MathCad

  • Вид работы:
    Реферат
  • Предмет:
    Информатика, ВТ, телекоммуникации
  • Язык:
    Русский
    ,
    Формат файла:
    MS Word
    344,06 kb
  • Опубликовано:
    2009-01-12
Вы можете узнать стоимость помощи в написании студенческой работы.
Помощь в написании работы, которую точно примут!

MathCad

Уральский социально-экономический институт

Академии труда и социальных отношений









Кафедра высшей математики и информатики







Реферат

    Тема: « Мathcad »








 
















Челябинск

2001г.

Содержание:                                                                                                      Стр.   

1. Введение                                                                                                        3                                                                                                    

2. Возможности  системы:                                                                              3                                                                                                                                      

§  Состав  системы   MathCAD                                                           4

§  Варианты  системы  MathCAD 2000                                             5

§  Особенности  новых  версий  MathCAD.                                      5

3. Входной  язык:                                                                                             7

§  Понятие  о  документах                                                                    7

§  Особые  средства  оформления                                                       8

§  Работа  с  символами  кириллицы                                                 8

§  Понятие  о  входном  языке общения  и  языке реализации 

MathCAD                                                                                                  8    

§  Средства  повышения  эффективности  вычислений  и  их оптимизация.                                                                                      10

§  Средства расширения системы MathCAD.                                  10

4. Приёмы  работы  с  системой  MathCAD:                                               11

§  Ввод  формул                                                                                      11

§  Ввод  текста                                                                                        13

§  Форматирование  формул  и  текста                                             13                                         

§  Работа  с  матрицами                                                                        13

§  Стандартные  и  пользовательские  функции                             15

§  Решение  уравнений  и  систем                                                       16

§  Построение  графиков                                                                      18  

§  Аналитические  вычисления                                                          20

§  Программирование                                                                           22     

м

1.Введение

атематические и научно-технические расчеты являются важной сферой применения персональных компьютеров. Часто они выполняются с помощью программ , написанных на языке высокого уровня, например Бейсике или Паскале. Сегодня эту работу нередко выполняет обычный пользователь ПК. Для этого он вынужден изучать языки программирования и многочисленные, подчас весьма тонкие капризные численные методы математических расчетов. Нередко при этом из под руки способного физика, химика или инженера выходят далёкие от совершенства программы.

Это не вполне нормальное положение может изменить к лучшему применение интегрированных программных систем автоматизации математических расчетов (Eureka, MathCAD, MatLab и др.). Здесь рассматриваются возможности и эволюция одной из таких систем - MathCAD.

Фирма MathSoft Inc.(США) выпустила первую версию системы в 1986 г. Главная отличительная особенность системы MathCAD заключается в её входном языке, который максимально приближён к естественному математическому языку, используемому как в трактатах по математике, так и вообще в научной литературе. В ходе работы с системой пользователь готовит так называемые документы. Они одновременно включают описания алгоритмов вычислений, программы управляющие работой систем, и результат вычислений. По внешнему виду тексты мало напоминают обычной программы.

                                 

 2.Возможности системы

Mathcad —это популярная система компьютерной математики, предназначенная для автоматизации решения массовых математических задач в самых различных областях науки, техники и образования. Название системы происходит от двух слов — MATHematica (математика) и CAD (Computer Aided Design — системы автоматического проектирования, или САПР). Так что вполне правомерно считать Mathcad математическими САПР.

Сегодня различные версии Mathcad являются математически ориентированными универсальными системами. Помимо собственно вычислений, как численных, так и аналитических, они позволяют с блеском решать сложные оформительские задачи, которые с трудом даются популярным текстовым редакторам или электронным таб­лицам. С помощью Mathcad можно, например, готовить статьи, книги, диссертации, научные отчеты, дипломные и курсовые проекты не только с качественными текста­ми, но и с легко осуществляемым набором самых сложных математических формул, изысканным графическим представлением результатов вычислений и многочислен­ными «живыми» примерами. А применение библиотек и пакетов расширения обес­печивает профессиональную ориентацию Mathcad на любую область науки, техники и образования.

 К важным достоинствам новых версий Mathcad относятся настройка под любой мало-      мальски известный тип печатающих устройств, богатый набор шрифтов, возмож­ность  использования всех инструментов Windows, прекрасная графика и современ­ный многооконный интерфейс. В новые версии Mathcad включены эффективные средства оформления документов в цвете, возможность создания анимированных (движущихся) графиков и звукового сопровождения. Тут же текстовый, формульный и графический редакторы, объединенные с мощным вычислительным потен­циалом. Предусмотрена и возможность объединения с другими математическими и графическими системами для решения особо сложных задач. Отсюда и название таких систем — интегрированные системы.

Впрочем, в решении задач интеграции создатели Mathcad пошли намного дальше — эта система обеспечивает подлинную интеграцию с целым рядом других математических, графических и офисных систем. Для этого в нее включен специальный системный интегратор MathConnex. Летом 1999 года выпущена новейшая версия системы — Mathcad 2000. В ней суще­ственно увеличено число встроенных функций, улучшены графические возмож­ности, повышены скорость вычислений и удобство работы.

Состав системы Mathcad

Как интегрированная система Mathcad 2000 содержит следующие основные компо­ненты:

 1. Редактор документов — редактор с возможностью вставки математических вы­ражений, шаблонов графиков и текстовых комментариев;

 2. MathConnex системный интегратор, обеспечивающий интеграцию Mathcad с рядом иных программных продуктов;

  3. Центр ресурсов — система управления ресурсами системы;

  4. Электронные книги — электронные книги с описанием типовых расчетов в раз­личных областях науки и техники;

  5. Справочная система — система для получения справочных данных по тематичес­кому и индексному каталогу, а также для поиска нужных данных по ключевому слову или фразе;

  6.Быстрые шпаргалки  QuickSheets — короткие примеры с минимальными ком­ментариями, описывающие применение всех встроенных операторов и функций системы;

  7. Броузер Интернета — собственное средство выхода в Интернет.

Системы реализуют типовые и весьма обширные возможности Windows 95/98/NT, включая доступность множества шрифтов, работу со всеми типами принтеров, од­новременное выполнение нескольких разнохарактерных задач и (в последних вер­сиях) реализацию технологии обмена объектами OLE2. В режиме редактирования возможна одновременная работа с рядом документов и перенос объектов из одного окна в другое.

Предусмотрен также импорт любых графических изображений — от простых и спе­циальных графиков функций до многокрасочных репродукций художественных произведений. Введены средства анимации рисунков и воспроизведения видеофай­лов со звуковым стереофоническим сопровождением. Это наряду с улучшенной визуализацией сложных расчетов позволяет пользователю готовить электронные статьи и книги высокого качества. Начиная с версии Mathcad 8.0, было предусмот­рено упрощенное построение двумерных графиков и вращение трехмерных графи­ков мышью. Теперь в версию Mathcad 2000 введено упрощенное построение и трех­мерных графиков.

Особый интерес представляют встраиваемые в систему электронные книги, содер­жащие справки и примеры применений системы по ряду разделов математики, ме­ханики, физики, электротехники и радиотехники, а также по интерфейсу системы. Справки содержат математические формулы и иллюстрации. Можно выделить нужную справку (формулу или рисунок) и перенести ее в текст документа. Библио­теки и пакеты расширений системы Mathcad 2000 — еще одно мощнейшее средство расширения возможностей системы и ее профессиональной ориентации на решение задач в различных предметных областях. Особо надо отметить системный интегратор MathConnex. По существу это отдельное приложение, обеспечивающее использование в составе одного документа блоков из разных систем, например Mathcad, Excel, MATLAB и др. Интеграции различных математических и графических систем, несомненно, принадлежит будущее компь­ютерной математики, и MathConnex — хорошее начало этому.

Варианты системы Mathcad 2000

Новейшая версия Mathcad 2000 выпущена в трех основных вариантах:

1. Mathcad 2000 Standard — упрощенный вариант, удобный для большинства пользо­вателей и применяемый в учебных целях;

2. Mathcad 2000 Professional (или PRO) — профессиональный вариант, ориентиро­ванный на математиков и научно-педагогических работников, заинтересованных в автоматизации своих достаточно сложных и трудоемких расчетов;

3. Mathcad 2000 Premium — расширенный за счет сопутствующих систем вариант, предназначенный для профессиональных математиков и ученых.

Важно отметить, что Mathcad не только средство для решения математических за­дач. Это, по существу, мощная математическая САПР, позволяющая готовить на высочайшем полиграфическом уровне любые относящиеся к науке и технике  мате­риалы — документацию, научные отчеты, книги и статьи, диссертации, дипломные и курсовые проекты и т. д. При этом в них одновременно могут присутствовать тексты сложного вида, любые математические формулы, графики функций и различные иллюстративные материалы. Mathcad 2000 PRO позволяет также готовить и высококачественные электронные уроки и книги с гиперссылками. Наиболее обширными возможностями в подготов­ке сложных документов с инженерными чертежами и графиками обладает версия Mathcad 2000 Premium.

Особенности новых версий Mathcad

Mathcad — бурно развивающаяся система. Ее новые версии выходят чуть ли не еже­годно.

Уже версия Mathcad 7.0 PRO отличалась рядом принципиальных особенностей:

  •  отсутствие проблемы 2000;
  •  пользовательский интерфейс, существенно переработанный и приближенный к интерфейсу текстового процессора Word 95/97;
  •  ввод новой строки в документе простым нажатием клавиши Enter (или Ctrl+F9);
  •  удаление новой строки нажатием клавиши Backspace (или Ctrl+FlO);
  •  естественное выделение частей математических выражений мышью;
  •  задание в первый раз для данной переменной ее значения или значений нажати­ем клавиши = (при этом на экране выводится знак присваивания : =), при повтор­ном использовании клавиши == для этой же переменной выводится ее текущее значение;
  •  быстрое построение'(QuickPlot) графиков в Декартовых и полярных координатах с автоматической установкой пределов изменения независимых переменных;
  •  новая палитра символьной математики с расширенными операторами;
  •  более удобный и наглядный синтаксис символьных операций;
  •  возможность обработки ошибок в ходе вычислений;
  •  новые инструкции on error.continuen return;
  •  применение в программах операторов символьных операций;
  •  новый тип строковых данных, констант и переменных;
  •  восемь новых функций для работы со строковыми данными; задание размерных величин в системе СИ;
  •  возможность подготовки сложных документов разными пользователями, рабо­тающими в разных местах, с помощью операции Collaboratory;
  •  возможность обмена документами через Интернет;
  •  появление более оперативного центра ресурсов (Resource Center) вместо «быст­рых шпаргалок» QuickSheet, электронных книг, самоучителя и др.;
  •  моделирование (симулирование) работы сложных систем, построенных из функци­ональных блоков, с помощью системы MathConnex, имеющей 16 компонентов;
  •  возможность использования функций других систем (Excel, Axum, MatLAB и др.) и фактическая интеграция с ними.
  • Некоторые из указанных изменений можно отнести к разряду приятных мелочей, например расширенное действие знака = (ранее для присваивания переменным зна­чений требовалось вводить только комбинированный знак ; =). Другие изменения, такие как интеграция с иными системами и применение системного интегратора MathConnex, являются серьезным дополнением системы, открывающим перед ней множество новых возможностей.

Версия Mathcad 8.0 PRO предоставляет еще целый ряд полезных возможностей:

  •  около 50 новых математических функций (элементарных, специальных, статис­тических и др.);
  •  новые функции оптимизации maximize и minimize;
  •  решение задач линейного программирования;
  •  новые функции контроля типа данных;
  •  улучшенный блок решения систем нелинейных уравнений — снято ограничение на полное число уравнений (ранее было не более 50), теперь их число может до­стигать 200;
  •  введение набора методов численного интегрирования с возможностью выбора конкретного метода через контекстное меню, вызываемое щелчком правой кноп­ки мыши при установке указателя на знак интеграла;
  •  возможность проведения бинарных вычислений;
  •  эффективные средства сглаживания данных;
  •  выполненный в стиле Microsoft Office 97 строгий интерфейс с плоскими кнопками;
  •  более рациональное расположение команд в главном меню;
  •  улучшенные средства ввода и форматирования текста;
  •  команды редактирования Find (найти) и Replace (найти и заменить);
  •  новая возможность блокировки и скрытия областей;
  •  улучшенный вывод таблиц;
  •  возможность записи документов в формате HTML, принятом в Интернете;
  •  возможность записи документов в формате предшествующих версий;
  •  поддержка новой графики Open GL и Active X;
  •  применение мастеров для создания сложных трехмерных графиков;
  •  существенно улучшенные средства форматирования графиков;
  •  просмотр графиков в увеличенном масштабе;
  •  применение улучшенной (более плавной) функциональной окраски поверхно­стей;
  •  возможность изображения на одном трехмерном графике поверхностей и фигур разного типа;
  •  возможность изображения на одном трехмерном графике разных объектов, пе­ресекающихся в пространстве;
  •  возможность вращения трехмерных графиков в пространстве мышью;
  •  анимация трехмерных графиков при нажатии клавиши Shift.

Наконец, новейшая версия Mathcad 2000 прибавила к этим возможностям еще ряд новых и существенных отличий:

  •  улучшен интерфейс системы, в частности интеграция с Интернетом перенесена в центр ресурсов;
  •  введен ряд новых функций для финансово-экономических расчетов, создания матриц трехмерных поверхностей, численного решения дифференциальных уравнений в составе блока Given, контроля типа размерных переменных и др.;
  •  введен набор функций для выполнения регрессии — экспоненциальной, лога­рифмической, синусоидальной и др.;
  •  введен набор логических операторов;
  •  расширены возможности функции root — теперь она может искать корень не только по заданному приближению (функция с двумя параметрами), но и в заданном интервале (функция с четырьмя параметрами);
  •  введено ускоренное и упрощенное построение трехмерных графиков;
  •  предусмотрено наложение надписей на блоки документов, в том числе графичес­кие;
  •  введена трассировка ошибок;
  •  существенно обновлен набор примеров в центре ресурсов;
  •  обеспечен контроль орфографии англоязычных текстов на трех диалектах англий­ского языка.

Из этих внушительных списков новых возможностей разных версий системы Mathcad отчетливо видно, что система быстро развивается, становясь все более мощной и удобной.

  3.Входной язык

Понятие о документах

Отличительной чертой Mathcad являются так называемые документы, которые объединяют описание математического алгоритма решения задачи (или ряда задач) с текстовыми комментариями и результатами вычислений, заданными в форме символов, чисел, таблиц или графиков. В оригинале документы системы Mathcad названы английским словом Worksheets. В научном мире длинные листы бумаги с текстами, формулами и графиками шутливо называют рабочими «простынями» — так и переводится слово Worksheets буквально.

Фактически документы Mathcad объединяют Код, написанный на визуально-ориен­тированном языке программирования Mathcad, с результатами его работы и тек­стовыми и формульными комментариями. Напомним, что визуально-ориентиро­ванные языки программирования задают программу не в виде малопонятных кодов, а в виде визуально понятных объектов. Язык программирования Mathcad ориенти­рован на математические вычисления и потому практически не отличается от обыч­ного языка математических статей, отчетов и книг. Это огромное достоинство сис­темы Mathcad, которое делает документы Mathcad вполне ясными даже школьникам и студентам младших курсов вузов, имеющим элементарные знания по математике.

Итак, уникальное свойство Mathcad — возможность описания математических алгоритмов в естественной математической форме с применением общепринятой символики для математических знаков, таких, например, как квадратный корень, знак деления в виде горизонтальной черты, знак интеграла и т. д. Это делает доку­мент, видимый на экране дисплея, чрезвычайно похожим на страницы текста мате­матических книг или научных статей.Такой подход значительно облегчает восприятие математической сущности решае­мой  задачи и избавляет пользователя от изучения некоторого промежуточного язы­ка программирования (например Фортрана, Бейсика, Паскаля и т. д.). Можно ска­зать, что в Mathcad идея решения математических задач без их программирования доведена до высшего совершенства — подавляющее большинство задач требуют лишь корректного формульного описания решениям не нуждаются в подготовке программ в их общепринятом понимании.

Особые средства оформления

Последние версии системы Mathcad предоставляют новые средства для подготовки сложных документов, именуемых электронными документами. В них предусмотре­но красочное выделение отдельных формул, многовариантный вызов одних доку­ментов из других, возможность закрытия «на замок» (и «открытия» при указании пароля) отдельных частей документов, гипертекстовые и гипермедиассылки и т. д. Это позволяет создавать превосходные обучающие программы и целые книги по любым курсам, базирующимся на математическом аппарате.

Работа с символами кириллицы

Все версии Mathcad под Windows позволяют работать как с латинскими буквами, так и с кириллицей (буквами русского алфавита), греческим алфавитом и вообще с любыми символами, доступными в Windows. Более того, благодаря применению масштабируемых TTF-шрифтов можно управлять как размером символов, так и их начертанием (делая буквы прямыми или наклонными, тонкими или жирными). Все это дает возможность готовить документы и электронные книги высокого каче­ства как на английском, так и на русском языках.





Понятие о входном языке общения и языке реализации Mathcad

Как следует из вышесказанного, общение пользователя с системой Mathcad проис­ходит на уровне так называемого входного языка, максимально приближенного к обычному языку описания математических задач. Поэтому решение таких задач не требует программирования в общепринятом смысле — написания программ на неко­тором промежуточном языке или в машинных кодах.

Вот, к примеру, как выглядит вычисление квадрата переменной х с заданным значе­нием х=3 на популярном языке Бейсик и на Mathcad:

Бейсик                Mathcad                                  Комментарий

х = LET(3)

х := 3

Переменной Х присваивается значение 3

У = х^2

у := х2

Переменной у присваивается значение Х в квадрате

PRINT("y=";y)

у= 9

Вывод значения переменной у


Нетрудно заметить, что запись выражений на Mathcad куда более естественна, чем на Бейсике. К тому же она существенно короче. Эти достоинства проявляются еще сильнее при более сложных вычислениях. Тем не менее это не означает, что в систе­ме нет своего языка программирования. В действительности он есть, но это матема­тически ориентированный особый язык программирования сверхвысокого уровня, используемый в основном как язык диалога с системой.

Входной язык Mathcad относится к интерпретируемому типу. Это означает, что, когда система опознает какой-либо объект, она немедленно исполняет указанные в блоке операции. Объектами системы могут быть формульные, текстовые и графические блоки. При этом формульные блоки могут иметь особые признаки — атрибуты, на­пример, активности, пассивности и оптимизации.

Важно сразу учесть, что Mathcad выполняет действия над блоками в строго опре­деленном порядке — блоки анализируются (оцениваются) слева направо и сверху вниз. Это означает, что блоки нельзя располагать в документе произвольно. Блоки, готовящие какие-либо операции, должны предшествовать блокам, которые выпол­няют эти операции. Исключением являются блоки с глобальным определением (они также будет рассмотрены позже). Их можно располагать в любом месте документа, например в конце.

В подавляющем большинстве расчетных задач входной язык общения с Mathcad позволяет задавать их решение в виде вводимых с помощью операторов и функций математических формул и указывать тип желаемых результатов (таблицы или гра­фики). Специальные приемы предусмотрены лишь для задания циклического изме­нения переменных и создания так называемых ранжированных переменных, имею­щих набор значений.

Визуально-ориентированный язык общения системы Mathcad надо отличать от языка реализации системы, то есть обычного языка программирования высокого уровня, на котором написана система. Языком реализации системы Mathcad являет­ся один из самых мощных языков высокого уровня — C++.

По существу, входной язык системы — промежуточное звено между скрытым от пользователя языком документа и языком реализации системы. По мере того как пользователь создает (средствами текстового, формульного и графического редак­торов) в окне редактирования объекты (тексты, формулы, таблицы и графики), си­стема сама составляет программу на некотором промежуточном языке связи, кото­рая хранится в оперативной памяти до тех пор, пока не будет записана на диск в виде файла с расширением. mcd. Однако важно подчеркнуть, что от пользователя не тре­буется знание языков программирования (реализации и связи), достаточно освоить приближенный к естественному математическому языку входной язык системы.

В версии Mathcad 2000 PRO значительно снижены требования и к знанию даже входного языка. Практически все операторы, имеющие вид привычных математи­ческих символов, можно выбирать мышью в палитрах математических объектов, а большинство математических функций (например, sin, cos, ехр и т. д.) имеют есте­ственную форму задания, например, sin (х) так и вводится — sin (х). К тому же есть возможность выбора функций из списка, имеющегося в специальном окне, что рез­ко уменьшает вероятность ошибок при вводе. Этот список выводится с помощью кнопки f(x) на панели инструментов.

В Mathcad эффективно решена проблема сквозной передачи данных от одного объекта к другому, например, от одного математического выражения к другому, от него к таблицам, от таблиц к графикам и т. д. Поэтому изменение в любой формуле или в задании входных данных тут же ведет к пересчету задачи по всей цепи взаимо­действия объектов (это не относится, однако, к символьным операциям, реализуе­мым с помощью команд меню).


Средства повышения эффективности вычислений и их оптимизация

Как отмечалось, входной язык системы Mathcad — интерпретируемый. В интерпре­таторах, например, в Бейсике, листинг программы пользователя анализируется системой сверху вниз

(а в пределах строки — слева направо), и любые указания в программе тут же выполняются. Так же просматриваются блоки в системе Mathcad. Как только блок опознается, система автоматически запускает внутренние подпрограммы для выполнения необходимых действий, например, вы­числения по формуле, вывода таблицы значений вектора, построения рисунка по его шаблону и т. д. Интерпретаторы работают медленно, поэтому не случайно, что пользователи, рабо­тавшие со старыми версиями Mathcad, отмечали медлительность систем, особенно при сложных вычислениях и при построении графиков. Медлительность является и следствием работы системы в графическом режиме, когда малейшее изменение со­держания экрана требует его полной перерисовки.

В последние версии Mathcad введена экспертная система SmartMath. Эта система старается использовать при численных вычислениях конечные формулы, получен­ные в результате символьных (аналитических) преобразований. Часто (хотя и не всегда) это дает значительное ускорение вычислений в сравнении с их реализацией численными методами.

Операция оптимизации вычислений с помощью системы SmartMath вводится спе­циальными атрибутами (знак * у формул) и словами — директивами. Их число в новых версиях Mathcad значительно увеличено, и для ввода операторов и директив символьной математики добавлена специальная палитра. Таким образом система SmartMath превратилась в полноправного члена семьи Mathcad. Наиболее развит этот подход в самом мощном варианте системы — Mathcad 2000 Premium, в состав которой введено оптимизирующее расширение The Expert Solver, автоматически включающее «на всю катушку» средства SmartMath.

Средства расширения систем Mathcad

Начиная с версии Mathcad PLUS 5.0 в систему введена возможность ее расширения функциями, которые задаются обычными программами на языке С или C++. Одна­ко это не позволяет эффективно и просто решить проблему расширения. На С или C++ хорошо программируют системные программисты, но они весьма редко разби­раются в сути математических задач. Как отмечалось, начиная с версии Mathcad PLUS 6.0 у системы появилась весьма изящная возможность записи встроенных в документ программных модулей, реали­зующих типовые управляющие структуры и записанных в виде обычных программ. Так что теперь Mathcad предоставляет програмистам пол­ную свободу для самовыражения. Средством локального расширения системных возможностей являются также функции пользователя.

Однако в наивысшей степени средства расширения системы Mathcad представлены сменными проблемно-ориентированными электронными книгами, библиотеками и пакетами расширения. Они позволяют настроить систему на наиболее эффективное решение задач в любой области науки и техники — в математике, физике и химии, в астрономии, механике, электротехнике и радиотехнике, в биологии и экономике, в финансах, статистике и т. д.

Электронные книги — это пакеты для решения задач в определенной области науки и техники, ориентированные на типовые средства систем класса Mathcad.

Пакеты расширения — это укрупненные библиотеки, поставляемые с электронными книгами, учитывающими новые операторы и функции, которые пакеты расширения вводят в базовую систему Mathcad. Входящие в нихэлектронные книги нельзя ис­пользовать без соответствующих библиотек.

Библиотеки — это комплекты электронных книг и пакетов расширения.


4.Приемы работы с системой MathCad

Документ программы MathCad называется рабочим листом. Он содержит объекты:

формулы и текстовые блоки. В ходе расчетов формулы обрабатываются последо­вательно, слева направо и сверху вниз, а текстовые блоки игнорируются. Ввод информации осуществляется в месте расположения курсора. Программа MathCad использует три вида курсоров. Если ни один объект не выбран, использу­ется крестообразный курсор, определяющий место создания следующего объекта. При вводе формул используется уголковый курсор, указывающий текущий элемент выражения. При вводе данных в текстовый блок применяется текстовый курсор в виде вертикальной черты.

Ввод формул

Формулы — основные объекты рабочего листа. Новый объект по умолчанию явля­ется формулой. Чтобы начать ввод формулы, надо установить крестообразный курсор в нужное место и начать ввод букв, цифр, знаков операций. При этом созда­ется область формулы, в которой появляется уголковый курсор, охватывающий текущий элемент формулы, например имя переменной (функции) или число. При вводе бинарного оператора по другую сторону знака операции автоматически появ­ляется заполнитель в виде черного прямоугольника. В это место вводят очередной операнд. Для управления порядком операций используют скобки, которые можно вводить вручную. Уголковый курсор позволяет автоматизировать такие действия. Чтобы выделить элементы формулы, которые в рамках операции должны рассматриваться как единое целое, используют клавишу ПРОБЕЛ. При каждом ее нажатии уголковый курсор «расширяется», охватывая элементы формулы, примыкающие к данному. После ввода знака операции элементы в пределах уголкового курсора автоматически заключаются в скобки. Элементы формул можно вводить с клавиатуры или с помощью специальных панелей управления. Панели управления (рис. 1) открывают с помощью меню View (Вид) или кнопками панели управления Math (Математика). Для ввода элементов формул предназначены следующие панели:

  • панель управления Arithmetic (Счет) для ввода чисел, знаков типичных математи­ческих операций и наиболее часто употребляемых стандартных функций;
  • панель управления Evaluation (Вычисление) для ввода операторов вычисления и знаков логических операций;
  • панель управления Graph (График) для построения графиков;
  • панель управления Matrix (Матрица) для ввода векторов и матриц и задания матричных операций;
  • панель управления Calculus (Исчисление) для задания операций, относящихся к математическому анализу;
  • панель управления Greek (Греческий алфавит) для ввода греческих букв (их можно также вводить с клавиатуры, если сразу после ввода соответствующего латин­ского символа нажимать сочетание клавиш CTRL+G, например [a][CTRL+G] — a, [W][CTRL+G]-W);
  • панель управления Symbolic (Аналитические вычисления) для управления ана­литическими преобразованиями.

Введенное выражение обычно вычисляют или присваивают переменной. Для вывода результата выражения используют знак вычисления, который выглядит как знак равенства и вводится при помощи кнопки Evaluate Expression (Вычислить выражение) на панели инструментов Evaluation (Вычисление).

                                    

Рис. 1. Панели инструментов программы Маthcad для ввода формул.

Знак присваивания изображается как «:=», а вводится при помощи кнопки Assign Value (Присвоить значение) на панели инструментов Evaluation (Вычисление). Слева от знака присваивания указывают имя переменной. Оно может содержать латинские и греческие буквы, цифры, символы «¢»,«_» и «¥», а также описательный индекс. Описательный индекс вводится с помощью символа «.» и изображается как нижний индекс, но является частью имени переменной, например Vinit. «Настоящие» индексы, определяющие отдельный элемент вектора или матрицы, задаются по-другому.

Переменную, которой присвоено значение, можно использовать далее в документе в вычисляемых выражениях. Чтобы узнать значение переменной, следует использо­вать оператор вычисления.

Примеры ввода формул:



Ввод текста

Текст, помещенный в рабочий лист, содержит комментарии и описания и предназна­чен для ознакомления, а не для использования в расчетах. Программа MathCad опре­деляет назначение текущего блока автоматически при первом нажатии клавиши ПРОБЕЛ. Если введенный текст не может быть интерпретирован как формула, блок преобразуется в текстовый и последующие данные рассматриваются как текст. Создать текстовый блок без использования автоматических средств позволяет команда Insert > Text Region (Вставка > Текстовый блок).

Иногда требуется встроить формулу внутрь текстового блока. Для этого служит команда Insert > Math Region (Вставка > Формула).

Форматирование формул и текста

Для форматирования формул и текста в программе MathCad используется панель инструментов Formatting (Форматирование). С ее помощью можно индивидуально отформатировать любую формулу или текстовый блок, задав гарнитуру и размер шрифта, а также полужирное, курсивное или подчеркнутое начертание символов. В текстовых блоках можно также задавать тип выравнивания и применять марки­рованные и нумерованные списки.

В качестве средств автоматизации используются стили оформления. Выбрать стиль оформления текстового блока или элемента формулы можно из списка Style (Стиль) на панели инструментов Formatting (Форматирование). Для формул и текстовых блоков применяются разные наборы стилей. Чтобы изменить стиль оформления формулы или создать новый стиль, используется команда Formate Equation (Формат ^ Выражение). Изменение стандартных стилей Variables (Переменные) и Constants (Константы) влияет на отображение формул по всему документу. Стиль оформления имени переменной учитывается при ее опре­делении. Так, переменные хил- рассматриваются как различные и не взаимозаме­няемы. При оформлении текстовых блоков можно использовать более обширный набор стилей. Настройка стилей текстовых блоков производится при помощи команды Format > Style

(Формат > Стиль).




Работа с матрицами

Векторы и матрицы рассматриваются в программе MathCad как одномерные и дву­мерные массивы данных. Число строк и столбцов матрицы задается в диалоговом окне Insert Matrix (Вставка матрицы), которое открывают командой Insert > Matrix (Вставка > Матрица). Вектор задается как матрица, имеющая один столбец.

После щелчка на кнопке ОК в формулу вставляется матрица, содержащая вместо элементов заполнители. Вместо каждого заполнителя надо вставить число, пере­менную или выражение.

Для матриц определены следующие операции: сложение, умножение на число, перемножение и прочие. Допустимо использование матриц вместо скалярных выра­жений: в этом случае предполагается, что указанные действия должны быть при­менены к каждому элементу матрицы, и результат также представляется в виде матрицы. Например, выражение М+ 3, где М — матрица, означает, что к каждому элементу матрицы прибавляется число 3. Если требуется явно указать необходимость поэлементного применения операции к матрице, используют знак векторизации, для ввода которого служит кнопка Vectorize (Векторизация) на панели инструментов Matrix (Матрица). Например:


                                      Рис. 2  Вычисление матриц

Для работы с элементами матрицы используют индексы элементов. Нумерация строк и столбцов матрицы начинается с нуля. Индекс элемента задается числом, переменной или выражением и отображается как нижний индекс. Он вводится после щелчка на кнопке Subscript (Индекс) на панели инструментов Matrix (Матрица). Пара индексов, определяющих элемент матрицы, разделяется запятой. Иногда (напри­мер, при построении графиков) требуется выделить вектор, представляющий собой столбец матрицы. Номер столбца матрицы отображается как верхний индекс, заклю­ченный в угловые скобки, например М<0>. Для его ввода используется кнопка Matrix Column (Столбец) на панели инструментов Matrix (Матрица).  Чтобы задать общую формулу элементов матрицы, типа МI,J:= i +j, используют диапазоны. Диапазон фактически представляет собой вектор, содержащий арифмети­ческую прогрессию, определенную первым, вторым и последним элементами. Чтобы задать диапазон, следует указать значение первого элемента, через запятую значение второго и через точку с запятой значение последнего элемента. Точка с запятой при задании диапазона отображается как две точки (..). Диапазон можно использовать как значение переменной, например x:= 0,0.01.. 1.

Если разность прогрессии равна единице (то есть, элементы просто нумеруются), значение второго элемента и соответствующую запятую опускают. Например, чтобы сформировать по приведенной выше формуле матрицу размером 6х6, перед этой формулой надо указать

 i:= 0..5  j:= 0..5. При формировании матрицы путем присвое­ния значения ее элементам, размеры матрицы можно не задавать заранее. Всем неопределенным элементам автоматически присваиваются нулевые значения. Например, формула М5,5:=1 создает матрицу М размером 6х6, у которой все эле­менты, кроме расположенного в правом нижнем углу, равны 0.

Стандартные и пользовательские функции

Произвольные зависимости между входными и выходными параметрами задаются при помощи функций. Функции принимают набор параметров и возвращают зна­чение, скалярное или векторное (матричное). В формулах можно использовать стан­дартные встроенные функции, а также функции, определенные пользователем.

Чтобы использовать функцию в выражении, надо определить значения входных параметров в скобках после имени функции. Имена простейших математических функций можно ввести с панели инструментов Arithmetic (Счет). Информацию о других функциях можно почерпнуть в справочной системе. Вставить в выражение стандарт­ную функцию можно при помощи команды Insert > Function (Вставка > Функция). В диа­логовом окне Insert Function (Вставка функции) слева выбирается категория, к которой относится функция, а справа — конкретная функция. В нижней части окна выдается информация о выбранной функции. При вводе функции через это диалоговое окно автоматически добавляются скобки и заполнители для значений параметров.

Пользовательские функции должны быть сначала определены. Определение зада­ется при помощи оператора присваивания. В левой части указывается имя пользо­вательской функции и, в скобках, формальные параметры — переменные, от которых она зависит. Справа от знака присваивания эти переменные должны использоваться в выражении. При использовании пользовательской функции в последующих фор­мулах ее имя вводят вручную. В диалоговом окне Insert Function (Вставка функции) оно не отображается.

Приведем обозначения основных из [Dm1] них:

1.   Тригонометрические и обратные функции:

sin(z), cos(z), tan(z), asin(z), acos(z), atan(z)

z - угол в радианах

2.   Гиперболические и обратные функции:

3.   Экспоненциальные и логарифмические:

exp(z) - ez

ln(z) - натуральный логарифм

log(z) - десятичный логарифм

4.   Cтатистические функции:         

mean(x)   - среднее значение           

var(x)      - дисперсия           

stdev(x)   - среднеквадратическое отклонение

cnorm(x)- функция нормального рапределения    

erf(x)       - функция ошибки

Г(x)        - гамма-функция Эйлера

5.   Функции Бесселя:

J0(x), J1(x), Jn(n,x)    - функции Бесселя первого порядка

Y0(x), Y1(x), Yn(n,x) - функции Бесселя второго порядка

6.   Функции комплексного переменного:

Re(z)       - вещественная часть комплексного числа

Im(z)       - мнимая часть комплексного числа

arg(z)      - аргумент комплексного числа

7.   Преобразование Фурье:

U:=fft(V) - прямое преобразование (V- вещественное)   

V:=ifft(U)        - обратное преобразование (V- вещественное)    

U:=cfft(V)       - прямое преобразование (V- комплексное)          

V:=icfft(U) - обратное преобразование (V- комплексное)           

8.   Корреляционная функция - позволяет рассчитывать коэффициент корреляции двух векторов vx и vy и определить уравнение линейной регрессии:

corr(vx,vy) - коэффициент корреляции      

slope(vx,vy) - коэффициент наклона линии регрессии

intercept(vx,vy) - начальная координата линии регрессии

9.   Линейная интерполяция:

linterp(vx,vy,x)

vx,vy- векторы значений аргумента и функций.   x- значение аргумента,

для  которого проводится интерполяция

10.Функция для определения корней алгебраических и трансцендентных уравнений:

root(уравнения, переменная) - значение переменной, когда уравнение равно нулю

11.Датчик случайных  чисел:

rnd(x) - случайное число с равномерным распределением от 0 до x

12.Целая часть переменной:

floor(x)- ближайшее наименьшее целое число

ceil(x)- ближайшее наибольшее целое число

13.Выделение остатка:

mod(x,y)- остаток от деления x на y  

14.Остановка итерации:

until(x,y) - когда x<0

15.Функция условного перехода:

if(условие,x,y) - если условие выполняется, то функция равняется x, иначе y

16.Единичная функция (функция Хевисайда):

Ф(x) - если x>0. То функция равна 1, иначе 0

17.Логические выражения и операции. Простейшими видами логических выражений являются следующие: логическая константа, логическая константа, логическая константа, логическая переменная, выражение отношения. Например, при x:=0.5 операции отношения присваивают L истину или ложь (1 или 0):

L := x£1  L=0

L := x³1  L=0

L := x»1  L=0

L := x<1  L=1

L := x>1  L=0

18.Функции, определяемые пользователем. Пользователь может самостоятельно определить необходимые ему функции, отсутствующие среди встроенных функций пакета.      

 


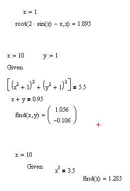
 Решение уравнений и систем

Для численного поиска корней уравнения в программе MathCad используется функция root. Она служит для решения уравнений вида f(x) = 0, где f (х) выражение, корни которого нужно найти, a  x — неизвестное. Для поиска корней с помощью функции root, надо присвоить искомой переменной начальное значение, а затем вычислить корень при помощи вызова функции: root(f(x),x). Здесь f(x) функция перемен­ной х, используемой в качестве второго параметра. Функция root возвращает зна­чение независимой переменной, обращающее функцию f(x)  в  0. Например:


                                  Рис.3  Решение уравнений и систем

Если уравнение имеет несколько корней (как в данном примере), то результат, выдаваемый функцией root, зависит от выбранного начального приближения. Если надо решить систему уравнений (неравенств), используют так называемый блок решения, который начинается с ключевого слова given (дано) и заканчивается вызовом функции find (найти). Между ними располагают «логические утверждения», задающие ограничения на значения искомых величин, иными словами, уравнения и неравенства. Всем переменным, используемым для обозначения неизвестных величин, должны быть заранее присвоены начальные значения.

Чтобы записать уравнение, в котором утверждается, что левая и правая части равны, используется знак логического равенства — кнопка Boolean Equals (Логически равно) на панели инструментов Evaluation (Вычисление). Другие знаки логических условий также можно найти на этой панели. Заканчивается блок решения вызовом функции find, у которой в качестве аргументов должны быть перечислены искомые величины. Эта функция возвращает вектор, содержащий вычисленные значения неизвестных.








Построение графиков

Чтобы построить двумерный график в координатных осях Х-У, надо дать команду

Insert> Graph > X-Y Plot (Вставка > График > Декартовы координаты). В области раз­мещения графика находятся заполнители для указания отображаемых выражений и диапазона изменения величин. Заполнитель у середины оси координат предназна­чен для переменной или выражения, отображаемого по этой оси. Обычно используют диапазон или вектор значений. Граничные значения по осям выбираются автома­тически в соответствии с диапазоном изменения величины, но их можно задать и вручную. В одной графической области можно построить несколько графиков. Для этого надо у соответствующей оси перечислить несколько выражений через запятую. Разные кривые изображаются разным цветом, а для форматирования графика надо дважды щелкнуть на области графика. Для управления отображением построенных линий служит вкладка Traces (Линии) в открывшемся диалоговом окне. Текущий формат каждой линии приведен в списке, а под списком расположены элементы управления, позволяющие изменять формат. Поле Legend Label (Описание) задает описание линии, которое отображается только при сбросе флажка Hide Legend (Скрыть описание). Список Symbol (Символ) позволяет выбрать маркеры для отдельных точек, список Line (Тип линии) задает тип линии, список Color (Цвет) — цвет. Список Type (Тип) определяет способ связи отдельных точек, а список Width (Тол­щина) — толщину линии. Точно так же можно построить и отформатировать график в полярных координатах. Для его построения надо дать команду Insert > Graph > Polar Plot (Вставка > График > Полярные координаты). Для построения простейшего трехмерного графика, необходимо задать матрицу значений. Отобразить эту матрицу можно в виде поверхности — Insert > Graph > Surface Plot (Вставка > График > Поверхность), столбчатой диаграммы — Insert > Graph > 3D Bar Plot (Вставка > График > Столбчатая диаграмма) или линий уровня — Insert > Graph > Contour Plot (Вставка > График > Линии уровня).

  Для отображения векторного поля при помощи команды Insert > Graph > Vector Field Plot (Вставка > График > Поле векторов) значения матрицы должны быть комплекс­ными. В этом случае в каждой точке графика отображается вектор с координатами, равными действительной и мнимой частям элемента матрицы. Во всех этих случаях после создания области графика необходимо указать вместо заполнителя имя мат­рицы, содержащей необходимые значения. Для построения параметрического точечного графика командой

 Insert > Graph > 3D Scatter Plot (Вставка > График > Точки в пространстве) необходимо задать три век­тора с одинаковым числом элементов, которые соответствуют х-, у- и  z-координатам точек, отображаемых на графике. В области графика эти три вектора указываются внутри скобок через запятую. Аналогичным образом можно постро­ить поверхность, заданную пара­метрически. Для этого надо задать три матрицы, содержащие, соответ­ственно, х-, у- и z-координаты точек поверхности. Теперь надо дать коман­ду построения поверхности Insert > Graph >Surface Rot (Вставка > График > Поверхность) и указать в области графика эти три матрицы в скобках и через запятую. Таким образом можно построить практически лю­бую криволинейную поверхность, в том числе с самопересече­ниями.










                                       Рис.4  Построение графиков.

Аналитические вычисления

игнорируются — переменные рассматриваются как неопределенные пара­метры. Команды для выполнения аналитических вычислений в основном сосредо­точены в меню Symbolics (Аналитические вычисления). Чтобы упростить выражение (или часть выражения), надо выбрать его при помощи уголкового курсора и дать команду Symbolics > Simplify (Аналитические вычисления > Упростить). При этом выполняются арифметические действия, сокращаются общие множители и приводятся подобные члены, применяются тригонометрические тож­дества, упрощаются выражения с радикалами, а также выражения, содержащие прямую и обратную функции (типа eInx). Некоторые действия по раскрытию скобок и упрощению сложных тригонометрических выражений требуют применения коман­ды Symbolics > Expand (Аналитические вычисления > Раскрыть). Команду Symbolics > Simplify (Аналитические вычисления > Упростить) применяют и в более сложных случаях. Например, с ее помощью можно:

  •  вычислить предел числовой последовательности, заданной общим членом;
  •  найти общую формулу для суммы членов числовой последовательности, задан­ной общим членом;
  •  вычислить производную данной функции;
  •  найти первообразную данной функции или значение определенного интеграла.


Другие возможности меню Symbolics (Аналитические вычисления) состоят в выполне­нии аналитических операций, ориентированных на переменную, использованную в выражении. Для этого надо выделить в выражении переменную и выбрать команду из меню Symbolics> Variable (Аналитические вычисления > Переменная). Команда Solve (Решить) ищет корни функции, заданной данным выражением, например, если выде­лить уголковым курсором переменную х в выражении ах2 + bx + с, то в результате применения команды Symbolics > Variable > Solve (Аналитические вычисления > Пере­менная > Решить), будут найдены все корни:


Другие возможности использования этого меню включают:

  •  аналитическое дифференцирование и интегрирование: Symbolics > Variable > Differentiate (Аналитические вычисления > Переменная > Дифференцировать) и Symbolics > Variable > Integrate (Аналитические вычисления > Переменная > Интегри­ровать);
  • замена переменной: Symbolics > Variable > Substitute (Аналитические вычисления > Переменная > Подставить) — вместо переменной подставляется содержимое буфера обмена;
  •  разложение в ряд Тейлора: Symbolics > Variable > Expand to Series (Аналитические вычисления > Переменная > Разложить в ряд),
  •  представление дробно-рациональной функции в виде суммы простых дробей с линейными и квадратичными знаменателями: Symbolics > Variable > Convert to Partial Fraction (Аналитические вычисления > Переменная > Преобразовать в про­стые дроби).

Наконец, самым мощным инструментом аналитических вычислений является опе­ратор аналитического вычисления, который вводится с помощью кнопки Symbolic Evaluation (Вычислить аналитически) на панели инструментов Evaluation (Вычисление). Его можно, например, использовать для аналитического решения системы уравнений и неравенств. Блок решения задается точно так же, как при численном решении (хотя начальные значения переменных можно не задавать), а последняя формула блока должна выглядеть

find(x,y,...)®, где в скобках приведен список искомых величин, а далее следует знак аналитического вычисления, отображаемый в виде стрелки, направленной вправо. Любое аналитическое вычисление можно применить с помощью ключевого слова. Для этого используют кнопку Symbolic Keyword Evaluation (Вычисление с ключевым словом) на панели инструментов Evaluation (Вычисление). Ключевые слова вводятся через панель инструментов Symbolics (Аналитические вычисления). Они полностью охватывают возможности, заключенные в меню Symbolics (Аналитические вычис­ления), позволяя также задавать дополнительные параметры.

                  







                           Рис.5  Аналитические вычисления.

П рограммирование.

Наиболее заметная «изюминка» MathCAD, которую сразу оценили пользователи, - это встроенный язык программирования. В MathCAD, по сути, не встроен язык программирования, а просто снято ограничение на использование составных операторов в теле алгоритмических управляющих конструкций выбор и повторение. Кроме того, добавлены цикл с параметром и оператор досрочного выхода break. Алгоритмические конструкции и составные операторы в среде MathCAD вводятся нажимом одной из семи кнопок панели управления:

         Add line

             ¬

             if

            while

           for

           break

      otherwise


Add line - добавить строку программы, тела цикла, плеча альтернативы и т.д.

¬ - знак присвоения.

While - при нажатии на эту кнопку на экране появляется заготовка цикла с предпроверкой: слово while с двумя пустыми квадратиками. В квадратик правее while нужно записать булево выражение (переменную), управляющее циклом, а во второй квадратик (ниже while ) - тело цикла.

If - позволяет вводить в программу альтернативу с одним плечом.

Otherwise - позволяет превратить неполную альтернативу в полную:

         C ¬ D if A > B

         E ¬ F otherwise

for - кнопка для ввода в программы цикла с параметром.

Break - кнопка досрочного выхода из программы или цикла.

Литература :

1.Симонович  С.В.  « Информатика  базовый курс».

2. Дьяконов В.   « Mathcad 2000». 

3.Плис А.И.  Сливина Н.А.   «Mathcad 2000   математический практикум»


Стр: 3
 [Dm1]

Похожие работы на - MathCad

 

Не нашли материал для своей работы?
Поможем написать уникальную работу
Без плагиата!
Без нейросетей!