Основные показатели статистики оплаты труда. Доходность облигаций

  • Вид работы:
    Контрольная работа
  • Предмет:
    Эктеория
  • Язык:
    Русский
    ,
    Формат файла:
    MS Word
    179,71 Кб
  • Опубликовано:
    2013-09-20
Вы можете узнать стоимость помощи в написании студенческой работы.
Помощь в написании работы, которую точно примут!

Основные показатели статистики оплаты труда. Доходность облигаций

Содержание

Охарактеризовать основные показатели статистики оплаты труда

Составить алгоритм расчета полной доходности облигации с нулевым купоном

Задача № 1

Задача № 2

Задача № 3

Задача № 4

Задача № 5

Литература

Охарактеризовать основные показатели статистики оплаты труда

Задачей статистики оплаты труда являются анализ объема и состава фонда заработной платы, затрат на рабочую силу, характеристика среднего уровня оплаты труда, анализ динамики заработной платы в зависимости от других показателей.

В мировой статистической практике в «заработную» плату включают все виды заработков, которые дополняются премиями, доплатами, надбавками, компенсационными выплатами и т.д. Следует иметь в виду, что «заработная плата», с одной стороны, может выступать в виде дохода для наемного работника, а с другой - это часть издержек производства. Затраты, которые несет общество или отдельный предприниматель при использовании наемного труда, включают помимо заработной платы расходы на социальную защиту работников. Затраты в расчете на одного работника за единицу времени определяются как стоимость рабочей силы для работодателя, использующего наемный труд.

В ходе статистического анализа различают фонд заработной платы и выплаты социального характера.

Фонд заработной платы включает прямые и косвенные выплаты по заработной плате.

В прямые выплаты включаются:

начисленные предприятием, учреждением или организацией денежные суммы оплаты труда за отработанное время (повременные формы, сдельная оплата, тарифные ставки, оклады);

оплата труда в натуральной форме (выражается в стоимостной форме);

выплаты стимулирующего характера - доплаты и надбавки за профессиональное мастерство, совмещение профессий и т.д.);

премии и вознаграждения (на регулярной или периодической основе);

выплаты компенсирующего характера (оплата за ночное время, за сложные или вредные условия труда; на полиграфических предприятиях за вредные условия труда идет 4 % -ная надбавка к тарифной ставке), за работу в праздничные и выходные дни, по районным коэффициентам.

В косвенные выплаты включаются:

выплаты за неотработанное время (отпуска, учебные отпуска, льготная оплата часов работающих подростков, выплаты за время переподготовки, повышения квалификации и т.д.);

единовременные выплаты (поощрительного характера, материальная помощь, выплаты по итогам работы за год, за выслугу лет);

выплаты за питание, жилье, топливо отдельным категориям работников на основе соответствующего законодательства.

Данные о фонде заработной платы необходимы для расчета издержек на рабочую силу, для построения счета образования доходов в СНС, для анализа экономического роста и уровня жизни, для построения межотраслевого баланса. ФЗП - это важнейший компонент себестоимости продукции.

От выплат фонда оплаты труда отличают выплаты социального характера, которые не включаются в заработную плату, но являются составным элементом дохода работника. К ним относятся оплаты социальных льгот (отдых, лечение, проезд, трудоустройство, страховые платежи, стипендии). Информация о расходах социального характера необходима при определении сводных расходов на рабочую силу.

Важнейшими статистическими показателями являются: минимальная заработная плата (устанавливается законодательством); номинальная заработная плата Zн (денежная сумма с учетом налогов и других удержаний); реальная заработная плата Zp (покупательная способность номинальной заработной платы, исчисляемая путем деления номинальной заработной платы на индекс потребительских цен Iипц : Zp = Zн : Iипц ); средняя заработная плата.

Среди перечисленных показателей для аналитических целей особо важен показатель среднего уровня заработной платы. Различают среднемесячную, среднедневную и среднечасовую заработную плату.

Среднемесячная заработная плата Zмср рассчитывается как отношение фонда заработной платы Фм, начисленного за месяц, к среднесписочной численности работников Чср:


Среднедневная заработная плата Zдср рассчитывается как отношение дневного фонда заработной платы Фд к отработанному времени Тд, учтенному в человеко-днях:


Динамика уровней средней заработной платы анализируется с помощью индексов переменного состава, постоянного состава и индекса структурных сдвигов.

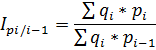
Индекс переменного состава заработной платы Iz характеризует изменение среднего уровня заработной платы в отчетном периоде по сравнению с базисным в зависимости от изменения средней заработной платы отдельных категорий работников и удельного веса численности работников с различным уровнем оплаты труда. Для его исчисления берутся значения фондов начисленной заработной платы отдельных категорий работников или всего персонала за отчетный и базовый периоды (Ф1 и Ф0), среднесписочная численность отдельных категорий работников или всего персонала в отчетном и базовом периодах (Ч1 и Ч0) и средняя заработная плата по группам персонала или по предприятиям и отраслям (Z1 и Z0). Индекс рассчитывается следующим образом:


Индекс постоянного состава заработной платы IZ рассчитывается в том случае, если необходимо отразить только изменение среднего уровня заработной платы в отчетном периоде по сравнению с базовым без учета структурного фактора (изменения удельного веса численности работников с различным уровнем заработной платы):


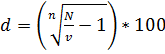
Если необходимо зафиксировать влияние структурного фактора на изменение среднего уровня заработной платы, то рассчитывается индекс структурных сдвигов Iстр путем деления индекса переменного состава заработной платы на индекс постоянного состава заработной платы:


Используя среднюю заработную плату, можно рассчитать средний фонд заработной платы как произведение численности работников и средней заработной платы и затем рассчитать отклонение фактического фонда заработной платы от базисного фонда с учетом изменения среднего уровня заработной платы (Z) и количественного состава работников (Ч).

Влияние каждого из двух факторов на изменение фонда заработной платы определяют следующим образом:

влияние изменения численности работников Ч на прирост или уменьшение фонда заработной платы Ф:


влияние изменения среднего уровня оплаты труда (Z) на прирост или уменьшение фонда заработной платы (Ф):


Составить алгоритм расчета полной доходности облигации с нулевым купоном

Облигации принадлежат к классу долговых ценных бумаг, которые являются обязательствами эмитента, размещенными на фондовом рынке для заимствования денег на определенных условиях. Облигации различаются по условиям эмиссии, характером и сроками обращения, способами обеспечения, выплаты дохода и погашение.

В зависимости от этих характеристик выделяют облигации с нулевым купоном, облигации с фиксированной или сменной купонной ставкой, безотзывные и отзывные облигации. Соответственно виду облигации модифицируется и базовая модель, за которой проводится расчет внутренней стоимости и нормы прибыли.

Для облигаций с нулевым купоном, когда условиями эмиссии выплата процентов не предусмотрена, доход инвестора формируется как разность между номиналом и эмиссионным курсом облигации, установленным на дисконтной основе (т.е. ниже за номинал). Итак, облигации с нулевым купоном принадлежат к дисконтным ценным бумагам и генерируют денежный поток лишь один раз.

Инвестор получает доход в момент погашения, а формула набирает вид:

 , (6.1) где

- номинальная сумма облигации, которая выплачивается во время погашения; n - продолжительность периода к погашению облигации (года).

Пример:

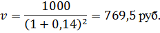
Банк рассматривает целесообразность приобретения облигации с нулевым купоном номиналом 1000 руб., которая продается по цене 750 руб. и которую будет погашено через два года. При этом банк имеет возможности альтернативного размещения средств с доходностью 14 %.

Решение:

Решение проведем двумя способами.

Рассчитаем теоретическую стоимость облигации, приняв за ставку дисконтирование норму доходности альтернативного варианту вложения средств, и сравним ее с текущей рыночной ценой:


Как показал расчет, теоретическая стоимость облигации (769,5 руб.) высшая за ее текущую цену (750 руб.), что дает основания рассматривать ее как удобный объект инвестирования.

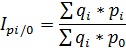
Вычислим доходность облигации за формулой, полученной с (6.1):

 (6.2)

и сравним ее с нормой прибыли альтернативного проекта, который даст возможность выбрать более прибыльное направление инвестирования средств.

Итак,


Полученное значение доходности облигации выше, чем в альтернативном варианте, на 1,4 %, поэтому приобретение такой ценной бумаги следует признать целесообразным.

Задача № 1

По приведенным ниже данным построить внешнеторговый баланс; баланс текущих операций; баланс движения капитала; платежный баланс России. (Данные взяты условно). Определить сумму золото-валютных резервов, необходимых для поддержания идеального платежного баланса.

Осуществлена поставка алюминия в ЮАР 9,9 млн. руб.

Осуществлена поставка тракторов в Белоруссию 1000 шт. по 2800 дол. (курс дол. 1 дол. = 27,9 руб.).

Осуществлена поставка электроэнергии на Украину 21,7 млн. руб.

Осуществлен ввоз автомобилей в Германию 1,0 млн. руб.

Оплачено австралийской телекомпании за телетрансляции с Олимпийских игр 2,7

Российскими гражданами оплачено лечение в Израиле 1,5 млн. руб.

Концерн «Рено» оплатил журналу «Эксперт» услуги по размещению рекламы 1,4 млн. руб.

Получены дивиденды по акциям из Финляндии 0,9 млн. руб.

Российская компания перечислила дивиденды своим акционерам, проживающим в Казахстане 0,5 млн. руб.

Чистые денежные переводы составили 0,1 млн. руб.

Российская Федерация приняла участие в финансировании международного проекта пилотируемого полета на Марс 20,0 млн. руб.

МВФ выделил Российской Федерации кредит на структурную перестройку экономики 6,0 млн. руб.

Решение:

Баланс текущих операций:

Приход:

Осуществлена поставка алюминия В ЮАР 9,9 млн. руб.

Осуществлена поставка тракторов в Белоруссию 1000 шт. по 2800 дол. (курс дол. 1 дол. = 27,9 руб.). 1000 * 2800 * 27,9 = 78,12 млн. руб.

Осуществлена поставка электроэнергии на Украину 21,7 млн. руб.

Осуществлен ввоз автомобилей в Германию 1,0 млн. руб.

Получены дивиденды по акциям из Финляндии 0,9 млн. руб.

Концерн «Рено» оплатил журналу «Эксперт» услуги по размещению рекламы 1,4 млн. руб.

МВФ выделил Российской Федерации кредит на структурную перестройку экономики 6,0 млн. руб.

Итого: 9,9 + 78,12 + 21,7 + 1,0 + 0,9 + 1,4 + 6,0 = 119,02 млн. руб.

Расход:

Приобретено зерно в Канаде 1,3 млн. руб.

Российская компания перечислила дивиденды своим акционерам, проживающим в Казахстане 0,5 млн. руб.

Оплачено австралийской телекомпании за телетрансляции с Олимпийских игр 2,7

Российскими гражданами оплачено лечение в Израиле 1,5 млн. руб.

Чистые денежные переводы составили 0,1 млн. руб.

Российская Федерация приняла участие в финансировании международного проекта пилотируемого полета на Марс 20,0 млн. руб.

Итого: 1,3 + 0,5 + 2,7 + 1,5 + 0,1 + 20,0 = 26,1 млн. руб.

Сальдо: 119,02 - 26,1 = 92,92 млн. руб.

Внешнеторговый баланс:

Экспорт: 9,9 + 78,12 + 21,7 + 1,0 = 110,72 млн. руб.

Импорт: 1,3 млн. руб.

Сальдо баланса: 110,72 - 1,3 = 109,42 положительное

Баланс движение капитала:

Приход:

Получены дивиденды по акциям из Финляндии 0,9 млн. руб.

Концерн «Рено» оплатил журналу «Эксперт» услуги по размещению рекламы 1,4 млн. руб.

МВФ выделил Российской Федерации кредит на структурную перестройку экономики 6,0 млн. руб.

Итого: 0,9 + 1,4 + 6,0 = 8,3 млн. руб.

Расход:

Российская компания перечислила дивиденды своим акционерам, проживающим в Казахстане 0,5 млн. руб.

Оплачено австралийской телекомпании за телетрансляции с Олимпийских игр 2,7

Чистые денежные переводы составили 0,1 млн. руб.

Российская Федерация приняла участие в финансировании международного проекта пилотируемого полета на Марс 20,0 млн. руб.

Итого: 0,5 + 2,7 + 0,1 + 20,0 = 23,3 млн. руб.

Платежный баланс России:

Приход: 115,42 млн. руб.

Расход: 1,3 млн. руб.

Объем золотовалютных резервов: 1,3 млн. руб.

Задача № 2

заработный плата выплата облигация

По приведенным ниже данным определить размер валового внутреннего продукта страны N, используя 3 метода расчета:

Экспорт товаров за год - 5000 у.е.

Импорт товаров за год - 10000 у.е.

Общая сумма зарплаты в экономике за год - 0,6 тыс. у.е.

Общая сумма начисленных дивидендов в экономике за год - 0,2 тыс. у.е.

Прибыль предприятий, учреждений, организаций - 6 000 у.е.

Выручка предприятий, учреждений, организаций - 14000 у.е.

Расходы государства - 6000 у.е.

Общие затраты на производство - 5000 у.е.

Налоги - 2,2 тыс. у.е.

Расходы домохозяйств - 4000 у.е.

Расходы фирм на строительство, покупку основных фондов - 4000 у.е.

Решение:

Производственный метод:

При расчете производственным методом ВВП исчисляется путем суммирования валовой добавленной стоимости всех производственных единиц - резидентов, сгруппированных по отраслям или секторам.

ВВП = выручка -затраты на производство = 14000 - 5000 = 9000 y. e.

Метод расчета ВВП по доходам:

ВВП можно представить как сумму факторных доходов (заработная плата, процент, прибыль, рента), т.е. определить как сумму вознаграждений владельцев факторов производства.

В ВВП включаются доходы всех субъектов, осуществляющих свою деятельность в географических рамках данной страны, как резидентов (граждан, проживающих на территории данной страны, за исключением иностранцев, которые находятся в стране менее года), так и нерезидентов. В показатель ВВП также включаются косвенные и прямые налоги на предприятия, амортизация, доходы от собственности и нераспределенная часть прибыли.


Метод расчета ВВП по расходам:

Поскольку ВВП определяется как денежная оценка конечных товаров и услуг, произведенных за год, постольку необходимо суммировать все расходы экономических субъектов на приобретение конечных продуктов. При расчете ВВП на основе расходов или потока благ (этот метод также называют производственным методом) суммируются следующие величины:

Потребительские расходы населения (С)

Валовые частные инвестиции в национальную экономику (Ig)

Государственные закупки товаров и услуг (G)

Чистый экспорт (NX), который представляет разность между экспортом и импортом данной страны

ВВП = расходы домохозяйств + расходы фирм на строительство + расходы государства + чистый экспорт = 4000 + 4000 + 6000 + (5000 - 10000) = 9000 у.е.

Таким образом, ВВП равен 9000 у.е.

Задача № 3

По приведенным ниже данным рассчитать индекс условий торговли; установить, являются ли условия торговли, приведенные в задаче, благоприятными для данной страны.

Данные экспорта, $.


2000

2001


количество

цена

количество

цена

Сталь, т Нефть, бар Золото, ун

10 150 80

75 24 250

20 240 50

80 33 278


Данные импорта


2000

2001


количество

цена

количество

Цена

Пшеница, т Компьютеры, шт. Автошины, шт.

900 420 700

217 650 140

850 450 810

230 670 200


Для расчета средних цен экспорта применить индекс Пааше.

Для расчета средних цен импорта применить индекс Ласпейреса.

Решение:

Индекс Пааше это индексов цен, исчисляемых для характеристики изменения цен товаров. Определяется путём взвешивания цен двух временных периодов по объёмам потребления текущего периода и отражает изменение стоимости потребительской корзины текущего периода. Он рассчитывается как отношение текущих потребительских расходов к расходам на приобретение такого же ассортиментного набора в ценах базисного периода:


Произведем расчеты для определения средних цен экспорта:


Таким образом, в среднем, цены на экспорт выросли на 18,5 %.

Отражая динамику цен текущего периода, индекс Пааше не в полной мере отражает эффект дохода. В результате получается завышенная оценка изменения цен при их снижении и заниженная в случае роста.

Индекс Ласпейреса определяется путём взвешивания цен двух временных периодов по объёмам потребления базисного периода и отражает изменение стоимости потребительской корзины базисного периода, произошедшее за текущий период. Индекс рассчитывается как отношение потребительских расходов, обусловленных приобретением того же набора потребительских благ по текущим ценам (ΣQ0*Pt), к расходам на приобретение идентичного по структуре набора по ценам базисного периода (ΣQ0*P0):


Произведем расчеты для определения средних цен импорта:


В среднем, цены на импорт снизились на 11,28 %.

Отражая динамику цен базисного периода Q0, индекс Ласпейреса не учитывает изменений в структуре потребления, которые возникают из-за изменения цен благ. Отражая лишь эффект дохода и игнорируя эффект замещения, этот индекс даёт завышенную оценку инфляции при росте цен и заниженную в случае их снижения.

Таким образом, рост цен на экспорт составил 18,5 %, а цены на импортную продукцию, напротив, снизились на 11,28%. Такая тенденция может оказать негативное влияние на внешнеторговый баланс страны, так как импортную продукцию потребители будут покупать охотнее (данное правило имеет большое влияние при рассмотрении однородных групп товаров).

Индекс Пааше = 118,5 %.

Индекс Лайспереса = 88,72 %.

Индекс условий торговли = 133,56 % - характеризует превышение экспортных цен над импортными на 33,56 %.

Задача № 4

По приведенным данным осуществить пересчет ВВП за ряд лет в постоянные цены 1995 года.

Использовать любой из существующих методов.

Рассчитать показатели динамики. Сделать выводы.

Наименование показателя

1995

1996

1997

2000

2001

Уровень цен (р)

16,0

12,9

17,3

14,7

18,1

Условный объем ВВП (q)

350,0

400,0

450,0

480,0


Решение:

Рассчитаем индекс цен, путем деления уровня цен отчетного года на уровень цен базисного года.

Например, для 1996 года:  и аналогично для других периодов в сравнении с 1995 годом.

Наименование показателя

1995

1996

1997

2000

2001

Уровень цен (р)

16

12,9

17,3

14,7

18,1

Условный объем ВВП (q)

200

350

400

450

480

Индекс цен

1,00

0,81

1,08

0,92

1,13

Реальный объем ВВП

200,00

282,19

432,50

413,44

543,00

Тр реального объема ВВП цепной

1

1,41

1,53

0,96

1,31

Тр номинально объема ВВП цепной

1

1,75

1,14

1,13

1,07

Тр реального объема ВВП базисный

1

1,41

2,16

2,07

2,72

Тр номинально объема ВВП базисный

1

1,75

2,00

2,25

2,40


Из таблицы видно, что темпы роста номинального ВВП часто превышают темпы роста реального. Отразим данную закономерность на графике:

Рис. 1

Задача № 5

По имеющимся данным рассчитать: сводные цепные и сводные базовые индексы потребительских цен в целом по стране за период с декабря 2001 по июнь 2000 г.

В таблице приведен условный тариф стоимости проезда в общественном транспорте.

Наименование региона

Доля численности населения в выбранной группе регионов

Тариф, руб.

Янв.

Фев.

Март

Апр.

Май

Июнь

Москва, Моск. Обл.

0,6

5,0

5,5

5,6

5,7

5,0

5,7

6,0

Свердловская обл.

0,12

3,0

3,1

3,2

3,5

3,5

3,5

4,0

Челябинская обл.

0,09

2,0

2,0

2,0

2,5

2,5

2,5

2,5

Самарская обл.

0,08

1,5

1,5

1,5

1,6

1,7

1,8

1,9

Новосибирская обл.

0,11

2,5

2,5

2,5

2,5

2,5

2,5

3,0

Всего по приведенным регионам

1,0

3,935

4,247

4,319

4,468

4,056

4,484

4,787


Решение:

Для применения данных индексов рассчитаем средний тариф на проезд в регионах, используя формулу средней: как сумма произведений цены тарифа на проезд на долю населения.

Средний тариф за полугодие:

Базисные индексы получают путем сопоставления с тем уровнем периода, который был принят за базу сравнения.

Базисный сводный индекс цен:


Где q1 и p1 тариф за рассматриваемый месяц, при этом за базисный месяц возьмем декабрь 1999 года

Цепной сводный индекс цен:


Расчеты занесем в таблицу:

1

1,08

1,10

1,14

1,03

1,14

1,22

Цепной сводный индекс цен

1

1,08

1,02

1,03

0,91

1,11

1,07

Данные индексы отражают темп роста величины тарифа за проезд в сравнении с предыдущим и базовым периодами.

Так, с декабря 1999 стоимость проезда увеличилась на 22%. Динамику изменения стоимости тарифа помесячно рассмотри на графике.

Рис. 2

Литература

1.   Демография и статистика населения: учебник для вузов / И.И. Елисеева; под ред. И.И. Елисеевой.- М.: Финансы и статистика, 2006 г. - 187 с.

2.      Социально-экономическая статистика: практикум: Учебное пособие / под ред. С.А. Орехова.- М.: Эксмо, 2007 г. - 231 с.

.        Статистика: Курс лекций/Под ред. В.Г. Ионина. - Новосибирск: ИНФРА-М, 2008 г.

.        Статистика: учебник для вузов по специальности Статистика / В.С. Мхитарян, Б.И. Башкатов, Т.А. Дуброва и др.; под ред. В.С. Мхитаряна. - М.: Экономистъ, 2010 г. - 163 с.

.        Статистика: Учебное пособие /под ред. проф. М.Р. Ефимовой.- М.: ИНФРА-М, 2010 г. - 328 с.

.        Статистика: Учебное пособие/ Л.П. Харченко, В.Г. Долженкова, В.Г. Ионин - М.: ИНФРА-М, 2009 г. - 223 с.

.        Статистика: учебное пособие / И.И. Колесникова, Г.В. Круглякова.- 2-е изд., стер. - М.: Новое знание, 2008 г. -146 с.

.        Теория статистики: Учебник. - 4-е изд., перераб. и доп. / Р.А. Шмойлова, В.Г. Минашкин, Н.А. Садовникова, Е.Б. Шувалова; Под ред Р.А. Шмойловой. - М.: Финансы и статистика, 2009 г. - 356 с.

Похожие работы на - Основные показатели статистики оплаты труда. Доходность облигаций

 

Не нашли материал для своей работы?
Поможем написать уникальную работу
Без плагиата!
Без нейросетей!