Основы экономической теории

  • Вид работы:
    Контрольная работа
  • Предмет:
    Эктеория
  • Язык:
    Русский
    ,
    Формат файла:
    MS Word
    133,69 Кб
  • Опубликовано:
    2013-11-09
Вы можете узнать стоимость помощи в написании студенческой работы.
Помощь в написании работы, которую точно примут!

Основы экономической теории

Учреждение образования

«Минский колледж предпринимательства»











КОНТРОЛЬНАЯ РАБОТА

Основы экономической теории











МИНСК 2013г.

СОДЕРЖАНИЕ

1. Понятия потребления и полезности. Предельная и общая полезность

2. Дефлятор ВНП. Номинальный, реальный ВНП

3. Взаимосвязь инфляции и безработицы

Список использованных источников

1. Понятия потребления и полезности. Предельная и общая полезность

Потребление - это процесс удовлетворения спроса потребителей на разнообразные товары и услуги с учетом их доходов и личных предпочтений.

Целью потребителя, ради которой он покупает товар, является удовлетворение своих запросов и потребностей и получение удовольствия от потребления товаров и услуг. Главным фактором потребительского выбора является полезность того или иного товара.

Полезность - это степень удовлетворения потребностей индивидов, которую они получают при потреблении товаров или услуг либо ведении какой-либо деятельности.

Понятие «полезность» было введено в экономическую науку английским философом Иеремией Бентамом <#"659501.files/image001.gif">

Рисунок 1 - Общая полезность

Предельная полезность - это полезность, которую человек получает от использования ещё одной дополнительной единицы блага.

Другими словами, предельная полезность - это увеличение общей полезности при потреблении одной дополнительной единицы блага.

Рисунок 2 - Предельная полезность


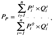
где Pi0 и Pit - цены i-го блага, соответственно, в базисном (0) и текущем (t) периоде;

Qi0 - количество i-го блага в базисном периоде;

PL - индекс потребительских цен.

Индекс данного типа не учитывает изменения в структуре весов в текущем периоде по сравнению с базисным, что несколько искажает результат. Так, ИПЦ, где используется потребительская корзина базисного года, не принимает во внимание изменений в структуре потребления в текущем периоде, например, замену более дорогих благ более дешевыми в условиях роста цен. Это приводит к завышению роста стоимости жизни, если в качестве оценочного показателя используется ИПЦ.

Индекс цен - неявный дефлятор ВНП, или, как его кратко называют, дефлятор ВНП, - рассчитывается по типу индекса Пааше, т.е. индекса, где в качестве весов используется набор благ текущего периода:

                                                                     (3)

где Qit´- количество i-го блага в текущем периоде;

PP - дефлятор ВНП.

Если вместо Q мы подставим весь набор благ, представленный в ВНП, а вместо P, соответственно, их цены, то получим дефлятор ВНП. Фактически он равен отношению номинального ВНП к реальному е текущем периоде:

Дефлятор ВНП = (Номинальный ВНП)/(Реальный ВНП)          (4)

В отличие от индекса Ласпейреса индекс Пааше несколько занижает рост уровня цен в экономике, поскольку также не учитывает динамику структуры весов, но фиксирует ее уже в текущем периоде. Если с его помощью оценивать рост стоимости жизни, то не будет учтено влияние на потребителей повышения цен на блага, которые присутствовали в наборе базисного года, но отсутствуют в наборе текущего года.

Таким образом, ВНП измеряется в номинальных и реальных величинах. Обычно используется номинальный ВНП в статистике, но для того, чтобы избежать искажений при анализе основного макроэкономического показателя, следует корректировать номинальный ВНП на уровень цен. [5, c. 67]

3. Взаимосвязь инфляции и безработицы

Инфляция - это обесценение денег, снижение их покупательной способности, дисбаланс спроса и предложения. В переводе термин "инфляция" (от лат. inflatio) означает "вздутие", т.е. переполнение каналов обращения избыточными бумажными деньгами, не обеспеченными соответствующим ростом товарной массы.

Безработица- это социально-экономическое явление, при котором часть рабочей силы (экономически активное население) не занято в производстве товаров и услуг. Безработица выступает как вынужденная незанятость, возникающая вследствие постоянного нарушения равновесия между предложением рабочей силы и спросом на нее как на интегрированном рынке труда, так и в его различных сегментах. [2, c. 35]

Наблюдая за соотношением величин безработицы и инфляции, британский экономист А. У. Филипс в 1958 году установил, что между уровнем безработице в стране и темпами роста цен наблюдается обратно пропорциональная зависимость. На графике связь уровня безработицы и темпов инфляции изображается в виде кривой Филипса.

Рисунок 3 - Кривая Филлипса

Согласно кривой Филипса, повышение уровня безработицы может не только сбить темпы инфляции до нуля, то есть подавить рост цен, но и достичь отрицательной инфляции (снижения цен), именуемой дефляцией.

Кривая Филипса отражает тот факт, что стремление сократить безработицу путем расширения спроса и увеличения числа рабочих мест приводит к ускоренному росту инфляции. В то же время увеличение доли безработных приводит к сокращению денежной массы, выплачиваемой в виде заработной платы, и тем самым способствует подавлению инфляции.


СПИСОК ИСПОЛЬЗОВАННЫХ ИСТОЧНИКОВ

1.   Агапова Т. А., Серегина С. Ф. Макроэкономика: Учеб./ под общей редакцией А. В. Сидоровича; МГУ им. М. В. Ломоносова.− 7−е изд., перераб. и доп.− М.: Дело и сервис, 2009.− 464 с.

2.      Арещенко В. Д., Дрозд С. С., Болтрушевич Т. К. Рынок труда: проблемы безработицы и социальные гарантии: Учебно−методическое пособие. −Гом.: МИА гомельское отделение, 2008.−130 с.

.        Игорь Жабенок. Свободу ценам! // Экономическая газета, 2009 №59.

.        Лемешевский И. М. Экономическая теория: Учеб. пособие для студентов экон. спец. вузов, 2−е изд.− Мн.: ФУА информ., 2008.−672 с.

5.  Микроэкономика: учеб. пособие / А.В. Бондарь [и др.]; под ред. А.В. Бондаря, В.А. Воробьева. - Минск: БГЭУ, 2009. - 415 с.

Похожие работы на - Основы экономической теории

 

Не нашли материал для своей работы?
Поможем написать уникальную работу
Без плагиата!
Без нейросетей!