Постоянные и переменные ренты
Задача 1
Постоянные и переменные ренты
Современные финансово-банковские операции часто предполагают
некоторую их последовательность во времени. Такого рода последовательность, или
ряд платежей, называют потоком платежей. Отдельный элемент такого ряда
платежей назовем членом потока.
Поток платежей, все члены которого - положительные величины,
а временные интервалы между платежами одинаковы, называют финансовой рентой,
или просто рентой. Например, рентой является последовательность получения
процентов по облигации, платежи по потребительскому кредиту, выплаты в
рассрочку страховых премий и т.д. Иногда подобного рода поток платежей называют
аннуитетом, что строго говоря, применимо только к ежегодным выплатам.
Рента описывается следующими параметрами:
- член ренты - размер отдельного платежа,
- период ренты - временной интервал между двумя
последовательными платежами,
- срок ренты - время от начала первого периода ренты до
конца последнего,
- процентная ставка - ставка, используемая при наращении
или дисконтировании платежей, образующих ренту, число платежей в году, число
начислений процентов в году, моменты платежа внутри периода ренты.
По количеству выплат членов ренты на протяжении года ренты
делятся на годовые и p-срочные. В анализе производственных инвестиций
иногда применяют ренты с периодами, превышающими год. Перечисленные виды рент
называют дискретными. В финансовой практике встречаются и с такими
последовательностями платежей, которые производятся так часто, что их
практически можно рассматривать как непрерывные.
По числу раз начислений процентов на протяжении года
различают: ренты с ежегодным начислением, с начислением m раз в году, с
непрерывным начислением.
По величине своих членов ренты делятся на постоянные (с
одинаковыми размерами ренты) и переменные. Члены переменных рент
изменяют свои размеры во времени, следуя какому-либо закону, например
арифметической или геометрической прогрессии, или несистематично (задается
таблицей).
По количеству членов различают ренты с конечным числом
членов, или ограниченные ренты (их срок заранее оговорен), и бесконечные,
или вечные ренты.
Очень важным является различие по моменту выплат платежей в
пределах периода ренты. Если платежи осуществляются в конце этих периодов, то
соответствующие ренты называют обыкновенными, или постнумерандо,
если же платежи производятся в начале периодов, то их называют пренумерандо.
В подавляющем числе практических случаев анализ потока
платежей предполагает расчет одной из двух обобщающих характеристик: наращенной
суммы или современной стоимости потока.
Наращенная сумма - сумма всех членов
потока платежей с начисленными на них к концу срока процентами.
Под современной стоимостью потока платежей понимают
сумму всех его членов, дисконтированных на начало срока ренты или некоторый
упреждающий момент времени.
Конкретный смысл этих характеристик определяется содержанием
его членов или их происхождением. Наращенная сумма может представлять собой
общую сумму накопленной задолженности к концу срока, итоговый объем инвестиций,
накопленный денежный резерв и т.д. В свою очередь современная стоимость
характеризует приведенные к началу осуществления проекта инвестиционные
затраты, суммарный капитализированный доход или чистую приведенную прибыль от
реализации проекта и т.п.
1.
Прямой метод расчета наращенной суммы и современной стоимости потока платежей
<#"660186.files/image001.gif">
Современную стоимость такого потока также находим прямым счетом
как сумму дисконтированных платежей:
где A - современная стоимость потока платежей,
-
дисконтный множитель по ставке i.
2.
Годовая рента постнумерандо
<#"660186.files/image004.gif">
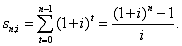
Обозначим множитель, на который умножается R, через sn;i,
нижний индекс n;i указывает на продолжительность ренты и величину
процентной ставки.
Этот множитель будем называть коэффициентом наращения ренты.
Данный коэффициент представляет собой наращенную сумму ренты, член которой равен
1:
Таким образом,
=Rsn;i.
Как видим, коэффициент наращения ренты зависит только от
срока (числа членов ренты) и процентной ставки. С увеличением значения каждого
из этих параметров его величина растет.
3.
Годовая рента, начисление m раз в году
<#"660186.files/image006.gif">
4.
Рента p-срочная <#"660186.files/image007.gif">
5. Ренты с постоянным абсолютным изменением членов во
времен <#"660186.files/image008.gif">
где v - дисконтный множитель по ставке i.
Наращенную сумму ренты легко получить, умножив (1) на (1+i)n.
После чего
Определим теперь влияние на современную стоимость ренты абсолютного
прироста платежей. Для этого преобразуем (1):
Данная формула показывает, что A линейно зависит от a.
Аналогичным образом на основе (2) получим линейную зависимость для S:
Формулы (1) и (2) и их преобразования (3) и (4) получены для
рент постнумерандо.
В свою очередь для рент пренумерандо находим
- коэффициенты приведения и наращения дискретной постоянной ренты
пренумерандо.
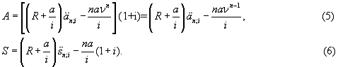
При анализе переменных рент может возникнуть обратная задача:
определение первого члена ренты R или ее прироста a по всем
остальным заданным параметрам ренты. Получив R из (1) и (2), находим для
годовых рент постнумерандо:
Если определяется размер прироста при заданном R, то
6.
Переменная р-срочная рента с постоянным абсолютным приростом
<#"660186.files/image016.gif">
Отдельный член этого ряда находится как
По определению для ренты постнумерандо при начислении
процентов p раз в году получим
7.
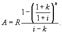
Ренты с постоянным относительным приростом платежей
<#"660186.files/image019.gif">
Пусть теперь q=1+k, где k - темп прироста
платежей. После простых преобразований получим
Прирост может быть как положительным, так и отрицательным.
Наращенная сумма ренты находится как
Для годовых рент пренумерандо получим
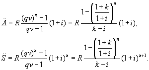
8. Рента р-срочная с постоянными
относительными изменениями членов.
Пусть платежи производятся не один, а p раз в году
постнумерандо, проценты начисляются раз в году по ставке i. В этом
случае последовательность платежей представляет собой геометрическую прогрессию
R,
, ..., Rqnp-1,
где q - темп роста за период. Начислим проценты и
суммируем результат, получим
Для современной величины такой ренты находим
9.
Постоянная непрерывная рента
<#"660186.files/image025.gif">. Найдем коэффициент приведения такой ренты, обозначим его как
. Для этого необходимо найти предел
коэффициента приведения p-срочной ренты при
.

Раскроем неопределенность, применив правило Лопиталя. Получим
Таким образом,
Аналогичным путем получим коэффициент наращения непрерывной
ренты
Очевидно, что переход от дискретных платежей постнумерандо к
непрерывным увеличивает коэффициенты приведения и наращения в i/ln(1+i)
раз. Таким образом,
Задача
2
Номинал бескупонной облигации равен М тыс. руб. и ее текущая цена
составляет Р тыс. руб. До погашения остается N лет.
Определить доходность облигации к погашению.
Исходные данные:
М = 110 тыс. руб.;
Р = 80 тыс. руб.;
N = 4
лет.
Решение.
Доходность бескупонной облигации определим по формуле:
,
где
M - номинал облигации,
Р
- цена облигации,
N - число лет до
погашения облигации.
или
8,3%;
Ответ: доходность облигации к погашению составляет 8,3%.
Задача
3
Облигация с купонной ставкой К и номиналом М долл. куплена за Р долл. за N лет до погашения.
Определить ее приблизительную внутреннюю ставку дохода, исходя из того,
что купоны погашаются раз в год.
Исходные данные:
М = 150 долл.;
Р = 120 долл.;
К = 14%;
N = 3
года.
Решение.
Для определения внутренней нормы доходности облигации используем
приближённую “купеческую” формулу:
,
где
M - номинал облигации;
P -
текущая рыночная цена облигации;
К - годовая купонная ставка, выраженная в денежных единицах;
N -
срок до погашения облигации (в годах).
(долл.);
или
23,0%;
Ответ: внутренняя ставка дохода облигации составляет 23,0%.
Задача
4
Корпорация выплатила дивиденды по Д долл. на обыкновенную акцию, и
ожидается, что сумма дивидендов будет ежегодно возрастать на q %.
Найти приведенную стоимость акции, если инвесторы дисконтируют доходы по
годовой ставке r %.
Исходные данные:
Д = 200 долл.;
r =
12%;
q =
6%.
Решение.
Определим стоимость акции, используя модель оценки, предложенную
американским экономистом Майроном Гордоном.
Согласно модели Гордона, приведенная стоимость акции Ро
определяется делением величины ожидаемого по результатам текущего года
дивиденда Д на разность между ставкой дисконтирования r и ожидаемой ставкой прироста дивиденда q:
;
(долл.);
Ответ: приведенная стоимость акции составляет 3333 долл.
Задача
5
Привилегированная акция, приносящая ежегодно по С долл. дохода, продается
за Р долл.
Найти доходность, требуемую инвесторами по этой акции.
Исходные данные:
С = 60 долл.;
P =
1200 долл.
Решение.
Доходность - это отношение прибыли к исходному капиталу,
являющемуся источником генерирования этой прибыли (чаще всего измеряется в
процентах):
,
где
С - прибыль,
Р
- исходный капитал.
или
5,0%;
Ответ: доходность составляет 5,0%.
Задача
6
Номинал векселя N млн.
руб. Простая учетная ставка d %.
Число дней с момента приобретения векселя до его погашения - t. Временная база берется равная 360
дней.
Определить величину скидки (дисконт).
Исходные данные:
N = 15
млн. руб.;
d =
12%;
t =
150 дн.
Учет векселя - покупка банком или специализированным кредитным
учреждением векселей до наступления срока платежа по ним, осуществляемая по
цене, равной их номинальной стоимости, за вычетом процента, размер которого
определяется количеством времени, оставшимся до наступления срока платежа, и
величиной ставки учетного процента.
Дисконт векселя - денежная сумма, удерживаемая банком в качестве
вознаграждения за учет. рента постнумерандо облигация
дисконт
Размер дисконта, удерживаемого банком, равен:
;
(млн.
руб.);
Ответ: дисконт составляет 0,75 млн. руб.
Список
литературы
1. Белых Л.П. Основы финансового рынка. - М.: Финансы, ЮНИТИ,
1999.
. Ковалев В.В. Финансовый анализ. - М.: Финансы и статистика,
1997.
. Кирлица В.П. Финансовая математика. Руководство к решению
задач. - Мн.: ТетраСистемс, 2005.
. Макконелл Кэмпбелл Р., Брю Стэнли Л. Экономикс (т. 2). -
М.: Республика, 1992.
. Четыркин Е.М. Финансовая математика: Учебник. - 3-е изд. -
М.: Дело, 2003.