Оценка кредитоспособности
Содержание
Введение
. Общая оценка динамики финансового
состояния предприятия-заемщика
. Анализ кредитоспособности
предприятия-заемщика
. Рейтинговая оценка
предприятия-заемщика
. Выбор наилучшего варианта
кредитования
.1 Краткосрочный кредит
.2 Долгосрочный кредит
. Расчет сверхнормативных расходов
по кредитам для определения налога на прибыль
Заключение
Введение
Под кредитоспособностью следует понимать такое
финансово-хозяйственное состояние предприятия, которое дает уверенность в
эффективном использовании заемных средств, способность и готовность заемщика
вернуть кредит в соответствии с условиями договора.
Изучение банками разнообразных факторов, которые
могут повлечь за собой непогашение кредитов, или напротив, обеспечивают
своевременный возврат, составляют содержание банковского анализа
кредитоспособности.
Кредитоспособность заемщика в отличие от его
платежеспособности не фиксирует неплатежи за истекший период или на какую-либо
дату, а прогнозируют способность к погашению долга на ближайшую перспективу.
Степень неплатежеспособности в прошлом является
одним из формальных показателей, на которое опираются при кредитоспособности
клиента.
Если заемщик имеет просроченную задолженность, а
баланс ликвиден и достаточен размер собственного капитала, то разовая задержка
платежей банку в прошлом не является основанием для заключения о
некредитоспособности клиента.
Уровень кредитоспособности клиента
свидетельствует о степени индивидуального (частного) риска банка связанного с
выдачей конкретной ссуды конкретному заемщику.
В связи с тем, что предприятия значительно
различаются по характеру своей производственной и финансовой деятельностью
создать единые универсальные и исчерпывающие методические указания по изучению
кредитоспособности и расчету соответствующих показателей не представляется
возможным. Это подтверждается практикой нашей страны.
В современной международной практике так же
отсутствуют твердые правила на этот счет, так как учесть все многочисленные
специфические особенности клиентов практически невозможно.
Основная цель анализа кредитоспособности - это
определить способность и готовность заемщика вернуть запрашиваемую ссуду в
соответствии с условиями кредитного договора.
Банк должен в каждом случае определить степень
риска, который он готов взять на себя и размер кредита, который может быть
предоставлен в данных обстоятельствах.
Мировая и отечественная практика позволила
выделить критерии кредитоспособности клиента:
характер клиента;
способность зарабатывать средства в ходе текущей
деятельности для погашения долга (финансовая возможность);
капитал;
обеспечение кредита;
условия, в которых свершается кредитная сделка;
контроль (законодательная основа деятельности
заемщика, соответствие характера ссуды стандартам банка и органам надзора).
Под характером клиента понимается его репутация,
как юридического лица и репутация менеджеров, степень ответственности клиента
за погашение долга, четкость его представления о цели кредита и соответствие ее
кредитной политике банка.
Одним из основных критериев кредитоспособности
клиента является его способность зарабатывать средства для погашения долга в
ходе текущей деятельности. Здесь целесообразно ориентироваться на ликвидность
баланса, эффективность (прибыльность) деятельности заемщика, его денежные
потоки.
Капитал предприятия является не менее важным
критерием кредитоспособности предприятия.
При этом важны следующие 2 аспекта его оценки:
его достаточность, которая анализируется на
основе требований центрального банка к минимальному уровню уставного фонда
(акционерного капитала) и финансовых коэффициентов;
степень вложения собственного капитала в
кредитуемую операцию, что свидетельствует о распределении риска между банком и
заемщиком. Чем больше вложения собственного капитала, тем больше
заинтересованность заемщика в тщательном отслеживании факторов кредитного
риска.
Под обеспечением кредита понимается стоимость
активов заемщика и конкретный вторичный источник погашения долга (залог,
гарантия, поручительство, страхование) предусмотренный в кредитном договоре.
Если соотношение стоимости активов и долговых
обязательств имеет значение для погашения ссуды банка, в случае объявления
заемщика банкротом, то качество конкретного вторичного источника гарантирует
выполнение своих обязательств в срок при финансовых затруднениях.
К условиям в которых совершается кредитная
операция относится текущая или прошлогодняя экономическая ситуация в стране,
регионе и отрасли, а так же политические факторы.
Эти условия определяют степень внешнего риска
банка и учитываются при решении вопроса о стандартах банка для оценки денежного
потока, ликвидности баланса, достаточности капитала и уровня менеджмента
заемщика.
Контроль за законодательными основами
деятельности заемщика и соответствием его стандартам банка нацеливает банкира
на получение ответов на следующие вопросы:
Имеется ли законодательная и нормативная основа
для функционирования заемщика и осуществление кредитного мероприятия?
Как повлияет на результаты деятельности
заемщика, ожидаемые изменения законодательства? (например: налогового)
На сколько сведения о заемщике и ссуде
содержащиеся в кредитной заявке отвечают стандартам банка?
Изложенные критерии оценки кредитоспособности
клиента банка определяют содержание способов ее оценки. К числу этих способов
относятся:
оценка делового риска;
оценка менеджмента;
оценка финансовой устойчивости предприятия на
основе системы финансовых коэффициентов;
анализ финансового потока;
сбор информации о клиенте;
наблюдение за работой предприятия путем выхода
на место.
Несмотря на единство критериев, и способов оценки
существует специфика в анализе кредитоспособности юридических и физических лиц,
крупных, средних и мелких клиентов.
Эта специфика заключается в комбинации
применяемых способов оценки, а также в их содержании.
1. Общая оценка динамики финансового состояния
предприятия - заемщика
Для общей оценки динамики финансового состояния
составляется агрегированный баланс, то есть группируются статьи баланса в
отдельные группы по признаку ликвидности (статьи актива) и срочности
обязательств (статьи пассива).
В процессе изучения финансового состояния
заемщика мы должны изучить:
структуру активов и пассивов предприятия,
характеризующих его имущественное положение;
объемы выручки, прибыли или убытков предприятия
для оценки рентабельности и эффективности его деятельности;
различные направления деятельности заемщика и
перспективы его развития;
потенциальные возможные риски.
На основе агрегированного баланса осуществляется
анализ структуры имущества предприятий. Рассматривая изменение разделов и
статей баланса необходимо их оценить и сопоставить.
Положительной оценки заслуживает увеличение в
активе баланса остатка денежных средств, краткосрочных и долгосрочных
финансовых вложений и, как правило, основных средств, капитальных вложений и
нематериальных активов; в пассиве баланса итого первого раздела и особенно сумм
прибыли, фондов специального назначения и целевого финансирования, а так же
доходов будущих периодов.
Отрицательной оценки заслуживает резкий рост
дебиторской и кредиторской задолженности в активе и пассиве баланса.
Во всех случаях отрицательно оценивают наличие и
увеличение остатков по статье убытки.
Наличие убытков в предшествующем году при
отсутствии их в отчетном периоде свидетельствует о том, что организация
испытала значительные трудности, но ей удалось их преодолеть и улучшить свое
финансовое положение.
Если в предшествующие годы организация не была
убыточной, а в отчетном году в балансе отражены убытки это значит резкое
ухудшение финансового положения организации. Особенно в том случае, когда сумма
убытков показывается и на начало и на конец отчетного периода и их размер
увеличивается.
Наличие убытков и в прошедшие годы и в отчетном
году указывают на нерентабельность данной организации. Однако важно
проанализировать их в динамики, определить сложившуюся тенденцию и выявить
причины.
2. Анализ кредитоспособности предприятия -
заемщика
Наиболее важным для оценки кредитоспособности
является коэффициентный анализ кредитоспособности на основе следующих групп
показателей:
коэффициент ликвидности;
коэффициент оборачиваемости;
коэффициент рентабельности.
Основными документами, используемыми для оценки
финансового состояния и кредитоспособности, заемщика являются:
бухгалтерский баланс;
отчет о прибылях и убытках.
Используя данные документы, составляется
агрегированный баланс. На базе, которого производится расчет финансовых
коэффициентов.
Следует помнить, что при составлении
агрегированного баланса активы подразделяются на:
Оборотные активы в том числе:
наиболее ликвидные активы (краткосрочные
финансовые вложения, денежные средства и другие);
быстрореализуемые активы (дебиторская
задолженность менее 12 месяцев);
медленно реализуемые активы (запасы, НДС по
приобретенным ценностям, дебиторская задолженность более 12 месяцев) и прочие
оборотные активы;
Вне оборотные активы:
труднореализуемые активы (нематериальные активы,
основные средства, незавершенное строительство, доходные вложения в
нематериальные ценности, отложенные налоговые активы, прочие вне оборотные
активы);
долгосрочные финансовые вложения.
Все пассивы баланса подразделяются на:
наиболее срочные обязательства (кредиторская
задолженность);
краткосрочные обязательства (займы и кредиты,
задолженность перед учредителями по выплате доходов и прочие краткосрочные
обязательства);
долгосрочные обязательства в том числе:
доходы будущих периодов;
резервы предстоящих расходов;
Постоянные немобильные пассивы (уставной
капитал, собственные акции, выкупленные у акционеров, добавочный капитал,
резервный капитал и непокрытый убыток).
Подобная группировка пассивов и активов
предприятия обеспечивает наиболее оптимальный расчет коэффициентов
кредитоспособности.
Агрегированный баланс предприятия - заемщика
ЗАО”Диплом” за 2011 год
Таблица 2.1.
|
Агрегат
|
Наименование
|
Коды
строк баланса
|
Значение
(тыс. руб.)
|
|
Активы
|
|
А1
|
Наиболее
ликвидные активы
|
250
|
0
|
|
|
260
|
313
|
|
А2
|
Быстрореализуемые
активы
|
240
|
1627
|
|
А3
|
Медленнореализуемые
активы
|
210
|
7753
|
|
|
220
|
1611
|
|
|
230
|
0
|
|
|
270
|
0
|
|
А4
|
Труднореализуемые
активы
|
190
|
21007
|
|
Итого
|
|
|
32311
|
|
Пассивы
|
|
П1
|
Наиболее
срочные обязательства
|
620
|
1397
|
|
П2
|
Краткосрочные
обязательства
|
610
|
0
|
|
|
630
|
0
|
|
|
660
|
0
|
|
П3
|
Долгосрочные
обязательства
|
640
|
0
|
|
|
650
|
0
|
|
|
590
|
13759
|
|
П4
|
Постоянные
немобильные пассивы
|
490
|
17155
|
|
Итого
|
|
|
32311
|
Агрегированный отчет о прибылях и убытках
Таблица 2.2.
|
Агрегат
|
Наименование
|
Коды
строк баланса
|
Значение
(тыс. руб.)
|
|
П5
|
Выручка
от реализации
|
010
|
16835
|
|
П6
|
Себестоимость
реализации товаров, продукции, работ и услуг
|
020
|
15431
|
|
П7
|
Прибыль
(убыток) отчетного года
|
140
|
1352
|
Наиболее важным для оценки кредитоспособности
заемщика являются показатели ликвидности баланса и обеспеченности заемщика
собственными источниками средств.
В таблице 3 проведем алгоритм расчета финансовых
показателей, а так же их экономический смысл.
Таблица 2.3.
|
Наименование
коэффициентов
|
Обозначение
|
Алгоритм
расчета
|
Экономический
смысл
|
Значение
(руб./руб.)
|
|
Коэффициент
абсолютной ликвидности
|
К1
|
|
Способность
рассчитаться с задолженностью в кратчайшие сроки
|
0,22
|
|
Коэффициент
срочной ликвидности
|
К2
|
|
Способность
рассчитаться с задолженностью в ближайшие сроки
|
1,39
|
|
Коэффициент
текущей ликвидности
|
К3
|
|
Способность
рассчитаться с задолженностью в перспективе
|
8,09
|
|
Коэффициент
автономии
|
К4
|
|
Независимость
от внешних источников
|
0,53
|
В зависимости от величины этих коэффициентов
предприятия относят к определенному классу кредитоспособности.
3. Рейтинговая оценка предприятия - заемщика
кредитование платежеспособность
актив
Рейтинговая оценка формируется путем соединения
оценок отдельных показателей согласно их удельным весам. Для этого используются
следующие показатели оценки финансового состояния потенциального заемщика:
коэффициент абсолютной ликвидности;
коэффициент срочной ликвидности;
коэффициент текущей ликвидности;
коэффициент автономии.
Рейтинговая оценка предприятия заемщика
определяется в баллах. Сумма баллов рассчитывается путем умножения классности
коэффициента на его долю.
К первому классу относятся заемщики с суммой
баллов от 100 до 150.
Ко второму классу - от 151 до 250 баллов.
К третьему классу - от 251 до 300 баллов.
Первоклассным по кредитоспособности заемщикам
коммерческие банки могут открывать кредитную линию и выдавать ссуды без обеспечения.
Кредитование второклассных ссудозаемщиков
осуществляется банком в обычном порядке, то есть при наличии соответствующих
обеспечительных обязательств (гарантии, долга и т.д.). Процентная ставка будет
зависеть от вида обеспечения.
Предоставление кредитов клиентам 3 класса
связано для банка с серьезным риском. Таким клиентам в большинстве случаев
кредитов не выдают. А если и выдают, то размер предоставляемой ссуды не должен
превышать размера уставного фонда. Процентная ставка для таких клиентов устанавливается
на высоком уровне
Классификация заемщиков по уровню
кредитоспособности
Таблица 4.1.
|
Коэффициенты
|
1
класс
|
2
класс
|
3
класс
|
Доля
в %
|
|
К1
|
0,2
и выше
|
0,15
- 0,2
|
менее
0,15
|
30
|
|
К2
|
1
и выше
|
0,5
- 1
|
менее
0,5
|
20
|
|
К3
|
2
и выше
|
1
- 2
|
менее
1
|
30
|
|
К4
|
0,7
и выше
|
0,5
- 0,7
|
менее
0,5
|
20
|
Определение классификации заемщиков по уровню
кредитоспособности и рейтингу
Таблица 4.2.
|
Коэффициенты
|
Значения
(руб./руб.)
|
Класс
|
Доля
|
Сумма
баллов
|
|
К1
|
0,22
|
1
|
30
|
30
|
|
К2
|
1,39
|
1
|
20
|
20
|
|
К3
|
8,09
|
1
|
30
|
30
|
|
К4
|
0,53
|
2
|
20
|
40
|
|
Итого
|
|
|
|
120
|
Вывод: ЗАО “Диплом” по сумме баллов считается
первоклассным по кредитоспособности заемщиком, соответственно коммерческие
банки могут открывать кредитную линию и выдавать ссуды без обеспечения.
В процессе принятия решения о выдаче кредита
помимо рейтинговой оценки целесообразно сделать прогноз возможного банкротства
предприятия - заемщика.
В курсовой работе оценку банкротства будем
проводить с помощью «Z - анализа» по Альтману.
Уравнение пятифакторной Z - оценки
Вывод: Пятифакторная Z - оценка показала
результат 1,81442 руб./руб., это значит, что вероятность банкротства средняя.
4. Выбор наилучшего варианта кредитования
В курсовой работе рассмотрим различные варианты
погашения процентных ставок платежей с использованием схемы простых и сложных
процентов с равномерным и неравномерным погашением кредитов и процентов.
ЗАО ”Диплом” нуждается в кредите и берет
долгосрочный и краткосрочный кредиты.
Срок краткосрочного кредита: с 17.12.2011 года
по 17.04.2012 под процентную ставку 10% годовых на сумму 2 000 000 рублей.
Срок долгосрочного кредита: с 12.10.2011 по
12.10.2016 года под процентную ставку 15% годовых на сумму 13 000 000 рублей.
.1 Краткосрочный кредит
Кредит и проценты возвращаются в конце срока.
Таблица 4.1.1.
|
Период
|
Количество
дней
|
Σ
долга
на нп (тыс. руб.)
|
%
начисления (тыс. руб.)
|
%
погашения (тыс. руб.)
|
Погашение
долга (тыс. руб.)
|
Σ
долга
на кп (тыс. руб.)
|
|
17.12.11-31.12.11
|
15
|
2000
|
8,219
|
0
|
0
|
2008,219
|
|
01.01.12-31.01.12
|
31
|
2008,219
|
17,010
|
0
|
0
|
2025,229
|
|
01.02.12-29.02.12
|
29
|
2025,229
|
16,047
|
0
|
0
|
2041,276
|
|
01.03.12-31.03.12
|
31
|
2041,276
|
17,289
|
0
|
0
|
2058,565
|
|
01.04.12-17.04.12
|
16
|
2058,565
|
8,999
|
67,564
|
2000
|
0
|
|
Итого:
|
|
|
67,564
|
67,564
|
2000
|
|
Кредит возвращается в конце срока. Проценты
начисляются и погашаются ежемесячно.
Таблица 4.1.2.
|
Период
|
Количество
дней
|
Σ
долга
на нп (тыс. руб.)
|
%
начисления (тыс. руб.)
|
Погашение
долга (тыс. руб.)
|
Σ
долга
на кп (тыс. руб.)
|
|
17.12.11-31.12.11
|
15
|
2000
|
8,219
|
8,219
|
0
|
2000
|
|
01.01.12-31.01.12
|
31
|
2000
|
16,940
|
16,940
|
0
|
2000
|
|
01.02.12-29.02.12
|
29
|
2000
|
15,847
|
15,847
|
0
|
2000
|
|
01.03.12-31.03.12
|
31
|
2000
|
16,940
|
16,940
|
0
|
2000
|
|
01.04.12-17.04.12
|
16
|
2000
|
8,743
|
8,743
|
2000
|
0
|
|
Итого:
|
|
|
66,689
|
66,689
|
2000
|
|
Кредит погашается равномерно по месяцам.
Проценты начисляются и погашаются ежемесячно.
Таблица 5.1.3.
|
Период
|
Количество
дней
|
Σ
долгана
нп (тыс. руб.)
|
%
начисления (тыс. руб.)
|
%
погашения (тыс. руб.)
|
Погашение
долга (тыс. руб.)
|
Σ
долга
на кп (тыс. руб.)
|
|
17.12.11-31.12.11
|
15
|
2000
|
8,219
|
8,219
|
400
|
1600
|
|
01.01.12-31.01.12
|
31
|
1600
|
13,552
|
13,552
|
400
|
1200
|
|
01.02.12-29.02.12
|
29
|
1200
|
9,508
|
9,508
|
400
|
800
|
|
01.03.12-31.03.12
|
31
|
800
|
6,776
|
6,776
|
400
|
400
|
|
01.04.12-17.04.12
|
16
|
400
|
1,749
|
1,749
|
400
|
0
|
|
Итого:
|
|
|
39,804
|
39,804
|
2000
|
|
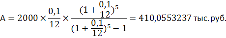
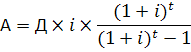
Аннуитет
Аннуитет - это платежи, вносимые через равные
промежутки времени и содержащие как выплату основного долга, так и процентные
платежи за пользование кредитом.
Величина аннуитета постоянная.
Д - величина кредита- процентная ставка за
период- количество периодов
Таблица 5.1.4.1.
|
Период
|
Количество
дней
|
Σ
долга
на нп (тыс. руб.)
|
Аннуитет
(тыс. руб.)
|
%
погашения (тыс. руб.)
|
Погашение
долга (тыс. руб.)
|
Σ
долга
на кп (тыс. руб.)
|
|
17.12.11-31.12.11
|
15
|
2000
|
410,0553237
|
16,667
|
393,389
|
1606,611
|
|
01.01.12-31.01.12
|
31
|
1606,611
|
410,0553237
|
13,388
|
396,667
|
1209,944
|
|
01.02.12-29.02.12
|
29
|
1209,944
|
410,0553237
|
10,083
|
399,972
|
809,972
|
|
01.03.12-31.03.12
|
31
|
809,972
|
410,0553237
|
6,750
|
403,306
|
406,666
|
|
01.04.12-17.04.12
|
16
|
406,666
|
410,0553237
|
3,389
|
406,666
|
0
|
|
Итого:
|
|
|
2050,277
|
50,277
|
2000
|
|
Вывод: Проведя анализ различных вариантов
выплаты краткосрочного кредита и процентов можно сделать вывод, что для ЗАО
“Диплом” будет выгодно погашать кредит и проценты равномерно по месяцам. Так
как сумма возврата долга самая минимальная.
.2 Долгосрочный кредит
Кредит и проценты возвращаются в конце срока.
Таблица 5.2.1.1.
|
Период
|
Количество
дней
|
Σ
долга
на нп (тыс. руб.)
|
%
начисления (тыс.руб.)
|
%
погашения (тыс. руб.)
|
Погашение
долга (тыс. руб.)
|
Σ
долга
на кп (тыс. руб.)
|
|
12.10.11-31.10.11
|
20
|
13000
|
106,849
|
0
|
0
|
13106,849
|
|
01.11.11-30.11.11
|
30
|
13106,849
|
161,591
|
0
|
0
|
13268,441
|
|
01.12.11-31.12.11
|
31
|
13268,441
|
169,036
|
0
|
0
|
13437,477
|
|
01.01.12-31.01.12
|
31
|
13437,477
|
170,722
|
0
|
0
|
13608,199
|
|
01.02.12.-29.02.12
|
29
|
13608,199
|
161,737
|
0
|
0
|
13769,936
|
|
01.03.12-31.03.12
|
31
|
13769,936
|
174,946
|
0
|
0
|
13944,882
|
|
01.04.12-30.04.12
|
30
|
13944,882
|
171,453
|
0
|
0
|
14116,335
|
|
01.05.12-31.05.12
|
31
|
14116,335
|
179,347
|
0
|
0
|
14295,682
|
|
01.06.12-30.06.12
|
30
|
14295,682
|
175,767
|
0
|
0
|
14471,449
|
|
01.07.12-31.07.12
|
31
|
14471,449
|
183,859
|
0
|
0
|
14655,307
|
|
01.08.12-31.08.12
|
31
|
14655,307
|
186,194
|
0
|
0
|
14841,502
|
|
01.09.12-30.09.12
|
30
|
14841,502
|
182,477
|
0
|
0
|
15023,979
|
|
01.10.12-31.10.12
|
31
|
15023,979
|
190,878
|
0
|
0
|
15214,858
|
|
01.11.12-30.11.12
|
30
|
15214,858
|
187,068
|
0
|
0
|
15401,925
|
|
01.12.12-31.12.12
|
31
|
15401,925
|
195,680
|
0
|
0
|
15597,606
|
|
01.01.13-31.01.13
|
31
|
15597,606
|
198,709
|
0
|
0
|
15796,315
|
|
01.02.13.28.02.13
|
28
|
15796,315
|
181,766
|
0
|
0
|
15978,081
|
|
01.03.13-31.03.13
|
31
|
15978,081
|
203,556
|
0
|
0
|
16181,637
|
|
01.04.13-30.04.13
|
30
|
16181,637
|
199,500
|
0
|
0
|
16381,137
|
|
01.05.13-31.05.13
|
31
|
16381,137
|
208,691
|
0
|
0
|
16589,828
|
|
01.06.13-30.06.13
|
30
|
16589,828
|
204,532
|
0
|
0
|
16794,360
|
|
01.07.13-31.07.13
|
31
|
16794,360
|
213,956
|
0
|
0
|
17008,316
|
|
01.08.13-31.08.13
|
31
|
17008,316
|
216,681
|
0
|
0
|
17224,997
|
|
01.09.13-30.09.13
|
30
|
17224,997
|
212,363
|
0
|
0
|
17437,360
|
|
01.10.13-31.10.13
|
31
|
17437,360
|
222,147
|
0
|
0
|
17659,507
|
|
01.11.13-30.11.13
|
30
|
17659,507
|
217,720
|
0
|
0
|
17877,227
|
|
01.12.13-31.12.13
|
31
|
17877,227
|
227,751
|
0
|
0
|
18104,978
|
|
01.01.14-31.01.14
|
31
|
18104,978
|
230,652
|
0
|
0
|
18335,630
|
|
01.02.14.28.02.14
|
18335,630
|
210,985
|
0
|
0
|
18546,616
|
|
01.03.14-31.03.14
|
31
|
18546,616
|
236,279
|
0
|
0
|
18782,895
|
|
01.04.14-30.04.14
|
30
|
18782,895
|
231,570
|
0
|
0
|
19014,464
|
|
01.05.14-31.05.14
|
31
|
19014,464
|
242,239
|
0
|
0
|
19256,704
|
|
01.06.14-30.06.14
|
30
|
19256,704
|
237,411
|
0
|
0
|
19494,115
|
|
01.07.14-31.07.14
|
31
|
19494,115
|
248,350
|
0
|
0
|
19742,465
|
|
01.08.14-31.08.14
|
31
|
19742,465
|
251,514
|
0
|
0
|
19993,978
|
|
01.09.14-30.09.14
|
30
|
19993,978
|
246,501
|
0
|
0
|
20240,479
|
|
01.10.14-31.10.14
|
31
|
20240,479
|
257,858
|
0
|
0
|
20498,337
|
|
01.11.14-30.11.14
|
30
|
20498,337
|
252,719
|
0
|
0
|
20751,057
|
|
01.12.14-31.12.14
|
31
|
20751,057
|
264,363
|
0
|
0
|
21015,419
|
|
01.01.15-31.01.15
|
31
|
21015,419
|
267,731
|
0
|
0
|
21283,150
|
|
01.02.15-28.02.15
|
28
|
21283,150
|
244,902
|
0
|
0
|
21528,052
|
|
01.03.15-31.03.15
|
31
|
21528,052
|
274,261
|
0
|
0
|
21802,314
|
|
01.04.15-30.04.15
|
30
|
21802,314
|
268,796
|
0
|
0
|
22071,109
|
|
01.05.15-31.05.15
|
31
|
22071,109
|
281,180
|
0
|
0
|
22352,289
|
|
01.06.15-30.06.15
|
30
|
22352,289
|
275,576
|
0
|
0
|
22627,865
|
|
01.07.15-31.07.15
|
31
|
22627,865
|
288,273
|
0
|
0
|
22916,138
|
|
01.08.15-31.08.15
|
31
|
22916,138
|
291,945
|
0
|
0
|
23208,083
|
|
01.09.15-30.09.15
|
30
|
23208,083
|
286,127
|
0
|
0
|
23494,211
|
|
01.10.15-31.10.15
|
31
|
23494,211
|
299,310
|
0
|
0
|
23793,520
|
|
01.11.15-30.11.15
|
30
|
23793,520
|
293,345
|
0
|
0
|
24086,865
|
|
01.12.15-31.12.15
|
31
|
24086,865
|
306,860
|
0
|
0
|
24393,725
|
|
01.01.16-31.01.16
|
31
|
24393,725
|
309,920
|
0
|
0
|
24703,645
|
|
01.02.16-29.02.16
|
29
|
24703,645
|
293,609
|
0
|
0
|
24997,254
|
|
01.03.16-31.03.16
|
31
|
24997,254
|
317,588
|
0
|
0
|
25314,842
|
|
01.04.16-30.04.16
|
30
|
25314,842
|
311,248
|
0
|
0
|
25626,090
|
|
01.05.16-31.05.16
|
31
|
25626,090
|
325,577
|
0
|
0
|
25951,668
|
|
01.06.16-30.06.16
|
30
|
25951,668
|
319,078
|
0
|
0
|
26270,746
|
|
01.07.16-31.07.16
|
31
|
26270,746
|
333,768
|
0
|
0
|
26604,513
|
|
01.08.16-31.08.16
|
31
|
26604,513
|
338,008
|
0
|
0
|
26942,522
|
|
01.09.16-30.09.16
|
30
|
26942,522
|
331,261
|
0
|
0
|
27273,782
|
|
01.10.16-12.10.16
|
11
|
27273,782
|
122,956
|
14396,738
|
13000
|
0
|
|
Итого:
|
|
|
14396,738
|
14396,738
|
13000
|
|
Кредит возвращается в конце срока. Проценты
начисляются и погашаются ежемесячно.
Таблица 5.2.2.1.
|
Период
|
Количество
дней
|
Σ
долга
на нп (тыс. руб.)
|
%
начисления (тыс. руб.)
|
%
погашения (тыс. руб.)
|
Погашение
долга (тыс. руб.)
|
Σ
долга
на кп (тыс. руб.)
|
|
12.10.11-31.10.11
|
20
|
13000
|
106,849
|
106,849
|
0
|
13000
|
|
01.11.11-30.11.11
|
30
|
13000
|
160,274
|
160,274
|
0
|
13000
|
|
01.12.11-31.12.11
|
31
|
13000
|
165,616
|
165,616
|
0
|
13000
|
|
01.01.12-31.01.12
|
31
|
13000
|
165,164
|
165,164
|
0
|
13000
|
|
01.02.12.-29.02.12
|
29
|
13000
|
154,508
|
154,508
|
0
|
13000
|
|
01.03.12-31.03.12
|
31
|
13000
|
165,164
|
165,164
|
0
|
13000
|
|
01.04.12-30.04.12
|
30
|
13000
|
159,836
|
159,836
|
0
|
13000
|
|
01.05.12-31.05.12
|
31
|
13000
|
165,164
|
165,164
|
0
|
13000
|
|
01.06.12-30.06.12
|
30
|
13000
|
159,836
|
159,836
|
0
|
13000
|
|
01.07.12-31.07.12
|
31
|
13000
|
165,164
|
165,164
|
0
|
13000
|
|
01.08.12-31.08.12
|
31
|
13000
|
165,164
|
165,164
|
0
|
13000
|
|
01.09.12-30.09.12
|
30
|
13000
|
159,836
|
159,836
|
0
|
13000
|
|
01.10.12-31.10.12
|
31
|
13000
|
165,164
|
165,164
|
0
|
13000
|
|
01.11.12-30.11.12
|
30
|
13000
|
159,836
|
159,836
|
0
|
13000
|
|
01.12.12-31.12.12
|
31
|
13000
|
165,164
|
165,164
|
0
|
13000
|
31
|
13000
|
165,616
|
165,616
|
0
|
13000
|
|
01.02.13.28.02.13
|
28
|
13000
|
149,589
|
149,589
|
0
|
13000
|
|
01.03.13-31.03.13
|
31
|
13000
|
165,616
|
165,616
|
0
|
13000
|
|
01.04.13-30.04.13
|
30
|
13000
|
160,274
|
160,274
|
0
|
13000
|
|
01.05.13-31.05.13
|
31
|
13000
|
165,616
|
165,616
|
0
|
13000
|
|
01.06.13-30.06.13
|
30
|
13000
|
160,274
|
160,274
|
0
|
13000
|
|
01.07.13-31.07.13
|
31
|
13000
|
165,616
|
165,616
|
0
|
13000
|
|
01.08.13-31.08.13
|
31
|
13000
|
165,616
|
165,616
|
0
|
13000
|
|
01.09.13-30.09.13
|
30
|
13000
|
160,274
|
160,274
|
0
|
13000
|
|
01.10.13-31.10.13
|
31
|
13000
|
165,616
|
165,616
|
0
|
13000
|
|
01.11.13-30.11.13
|
30
|
13000
|
160,274
|
160,274
|
0
|
13000
|
|
01.12.13-31.12.13
|
31
|
13000
|
165,616
|
165,616
|
0
|
13000
|
|
01.01.14-31.01.14
|
31
|
13000
|
165,616
|
165,616
|
0
|
13000
|
|
01.02.14.28.02.14
|
28
|
13000
|
149,589
|
149,589
|
0
|
13000
|
|
01.03.14-31.03.14
|
31
|
13000
|
165,616
|
165,616
|
0
|
13000
|
|
01.04.14-30.04.14
|
30
|
13000
|
160,274
|
160,274
|
0
|
13000
|
|
01.05.14-31.05.14
|
31
|
13000
|
165,616
|
165,616
|
0
|
13000
|
|
01.06.14-30.06.14
|
30
|
13000
|
160,274
|
160,274
|
0
|
13000
|
|
01.07.14-31.07.14
|
31
|
13000
|
165,616
|
165,616
|
0
|
13000
|
|
01.08.14-31.08.14
|
31
|
13000
|
165,616
|
165,616
|
0
|
13000
|
|
01.09.14-30.09.14
|
30
|
13000
|
160,274
|
160,274
|
0
|
13000
|
|
01.10.14-31.10.14
|
31
|
13000
|
165,616
|
165,616
|
0
|
13000
|
|
01.11.14-30.11.14
|
30
|
13000
|
160,274
|
160,274
|
0
|
13000
|
|
01.12.14-31.12.14
|
31
|
13000
|
165,616
|
165,616
|
0
|
13000
|
|
01.01.15-31.01.15
|
31
|
13000
|
165,616
|
165,616
|
0
|
13000
|
|
01.02.15-28.02.15
|
28
|
13000
|
149,589
|
149,589
|
0
|
13000
|
|
01.03.15-31.03.15
|
31
|
13000
|
165,616
|
165,616
|
0
|
13000
|
|
01.04.15-30.04.15
|
30
|
13000
|
160,274
|
160,274
|
0
|
13000
|
|
01.05.15-31.05.15
|
31
|
13000
|
165,616
|
165,616
|
0
|
13000
|
|
01.06.15-30.06.15
|
30
|
13000
|
160,274
|
160,274
|
0
|
13000
|
|
01.07.15-31.07.15
|
31
|
13000
|
165,616
|
165,616
|
0
|
13000
|
|
01.08.15-31.08.15
|
31
|
13000
|
165,616
|
165,616
|
0
|
13000
|
|
01.09.15-30.09.15
|
30
|
13000
|
160,274
|
160,274
|
0
|
13000
|
|
01.10.15-31.10.15
|
31
|
13000
|
165,616
|
165,616
|
0
|
13000
|
|
01.11.15-30.11.15
|
30
|
13000
|
160,274
|
160,274
|
0
|
13000
|
|
01.12.15-31.12.15
|
31
|
13000
|
165,616
|
165,616
|
0
|
13000
|
|
01.01.16-31.01.16
|
31
|
13000
|
165,164
|
165,164
|
0
|
13000
|
|
01.02.16-29.02.16
|
29
|
13000
|
154,508
|
154,508
|
0
|
13000
|
|
01.03.16-31.03.16
|
31
|
13000
|
165,164
|
165,164
|
0
|
13000
|
|
01.04.16-30.04.16
|
30
|
13000
|
159,836
|
159,836
|
0
|
13000
|
|
01.05.16-31.05.16
|
31
|
13000
|
165,164
|
165,164
|
0
|
13000
|
|
01.06.16-30.06.16
|
30
|
13000
|
159,836
|
159,836
|
0
|
13000
|
|
01.07.16-31.07.16
|
31
|
13000
|
165,164
|
165,164
|
0
|
13000
|
|
01.08.16-31.08.16
|
31
|
13000
|
165,164
|
165,164
|
0
|
13000
|
|
01.09.16-30.09.16
|
30
|
13000
|
159,836
|
159,836
|
0
|
13000
|
|
01.10.16-12.10.16
|
11
|
13000
|
58,607
|
58,607
|
13000
|
0
|
|
Итого:
|
|
|
9751,182
|
9751,182
|
13000
|
|
Кредит погашается равномерно по месяцам.
Проценты начисляются и погашаются ежемесячно.
Таблица 4.2.3.
|
Период
|
Количество
дней
|
Σ
долга
на нп (тыс. руб.)
|
%
начисления (тыс. руб.)
|
%
погашения (тыс. руб.)
|
Погашение
долга (тыс. руб.)
|
Σ
долга
на кп (тыс. руб.)
|
|
12.10.11-31.10.11
|
20
|
13000
|
106,849
|
106,849
|
213
|
12787
|
|
01.11.11-30.11.11
|
30
|
12787
|
157,647
|
157,647
|
213
|
|
01.12.11-31.12.11
|
31
|
12574
|
160,186
|
160,186
|
213
|
12361
|
|
01.01.12-31.01.12
|
31
|
12361
|
157,041
|
157,041
|
213
|
12148
|
|
01.02.12.-29.02.12
|
29
|
12148
|
144,377
|
144,377
|
213
|
11934
|
|
01.03.12-31.03.12
|
31
|
11934
|
151,626
|
151,626
|
213
|
11721
|
|
01.04.12-30.04.12
|
30
|
11721
|
144,114
|
144,114
|
213
|
11508
|
|
01.05.12-31.05.12
|
31
|
11508
|
146,211
|
146,211
|
213
|
11295
|
|
01.06.12-30.06.12
|
30
|
11295
|
138,874
|
138,874
|
213
|
11082
|
|
01.07.12-31.07.12
|
31
|
11082
|
140,795
|
140,795
|
213
|
10869
|
|
01.08.12-31.08.12
|
31
|
10869
|
138,088
|
138,088
|
213
|
10656
|
|
01.09.12-30.09.12
|
30
|
10656
|
131,013
|
131,013
|
213
|
10443
|
|
01.10.12-31.10.12
|
31
|
10443
|
132,673
|
132,673
|
213
|
10230
|
|
01.11.12-30.11.12
|
30
|
10230
|
125,773
|
125,773
|
213
|
10016
|
|
01.12.12-31.12.12
|
31
|
10016
|
127,257
|
127,257
|
213
|
9803
|
|
01.01.13-31.01.13
|
31
|
9803
|
124,891
|
124,891
|
213
|
9590
|
|
01.02.13.28.02.13
|
28
|
9590
|
110,353
|
110,353
|
213
|
9377
|
|
01.03.13-31.03.13
|
31
|
9377
|
119,461
|
119,461
|
213
|
9164
|
|
01.04.13-30.04.13
|
30
|
9164
|
112,980
|
112,980
|
213
|
8951
|
|
01.05.13-31.05.13
|
31
|
8951
|
114,031
|
114,031
|
213
|
8738
|
|
01.06.13-30.06.13
|
30
|
8738
|
107,725
|
107,725
|
213
|
8525
|
|
01.07.13-31.07.13
|
31
|
8525
|
108,601
|
108,601
|
213
|
8311
|
|
01.08.13-31.08.13
|
31
|
8311
|
105,886
|
105,886
|
213
|
8098
|
|
01.09.13-30.09.13
|
30
|
8098
|
99,843
|
99,843
|
213
|
7885
|
|
01.10.13-31.10.13
|
31
|
7885
|
100,456
|
100,456
|
213
|
7672
|
|
01.11.13-30.11.13
|
30
|
7672
|
94,588
|
94,588
|
213
|
7459
|
|
01.12.13-31.12.13
|
31
|
7459
|
95,026
|
95,026
|
213
|
7246
|
|
01.01.14-31.01.14
|
31
|
7246
|
92,311
|
92,311
|
213
|
7033
|
|
01.02.14.28.02.14
|
28
|
7033
|
80,925
|
80,925
|
213
|
6820
|
|
01.03.14-31.03.14
|
31
|
6820
|
86,881
|
86,881
|
213
|
6607
|
|
01.04.14-30.04.14
|
30
|
6607
|
81,451
|
81,451
|
213
|
6393
|
|
01.05.14-31.05.14
|
31
|
6393
|
81,451
|
81,451
|
213
|
6180
|
|
01.06.14-30.06.14
|
30
|
6180
|
76,196
|
76,196
|
213
|
5967
|
|
01.07.14-31.07.14
|
31
|
5967
|
76,021
|
76,021
|
213
|
5754
|
|
01.08.14-31.08.14
|
31
|
5754
|
73,306
|
73,306
|
213
|
5541
|
|
01.09.14-30.09.14
|
30
|
5541
|
68,313
|
68,313
|
213
|
5328
|
|
01.10.14-31.10.14
|
31
|
5328
|
67,876
|
67,876
|
213
|
5115
|
|
01.11.14-30.11.14
|
30
|
5115
|
63,059
|
63,059
|
213
|
4902
|
|
01.12.14-31.12.14
|
31
|
4902
|
62,446
|
62,446
|
213
|
4689
|
|
01.01.15-31.01.15
|
31
|
4689
|
59,731
|
59,731
|
213
|
4475
|
|
01.02.15-28.02.15
|
28
|
4475
|
51,498
|
51,498
|
213
|
4262
|
|
01.03.15-31.03.15
|
31
|
4262
|
54,300
|
54,300
|
213
|
4049
|
|
01.04.15-30.04.15
|
30
|
4049
|
49,921
|
49,921
|
213
|
3836
|
|
01.05.15-31.05.15
|
31
|
3836
|
48,870
|
48,870
|
213
|
3623
|
|
01.06.15-30.06.15
|
30
|
3623
|
44,667
|
44,667
|
213
|
3410
|
|
01.07.15-31.07.15
|
31
|
3410
|
43,440
|
43,440
|
213
|
3197
|
|
01.08.15-31.08.15
|
31
|
3197
|
40,725
|
40,725
|
213
|
2984
|
|
01.09.15-30.09.15
|
30
|
2984
|
36,784
|
36,784
|
213
|
2770
|
|
01.10.15-31.10.15
|
31
|
2770
|
35,295
|
35,295
|
213
|
2557
|
|
01.11.15-30.11.15
|
30
|
2557
|
31,529
|
31,529
|
213
|
2344
|
|
01.12.15-31.12.15
|
31
|
2344
|
29,865
|
29,865
|
213
|
2131
|
|
01.01.16-31.01.16
|
31
|
2131
|
27,076
|
27,076
|
213
|
1918
|
29
|
1918
|
22,796
|
22,796
|
213
|
1705
|
|
01.03.16-31.03.16
|
31
|
1705
|
21,661
|
21,661
|
213
|
1492
|
|
01.04.16-30.04.16
|
30
|
1492
|
18,342
|
18,342
|
213
|
1279
|
|
01.05.16-31.05.16
|
31
|
1279
|
16,246
|
16,246
|
213
|
1066
|
|
01.06.16-30.06.16
|
30
|
1066
|
13,101
|
13,101
|
213
|
852
|
|
01.07.16-31.07.16
|
31
|
852
|
10,830
|
10,830
|
213
|
639
|
|
01.08.16-31.08.16
|
31
|
639
|
8,123
|
8,123
|
213
|
426
|
|
01.09.16-30.09.16
|
30
|
426
|
5,241
|
5,241
|
213
|
213
|
|
01.10.16-12.10.16
|
11
|
213
|
0,961
|
0,961
|
213
|
0
|
|
Итого:
|
|
|
4977,601
|
4977,601
|
13000
|
|
Аннуитет
Д - величина кредита- процентная ставка за
период- количество периодов
Таблица 5.2.4.1.
|
Период
|
Количество
дней
|
Σ
долга
на нп (тыс. руб.)
|
Аннуитет
(тыс. руб.)
|
%
погашения (тыс. руб.)
|
Погашение
долга (тыс. руб.)
|
Σ
долга
на кп (тыс. руб.)
|
|
12.10.11-31.10.11
|
20
|
13000
|
305,8586001
|
162,500
|
143,359
|
12857
|
|
01.11.11-30.11.11
|
30
|
12857
|
305,8586001
|
160,708
|
145,151
|
12711
|
|
01.12.11-31.12.11
|
31
|
12711
|
305,8586001
|
158,894
|
146,965
|
12565
|
|
01.01.12-31.01.12
|
31
|
12565
|
305,8586001
|
157,057
|
148,802
|
12416
|
|
01.02.12.-29.02.12
|
29
|
12416
|
305,8586001
|
155,197
|
150,662
|
12265
|
|
01.03.12-31.03.12
|
31
|
12265
|
305,8586001
|
153,313
|
152,545
|
12113
|
|
01.04.12-30.04.12
|
30
|
12113
|
305,8586001
|
151,406
|
154,452
|
11958
|
|
01.05.12-31.05.12
|
31
|
11958
|
305,8586001
|
149,476
|
156,383
|
11802
|
|
01.06.12-30.06.12
|
30
|
11802
|
305,8586001
|
147,521
|
158,338
|
11643
|
|
01.07.12-31.07.12
|
31
|
11643
|
305,8586001
|
145,542
|
160,317
|
11483
|
|
01.08.12-31.08.12
|
31
|
11483
|
305,8586001
|
143,538
|
162,321
|
11321
|
|
01.09.12-30.09.12
|
30
|
11321
|
305,8586001
|
141,509
|
164,350
|
11156
|
|
01.10.12-31.10.12
|
31
|
11156
|
305,8586001
|
139,454
|
166,404
|
10990
|
|
01.11.12-30.11.12
|
30
|
10990
|
305,8586001
|
137,374
|
168,484
|
10821
|
|
01.12.12-31.12.12
|
31
|
10821
|
305,8586001
|
135,268
|
170,590
|
10651
|
|
01.01.13-31.01.13
|
31
|
10651
|
305,8586001
|
133,136
|
172,723
|
10478
|
|
01.02.13.28.02.13
|
28
|
10478
|
305,8586001
|
130,977
|
174,882
|
10303
|
|
01.03.13-31.03.13
|
31
|
10303
|
305,8586001
|
128,791
|
177,068
|
10126
|
|
01.04.13-30.04.13
|
30
|
10126
|
305,8586001
|
126,578
|
179,281
|
9947
|
|
01.05.13-31.05.13
|
31
|
9947
|
305,8586001
|
124,337
|
181,522
|
9765
|
|
01.06.13-30.06.13
|
30
|
9765
|
305,8586001
|
122,068
|
183,791
|
9582
|
|
01.07.13-31.07.13
|
31
|
9582
|
305,8586001
|
119,770
|
186,088
|
9396
|
|
01.08.13-31.08.13
|
31
|
9396
|
305,8586001
|
117,444
|
188,415
|
9207
|
|
01.09.13-30.09.13
|
30
|
9207
|
305,8586001
|
115,089
|
190,770
|
9016
|
|
01.10.13-31.10.13
|
31
|
9016
|
305,8586001
|
112,704
|
193,154
|
8823
|
|
01.11.13-30.11.13
|
30
|
8823
|
305,8586001
|
110,290
|
195,569
|
8628
|
|
01.12.13-31.12.13
|
31
|
8628
|
305,8586001
|
107,845
|
198,013
|
8430
|
|
01.01.14-31.01.14
|
31
|
8430
|
305,8586001
|
105,370
|
200,489
|
8229
|
|
01.02.14.28.02.14
|
28
|
8229
|
305,8586001
|
102,864
|
202,995
|
8026
|
|
01.03.14-31.03.14
|
31
|
8026
|
305,8586001
|
100,326
|
205,532
|
7821
|
|
01.04.14-30.04.14
|
30
|
7821
|
305,8586001
|
97,757
|
208,101
|
7612
|
|
01.05.14-31.05.14
|
31
|
7612
|
305,8586001
|
95,156
|
210,703
|
7402
|
|
01.06.14-30.06.14
|
30
|
7402
|
305,8586001
|
92,522
|
213,336
|
7188
|
|
01.07.14-31.07.14
|
31
|
7188
|
305,8586001
|
89,856
|
216,003
|
6972
|
|
01.08.14-31.08.14
|
31
|
6972
|
305,8586001
|
87,156
|
218,703
|
6754
|
|
01.09.14-30.09.14
|
30
|
6754
|
305,8586001
|
84,422
|
221,437
|
6532
|
|
01.10.14-31.10.14
|
31
|
6532
|
305,8586001
|
81,654
|
224,205
|
6308
|
|
01.11.14-30.11.14
|
30
|
6308
|
305,8586001
|
78,851
|
227,007
|
6081
|
|
01.12.14-31.12.14
|
31
|
6081
|
76,014
|
229,845
|
5851
|
|
01.01.15-31.01.15
|
31
|
5851
|
305,8586001
|
73,141
|
232,718
|
5619
|
|
01.02.15-28.02.15
|
28
|
5619
|
305,8586001
|
70,232
|
235,627
|
5383
|
|
01.03.15-31.03.15
|
31
|
5383
|
305,8586001
|
67,286
|
238,572
|
5144
|
|
01.04.15-30.04.15
|
30
|
5144
|
305,8586001
|
64,304
|
241,554
|
4903
|
|
01.05.15-31.05.15
|
31
|
4903
|
305,8586001
|
61,285
|
244,574
|
4658
|
|
01.06.15-30.06.15
|
30
|
4658
|
305,8586001
|
58,228
|
247,631
|
4411
|
|
01.07.15-31.07.15
|
31
|
4411
|
305,8586001
|
55,132
|
250,726
|
4160
|
|
01.08.15-31.08.15
|
31
|
4160
|
305,8586001
|
51,998
|
253,861
|
3906
|
|
01.09.15-30.09.15
|
30
|
3906
|
305,8586001
|
48,825
|
257,034
|
3649
|
|
01.10.15-31.10.15
|
31
|
3649
|
305,8586001
|
45,612
|
260,247
|
3389
|
|
01.11.15-30.11.15
|
30
|
3389
|
305,8586001
|
42,359
|
263,500
|
3125
|
|
01.12.15-31.12.15
|
31
|
3125
|
305,8586001
|
39,065
|
266,794
|
2858
|
|
01.01.16-31.01.16
|
31
|
2858
|
305,8586001
|
35,730
|
270,128
|
2588
|
|
01.02.16-29.02.16
|
29
|
2588
|
305,8586001
|
32,354
|
273,505
|
2315
|
|
01.03.16-31.03.16
|
31
|
2315
|
305,8586001
|
28,935
|
276,924
|
2038
|
|
01.04.16-30.04.16
|
30
|
2038
|
305,8586001
|
25,473
|
280,385
|
1757
|
|
01.05.16-31.05.16
|
31
|
1757
|
305,8586001
|
21,968
|
283,890
|
1474
|
|
01.06.16-30.06.16
|
30
|
1474
|
305,8586001
|
18,420
|
287,439
|
1186
|
|
01.07.16-31.07.16
|
31
|
1186
|
305,8586001
|
14,827
|
291,032
|
895
|
|
01.08.16-31.08.16
|
31
|
895
|
305,8586001
|
11,189
|
294,670
|
600
|
|
01.09.16-30.09.16
|
30
|
600
|
305,8586001
|
7,505
|
298,353
|
302
|
|
01.10.16-12.10.16
|
11
|
302
|
305,8586001
|
3,776
|
302,083
|
0
|
|
Итого:
|
|
|
18657,375
|
5657,375
|
13000
|
|
Вывод: Проведя анализ различных вариантов
выплаты долгосрочного кредита и процентов можно сделать вывод, что для ЗАО
“Диплом” будет выгодно погашать кредит и проценты равномерно по месяцам. Так
как сумма возврата долга самая минимальная.
. Расчет сверхнормативных расходов для
определения налога на прибыль
Рассмотрим порядок признания расходов на уплату
процентов за предоставление в пользование денежных средств. Эти расходы
определяются по правилам статьи 269 Налогового Кодекса РФ.
Глава 26.2 Налогового Кодекса РФ не
предусматривает ограничений по источнику предоставления займов и кредитов.
Следовательно, заимодавцем может выступать как кредитная организация, так и
любое юридическое и физическое лицо.
Основным условием признания расходов по уплате
процентов является их фактическая оплата.
Проценты по долговым обязательствам для целей
налогообложения нормируются. Статьей 269 Налогового Кодекса РФ определен
порядок расчета максимальной величины процентов, которая может быть учтена в
составе расходов. Согласно этой статье, расходы по уплате процентов могут
приниматься для целей налогообложения в размерах, не превышающих максимальный
уровень процентов, который по выбору налогоплательщика определяется одним из
двух способов:
способ.
Исходя из среднего уровня процентов (отклонение
не должно превышать 20% в ту или иную сторону), уплачиваемых по долговым
обязательствам, выданных в том же квартале на сопоставимых условиях.
способ.
Исходя из ставки рефинансирования Центрального
банка РФ увеличенной в 1,1 раза по займам и кредитам, полученным в рублях, и
равной 15% по кредитам и займам, проученным в иностранной валюте.
В 2009 - 2012 годах для определения максимальной
суммы процентов применяются иные нормативы.
Выбранный способ нормирования процентов
закрепляется налогоплательщиком в учетной политике для целей налогообложения.
Первый способ.
Использование долговых обязательств выданных на
сопоставимых условиях.
Для того чтобы определить предельную величину
расходов по уплате процентов по полученным кредитам с применением среднего процента
необходимо использовать критерии их сопоставимости которые перечислены в п. 1
ст. 269 Налогового Кодекса РФ.
Займы и кредиты будут считаться полученными на
сопоставимых условиях, если они одновременно соответствуют следующим критериям,
а именно получены в одинаковой валюте на те же троки под аналогичные
обеспечения в сопоставимых объемах.
При формировании учетной политики для целей
налогообложения организация самостоятельно устанавливает конкретные границы
(правила) по каждому из перечисленных критериев (сроки, обеспечение, объем).
Второй способ.
Использование ставки Центрального банка РФ.
Согласно ст. 269 Налогового Кодекса РФ
налогоплательщик имеет право при формировании учетной политики закрепить в ней
способ определения предельной величины процентов учитываемых в расходах с
применением ставки Центрального банка РФ умноженной на 1,1 раза (по рублевым
займам и кредитам) или ставки 15% (по валютным займам и кредитам).
Таблица 5.1.
|
Год
|
Период
|
Долговое
обязательство в рублях
|
Долговое
обязательство в валюте
|
|
2009
|
01.03.2008
- 31.07.2009
|
↑
1,5 раза
|
22%
годовых
|
|
01.08.2009
- 31.12.2009
|
↑
2 раза
|
|
|
2010
|
Долговое
обязательство после 01.11.2009
|
↑1,8
раз
|
22%
годовых
|
|
Долговое
обязательство до 01.11.2009 01.01.2011 - 30.06.2010
|
↑
2 раза
|
|
|
01.07.2010
- 31.12.2010
|
↑1,8
раз
|
|
|
2011
- 2012
|
01.01.2011-31.12.12
|
↑1,8
раз
|
Произведение
ставки ЦБ РФ и коэффициента 0,8
|
Если вы нормируете проценты и применением ставки
Центрального банка РФ, то нужно четко понимать Центральный банк РФ берется для
расчета предельной величины процентов. Ответ на этот вопрос содержится в ст.
269 Налогового Кодекса РФ: по долговым обязательствам с фиксированной ставкой
для нормирования применяется ставка Центрального банка РФ, действовавшая на
дату привлечения денежных средств; по всем прочим долговым обязательствам
применяется ставка Центрального банка РФ, действующая на дату признания
расходов в виде процентов. В курсовой работе договор займа не предусматривает
изменение процентной ставки, поэтому вплоть до окончания его действия
максимальная сумма процентов которую можно включить в расходы определяется
исходя из ставки Центрального банка РФ действовавшей на 12.10.2011 и на
17.12.2011 года. Ставка Центрального банка РФ составляет 8,25%.
Таблица 5.2.
|
Отчетная
дата
|
Количество
дней за квартал
|
Предельная
сумма за квартал (тыс. руб.)
|
Фактически
уплаченная сумма за квартал (тыс. руб.)
|
Сумма,
признаваемая в расходах на отчетную дату (тыс. руб.)
|
Сумма,
признаваемая в расходах с нарастающим итогом с начала года (тыс. руб.)
|
|
Краткосрочный
кредит
|
|
31.12.2011
|
15
|
12,205
|
8,219
|
8,219
|
8,219
|
|
Долгосрочный
кредит
|
|
31.12.2011
|
81
|
428,412
|
424,682
|
424,682
|
424,628
|
Вывод: Максимальная сумма процентов, которую
можно включить в расходы для определения налога на прибыль за 4 квартал 2011
года составляет 432,901 тыс. руб.
Заключение
В данной курсовой работе была проведена оценка
кредитоспособности, определение рейтинга предприятия заемщика и выбор
наилучшего варианта кредитования ЗАО “Диплом”.
По результатам расчетов ЗАО “Диплом” считается
первоклассным по кредитоспособности заемщиком, соответственно коммерческие
банки могут открывать кредитную линию и выдавать ссуды без обеспечения.
Пятифакторная Z - оценка показала результат
1,81442 руб./руб., это значит, что вероятность банкротства средняя.
Проведя анализ различных вариантов выплаты
краткосрочного и долгосрочного кредитов и процентов можно сделать вывод, что
для ЗАО “Диплом” будет выгодно погашать кредит и проценты равномерно по
месяцам. Так как сумма возврата долга минимальная.
В курсовой работе договор займа не
предусматривает изменение процентной ставки, поэтому вплоть до окончания его
действия максимальная сумма процентов которую можно включить в расходы
определяется исходя из ставки Центрального банка РФ действовавшей на 12.10.2011
и на 17.12.2011 года (согласно статьи № 269 Налогового кодекса РФ). Ставка
Центрального банка РФ составляет 8,25%, отсюда следует максимальная сумма
процентов, которую можно включить в расходы для определения налога на прибыль
за 4 квартал 2011 года составляет 432,901 тыс. руб.