Электротехника
Вариант 9
Задание 1
. Рассчитать токи
во всех ветвях электрической цепи
а) методом
непосредственного применения правил Кирхгофа;
б) методом
контурных токов;
в) методом узловых
потенциалов.
Результаты расчетов
свести в таблицу.
. Составить и
решить уравнение баланса мощностей
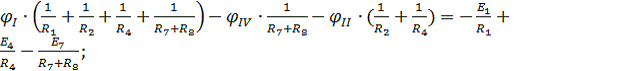
Дано:R1=
9 Ом, R2= 20 Ом, R3=
16 Ом, R4= 25 Ом, R5=
10 Ом, R6= 22 Ом, R7=16
Ом, R8= 19 Ом, E1=
30 В, E2= 18 В,E6=
28 В.
Решение.
а) методом
непосредственного применения правил Кирхгофа;
Запишем уравнения
первого закона Кирхгофа для узлов I-III.
Токи, направленные от узлов, записываются с положительными знаками, а к узлам -
с отрицательными.
I) I1+
I7- I2 + I4=0;
II) I2-
I4- I3+I5=0;
III) I3-
I1- I6 =0.
Запишем уравнения
второго закона Кирхгофа. Направление обхода по часовой стрелке.
Контур
III - I - II) - E1 = - I1R1 -I2R2- I3R3;
Контур
IV - II - I) E4 + E7- E5= - I5R5- I4R4 + I7(R7+R8);
Контур
I- II) - E4= I2R2+I4R4;
Контур
II - IV- III) E5= I3R3+ I5R5+I6R6.
Решим систему из 7
уравнений и найдем токи в ветвях:
I1
+ I7 - I2 + I4 =0;- I4 - I3 + I5 =0;- I1 - I6 =0.
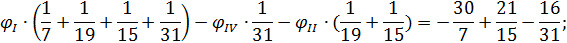
30=
- 7I1 -19I2- 9I3;
3=
- 42I5 - 15I4 + 31I7;
21=
19I2+15I4;
=
9I3+ 42I5 + 28I6.
Решая систему,
получаем следующие значения токов в ветвях:
I1=1,72А;
I2=0,04А; I3=1,91А;
I4= -1,45А; I5=0,42А;
I6=0,19 А; I7=-0,23А.
б) метод контурных
токов;
Количество ветвей
В=7, а количество узлов У=4. Следовательно, число независимых контуров
К=В-У+1=4. На основании второго закона Кирхгофа получаем следующие уравнения
для контуров:
Контур
III - I - II) - E1= II(R1+R2+R3) -IIIR2 - IIVR3;
Контур
I - II) E4 - E5 +E7= IIII(R4+R5+R7+R8) -IIIR4- IIVR5;
Контур
IV - II - I) - E4= III(R2+R4) -IIR2- IIIIR4;
Контур
II - IV - III) E5= IIV(R3+R5+R6) -IIR3- IIIIR5.
Подставим численные
значения и решим систему уравнений:
-
30 = 35II- 19III - 9IIV;
3
= 88IIII- 15III - 42IIV;
21=
34III - 19II - 15IIII;
=
79IIV- 9II - 42IIII.
Решая систему,
получаем следующие значения токов в ветвях:
II=-1,71А,
III=-1,66 А, IIII=-0,20А,
IIV=0,21А.
ТогдаI1=-II=1,71А;
I2=III-II=0,04А;
I3= IIV-II=1,91А;
I4 = III
- IIII=-1,46А; I5
=IIV- IIII
=0,41 А; I6 = IIV
=0,21 А; I7 = IIII
=-0,20 А;
в) метод узловых
потенциалов;
Принимаем потенциал III узла за
нулевой 
.
Составим уравнения для узлов I, II, IV, V.
I) 
) 
) 
Подставим численные данные:
Получаем: 
Определим токи:
Результаты расчетов сведем в
таблицу.
|
Метод
|
|
|
|

|
|
|
|
Законы
Кирхгофа
|
1,72
|
0,04
|
1,91
|
-1,45
|
0,42
|
0,19
|
-0,23
|
|
Контурных
токов
|
1,72
|
0,04
|
1,91
|
-1,45
|
0,42
|
0,19
|
-0,23
|
|
Узловых
потенциалов
|
1,72
|
0,04
|
1,91
|
-1,45
|
0,42
|
0,19
|
-0,23
|
. Составить и
решить уравнение баланса мощностей.
95,17 Вт = 95,17 Вт
Баланс мощностей
выполняется.
Задание 2
Для схемы, представленной на рисунке
2, заданы:
-
действующее значение напряжения на входе цепи (В),
- его
начальная фаза (град), частота
= 50 (Гц),
,
,
- полные
комплексные сопротивления ветвей (Ом).
электрический
цепь напряжение мощность
Необходимо определить:
1. Мгновенное значение
напряжения на входе цепи
;
. Действующие значения токов
в ветвях -
,
,
и их
мгновенные значения
,
,
.
. Действующее значение
напряжения на выходе цепи
и его
мгновенное значение
;
. Активную, реактивную и
полную мощности, потребляемые цепью.
. Составить схему замещения
электрической цепи (в соответствии с полными комплексными сопротивлениями
ветвей изобразить идеальные элементы - резистивный, индуктивный, емкостной и их
комбинации) и определить параметры элементов R,L,C.
6. Построить векторную диаграмму токов и
напряжений (на миллиметровой бумаге или с помощью компьютера с указанием
масштаба тока и напряжения);
7. Построить волновые диаграммы
- зависимости
и
в одной
системе координат (на миллиметровой бумаге или с помощью компьютера) на
временном интервале, соответствующем двум периодам.
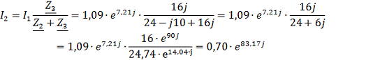
Дано: U1= 48 В, 
Z1= 32 Ом, Z2= 24-j10 Ом, Z3=j16 Ом.
Решение.
1. Мгновенное
значение напряжения на входе цепи u1(t)

В.
. Действующие значения токов
в ветвях -
,
,
и их
мгновенные значения
,
,
.
Определим сопротивление цепи.
Мгновенные значения
токов:

А

А

А
3. Действующее значение
напряжения на выходе цепи 
и его мгновенное значение 
;

В.

В.
4. Активная,
реактивная и полная мощности, потребляемые цепью.
Активная мощность P=44,27Вт.
Полная мощность S=52,32 В
А.
5. Составляем схему замещения
электрической цепи (в соответствии с полными комплексными сопротивлениями
ветвей изображаем идеальные элементы - резистивный, индуктивный, емкостной и их
комбинации) и определяем параметры элементов R,L,C.
1. 
, 
, 
.
R1=32 Ом, R2=24 Ом, R3=
0 Ом.
6. Построим векторную диаграмму токов и
напряжений выбрав масштаб mU=5
В/см и mI=0,1 А/см);
7. Построить волновые диаграммы
- зависимости
и
в одной
системе координат на временном интервале, соответствующем двум периодам.