваги
даного методу, та його недоліки.
2. Теоретичні основи комплексонометричного
титрування
.1 Комлексонометрія як титриметричний метод
кількісного аналізу
Комплексометричним титруванням
(комплексометрією) називають титриметричні методи, засновані на реакціях
утворення розчинних комплексних сполук.
Комплексометрією можна визначати як
іони-комплексоутворювачі, так і іони або молекули - ліганди. Згадаймо, що
іони-комплексоутворювачі характеризуються координаційним числом, що показує
число атомів або атомних угруповань, які вони можуть зв'язати (координувати),
будучи центральним іоном в комплексному поєднанні. Найбільш часто координаційне
число дорівнює 6 і 4, рідше - 2. [17,18]
Ліганди характеризуються дентатністю (від лат.
Dentatus - зубчастий), тобто здатністю займати певне число координаційних місць
(зв'язків) біля центрального іона. Неорганічні однодентатні ліганди (ОН-, F-,
CN-, NH3 та ін) обмежено застосовуються в комплексометріі. Це пов'язано з тим,
що однодентатні ліганди реагують з іонами металу з координаційними числами
більше одиниці поетапно, з утворенням спектру проміжних сполук.
Ступінчасті константи стійкості проміжних сполук
близькі один до одного, внаслідок чого скачки титрування на ТКТ, що
відповідають окремим ступеням реакції титрування, перекривають один одного. У
результаті виходить ТКТ без стрибків титрування, за якою неможливо підібрати
індикатор, що дозволяє реєструвати момент закінчення титрування якогось
конкретного комплексонату із спектру, що утворюються. [8]
Цього недоліку позбавлені полідентатних ліганди
з дентатність більше п'яти. Вони з іонами металу реагують у співвідношенні 1:1,
внаслідок цього відповідна ТКТ має стрибок титрування і по ній можна підібрати
індикатор для реєстрації точки еквівалентності в титруванні.
Полідентатні ліганди з центральним іоном
зазвичай утворюють цикли - замкнуті атомні угрупування. Для утворення циклів
полідентатні ліганди мають хелатуючі (клешньоподібні при зображенні на площині)
функціональні групи, якими вони захоплюють центральний іон. Виходять при цьому
комплексні сполуки з одним або декількома циклами,які називають хелатами (від
англ. Chelatе - клешня).[16]
Титриметричні методи, засновані на застосуванні
реакції комплексоутворення з отриманням розчинних хелатів, називають
хелатометріей. З хелатометричних методів найбільш широко використовується
комплексонометрія.
КОМПЛЕКСОНОМЕТРІЯ (трилонометрія, хелатометрія)
- титриметричний метод аналізу, що базується на реакціях утворення розчинних,
дуже міцних комплексів полідентатних лігандів-комплексонів із катіонами
лужноземельних та важких металів. [1]
.2 Титранти методу (комплексони) та їх
властивості
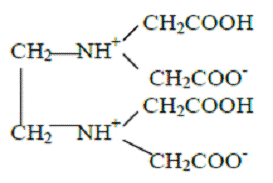
Комплексонами називають групу органічних
речовин, що є похідними поліамінополікарбонових кислот, що містять одну або
кілька амінодикарбоксильних груп - N (CH2COOH) 2.
Титранти утворюють з катіонами ряду металів (Ca,
Sr, Ba, Mg, Al, Cu, Zn та ін.) комплексні сполуки у співвідношенні 1:1
незалежно від валентності іона металу.
За допомогою комплексонів може бути визначено
більше 60 елементів. Синтезовано велике число різних комплексонів, але в
титриметрії найбільш часто мають справу з наступними комплексонами:
Найпростішим комплексоном є нітрилотриоцтова
кислота (комплексон А, H3Y):
Комплексон взаємодіє з іонами металів у
молярному співвідношенні 1:1 і здатний утворювати з металом чотири зв'язку,
одна з яких носить донорно-акцепторний характер за рахунок неподіленої
електронної пари атома азоту, а три інші іонний - за рахунок заміщення трьох
іонів водню карбоксильних груп на іон металу:
комплексон II, етилендіамінтетраоцтової кислоти
(ЕДТУ), коротке позначення H4Y,. ЕДТУ погано розчинна (при 220C розчинність 2 г
/ л), є шестидентантним лігандом:
комплексон III, етилендіамінтетраацетат динатрію
(ЕДТА), торгова назва "трилон Б", коротке позначення Na2H2Y,
структурна формула. Саме він використовується як титрант найчастіше.
Чотирьохзарядний аніон етилендіамінтетраоцтової
кислоти (Y4-) здатний утворювати з іонами металів шість зв'язків (шестидентатний
ліганд), дві з яких за рахунок атомів азоту і чотири - за рахунок ацетатних
груп. З двох-, трьох-і чотирьохзаряженними іонами металів аніон Y4- утворює
тетраедричні (Ca2 +, Mg2 +, Ba2 +) і октаедричні комплекси (комплексонати)
складу MYn-4, де n - заряд іона металу.
Комплексонати практично всіх металів безбарвні і
добре розчиняються у воді. [8,12]
При комплексонометричному титруванні частіше
застосовують двонатрієва сіль етилендіамінтетраоцтової кислоти (трилон Б), так
як вона значно краще розчинна у воді, ніж сама кислота. Ця сіль утворюється в
реакції нейтралізації кислоти лугом:
Y + 2NaOH Na2H2Y + 2H2O
Таке протікання реакції обумовлено тим, що
константи двох перших ступенів дисоціації етилендіамінтетраоцтової кислоти
значно перевершують наступні ступінчасті константи дисоціації: Ka1 = 1.10 -2
(pKa1 = 2,0), Ka2 = 2,1 · 10-3 (pKa2 = 2,7), Ka3 = 6,9 · 10-7 (pKa3 = 6,2), Ka4
= 5,5 · 10-11 (pKa4 = 10,3). Близькі значення Ka1 і Ka2 і їх велика різниця від
наступних констант дисоціації пов'язано з бетаїновою структурою кислоти:

У практиці комплексонометричного титрування
основним робочим розчином є розчин дигідрату динатрієвої солі
етилендіамінтетраоцтової кислоти, яка випускається промисловістю під торговою
назвою «трилон Б» зі ступенем очищення «хч» (хімічно чистий) або «ЧДА» (чистий
для аналізу). Трилон Б добре розчинний у воді і його розчини стійкі при
зберіганні.
Робочий титрований розчин 0,05 М трилона Б можна
готувати за точною наважкою (з урахуванням вологості зразка), проте зазвичай
його точну концентрацію визначають за стандартним розчину сульфату цинку, який
отримують розчиненням точної наважки металевого цинку в сірчаної кислоти .
Виходячи з усього вище сказаного, реакція між іоном металу і трилоном Б може
бути записана в наступному вигляді:
.3 Особливості протікання реакції
комплексоутворювання
При проведенні комплексометричного титрування
потрібно звернути увагу на декілька особливостей даного методу:
) в результаті реакції утворюються комплекси
тільки одного складу із співвідношенням метал:ліганд рівним 1:1
(комплексонати); при цьому комплексонати безбарвні, добре розчиняються у воді і
мають високу стійкість, так як центральний атом металу міцно пов'язаний з
полідентатним хелатним лігандом;
) реакція є оборотною і рівновага може бути
зрушена як убік утворення, так і у бік руйнування комплексонату, що легко
досягається за допомогою варіювання рН розчину - підкислення приводить до зсуву
рівноваги вліво до вихідних реагентів, а підлуження сприяє утворенню
комплексонату;
) в результаті реакції виділяються іони водню,
тому її слід проводити в буферному середовищі, підтримуючи оптимальне значення
рН, що визначається константою стійкості комплексонату; найчастіше
використовують середовище аміачного буферного розчину (NH4Cl + NH4OH). [15]
.4 Стійкість комплексонатів металів у водних
розчинах
При практичному застосуванні
комплексонометричного титрування важливо знати на скільки повно протікає
реакція комплексоутворення в тих чи інших умовах, в середовищі з певним
значенням рН і в присутності інших лігандів, здатних утворювати комплекси з
визначальним металом. Таку оцінку здійснювали за допомогою істинних і умовних
констант стійкості.
У реакції комплексоутворення іонів металу з
комплексоном бере участь тільки повністю іонізована форма Y4-:
Константа цієї рівноваги, виражена через
концентрації речовин, юреагують і частинок, що утворюються, називається істинно
концентраційною константою утворення або стійкості комплексонату [K]:
Концентраційна константа стійкості комплексонату
не залежить від концентрації учасників реакції і величини рН розчину. Величина
константи, а отже, стійкість комплексонату, визначається природою іона металу,
його зарядом, радіусом і електронною будовою, іонною силою розчину, природою
розчинника і температурою. Чим більше константа, тим більш стійкий
комплексонат.
Найбільшими константами стійкості
характеризуються комплексонати багатозарядних, невеликих за розміром іонів p- і
d-елементів (Zr4 +, Bi3 +, Fe3 +, Ce4 + і ін).
Цінною властивістю ЕДТА є здатність утворювати
досить міцні комплекси з іонами лужноземельних металів (s-елементи) - Ba2 +,
Mg2 +, Ca2 +, перевод яких в комплексні сполуки іншими реагентами практично
неможливий.
Реакція комплексоутворення може бути використана
в кількісному аналізу тільки, якщо вона протікає з достатньою повнотою, тобто
на 99,99%. При цьому в точці еквівалентності залишкові концентрації [Mn +] і
[Y4-] складають 0,01% від вихідної концентрації (або 1.10 -4 від одиниці). Тоді
за рівнянням маємо:
Це означає, що кількісне комплексонометричне
визначення металу можливо, якщо константа стійкості комплексонату не менше 108.
Однак, кислотність середовища та додаткові комплексоутворювачі сильно впливають
на утворення комплексу MYn-4, що враховують за допомогою умовних констант
стійкості. Знання їх величин дає можливість відповісти на питання, чи можливе
комплексонометричне визначення даного іона металу з необхідною точністю в
даному конкретному середовищі.
.5 Визначення кінцевої точки титрування
(еквівалентності)
Кінцеву точку титрування визначають візуально з
використанням металохромних індикаторів, а також потенціометрично, фотометрично
та іншими методами.
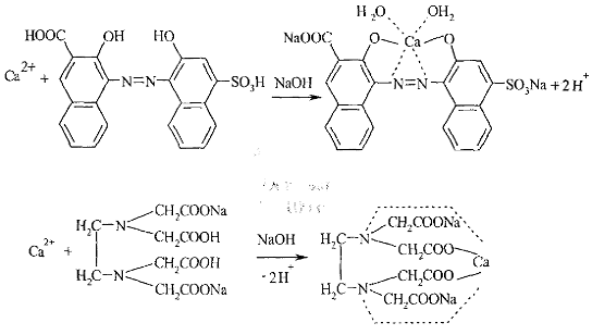
Найчастіше використовують металохромні
індикатори, які утворюють у водних розчинах з іонами металу забарвлені
комплекси, менш міцні, ніж комплекс металу з трилоном Б при виборі індикатору
користуються кривою комплексометричного титрування.
Форма кривої комплексонометричного титрування
аналогічна кривим титрування в інших методах титриметрії (килотно-основному,
окислювально-відновному, осаджувальному), тобто на кривій спостерігається різка
зміна рН поблизу точки еквівалентності - стрибок титрування.
Величина стрибка залежить:
) від міцності утворюється комплексонату - чим
більше константа стійкості, тобто чим міцніше комплексонат, тим більше стрибок;
) від кислотності середовища - чим вона вища,
тобто чим менше значення рН, тим менше стрибок; в кислому середовищі при
титруванні іонів металів, що утворюють малостійкі комплексонати (наприклад,
Ba2, Mg2, Ca2) стрибок на кривій титрування відсутній і визначення неможливе;
) від концентрації реагуючих речовин - чим
більше концентрація титранту і іону, що визначається, тим більше стрибок;
) від присутності додаткових
комплексоутворювачів - чим їх більше, тим менше стрибок.
Розглянемо властивості деяких найбільш поширених
металохромних індикаторів.
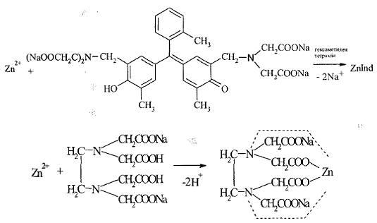
. Еріохром чорний Т (хромоген чорний спеціальний
ЕТ = 00) є азобарвником, що володіє властивостями слабкої триосновний кислоти
(H3Ind):
Еріохром чорний Т при зростанні рН розчину
переходить з однієї забарвленої форми в іншу у відповідності з наступною
схемою:
Переважання тієї чи іншої форми індикатора
визначається величинами його констант кислотної дисоціації і значенням рН
розчину. При рН = 6-11 домінуючим буде іон HInd2-, синього коліру. У цьому
інтервалі рН більшість іонів металів утворюють з еріохромом чорним Т комплекси
складу 1:1 фіолетового кольору:
Координаційні зв'язку в комплексі утворюються за
рахунок атомів азоту азогрупи і атомів кисню депротонованих фенольних груп. У
процесі титрування розчином ЕДТА поблизу точки еквівалентності відбувається
витіснення індикатора комплексоном з внутрішньої сфери комплексу з утворенням
безбарвного комплексонату і пофарбованої в синій колір форми вільного
індикатора HInd2-:
Таким чином, під час титрування іонів металів
трилоном Б в нейтральному і слаболужному середовищі в присутності еріохрома
чорного Т перехід забарвлення індикатора від фіолетового до синього вказує на
кінцеву точку титрування, яка з певним ступенем точності близька до точки
еквівалентності.
Як правило, комплексонометричне титрування з
еріохромом чорним Т проводять у присутності амонійній буферної суміші (рН ~ 9);
в кислому (рН <6) і сильнолужному (рН> 11) середовищах цей металохромний
індикатор не застосовують, оскільки в цих умовах затруднене визначення переходу
забарвлення від фіолетового до червоного або помаранчевою. У практиці аналізу
використовують 0,05-0,5% спиртові розчини індикатора або більш стійку при
зберіганні суху суміш з хлоридом натрію.
Кислотний хромовий темно-синій (кислотний
хромовий синій Т):
У розчинах залежно від рН середовища знаходиться
різних формах - H3Ind3-і H2Ind4-(у кислому середовищі), HInd5-(у нейтральному
середовищі), Ind6-(у лужному середовищі). При рН> 9 вільний індикатор
забарвлений в синій колір, а його комплекси з іонами металів - в червоний.
Застосовується у вигляді 0,1% спиртового розчину
для визначення при рН = 9-10 іонів Zn2 +, Mn2 +, Mg2 +, Pb2 +, Ca2 +. Останній
може бути визначений і при рН = 12, що дозволяє використовувати цей індикатор
при визначенні кальцієвої жорсткості води.
. До азобарвники відносяться й інші індикатори -
близький до еріохром по властивостям, але більш стійкий в розчині, кальмагіт:
а також піридилазорезорцин (ПАР) і
піридилазонафтол (ПАН):
При комплексонометричному титруванні в кислому
середовищі використовують металохромні індикатори з трифенілметанових фарбників
- пірокатехіновий фіолетовий (ПФ) і ксиленоловий оранжевий (КО).
. Пірокатехіновой фіолетовий є слабкою
триосновний кислотою. Вільний індикатор при рН = 2-6 має жовте забарвлення, у
той час як його комплекси з іонами металів забарвлені в синій колір. Застосовується
у вигляді 0,1% спиртового розчину для визначення металів, що утворюють високо
стійкі комплексонати (lgK> 18) -Bi3 +, Fe3 +, Ce4 +, Cu2 +, Pb2 + та ін Може
використовуватися і в слабколужному середовищі при рН= 9-10 для титрування Cd2
+, Co2 +, Mg2 +, Mn2 +, Ni2 +, Zn2 +; при цьому зміна забарвлення від синього
до червоного.
. Ксиленоловий оранжевий - слабка шестиосновна
кислота. Вільний індикатор при рН <6 має жовте забарвлення, у той час як
його комплекси з іонами металів забарвлені в червоний колір. Застосовується у
вигляді 0,1% спиртового розчину для визначення Bi3 +, Fe3 +, Ce4 + (рН = 1-3) і
Cu2 +, Pb2 +, Cd2 +, Co2 +, Ni2 +, Zn2 +, Hg2 + (рН = 4-6).
. Мурексид - амонійна сіль пурпуру кислоти.
Утворює комплекси з низкою катіонів у нейтральному і лужному середовищі.
Найчастіше мурексид застосовують для визначення кальцію в сильнолужному
середовищі (рН> 11). При цьому вільний індикатор забарвлений у фіолетовий
колір, а комплекс кальцію з ним у червоний. Індикатор застосовують у вигляді 1%
водного розчину або у вигляді сухої суміші з сахарозою (або хлоридом натрію) у
співвідношенні 1:500.
Як було показано вище, в основі
комплексонометричного титрування з металохромним індикатором (наприклад, типу
H3Ind - еріохром чорний Т) у буферному середовищі лежить реакція:
При цьому необхідно, щоб комплексон витісняв
індикатор з його комплексу з металом в процесі титрування при даному значенні
рН, тобто щоб умовна константа стійкості комплексонату була більше відповідної
константи комплексу металу з індикатором: K '(MYn-4)> K' (MIndn-3).
.6 Методи комплексометричного титрування
Відомі такі чотири способи проведення
комплексонометричного титрування - пряме титрування, зворотне титрування (по
залишку), титрування за способом заміщення, непряме титрування.
Пряме титрування - найбільш поширений прийом,
коли до аналізованого розчину, що містить іон визначуваного металу, додають
робочий розчин комплексона (титранта) до тих пір, поки не буде досягнута точка
еквівалентності, яку встановлюють за допомогою індикатора. Пряме титрування
зручно застосовувати, якщо є можливість підібрати відповідний індикатор і
взаємодія іона металу з комплексоном протікає досить швидко.
За результатами титрування розраховують вміст
елементу.
Зворотне титрування (по залишку) - менш зручне,
ніж пряме, проте він використовується, коли для прямого титрування не можна
підібрати відповідний індикатор, або коли катіони металу дуже повільно
взаємодіє з титрантом, або коли при сприятливих значеннях рН іон металу
осаджується у вигляді гідроксидів.
У всіх цих випадках до титрованого розчину
додають точно відміряний надлишок комплексона, розчин витримують якийсь час для
завершення реакції або прискорюють процес нагріванням. Потім надлишок
комплексона титрують робочим розчином солі іншого металу (M '), для якого
реакція з комплексоном відповідає всім вимогам, що пред'являються до реакцій
комплексонометричного титрування.
При зворотному титруванні комплексонату метал,
що визначається на фіксування точки еквівалентності практично не впливає,
оскільки він утворюється повільно і так же повільно руйнується.
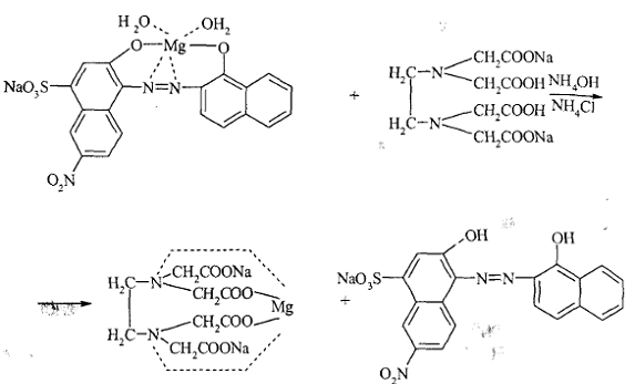
Титрування за способом заміщення (замісникове) -
застосовують у тих же випадках, що і зворотне титрування. При замісниковому
титруванні до аналізованого розчину, що містить іон металу, що визначається,
додають надлишок комплексоната іншого металу, умовна константа стійкості якого
в даному середовищі менше такої для визначуваного металу.
Зазвичай застосовують комплексонат
магнію,константа стійкості якого lgK (MgY2-) = 8,7 значно менше, ніж для
більшості металів. При цьому протікає реакція заміщення, після чого витіснені
іони магнію титрують при рН = 9 розчином ЕДТА з металохромним індикатором
еріохромом чорним Т:
Чим більше різниця в константах стійкості MYn-4
і MgY2-, тим повніше йде реакція заміщення. Якщо витіснення магнію відбувається
повільно, необхідно аналізований розчин витримати деякий час до закінчення
реакції або прискорити її нагріванням.
Непряме титрування - застосовується для
визначення іонів, що не взаємодіють з комплексоном безпосередньо, наприклад,
катіонів лужних металів і деяких аніонів, що утворюють малорозчинні сполуки.
Таким чином визначають іони натрію, осаджуючи їх
у вигляді натрійцинкуранілацетату - NaZn (UO2)3 (CH3COO)9, який потім
розчиняють у кислоті і комплексонометрично визначають іони цинку, що
утворились.
Аналогічно визначають і аніони. Наприклад,
фосфат - іон можна осадити у вигляді MgNH4PO4, а потім розчинити його в кислоті
і після іонообмінного виділення фосфату визначити магній за допомогою трилону
Б.
Непряме визначення можна проводити і зворотним
титруванням. Наприклад, при визначенні сульфатів до аналізованого розчину
додають точно відміряний надлишок нітрату свинцю і залишок останнього визначають
комплексонометрично.
У відповідності з вимогами ДФУ комплексонометрию
використовують для кількісного визначення неорганічних фармакопейних препаратів
магнію (магній оксид, магній сульфат, магній карбонат основний), кальцію
(кальцій хлорид), вісмуту (вісмуту нітрат основний). Солі кальцію органічних
кислот, що розчиняються у воді (кальцію лактат, кальцію глюконат, кальцію
пангамат, кальцію пантотенат), визначаються так же як і кальцію хлорид.
Нерозчинний у воді бепаск попередньо мінералізують прокалюванням до утворення
оксиду кальцію, а потім розчинюють в соляній кислоті і титрують розчином
трилону Б.
3.1 Кальцію
хлорид
.: Solutio Calcii chloridi 10% pro
injectionibus
Кальцію хлориду
розчин
для
ін’єкцій
є
стерильним
розчином
кальцію
хлориду
гексагідрату
у
воді
для
ін’єкцій.
Вміст кальцію
хлориду
гексагідрату
(CaCl2,6Н2O).
Не
менше 95.0 % і не більше 105.0 % від номінального вмісту.
Ідентифікація:
А. Розчин S. приготований, я к зазначено в
розділі "Випробування на чистоту" дає реакцію (а) на хлориди (2. 3.
1): [5]
а) наважку досліджуваної субстанції, що
еквівалентна 2 мг хлорид-іонів, розчинюють в 2 мл води Р. Отриманий розчин або
2 мл розчину, вказаного в часній статті, підкислюють кислотою азотною
розведеною Р, прибавляють 0,4 мл розчину срібла нітрату Р1, перемішують і
відстоюють; утворюється білий сирнистий осад, який центрифугують і промивають
трьома порціями води Р по 1 мл кожна. Цю операцію проводять швидко в захищеному
від яскравого світла місці, при цьому допускається, щоб рідина над осадом не
була повністю прозорою. Осад суспендують в 2 мл води Р і додають 1,5 мл розчину
аміаку Р; осад швидко розчинюється; допускається наявність декількох крупних
частинок, що повільно розчинюються:
В. Субстанція дає реакцїі на кальцій (2.3.1):
а ) до 0.2 мл нейтрального розчину, що містить
випробувану субстанцію в кількості, еквівалентній близько 0.2 мг кальцій -іона
(Са2+) в 1 мл, або до 0.2 мл розчину, зазначеного в окремі й статті, додають
0.5 мл розчину 2 г/л гліоксальгідроксіанілу Р у спирті Р, 0.2 мл розчину натрію
гідроксиду розведеного Р і 0.2 мл розчину натрію карбонату Р. Суміш струшують з
1 мл або 2 мл хлороформу Р і додають від 1 мл до 2 мл води Р; хлороформний шар
набуває червоного забарвлення [2]:
в) близько 20 мг або зазначену в окремій статті
кiлькість випробовуваної субстанції розчиняють у 5 мл кислоти оцтової Р, до
одержаного розчину додають 0.5 мл розчину калію ферроціаніду Р: розчин
залишається прозорим. До розчину додають близько 50 мг амоніюхлориду Р;
утворюється білий кристалічний осад:
--------------------------------------N
с) до 1 мл розчину, що містить випробовувану
субстанцію у кількості 2-20 мг кальцій-іона (Са2+), додають 1 мл розчину 40 г/л
амонію оксалату Р: yrвoрюється білий осад, нерозчинний у кислоті оцтовій
розведеній Р і розчині аміаку Р, розчинний у розведених мінеральних кислотах.[3,9]
Кількісне визначення: кількість розчину кальцію
хлориду, еквівалентну 0,8 г субстанції, розчиняють у воді, переносять у мірну
колбу місткістю 100 мл, доводять об’єм розчину водою до мітки та старанно
перемішують. До 25 мл приготованого розчину додають 5 мл амоніачного буферного
розчину (рН 9,5 - 10,0), 7 крапель розчину кальконкарбонової кислоти та
титрують розчином трилону Б 0,05 моль/л від фіолетового забарвлення в синє;
s=1:
мл 0,1 М розчину натрію едетату відповідає 14.70
мг CaCl2,2H2O. [3]
Кількісний вміст речовини та титр розраховують
за формулою: [13]


Фармакологічна дія: кальцію хлорид
застосовують як протиалергічний, прозапальний, кровоспинний, діуретичний засіб.
[8,12]
.2 Магнію оксид
.: Tab. Magnesii oxydi 0, 5М.м.
40.30 Магнію оксид містить не менше 98.0 % і не більше 100.5% MgO, у
перерахунку на прожарену речовину.
Ідентифікація: близько 15 мг
субстанції розчиняють у 2 мл кислоти азотної розведеної Р і нейтралізують
розчином натрію гідроксиду розведеним Р. Одержани й розчин дає реакцію на
магній (2 .3. 1) [3]:
близько 15 мл випробовуваної
субстанції розчиняють у 2 мл води Р, до одержаного розчину або до 2 мл розчину,
зазначеного в окремій статті, додають 1 мл розчину аміаку розведеного Р1;
утворюється біли й осад, шо розчиняється при додаванні 1 мл розчину амонію
хлориду Р. Дo одержаного розчину додають І мл розчину динатрію гідрофосфату Р;
утворюється білий кристалічний осад.
Найбільш часто використовувані
методи кількісної оцінки координаційної сполуки є методи комплексонометричного
титрування металу. Середня помилка даного методу для препаратів магнію
становить 1,3%, що підтверджує достовірність і придатність розробленої
методики. [6 ]
Кількісне визначення: 0.700 г
субстанції розчиняють у 20 мл кислоти хлористоводневої розведеної Р і доводять
об'єм розчину водою Р до 100.0 мл. Визначення магнію в 10.0 мл одержаного
розчину проводять методом комnлексометричного титрування (2.5.11).[3] Пряме
комплексонометричне визначення після додавання аміачного буферного розчину,
індикатор - протравний чорний; титрують натрію едетату до переходу фіолетового
забарвлення в синє; [2]: s=1:
мл 0,1 М розчин натрію едетату відповідає 4.030
мг MgO.
Кількісний вміст речовини та титр розраховують
за формулою: [13]


Фармакологічна дія: антацидний
засіб. Магнію оксид, перетворюючись при взаємодії з водою в магнію гідроксид,
нейтралізує вільну хлористоводневу (соляну) кислоту в шлунку, знижує пептичну
активність шлункового соку. Магнію хлорид, що утворюється в шлунку, в кишечнику
надає проносну дію. Збільшуючи осмотичний тиск у просвіті кишечнику, посилює
перистальтику.[8]
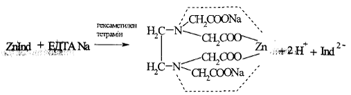
.3 Цинку сульфат
Rp.: Sol. Zinci sulfatis 0, 25% 10 ml
Цинку сульфат містить не менше 99.0% і не більше
104.0% ZnSО4,7H2О.
Ідентифікація:
А. Розчин S, приготований, як зазначено в
РОЗДІЛІ "Випробування на чистоту", дає реакції на сульфати (2.3.1).
а) До 5 мл одержаного розчину додають 1мл
кислоти хлористоводневої розведеної Р і 1 мл розчину барію хлориду Р1;
утворюється білий осад.
в) До суспензії, одержаної в результаті реакції
(а) додають 0.1 мл 0.05 М розчину йоду; жовте забарвлення йоду не зникає
(відмінність від сульфітів), але знебарвлюється при додаванні краплями розчину
олова хлориду Р (відмінність від йодатів). Суміш кип'ятять; осад не знебарвлюється
(відмінність від ленатів і вольфраматів).
В. Розчин S дає реакцію на цинк (2.3.1).
а) До 5 мл розчину, зазначеногo в окремій
статті, додають 0.2 мл розчину натрію гідроксиду концентрованого Р; утворюється
білий осад. Потім додають ще 2 мл розчину натрію гідроксиду концентрованого Р;
осад розчиняється. До одержаногo розчину додають 10 мл розчину амонію хлориду
Р: розчин залишається прозорим. До розчину додають 0,1 мл розчину натрію
сульфіду Р; утворюється білий пластівчастий осад
в) до 2 мл розчину, що містить випробовувану
субстанцію у кількості, еквівалентній 5-20 мг цинку, додають 0.5 мл розчину
калію фероціаніду Р; утворюється білий осад, нерозчинний у кислоті
хлористоводневій розведеній Р [3]
Кількісне визначення: 0.200 г субстанцїі
розчиняють у 5 мл кислоти оцтової розведеної Р. Визначення цинку проволять
методом комплексометричного титрування (2.5.11).[3] Розчин, вказаний в
спеціальній статті, поміщують в конічну колбу місткістю 500мл. Доводять об’єм
розчину водою Р до 200мл, додають близько 50мг індикатоної суміші ксиленоловоно
оранжевого Р, а потім гексаметилентетрамін Р до появи фіолетово - рожевого
забарвлення. Після цього додають додатково ще 2г гексаметилентетраміну Р і
титрують 0,1 М розчину натрію едетату до переходу фіолетово - рожевого
забарвлення в жовте, s=1:
Кількісний вміст речовини та титр розраховують
за формулою: [13]


Фармакологічна дія: в малих дозах
застосовують в очній, отоларингологічній та урологічній практиці.
Цинку сульфат при місцевому
застосуванні надає антисептичну, в'яжучу, що підсушує і місцеву протизапальну
дію.[10]
У зв’язку з підготовкою проекту
загальної фармакопейної статті «Дослідження на чистоту і допустимі домішки.
Дослідження на солі цинку» для Державної фармакопеї Росії були проведені
інформаційно-аналітичні дослідження. В даній статті міститься опис 3 відомих
методів для дослідження лікарських засобів на наявність домішок солей цинку:
нефелометричний з використанням розчину калію фероціаніду, комплексонометричного
титрування та спектрофотометричний метод з цинконом або дитизоном [5]
.4 Кальцію лактат
.: Tab. Calcii lactatis 0, 5
Кальцію лактат пентагідрат містить
не менше 98.0 % і не більше 102.0 % кальцію біс( 2-гідроксипропаноату) або
суміші кальцію ( R) - , (S)- і ( RS) - 2 - гідроксипропіонатів, у перерахунку
на суху речовину.
Субстанція містить не менше 22.0 % і
не більше 27.0 % води, визначеної втратою в масі при висушуванні.
Ідентифікація:
А. Субстанція має витримувати вимоги
ви пробування "Втрата в масі при висушуванні", як зазначено в розділі
"Випробування на чистоту".
В. Субстанція дає реакцію на лактати
(2.3.1).[3,4]
Наважку випробовуваної субстанції,
еквівалентну близько 5мг кислоти молочної, розчиняють у 5 мл води Р. 10мл
одержаного розчину або до 5 мл розчину, заначеного в окремій статті, додають 1
мл бромної води Р, 0.5 мл кислоти сірчаної розведеної Р і нагрівають на водяній
бані, періодично перемішуючи скляною паличкою до знебарвлювання розчину. До розчину
додають 4 г амонію сульфату Р і перемішують, додають краплями, не перемішуючи,
0.2 мл розчину 100 г/л натрію нітропрусиду Р у кислоті сірчаній розведеній Р,
обережно додають, також не перемішуючи, 1 мл розчину аміаку концентрованого Р і
відстоюють протягом 30 хв; на межі двох рідин утворюється темно-зелене кільце.
С. Субстанція дає реакцію (в) на
кальцій (2.3.1).
Кількісне визначення: 0.200 г
субстанції розчиняють у воді Р, доводять об'єм розчину тим самим розчинником до
300 мл. Визначення кальцію проводять методом комплексометричного титрування
(2.5.11). До 25 мл приготованого розчину додають 5 мл амоніачного буферного
розчину (рН 9,5 - 10,0), 7 крапель розчину кальконкарбонової кислоти та
титрують розчином трилону Б 0,05 моль/л від фіолетового забарвлення в синє;
s=1:[3,4]
1 мл 0.1 М розчину натрію едетату відповідає
21.82 мг С6Н10СаО6. [3]
Кількісний вміст речовини та титр розраховують
за формулою: [13]


Фармакологічна дія: препарат
поповнює відносний і абсолютний дефіцит кальцію в організмі, знижує патологічно
підвищену судинно-тканинну проникність, має гемостатичну, антиалергічну та
помірну протизапальну дію. [8]
.5 Ртуті дихлорид
.: Sol. Hydrargyri dichloridi 2:1000
500,0
Ртуті хлорид містить не менше 99.5 %
і не більше 100.5 % HgCI2 у перерахунку на суху речовину.
Ідентифікація:
А. Субстанція дає реакції на хлориди
(2.3.1). а) Наважку досліджуваної субстанції, що еквівалентна 2 мг
хлорид-іонів, розчинюють в 2 мл води Р. Отриманий розчин або 2 мл розчину,
вказаного в часній статті, підкислюють кислотою азотною розведеною Р,
прибавляють 0,4 мл розчину срібла нітрату Р1, перемішують і відстоюють;
утворюється білий сирнистий осад, який центрифугують і промивають трьома
порціями води Р по 1 мл кожна. Цю операцію проводять швидко в захищеному від
яскравого світла місці, при цьому допускається, щоб рідина над осадом не була
повністю прозорою. Осад суспендують в 2 мл води Р і додають 1,5 мл розчину
аміаку Р; осад швидко розчинюється; допускається наявність декількох крупних
частинок, що повільно розчинюються:[3]
В. Розчин S, приготований, як
зазначено в розділі " Випробування на чистоту", дає реакції на ртуть
(2.3.1).[3]
а) Близько 0.1 мл розчину
випробовуваної субстанції поміщають на ретельно очищену поверхню мідної фольги;
з'являється темно-сіра пляма, яка при натиранні стає блискучою. Фольгу
висушують і нагрівають у пробірці; пляма зникає.
в) До розчину, зазначеного в окремій
статті, додають розчин натрію гідроксиду розведений Р до сильнолужної реакції
середовища (2.2.4); утворюється густий осад жовтого кольору (солі ртуті) .
с) До 1 мл розчину, що містить
випробовувану субстанцію у кількості, еквівалентній 10-30 мг ртуть-іону,
додають обережно краплями розчин калію йодиду Р; утворюється червоний осад,
розчинний у надлишку цього реактиву.
Кількісне визначення: метод
зворотної комплексонометрії: 0.500 г субстанцїі розчиняють у 100 мл води Р,
додають 20.0 мл 0,1 М розчину натрію едетату і 5 мл буферного розчину рН 10.9
Р, витримують протягом 15 хв, додають 0.1 г індикаторної суміші протравного
чорного 11 Р і титрують 0.1 М розчином цинку сульфату до пурпурного
забарвлення.
До одержаного розчину додають 3 г
калію йодиду Р, витримують протягом 2 хв. Додають 1.0 г індикаторної суміші
протравного чорного 11 Р і титрують 0.1 М розчином цинку сульфату, s=1:[4]
мл 0.1 М розчину цинку сульфату,
витраченого у другому титруванні, відповідає 27.15 мг HgCI2.
Кількісний вміст речовини та титр
розраховують за формулою: [13]


Фармакологічна дія: як антисептичний
засіб для дезінфекції (знищення мікробів) шкіри, білизни, одягу, предметів
догляду за хворими, для обмивання стін; для лікування шкірних захворювань;
токсична речовина!
3.6 Ксероформ
р.: Ung. Хеroformii 3 % 10,0
Вісмуту трибромфенолят основний з вісмуту
оксидом
Ідентифікація:
А. Субстанція дає реакції на вісмут:
а) 0.5 г випробовуваної субстанції розчиняють у
10 мл кислоти хлористоводневої розведеної Р. Одержаний розчин або 10 мл
розчину, зазначеного в окремій статті , кип'ятять протягом 1 хв, охолоджують і,
якщо необхідно, фільтрують. До 1 мл одержаного розчину додають 20 мл води Р;
утворюється білий або світложовтий осад, колір якого після додавання від 0.05
мл до 0.1 мл розчину натрію сульфіду Р змінюється на коричневий.[3]
в) Близько 45 мг випробовуваної субстанції
розчиняють у 10 мл кислоти азотної розведеної Р. Одержаний розчин або 10 мл
розчину, зазначеного в окремій статті, кип'ятять протягом 1 хв, охолоджують і,
якщо необхідно, фільтрують. До 5 мл одержаного розчину додають 2 мл розчину 100
г/л тіосечовини Р; з'являється жовтувато-оранжеве забарвлення або утворюється
оранжевий осад. Потім додають 4 мл розчину 25 г/л натрію фториду Р; розчин не
знебарвлюється протягом 30 хв.[3,4]
В. Речовину збовтують з розчином натрію
гідроксиду, фільтрують і фільтрат підкислюють кислотою хлористоводневою -
випадає осад білого кольору, який ідентифікують за характерною температурою
плавлення:
Кількісне визначення: комплексонометрія, після
мінералізації лікарського засобу сумішшю кислот нітратної та хлорної, індикатор
- ксиленоловий оранжевий, титрують трилоном Б до переходу синього забарвлення в
жовте; s=1 - у перерахунку на вісмут; s=1/2 - у перерахунку на вісмуту
оксид:[4]
Кількісний вміст речовини та титр розраховують
за формулою: [13]


Фармакологічна дія: застосовують як
в'яжучий, протизапальний, антисептичний (знезаражуючий) засіб при захворюваннях
шкіри і слизових оболонок.[8]
Висновки
В курсовій роботі було розглянуто
метод титриметричного кількісного визначення лікарських препаратів -
комплексонометрію.
У фармацевтичному аналізі даний
метод застосовують для кількісного визначення солей кальцію (хлоридів,
глюконатів, лактатів), препаратів цинку (оксиду, сульфату), магнію сульфату і
препаратів вісмуту. Комплексонометричне титрування знайшло також широке
використання при аналізі металів, сплавів, визначення твердості води.
Комплексонометрія - метод, що
базується на використанні реакцій утворення стійких комплексних сполук
елементів з амінополікарбоновими кислотами найчастіше трилоном Б.
Титранти утворюють з катіонами ряду
металів (Ca, Sr, Ba, Mg, Al, Cu, Zn та ін.) комплексні сполуки у співвідношенні
1:1 незалежно від валентності іона металу. Кінцеву точку титрування визначають
візуально з використанням металохромних індикаторів, а також потенціометрично,
фотометрично та іншими методами. Металохромні індикатори утворюють у водних
розчинах з іонами металу забарвлені комплекси, менш міцні, ніж комплекс металу
з трилоном Б. Стійкість комплексів катіонів металів з трилоном Б значною мірою
залежить від рН-середовища.
Більшість катіонів у кислому
середовищі не утворює стійких комплексів, тому визначення проводять у
присутності аміачного буферного розчину (рН 8 - 9).
Різноманіття прийомів
комплексонометрії дає можливість визначати велику кількість катіонів та
аніонів. Метод достатньо точний і легкий у використанні, не вимагає великих
зусиль при титруванні.
Отже, можна зробити висновок, що комплексонометрія
досить поширений метод кількісного визначення в фармацевтичному аналізу та
повністю себе виправдовує, його доцільно використовувати до всих вище
зазначених препаратів.
Список літератури
Алексеев
В.Н. Количественный анализ. - М.:Химия, 1972. - 504 с.
Беликов
В.Г. Фармацевтическая химия. Учебное пособие.-М.:Высш.шк., 1985
Державна
Фармакопея України / Державне підприємство «Науково -експертний фармакопейний
центр». - 1-е вид. - Харків: РІРЕГ, 2001, 520 с.
Державна
Фармакопея України / Державне підприємство «Науково-експертний фармакопейний
центр.». - І-е вид. - Харків: РІ РЕГ, 2001. - Доповнення 1. - 2004. - 520 с
Ильина
И.П. Определение цинка в фармацевтических препаратах/ И.П.Ильина, И.П.
Рудакова//Фармация, 2011, №6, с.3-5
Иминова
И.М. Сравнительная оценка методов количественного определения субстанций
комплексних соединений магния.// Фарм.журнал (УЗБЕК.) - №2, 2010, ст.42-45
Комплексонометрическое
титрование: Методические указания к выполнению ла-бораторных работ по курсу
количественного химического анализа. / Сост. К.И.Яковлев, А.И.Стеценко. -
СПб.:СПХФА, 2003. - с.
Машковский
М.Д. Лекарственные средства. - 15-е изд., перераб., испр. и доп. - М.: ООО
«Издательство Новая Волна», 2006. - 1200 с.;
П.О.Безуглий,
В.О.Грудько,С.Г.Леонова та ін./Фарм.аналіз: навч.посіб.для студ.
Вищ.фарм.навч.закл.- Х.:Вид-во НФаУ; золоті сторінки, 2001 -- 240 с
Справочник
Видаль «Лекарственные препараты в России»
Умланд
Ф., Янсен А., Тириг Д., Вюнш Г. Комплексные соединения в аналитической химии. -
М.:Мир, 1975. - 531 с.;
Фармацевтична
хімія. Навч.посібник за заг.редакцією П.О.Безуглого. - Вінниця, Нова книга,
2006. - 552с.
Фритц
Дж., Шенк Г. Количественный анализ. М.:Мир, 1978. - 577 с
Харитонов
Ю.Я. Аналитическая химия. Аналитика. В 2-х кн.- М.:Высш.шк., 2001. Кн.1. - 615
с
Шварценбах
Г., Флашка Г. Комплексонометрическое титрование. - М., 1970;
Янсон
Э.Ю., Путнин Я.К. Теоретические основы аналитической химии. - М., 1980.