Пенсионная реформа

  • Вид работы:
    Курсовая работа (т)
  • Предмет:
    Финансы, деньги, кредит
  • Язык:
    Русский
    ,
    Формат файла:
    MS Word
    637,87 Кб
  • Опубликовано:
    2013-06-10
Вы можете узнать стоимость помощи в написании студенческой работы.
Помощь в написании работы, которую точно примут!

Пенсионная реформа

Пенсионная реформа

 


Введение


Современная рыночная экономика создает систему социальной защиты населения, одним из важных аспектов которой является пенсионное обеспечение. Реформа пенсионной системы должна обеспечить соблюдение принципов социальной справедливости.

Особая важность пенсионного обеспечения и его влияние на общественные и политические процессы, определяет политику страны в данной области развития. В России для социального обеспечения населения страны создан государственный пенсионный внебюджетный фонд и сеть негосударственных пенсионных фондов и управляющих компаний.

Актуальность рассматриваемой проблемы определяется тем, что в условиях рыночной экономики главным институтом защиты человека является пенсионное страхование. На данном этапе развития и реформирования нашего социально-экономического пространства, общество оказалось неготовым к осмыслению изменений в области пенсионного страхования в условиях развития экономики. В связи с этим важно изучить теоретические основы пенсионного страхования.

Вопрос реформирования российской пенсионной системы представляет собой одну из основных проблем российского законодательства. Данная проблема имеет много «белых пятен» в научных разработках и научном анализе эволюции развития пенсионной системы в нашей стране.

Целью курсовой работы является изучение теоретических основ реформирования пенсионной системы в России, а также проблем и перспектив реализации пенсионной реформы на современном этапе.

Для достижения поставленной цели были сформулированы следующие задачи:

-       определить цели, задачи и направления пенсионной реформы;

-       проанализировать деятельность пенсионных фондов в системе пенсионного страхования;

-       провести исследование показателей инвестирования пенсионных накоплений;

-       провести исследование деятельности негосударственных пенсионных фондов;

-       рассмотреть проблемы и перспективы реализации пенсионной реформы на современном этапе.

Объектом исследования курсовой работы выступает система пенсионного обеспечения в России.

Предмет исследования составляют состояние и перспективы реализации пенсионной реформы в России.

Научная и практическая значимость работы состоит в том, что сделанные выводы и предложения позволяют расширить степень исследований по проблемам пенсионного страхования.

Структура работы сформирована с учетом поставленных цели и задач и состоит из введения, трех глав, заключения и списка изучаемой литературы.

В первой главе рассмотрены теоретические основы реформирования пенсионной системы РФ. Во второй главе проведен анализ хода пенсионной реформы в России, изучены пенсионные накопления граждан и их инвестиционная активность. Третья глава посвящена проблемам и перспективам реализации пенсионной реформы на современном этапе.

1. Теоретические основы реформирования пенсионной системы РФ

 

.1 Необходимость проведения пенсионной реформы


Россия стремится выстроить пенсионную систему, опираясь на опыт других стран. В 2002 году в России была предпринята масштабная пенсионная реформа, цель которой повышение уровня жизни пенсионеров и гарантия финансовой устойчивости государственной пенсионной системы.

До нынешнего времени выплаты пенсий происходили по четко отлаженной схеме: те, кто на пенсии, получали деньги за счет налогов, которые платились предприятиями за работающих граждан. Такая система могла бы работать стабильно, если бы на одного пенсионера приходилось 4-5 работающих, а ставка единого социального налога, выплачиваемого работодателем, не изменялась.

Однако свои коррективы вносит неутешительная демографическая ситуация в стране. Детей с каждым годом рождается меньше, а стареющее население растет. Сегодня на 10 пенсионеров приходится только 16 работающих. Не нужно быть профессиональным демографом, чтобы сделать следующий прогноз: рано или поздно наступит момент, когда это соотношение сравняется. Для того чтобы уберечь систему, придется либо уменьшать размер пенсионных выплат, либо увеличивать налоги. И то, и другое означает крах российской экономики.

Пенсионная реформа, начавшаяся в России в 2002 году, призвана предотвратить кризис.

Результатом Пенсионной реформы должно стать формирование в России смешанной распределительно-накопительной пенсионной системы. Такая система позволит, с одной стороны, сохранить гарантии получения пенсий для старших поколений, а с другой стороны - улучшить пенсионные возможности для более молодых, при этом сняв с государства часть ответственности за старость его граждан.

Главные компоненты реформы:

.        Изменение распределительной системы: пенсия будет больше зависеть от уплаченных пенсионных взносов.

.        Введение накопительного элемента в систему трудовых (т.е. обязательных) пенсий.

.        Создание широких возможностей для добровольного накопления пенсий.

Таким образом, не следует сводить всю Пенсионную реформу только к появлению накопительной части трудовых пенсий. Неверно и представление о том, что после завершения реформы в стране останется лишь накопительная пенсионная система.

Основная часть пенсий в новой российской пенсионной системе с 2002 года носит название «трудовых». Трудовые пенсии делятся на три типа:

-       трудовая пенсия по старости;

-       трудовая пенсия по инвалидности;

-       трудовая пенсия по случаю потери кормильца;

Трудовые пенсии в новой системе состоят из нескольких компонентов: базовой части, страховой части и накопительной части.

Из них две части - базовая и страховая составляют распределительную систему. Базовая часть должна быть одинаковой почти для всех и фактически представлять собой социальное пособие по старости (нетрудоспособности). А страховая часть будет привязана к размеру пенсионных взносов, перечисленных за работника в ПФР в течение всей его трудовой жизни. Поскольку пенсионные взносы зависят от зарплаты, то получаемая пенсия окажется связанной с зарплатой гораздо теснее, чем раньше. Это, в свою очередь, должно стать стимулом для легализации зарплат. Если до начала реформы многие работодатели старались выдавать своим сотрудникам зарплату (или, по крайней мере, большую ее часть) неофициально, «в конвертах», и не платили с нее пенсионных взносов, то теперь работники будут заинтересованы в «белой» зарплате и соответствующем перечислении пенсионных взносов в ПФР.

Средства накопительной части подлежат инвестированию с целью получения инвестиционного дохода.

Если бы средства накопительной части пенсии должны были аккумулироваться только в ПФР, ценность такой реформы была бы невелика. Во-первых, граждане не чувствовали бы ответственности за свою будущую пенсию. Во-вторых, эффективность управления средствами в государственных накопительных пенсионных фондах обычно низка (об этом свидетельствует опыт многих стран). Гораздо выгоднее для граждан и полезнее для экономики, если пенсионные накопления будут передаваться для инвестирования в частные финансовые институты, а выбор такого финансового института предоставляться гражданам. В России у граждан есть возможность выбора между двумя типами финансовых организаций: частными управляющими компаниями (УК) и негосударственными пенсионными фондами (НПФ).

Данный вариант выгоден и гражданам, и государству.

Гражданин получает шанс на более высокий доход, а значит, и на больший размер пенсии. В стремлении к достойному обеспечению своей старости он приучается меньше полагаться на государство и больше - на себя самого. Раньше в России не было такой свободы в распоряжении своими пенсионными накоплениями. Но оборотной стороной этой свободы является повышение собственной ответственности.

Государству выгодно, чтобы забота о пенсиях и ответственность за них хотя бы частично была снята с него и переложена на самих граждан и финансовые институты. УК и НПФ выигрывают, потому что к ним в управление придут большие капиталы. Наконец, народное хозяйство получит необходимые для его развития «длинные» инвестиционные ресурсы.

В долгосрочном плане от введения накопительных пенсий можно ожидать следующих благоприятных изменений:

.        Благосостояние будущих пенсионеров повысится за счет длительного срока накопления средств для финансирования пенсий.

.        Привлечение пенсионных «длинных денег» в качестве инвестиций в экономику страны обеспечит более высокие темпы экономического роста.

.        Снизится нагрузка на государственную пенсионную систему.

.        Увеличится доля официальных («белых») зарплат, и как следствие - активнее будет развиваться рынок труда.

.        Появятся возможности для развития фондового рынка и финансовой инфраструктуры.

Перечисленные сдвиги касаются практически всех сфер экономической и социальной жизни, поэтому сегодня пенсионная реформа относится к одним из наиболее значимых преобразований в России. Очень важно полностью использовать ее потенциал. Однако следует признать, что уровень готовности всех основных участников процесса (государства, частного бизнеса и населения) к участию в реформе далек от идеального. Поэтому в краткосрочном плане быстрых успехов ожидать не приходится.

Все, о чем рассказывалось выше, касается обязательной (государственной) пенсионной системы. Но пенсионная реформа затрагивает все формы пенсионного обеспечения, в том числе и добровольное формирование пенсий в негосударственном пенсионном фонде (НПФ).

При существующем уровне зарплат и пенсионных взносов накопить на пенсию большую сумму в рамках государственной пенсионной системы не представляется возможным. У людей с низкими зарплатами пенсии будут составлять солидный процент от них, но абсолютное значение этих пенсий будет все равно мало. У высокооплачиваемых работников процент отчислений в страховую и накопительную часть, наоборот, оказывается слишком маленьким (из-за регрессивной школы ЕСН: чем больше база, тем меньше ставка налога), поэтому их пенсии в процентах от зарплат будут даже меньше, чем у бедных и средних слоев. Следовательно, выход на пенсию для таких людей будет означать серьёзное снижение уровня жизни.

Как уже известно, сегодня отношение средней пенсии к средней зарплате («коэффициент замещения») в России составляет менее 30%. Реформа трудовых пенсий позволяет рассчитывать на повышение этого уровня до 35-40% лишь через 15-20 лет. Между тем, по мнению специалистов Международной организации труда (МОТ), для нормальной комфортной жизни на пенсии коэффициент замещения должен находиться на уровне 65-70%.

Как может этого добиться обыкновенный трудящийся россиянин? Только одним способом: копить себе на пенсию самостоятельно. Наилучшим вариантом сегодня является добровольное пенсионное обеспечение в негосударственном пенсионном фонде (НПФ). Для большинства это несколько непривычно, но трезвый анализ убеждает в том, что без заботы о собственном будущем обеспеченная старость останется лишь недостижимой мечтой.

 

.2 Основные цели, задачи и направления пенсионной реформы


Пенсионная реформа направлена на изменение существующей распределительной системы начисления пенсий, дополняя ее накопительной частью и персонифицированным учетом страховых обязательств государства перед каждым гражданином.

Основной задачей реформы является достижение долгосрочной финансовой сбалансированности пенсионной системы, повышение уровня пенсионного обеспечения граждан и формирование стабильного источника для дополнительных доходов в социальную систему.

Суть реформы заключается в коренном изменении взаимоотношений между работником и работодателем: в повышении ответственности работников за обеспечение своей старости, а также в повышении ответственности работодателя за уплату страховых взносов за каждого работника.

Цель пенсионной реформы:

-       реализовать гарантированные статьей 39 Конституции РФ права граждан на пенсионное обеспечение в старости, в случае инвалидности, при потере кормильца, в других случаях, установленных законом;

-       развить пенсионное обеспечение на основе государственного пенсионного страхования;

-       дать дополнительный источник для повышения размера пенсии за счет инвестирования части пенсионных отчислений и поставить в зависимость размер пенсии от размера зарплаты.

Таким образом, от распределительного принципа выплаты пенсий Россия переходит к распределительно-накопительному. Это означает, что вместо того, чтобы все отчисления с работающего, входящие в единый социальный налог, шли на выплату пенсий нынешним пенсионерам, некоторая их часть пойдет на личный счет этого конкретного работающего и будет инвестироваться в различные финансовые инструменты, определенные государством.

Сумма на счете конкретного гражданина будет зависеть от его зарплаты, а также от результатов инвестирования.

К старости на пенсионном счете у гражданина будет накапливаться определенная сумма. Российская экономика получит инвестиционные ресурсы, а граждане и работодатели будут заинтересованы, чтобы зарплаты выплачивались легально.

Новое пенсионное законодательство РФ предусматривает:

-       государственные пенсии: пенсия за выслугу лет, пенсия по старости, пенсия по инвалидности, социальная пенсия;

-       трудовые пенсии: трудовая пенсия по старости, трудовая пенсия по инвалидности, трудовая пенсия по случаю потери кормильца.

Право на государственные пенсии имеют: федеральные государственные служащие; военнослужащие; участники Великой Отечественной Войны; граждане, пострадавшие в результате радиационных или техногенных катастроф; нетрудоспособные граждане.

Под трудовой пенсией понимается ежемесячная денежная выплата в целях компенсации гражданам заработной платы или иного дохода, которые получали застрахованные лица перед установлением им трудовой пенсии либо утратили нетрудоспособные члены семьи застрахованных лиц в связи со смертью этих лиц. Право на трудовую пенсию определяется условиями и нормами, установленными пенсионным законодательством РФ.

Гражданам, не имеющим по каким-либо причинам права на трудовую пенсию, устанавливается социальная пенсия на условиях и в порядке, определяемым Федеральным законом №166-ФЗ.

Обязательным страховым обеспечением по пенсионному страхованию являются:

-       страховая и накопительная части трудовой пенсии по старости;

-       страховая и накопительная части трудовой пенсии по инвалидности;

-       страховая часть трудовой пенсии по случаю потери кормильца;

-       социальное пособие на погребение умерших пенсионеров, не работавших на день смерти.

Трудовой стаж - это суммарная продолжительность периодов работы и иной деятельности, учитываемая при определении права на отдельные виды пенсий по государственному пенсионному обеспечению и которые засчитываются в страховой стаж для получения трудовой пенсии, предусмотренной Федеральным Законом «О трудовых пенсиях в Российской Федерации».

Под страховых стажем понимается учитываемая при определении права на трудовую пенсию суммарная продолжительность периодов работы и / или иной деятельности, в течение которых уплачивались страховые взносы в ПФ РФ, а также иные периоды, засчитываемые в страховой стаж.

В страховой стаж включаются:

-       период работы и / или иной деятельности, выполнявшиеся на территории России лицами, застрахованными в соответствии с законодательством об обязательном пенсионном страховании (далее - застрахованные лица);

-       периоды работы и / или иной деятельности, выполнявшиеся застрахованными лицами за пределами России, в случаях, предусмотренных законодательством Российской Федерации или ее международными договорами, либо в случае уплаты страховых взносов в ПФР при добровольном вступлении в правоотношения по обязательному пенсионному страхованию;

-       иные периоды, предусмотренные законодательством РФ.

Исчисление страхового стажа, требуемого для приобретения права на трудовую пенсию, производится в календарном порядке.

1.3 Деятельность пенсионных фондов в системе пенсионного страхования


Идея страхования в целом основана на принципе распределения негативных последствий при наступлении определенного случая для одного из участников страхования между всеми остальными участниками. В этой связи формирование финансовой основы страхования базируется на создании за счет страховых взносов внебюджетных фондов. В 2001 году обязательные платежи во внебюджетные фонды были объединены в единый социальный налог. Федеральный закон №167-ФЗ изменил данный порядок, введя страховые взносы в Пенсионном фонде России, за счет которых частично финансируется выплата трудовых пенсий.

В соответствии с Программой пенсионной реформы в России создана комбинированная пенсионная система, которая включает в себя обязательное пенсионное страхование, государственное пенсионное обеспечение, дополнительное пенсионное страхование.

Социальное обеспечение по обязательному пенсионному страхованию представлено трудовыми пенсиями различных видов: по старости, по инвалидности, по случаю потери кормильца. Оно ориентировано, во-первых, на удовлетворение материальных потребностей нетрудоспособного населения путем обеспечения минимальных стандартов жизни, во-вторых, на возмещение гражданам части дохода, который они имели до утраты способности к производительному труду. Эти две составляющие обязательного пенсионного страхования имеют разное экономическое содержание, но направлены на достижение одних и тех же социальных целей. В рыночных экономических условиях природа обязательного пенсионного страхования приобретает некоторую двойственность: оно обязано выполнять функции социальной защиты пенсионеров и одновременно выступать в качестве экономического механизма страхования.

Основы государственного регулирования обязательного пенсионного страхования в России устанавливает Федеральный закон от 15 декабря 2001 года №167-ФЗ «Об обязательном пенсионном страховании в Российской Федерации». Данным законом обязательное пенсионное страхование определено как система создаваемых государством правовых, экономических и организационных мер, направленных на компенсацию гражданам заработка, получаемого до установления обязательного страхового обеспечения. Обязательное пенсионное страхование занимает центральное положение как в структуре пенсионной системы, так и в системе обязательного социального страхования.

Основным страховщиком, осуществляющим обязательное пенсионное страхование, является Пенсионный фонд РФ, действующий в организационно-правовой форме государственного учреждения.

Пенсионный фонд, в качестве страховщика, осуществляет следующие функции:

-       регистрацию страхователей;

-       индивидуальный (персонифицированный) учет;

-       сбор страховых взносов на обязательное пенсионное страхование;

-       деятельность по инвестированию пенсионных накоплений;

-       назначение, расчет, перерасчет и выплату трудовых пенсий.

Государство несет перед застрахованными лицами субсидиарную ответственность по обязательствам Пенсионного фонда РФ, что соответствует положениям гражданского законодательства, регулирующим ответственность некоммерческих организаций, созданных в организационно-правовой форме учреждений.

С 2004 года наряду с Пенсионным фондом РФ функции страховщика по обязательному страхованию могут выполнять негосударственные пенсионные фонды в случае, если застрахованное лицо реализует свое право на отказ от формирования накопительной части трудовой пенсии через Пенсионный фонд РФ и передачу своих средств пенсионных накоплений в негосударственный пенсионный фонд, путем заключения договора об обязательном пенсионном страховании и подачи соответствующего заявления в территориальный орган Пенсионного фонда РФ. В этом случае субсидиарную ответственность за сохранность пенсионных средств застрахованного лица будет нести выбранный негосударственный пенсионный фонд. В настоящее время в России действует порядка 300 негосударственных пенсионных фондов, имеющих лицензию Министерства труда и социального развития Российской Федерации. Вкладчики - как предприятия, так и отдельные граждане - перечисляют пенсионные взносы в пользу более чем 5 млн. человек. Около 400 тысяч человек, то есть каждый сотый пенсионер нашей страны, получает негосударственную пенсию. Основными критериями при выборе негосударственного пенсионного фонда являются следующие: опыт и репутация данного фонда на рынке негосударственного пенсионного обеспечения; сведения о размере имущества фонда; доходность от размещения пенсионных резервов. Сохранность пенсионных накоплений, перечисляемых в Пенсионный фонд Российской Федерации и негосударственный пенсионный фонд, практически одинакова, а уровень доходности, получаемый негосударственным пенсионным фондом, выше доходности, получаемый Пенсионным фондом Российской Федерации.

Страхователи по обязательному пенсионному страхованию делятся на две группы. В первую входят организации, а также индивидуальные предприниматели и другие физические лица, начисляющие и уплачивающие страховые взносы на выплаты в пользу лиц, с которыми заключены трудовые ил гражданско-правовые договоры. Ко второй группе страхователей относятся индивидуальные предприниматели, адвокаты и приравненные к ним частные детективы и занимающиеся частной практикой нотариусы. Таким образом, страхователями являются все плательщики страховых взносов на обязательное пенсионное страхование, а также лица, уплачивающие взносы в фиксированном размере.

Застрахованные лица - лица, на которых распространяется обязательное пенсионное страхование в РФ, подразделяются на три группы. К первой относятся граждане РФ, проживающие на ее территории, иностранные граждане и лица без гражданства, которые работают по трудовому договору или договору гражданско-правового характера, предметом которого является выполнение работ, оказание услуг, а также по авторским договорам. Вторая группа - это лица, самостоятельно обеспечивающие себя работой, являющиеся членами крестьянских хозяйств, членами родовых, семейных общин малочисленных народов Севера. Третья группа - это иные категории граждан, у которых отношения по обязательному пенсионному страхованию возникают в соответствии с Федеральным законом №167-ФЗ. К ним относятся граждане РФ, работающие за ее пределами и добровольно осуществляющие уплату страховых взносов в бюджет Пенсионного фонда РФ, а также физические лица, добровольно вступившие в правоотношения по обязательному пенсионному страхованию и уплачивающие страховые взносы в бюджет Пенсионного фонда РФ за другое физическое лицо, за которое такая уплата страхователем не осуществляется.

Основанием для возникновения правоотношений по обязательному пенсионному страхованию является наступление страхового случая, которым признается достижение пенсионного возраста, наступление инвалидности, потеря кормильца. Соответственно каждому страховому случаю Федеральный закон №167-ФЗ устанавливает виды обязательного страхового обеспечения, из которых первые три - страховая и накопительная часть трудовой пенсии по старости, страховая и накопительная часть трудовой пенсии по инвалидности, страховая часть трудовой пенсии по случаю потери кормильца. Четвертым видом обязательного страхового обеспечения является социальное пособие на погребение умерших пенсионеров, не работавших на день смерти, установление и выплата которого осуществляются в соответствии с Федеральным законом от 12 января 1996 года №8-ФЗ «О погребении и похоронном деле».

В целях финансового обеспечения страховых выплат, Пенсионный фонд Российской Федерации формирует бюджет денежных средств.

К составлению бюджета Пенсионного фонда России предъявляются следующие требования:

-       бюджет должен составляться страховщиком на финансовый год с учетом обязательного сбалансирования доходов и расходов этого бюджета, то есть объем предусмотренных бюджетом расходов должен соответствовать суммарному объему доходов бюджета и поступлений из источников финансирования его дефицита;

-       при формировании бюджета на очередной финансовый год устанавливается норматив оборотных денежных средств, не включаемых в состав временно свободных средств резерва бюджета Пенсионного фонда России.

Бюджет Пенсионного фонда РФ состоит из бюджетов его территориальных органов. Он формируется за счет страховых взносов, средств федерального бюджета, сумм пеней и иных финансовых санкций, доходов от размещения временно свободных средств обязательного пенсионного страхования, добровольных взносов физических лиц и организаций, уплачиваемых ими не в качестве страхователей или застрахованных лиц, иных источников, не запрещенных

Пенсионный фонд Российской Федерации осуществляет сбор страховых взносов на финансирование страховой и накопительной частей трудовой пенсии. Сумма страховых взносов, направляемых на финансирование страховой и накопительной частей трудовой пенсии, за каждое застрахованное лицо составляет 14%. Страховой взнос в 8% - для лиц 1967 года рождения и моложе формирует страховую часть трудовой пенсии, 6% формирует накопительный персонифицированный резерв, и может направляться на финансирование накопительной части трудовой пенсии в момент выхода на пенсию данного застрахованного лица.

Пенсии, пособия и другие виды социальной помощи должны обеспечивать прожиточный уровень жизни.

Изменение условий и норм назначения и выплаты пенсий может производиться только путем внесения в Закон о государственном пенсионном обеспечении изменений и дополнений, т.е. путем принятия соответствующих федеральных законов. Это означает, что законодатель стремился исключить случаи «корректировки» федеральных законов с помощью иных нормативных правовых актов, что в последние годы довольно часто происходило на практике.

Законом о государственном пенсионном обеспечении Правительству РФ поручено установить условия назначения пенсий гражданам, пострадавшим в результате других (кроме чернобыльской) радиационных или техногенных катастроф, а также членам их семей, порядок и условия признания граждан инвалидами, порядок включения в стаж государственной службы для назначения пенсии за выслугу лет федеральных государственных служащих периодов службы (работы) в должностях федеральной государственной службы, государственных должностях федеральных государственных служащих и других должностях, определенных Президентом Российской Федерации, перечень документов, необходимых для установления пенсии, правила обращения за пенсией, назначения пенсии и перерасчета размера пенсии, перевода с одного вида пенсии на другой, выплаты пенсии, ведения пенсионной документации.

В бюджете Пенсионного фонда России на выплату пенсий по государственному пенсионному обеспечению, доплат к пенсиям предусмотрены средства федерального бюджета, передаваемые Фонду в 2011 году в объеме 117,7 млрд. рублей.

Таким образом, организация пенсионными фондами дополнительного пенсионного обеспечения является целью оказания социальной поддержки граждан Российской Федерации за выдающиеся достижения и особые заслуги перед страной, а также граждан, осуществлявших трудовую деятельность в организациях ядерного оружейного комплекса Российской Федерации в особых условиях труда, главным критерием для установления дополнительного пенсионного обеспечения пенсионными фондами является наличие званий, государственных премий и наград, учрежденных в нашей стране.

2. Анализ хода пенсионной реформы в России. Пенсионные накопления граждан и их инвестиционная активность


2.1 Исследование показателей инвестирования пенсионных накоплений


В 2010 году стоимость активов в накопительной составляющей обязательного пенсионной системы по отношению к началу года выросла на 59,6%. Доля государственной управляющей компании (ГУК) в стоимости активов накопительной составляющей обязательной пенсионной системы в 2010 году снизилась с начала года до 80,9% (на 1 января 2010 года 83,9%). Доля НПФ за этот же период повысилась до 16,9% (на 1 января 2010 года 13,5%). Доля пенсионных накоплений, переданных ПФР в доверительное управление частным управляющим компаниям (ЧУК), продолжила снижение и составила на конец 2010 года 2,13% (на 1 января 2010 года 2,6%).

Стоимость активов, в которые инвестированы пенсионные накопления за 2007-2010 гг. представлена в таблице 1.

Таблица 1. Стоимость активов, в которые инвестированы пенсионные накопления за 2007-2010 гг.


Рассмотрим инвестирование пенсионных накоплений ГУК, функции которой осуществляет Внешэкономбанк (ВЭБ). После принятия поправок в Федеральный закон от 24 июля 2002 г. №111-ФЗ «Об инвестировании средств для финансирования накопительной части трудовой пенсии в Российской Федерации», пенсионные накопления, находившиеся в доверительном управлении ГУК, были разделены на два портфеля: опция по умолчанию и консервативная опция - для застрахованных лиц, которые хотят ограничиться инвестициями в государственные ценные бумаги. Инвестиционный портфель госбумаг ГУК имеет относительно небольшой объем: по состоянию на конец 2010 года его стоимость составила 2,39 млрд. руб.

На рис. 1. представлена структура инвестиционного портфеля Государственные ценные бумаги ГУК по состоянию на 31 декабря 2010 года.

Рис. 1. Структура инвестиционного портфеля Государственные ценные бумаги ГУК по состоянию на 31 декабря 2010 г.

Таким образом, основная часть средств пенсионных накоплений оказалась сосредоточена в инвестиционном портфеле по умолчанию (так называемом расширенном портфеле). Инвестиционная декларация этого портфеля была дополнена новыми инструментами, инвестировать в которые ГУК получила возможность, начиная с ноября 2009 года. Пока доля этих инструментов невелика: облигации российских хозяйственных обществ - 1,6% (по состоянию на 1 января 2010 года) и 12% (по состоянию на конец 2010 года), облигации с ипотечным покрытием - 2,1% и 2%, рублевые депозиты в кредитных организациях - 1,4% и 8% по состоянию на 1 января 2010 года и на 1 января 2011 года соответственно. Снизилась доля государственных ценных бумаг Российской Федерации: если на 1 января 2010 года они составляли 80,4% активов расширенного инвестиционного портфеля ГУК, то на 1 января 2011 года - 72%. Стоимость расширенного инвестиционного портфеля ГУК по состоянию на 1 января 2011 года составила 737,54 млрд. руб.

2.2 Исследование показателей деятельности негосударственных пенсионных фондов. Результаты инвестирования средств пенсионных накоплений


В 2010 году система негосударственного пенсионного обеспечения продолжила поступательное развитие. Объем пенсионных накоплений и пенсионных резервов НПФ вырос до 798,6 млрд. рублей.

Пенсионные накопления НПФ в 2010 году выросли на 78,2 млрд. рублей и общий их объем составил 155,3 млрд. рублей. Количество застрахованных лиц по обязательному пенсионному страхованию в 2010 году достигло 7,8 млн. человек, что больше, чем в 2009 году на 39% (рис. 2.).

Рис. 2. Пенсионные накопления и количество застрахованных лиц по обязательному пенсионному страхованию в НПФ с 2005 по 2010 годы

Пенсионные резервы в 2010 году выросли на 78,9 млрд. рублей, а общий их объем составил 643,2 млрд. рублей. Количество участников НПФ по негосударственному пенсионному обеспечению (НПО) в 2010 году достигло 6,6 млн. человек, что меньше, чем в 2009 году на 2% (рис. 3.).

Рис. 3. Пенсионные резервы и численность участников НПФ по НПО с 2004 по 2010 годы

Количество участников по негосударственному пенсионному обеспечению, получающих пенсию в 2010 году составило 1,3 млн. человек, что больше, чем в 2009 году на 6,3%. Сумма выплат при этом выросла по сравнению с 2009 годом на 20,36% и составила 26,6 млрд. рублей. Сумма пенсионных выплат в месяц на одного участника, получающего пенсию, в среднем составила 1 634 рубля.

В 2010 году ЧУК показали доходность инвестирования пенсионных накоплений от 0,00% (АФМ УК) до 33,21% (МОНОМАХ УК). По итогам 2009 года доходность ЧУК составила от 7,56% до 110,48%.

Доходность пенсионных накоплений, инвестированных ГУК по итогам 2010 года составила: 7,62% - расширенный инвестиционных портфель и 8,17% - инвестиционный портфель государственных ценных бумаг (табл. 2).

Таблица 2. Доходность инвестирования средств пенсионных накоплений, % годовых


Кроме того, как результат инвестирования пенсионных накоплений можно рассматривать отношение доходов от инвестирования пенсионных накоплений к средней стоимости чистых активов. Данный показатель рассчитывается на основании данных отчетов управляющих компаний о доходах от инвестирования средств пенсионных накоплений, публикуемых на сайте ПФР pfrf.ru и о доходе от инвестирования средств пенсионных накоплений, сформированных НПФ, публикуемых на сайте ФСФР России fcsm.ru.

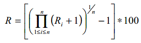
На основании приказа Министерства финансов Российской Федерации от 22 августа 2005 г. №107н «Об утверждении Стандартов раскрытия информации об инвестировании средств пенсионных накоплений» и на основании следующей формулы, была рассчитана средняя доходность инвестирования средств пенсионных накоплений управляющими компаниями (включая ГУК) за период с 2004 года по 2010 годы, т.е. за весь период действия договоров доверительного управления пенсионными накоплениями.


где:- средняя доходность инвестирования средств пенсионных накоплений за период действия договора доверительного управления пенсионными накоплениями в процентах годовых;- доходности инвестирования средств пенсионных накоплений за подпериоды по 12 месяцев (с 1 января по 31 декабря календарного года), рассчитанные в соответствии с Формулой 1 подпункта «д» пункта 24 Стандартов раскрытия информации об инвестировании средств пенсионных накоплений, утвержденных приказом Минфина России от 22.08.2005 №107н, разделенные на 100;- количество расчетных периодов по 12 месяцев (с 1 января по 31 декабря календарного года).

При этом уровень инфляции был рассчитан по аналогичной формуле.

На основании полученных данных средний уровень инфляции за 7 лет составил 10,6%. При этом 15 управляющих компаний показали доходность превышающую уровень инфляции.

3. Проблемы и перспективы реализации пенсионной реформы на современном этапе


Необходимость пенсионной реформы в России вызвана наличием ряда проблем.

Во-первых, существовавшая ранее система, когда пенсии выплачиваются за счет налогов, уплачиваемых работодателями, уже не могла обеспечить приемлемого уровня пенсий. Дело в том, что доля пенсионеров растет: если раньше на одного пенсионера приходилось 3-4 работающих, и это позволяло выплачивать приличные пенсии, то сейчас в России уже меньше двух работающих на одного пенсионера и это число будет сокращаться и дальше.

Во-вторых, размер пенсий слабо связан с размером зарплаты, а это не создает стимулов выводить зарплаты из тени.

Цель пенсионной реформы - дать дополнительный источник для повышения размера пенсии за счет инвестирования части пенсионных отчислений и поставить в зависимость размер пенсии от размера зарплаты.

Таким образом, от распределительного принципа выплаты пенсий Россия переходит к распределительно-накопительному. Это означает, что вместо того, чтобы все отчисления с работающего, входящие в единый социальный налог, шли на выплату пенсий нынешним пенсионерам, некоторая их часть пойдет на личный счет этого конкретного работающего и будет инвестироваться в различные финансовые инструменты, определенные государством.

Сумма на счете конкретного гражданина будет зависеть от его зарплаты, а также от результатов инвестирования.

К старости на пенсионном счете у гражданина будет накапливаться определенная сумма. Российская экономика получит инвестиционные ресурсы, а граждане и работодатели будут заинтересованы, чтобы зарплаты выплачивались легально.

Для граждан 1967 года рождения и моложе пенсия теперь состоит из трех частей - базовой, страховой и накопительной.

Национальная ассоциация негосударственных пенсионных фондов (НАПФ) подвела основные итоги развития негосударственных пенсионных фондов. Предварительные данные за 2009 год свидетельствуют, что отрасль по большинству показателей преодолела последствия кризиса.

-       пенсионные резервы выросли на 13,7%;

-       пенсионные накопления выросли в 2,8 раза, а с учетом средств, поступивших в феврале - апреле 2010 года - в 5,1 раза;

-       число застрахованных лиц, формирующих накопительную часть пенсии в НПФ выросло в 4 раза и достигло 7,5 млн. человек;

-       фонды не снижали выплату негосударственной пенсии:

·        число пенсионеров выросло с 942 тыс. чел. до 1232 тыс. чел.

·        пенсионные выплаты - в 1,6 раза

Не удалось восстановить на докризисном уровне два показателя деятельности НПФ:

-       имущество для обеспечения уставной деятельности, которое у многих фондов было потрачено на компенсацию отрицательных результатов инвестирования в 2008 году;

-       взносы физических лиц, рост которых в 2008-2009 годах остановился на уровне 10,5 млрд. руб. в год.

В 2009 году приняты беспрецедентные меры по повышению надежности негосударственных пенсионных фондов. В результате, в течение 2009 года из-за несоответствия новым требованиям, вступившим в силу 1 июля, рынок покинули около 60 фондов, не ведущих активной деятельности.

Доля суммарных пенсионных средств этих фондов (пенсионные резервы плюс пенсионные накопления) не превысила 0,15% всех пенсионных средств, сосредоточенных в НПФ.

Защита средств будущих пенсионеров обеспечивается контролем со стороны регуляторов (Министерство финансов и Федеральная служба по финансовым рынкам), со стороны специализированного депозитария, а также Общественного совета по инвестированию накопительной части пенсионных средств, созданного в августе 2003 года при Правительстве Российской Федерации.

Объем средств, которые были переведены в частные управляющие компании (ЧУК) и НПФ, пока оказался незначительным - из 37 млрд. руб. накопительной части пенсии 2002 года, по данным Пенсионного Фонда России, частным управляющим компаниям было доверено 1,6 млрд. рублей. С каждым годом и объем накопительной части в целом, и та доля, которую граждане будут переводить в управляющие компании и негосударственные пенсионные фонды, будут возрастать.

Федеральная служба по финансовым рынкам является регулятором деятельности управляющих компаний и НПФ, размещающих средства накопительной части пенсии на рынке ценных бумаг. В настоящее время создана жесткая система контроля и надзора за участниками инвестирования пенсионных накоплений.

Одна из основных задач ФСФР России в ходе реализации пенсионной реформы - это регулирование деятельности спецдепозитариев и частных управляющих компаний, участвующих в управлении накопительной части пенсионных средств, а также негосударственных пенсионных фондов, являющихся страховщиками по обязательному пенсионному страхованию. Федеральная служба по финансовым рынкам следит за соответствием участников рынка требованиям законодательства и вправе аннулировать либо приостанавливать лицензии компаниям, действия которых им не соответствуют.

В ФСФР России регулярно предоставляются отчеты всех управляющих компаний негосударственных пенсионных фондов, и служба может на самых ранних этапах отследить попытки нарушений.

В настоящее время сформирована следующая структура управления средствами пенсионных накоплений:

-       Пенсионный фонд РФ - формирует накопительную часть трудовой пенсии, организует процесс инвестирования путем заключения договоров доверительного управления с управляющими компаниями и с государственной управляющей компанией;

-       негосударственные пенсионные фонды - формируют накопительную часть трудовой пенсии, организуют процесс инвестирования путем заключения договоров доверительного управления с управляющими компаниями;

-       государственная управляющая компания (ГУК) - осуществляет инвестирование средств пенсионных накоплений граждан, не воспользовавшихся правом выбора управляющей компании, а также выбравших государственную управляющую компанию в качестве управляющей компании;

-       управляющие компании (УК) - инвестируют средства пенсионных накоплений;

-       специализированный депозитарий - осуществляет контроль за соответствием деятельности управляющих компаний по управлению средствами пенсионных накоплений требованиям законодательства, нормативным документам и инвестиционной декларации; уведомляет соответствующие контролирующие органы о возможных проблемах и некорректных действиях; ведёт учет ценных бумаг и учет перехода прав на ценные бумаги, приобретенные в результате инвестирования средств пенсионных накоплений; осуществляет контроль за стоимостью чистых активов, находящихся в управлении УК, за перечислением в ПФР средств на выплаты гражданам за счет средств пенсионных накоплений;

-       брокеры - предоставляют брокерские услуги управляющим компаниям по приобретению разрешенных активов.

Внешэкономбанк осуществляет функции государственной управляющей компании по доверительному управлению средствами пенсионных накоплений на основании постановления Правительства Российской Федерации от 22 января 2003 г. №34.

Деятельность Внешэкономбанка как государственной управляющей компании осуществляется в соответствии с законодательством Российской Федерации, нормативными правовыми актами Президента и Правительства Российской Федерации, нормативными документами Центрального банка Российской Федерации, Министерства финансов Российской Федерации, Федеральной службы по финансовым рынкам.

Заключение


В соответствии с Программой пенсионной реформы в России создана комбинированная пенсионная система, которая включает в себя обязательное пенсионное страхование, государственное пенсионное обеспечение, дополнительное пенсионное страхование.

Основы государственного регулирования обязательного пенсионного страхования в России устанавливает Федеральный закон от 15.12.2001 №167-ФЗ (ред. от 03.12.2011) «Об обязательном пенсионном страховании в Российской Федерации», которым обязательное пенсионное страхование определено как система создаваемых государством правовых, экономических и организационных мер, направленных на компенсацию гражданам заработка, получаемого до установления обязательного страхового обеспечения. Обязательное пенсионное страхование занимает центральное положение как в структуре пенсионной системы, так и в системе обязательного социального страхования.

Основным страховщиком, осуществляющим обязательное пенсионное страхование, является Пенсионный фонд РФ, действующий в организационно-правовой форме государственного учреждения.

С 2004 года наряду с Пенсионным фондом РФ функции страховщика по обязательному страхованию могут выполнять негосударственные пенсионные фонды в случае, если застрахованное лицо реализует свое право на отказ от формирования накопительной части трудовой пенсии через Пенсионный фонд РФ и передачу своих средств пенсионных накоплений в негосударственный пенсионный фонд, путем заключения договора об обязательном пенсионном страховании и подачи соответствующего заявления в территориальный орган Пенсионного фонда РФ.

В 2010 году система негосударственного пенсионного обеспечения продолжила поступательное развитие. Объем пенсионных накоплений и пенсионных резервов НПФ вырос до 798,6 млрд. рублей.

Необходимость пенсионной реформы в России вызвана наличием ряда проблем.

Во-первых, существовавшая ранее система, когда пенсии выплачиваются за счет налогов, уплачиваемых работодателями, уже не могла обеспечить приемлемого уровня пенсий. Дело в том, что доля пенсионеров растет: если раньше на одного пенсионера приходилось 3-4 работающих, и это позволяло выплачивать приличные пенсии, то сейчас в России уже меньше двух работающих на одного пенсионера и это число будет сокращаться и дальше.

Во-вторых, размер пенсий слабо связан с размером зарплаты, а это не создает стимулов выводить зарплаты из тени.

Цель пенсионной реформы - дать дополнительный источник для повышения размера пенсии за счет инвестирования части пенсионных отчислений и поставить в зависимость размер пенсии от размера зарплаты.

Таким образом, от распределительного принципа выплаты пенсий Россия переходит к распределительно-накопительному. Это означает, что вместо того, чтобы все отчисления с работающего, входящие в единый социальный налог, шли на выплату пенсий нынешним пенсионерам, некоторая их часть пойдет на личный счет этого конкретного работающего и будет инвестироваться в различные финансовые инструменты, определенные государством.

Защита средств будущих пенсионеров обеспечивается контролем со стороны регуляторов (Министерство финансов и Федеральная служба по финансовым рынкам), со стороны специализированного депозитария, а также Общественного совета по инвестированию накопительной части пенсионных средств, созданного в августе 2003 года при Правительстве Российской Федерации.

Объем средств, которые были переведены в частные управляющие компании (ЧУК) и НПФ, пока оказался незначительным - из 37 млрд. руб. накопительной части пенсии 2002 года, по данным Пенсионного Фонда России, частным управляющим компаниям было доверено 1,6 млрд. рублей. С каждым годом и объем накопительной части в целом, и та доля, которую граждане будут переводить в управляющие компании и негосударственные пенсионные фонды, будут возрастать.

Список литературы

пенсионный страхование реформа инвестиционный

1.     Федеральный закон от 27.12.2009 №373-ФЗ «Об исполнении бюджета Пенсионного фонда Российской Федерации за 2008 год» // СЗ РФ. - 2009. - №52 (1 ч.). Ст. 6449.

2.      Федеральный закон от 24.07.2009 №212-ФЗ (ред. от 03.12.2011) «О страховых взносах в Пенсионный фонд Российской Федерации, Фонд социального страхования Российской Федерации, Федеральный фонд обязательного медицинского страхования и территориальные фонды обязательного медицинского страхования» // СЗ РФ. - 2009. - №30. Ст. 3738.

.        Федеральный закон от 15.12.2001 №167-ФЗ (ред. от 03.12.2011) «Об обязательном пенсионном страховании в Российской Федерации» // Российская газета. - 2001. - №247.

.        Федеральный закон от 18.07.2009 №182-ФЗ «О внесении изменений в Федеральный закон «О негосударственных пенсионных фондах» и Федеральный закон «Об инвестировании средств для финансирования накопительной части трудовой пенсии в Российской Федерации» // Российская газета. - 2009. - №133.

.        Приказ Минфина РФ от 22.08.2005 №107н (ред. от 30.05.2007) «Об утверждении Стандартов раскрытия информации об инвестировании средств пенсионных накоплений» (Зарегистрировано в Минюсте РФ 12.10.2005 №7067).

.        Азарова Е.Г. Закон о трудовых пенсиях: общие положения // Трудовое право. 2009. - №13.

.        Астапов К.Л. Реформирование пенсионной системы Российской Федерации // Финансы и кредит. - 2009. - №24.

.        Воронин Ю.В. Комментарий к пенсионному законодательству Российской Федерации. Норма, 2007.

.        Бровчак С.В. Пенсионное обеспечение. Российский и зарубежный опыт. - 2008.

.        Грудцына Л. О пенсионном обеспечении // Юрист. - 2007. - №11.

.        Дмитриев М. Куда идет пенсионная реформа // Трудовое право - 2008. - №3.

.        Ищенко О.А., Пермяков О.В. Реформирование пенсионного законодательства Российской Федерации // Юрист. - 2007. - №6.

.        Куртин А.В. Некоторые аспекты реформирования пенсионной системы Российской Федерации // Трудовое право. - 2010. - №4.

.        Локшина О.В. Пенсионное законодательство: основные положения и практика применения // Трудовое право. - 2008. - №4.

.        Люлев Ю.Д. Российская пенсионная система и пути ее реформирования. // Вопросы экономики. - 2007. - №8.

.        Пенсионная реформа в России: причины, содержание, перспективы / Под ред. Дмитриева М.Э. - СПб.: Норма, 2008.

.        Проблемы законодательного обеспечения пенсионной системы в Российской Федерации /Аналитический вестник Совета Федерации ФС РФ. - 2011. - №14 (102).

.        Роик В. Пенсионная реформа: результаты и перспектива // Пенсионные фонды и инвестиции. - 2007. - №2.

.        Севостьянова В.Б. Проблемы и перспективы законодательства по пенсионной реформе в России // Юрист. - 2009. - №6.

.        Дегтярев Г.П. Пенсионные реформы в России - М.: Academia, 2008.

.        Смирнов С.Н., Исаев Н.И. Сычева Л.И., Михайлов Л.В., Тимофеев Е.В., Марушкина Е.В. Пенсионная реформа: социальные и экономические аспекты. - М., 2008.

.        Соловьев А.К. Проблемы развития системы государственного пенсионного страхования в условиях переходной экономики // Вестник ПФР. - 2011.


Не нашли материал для своей работы?
Поможем написать уникальную работу
Без плагиата!
Без нейросетей!