|
Сполука
|
Номенклатура ІUРАС
|
|
За Замісникова
|
Радикально-функщональна
|
|
СН3С1
|
Хлорометан
|
Метилхлорид
|
|
СН3СН2Вг
|
Брометан
|
Етилбромід
|
|
СН3СН2СН2С1
|
1-Хлоропропан
|
Пропілхлорид
|
|
СН3СНСН3 С1
С1
|
2-Хлоропропан
|
1-зопропілхлорид
|
|
СН3СН2СН2СН2Вг
|
1-Бромобутан
|
Бутилбромід
|
|
СН2СНСН2С1
Л, С1 С Н 3
|
2-Метил-1-хлоропропан
|
Ізобутилхлорид
|
|
СН3СНСН2СНСН3
•' 1 СН3 С1
|
2-Метил-4-хлоропентан
|
Метилізо6утилхлорометан*
|
*Раціональна
номенклатура
1.Галогенування алканів. При відносно невеликих температурах
найлегше заміщується водневий атом біля третинного атома вуглецю, важче біля
вторинного, особливо для бромування.
2.Приеднання галогенів галогеноводнів до алкенів, алкадієнів,
алінів відбувається за різними механізмами залежно від умов реакції з
утворенням моно - або полігалогенопохідних.
3.Заміщення функціональних груп галогенами. Галогеном можна
заміщати найчастіше гідроксильну групу в спиртах, використовуючи для цього
широке коло галогенуючих реагентів (РС15, РВг5, РС13,
Р +І2, SF4, тіонілхлорид SОС12,
сульфурилхлорид SО2С12 тощо).
Дія
галогеноводню відбуваеться в кислому середовищі при його додаванні, при
застосуванні сполук, з яких він утворюється в реакційному середовищі або в
присутності кислот Л’юїса:
3OH + HCl H+→ CH3Cl + H2O3CH2OH
+ KBr + H2SO4 → CH3CH2Br +
KHSO4 + H2O2H5OH + HBr H+→
C2H5Br + H2O
3OH + PCl → CH3Cl + POCl3 + HCl
Дія
тіонілхлориду. Застосування SОС12 зручне тим, що всі побічні
продукти реакції - гази, які легко вилучаються при нагріванні:
OH +
Cl-SO-Cl → RO-SO-Cl + HCl
АлкілхлорсульфітSO-Cl → SО2 + R-Cl
Заміщення
одного галогену іншим. Дана реакція застосовуеться, як правило, для синтезу
йодо- і флуоропохідних, для чого використовують солі NaI, CoF3, SbF3,
HgF2, AgF тощо:
CH3CH2Br
+ SbF3 → 3CH3CH2F + SbBr3Cl +
NaI Ацетон R-I + NaCl
(Реакція
Фінкельштайна)
Галогенування
солей карбонових кислот (реакцгя X. Хунсдиккера) полягае в проведенні
декарбоксилювання срібних солей карбонових кислот у безводному середовищі в
присутності галогену:
.4 Електронна будова
Алкілгалогеніди
складаються з алкільного залишку і галогену.
Енергія зв'язку С-На1
залежить від природи галогену і в ряду F, С1, Вг, I зі збільшенням їх радіусів
зменшуеться: відповідно 441, 330, 277 і 230 кДж/моль.
Моногалогенопохідні
алканів мають досить високі значения дипольних моментів від 1,60 для Н3С-І
до 1,83 D для Н3С-F. Висока полярність зв'язку С-На1 зумовлена
зміщенням пари його електронів до електронегативного галогену (проявления
-І-ефекту):
- Cᵟ+H2→ На1+
У
наслідок зміщення електронної густини до галогену на суміжному з ним атомі
вуглецю виникає частковий позитивний заряд, точшше цей заряд виникае на
атомному ядрі вуглецю, який не повшстю компенсований орбітальними електронами.
Такий заряд визначае електрофільний характер і високу реакційну здатність
галогеналкілів при взаемодії з нуклеофыьними реагентами в реакщях
нуклеофільного замміщення SN і відщеплення Е, на відміну від
алканів. Тому галогеналкіли називають алкглюючими агентами R - На1.
Поляризовшсть
зв'язку С-На1 зростае від флуору до йоду.
В
ІЧ-спектрах смуги валентних коливань VC-Hal| середньої інтенсивност
існують у діапазоні для хлору 850-550 см-1, брому 700-500 см-1 та
йоду 600-500 см-1. Смуги VC-F у діапазоні 1400-730 см-1
попадають до ділянки валентних коливань зв'язку С-С і практично не
піддаються визначенню.
Для
зв’язків С-На1 діпольний момент має наступні значення:
1.5
Фізичні властивості
Фізичні
властивості галогеналканів визначаються природою галогену і структурою
вуглецевого залишку. Це гази або рідини. 3і збільшенням атомної маси галогену і
молекулярної маси алкільної групи зростають температура кипіння і густина. У
воді моногалогенопохідн алканів не розчиняються, а їх густина часто більше
одиниці.
1.6
Хімічні властивості
Галогеналканам
внаслідок високої полярності зв'язку С-На1 властива значка реакційна здатність
у першу чергу в реакціях нуклеофільного заміщення і відщеплення, причому
найбільшу реакційну властивість проявляють йодалкани, для яких енергія зв'язку
С-І найменша.
Реакції
нуклеофільного заміщення
Значна
частина реакцій, які відбуваються за механізмом нуклеофільного заміщення SN,
відома, досліджена та обґрунтована якраз для галогенопохідних. Рідше
використовують для цього спирти і ще менше аміни.
Дія
нуклеофільних реагентів на електрофільні центри галогеналканів приводить до
заміщення атома галогену за схемою:
Така
схема є однією з чотирьох основних для реакцій заміщення за нуклеофільним
механізмом (таб. 2). Переважно нуклеофіли реагують як аніони або нейтральні
сполуки, а субстрати (реагуюч молекули) - найчастіше як нейтральні сполуки або
як катіони.
Таб.2
Типи реакцій нуклеофільного заміщення біля насиченого атома вуглецю
До
нуклеофільних реагентів належать аніони (СR3-, NН2-,
НО-, Наl-, RСОО-, RО-, RS-,
АrО-, NO2-, СN-, тощо) або сполуки
з неподіленою парою електронів (NН3, NН2ОН, NR3,
Н2O, RОН, RОR, RSН, NaHSО3 тощо).
Реакції
SN, відбуваються, як правило, в розчинах, де енергія розриву зв'язку
С-На1 значно менша, ніж у газовій фазі. Перебіг реакції SN або її
швидкість залежать від структури вуглеводневого залишку, природи галогену,
заряду д+ на атомі вуглецю субстрату и особливо активності нуклеофільного
реагенту та природи розчинника.
Подібно
до органічних основ, нуклеофільна активність, чи нуклеофільність, реагенту у
періодах таблиці Д. Менділєєва зменшується зліва на право: NН3> Н2O>
НF. Аніони (основи) за нуклеофільністю сильніші їх спряжених кислот
(нейтральних нуклеофілів). При цьому не завжди реакційні здатності нуклеофілу и
основи збігаються:
СН3-
> NН2- > ОН- > F-; S2-
> SН- > Н2S;
НО-
> Н2О; NН2- > NН3; F-
> НF
Нуклеофільна
активність - здатність нуклеофілу утворювати ковалентний зв’язок взаємодією
своєї пари елекронів з електронно-дефіцитним атомом вуглецю молекули субстрату.
Так, зі
зростанням номера групи періодичної системи (зверху вниз) нуклеофільна
активність збільшується, на відміну від основності. Це пов'язано із значним
впливом поляризовності зовнішніх електронних оболонок реагентів на іх реакційну
здатність. Наприклад, для йодид-аніона зовнішні електрони розташовані на
значній відстані від ядра, і їхня ядерно-електронна взаемодія ослаблюється
внаслідок екрануючої дії внутрішніх електронів. У свою чергу, це сприяє значної
поляризовності валентних електронів під дією зовішнього поля, і вони легше
взаемодіють з електрофілами:
- > RО-; НS- > НО-; I-
> Вr- > Сl- > F-
Крім
того, електронодонорні замісники з позитивним І-ефектом збільшують, а
електроноакцепторні з негативним І-ефектом зменшують нуклеофільну активність.
Нижче
наведено ряди зменшення нуклеофільної активностї:
Загалом
на нуклеофільну активність певним чином впливають природа розчинника та розміри
нуклеофільного атома або аніона. Розглядаючи нуклеофільшсть реагентів у різних
за природою розчинниках, використовувати наведені ряди слід з певною осторогою.
Так, у протонних розчинниках (вода, спирти, мурашина або оцтова кислота)
нуклеофільна активність у цілому зменшуеться, і для деяких реагентів існуе ряд:
Це
пояснюеться тим, що відбувається сольватація нуклеофільного центра (атома або
аніона) за допомогою водневих зв'язків з молекулами розчинника. Внаслідок
сольватації енергія нуклеофілу зменшуеться, тобто відбувається часткова
делокалізація негативного заряду. Навколо нуклеофілу формується оболонка з
молекул розчинника, яка блокуе його взаемодію з електрофілом.
В
апротонних неполярних розчинниках (алкани, бензол та його гомологи) водневі
зв'язки між молекулами розчинника і нуклеофілом відсутні, і тому енергія або
активність нуклеофілу практично не змінюеться, особливо для аніонів малого
радіуса. При іонуванні аніона в неполярних розчинниках у вигляді іонної пари
його нуклеофільність зменшується.
В
апротонних полярних розчинниках (диметилформамід, диме-тилсульфоксид,
ацетонітрил, ацетон тощо) аніони не утворюють міцноі сольватної оболонки з
молекулами розчинника порівняно з протонними. Тому вони не сприяють дисоціації
нуклеофільної сполуки на іони, але поліпшують утворення активованого комплексу
між нуклеофілом і субстратом у перехідному стані.
Отже,
здебільшого для аніонів активность зменшуеться при переході від апротонних
розчиннів до протонних, особливо для аніонів малого розміру, і при зростанні
полярності. Для нейтральних молекул нуклеофільна активність зменшуеться в
апротонних розчинниках і з6ільшуеться в протонних, а також зростае з
підвищенням полярності розчинника.
На
нуклеофільну активність впливають стеричні особливості будови як реагенту, так
і субстрату. Просторовий чинник може визначати механізм реакції або
перешкоджати її перебігу.
Назви
механізмів походять від англійських слів − «substitution» - заміщення; -
«nucleophilic» - нуклеофільний.
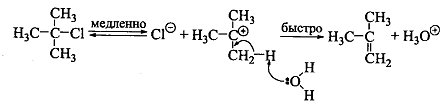
Гідроліз
третинних галогеноалканів відбуваєтъся за механізмом SN1 (наприклад,
гідроліз (СН3)3С-Вг), тобто швидкість реакції залежить
тільки від концентрації галогеноалкану, і не залежить від концентрації
гідроксид-йонів.
Механізм
реакції SN1
Дисоціація
третинного бромистого бутилу є двостадійним процесом.
а) перша
стадія - дисоціація галогеноалкану на йони:
б)
карбонієвий ион далі швидко реагує з молекулами розчинника або реагенту, який
здатний давати пару електронів для заповнення вакантної орбіталі атома карбону:
Швидкість
реакції визначається найбільш повільною стадією процесу − дісоціацією
галогеноалкану, тобто реакція описується іонетичним рівнянням першого порядку.
На
перебег реакції за механизмом SN1 впливають такі фактори:
1.Нуклеофільний реагент не повинен бути активним, так як дісоціація
субстрату на йони проходить повільно.
2.Краще, якщо розчинник мае велику діелектричну сталу, тому здатний
сольватувати йони (катіони і аніони) і тим самим стабілізувати їх.
3.В
результаті дісоціації субстрату повинен утворитися стійкий карбонієвий ион.
Механізм
SN1 найхарактерніший для третинних галогеналканів:
Для
сполук третинної будови з хіральним атомом вуглецю біля галогену на зразок
(RR'R») С-Вг при гідролізі утворюється рацемічна суміш енанттомерів, оскільки
конфігурація вихідної сполуки зазнає часткової зміни на протилежну (ефект
вивернутої парасолі). Існує думка, що нуклеофуг Вг − при
відході певною мірою перешкоджає атаці нуклеофілом НО− (Н2О)
реакційного центра, що приводить до нерівноі кількості адуктів з протилежними
конфігураціями. В активованому комплексі першої стадії, якому відповідає точка
переходного стані на енергетичній кривій, зв'язок С-Вг напіврозщеплений.
Долаючи енергетичний бар'єр, цей зв'язок розщеплюється на карбокатіоні і аніон
брому. Такому третинному карбокатіону потрібна невелика енергія для взаемодії з
нуклеофільними частинками НО− або Н2О.
Енергетичний
профіль SN1 реакції:
Перебігу
реакцій за SN1-механізмом сприяють розчинники, оскільки іонізуюча
здатність розчинника визначально впливає на швидкість лімітуючої стадії -
дисоціації галогеналкану.
Механізм реакції SN2
Для
реакцій, що відбуваються за SN2-механізмом, швидкість процесу
підпорядковується рівнянню другого порядку, залежить від концентрації як
субстрату, так і нуклеофілу. Такі реакції найхарактерніші для первинних
галогеналканів:

У
перехідному стані активований комплекс має будову, де два атоми водню і СН3-група
розміщені практично в одній площині, до якоі перпендикулярні зв'язки:
При
реакци за SN2-механізмом повністю змінюється конфігурація молекули,
відбуваєтъся обернення конфогурації. Для хірального первинного атома вуглецю,
суміжного з атомом брому, утворюється сполука протилежної конфігураци.
Переходний
стан за SN2-механізмом існує в результаті перекривання вищої
зайнятої молекулярної орбіталі нуклеофілу ОН− та нижчої
вільної молекулярної орбітал реагуючої молекули С-На1. Розраховано, що енергія
утворення активованого комплексу в переходному стані найменша тоді, коли
нуклеофіл атакуе молекулу галогеналкілу з протилежного боку відносно водхідної
групи.
На
реакції за SN2-механізмом значно впливають стеричні перешкоди.
Розміщення алкільних груп біля центра реакції заважає наближенню нуклеофілу.
Тому третинні галогеналкіли майже не реагують за SN2 - механізмом.
Для
вторинних галогенопохщних реакци нуклеофільного заміщення проходять складніше,
ніж для вищенаведених.
Сприяютъ
перебігу реакції за SN2-механізмом наступні фактори:
1.Нуклеофільний реагент повинен бути активний, що полегшує утворення
переходного стану, який лімінуе швидкість реакції.
2.Розчинник повинен мати мале значення доелектричної сталої.
3.Группа, що заміщується, повинна бути зв'язана з первинним атомом
карбону.
На
перебіг реакцій за SN2-механізмом, безумовно, впливає природа
розчинника, і при протонних розчинниках швидкість, як правило, гальмується
внаслідок утворення водневих зв'язків. При апротонних розчинниках із
збільшенням їх полярності швидкість, як правило, зростає.
Таким
чином, реакції нуклеофільного заміщення за SN1-механізмом
найхарактерніші для третинних галогенопохідних, а за SN2-механ! змом
− для первинних. Швидкість реакції зменшується від метилброміду до
ізопропілброміду і далі зростає для третбутілброміду. Найімовірніше це
пов'язано із зміною механізму та порядку реакції в точці перетинання кінетичних
кривих від SN2 для первинних алкілбромідів до SN2 для
третинних. Підтвердженням цього є те, що швидкість процесу для первинних
бромопохідних підпорядковується рівнянню другого порядку, а для третинного бромопохідного
− рівнянню першого порядку. Швидкість реакції вторинного ізопропілброміду
підпорядковується рівнянню «змішаного» (першого і другого) порядку. При цьому
частка реакції за SN2-механізмом для ізопропілброміду визначається
кількістю гідроксид-аніонів у системі. Із збільшенням їх концентрації зростає
частка реакції за SN2-механізмом.
Інщі
реакції нуклеофільного заміщення.
. Гідроліз
галогеналканів. В реакції гідролізу галогеналкани утворюють спирти, але реакція
з водою проходить повільно та є оборотною:
Тому
зазвичай гідроліз проводять в присутності водних розчинів лугів або карбонатів
лужних металів:
2. Реакція
Вільямсона. При взаємодії галогеналканів з алкоголітами та фенолятами
утворюються прості ефіри. Третинні галогеналкани утворюють в ролі побічних
продуктів алкени:
Етілат
натрія Дієтіловий ефір
3. Взаємодія
з солями карбонових кислот. В умовах апротонного полярного розчинника з великими
виходами утворюються складні ефіри. Реакція іде за SN2-механізмом:
Ацетат
натрію Етилацетат
4. Взаємодія
з солями ціанідоводневої кислоти. Ціанід-аніон проявляє амбідентні властивості,
тобто подвійну реакційиу здатність і, залежно від природи механізму реакції,
утворює нітрили за SN2-механізмом або ізонітрили за SN1-механізмом.
Така амбідентність пов'язана з особливостями будови ціанідного аніона,
резонансні структури якого свідчать про можливість локалізації негативного
заряду на атомах як вуглецю, так і азоту.
Первинні
та вторинні галогеналкани утворюють з великим виходом нітрили (SN2-механізм):
Пропанонітрил
Основними
продуктами реакції вторинних та третинних галогеналканів з ціанідом аргентума в
середовищі протонного полярного розчинника являються ізоціаніди (SN1-механізм):
Ізопропілціанід
5. Взаємодія
з солями азотистої кислоти. Первинні та вторинні галогеналкани в умовах реакції
SN2 утворюють нітросполуки:
Нітроетан
Вторинні
і третинні в умовах реакції SN1 утворюють ефіри азотистої кіслоти:
Ізопропілнітріт
6. Реакція
Фінкельштейна. З допомогою цієї реакції можна замінити в молекулі галогеналкану
один галоген іншим. Взаємодія галогеналканів з солями галогеноводневих кислот
являється оборотним процесом. Реакція має практичне значення для добування
первинних фтор- і йодалканів з більш доступних хлор - і бромалканів. Для
добування йодидів реакцію проводять в ацетоні, так як йодид натрія розчинний в
ацетоні, а утворенні в результаті взаємозв’язку NaCl або NaBr випадають в осад:
. Взаємодія
з гідросульфідами та сульфідами лужних металів. Дією на первинні та вторинні
галогеналкани гідросульфідами лужних металів утворюються тіоспирти
(меркаптани), при дії сульфідів - тіоефіри:
Етантіол
Діетілсульфід
Механізм реакцій Е1 і Е2
Реакція
відщеплення, або елімінювання галогеноводню − основний лабораторний метод
одержання алкенів, вона завжди супроводжується реакциями нуклеофільного
заміщення, а також характерна для процесів дегідратації спиртів та розщеплення
гідроксидів тетралкіламонію за А. Гофманом.
Для
даної реакції частіше характерне відщеплення двох груп (атомів) від суміжних
вуглецевих атомов. Одна з них − нуклеофіл, сполучений з атомом вуглецю.
Друга група - атом водню, сполучений з атомом вуглецю.
Механізм
Е1.
Мономолекулярна
реакція Е1 проходить в дві стадії швидкість процесу визначається найповільнішою
з них − дією іонізації:
Галогеналкан
Карбокатіон
Карбокатіон
Алкен
Реакціям
за механізмом Е1 сприяють іонізуючі розчинники і роз-галуженість вуглеводневого
залишку. Помітна конкуренція між реакціями за Е1 і SN1 -
механізмами, незважаючи на утворення різних активованих комплексів при
взаемодії з основою (нуклеофілом), пояснюється утворенням однакового проміжного
карбокатіона. Швидкість реакції Е1 зменшується в ряду: третинні галогеналкіни
> вторинні > первинні, що відповідає ряду стабільност! утворенних з них
карбокатіонів. Отже, реакція відщеплення по Е1-механізму характерна для
третинних галогенопохідних і майже не характерна для первинних.
Механізм
Е2.
Реакщя
за Е2-механізмом є узгодженим одноступеневим процесом, в якому відщеплення
протона та галогену при дії основи відбувається одночасно через стадії
активованого комплексу. В активованому комплексі основа утворює зв'язок з
протоном:
Основа
Перехідний стан
Якщо
елементи галогеноводневої кислоти можуть утворитися декількома шляхами, то
гідроген відщеплюється від найменш гідрогенізованого атома карбону (правило
Зайцева):
Реакціям
відщеплення сприяють:
1.Застосування неполярного розчинника при Е2-механізмі та
іонізуючого при Е1-механізмі. Так, для першого варіанта використовують
спиртовий розчин RОН − менш полярний, ніж водний розчин R`ОН, який сприяє
перебігу реакції за SN2-механізмом.
2.Збільшення активності основ з одночасним зменшенням їх
нуклеофільної сили. Для цього використовують третинні аміни, піридин, які є
основами середньої сили, але проявляють властивості слабких нуклеофілів.
3.Перехід від первинних галогеналкілів до третинних.
4.Утворення максимально розгалужених алкенів.
5.Підвищення температури реакції.
Відновлення галоген
алканів
Каталітичне
відновлення алкілгалогенідів воднем в присутності металічного паладію проходить
як синхронна взаємодія з сорбцією та десорбцією реагентів на поверхні
каталізатора:
Чим
слабкіший зв’язок, тим легше проходить каталітичне відновлення:
Відновляємо
розщеплення зв’язку С-Наl алкілгалогенідів з допомогою металів:
Амальгама
натрія
Реакції заміщення
галогену металами
Галогеноалкани
реагують з деякими металами, утворюючи металоорганічні сполуки. Найчастіше
вразі металу беруть магній. При взаємодії галогеналканів з металічним магнієм в
середовищі безводного діетилового ефіру утворюються магнієорганічні сполуки,
реактиви Гріньяра:
Етилмагнійхлорід
Реактиви
Гріньяра являються реакційними речовинами. Їх активність обумовлена полярністю
зв’язку С-Мg. Оскільки атом вуглецю має велику електронегативність, ніж магній,
зв’язок С-Мg поляризований таким чином, що на атомі вуглецю з’являється чатинно
негативний заряд. Внаслідок цього магнієорганічні сполуки являються сильними
нуклеофільними реагентами і сильними основами.
2. Полігалогенопохідні
алканів
Галогенопохідні,
в яких два атоми галогену знаходяться біля одного атома вуглецю, називаються
гемінальними. При знаходженні атомів галогену біля суміжних вуглецевих атомів
сполуки називаються віцинальними:

1,1 -
діхлоретілен, гемінальний 1,2 - діхлорпропан, віцинальний
Номенклатурою
UРАС принципово не відрізняються від назв монопохідних.
.1
Методи одержання
1.
Полігалогенування алканів.
.
Приєднання галогенів до алкенів і алкінів:
1.Одержання з альдегідів і кетонів. Сильні галогенуючі агенти на
зразок РС15, РВг5, РС13, тощо при взаємодії з
альдегідами і кетонами утворюють гемінальні галогенопохідні:
2.Заміщення гідроксильної групи галогеном. Аналогічно
моно-галогенопохідним при дії на гліколі або інші багатоатомні спирти
галогеноводнів ННа1, галогенідів фосфору, тощо:
2.2
Фізичні та хімічні можливості
Як
правило, полігалогеналкани − важкі олисті рідини або кристалічні
речовини, які не розчиняються у воді. 3і збільшенням кількості атомів галогену
в молекулі температури кипіння зростають, крім флуоропохідних, для яких,
навпаки, знижуються, що пов'язують зі зменшенням міжмолекулярної взаємодї між
молекулами поліфлуоропохідних.
За
хімічними властивостями вони, подібно до моногалогеналкілів, вступають в
реакції гідролізу і відщеплення.
Гідроліз
полігалогенопохідних. При гідролізі віцинальних похідних утворюються гліколі, а
гемінальних − альдегіди або кетони залежно від розташування галогенів
відносно початку ланцюга сполуки:
Гем-діол
Оцотового альдегід
2.3
Окремі представники
Полігалогенопохідні
внаслідок своєї хімічної інертності термічної стійкості широко використовуються
як розчинники, холодоагенти, аерозольні розпилювачі (пропеленти),
високотемпературні мастила, інноутворювачі, наповнювачі вогнегасників тощо.
Хлороформ СНС13 застосовується не тільки як розчинник і
органічний реагент, але і як анестезуючий засіб у медицині. Його добувають
також з ацетону, оцтового альдегіду або етанолу. Під світлом хлороформ повільно
окислюється з утворенням високотоксичної речовини - фосгену і хлороводню:
Тетрахлорид
вуглецю СС14
використовується як розчинник, реагент і ефективний засіб для гасіння вогню.
При високих температурах він, як 1 багато інших галогеналканів, реагує з киснем
з утворенням фосгену СОС12. Внаслідок цього не рекомендується
застосовувати його для гасіння вогню в закритих примщеннях.
Тетрахлорометан
також отримують хлоруванням сірковуглецю.
3. Ненасичені
галогенопохідні
До
таких сполук відносять як моно-, так і полігалогенопохідні алкенів та алкінів.
За номенклатурою UРАС меньшою цифрою вказують положения ненасиченого зв'язку:
1-бромпропен-1,
вінілгалогенід 3-хлорбутен-1, алілгалогенід
.1
Методи одержання
Для їх
одержання використовують ті самі методи, що і для насичених галогенопохідних.
Однак відомі і специфічні методи.
. Гідрогалогенування
алкінів:
. Галогенуванням
в аллілне положення:
. Дією
на ненасичені спирти галогенуючими речовинами:
3.2
Фізичні і хімічні можливості
Реакційна
можливість галогеналкенов залежить від положення подвійного зв’язку та атома
галогену в молекулі.
Вінілгалогеніди
характеризуються низькими реакційними можливостями.
Деякі
реакції вінілхлориду:
Полівінілхлорид
В
молекулах алілгалогенідів атом галогена володіє високою рухливістю.
Алілгалогеніди вступають в реакцію нуклеофільного заміщення легше, ніж
галогеналкани.
Заміщення
проходить по SN1-механізму:
Приєднання
галогеноводнів проходить по правилу Марковнікова:
В
сполуках, де атом галогена і подвійний зв’язок розділені двома або більше С-С
зв’язків, кожна з цих груп реагує незалежно один від одного.
Висновок
Галогеноалкани
- один із найбільш реакційно здатних класів органічних сполук. За допомогою їх
вводять в різні органічні речовини алкільні радикали, тобто вони являються
алкілюючими реагентами.
Найбільш
характерні для них реакції нуклеофільного заміщення (SN), а також
відщеплення (Е).
Швидкість
заміщення різних галогенів визначається енергією зв'язку С-На1 (чим нижче
енергія, тим легкіше розрив), поляризуємістю (чим вище поляризуємість, тим
легше розрив зв'язку) та стійкістю іона, що утворюється (чим стіцкіший аніон,
тим більш легко проходить реакція). Таким чином, зв'язок С-І розривається більш
легко, ніж С-Вг, а С-Вг більш легко ніж С-С1.
Заміщення
може проходити мономолекулярно (SN 1) або бімолекулярно (SN
2). Реакції SN 1 характерні для третинних похідних (двохстадійний
тасинхронний процес), реакції SN 2 притаманні первинним
алкілгалогенідам (одностадійний синхронний процес). Вторинні алкілгалогеніди
часто реагують по змішаному типу SN1 + SN2. Заміщення по
SN1-механізму супроводжується мономолекулярним відщепленням Е1 та
утворенням олефіну.
В реакціях
SN1 швидкість процесу залежить виключно від концентрації вихідного
алкілгалогеніду; в реакціях SN2 швидкість перетворення залежить від
концентрації субстрату та реагенту (алкілгалогеніду і нуклеофілу).
Галогенопохідні
ненасичених вуглеводнів можна поділита на три типи:
. Атоми
галогену містяться біля атома вуглецю з подвійним зв'язком;
2. Атом галогену міститься біля атома вуглецю, суміжного з подвійним
зв'язком;
3. Атом галогену міститься біля атома вуглецю, відокремленого від
подвійного зв'язку кількома вуглецевими атомами.
Особливістю
галогенопохідних першого типу є нерухливість атома галогену. Вільна електронна
пара атома галогену в таких сполуках зв'язана з р-електронами подвійного
зв'язку, наприклад:
Через це
помітно скорочується зв'язок С-С1 і дуже послабляється реакційна здатність
атомів галогену.
У
сполуках другого типу атом галогену викликає поляризацію кратного зв'язку, він
дуже рухливий:
У
сполуках третього типу кожна функціональна група може вступати в реакції
незалежно одна від одної і атом галогену має такі самі властивості, як і в
галогенопохідних насиченого ряду.
Список
літератури
алкан
галогенопохідний ізомерія
1.
Ластухін Ю.О., Воронов С.А. Органічна хімія. − Л., 2000
. Ким
А.М. Органическая химия. − Н., 2002
.
Черных В.П. Лекции по органической химии. − Х., 2003
.
Черных В.П., Зименковский Б.С., Гриценко И.С. Органическая химия: Углеводы и их
функциональные производные. − Х., 1995
.
Берези Б.Д., Березин Д.Б. Курс современной органической химии. − М., 1999
.
Глубіш П.А. Органічна хімія: навчальний посібник для вищ. навч. закладів. −
К., 2002
.
Нейланд О.Я. Органическая химия. − М., 1990
.
Петров А.А., и др. Органическая химия. − СПб., 2002
.
Шабаров Ю.С. Органическая химия. − М., 2001
.
Волкова В.А., Вонский Е.В., Кузнецова Г.И. Выдающиеся химики мира. − М.,
1991
.
Домбровський А.В., Найдан В.М. Органічна хімія. − К., 1992
.
Кононський О.І. Органічна хімія. - К., 2002