Фотоэлектрические явления в полупроводниках
Курсовая работа
по физике твердого тела
Фотоэлектрические явления в
полупроводниках
Автор
М.И.
Симдянкин
Введение
Явление фотопроводимости было открыто в 1873 году У.Смитом. В настоящее
время это явление широко используется для создания электронных приборов,
полупроводниковых фотоприемников.
Если оптическое возбуждение электронов происходит из валентной зоны в
зону проводимости, то имеет место собственная фотопроводимость, обусловленная
электронами и дырками. Фотопроводимость, обусловленная переходами электронов
между уровнями примеси и зонами, называется примесной фотопроводимостью.
Помимо фотопроводимости освещение полупроводникового кристалла может
вызывать появление электродвижущей силы. Эдс,
возникающую при неравномерном освещении полупроводника, называют э. д. с.
Дембера.
В 1934 г. И.К. Кикоин и М.М. Носков открыли новый тип фото-э.д.с. Он
возникает в полупроводнике, находящемся в магнитном поле, при освещении сильно
поглощаемым светом. Это явление называется эффектом Кикоина - Носкова.
На контакте металла с полупроводником происходит перераспределение
зарядов, приводящее к возникновению в полупроводнике обедненного слоя,
сопровождающегося искривлением зон полупроводника. Это искривление зон вблизи
поверхности раздела называется барьером Шоттки. В наше время трудно найти такую
область народного хозяйства, науки или техники, где бы не применялись
фоторезисторы.
Высоко обнаружительная способность фоторезисторов позволяет использовать
их в устройствах дистанционного измерения незначительных местных перегревов
различных объектов, в приборах для спектрального анализа состава различных
материалов, в системах световой сигнализации и защиты.
1. Фотопроводимость. Внутренний фотоэффект
Изменение электрического сопротивления полупроводника под действием
излучения называется внутренним фотоэлектрическим эффектом или фоторезистивным
эффектом [3]. Добавочная проводимость, обусловленная носителями заряда,
созданными излучением, носит название фотопроводимости. Явление внутреннего
фотоэффекта было открыто в 1873 г. английским инженером У. Смитом. Объяснение
же оно получило только после создания квантовой теории твердого тела. В
настоящее время это явление широко используется для создания электронных
приборов, полупроводниковых фотоприемников.
При внутреннем фотоэффекте первичным актом является поглощение фотона
[1]. Поэтому процесс образования свободных носителей заряда под воздействием
излучения будет происходить по-разному в зависимости от особенностей процесса
поглощения света. Если оптическое возбуждение электронов происходит из
валентной зоны в зону проводимости, то имеет место собственная
фотопроводимость, обусловленная электронами и дырками (переход 1, Рисунок 1).
Для полупроводников с прямыми долинами при вертикальных переходах энергия фотона
hн должна быть не меньше ширины
запрещенной зоны, т. е.
hн
>Eg . (1)
Рисунок 1- Схема возможных оптических переходов, обуславливающих
фотопроводимость
В случае непрямых переходов, когда сохранение квазиимпульса обеспечивается
за счет эмиссии фонона, нижняя граница спектрального распределения
фотопроводимости будет лежать при
hv = Eg + Ep . (2)
Для сильно легированного полупроводника п-типа, когда уровень Ферми
расположен выше края зоны проводимости на величину оn нижняя граница фотопроводимости будет
соответствовать
hv = Eg + оn . (3)
В сильно легированном полупроводнике р-типа уровень Ферми лежит на
величину оp ниже края
валентной зоны, поэтому
hv = Eg + оp . (4)
Собственная полоса поглощения, всегда имеющая отчетливо выраженную
длинноволновую границу, в принципе может иметь и коротковолновую. Однако во
многих случаях зона проводимости перекрывается вышележащими разрешенными
зонами, образуя сплошную зону. Поэтому спектральное распределение
фоточувствительности в зависимости от энергии фотонов или длины волны света
должно простираться далеко в коротковолновую область. При больших энергиях
фотонов поглощение в фундаментальной области ведет к увеличению
фотопроводимости за счет роста коэффициента поглощения. Вместе с тем такое
поглощение увеличивает концентрацию носителей заряда вблизи поверхности
полупроводника, которые имеют меньшее время жизни, чем носители заряда в
объеме. Эти процессы приведут к тому, что спектральная кривая фототока должна
проходить через максимум. Очевидно, чем больше скорость поверхностной
рекомбинации, тем сильнее будет выражен максимум фототока (Рисунок 2). На
рисунке представлены кривые спектрального распределения фототока для некоторых
полупроводников.
Рисунок 2 - Спектральное распределение фототока в области собственного
поглощения
При наличии в запрещенной зоне полупроводника локальных уровней примеси
оптическое поглощение может вызвать переходы электронов между уровнями примеси
и зонами (переходы 2 и 3, Рисунок 1). Фотопроводимость, обусловленная такими
переходами, называется примесной фотопроводимостью. Поскольку энергия ионизации
примеси Епр меньше ширины запрещенной зоны Eg, то длинноволновая граница
примесного фототока сдвинута в длинноволновую сторону по отношению к
собственной фотопроводимости. Но спектральные кривые примесного внутреннего
фотоэффекта уф (л) достаточно хорошо совпадают с кривыми примесного
поглощения б (л). В качестве примера на Рисунке 3 приведен спектр фототока
германия, легированного медью и цинком.
Рисунок 3 - Спектральное распределение фототока германия, легированного
медью и цинком
В явлении фотопроводимости проявляется экситонное поглощение
[2]. Оно само по себе не создает свободных носителей заряда, но при термической
диссоциации экситона появляются электрон в зоне проводимости и дырка в
валентной зоне. Они уже могут участвовать в электрическом токе, проходящем
через кристалл.
Для большинства полупроводников фотопроводимость наблюдается
в инфракрасной области спектра. Это обусловило использование полупроводников в
качестве детекторов (приемников) инфракрасного излучения. Значение и
спектральная зависимость фотопроводимости в первую очередь зависят от механизма
оптических переходов и интенсивности падающего света. Однако последнюю не имеет
смысла увеличивать выше некоторого предела, ибо по мере увеличения концентрации
фотоносителей будет расти вероятность рекомбинации, снижающая время жизни
носителей, а значит и фототок (фотопроводимость). Для дальнейшего изложения
рассмотрим количественные характеристики фотопроводимости.
Избыточные электроны Дn и
дырки Др, образованные в результате взаимодействия вещества с фотонами, после
процесса ионизации могут иметь энергии значительно большие, чем средняя энергия
равновесных носителей заряда [1]. Однако в результате взаимодействия с фононами
и дефектами кристаллической решетки энергия неравновесных носителей заряда
становится равной средней тепловой энергии равновесных носителей заряда. Этот
процесс происходит за время порядка 10-10-10-12 с,
которое равно времени релаксации носителей заряда по энергии. Как правило,
время жизни неравновесных носителей заряда значительно превосходит эту
величину, составляя 10-2-10-7 с, и, следовательно, почти
в течение всего этого времени кинетическая энергия неравновесных носителей
заряда соответствует средней тепловой энергии равновесных носителей заряда.
Поэтому можно считать, что распределение по энергиям неравновесных носителей
заряда в зонах является таким же, как и равновесных. Значит и подвижности
неравновесных носителей заряда не отличаются от подвижности равновесных, так
как подвижности электронов µn
и дырок µр определяются характером взаимодействия носителей заряда с
решеткой и зависят, в частности, от распределения носителей заряда по энергиям.
Таким образом, при воздействии света полная проводимость полупроводника
определяется равновесными носителями заряда n0, p0 и носителями заряда, Дn и Др, генерируемыми светом, поэтому
равна:
у= е [(n0 + Дn) µn + (р0 + Др) µр].
(5)
Так как темновая проводимость ут = у0 = е(n0µn
+ р0µр), то фотопроводимость полупроводника,
обусловленная непосредственным действием излучения, есть
уф =у - у0 = e(Дn µn + Дрµр). (6)
Естественно, что концентрации избыточных носителей заряда Дn и Дp зависят от интенсивности и длины волны света. Пусть на слой
вещества толщиной dx, имеющего
коэффициент поглощения а, падает свет интенсивности I. Тогда количество световой энергии, поглощаемой в единицу
времени в единице объема этого вещества есть

=б I. (7)
Следовательно,
при поглощении квантов света энергии hv в единице объема
полупроводника в единицу времени для области собственного поглощения образуются
избыточные электроны и дырки в количестве
G=
.
(8)
Здесь
коэффициент пропорциональности в, который называется квантовым выходом
фотоионизации, определяет число пар носителей заряда, образуемых одним
поглощенным фотоном, если интенсивность света измерять числом квантов в секунду
на единицу поверхности.
Однако
сразу после начала освещения фотопроводимость полупроводника не достигает
максимального значения, ибо по мере увеличения концентрации неравновесных
носителей заряда нарастает и процесс рекомбинации. Поскольку скорость генерации
неравновесных носителей остается постоянной при неизменной интенсивности света,
то через какой-то промежуток времени интенсивность рекомбинации достигнет
интенсивности генерации и установится стационарное состояние, характеризующееся
постоянным значением концентрации фотоносителей заряда Д пст и Дрст
(Рисунок 4).
Рисунок
4- Изменение во времени концентрации носителей заряда, возбуждаемых светом
Стационарные
концентрации избыточных носителей заряда можно определить, если воспользоваться
уравнением непрерывности, в котором генерационный член записан в виде (8) в
предположении однородной генерации. Поэтому
Дnст =фn Gn=
, (9)
Дpст =фp Gp=
. (10)
Они
обусловливают стационарную фотопроводимость
уф.ст
= eвб(µn фn + µр фp) 
.
(11)
Характеристикой вещества является фоточувствительность Sф, которая определяется как отношение световой
проводимости уф к интенсивности света I используется для сравнения величины фотопроводимости
различных полупроводниковых материалов [3].
Sф = уф / I , (12)
Если один из членов в скобках соотношения (11) значительно больше другого
, то фотопроводимость определяется носителями заряда одного знака и называется
монополярной [1]. В этом случае
уф.ст
= eвб фµ 
. (13)
Выражение
для стационарного значения плотности фототока будет иметь вид:
jф = уф.се= eвб(µn
фn + µр фp) 
. (14)
Но
µnе= хn, а µpе= хp и если через l обозначить размер полупроводника в направлении поля,
то время дрейфа tn = l/хn и
tp = l/ хp. С учетом этого соотношение (14) запишется как
jф = eвб(фn /tn + фp/tp) 
. (15)
Если
величины, входящие в (15), известны, то, измеряя jф, можно определить квантовый выход в. При 300 К вплоть
до 2,7 эВ для германия и вплоть до 3 эВ для кремния квантовый выход равен
единице. При дальнейшем росте энергии фотона квантовый выход резко
увеличивается. Это происходит потому, что поглощение фотона столь большой
энергии сопровождается образованием носителей заряда, кинетическая энергия которых
значительно больше ширины запрещенной зоны. Поскольку ширина запрещенной зоны
уменьшается при повышении температуры, то граница роста квантового выхода
смещается в сторону меньших энергий. Следовательно, значение квантового выхода,
большее единицы, определяется не рождением одним фотоном нескольких пар
носителей заряда, а обусловлено ударной ионизацией.
. Фотопроводимость при наличии поверхностной
рекомбинации и диффузии носителей заряда
В предыдущем анализе фотопроводимости предполагалась однородная генерация
носителей заряда по всему образцу [1]. Кроме того, не была учтена поверхностная
рекомбинация, которая приводит к уменьшению концентрации неравновесных
носителей заряда вблизи поверхности полупроводника. Рассмотрим теперь случай,
когда падающее излучение поглощается неравномерно по толщине образца и имеет
место диффузия носителей заряда.
При отсутствии уровней ловушек захвата для вычисления стационарной
концентрации избыточных носителей заряда нужно найти решение уравнения
непрерывности для неосновных носителей заряда (например, для дырок):
-

+ D 
+G
=0. (16)
В
этом уравнении первое слагаемое учитывает рекомбинацию носителей заряда; второе
слагаемое - диффузию носителей заряда, которая возникает как результат
неоднородной генерации носителей заряда и влияния поверхностной рекомбинации; третье
слагаемое учитывает генерацию носителей заряда по закону:
G
=
. (17)
Здесь
в - квантовый выход; - энергия падающего кванта света; -коэффициент отражения
поверхности полупроводника.
Если
излучение интенсивности I0 падает
на поверхность образца с координатой х = 0, то граничное условие на этой
поверхности можно записать в виде
D
x=0 =sДp x=0 , (18)
где
s - скорость поверхностной рекомбинации на освещенной поверхности. Условия на
второй поверхности образца толщиной d можно не учитывать, если считать образец
достаточно толстым: d 
L и d 
1/б.
Тогда общее решение уравнения (16) имеет вид:
Дp(x) =A
- 
. (19)
Используя
граничное условие (18), будем иметь:
Дp(x) =

. (20)
Полное
количество генерированных дырок, отнесенных к единице поверхности образца
толщиной d, получим, если проинтегрируем Др (х) в пределах от 0
до d и учтем равенство (17):
Поскольку
ДР = ДN, а фотопроводимость пропорциональна ДР (6), то
выражение (21) позволяет проанализировать влияние скорости поверхностной
рекомбинации на фотопроводимость,а также выяснить некоторые особенности
спектральной зависимости фотопроводимости вблизи границы собственного
поглощения полупроводника. Для этого кривую собственного поглощения условно
разделим на два участка.
Рисунок
5 - Зависимость фототока от длины поглощенного света при отсутствии (кривая 1)
и наличии (кривая 2) поверхностной рекомбинации
.
Область малого коэффициента поглощения, когда бd<1 и бL 
1.В этом
случае 
бd, а 
0, так
как d 
L.
Поэтому (21) примет вид:
ДР
= 
(22)
Из
этого выражения следует, что в области малого коэффициента поглощения
фотопроводимость линейно растет с увеличением б. При этом, если sф
, то
поверхностная рекомбинация слабо влияет на фотопроводимость, если же st
d, то величина фотопроводимости будет меньше (кривая 2,
Рисунок 5), чем при s = О (кривая 1, Рисунок 5).
.
Область средних значений коэффициента поглощения, когда бd>l, а бL<l. В
этом случае
ДР
= 
(23)
С
дальнейшим ростом коэффициента поглощения б
фотопроводимость будет убывать (кривая 2, Рисунок 5). В случае отсутствия
поверхностной рекомбинации (s = 0) фотопроводимость стремится к насыщению (кривая
1, Рисунок 5). Следовательно, наличие поверхностной рекомбинации приводит к
появлению максимума на кривой спектральной зависимости фотопроводимости (см.
Рисунок 2).
3. Эффект Дембера
Помимо фотопроводимости освещение полупроводникового кристалла может
вызывать появление электродвижущей силы [2]. Для этого в кристалле в отсутствие
источника внешнего электрического напряжения должно по тем или иным причинам
появиться внутреннее электрическое поле, способное направить фотоэлектроны и
фотодырки в разные стороны. Тогда противоположные стороны образца зарядятся
разноименно и возникнет фото-э.д.с.
Если полупроводник осветить сильно поглощаемым светом, то вблизи
поверхности, где происходит поглощение света, возникнут электронно-дырочные
пары [1]. Эти носители заряда диффундируют из освещенной области в глубь
полупроводника (Рисунок 6). Поскольку электроны обладают большей подвижностью,
чем дырки, то они продвинутся дальше в глубь кристалла, чем дырки. Эта разница
в диффузии носителей заряда приведет к тому, что поверхность полупроводника
окажется положительно заряженной по отношению к его объему. Возникшее
электрическое поле направлено так, что оно ускоряет дырки, имеющие меньшую
подвижность, и замедляет подвижные электроны, поэтому суммарный ток равен нулю.
Объемную эдс, возникающую при
неравномерном освещении полупроводника, называют эдс Дембера. Открыт немецким физиком Х. Дембером (H. Dember)
в 1931году.
Рисунок 6 - Возникновение эдс
Дембера
Вычисление эдс Дембера
проведем в предположении, что в полупроводнике мало ловушек и нет поверхностной
рекомбинации. Для этого необходимо решить уравнения
jn =
е (п0 + Дn) µnоD + eDn 
, (24)
jp =
е (p0 + Дp) µpоD + eDp 
(25)
где
оD - поле Дембера и Дn - Др -
концентрация избыточных носителей заряда, Dn и Dp
- коэфф. диффузии электронов и дырок, µn и µp
- их подвижности. В стационарных условиях полная плотность тока равна нулю. Так
как eDp = µpkT и eDn =µnkT,
то
j = jn + jp=e [(nо + Дn)µn+
(po +Др)µp]оD + e (Dn
- Dp
), (26)
и
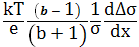
для поля Дембера получим выражение
оD= -
, (27)
где
п = п0 + Дn и р = р0 + Др.
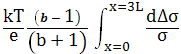
Проинтегрировав
выражение (27) по х от поверхности (х=0) до такой точки, где концентрация
неравновесных носителей обращается в нуль. Это расстояние должно быть порядка
нескольких длин диффузии (х=3L). Так как у = е (пµп + pµp),
а Ду = е (µп + µp) Дn, то
оD= -
, (28)
где
b=
/
.
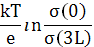
Следовательно,
VD =
-
=
. (29)
На
расстоянии x = 3L все неравновесные носители прорекомбинируют, а
поэтому у(3L) = е (n0
+ р0
. У
поверхности полупроводника у(0) = е (n0 + Дn
е (p0 + Дp
= у(3 L) +
е (
+
)Дn.
Поэтому
VD =
-
. (30)
ЭДС
Дембера тем больше, чем сильнее различаются подвижности электронов и дырок.
Электродвижущая сила Дембера обычно очень мала, она немного больше kT/e.
При µn = µР VD =
0.
4. Фотоэлектромагнитный эффект
В 1934 г. И.К. Кикоин и М.М. Носков открыли новый тип фотоэдс [4]. В
полупроводнике, находящемся в магнитном поле, при освещении сильно поглощаемым
светом, возникает электрическое поле (Рисунок 7). Это явление называется
эффектом Кикоина-Носкова, или фотомагнитоэлектрическим эффектом (ФЭМ эффектом).
свет
Рисунок 7 - Образец для измерения фотоэлектромагнитного эффекта
На диффундирующие электроны и дырки, созданные светом, в магнитном поле
действует сила Лоренца, отклоняющая их в направлении, перпендикулярном к
направлению их движения и направлению магнитного поля [1]. При этом потоки
электронов и дырок отклоняются в разные стороны. Вследствие этого у
противоположных сторон образца, как это представлено на Рисунке 8, скапливаются
заряды противоположного знака и возникает электрическое поле, а следовательно,
возникает напряжение Vy ФЭМ эффекта. Накопление зарядов и возрастание э. д. с. будут
продолжаться до тех пор, пока ток проводимости, обусловленный возникшим
электрическим полем, не скомпенсирует магнитно-диффузионный ток.
Явление Кикоина-Носкова аналогично двум явлениям: эффекту Холла,
поскольку в полупроводнике имеется дрейфовый ток, и термомагнитному эффекту
Нернста-Эттингсгаузена, поскольку в полупроводнике при неоднородном освещении
возникает диффузионный ток [3].
Рисунок 8 - Возникновение напряжения Vy при фотоэлектромагнитном эффекте.
Определение Vy и
тока короткого замыкания проведем для полупроводника, у которого скорость
поверхностной рекомбинации мала, а поглощение света происходит в
приповерхностном слое образца с образованием электронно-дырочных пар [1].
В
случае слабого магнитного поля (µB
) углы
Холла для электронов цn и для дырок цр запишутся в виде
цn = - µn(H)B, (31)
цp = µp(H)B, (32)
где µn(H) и µp(H)- холловские подвижности электронов и дырок. Они
связаны с дрейфовыми подвижностями соотношениями µn(H) = rµn и
µp(H) = rµp,
где r - Холл-фактор, зависящий от
механизма рассеяния.
Если jnx и jpx есть диффузионные токи в направлении
оси х, то магнитно-диффузионные токи согласно Рисунку 8 равны:
jny=jnxtgцn=-rµnBjnx , (33)
jpy=jpxtgцp=-rµpBjpx . (34)
Полный магнитно-диффузионный ток составит:
jy=jny + jpy tgцp=rB(µpjpx -µnjnx). (35)
Если в полупроводнике нет ловушек, то Дn = Др. С учетом этого диффузионные токи запишутся в виде
jpx=
- jnx= -eD
, (36)
где
D - коэффициент биполярной диффузии. Подставляя (36) в
(35), получаем:
jy= -erDB(µn +µp)
.
(37)
Для
того чтобы найти ток короткого замыкания во внешней цепи jк.з, необходимо подсчитать суммарный
магнитно-диффузионный ток, текущий через всю боковую поверхность (сечение образца
в плоскости xz). Если D считать величиной постоянной, a b - размер образца по оси z, то
jк.з. =
= - erBD
(µn +µp)b
= erBD
(µn +µp)b[Дn(0)-
Дn (l)]. (38)
В
стационарном состоянии полный ток через все сечение образца в плоскости xz
равен нулю, т. е. ток короткого замыкания равен полному току проводимости,
который определяется напряжением ФЭМ эффекта Vфэм и полной проводимостью образца у:
j= Vфэм у= jк.з. , (39)
Полная
величина фото-э. д. с. составляет:
Vфэм =
=
.
(40)
Следовательно,
напряжение фотоэлектромагнитного эффекта пропорционально индукции магнитного
поля и зависит от концентрации неравновесных носителей заряда.
При
высоком уровне возбуждения, когда Дn 
n0 + р0 величина фото-э. д. с. составляет:
Vфэм =raDB
.
(41)
При
низком уровне возбуждения, когда Дn 
n0 + р0 величина фото-э. д. с. составляет:
Vфэм =eraDB(µn +µp)
.
(42)
В
случае, если скорость поверхностной рекомбинации пренебрежимо мала, то фото-эдс определяется:
Vфэм =eraDB(µn +µp)вL
(43)
где
в-определяется квантовым выходом, I-интенсивность возбуждающего
света.
Напряжение
ФЭМ эффекта при малом уровне возбуждения пропорционально интенсивности света, а
с ростом уровня освещения стремится к насыщению.
5. Фотоэффект в p-n переходах
На р-п переходе существует контактная разность потенциалов [1]. Этот
потенциальный барьер обусловлен электрическим полем, которое появляется в
результате диффузии основных носителей заряда через р-п переход. При
термодинамическом равновесии положение уровня Ферми во всей системе постоянно и
энергетическая схема р-п перехода имеет вид, изображенный на Рисунке 9, а. В
этом случае токи обусловлены свободными носителями заряда, генерируемыми за
счет теплового возбуждения, и в равновесии суммарный ток равен нулю.
Рисунок 9 - Энергетическая схема р-п перехода и токи носителей заряда при
термодинамическом равновесии (а), при освещении (б, в).
Условие равновесия запишется в виде

+
+
.
(44)
В
этом равенстве каждая пара токов электронов и дырок равна нулю
-
+
+
(45)
так
как количества переходящих носителей заряда в прямом и обратном направлении при
термодинамическом равновесии равны.
Но
потоки неосновных носителей заряда - электронов из р-области и дырок из n-области
есть не что иное, как электронная и дырочная составляющие тока насыщения в ВАХ
диода. Полный ток насыщения

(46)
Рассмотрим
теперь p-n переход, на который падают фотоны с энергией большей,
чем ширина запрещенной зоны (Рисунок 9, б). В результате поглощения фотона
возникает электронно-дырочная пара. Под действием внутреннего поля в р-п
переходе созданные светом носители заряда движутся в противоположных направлениях:
дырки в p-область, а электроны - в n-область. Эти
перешедшие через р-п переход носители заряда создадут добавочный ток, который
обозначим jf. Так как перешедшие в р-область избыточные дырки
уменьшают отрицательный объемный заряд, то энергетические уровни в р-области
снижаются и в результате этого происходит понижение потенциального барьера.
Следовательно, разделение зарядов приводит к возникновению разности потенциалов
V, приложенной к р-п переходу в прямом направлении (Рисунок 9, в). Электроны из
n-области и дырки из p-области,
преодолевая пониженный потенциальный барьер е (цк-V), будут
инжектированы в другую область, где они превращаются в неосновные носители
заряда и рекомбинируют. При этом токи направлены из р- в n-область
(Рисунок 9, в). Стационарное состояние установится тогда, когда число
создаваемых светом электронно- дырочных пар сравняется с числом носителей
заряда, уходящих через пониженный потенциальный барьер р-п перехода. Если р-п
переход соединен с внешней цепью, то можно измерить фото-э. д. с., который
называется вентильным э.д.с.. Следовательно, освещенный п-р переход действует
как фотоэлемент.
Для
определения вентильной фото-э. д. с. Vвен, которая соответствует напряжению на зажимах
разомкнутой цепи, необходимо положить j = 0. Тогда
Vвен=
. (46)
Величина
jf определяется числом избыточных носителей заряда,
созданных светом и дошедших до р-п перехода. Если через I/hv
обозначим число фотонов, падающих каждую секунду на единицу поверхности, в-
квантовый выход, т. е. количество электронно- дырочных пар, возникающих на один
фотон, а через v- долю непрорекомбинировавших пар носителей заряда,
пришедших к р-п переходу, то
jf = evв
. (47)
Это
выражение справедливо для случая, когда весь падающий на полупроводник свет
поглощается. С учетом (47) выражение (46) примет вид:
Vвен=
. (48)
При
большом уровне освещения, когда 
имеем:
Vвен=
. (49)
При
малом уровне возбуждения, когда 
используя
разложение в ряд, получаем:
Vвен=
(50)
т.
е. вентильная фото- эдс при малом
уровне возбуждения пропорциональна интенсивности света.
Фотоэффект
на барьере Шоттки
На
контакте металла с полупроводником имеет место перераспределение зарядов,
приводящее к возникновению в полупроводнике обедненного слоя, сопровождающегося
искривлением зон полупроводника [1]. Это искривление зон вблизи поверхности
раздела называется барьером Шоттки. Если работа выхода из металла Фм больше
работы выхода из полупроводника n-типа Фп (Рисунок 10, а), образуется барьер
Шоттки для электронов (Рисунок 10, б).
Рисунок
10 - Образование барьера Шоттки в полупроводнике, находящемся в контакте с
металлом
фотоэффект заряд электрон
Если
ФМ<ФП, то образуется барьер Шоттки для дырок. Высота
этого барьера равна:
eцк=Фм - Фп. (51)
Пусть
на структуру, изображенную на Рисунке 10, б, падают фотоны с энергией hv
> eцк. В
результате оптического возбуждения электроны в металле приобретают энергию,
достаточную для преодоления барьера (процесс 1). Электроны, входя в
полупроводник, заряжают его отрицательно, т. е. на барьере возникает фото-э. д.
с. Электроны, возбужденные из валентной зоны полупроводника в металл, будут в
металле занимать состояния выше уровня Ферми (процесс 2). Но этот переход
совершается при помощи туннелирования, его вероятность намного меньше, чем для
процесса 1. Кроме того, за счет процесса 2 не будет возникать фото-э. д. с.,
поскольку дырки не будут переходить в металл.
Если hv>Eg, то электронно-дырочные пары,
генерируемые в пределах барьера Шоттки (процесс 3), разделяются контактным
полем и создают фото-э. д. с. между металлическим электродом и объемом
полупроводника.
Фотовольтаические диоды с барьером Шоттки могут быть выполнены в виде
фотоэлементов большой площади. Они могут быть использованы для регистрации
фототока, вызванного б-частицами. Кроме того, они могут применяться для
регистрации электронов, возбужденных рентгеновскими лучами.
Заключение
В данной работе были рассмотрены основные характеристики фотопроводимости
полупроводников. Были рассмотрены процессы собственной фотопроводимости и
примесной фотопроводимости. Изучил явление фотопроводимости при наличии
поверхностной рекомбинации и диффузии носителей заряда. Рассмотрел особенности
фотоэлектромагнитного эффекта. Также мной был изучен процесс возникновения эдс Дембера. Были рассмотрены уравнения
для напряжения ФЭМ эффекта и для эдс Дембера.
Изучил фотоэффект в p-n переходах и на барьере Шоттки.
Фотоэффект используется в различных сферах: физике, медицине, в военной
технике, в различных системах связи, в технике и во многом другом.
Список использованных источников
1. Шалимова К.В. Физика полупроводников: учеб. пособие для
вузов по спец. "Полупроводниковые и микроэлектронные приборы" / К.В.
Шалимова. - 2-е изд., перераб. и доп. - М. : Энергия, 1976. - 416 с.
. Фистуль В.И. Введение в физику полупроводников: учеб.
пособие для вузов по спец. "Полупроводники и диэлектрики" и
"Технология специальных материалов электронной техники" / В.И.
Фистуль. - 2-е изд., перераб. и доп. - М. : Высшая школа, 1984. - 352 с.
. Киреев П.С. Физика полупроводников: учеб. пособие для
втузов / П.С. Киреев. - М.: Высшая школа, 1969. - 592 с.
. Бонч-Бруевич В.Л. Физика полупроводников: учеб. пособие для
втузов / В.Л. Бонч-Бруевич, С.Г. Калашников. - М. : Наука, 1977. - 672 с.