Транспортная логистика

  • Вид работы:
    Контрольная работа
  • Предмет:
    Маркетинг
  • Язык:
    Русский
    ,
    Формат файла:
    MS Word
    22,73 Кб
  • Опубликовано:
    2013-11-10
Вы можете узнать стоимость помощи в написании студенческой работы.
Помощь в написании работы, которую точно примут!

Транспортная логистика

МИНИСТЕРСТВО ТРАНСПОРТА РФ

СИБИРСКИЙ ГОСУДАРСТВЕННЫЙ УНИВЕРСИТЕТ ПУТЕЙ СООБЩЕНИЯ

Кафедра: «Логистика, коммерческая работа и подвижной состав»








КОНТРОЛЬНАЯ РАБОТА

по дисциплине «Транспортная логистика»

Проверил преподаватель

Зачешигрива М.А.









г.Новосибирск-2013

Оглавление


Задача №1

Задача №2

Задача №3

Теоретическая часть

Введение

. Терминальные технология: определение и назначение

. Транспортный процесс и функции терминальной системы

Заключение

Список используемой литературы

Задача №1


Фирма N занимается организацией и осуществлением экспедирования перевозок 21 тысячи тонн нефтепродуктов с Ачинского нефтеперегонного завода на нефтебазу, расположенную на территорию Монголии в городе Тес-Сомон. Сеть железных дорог и автодорог региона представлена на схеме. Существующая схема транспортировки: железной дорогой до Абазы, далее автотранспортом России автомобилями Аскизского АТП дор Улан-Гом, от Улан-Гома до Тес-Сомона внутренним транспортом Монголии.

Затраты по существующему варианту составляют 1321460 рублей.

Рассмотреть возможные варианты транспортировки, выбрав оптимальный.

Таблица 1. Исходные данные

Показатель

Размер тарифа

Тариф за транспортировку нефтепродуктов



Аскизское АТП

0,37


Минусинское АТП

0,38

Тарифная стоимость превалки нефтепродуктов



Аскизская нефтебаза

234


Минусинская нефтебаза

211


Таблица 1.2 Предложенные варианты

Показатель

Вариант 1

Вариант 2

Вариант 3

Перевалка

Через нефтебазу Абазы

Через нефтебазу Минусинска

Через нефтебазу Минусинска

Перевозчик

Аскизское АТП

Аскизское АТП

Минусинское АТП

Маршрут

Абаза - Улан-Гом - Тэс-Сомон

Минусинск - Кызыл - Тэс-Сомон

Минусинск - Кызыл - Тэс-Сомон


Решение:

. Рассчитаем стоимость транспортировки нефтепродуктов по каждому из вариантов по формуле С=S*T*N, где S-путь транспорта с грузом, T-тариф за транспортировку нефтепродуктов (таблица 1), N- количество рейсов, необходимых для выполнения заданного объема перевозок. Рассчитывается по формуле: N = Q/q, где Q - общий объем перевозок, равный, по договору, 21000 т; q - грузоподъемность автомобиля принимается из расчета средней грузоподъемности автопоезда 15 т., N=1400 рейсов

Вариант 1: S=245+77+88+113+260= 783 км (расстояние от Абазы до Тэс-Сомон)

С1=0,37*783*1400=405594 руб

Вариант 2: S=416+281+17=714 км (расстояние от Минусинска до Тэс-Сомон)

С2=0,37*714*1400=369852 руб

Вариант 3: S=416+281+17=714 км (расстояние от Минусинска до Тэс-Сомон)

С3=0,38*714*1400=3799848

. Рассчитаем стоимость подачи транспортных средств под погрузку по формуле: Тариф за подачу транспорта к месту погрузки Тподачи = 6 руб/км.

Стоимость подач определяется по формуле:

Сподачи = Тподачи * N * L

Здесь L - расстояние между транспортным предприятием и нефтебазой, км; N - количество рейсов, необходимых для выполнения заданного объема перевозок (рассчитано выше), N=1400 рейсов.

Вариант 1: L=86 км км (расстояние от Аскиза до Абазы)

Сп1=6*1400*86=722400 руб

Вариант 2: L=86+22=104 км км (расстояние от Аскиза до Минусинска)

Сп2=6*1400*104=873600 руб

Вариант 3: L=0 км (расстояние от Минусинска до Минусинска)

Сп1=6*1400*0=0 руб

. Рассчитаем стоимости перевалки нефтепродуктов на нефтебазах по формуле Спер=N*Tп, где N-количество рейсов, Тп - тариф перевалки (данные из таблицы 1)

Вариант 1: Тп=234 руб за рейс, Спер=234*1400=327600 руб

Вариант 3: Тп=211 руб за рейс, Спер=211*1400=295400 руб

. Подсчитаем всего затрат по каждому варианту, сложив полученные результаты.

Вариант 1: 1455594 руб

Вариант2: 1538852 руб

Вариант 3: 675248 руб

Таблица 1.3 Полученные результаты


вариант 1

вариант 2

вариант 3

Стоимость транспортировки нефтепродуктов

405594

369852

379848

Стоимость подачи транспортных средств

722400

873600

0

Стоимость перевалки нефтепродуктов на нефтебазах

327600

295400

295400

всего затрат

1455594

1538852

675248


Вывод: наиболее оптимальный вариант №3.

 

Задача №2


Задача о рационализации движения вина

Фирма К осуществляет закупки спиртных напитков в Молдове с последующей доставкой их в Москву.

Более десяти заводов, находящихся в разных районах Молдовы, автотранспортом доставляют напитки в коробках, по 12 бутылок в каждой, на склад общего пользования на железнодорожную станцию Кишинева. На сладе груз накапливается до полной партии, затем происходит загрузка вагонов, и под таможенным контролем следует до таможенного склада в Москве.

На таможенном складе в Москве происходит выгрузка, таможенный досмотр и выдача товара собственнику, т. е. ручная погрузка товара в автомобили и доставка от таможенного склада на склад покупателя.

Руководство признала данную схему неэффективной.

1. Из-за отсутствия возможности комиссионной приемки количеству и качеству в Молдове идет недовложение, пересортица.

2.      Грузоотправители поставляют не пакетированный товар. Как следствие неоднократная ручная переработка.

.        Дополнительные затраты на перевозку автотранспортом по Москве. При этом у получателя есть свой подъездной ж/д путь.

Данные проблемы могут быть устранены:

1. Построить собственный склад в Кишинёве;

2.      Производить растомаживание не в Москве, а непосредственно у границы в Брянске.

Таблица 2. Рационализация движения вина

Показатель

Обозначения

Размер тарифа

Количество закупаемой в республике продукции, тыс. т/год

Q

28

Тариф за транспортировку по ж/д 1 т импортного груза (под таможенными пломбами) от границы со страной поставщика до Москвы, руб/т

Тим

502

Тариф за транспортировку по железной дороге 1 тонны импортного груза (под таможенными пломбами) от границы со страной поставщика до таможенного склада в Брянске, руб/т

Тиб

155

Тариф за транспортировку по железной дороге 1 тонны внутреннего груза России от таможенного склада в Брянске до склада фирмы К в Москве, руб/т

Тв

83

Тариф за ручные погрузочно-разгрузочные работы в Московском таможенном терминале, руб/т

Тр

307

Тариф за механизированные погрузочно-разгрузочные работы в Брянском таможенном терминале, руб/т

Тмех

126

Тариф за автомобильные перевозки грузов фирмы по Москве, руб/т

Та

183

Уровень потерь от недовложений (по первой схеме товародвижения), % партии

λпот

0,1

Годовой размер затрат дополнительных затрат (эксплуатационных, управленческих и др.), необходимых для реализации предлагаемой схемы товародвижения, млн руб/год

Зг

7

Размер капитальных вложений, необходимых для реализации предлагаемой схемы товародвижения (стоимость склада в Кишиневе), млн руб

Рк


Данная схема товародвижения имеет значительные недостатки, среди которых:

·  нет возможности контролировать качество товара и его комплектность в Молдове;

·        на всём пути следования товара осуществляется ручная погрузка-разгрузка, что влечёт за собой потери товара;

·        перевозка груза по территории России осуществляется по ж/д под таможенными пломбами по высоким тарифам.

Организовав собственный склад в Кишинёве фирма К сможет:

·    самостоятельно осуществлять формирование вагонной партии товара;

·        контролировать количество и качество продукции в партиях, т.е. исключить недочёты.

Также, помимо собственного склада в Кишинёве, таможенное оформление товара осуществлять в Брянске (собственный склад), что значительно снизит стоимость транспортировки груза железнодорожным транспортом, как по территории России, так и автомобильным транспортом по территории Москвы.

Решение:

. Определим годовую экономию от организации приемки продукции от заводов на складе фирмы, организованном в столице страны поставщика по формуле:

Эг=Q*λпот*ц

Тк 1 т брутто-груза включает 800 бутылок товарной продукции, закупочная цена 1 бутылки - 48 руб, получаем Эг=28000*800*48*0,001=1075200 руб

. Определим годовую экономию, получаемую от разницы железнодорожных тарифов за перевозку импортного и внутреннего грузов по формуле:

Эжд=(Тим-(Тиб+Тв))*Q=(502-(155+83))*28000=7392000 руб

. Определим годовую экономию, получаемую от разницы стоимости погрузочно-разгрузочных работ по двум схемам товародвижения по формуле:

Эпер=(Тр-Тмех)*Q=(307-126)*28000=5068000 руб

. Определим годовую экономию, получаемую от ликвидации автомобильных перевозок по Москве (от таможенного склада до склада фирмы) по формуле:

Эавт=Та*Q=183*28000=5124000 руб

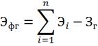
. Определим годовой экономический эффект (Эфг) от внедрения оптимизированной схемы товародвижения спиртных напитков по формуле:


Здесь Эi - отдельная статья годовой экономии от внедрения предлагаемой схемы товародвижения;

Зг - годовой размер дополнительных затрат (эксплуатационных, управленческих и др.), необходимых для реализации предлагаемой схемы товародвижения.

Эфг=1075200+7392000+5068000+5124000-7000000=11659200 руб

. Определим срок окупаемости (Т) капитальных вложений, необходимых для реализации предлагаемой схемы товародвижения по формуле:

Т=К/Эфг

где К - размер необходимых капитальных вложений.

Т=11659200/10000000=0,86 лет

Таблица №2.2 Расчёт срока окупаемости капиталовложений

Показатель

Значение, руб

1. Годовая экономия от организации приемки продукции от заводов на складе фирмы, организованном в Кишиневе, руб/год

1075200

2. Годовая экономия, получаемая от разницы железнодорожных тарифов за перевозку импортного и внутреннего грузов, руб/год

7392000

3. Годовая экономия, получаемая от разницы стоимости погрузочно-разгрузочных работ по двум схемам товародвижения, руб/год

5068000

4. Годовая экономия, получаемая от ликвидации автомобильных перевозок по Москве (от таможенного склада до склада фирмы), руб/год

5124000

5. Годовой экономический эффект от внедрения предлагаемой схемы товародвижения спиртных напитков, руб/год

11659200

6. Срок окупаемости капитальных вложений, необходимых для реализации предлагаемой схемы товародвижения, лет

0,85769178


Вывод: проект эффективен, т. к. он окупается менее чем за 5 лет.

 

Задача №3


Если предположить, что качество услуг разных фирм одинаково, то границы рынка будут напрямую зависеть от себестоимости услуг и затрат на перевозку, которые в сумме составляют продажную цену:

Спрi=Сi + Cгрili

где Спрi - продажная цена услуги, i-ой фирмы, руб; Сi - себестоимость услуги, i-ой фирмы, руб; Cгрi - тариф i-ой фирмы на перевозку, руб/ед.км; li - расстояние от i-ой фирмы до границы рынка, км.

Границей рынка является точка безупречности для каждой фирмы, которая определяется из условия равенства продажной цены:

СпрА = СпрВ => СА + CгрАlА = СВ + CгрВlВ


Подставим в полученное выражение необходимые данные:

СгрА=Сгр1=32 руб/км

СгрВ=Сгр2=18 руб/км

СА=С1=242 руб

СВ=С2=217 руб

L=1000 км

Получим:

lA=(18×1000+217-242):(18+32)=359,5 км

Ответ: граница рынка составляет 359,5 км

Теоретическая часть

 

Введение


Развитие грузоперевозок привело к возникновению и развитию терминальных систем. В наши дни терминальные перевозки грузов в Западной Европе и Америке стали основой всей системы междугородного и международного транспортного сообщения. Терминальная технология используется как крупными, так и мелкими компаниями. Благодаря терминальной системе, происходит ускоренная обработка грузов, что способствует оперативной доставке товаров и позволяет иметь запасные склады с целью сглаживания сезонных колебаний в спросе.

Организаторами терминальных систем обычно выступают экспедиторы-операторы, а также перевозчики различных видов транспорта (включая морской, железнодорожный, автомобильный и воздушный), создающие многоотраслевые, либо специализированные терминалы.

1. Терминальные технология: определение и назначение

терминальный движение автотранспорт перевозка

Перевозка грузов, организуемая и осуществляемая через терминалы, называется терминальной перевозкой. В роли организаторов терминальных перевозок выступают, как правило, транспортно-экспедиционные фирмы, использующие уникальные или специализированные терминалы и терминальные комплексы.

Главное назначение терминальной системы состоит в расширении сферы деятельности транспорта общего пользования при резком улучшении использования большегрузных автопоездов. При этом традиционный сквозной метод доставки грузов полностью не исключается. Но он должен использоваться при перевозке крупных, не требующих под группировки партий груза, при перевозках на относительно малые расстояния и т. п. По предварительным оценкам через терминалы в зависимости от структуры грузопотоков должно перевозиться 40-60% всех грузов во внутриобластном и 70-80% в межобластном и межреспубликанском сообщениях.

Грузовым терминалом называется специальный комплекс организационно взаимосвязанных сооружений, персонала и технических устройств, предназначенных для выполнения логистических операций, связанных с приемом, погрузкой-разгрузкой, хранением, сортировкой, грузопереработой различных партий грузов, а также коммерческо-информационным обслуживанием грузополучателей, перевозчиков и других логистических посредников.

Терминалы подразделяют на универсальные и специализированные.

Универсальные терминалы представляют собой группу складов с дистрибутивным центром. Основные функции этих терминалов:

·  маркетинговые исследования рынка транспортно-логистического сервиса;

·        оформление договоров с клиентами, прием и обработка заявок;

·        сбор и развоз грузов;

·        консолидация, разукрупнение, сортировка, комплектация и другие операции грузопереработки;

·        информационно-компьютерная поддержка сервисных услуг терминала.

В последние годы на крупных терминалах осуществляются операции длительного хранения и таможенной обработки («очистки») грузов.

Специализированные терминалы осуществляют переработку и перевозку какого-то одного вида груза. Специализация дает возможность наилучшим образом изучить потребности клиента, применить оптимальный подвижной состав, создать эффективные компьютерные системы для складирования, хранения и управления процессом перевозок.

2. Транспортный процесс и функции терминальной системы


Транспортный процесс, посредством которого осуществляется терминальная обработка груза, делится на три самостоятельных в организационном и техническом плане, но скоординированных между собой подсистемы:

·  доставка грузов на терминал и их развоз с терминала,

·        переработка грузов внутри терминала,

·        межтерминальная перевозка грузов.

Грузы, завозимые на терминал, требуют подгруппировки, хранения, либо выполнения таможенного оформления. Прочие грузы перевозятся напрямую от отправителя к получателю. Благодаря терминальным технологиям, обеспечивается максимально эффективное использование большегрузного подвижного состава, применяемого в целях транспортировки грузов между терминалами. В случае, если производится прямая доставка, подвижной состав может быть недогружен, а в случае прямой доставки с подгруппировкой большое время затрачивается на объезд пунктов погрузки-разгрузки в целях сбора попутного груза, либо его развоза.

Основными функциями системы управления в сфере деятельности терминалов являются:

·  контроль за своевременным поступлением грузов, полуприцепов, загруженных бортовых автомобилей в соответствии с производственными заданиями;

·        контроль за состоянием нормативного (страхового) уровня наличия грузов, контейнеров, полуприцепов на терминалах

·        регулирование запасов грузов при отклонении от нормативных

·        контроль за укомплектованием и разукомплектованием грузов по направлениям для подвозо-развозочной и межтерминальной подсистем.

Заключение

На сегодняшний день терминальную технологию используют различные компания и предприятия для перевозки грузов на различные расстояния. Построение логистической системы смешанных перевозок с использованием терминальных комплексов, обеспечивает пользователей комплекса транспортно-экспедиционным обслуживанием с быстрым и удобным прохождением таможенных процессов.

Список используемой литературы


1.            Транспортная логистика : учеб. по спец. "Орг. перевозок и упр. на транспорте" / ред. Л. Б. Миротин - М. : Экзамен, 2002. - 511 с.

2.      Николайчук, В. Е. Транспортно-складская логистика : учебное пособие / В. Е. Николайчук. - М. : Дашков и К0, 2008. - 451 с.

.        Троицкая, Н. А. Мультимодальные системы транспортировки и интермодальные технологии : учебное пособие по спец. "Орг. перевозок и упр. на транспорте" - М. : Академия, 2009. - 331 с

Похожие работы на - Транспортная логистика

 

Не нашли материал для своей работы?
Поможем написать уникальную работу
Без плагиата!
Без нейросетей!