Организация и технико-экономическое обоснование производства системы АСУ-ГХ (на примере ОАО 'КНИИТМУ')

  • Вид работы:
    Дипломная (ВКР)
  • Предмет:
    Эктеория
  • Язык:
    Русский
    ,
    Формат файла:
    MS Word
    1,83 Мб
  • Опубликовано:
    2013-06-12
Вы можете узнать стоимость помощи в написании студенческой работы.
Помощь в написании работы, которую точно примут!

Организация и технико-экономическое обоснование производства системы АСУ-ГХ (на примере ОАО 'КНИИТМУ')

Введение

Использование космических технологий спутникового позиционирования ГЛОНАСС и GPS является наиболее эффективным и перспективным направлением в создании систем мониторинга и управления транспортом на предприятиях различных отраслей. Система ГЛОНАСС представляет собой высокоинтеллектуальный продукт военно-промышленного комплекса, наиболее яркий реальный пример конверсии, который предоставлен военными для широкого гражданского использования. Официально начало работ по созданию ГЛОНАСС было положено в декабре 1976 года специальным постановлением ЦК КПСС и Совета Министров СССР. Данный проект являлся продолжением развития отечественной навигационной спутниковой системы, начатой программой «Циклон». Всего с октября 1982 г. по декабрь 1998 г. на орбиту были выведены 74 КА «Ураган» и 8 массово-габаритных макетов. В период развертывания системы 6 «Ураганов» оказались утерянными из-за отказов разгонного блока 11С861. Согласно оценкам, проведённым в 1997 году, на развёртывание ГЛОНАСС было потрачено около 2,5 млрд долларов. В августе 2001 года была принята федеральная целевая программа «Глобальная навигационная система», согласно которой полное покрытие территории России планировалось уже в начале 2008 года, а глобальных масштабов система достигла бы к началу 2010 года. Для решения данной задачи планировалось в течение 2007, 2008 и 2009 годов произвести шесть запусков РН и вывести на орбиту 18 спутников - таким образом, к концу 2009 года группировка вновь насчитывала бы 24 аппарата.

Технология ГЛОНАСС базируется на трех подсистемах:

.     подсистемы космических аппаратов;

2.      подсистемы контроля и управления;

.        подсистемы навигационной аппаратуры потребителей.

Подсистема космических аппаратов системы ГЛОНАСС состоит из 24 космических аппаратов, находящихся на круговых орбитах высотой 19100 км, в трех орбитальных плоскостях. В каждой орбитальной плоскости размещаются по 8 спутников с равномерным сдвигом. Такая конфигурация позволяет обеспечить непрерывное и глобальное покрытие земной поверхности и околоземного пространства навигационным полем. Космические аппараты «Глонасс-М» со сроком активного существования 7 лет излучают навигационные спутниковые сигналы в двух частотных диапазонах L1 и L2.


Подсистема контроля и управления состоит из Центра управления системой ГЛОНАСС и сети станций измерения, управления и контроля, рассредоточенной по всей территории России. В задачи ПКУ входят контроль правильности функционирования космических аппаратов системы ГЛОНАСС и выдача команд управления.

Навигационная аппаратура потребителей предназначена для приема навигационных сигналов спутников ГЛОНАСС и вычисления собственных координат, скорости и времени. Технические характеристики и потребительские свойства навигационной аппаратуры потребителей, используемой для личных нужд пользователей (по усмотрению производителей) могут подтверждаться системами добровольной сертификации. Аппаратура, используемая в качестве средства измерения, в соответствии с российским законодательством, подлежит процедуре обязательной сертификации.

Современные средства спутниковой навигации уже сейчас широко используются в различных областях социально-экономической сферы и позволяют выполнять:

·    навигацию наземных, воздушных, морских, речных и космических средств, управление транспортными потоками на всех видах транспорта, контроль перевозок ценных и опасных грузов, контроль рыболовства в территориальных водах, поисково-спасательные операции, мониторинг окружающей среды;

·        геодезическую съемку и определение местоположения географических объектов с сантиметровой точностью при прокладке нефте- и газопроводов, линий электропередач, в строительстве;

·        синхронизацию в системах связи, телекоммуникаций и электроэнергетике;

·        решение фундаментальных геофизических задач;

·        персональную навигацию индивидуальных потребителей.

Система мониторинга автотранспорта обеспечивает:

·    Спутниковый контроль транспорта - соблюдения режимов работы

·        Повышение эффективности использования транспортных средств и специальной техники

·        Предотвращение возможности хищения топлива

·        Снижение затрат и цены на ремонт транспорта

·        Выявление недобросовестных работников

·        Повышение эффективности планирования маршрутов и безопасности грузоперевозок

·        Статистику и анализ деятельности автопарка и т.д.

ГЛОНАСС и GPS позволяет создавать специализированные отраслевые системы мониторинга транспорта. ОАО «КНИИТМУ» - ведущий разработчик и производитель уникальных отраслевых систем спутникового мониторинга транспорта, системный интегратор решений «под ключ». Уникальность систем спутникового слежения заключается в их сложной архитектуре построения и в функциональных возможностях, в которых учтены узкоотраслевые специфические задачи, а также в оптимальном соотношении цена - качество.

Таким образом, актуальность данной темы состоит в том, что после установки системы АСУ-ГХ на транспортные средства муниципальных хозяйств мы получаем не только экономические выгоды, но и разгружаем улицы от холостых пробегов городского транспорта, улучшаем экологическое состояние.

Цель дипломной работы - разработка мероприятий по внедрению системы мониторинга транспорта АСУ-ГХ.

Для решения данной цели следует выделить следующие задачи:

.     Исследовать методы и технологии технико-экономического анализа и обоснования проектных решений.

2.      Дать краткую характеристику предприятия.

.        Проанализировать организацию производства базовых и типовых вариантов систем мониторинга городского транспорта.

.        Провести сравнительный технико-экономический анализ системы АСУ-ГХ.

.        Обосновать экономические эффекты от предложенных мероприятий.

Объект исследования - Открытое Акционерное Общество «Калужский научно-исследовательский институт телемеханических устройств»-ОАО «КНИИТМУ» экономический обоснование технический эксплуатационный

Предмет исследования - организация производства и технико-экономическое обоснование производства системы АСУ-ГХ (на примере ОАО «КНИИТМУ»).

В первой главе «Исследование методов и технологий технико-экономического анализа и обоснования проектных решений», я изучал цели , задачи, содержание технико-экономического анализа, систему технико-экономических показателей и их прогнозирование.

Во второй главе «Деятельность предприятия ОАО «КНИИТМУ»», рассматривается его деятельность, типы продукции, конкуренты, основные рынки сбыта. Проводится анализ производства Автоматической Системы Управления.

В третьей главе «Разработка мероприятий по внедрению системы АСУ-ГХ», даются технические характеристики и параметры систем, проводится обоснование экономического эффекта от внедрения системы.

Глава 1. Исследование методов и технологий технико-экономического анализа и обоснования проектных решений

.1 Цель, задачи и содержание технико-экономического анализа

Любой анализ представляет собой разбор, разложение на составляющие части. Как одна из разновидностей, технико-экономический анализ - это систематизированная совокупность методов, способов, приемов, используемых для получения выводов и рекомендаций экономического характера в отношении некоторого субъекта хозяйствования. Процедура проведения анализа состоит в том, чтобы разбить проблему на составляющие части, более доступные для изучения, используя специальные методы, способы, прием, решить отдельные задачи и, объединив их, получить общее решение проблемы. Такова диалектика познания, которая базируется на единстве анализа и синтеза как научных методов изучения реальности.

Высокий технический уровень проектной разработки объекта (изделия, технологического процесса, материала и др.) не обеспечивает в полной мере целесообразность ее внедрения в производство, так как затраты на создание, капитальные вложения, себестоимость могут оказаться чрезмерно большими с точки зрения потенциального потребителя.

Для принятия в производство новой разработки необходим тщательный технико-экономический анализ (ТЭА), т.е. исследование взаимосвязей технических, организационных и экономических параметров и показателей, позволяющее найти наилучшее проектное решение при выбранном критерии.

ТЭА предусматривает комплексное сравнение по проектным вариантам и с конкурирующими объектами основных технических параметров и экономических показателей, формирующих заданный критерий, для выбора наилучшего вари анта по максимуму (или минимуму) целевой функции.

Теоретические положения ТЭА базируются на работах выдающихся ученых:

Д.Б. Кларка (1847-1938) - теория предельной полезности;

А. Маршалла (1842-1924) - теория издержек производства;

В. Леонтьева (1906-1994) - теория соотношения затрат и выпуска;

Л. Канторовича (1912-1986) - теория и методы оптимизации проектных решений и др.

Какие же основные проблемы и задачи приходится решать при организации проведения ТЭА проектных решений в системе создания и освоения новой техники (СОНТ)?

Во-первых, своевременность ТЭА с целью исключения потерь, возникающих при его проведении post factum. Анализ должен пронизывать весь процесс СОНТ - от маркетинговых исследований до освоения производства. Переход от предыдущего к последующему этапу создания техники возможен только при удовлетворении требований заказчика, реализуемых на данном этапе, и при полной уверенности в эффективности принятых решений.

Во-вторых, важна надежность ТЭА, его объективность. Анализ должен основываться на тщательных маркетинговых исследованиях; научно обоснованной методике; независимой вневедомственной экспертизе.

В-третьих, необходимо применять принципы моделирования для обеспечения прямой и обратной связи. Экономико-математические модели должны «встраиваться» в процесс проектирования и приводить к получению оптимальных технико-экономических решений. Это позволит перейти от систем автоматизированного проектирования (САПР) к системам автоматизированного технико-экономического проектирования (САТЭП).

В-четвертых, надо учитывать вероятностный характер рас четов, основанных в большинстве на маркетинговых исследованиях, статистических данных, а также экспертных оценках. В оптимизируемых технических параметрах необходимо предусматривать определенный допуск на неточность расчетов.

В-пятых, учитывать несоответствие между информационной базой, основывающейся, как правило, на статистике и опыте прошлых лет, и прогнозным характером расчетов.

Пути решения перечисленных задач и проблем ТЭА рас смотрены в данном учебном пособии.

Качество проектных решений определяет конкурентоспособность изделия, эффективность его производства и эксплуатации и в значительной степени - конкурентоспособность производителя или пользователя.

Проектные решения - решения, касающиеся конструкции объекта (изделия машино- или приборостроения) и технологии его изготовления (этим определением не охватывается весь спектр проектных решений, так как в широком понимании к ним относятся, например, и управленческие решения, которые в данном пособии не рассматриваются). Проектные решения могут приниматься на различных этапах жизненного цикла изделия.

Жизненный цикл - период времени от начала работ по созданию изделия до его утилизации; он включает такие этапы, как:

• предпроектное исследование;

• проектно-конструкторская и технологическая разработка;

• подготовка и освоение производства;

• производство;

• эксплуатация;

• утилизация.

В процессе предпроектного исследования формируются параметры и показатели технического задания (ТЗ) на проектирование на основе анализа и прогнозирования технического уровня конкурентных изделий, а также на основе изучения, анализа и прогнозирования потребностей рынка. Следовательно, принимаемые решения относятся к номенклатуре и уровню тех показателей, которые должен обеспечить конструктор при разработке изделия в целях соответствия потребностям рынка и конкурентоспособности.

В ТЗ включается очень ограниченный круг показателей, определяющих в основном функциональное назначение изделия. Например, в ТЗ на проектирование автомобиля включаются тип автомобиля; тип двигателя и трансмиссии; грузоподъемность (пассажировместимость); максимальная скорость; объем выпуска; лимитная, т.е. максимально допустимая, цена автомобиля.

На этапе проектно-технологической разработки решения принимаются по:

• принципиальным, функциональным, структурным, кинематическим и прочим схемам изделия;

• уровню надежности;

• уровню унификации;

• уровню, технологичности;

• выбору материалов;

• технологии изготовления и т.п.

Как известно, проектно-технологическая разработка осуществляется поэтапно в соответствии со структурной иерархией объекта (системы, подсистемы, узлы, детали).

Типовое содержание стадий и этапов разработки приведено в табл. 1.1.

Таблица 1.1 Типовое содержание стадий и этапов разработки

Стадия разработки

Содержание работ

1. Предпроектные исследования

Анализ и прогнозирование уровня техники в данной области и в смежных областях; исследования проблемных вопросов; анализ предполагаемых условий эксплуатации; рекомендации по параметрам изделия и техническим условиям; анализ рынка и установление перспективного объема выпуска.

2. Техническое задание (ТЗ) и техническое предложение

Поиск и изучение патентной, научной и нормативной информации. Разработка и согласование с заинтересованными организациями ТЗ на проектирование. Технико-экономическое обоснование целесообразности разработки. Выяснение принципиальных путей создания изделия, уточнение общего объема работ, сроков выполнения и затрат.

3. Эскизный проект (ЭП)

Составление и проработка принципиальной и кинематической схем изделия. Компоновка. Проведение основных расчетов. Выбор общих конструктивных и технологических решений. Разработка чертежей общего вида. Проектирование и изготовление макета изделия и его наиболее сложных функциональных частей.

4. Технический проект (ТП)

Доработка чертежей и схем по результатам защиты ЭП. Определение уровня унификации и стандартизации. Расчеты на прочность и надежность. Технологическая отработка. Макетирование составных частей.

5. Рабочий проект

Доработка конструктивных и схемных решений по результатам защиты ТП. Создание рабочей документации и передача ее в опытное производство. Изготовление деталей и сборочных единиц. Общая сборка изделия, наладочные работы, Испытания. Корректировка документации по результатам испытаний, Испытания на надежность. Проведение соответствующих экспертиз (патентной, по уровню стандартизации). Передача документации и опытного образца заказчику.


На этапе освоения производства принятые решения уточняются и дорабатываются в соответствии с возможностями производства и результатами испытаний опытных образцов; в документацию вносятся конструкторские и технологические изменения, позволяющие повысить уровень технологичности и унификации и, в целом, качество объекта.

На этапе производства продолжается уточнение конструкции и технологии, направленное главным образом на снижение себестоимости изделия и уменьшение производственного брака.

В процессе эксплуатации разработчики совершенствуют изделие, используя обратную связь (в виде рекламаций потребителя или целенаправленно налаженного сбора статистической информации о поведении объекта в тех или иных условиях), и принимая соответствующие решения по изменению конструктивных, технологических и прочих характеристик.

На любом этапе жизненного цикла проектные решения преследуют одну главную цель - создать изделие, в наибольшей степени удовлетворяющее конкретного потребителя по техническим и экономическим показателям и обеспечивающее разработчику и производителю снижение затрат или - увеличение прибыли.

Потребитель выбирает изделие среди функциональных аналогов-конкурентов с целью получить максимальный эффект от использования этого изделия. Чем выше качество, чем лучше технические параметры, тем эффект больше. Однако производитель может обеспечить эти лучшие показатели, только вкладывая дополнительные средства в проектирование и изготовление более качественного изделия.

Этот компромисс в условиях рыночной экономики решает цена, которая, с одной стороны, благодаря повышению качества и увеличению объема продаж должна принести прибыль изготовителю; с другой стороны, за счет свойств, более удовлетворяющих потребителя, нежели свойства аналогов-конкурентов, принести прибыль потребителю.

Следовательно, для принятия решения необходимо вы явить интересующие потребителя параметры и показатели и установить, как они влияют друг на друга. Часто даже для технических показателей улучшение одних приводит к ухудшению других, что требует компромиссных решений.

Технико-экономический анализ проектных решений - это исследование взаимосвязи технических, организационных и экономических параметров и показателей объекта, позволяющее найти наилучшее проектное решение при выбранном критерии. Такое исследование может быть также названо параметрическим ТЭА.

Следовательно, основная предпосылка ТЭА - возможность альтернативных решений, а задача ТЭА - обеспечение наилучшего решения при выборе схемы и материала объекта, технологии его изготовления и т.п. на конкретной стадии жизненного цикла изделия.

Поскольку объектом технико-экономического анализа могут служить как изделия в целом, так и подсистемы, агрегаты, узлы и детали изделия, объем информации увеличивается по ходу создания объекта, благодаря чему появляется возможность проверки и корректирования принятых решений. Процесс технико-экономического проектирования превращается в ряд последовательных итераций по частным критериям, обеспечивающим в итоге

наилучшее решение в соответствии с глобальным критерием, принятым для проекта в целом.

Последовательность и методика проведения параметрического ТЭА не зависят от объекта, поставленной задачи и стадии разработки объекта.

Основные этапы проведения параметрического ТЭА:

• постановка задачи;

• формирование системы технических и экономических показателей;

• выбор критерия;

• сбор и анализ информации; установление области изменения параметров и показателей, а также условий производства и эксплуатации объекта;

• прогнозирование показателей;

• разработка технико-экономических и экономике - математических моделей; формализация критерия;

• выполнение расчетов;

• анализ результатов и оценка чувствительности; систематизация информации и принятие решения.

При проектировании сложных технических систем используют понятие о внешних и внутренних параметрах и показателях.

Внешние характеризуют систему с точки зрения потреби теля (надежность, производительность, помехоустойчивость, скорость передачи информации и пр.), а внутренние оценивают систему и ее иерархию (изделие - агрегат - узел - сборочная единица - деталь) с точки зрения разработчика. Подобное деление условно, но весьма полезно при выработке технического задания на проектирование и при оптимизации. При этом целесообразно целевую функцию и ограничения на внешние параметры выразить через внутренние параметры и показатели.

1.2 Система технико-экономических показателей изделия

Задачей разработчиков является создание устройства заданного функционального назначения, удовлетворяющего требованиям определенного сегмента рынка (требованиям конкретных потребителей) и соответствующего заданным условиям эксплуатации. Следовательно, изделие должно обладать определенными свойствами.

Свойство - объективная особенность изделия, которая может проявляться при его создании или эксплуатации. Существуют свойства, которые характеризуют изделие как объект проектирования (например, конструктивная преемственность, новизна, сложность, патентная чистота и пр.), как объект производства (материалоемкость, трудоемкость и пр.), как объект эксплуатации (производительность, мощность, скорость, безопасность и т.д.).

Совокупность этих свойств, обусловливающих пригодность к удовлетворению определенных потребностей, формирует качество изделия. Показатель качества - количественная характеристика одного из свойств. Таким образом, показателями качества могут быть любые показатели и пара метры изделия, определяющие уровень удовлетворения определенных потребностей, т.е. уровень качества.

Одна из классификаций показателей представлена в табл. 1.2.

Таблица 1.2 Классификация показателей качества

Признак классификации

Показатели

Характеризуемые свойства

Назначения, надежности, технологичности, эргономичности, эстетические, экологические, стандартизации и унификации, безопасности, транспортабельности, патентно-правовые

Единицы измерения

Натуральные Стоимостные

Количество характеризуемых свойств

Единичные (частные) Комплексные (обобщенные)

Форма использования

Абсолютные Относительные

Характер получения

Задаваемые (регламентируемые) Выбираемые Расчетные Прогнозируемые


Относительные показатели качества используются в двух разновидностях:

в виде отношения между различными абсолютными показателями одного изделия (например, эксплуатационные расходы на единицу мощности, р/вт, или производительности, р/шт.); такие показатели называются удельными, или расходными -хj,

в виде отношения абсолютных показателей проектируемого изделия к тем же абсолютным показателям изделия, принятого за базу для сравнения - хi отн,

Единичные показатели относятся только к одному из свойств, комплексные служат для оценки изделия по не скольким наиболее важным свойствам.

Технический уровень изделия - это относительная характеристика качества, основанная на сопоставлении значений ряда показателей, определяющих техническое совершенство оцениваемого изделия, с базовыми значениями. В качестве базовых при этом используют показатели перспективных изделий или лучших образцов отечественной или зарубежной техники, аналогичной по функциональному назначению и условиям эксплуатации.

Сравнивать различные варианты разрабатываемой техники, отличающиеся множеством показателей, по-разному влияющих на технический уровень, весьма сложно. Поэтому стремятся использовать обобщающий показатель в виде главного или средневзвешенного.

Главный показатель отражает, как правило, основное на значение изделия. Желательно, чтобы он был представлен в виде функциональной зависимости от остальных единичных показателей. Если функциональной зависимости не существует, можно оценивать технический уровень только по главному показателю, а остальные учитывать в виде ограничений.

Рассмотрим группирование показателей в соответствии с теми свойствами, которые они характеризуют.

Показатели назначения характеризуют изделие как объект эксплуатации и являются определяющими при разработке изделия. Они выражают основные функции изделия и определяют область его применения (производительность, точность, мощность, скорость, быстродействие и т.п.).

Показатели технологичности характеризуют изделие как объект производства (производственная технологичность) и как объект эксплуатации (эксплуатационная технологичность). Это, как правило, расходные показатели, оценивающие расход массы материалов, труда, энергии при изготовлении или использовании изделия. Основные показатели производственной технологичности - материалоемкость, трудоемкость, энергоемкость и технологическая себестоимость.

Технологическая трудоемкость определяется временем, затрачиваемым основными производственными рабочими на изготовление единицы продукции, tт, ч/шт.

Технологическая себестоимость - стоимостной показатель, и представляет собой затраты на осуществление технологических процессов изготовления изделия, Sт , руб./шт.

Эксплуатационная технологичность характеризуется расходом вспомогательных материалов, энергии, топлива, а так же трудоемкостью обслуживания изделия при использовании.

Показатели технологичности очень важны, так как в машиностроении затраты на материалы составляют 50-70%, а затраты на заработную плату 10-20% полной себестоимости изделия.

В ТЗ часто включают базовые значения технологичности, которые определяют по задаваемым удельным показателям.

Показатели надежности (вероятность безотказной работы, наработка на отказ, долговечность, ремонтопригодность и др.) во многом определяют эффективность эксплуатации изделия, так как снижение надежности уменьшает результативность работы и увеличивает эксплуатационные затраты. Для неремонтируемых изделий показателем безотказности служит вероятность безотказной работы, для ремонтируемых - наработка на отказ.

Показатель, характеризующий долговечность по наработке, называется средним ресурсом; показатель, характеризующий долговечность по календарному времени - средним сроком службы. Ремонтопригодность характеризуется средним временем восстановления и такими показателями, как коэффициент готовности и коэффициент технического использования.

Показатели стандартизации и унификации характеризуют соотношение оригинальных, стандартизованных и заимствованных узлов и деталей, их долю в общей номенклатуре узлов и деталей. Повышение уровня стандартизации и унификации позволяет сократить затраты на разработку конструкции и технологии, расширить области применения массового и серийного производства и, следовательно, снизить себе стоимость изделия, повысить его ремонтопригодность и уменьшить эксплуатационные затраты.

Патентно-правовые показатели включают:

• показатель патентной чистоты, который позволяет судить о возможности беспрепятственной реализации изделия в РФ и за рубежом;

• показатель патентной защиты, позволяющий судить о воплощении в изделии отечественных технических решений, защищенных патентами в РФ и странах предполагаемого экспорта.

Эргономические показатели характеризуют систему «человек-изделие» и включают гигиенические (освещенность, температура, влажность, напряженности магнитного и электрического полей, запыленность, излучение, токсичность, шум, вибрация, перегрузки), антропометрические, физиологические и психологические показатели.

Эстетические показатели отражают информационную выразительность, рациональность формы, целостность композиции, совершенство производственного выполнения и стабильность товарного вида.

Экологические показатели характеризуют особенности продукции, определяющие уровень вредных воздействий на окружающую природную среду, которые возникают при эксплуатации или потреблении продукции (содержание вредных примесей в выбросах, излучение при хранении и транспортировании и т.п.).

Показатели безопасности определяют степень защиты человека при эксплуатации или потреблении продукции, например, вероятность безопасной работы человека в течение определенного времени, сопротивление изоляции токоведущих частей, электрическая прочность высоковольтных цепей и пр.

Показатели транспортабельности характеризуют приспособленность изделия к перемещениям в пространстве, не связанным с эксплуатацией или потреблением, и чаще всего определяются затратами на перемещение.

Эргономические и экологические показатели, а также показатели безопасности должны соответствовать требованиям и нормам российских или международных стандартов. Для многих изделий производственно-технического назначения разработаны нормативные документы по определению круга показателей, используемых при составлении карты технического уровня.

Экономические показатели в той же степени, как и технические, отражают интересы разработчика, производителя или потребителя. К ним могут быть отнесены затраты на разра ботку (создание) изделия; затраты на подготовку и освоение его производства на предприятии-изготовителе; капитальные (единовременные) вложения в производство; капитальные вложения в сфере эксплуатации; себестоимость и цена изделия; текущие эксплуатационные затраты потребителя; затраты на утилизацию и т.п.

При разработке и совершенствовании сложных технических систем (СТС) приходится учитывать десятки показателей. Они классифицируются

• по виду: стандартизационные, конструкционные, производственные, эксплуатационные, экономические;

• по способу получения: задаваемые (стандартами, заказчиком и т.п.), выбираемые или получаемые при компоновке, рассчитываемые;

• по стадиям проектирования, поскольку многие параметры и показатели выявляются постепенно, в процессе проектирования.

Совокупность технических и экономических показателей определяет востребованность изделия рынком, его конкурентоспособность. При этом экономические показатели, как правило, являются функцией технических (например, достижение более высокой производительности, точности, надежности, безопасности и пр. требует соответствующих затрат на разработку и производство).

При анализе функциональной и структурной взаимосвязи показателей, а также при определении их значимости можно использовать представление совокупности показателей в виде иерархической структуры, подобной иерархической структуре самого объекта ТЭА. Группирование и иерархия показателей зависят от типа проектного решения, предпочтений потребителей, задач технико-экономического анализа и пр. и выявляются в результате опросов потребителей и экспертного анализа. На рис. 1 и рис. 2 приведены различные подходы к формированию обобщающего показателя технического или технико-экономического уровня. Использование таких схем позволяет более обоснованно определить весомость единичных показателей качества для оценки влияния их динамики на качество объекта в целом.

Рисунок 1.1 Схема формирования обобщающего показателя технического уровня

В схеме, представленной на рис. 2, технические и экономические показатели включены в единую систему определения обобщающего показателя технико-экономического уровня. Такой подход наиболее правомерен на ранних стадиях проектирования, когда объем информации об изделии крайне мал и прогнозировать экономические показатели можно лишь с очень небольшой точностью.

Рисунок 1.2 Схема формирования обобщающего показателя технико-экономического уровня автомобиля

При построении иерархических схем параметров и показателей изделия целесообразно следовать следующим правилам:

) при наличии взаимозависимых показателей один лучше исключить;

) взаимосвязь показателей вводится в экономико-математическую модель в виде ограничений;

) показатели, уровень которых устанавливается или ограничивается стандартами или общепринятыми нормами (например, нормы безопасности), вводятся в модель как граничные условия.

На разных этапах жизненного цикла изделия в схему могут быть включены различные показатели, поскольку меняются требования потребителей и условия эксплуатации; по аналогичным причинам может меняться и значимость показателей.

Процесс отбора, ранжирования и определения уровня технических показателей должен осуществляться параллельно с техническим прогнозированием, т.е. определением основных направлений развития изделий данного вида. Техническое, или инженерное проектирование использует как исследовательское (поисковое) прогнозирование, отражающее естественный процесс развития техники, так и нормативное прогнозирование, связанное с постановкой и решением нормативной задачи.

Методы прогнозирования могут быть фактографическими (формализованными) или экспертными. Фактографические методы, основанные на статистических данных (регрессионные модели, факторный анализ, экстраполяция и метод огибающих кривых), позволяют получить прогноз эволюционного развития изделия и не всегда могут предсказать скачкообразные изменения параметров и показателей.

Некоторые структурно-аналитические методы (также относящиеся к формализованным) - морфологический анализ, сценарный анализ, дерево целей (т.е. анализ иерархий), так же как и экспертные методы позволяют предусмотреть не только эволюционные, но и революционные изменения в развитии качества изделия. Например, используя метод огибающих кривых, можно определить наиболее вероятные сроки перехода к принципиально новым видам продукции или технологии на основе формализованного описания огибающей кривой и последующей экстраполяции тенденций.

1.3 Прогнозирование экономических показателей

Одна из сложнейших задач - определение затрат, связанных с разработкой, изготовлением и эксплуатацией объекта ТЭА, т.е. таких показателей, как себестоимость и цена, капитальные вложения (инвестиции) в разработку и производство, эксплуатационные издержки.

Прогнозирование себестоимости изделия. Метод расчета себестоимости по статьям калькуляции требует, прежде всего, определения материалоемкости по рабочим чертежам и трудоемкости по нормам времени, зафиксированным в технологических картах. Поэтому он может быть использован в ТЭА только на стадии рабочего проектирования и изготовления опытного образца, а также при подготовке и освоении производства. На более ранних этапах проектирования объем ин формации об изделии крайне мал, известны только те пара метры и показатели, которые включаются в ТЗ на разработку в виде технических требований. Однако именно на этапах ТЗ и технического предложения необходимо принять решение о целесообразности создания объекта с определенными свойствами. Следовательно, во-первых, прогнозирование себестоимости нужно рассматривать как процесс последовательного приближения и уточнения, начиная его с самых ранних этапов разработки и вплоть до серийного изготовления изделия. Во-вторых, необходимо располагать такими методами прогнозирования, которые позволили бы при минимуме информации дать ответ с достаточной точностью.

Кроме того, надо учитывать, что величина себестоимости определяется не только техническими характеристиками изделия, но и организационными условиями его производства, объемом выпуска, отраслевыми особенностями, т.е. целым рядом случайных, вероятностных факторов. Поэтому важен анализ фактических затрат на создание аналогичных объектов и после дующее использование методов математической статистики.

Метод удельных весов (метод структурной аналогии) использует статистические данные о структуре себестоимости изделий, аналогичных проектируемому. В основе метода заложены следующие предпосылки:

) наибольший удельный вес в себестоимости многих ма шин имеют материальные затраты (до 50-70%), и точность их оценки определяет точность прогнозирования себестоимости;

) структура себестоимости меньше зависит от изменения

конструкционных параметров и показателей, чем сама

себестоимость.

Поэтому для определения себестоимости изделий, похожих по конструкции и выпускаемых в условиях одного типа производства, предлагается использовать следующие зависимости:

(1.1)

где sm - сумма затрат на материалы и комплектующие при изготовлении изделия;

ум - удельный вес затрат на материалы и комплектую щие в производственной себестоимости изделий-аналогов (во многом величина ум зависит от типа про изводства; так, если в массовом производстве в среднем ум = 55-70%, т.е. S ~ 1,5 Sм, то в условиях единичного

производства ум = 25-30%, т.е. S ~ 4 Sм,;

n„ - номенклатура используемых материалов;

Gмi, - норма расхода материалов i-го вида на изделие;

Цмi; - цена единицы измерения i-го материала;

nки - номенклатура используемых полуфабрикатов и комплектующих изделий

Цкиi - цена единицы комплектующих изделий i-го вида;киi, - количество комплектующих изделий i-го вида.

Норма расхода материала определяется, как


где Сч - масса детали после обработки,

kим - коэффициент использования материала.

В основе метода удельных показателей лежит предположение о прямой пропорциональной зависимости между себестоимостью и основным техническим параметром, в качестве которого чаще всего выбирается масса или мощность изделия. Наибольшее применение метод находит для таких изделий машино- и приборостроения, в которых усложнение конструкции связанно, прежде всего, с увеличением числа деталей, с увеличением материалоемкости. Основное преимущество метода в его простоте и быстром получении результата. В специализированных конструкторских организациях создаются нормативы удельных затрат на 1кг или 1т конструкции для машин определенного вида и сходных между собой по конст руктивной сложности, мощности, габаритам.

Себестоимость нового изделия Sн рассчитывается как

Sн = SyG GH

где SyG - удельная себестоимость единицы массы, руб/кг,

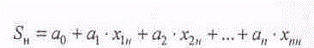
GH - масса нового изделия, кг. В общем виде модель можно представить следующим образом:

Sн = Syxi xi

где xi - параметр, определяющий величину себестоимости для данного вида изделий,

Syxi - удельная себестоимость, т.е. себестоимость единицы измерения i-го параметра, рассчитываемая по статистическим данным как

Syxi = (åSaj/xij) / m

где Saj - себестоимость j-го изделия-аналога,

xij - значение i-го параметра для j-го изделия,- количество изделий-аналогов, по которым есть необходимая статистика.

Основной недостаток метода - низкая степень точности. Расчеты на основе метода удельных показателей можно попытаться уточнить, используя дифференцированные удельные показатели - удельную материалоемкость и удельную трудоемкость. При этом раздельно рассчитывают затраты на материал Sm и заработную плату основных производственных рабочих Lо:

Sm = GнGyЦмср

Lо = tyGнCtср

где Gy - расход материалов на единицу массы конструкции, кг/кг (иначе - средний удельный вес массы материалов в общей массе конструкции для аналогичных изделий); Gн - масса конструкции, кг (задана в ТЗ);

Цмср - средняя цена одного кг материалов, используемых в конструкции, руб/кг (ее можно определить как средневзвешенную по аналогичным конструкциям,


n - число наименований используемых материалов,

i, - масса i-го материала,

Цмi - цена единицы измерения i-го материала;

ty - средняя трудоемкость изготовления единицы массы, нормо-часы/кг,

Ctср - средняя тарифная ставка рабочего, руб/н-час.

Далее можно определить прогнозируемую себестоимость проектируемого изделия Sн, руб/шт., используя стандартную формулу расчета:


где a - коэффициент, учитывающий дополнительную заработную плату.

b - коэффициент, учитывающий отчисления в социальные фонды,

kкосв. - коэффициент косвенных (производственных и управленческих)расходов,ком. - коэффициент коммерческих (непроизводственных) расходов.

Для расчета себестоимости проектируемого изделия можно использовать линейные зависимости типа


где хin - учитываемые параметры изделия или производственные и эксплуатационные факторы, 1 < i <n;

аi - коэффициенты, отражающие степень влияния i-го параметра на себестоимость.

Значения коэффициентов определяют методом наименьших квадратов, используя статистическую информацию об изделиях-аналогах. Полученная зависимость позволяет оценить точность прогнозирования себестоимости методом корреляционного моделирования.

Если изменение себестоимости от рассматриваемых пара метров имеет явно нелинейный характер, используют степенные зависимости типа


Их приводят к линейному виду путем логарифмирования и решают так же, как линейные.

Рассмотренные методы прогнозирования себестоимости на ранних стадиях проектирования основаны на использовании статистической информации об изделиях-аналогах. Поэтому особо важное значение имеет качество исходного статистического материала и, прежде всего, обоснованность выбора параметров и факторов, включаемых в модель, и отсутствие их взаимного влияния; достаточный объем выборки, определяющий надежность и достоверность получаемых зависимостей; однородность данных, т.е. отсутствие аномальных значений.

Для прогнозирования себестоимости сложных изделий и систем используют агрегатный метод, при котором


где nc -число агрегатов и блоков собственного изготовления;агрj - себестоимость отдельных агрегатов, узлов и блоков, определенная перечисленными выше методами;n - число покупных агрегатов и блоков;

Цагрj - оптовая цена покупных комплектующих изделий i-го вида;

kтз - коэффициент транспортно-заготовительных расходов;

m - коэффициент, учитывающий расходы на сборку, монтаж и наладку изделия (среднее значение m = 1,1-1,25 для крупносерийного производства). Особо отметим, что при прогнозировании себестоимости базой прогноза служит информация за прошедшие периоды времени и поэтому необходима корректировка полученных значений. Если, например, значение определялось несколько лет назад, то и прогнозное значение Sн соответствует тем ценам, нормам и нормативам, которые существовали в то время. Однако при высоких темпах инфляции значение будет определяться не только изменением параметров, но и изменением индексов цен на материалы, комплектующие изделия, тарифов на транспортировку, электроэнергию, ставок заработной платы и т.п. Учесть эти изменения можно, используя данные о структуре себестоимости и соответствующие индексы цен:


где Sa- значение себестоимости изделия-аналога;

gi - удельный вес соответствующего элемента себе стоимости (например, удельный вес затрат на материалы в себестоимости изделия gм, удельный вес затрат на комплектующие gки удельный вес затрат на электроэнергию gэ удельный вес заработной платы gзп, удельный вес амортизационных отчислений gам);

J2i,J1i - индексы цен на материалы, электроэнергию и т.п. в том году, для которого определяется прогнозное значение себестоимости, и в том, для которого определялось базовое значение Sa;

gпр - удельный вес не изменяющихся затрат.

Прогнозирование эксплуатационных затрат. Многими исследованиями установлено, что для машин и приборов эксплуатационные издержки, связанные с ремонтом и обслуживанием, за срок службы в несколько раз, а иногда и на порядок превышают себестоимость изготовления машины, например:

Таблица 1.3. Эксплуатационные издержки.

Виды технических изделий

Отношение эксплуатационных издержек за срок службы к себестоимости изготовления

Токарно-винторезные станки

25-50

Токарные автоматы

3-10

Токарные станки с ЧПУ

2-4

Грузовые автомобили

30

Тракторы, экскаваторы, бульдозеры

6-11

Радиотехническая аппаратура

10-12


Следовательно, принимая проектное решение, нельзя игнорировать последующее за ним изменение эксплуатационных издержек.

Перечислим типовые виды эксплуатационных затрат:

·   затраты на материалы и комплектующие изделия, используемые в процессе эксплуатации объекта;

·   заработная плата обслуживающего персонала, в том числе ремонтников;

·   затраты на потребляемые топливо и энергию;

·   амортизационные отчисления.

Величина перечисленных затрат определяется прежде всего условиями эксплуатации и так или иначе связана с пара метрами и показателями объекта, например:

• уровень надежности, обусловленный конструкторским решением, определяет затраты на запасные части при текущем ремонте, а показатель ремонтопригодности - трудоемкость ремонта и, следовательно, затраты на оплату труда;

• мощность двигателя повлияет на энергопотребление;

• автоматизация управления сократит расходы на заработную плату обслуживающего персонала и т.п.

Такие зависимости также можно формализовать и использовать в ТЭА, тем более что часто важна не столько абсолютная величина затрат, сколько ее изменение вследствие принимаемых проектных решений.

Прогнозирование цен на стадии принятия конструкторско-технологических решении - задача весьма непростая. Во-первых, как известно, уровень цены формируется под воздей ствием многих факторов (как внешних, так и внутренних с точки зрения производителя), имеющих самую различную природу, например:

• степень новизны продукции;

• условия конкуренции (тип конкурентного рынка, существование патентной защиты или ноу-хау, наличие или угроза появления товаров-заменителей и т.п.);

• рыночные условия и условия сбыта (круг потребителей и их чувствительность к изменению цены, эластичность спроса, каналы товародвижения и т.п.);

• номенклатура выпускаемой продукции и финансовое со стояние фирмы;

• издержки производства и величина ожидаемой прибыли;

• степень государственного регулирования цен на данную продукцию и т.п.

Следовательно, прогнозирование цены может потребовать исследования и прогнозирования не только собственных единовременных и текущих затрат, но и рыночных условий и их динамики за период СОНТ.

Во-вторых, в задачах ТЭА очень важны принципы, положенные в основу образования цены производителя: является ли цена функцией производственных затрат или цену формируют показатели качества объекта ТЭА, определяемые потребителем?

Множество ценообразующих факторов и разнообразие условий применения продукции приводят к большому разнообразию цен и, соответственно, к необходимости их классификации по различным признакам. Одна из возможных классификаций приведена в табл. 1.4.

Таблица 1.4 Классификация цен.

Признаки классификации цен

Степень свободы изготовителя при назначении цены  Договорная(контрактная) цена  Свободная рыночная цена  Цена, регулируемая государственными органами

Стадия товародвижения  Цена производителя Отпускная (заявленная) цена Оптовая цена Розничная (продажная) цена

Принцип формирования цены производителя  Цена по затратам  Цена безразличия

Специальные условия поставки Различные виды цен по степени учета транспортны, страховых издержек и прочих коммерческих условия

Условия  контракта Цена предложения (исходная цена) Твердая цена Цена с после дующей фиксацией Скользящая цена


В зависимости от условий формирования цены и условий контракта, от степени свободы производителя при назначении цены, от условий реализации и условий налогообложения цена, которую уплачивает потребитель в качестве денежного выражения стоимости товара, может изменяться в достаточно широких пределах.

Цена производителя определяет ту сумму, которую получит от сделки производитель; она включает издержки производства и прибыль производителя.

Однако потребитель получит товар по отпускной цене, увеличенной на сумму налогов, которые производитель пере числит государству - акциза и налога на добавленную стоимость. Если в процесс продвижения товара включаются сбытовые посредники, то цена превращается в оптовую, возрастая за счет наценок, обеспечивающих посредникам возмещение издержек и получение прибыли.

И, наконец, при продаже изделия конечному потребителю оптовая цена превращается в розничную за счет включения торговой наценки, благодаря которой продавец возмещает издержки обращения и получает прибыль. Приведем схему формирования розничной цены.

Таблица 1.5. Схема формирования розничной цены.

Прямые издержки

Косвенные издержки

Производственная себестоимость единицы продукции

Управленческие и коммерческие расходы

Полная себестоимость единицы продукции +

Прибыль производителя

Цена производителя +

НДС, акциз

Отпускная цена +

Издержки и прибыль сбытовой организации

Оптовая цена +

Издержки и прибыль торговой организации


Естественно, чем большее число посредников участвует в продвижении товара от производителя к потребителю, тем выше розничная цена. Например, при самой простой схеме:

«производитель - торговая организация», розничная цена на автомобиль:


При ставке акцизного налога A = 10%, ставке налога на добавленную стоимость Сндс = 20% и торговой наценке Стн =20%,Цроз=1,56 Цпроизв.

Подобный расчет необходим в условиях рыночной конкуренции, поскольку спрос будет формироваться именно розничной ценой. Часто задача решается в обратном порядке: условия конкуренции диктуют производителю розничную цену, которая определяет верхнюю границу цены производителя и, следовательно, верхнюю границу затрат при заданном уровне прибыли.

Таким образом, к элементам розничной цены относятся издержки и прибыль производителя, налоги, издержки и при быль сбытовых и торговых посредников, а также транспортные расходы, страховые сборы, государственные и таможенные пошлины.

Машиностроительное предприятие чаще всего действует на неоднородном рынке, т. е. на таком, где у продавцов есть возможность конкурировать, совершенствуя как технические и прочие свойства продукции, так и коммерческие и организационные условия ее реализации, в то время как покупатель может выбирать товар, руководствуясь спектром его свойств и цен и собственными потребностями и возможностями. В такой ситуации при формировании цены производителя удобно использовать допуск, нижней границей которого служит цена по затратам, а верхней - цена безразличия.

Цена по затратам основывается на издержках производства, связанных с изготовлением единицы продукции данного наименования, и включает такую величину прибыли, которая будет примерно на уровне прибыли других изготовителей аналогичной продукции; в условиях высокой инфляции обеспечит необходимый прирост оборотных средств; позволит предприятию осуществлять техническое совершенствование и модернизацию как производства, так и продукции. Различные методы формирования цены по затратам приведены в табл. 5. В основе всех методов - расчет наценки в процентах к базе формирования цены.

Таблица 1.6 Методы ценообразования

Наименование

База формирования цены

Расчет наценки

Цель метода и расчет цены

1. Метод полных затрат (метод на основе рентабельности производства)

Полная себестоимость единицы продукции 

Желаемая прибыль от реализации / Суммарные затраты на производство 

Обеспечить заданный уровень прибыли на 1 руб. суммарных затрат на производство

2. Метод переменных затрат

Переменные производственные затраты на единицу продукции

(Желаемая прибыль + суммарные постоянные производственные, управленческие и коммерческие затраты) / Суммарные переменные производственные затраты

Обеспечить заданное соотношение между маржинальной прибылью и переменными затратами

3. Метод на основе валовой прибыли

Производственная себестоимость единицы продукции

(Желаемая прибыль + суммарные управленческие и коммерческие затраты) / Суммарные производственные затраты

Обеспечить заданный уровень прибыли на 1 руб. производственных затрат

4. Метод на основе рентабельности активов

Полная себе стоимость единицы продукции

(Желаемая рентабельность активов умножить на стоимость активов)/Планируемый объем производства

Обеспечить заданную рентабельность активов


Выбор метода зависит от задач, которые ставит перед со бой предприятие. Наиболее широко на практике используется первый метод; он связан с калькуляцией полной себестоимости продукции и, следовательно, с распределением косвенных расходов.

Метод переменных затрат не требует распределения постоянных затрат по конкретным изделиям; они погашаются за счет маржинальной прибыли.

Маржинальная прибыль представляет собой разность между выручкой от реализации и суммарными переменными за тратами и включает суммарные постоянные затраты и прибыль. Для одного изделия удельная маржинальная прибыль - разность между ценой и удельными (на единицу продукции) переменными затратами. Чем больше удельный вес маржинальной прибыли в цене, тем больше вклад конкретного изделия в по гашение суммарных постоянных издержек, связанных, как из вестно, не с производством конкретного товара, а с обеспечением деятельности предприятия в целом. Если предприятие уже производит несколько видов продукции, то для нового изделия цена по затратам на краткосрочный период может быть сформирована на основе только прямых переменных издержек, поскольку косвенные расходы покрываются уже освоенной продукцией.

Распространение получил также метод целевого ценообразования, когда прибыль устанавливается не в процентном отношении к издержкам, а является индивидуальной величи ной для каждого конкретного вида продукции. Методика основывается на анализе безубыточности и связана с разделением издержек на переменные и постоянные. В результате получают объем продаж, обеспечивающий при прогнозируемой цене получение целевой прибыли или формируют цену, используя в качестве планируемого объема производства загрузку производственных мощностей на 85-90%.

Цена безразличия- это такая цена, превышение которой приведет к потере интереса потребителя к данной продукции, к падению спроса на нее. Ценность изделия для потребителя определяется его сравнительным превосходством перед изделиями-конкурентами по качественным характеристикам, по этому в основе определения цены безразличия лежат цены изделий-конкурентов, предлагаемых на рынке и являющихся функциональными аналогами рассматриваемого изделия.

Целью планирования себестоимости проведения проекта является экономически обоснованное определение величины затрат на его выполнение. В плановую себестоимость проекта включаются все затраты, связанные с его выполнением, независимо от источника их финансирования. Определение затрат на проект производится путем составления калькуляции плановой себестоимости. Она является основным документом, на основании которого осуществляется планирование и учет затрат на выполнение проекта.

Калькуляция плановой себестоимости проведения проекта составляется по следующим статьям затрат:

. ПРЯМЫЕ РАСХОДЫ:

.1 Фонд оплаты труда

.2 Начисления на ФОТ

.3 Производственные расходы

а) Материалы, сырье, инструмент

б) Спецоборудование

в) Командировки

. НАКЛАДНЫЕ РАСХОДЫ

. ОТЧИСЛЕНИЯ В ФОНДЫ

.1 Внебюджетный фонд

.2 Дорожный фонд

. ПЛАНОВАЯ ПРИБЫЛЬ

СТОИМОСТЬ НТП

. Затраты по работам, выполненным

сторонними организациями

ВСЕГО ЗАТРАТ ПО ТЕМЕ (Сумма п.п. 1-5)

На статью «Фонд оплаты труда» относится основная заработная плата инженерно-технических работников, лаборантов, чертежников, копировщиков и рабочих, непосредственно занятых выполнением конкретного проекта, а также заработная плата работников нештатного (несписочного) состава, привлекаемых к ее выполнению. Размер основной заработной платы устанавливается исходя из численности различных категорий исполнителей, трудоемкости, затрачиваемой ими на выполнение отдельных видов работ, и их средней заработной платы (ставки) за один рабочий день. Исходными данными для расчета основной заработной платы является трудоемкость отдельных видов работ по категориям работающих. Средняя заработная плата за один рабочий день определяется для каждой категории работающих исходя из месячного должностного оклада и количества рабочих дней в месяце.

На статью «Материалы, сырье, инструмент» относятся затраты на сырье, основные и вспомогательные материалы, покупные полуфабрикаты и комплектующие изделия, необходимые для выполнения конкретного проекта.

На статью «Спецоборудование» относятся затраты на приобретение или изготовление специальных приборов, стендов, аппаратов и другого специального оборудования, необходимого для выполнения конкретного проекта. Учет затрат на приобретение приборов и оборудования универсального характера, используемых при проведении многих проектов и включаемых в состав основных фондов учреждения, выполняющего этот проект по этой статье не допускается. Определение затрат по данной статье производится по фактической стоимости приобретения, т. е. по договорной цене с учетом транспортно-заготовительных расходов и затрат, связанных с установкой и монтажом специального оборудования.

На статью «Командировки» относятся расходы на все виды служебных командировок работников, выполняющих задания по конкретному проекту. Расходы на служебные командировки сотрудников аппарата управления, не связанные с непосредственным выполнением НИР, относятся на статью «Накладные расходы».

На статью «Затраты по работам, выполненным сторонними организациями», относятся затраты по оплате всех видов работ, в том числе по изготовлению опытных образцов и макетов, выполняемых непосредственно для конкретного проекта сторонними организациями и предприятиями, а также подчиненными проектному учреждению опытными производствами, состоящими на самостоятельном балансе.

На статью «Прочие прямые расходы» относятся расходы на приобретение и подготовку материалов специальной научно-технической информации, за использование средств телефонной и радиосвязи и другие расходы, необходимые при проведении конкретного проекта.

В статью «Накладные расходы» включаются расходы на управление и хозяйственное обслуживание, которые в равной степени относятся ко всем выполняемым в организации проектам. По этой статье учитываются заработная плата аппарата управления и общехозяйственных служб, затраты на содержание и текущий ремонт зданий, сооружений, оборудования и инвентаря, амортизационные отчисления на их полное восстановление и капитальный ремонт, расходы по охране труда, научно-технической информации, изобретательству и рационализации и т.д.

Глава 2. Деятельность предприятия ОАО «КНИИТМУ»

.1 Характеристика предприятия ОАО «КНИИТМУ»

Калужский научно-исследовательский институт телемеханических устройств образован в 1959 г. как ведущее предприятие отрасли по разработке аппаратуры телеграфной связи.

ОАО «КНИИТМУ» действует в отрасли 52 года, конкурирует на рынке с отечественными предприятиями радиоэлектронной промышленности различных форм собственности с аналогичными направлениями деятельности.

Доля Общества на отечественном рынке радиоэлектронной аппаратуры по основным направлениям деятельности за последние 3 года не изменилась и составляет менее 1%.

За годы работы ОАО "КНИИТМУ" внесло существенный вклад в создание отечественных средств и систем связи для широкого круга заказчиков. Предприятие обладает всеми необходимыми лицензиями и сертификатами. Численность предприятия составляет около 800 человек. Качество разработки и изготовления каждого изделия, его надежность обеспечиваются высокой квалификацией персонала, современными технологиями, научно-техническим заделом, творческим и производственным потенциалом предприятия.20 августа 2010г. ОАО "КНИИТМУ" входит в состав Открытого акционерного общества "Концерн радиостроения "Вега".

Сведения об акционерном обществе:

Полное наименование общества: Открытое акционерное общество «Калужский научно-исследовательский институт телемеханических устройств».

Номер и дата выдачи свидетельства о государственной регистрации в качестве юридического лица: Свидетельство серия 40 № 001129394 от 20.08.2010г. ОГРН: I 104027002694.

Субъект Российской Федерации, на территории которого зарегистрировано общество: Калужская область.

Местонахождение: Российская Федерация. 248000, г. Калуга, ул. К. Маркса, д. 4

Контактный телефон: (4842)74-35-00

Адрес электронной почты: kniitmu@kaluga.net

Основной вид деятельности 73.10: научные исследования и разработки в области естественных и технических наук, в том числе выполнение научно-исследовательских и опытно-конструкторских работ по созданию систем и средств связи, защиты информации, их производство и внедрение.

Общество является правопреемником ФГУП «КНИИТМУ», включенною в перечень стратегических организаций, утвержденный Распоряжением Правительства Российской Федерации oт 20.08.2009г. № 1226-р. Размер уставного капитала 219340000 рублей.

Структура акционерного общества.(Приложение 1)

Приоритетные направлении деятельности акционерного общества:

Основным направлением деятельности ОАО «КНИИТМУ» является разработка, производство, внедрение на объектах заказчиков и авторское сопровождение систем и комплексов телекоммуникации, связи и АСУ (систем и средств помехоустойчивой передачи информации, средств защиты информации), радиоэлектронных систем управления воздушным движением и аэродромного обеспечения (подвижных аппаратных) и гражданской продукции (систем и средств оповещения, систем навигации на основе сигналов глобальных навигационных спутниковых систем и т.д.).

Распределение объемов работ по направлениям деятельности Общества в 2012 году представлено в таблице 2.1.

Таблица 2.1 Группы производимых изделий

Группы производимых изделий

2010

2011

2012

Системы и средства оповещения

4,2%

3,7%

5,3%

Бортовые и наземные системы и комплексы конфиденциальной помехоустойчивой связи Терминальное оборудование связи

65,2%

68,3%

65,4%

Комплексные подвижные аппаратные связи

12%

12,7%

11,8%

Автоматизированные системы управления и мониторинга подвижных объектов.

18,6%

15,3%

17,5%


Структурные изменения в долях товаров по направлениям деятельности но товарным рынкам, на которых работает акционерное общество, незначительны.

Увеличение доли работ по направлению «Радиоэлектронные системы управления воздушным движением и аэродромного обеспечения» но сравнении) с 2011 годом произошло за счет роста стоимости изделия П-537УМ после введения в его состав дополнительного современного оборудования.

Увеличение объема работ по направлению «Продукция гражданского назначения» произошло за счет заключения государственных контрактов на выполнение ОКР «Разработка базовой технологии создания рядов унифицированных электронных модулей для периферийных устройств ввода-вывода данных, применяемых в жестких условиях эксплуатации» и «Разработка базовой технологии создания унифицированной системы доведения оперативной и экстренной информации по разнородным сетям связи для зон размещения потенциально опасных объектов» в рамках ФЦП «Развитие электронной компонентной базы и радиоэлектроники» на 2008-2015 годы.

По сравнению с 2011 годом в общей структуре заказов Общества увеличился удельный вес заказов на поставку серийной продукции, в частности:

·    новых изделий 15Э1848, МРНК-1.05, комплексов 15Э1331 и 31111-Г к 15Э1331, изделий Р-098-5, ЭТИ-94, УВКИ, СТК, аппаратных П-537УМ;

·        уменьшился удельный вес заказов на создание научно-технической продукции за счет сокращения объема работ по созданию системы П-95;

·        незначительно уменьшился удельный вес научно-исследовательских и опытно-конструкторских работ за счет завершения работ по заказам РФФИ и переноса Заказчиком сроков продолжения ОКР «Рейс 2000» (Разработка системы передачи данных на базе аппаратуры широкополосного радиодоступа в составе подсистемы (комплекса) связи АСУП НПС).

Прямых сделок по экспорту продукции ОАО «КНИИГМУ» в 2012 году не осуществляло, при этом объем производства экспортной продукции в составе межзаводской кооперации (Р-098-3. Р-098-5 и др.) изменился незначительно.

Основные потребители ОАО «КНИИТМУ» представлены на рис. 2.3

Рис 2.3. Основные потребители

Основные направления работ и продукты предприятия:

·    бортовые и наземные системы и комплексы помехоустойчивой связи;

·        системы и средства оповещения;

·        автоматизированные системы мониторинга и управления подвижными объектами на основе сигналов глобальных навигационных спутниковых систем (ГНСС);

·        аппаратные связи;

·        терминальное оборудование.

Диспетчерские системы и системы оповещения, построенные на базе телефонных сетей, совмещающие задачи связи и оповещения, позволяют существенно экономить средства при создании сетей связи, обеспечивая телефонизацию отдаленных районов.

Институтом разрабатываются, изготавливаются и поставляются комплексы аппаратуры помехоустойчивой связи, способные эффективно работать в жестких условиях эксплуатации, обладающие высокой надежностью и помехоустойчивостью.

Результаты исследований реальных каналов связи различной протяженности, опыт эксплуатации оборудования находят непосредственное применение в новых разработках, в улучшении кодовых конструкций, совершенствовании сетевых алгоритмов.

ОАО «КНИИТМУ» имеет большой положительный опыт создания терминального оборудования связи. Институтом разработан и внедрен в производство ряд факсимильных и телеграфных аппаратов общепромышленного назначения, регистрирующих и приемо-передающих устройств, в том числе для космических орбитальных станций.

В институте ведутся работы по созданию автоматизированных терминалов для цифровых сетей связи, обеспечивающих передачу документальной информации.

Последовательно расширяя области применения создаваемых изделий, в НИИ успешно ведутся работы по проектированию и модернизации узлов передачи данных.

Использование новейших разработок института позволяет существенно увеличить надежность разрабатываемых изделий с одновременным снижением их массогабаритных характеристик.

Значительное место среди разработок НИИ занимает навигационная аппаратура на основе использования сигналов спутниковых навигационных систем GPS/ГЛОНАСС для различных потребителей.

ОАО «КНИИТМУ» разработаны системы мониторинга автотранспорта для нужд органов исполнительной власти, систем наблюдения за маршрутом движения подвижных объектов.

Научные исследования и экспериментальные разработки, ученые и специалисты ОАО «КНИИТМУ» осуществляют по направлениям, соответствующим приоритетным направлениям развития науки, технологий, техники в Российской Федерации, утвержденным Президентом РФ 21.05.2006г.

Собственное производство: электронный телеграфный измеритель ЭТИ-94; cубблок телекодового кодирования СТК для цифровых модулей связи (ЦИМС); устройства быстродействующей телекодовой связи Р-098-3, Р-098-5; унифицированный комплекс быстродействующей телекодовой связи 15Э1331; комплекс технических и программных средств 15Э1394; комплексы быстродействующей телекодовой аппаратуры связи Р-097М, Р-097Н; автоматизированная система управления специализированным транспортом городского хозяйства; комплексная аппаратная связи П-537УМ; блоки П-166 БС; комплекс технических средств оповещения АДЗ-М; система оповещения по цифровым сетям связи П-166 Ц; cистема оповещения П-95.

Перспективы развития ОАО «КНИИТМУ» на период с 2010 до 2015 гг. сформулированы в программе развития предприятия, которая рассмотрена и одобрена НТС Общества. Программа Советом директоров не утверждалась.

Главной задачей, сформулированной в программе развития ОАО «КНИИТМУ», является упрочение и расширение позиций продукции предприятия в занимаемых сегментах рынка и освоение новых сегментов, что позволит обеспечивать финансовую устойчивость предприятия, развивать и модернизировать производственно-технологическую базу и инфраструктуру предприятия, выполнять программу социального развития.

В соответствии с программой развития ОАО «КНИИГМУ» в целях расширения производства, обновления номенклатуры продукции, поиска новых рынков ОАО «КНИИТМУ» ежегодно, в том числе из собственных средств, проводит работы по созданию новой и совершенствованию ранее разработанной техники, разработке стендового оборудования для автоматизации производства.

С целью повышения конкурентоспособности продукции Общества, повышения эффективности производства, обеспечения устойчивого функционирования Общества, обеспечения выполнения требований нормативных документов в области охраны груда, окружающей среды, производственной безопасности ОАО «КНИИТМУ» в отчетном периоде вкладывало собственные средства по следующим направлениям:

·    на реорганизацию производства: приобретение высокопроизводительного производственного оборудования и строительство ливневых очистных сооружений, очистных сооружений промышленных стоков В рамках проекта реконструкции и технического перевооружения действующего производства для автоматизации и повышения качества изготовления узлов и блоков изделия П-95, выполняемого в рамках ФЦП «Развитие ОПК», модернизацию производственного и испытательного оборудования, ввод в промышленную эксплуатацию котельной в корпусе I, модернизацию гальванического участка, приобретение приборов - 10740,8 тыс. руб.;

·        на реорганизацию управления: модернизация САПР и АСУ. приобретение программного обеспечения - 1863,5 тыс. руб.;

·        на реорганизацию системы сбыта: приобретение автотранспорта -5105,1 тыс. руб.;

·        на финансирование НИОКР, в т.ч.: ОКР «Модернизация П-537 УМ». ОКР «Разработка ЗИП-Г 15Э1394-02», ОКР «Создание стенда для настройки, техприработки и приемо-сдаточных испытаний аппаратуры передачи данных Р-098-5К», ОКР «Модернизация П-166Ц», НИР «Разработка и исследование новых информационных технологий» - 2548 тыс. руб.

Экономический эффект от капитальных вложений в 2012 году за счет снижения энергозатрат, снижения трудоемкости и затрат на оплату труда составил около 2,3 млн. руб.

Кроме того, обеспечено снижение вредных стоков и выбросов в атмосферу в 1,6 раза.

В рамках завершения проекта реконструкции и технического перевооружения действующего производства для автоматизации и повышения качества изготовления узлов и блоков изделия П-95, выполняемого в рамках ФЦП «Развитие ОПК» Обществом в декабре 2012 года получены средства федерального бюджета в размере 10 млн. руб.

В рамках проекта «Техническое перевооружение для создания базового центра системного проектирования микроэлектронных модулей нового поколения на основе технологии «систем в модуле» двойного и специального применения на открытом акционерном обществе «Калужский научно-исследовательский институт телемеханических устройств», г. Калуга», выполняемого в рамках ФЦП «Развитие ЭКБ», также в декабре 2012 года Обществом получены средства федерального бюджета в размере 90 млн. руб.

В 2012 году ОАО «КНИИТМУ» планирует распределять полученную

В 2011 году чистую прибыль по следующим направлениям (Таблица 2.2 ):

Таблица 2.2 Распределение полученной прибыли

№ п/п

Наименование расходов

Сумма. тыс.руб.

1

Дивиденды по акциям (25% от чистой прибыли)

9 648

2

Пополнение резервного фонда (5% от чистой прибыли)

1 930

3

Вознаграждение членам Совета директоров и членам Правления Общества по итогам 2011 года

5 285

4

Научно-техническое развитие, в т.ч.:


4.1.

финансирование собственных инновационных проектов (НИОКР и модернизация производственно-технологической базы)

11 727

4.2.

финансирование корпоративных инновационных проектов (создание корпоративной СОД, реализация БКУ11. модернизация производственно-технологической базы и др.)

10 000

Итого чистой прибыли:

38 590


В отчетном периоде ОАО «КНИИТМУ» не получало государственной поддержки и субсидий.

Бухгалтерская отчетность за отчетный период и аудиторское заключение о достоверности бухгалтерской отчетности представлены в Приложениях.

Описание основных факторов риска, связанных с деятельностью общества:

В 2012 году в ОАО «КНИИТМУ» не осуществляло инвестиционных вложений в проекты с уровнем доходности более 10 % годовых.

По состоянию на 01.01.2012 г. в ОАО «КНИИТМУ» отсутствуют неоконченные судебные разбирательства, в которых Общество выступает в качестве ответчика, а также неоконченные судебные разбирательства, в которых общество выступает в качестве истца.

Обстоятельств, объективно препятствующих деятельности Общества в 2012 году не выявлено.

Отраслевые риски:

Основные риски радиоэлектронной промышленности связаны с отсутствием современной научно-производственно инфраструктуры разработки и производства радиоэлектронных средств и стратегически значимых систем с использованием Российской электронной компонентной базы нового технического уровня на основе коренной модернизации производственно-технологической базы электронной и радиоэлектронной промышленности. А также существующий технологический разрыв с мировым уровнем развития данной отрасли, недостаточные технико-экономические показатели и низкий объем производства массовой электронной и радиоэлектронной продукции, опережающего развития вертикально-интегрированных систем автоматизированного проектирования электронной компонентной базы и радиоэлектронной аппаратуры.

Одним из основополагающих факторов расширения производства и использования современной радиоэлектронной аппаратуры и информационно-коммутационных систем является динамичный научно-технический потенциал, обеспечение государством и частными инвесторами наравне с собственниками предприятий процесса развития электронных и радиоэлектронных технологий и организация предприятиями массового выпуска необходимых электронных и радиоэлектронных компонентов. Однако для достижения указанных целей требуются значительные финансовые вложения в данную отрасль, что в настоящий момент не выполняется.

При сохранении существующих тенденций отраслевая конъюнктура будет оказывать негативное воздействие на деятельность ОАО «КНИИТМУ», нивелирование которого возможно осуществить за счет реинжиниринга собственного производственного комплекса, установления прочных взаимоотношений с основными потребителями, расширения позиций на рынке, а также интегрированного взаимодействия с ОАО «Концерн радиостроения «Вега» и компаниями, входящими в его структуру.

Государственные и региональные риски:

Радиоэлектроника используется ведущими мировыми державами как рычаг удержания мирового технического, финансового, политического и военного господства. Развивающиеся страны рассматривают государственную поддержку электронной и радиоэлектронной промышленности как наиболее эффективный способ подъема экономики и вхождения в мировой рынок.

Основным риском в данном случае выступает международное положение России в качестве поставщика военной техники. Ограниченность иностранных рынков сбыта в силу геополитической обстановки в мире не позволяет российским организациям РЭП быть полноправными участниками мировой индустрии радиоэлектронной продукции военного назначения. При этом в области гражданских технологий РФ не имеет достаточного потенциала для масштабного выхода на международный рынок.

Основными региональными рисками являются:

) кадровый риск, он включает в себя 2 основных аспекта: наличие в регионе значительного числа иностранных компаний, деятельность которых вызывает миграцию кадров и близкое расположение к г.Москва, обладающего большим потенциалом в части уровня заработной платы, что также порождает отток кадров, необходимых для выполнения задач и достижения целей, стоящих перед Обществом. Многие организации региона испытывают недостаток квалифицированных кадров, что, безусловно, отражается на их кадровом потенциале;

) риск роста конкуренции на различных рынках региона - в связи с высокой инвестиционной привлекательностью Калужской области увеличивается число компаний, работающих в различных направлениях и сферах, в том числе и в области радиоэлектроники.

Финансовые риски:

Основными финансовыми рисками, оказывающими воздействие на деятельность ОАО «КНИИТМУ» являются валютные риски (поскольку существенную долю выручки от реализации продукции (работ, услуг) занимают доходы, получаемые от договоров, валютой по которым выступает доллар США), инфляционные риски (связанные с ростом тарифов на продукцию и услуги естественных монополий, ЖКХ).

Информации обо всех формах участия общества в коммерческих и некоммерческих организациях.

ОАО «КНИИТМУ» является членом некоммерческой организации Регионального объединения работодателей «Калужское объединение промышленников и предпринимателей», расположенного по адресу: 248000. г. Калуга, ул. Суворова, д. 121, офисы 418,417.

Цель участия: взаимодействие с промышленными предприятиями, другими коммерческими организациями и органами государственной власти г. Калуги и Калужской области.

Членские взносы уплачиваются Обществом ежегодно в размере 40000 (сорок тысяч) рублей.

Общество является членом некоммерческой организации - Калужской торгово-промышленной палаты, расположенной по адресу: 248000. г. Калуга, пл. Старый Торг, д. 9/10.

Цель участия: взаимодействие с промышленными предприятиями, другими коммерческими организациями и органами государственной власти г. Калуги и Калужской области.

Членские взносы уплачиваются Обществом ежегодно в размере 30000 (тридцать тысяч) рублей.

Общество 14.02.2011 г. вступило в саморегулируемую организацию «Некоммерческое партнерство «Лига проектировщиков Калужской области», расположенную по адресу: 248000, г. Калуга, пер. Старообрядческий, д. 23.

Цель вступления в организацию: получение права на выполнение работ по разработке проектов наружных сетей слаботочных систем.

Членские взносы уплачиваются обществом ежеквартально в размере 12000 (двенадцати тысяч) рублей.

2.2 Анализ производства Автоматической Системы Управления

Расчёт текущих издержек на объём выпуска продукции:

Текущие издержки на объем выпуска продукции представляют сумму затрат предприятия на ее производство и реализацию. Все затраты приводятся к единому временному периоду, обычно одному году. Одновременно определяется полная себестоимость единицы конкретного наименования продукции.

Для расчета полной себестоимости продукции используются следующие калькуляционные статьи расходов:

·    сырьё и материалы за вычетом возвратных отходов;

·        покупные изделия, полуфабрикаты;

·        основная заработная плата производственных рабочих;

·        дополнительная заработная плата производственных рабочих;

·        отчисления в бюджет и внебюджетные фонды от средств на оплату труда;

·        общепроизводственные расходы;

·        общехозяйственные расходы;

·        прочие производственные расходы;

·        коммерческие расходы.

Приведем расчеты расходов на систему, состоящую из 100 устройств транспортных средств используемых на машинах в настоящее время.

Затраты на сырье, и материалы за вычетом возвратных отходов на единицу продукции определяются по формуле:


См = 0,003 * 1,1 * 1,4 - 0,0009 * 0,175 = 4462 (руб.)

где Мм - норма расхода на единицу продукции, т/шт,;

Цм - цена единицы массы материала, млн. руб.,;т-з - коэффициент, учитывающий транспортно-заготовительные расходы при приобретении материалов,;

Мо - количество отходов материала при изготовлении единицы продукций, т/шт, (0,0009 т);

Цмо - цена отходов материала, млн. руб.,

Стоимость вспомогательных материалов определяем по формуле:


Свсп = 0,0001 * 0,56 = 56 (руб.)

где Мвсп - норма расхода вспомогательного материала на единицу продукции, т/шт, (0,0001т.) ;

Цвсп - цена единицы массы вспомогательного материала, млн. руб., (0,56 т.руб.);

Для определения величины затрат на материалы в расчёте на годовой объём выпуска продукции необходимо произвести расчёт по формуле:


М = (4462 + 56) * 100 = 451,8 (т.руб.)

где N - объём производства продукции в натуральном выражении, шт.

Покупные комплектующие изделия, полуфабрикаты и услуги производственного характера сторонних предприятий:

Расходы по этой статье калькуляции будут иметь место в тех случаях, когда предусматривается приобретение заготовок и полуфабрикатов со стороны.

Расходы по этой статье определяем по формуле:


Сп = (0,5*0,0446) * 100 = 223,1 (т.руб.)

где Сп.ед. - стоимость покупных комплектующих изделий, полуфабрикатов.

Топливо и энергия на технологические цели:

В эту калькуляционную статью себестоимости продукции включаются затраты на топливо и энергию, которые непосредственно расходуются в процессе без преобразования в механическую энергию или в другие виды энергии. Это, например, нагрев заготовок в печах, затраты топлива для вагранок, затраты электроэнергии для сварочного оборудования или для электроплавильных печей ли подобных процессах. При выполнении этого проекта расчёт затрат по этой статье производится в процентах от стоимости материалов.

Сэ = 0,01 * 44,6 * 100 = 44,63 (т.руб.)

Расчёт заработной платы производственных рабочих:

Величину заработной платы производственных рабочих следует определить укрупнено, на основании величины среднемесячной тарифной ставки, которая сложилась в промышленности на момент выполнения курсового проекта. Основная заработная плата производственных рабочих рассчитывается по формуле:


Сз.осн = 4,7 * 13 * 6 = 366,6(т.руб.)

где МТСср - средняя месячная заработная плата основных рабочих, млн. руб.,

Чосн - численность рабочих и служащих, непосредственно занятых выполнением производственных операций, чел;

р - количество месяцев, принимаемых для расчета.

Дополнительная заработная плата учитывает выплаты, предусмотренные трудовым законодательством за неотработанное на производстве время; сюда входят выплаты за выполнение гособязанностей, оплата отпусков, доплата подросткам и т.п. Дополнительная заработная плата определяется в процентах от основной:


Сз.д. = 366,6*15/100 = 54,9(т.руб.)

где Дд - процент дополнительной заработной платы по отношению к основной (15%).

Основная, и дополнительная заработная плата основных рабочих:


Сз.п. = 366,6+54,9=421,5 (т.руб.)

Выплаты стимулирующего характера (k1 = 20%) определяются в процентах от основной и дополнительной заработной платы:


Сст = 0,2*421,5=84,31 (т.руб.)

Выплаты компенсирующего характера (k2 = 20%) также определятся в процентах от основной и дополнительной заработной платы:


Ском = 0,2 * 421,5=84,31 (т.руб.)

Надбавки за профессиональное мастерство составляют 30% от основной заработной платы и начисляется только для 10% основных рабочих.


Снад = 0,3*421,52*0,1=12,64 (т.руб.)

Суммарный фонд заработной платы ФЗП основных рабочих на год:


ФЗП = 366,5+54,9+84,31+84,31+12,64=602,76 (т.руб.)

Заработная плата основных производственных рабочих на единицу продукции:


Сз.ед = 602,76/100=6,02 (т.руб.)

Отчисления в бюджет и внебюджетные фонды от средств на оплату труда:

Отчисления в бюджет и внебюджетные фонды от средств на оплату труда определяются по формуле:


Со = 602,76*(35+1)/100=210,96(т.руб.)

где Фз - процент отчислений в фонд социальной защиты населения, 35%;

Росгосстрах - процент отчислений в Росгосстрах, 1%.

Заработная плата вспомогательных рабочих и отчисления на социальные нужды и т.д. этой категории работников определяется по формуле (укрупненно):


Свсп = 5*6*4,7=141(т.руб.)

Со.всп= 141*36/100=50,76(т.руб.)

где Чвсп - число вспомогательных рабочих;

з/пср.всп - среднемесячная заработная плата одного вспомогательного рабочего.

Заработная плата сотрудников аппарата управления на уровне цехов и отчисления на социальные нужды и т.д. этой категории работников определяется по формуле:


Супр.цех= 3*10*6=180(т.руб.)

Со.упр.цех= 180*36/100=64,8 (т.руб.)

где Чупр.цех - число сотрудников аппарата управления на уровне цехов;

з/пср.упр.цех - среднемесячная заработная плата одного сотрудника. Заработная плата сотрудников аппарата управления предприятием и отчисления на социальные нужды и т.д. этой категории работников определяется по формуле:


Супр.цех= 3*10*6=180(т.руб.)

Со.упр.цех= 180*36/100=64,8 (т.руб.)

где Чупр.пр. - число сотрудников аппарата управления предприятием;

ЗПср.упр.пр.- среднемесячная заработная плата одного сотрудника.

Общепроизводственные расходы:

Эта статья затрат (Собщепр) является комплексной, она включает следующие две части:

а)   расходы по содержанию и эксплуатации оборудования;

б)   расходы по организации, обслуживанию и управлению производством.

Расходы по содержанию и эксплуатации оборудования:

Расходы по содержанию и эксплуатации оборудования (РСЭО) подразделяются на следующие виды затрат:

·    амортизация оборудования, транспортных средств и ценного инструмента;

·        эксплуатация оборудования (кроме расходов на ремонт);

·        ремонт оборудования и транспортных средств; внутризаводское перемещение грузов;

·        износ малоценных и быстроизнашивающихся инструментов и приспособлений;

·        прочие расходы.

Для того чтобы определить величину РСЭО на годовой объем выпуска продукции, составляется самостоятельная смета затрат. Далее рассмотрим пояснения по расчету отдельных видов затрат этой части статьи.

Амортизация оборудования, подъемно-транспортных средств и технологической оснастки: величина годовых амортизационных отчислений определяется на основе годовых норм амортизации и первоначальной стоимости соответствующих элементов основных средств по формуле:


F = 530,03*0,1+170,6,*0,09+220,98*0,12=570,2 (т. руб.)

где Фбj - балансовая стоимость рабочих машин и оборудования,

Фбi - балансовая стоимость технологической оснастки;

Фбt - балансовая стоимость транспортного оборудования,

Наj - годовая норма амортизации рабочих машин и оборудования, (10%);

Наi - годовая норма амортизации технологической оснастки, (9%);

Наt - годовая норма амортизации транспортного оборудования, (12%).

Эксплуатация оборудования (кроме расходов на ремонт) включает:

заработная плата (в составе основной и дополнительной зарплаты и отчислений в бюджетные и внебюджетные фонды от средств на оплату тpyда) рабочих, занятых обслуживанием машин и оборудования, (слесарей, наладчиков, электромонтеров) и других категорий работающих, непосредственно не занятых производствам продукции;

стоимость материалов, расходуемых для обеспечения функционирования оборудования;

затраты на электрическую энергию, сжатый воздух, воду, тепловую энергию, потребляемую в процессе работы оборудования.

Расходы по оплате труда определяются на основании численности персонала и среднемесячной величины заработной платы одного работающего.

Стоимость материалов, потребляемых в процессе функционирования оборудования, рассчитывается укрупнёно в процентах (4%) от стоимости оборудования.

Cф.о. =0,04*384,3=15,3 (т.руб.)

Затраты на электрическую энергию могут быть определены по одноставочному тарифу по формуле:


Cэл = (100*1088*1*1*1*1*1,04*3)/0,9=125,72 (т.руб.)

где Wуст - суммарная установленная мощность, кВт, (100кВт);

Fд - действительный фонд времени работы оборудования, (1088 ч.);од - коэффициент одновременности работы электродвигателей (kод = 1);

kм, kв - коэффициенты, учитывающие загрузку оборудования по мощности и времени (kм = 1, kв = 1);п - коэффициент, учитывающий потери мощности в сети (1,03...1,05);

Цэ - средняя стоимость электроэнергии, руб./кВтч, (3 руб.);

η - КПД электродвигателей станков (0,9).

Текущий ремонт оборудования и транспортных средств: в эту группу затрат входят затраты на заработную плату, отчисления в бюджет и внебюджетные фонды от средств на оплату труда рабочих, занятых ремонтом оборудования; расходы на материалы, потребляемые в процессе выполнения ремонтных работ; услуги ремонтных цехов завода.

Расходы по организации, обслуживанию и управлению производством:

Расходы по организации, обслуживанию и управлению производством включает следующие группы затрат:

оплата труда работников аппарата управления цехом (цехами), а также оплата труда специалистов и других служащих, обслуживающих производство, включая соответствующие отчисления;

амортизация зданий, сооружений, инвентаря;

содержание и ремонт зданий, сооружений, инвентаря;

расходы на испытания, опыты, исследования, рационализацию и изобретательство;

расходы на мероприятия по обеспечению нормальных условий труда техники безопасности;

прочие расходы.

Расходы по вышеперечисленным группам затрат рассчитываются аналогичным образом, рассмотренным ранее. Отметит некоторые особенности.

Амортизация зданий и сооружений определяется по формуле:


Аобщ.хоз. = 270,5 * 0,015 = 4,058 (млн.руб.)

где Кзд - капиталовложения в здания;

На.зд. -норма амортизации зданий (1,5%).

Содержание зданий и сооружений определяется на основе норм расхода денежных средств на один кв. м. площади здания в размере 0,5% от стоимости зданий и сооружений. Ремонт зданий и сооружений можно принять равной 0,7 % от стоимости здания.

Cсод.зд = 0,005 * 270,5= 1,352 (млн.руб.)

Cрем.зд = 0,007 * 270,5 = 1,893 (млн.руб.)

Расходы по охране труда принимаются равными 10 т.руб. на одного работника.

Cохр.тр. = 10 * 23 = 230 (т.руб.)

Прочие расходы включают затраты на гарантийное обслуживание и ремонт продукции, включая содержание гарантийных мастерских, оплату командировочных расходов и проч. В данном варианте эти затраты равны нулю. Общехозяйственные расходы:

Эти расходы (Собщехоз ) включают следующие группы затрат:

оплата труда руководителей и специалистов аппарата управления предприятием;

административные расходы;

расходы по содержанию заводского транспорта.

Административные расходы включают в себя связь, телефонные и почтовые расходы и т. д.

Cадм = 0,01 * 602,76 = 6,02 (т.руб.)

Расходы по содержанию заводского транспорта можно принять в размере до 15 - 20% от стоимости транспорта.

Cм.б.и. = 0,16 * 221 = 35,35 (т.руб.)

Коммерческие расходы включают в себя расходы на рекламу, участие на выставках, маркетинг и прочие. К расходам на рекламу относятся расходы на разработку и издание рекламных изделий (иллюстрированных прейскурантов, каталогов, альбомов, проспектов, плакатов, открыток и т.п.); на разработку и изготовление этикеток, фирменных пакетов, упаковки; проведение рекламных мероприятий (объявление в печати, передачи по радио и телевидению); на изготовление стендов, рекламных щитов, указателей т др.; на оформление витрин, выставок-продаж, выставок и ярмарок; на проведение иных рекламных мероприятий.

Cкоммерч = 0,03 * 900,31= 27,01 (т.руб.)

Прочие отчисления и налоги, включаемые в себестоимость.

Полные производственные издержки Сп представляют собой сумму всех элементов. Результаты расчёта себестоимости продукции годового выпуска представлены в таблице 2.3.

Таблица 2.3. Годовые издержки на производство продукции, т. руб.

Статьи издержек


1.Сырьё и материалы

451,84

2.Покупные изделия и полуфабрикаты

223

3.Топливо и энергия на технологические нужды

44,63

4.Осн. и доп.з/плата производ. рабочих

602,76

5.Отчисления в бюджет и внебюдж.фонды

210,96

1. Общепроизводственные расходы

240,02

7.Общехозяйственные расходы

65,6

8.Амортизация основных фондов

574,2

9.Прочие отчисления, включаемые в издержки

125,72

10.Коммерческие расходы

27,01

11.Полные производственные издержки

2375,74


Себестоимость единицы продукции определяется по формуле:

,74 / 100 =23,75 (т.руб.)

где, Сп - полные производственные издержки.

По результатам расчёта издержек на объем производства при 100% использовании производственных мощностей строится круговая диаграмма, отражающая структуру себестоимости продукции, представленная на рисунке 4.

Рисунок 2.4 - Структура издержек на производство продукции.

Глава 3. Разработка мероприятий по внедрению системы АСУ-ГХ

.1 Описание систем и их сравнение

1)  Основной задачей системы АСУ-ГХ является оптимизация и контроль работы специального транспорта. Система позволяет отслеживать местоположение каждого транспортного средства в реальном масштабе времени, фиксирует работу всего комплекса специального оборудования автомобиля: измеряет объем загружаемого мусора и фиксирует места и время погрузки/выгрузки мусора, вычисляет пробег автомобиля и расход топлива в каждом режиме работы и суммарно, обеспечивает водителя оперативной речевой связью с диспетчером.

В системе обеспечены режимы селекторной и циркулярной речевой связи между водителями и диспетчерами.

Краткое описание системы:

центральная станция (ЦС);

локальные диспетчерские станции (ЛДС);

устройства транспортных средств (УТС) или бортовые устройства с датчиками;

антенно-фидерные устройства;

Центральная станция:

В системе принята схема связи подвижных единиц с ЛДС предприятия через необслуживаемую центральную станцию, работающую в автоматическом режиме ретрансляции, без участия оператора.

УТС обеспечивают непрерывное определение по сигналам спутниковой навигационной системы текущего местоположения спецмашины и ее пробег, определение состояния работы спецоборудования, расхода топлива и показаний датчиков, передачу всей информации на ЛДС.

Датчики:

работы спецоборудования;

объема: песка, воды, мусора;

расхода топлива;

местоположения;

скорости, курса;

пробега.

Типы датчиков на спецмашинах могут изменяться в соответствии с требованиями Заказчика.

В системе используются УКВ радиоканалы в диапазоне частот 146 - 174 МГц.

Радиус зоны уверенного приема составляет не менее 25-35 км.

В случае нахождения спецмашины в зоне радиотени или при выезде за пределы зоны приема, бортовое оборудование запоминает текущие навигационные и телеметрические данные (координаты, измеренные показания датчиков) и, при восстановлении связи, автоматически передает сохраненные данные на диспетчерский пункт («история» движения спецмашины).

Передача информации в системе осуществляется с использованием помехоустойчивого кодирования - обеспечивается надежность и достоверность передачи телеметрической и навигационной информации.

Телеметрическая и навигационная информация о работе спецмашин поступает на автоматизированные рабочие места (АРМ) ЛДС - мастеров, технологов и начальников автоколонн.

АРМ объединены с локальной сетью (ЛС) типа Ethernetспецавтохозяйства, что обеспечивает информационное взаимодействие системы с АСУ предприятия (1С-Предприятие, 1С - Склад и т.д.), а также управление и контроль работы спецмашин непосредственно с рабочих мест специалистов.

Результаты работы спецмашин распечатываются в отчетных документах автохозяйства.

Формы отчетных документов могут легко модифицироваться.

Сформированные отчетные документы в электронном виде по каналам связи системы в автоматическом режиме передаются на АРМ отдела транспорта мэрии города для формирования собственных отчетов о работе транспорта спецавтохозяйства.

На основе отчетов в отделе транспорта решаются задачи планирования и логистики.

Система обеспечивает водителей и диспетчеров оперативной громкоговорящей речевой связью. Предусмотрен циркулярный режим передачи речевых команд.

Информация диспетчеру: об отклонениях от маршрута и графика движения (если автомобиль был назначен на работу по маршруту), количество выполненных рейсов.


)     Система мониторинга коммунальной техники М2М-ЖКХ - универсальный инструмент повышения эффективности мониторинга техники и прибыльности предприятий ЖКХ на основе технологий использования сигналов космических навигационных систем ГЛОНАСС и GPS, сотовой связи GSM/GPRS, специализированного программного обеспечения и вычислительной техники.

Функциональные возможности:

·    Долгосрочное, среднесрочное, краткосрочное и оперативное планирование использования автототранспорта и выполнения договорных обязательств предприятия

·        Оперативное управление работой транспортных средств/коммунальной техники предприятия

·        ГЛОНАСС/ GPS слежение и мониторинг техники в режиме реального времени, контроль выполнения маршрутных заданий, качества оказываемых услуг, состояния транспортных средств, «левой работы», выгрузки/погрузки в несанкционированных зонах

·        SMS-сервис с автоматической фиксацией в таблице истории команд и базе данных

·        Ведение справочников (транспортных средств, договоров, персонала и мн. др.)

·        Анализ и обобщение информации о состоянии, движении и работе автотранспорта предприятия

·        Гибкая система отчетов о качестве предоставления услуг, о путевых листах, по маршрутным заданиям, о расходе топлива и др.

Схема работы:

М2М-ЖКХ - это аппаратно-программный комплекс мониторинга коммунальной техники, построенный на базе телематической платформы, серверного и клиентского программного обеспечения, абонентского оборудования с использованием передовых информационно-телекоммуникационных технологий: сотовой связи GSM (GPRS/SMS) и спутниковой навигации (ГЛОНАСС/GPS).

Состав аппаратно-программного комплекса:

·    Абонентские телематические терминалы M2M-Cyber GX® или М2М-Cyber GLX®

·        Комплекс контролирующих элементов;

·        Комплекс дополнительного оборудования;

·        Телематический сервер с установленным серверным программным обеспечением BN-Complex®;

·        Автоматизированные рабочие места пользователей с установленным диспетчерским программным обеспечением М2М-ЖКХ Предприятие® и картографическим программным обеспечением.

Система мониторинга коммунальной техники может быть реализована в двух вариантах:

Система строится на базе телематического сервера компании «М2М телематика», взимается ежемесячная абонентская плата. Рекомендуется для предприятий сферы ЖКХ с парком транспортных средств до 50 единиц.

Система строится на базе телематического сервера компании Клиента, без абонентской платы. Плату за GPRS-трафик Клиент перечисляет оператору сотовой связи. Рекомендуется для предприятий сферы ЖКХ с парком транспортных средств от 50 единиц.

Преимущества системы:

Первая специализированная отраслевая система на основе технологий ГЛОНАСС и GPS для автоматизации дистанционного слежения за объемами и качеством оказания услуг в отрасли ЖКХ

Внедрение системы обеспечивает соответствие требованиям постановления Правительства РФ от 25.08.2008 №641 «Об оснащении транспортных, технических средств и систем аппаратурой спутниковой навигации ГЛОНАСС или ГЛОНАСС/GPS»

Система мониторинга М2М- ЖКХ разработана с учетом особенностей бизнес-процессов отрасли ЖКХ

Система мониторинга М2М- ЖКХ может быть интегрирована с любыми видами информационных систем, уже установленными на предприятии Заказчика

Система М2М-ЖКХ внедряется на предприятиях ЖКХ, осуществляющих:

·    Предоставление спецтехники в аренду

·        Обслуживание электросетей

·        Вывоз бытовых отходов

·        Уборка, поливка и противогололедная обработка улиц

·        Доставка товаров сельскому населению

·        Благоустройство и озеленение улиц

·        Обслуживание сетей водоснабжения и водоотведения

·        Аварийно-ремонтные работы

·        Объекты мониторинга и контроля

·        Машины для уборки снега

·        Цистерны

·        Аварийно-ремонтные машины

·        Экскаваторы

·        Дорожно-строительные машины

·        Легковые машины

·        Тракторы

·        Мусоровозы

3) Система «Вистар» может использовать следующее оборудование :

·    Стационарные трекеры

·        Связка телефон + gps приемник

·        Навигаторы с обратной связью

Отличие использования стационарных трекеров от связки телефон + gps приемник следующие:

Возможность подключения цифровых или аналоговых датчиков. Наиболее частое применение - контроль топлива, контроль открывания/закрывания дверей, тревожная кнопка.

При использовании датчика топлива появляется возможность определить места заправок и потенциальных сливов топлива.

При работе в режиме проверки заправок и сливов система показывает заправки зеленым, а сливы - красным цветом с указанием времени заправки или слива и количества заправленного/слитого топлива.

Кроме того есть подробный отчет по состоянию топливного бака с периодичностью в 10 секунд.

Кроме заправок и сливов есть возможность посмотреть ежедневный пробег и стоянки транспортных средств.

Рис 3.8. Рабочее окно программы.

«Вистар» позволяет следить за транспортными средствами при помощи навигаторов с обратной связью.

В этом случае водитель может пользоваться прокладкой маршрута, получением информации о пробках, выходом в интернет и другой информацией, телефонной связью и смс (опционально). При этом местонахождение водителя будет передаваться на рабочее место диспетчера. В случае использования навигатора в настоящее время невозможно получение информации от датчиков.

) Базовая система датчиков установленных непосредственно на автомобиле.

Если какая-либо инфраструктура и нуждается в высочайшей степени контроля, то речь, несомненно, идет об общественном транспорте. Независимо от размера автопарка - будь в нем 10 или 100 единиц транспорта, при обеспечении контроля расхода топлива, отслеживании маршрутов, скорости и других рабочих параметров не только существенно повышается прибыль организации, но и растет качество услуг.

Именно поэтому производители оборудования уделяют большое внимание тому, чтобы в ассортименте продукции присутствовали системы мониторинга городского общественного транспорта.

Они могут включать в себя множество возможностей.

Отслеживание и контроль при наличии подобной системы ведется сразу в нескольких направлениях:

·    маршруты и рабочие задачи,

·        стиль вождения,

·        видеонаблюдение за салоном и водителем,

·        время простоя и движения,

·        скорость автомобиля,

·        расход топлива,

·        защита системы от глушения и выведения из строя,

·        дистанционный контроль двигателя - запуск, блокировка и пр.,

·        дистанционный контроль дверей - блокировка, оповещения об открытии или закрытии и пр..

Диспетчеризацию и мониторинг движения пассажирского транспорта возможно проводить с мобильного телефона. Более того, подобные системы полезны и для пассажиров: на специальных сайтах они могут отслеживать передвижение автобусов, маршруток и других видов транспорта и ориентироваться согласно своим потребностям.

Датчики топлива.

Как показывает практика, использование датчика уровня топлива актуально для любой единицы транспорта, который используется в коммерческих и служебных целях. Датчик позволяет отслеживать расход горючего, объем заправок, выявляет сливы. Поэтому мониторинг общественного городского транспорта в первую очередь обеспечивается подобными устройствами.

Противоугонная защита.

Не только пассажиры и работодатель нуждаются в контроле работы общественного транспорта. Оснащение систем мониторинга противоугонными возможностями, системами тревожного оповещения повышает уровень безопасности водителя.

Сравнивая 4 системы наиболее распространенные на рынке систем мониторинга можно сделать вывод по их функциональным возможностям.

.     Все системы обладают датчиками топлива, что позволяет сократить расход ГСМ транспорта.

2.      Центральные сервера и диспетчеры отсутствуют у базового варианта системы АСУ, те информация с устройства снимается по окончанию работы машины и не может координироваться во время работы.

.        В отличие от других систем в системе АСУ-ГХ информация передается с использованием помехоустоичивого кодирования, что предотвращает помехи в канале связи.

.        В системе АСУ-ГХ результаты формируются в специализированные отчеты, которые легко могут изменять форму, тогда как в других системах отчеты имеют одинаковую формы и составлять их должен сам диспетчер.

.        Система АСУ-ГХ имеет режим передачи речевых команд.

Технические характеристики систем: Приложение 2.

Делая выводы у преимуществах системы АСУ-ГХ отметим моменты:

·    Система обеспечивает взаимодействие с локальной сетью предприятия. Для этого на ЭВМ локальной сети должностных лиц должно быть установлено соответствующее программное обеспечение АРМ оператора системы.

·        Обеспечивается формирование отчетов о результатах транспортной работы по каждому автомобилю за отчетные периоды - день, декада, месяц.

·        Отчеты распечатываются в виде документов. При необходимости формы и виды отчетов могут быть модифицированы.

·        Программное обеспечение АРМ диспетчера (по паролю) обеспечивает формирование, ввод, коррекцию маршрутов движения, графиков.

·        Обеспечивается формирование, ввод и коррекция базы данных - марки автомобилей, государственных и гаражных номеров и прочее.

·        Вся информация о транспортной работе архивируется, объем архива - 90 суток. Обеспечен просмотр истории режимов работы транспортного средства с указанием всех проверяемых параметров. Скорость просмотра прокрутки может регулироваться (ускоряться и замедляться).

·        Низкая стоимость эксплуатации за счет низкой абонентской платы за УКВ канал.

·        Высокий темп сбора навигационных и телеметрических данных от бортовых устройств - 12 устройств/сек на 1 канал.

·        Наличие комплекта датчиков, что позволяет осуществлять контроль в реальном времени за всеми процессами, происходящими в транспортном средстве. Типы датчиков на спецмашинах могут изменяться по требованию Заказчика.

·        Наличие канала речевых сообщений позволяет своевременно оповещать руководство и эффективно действовать в случае ДТП и ЧС.

·        Взаимодействие АРМ специалиста с локальной сетью предприятия (1С - Предприятие, 1С - Бухгалтерия, 1С - Склад и т.д.).

·        Высокая надежность поставляемого оборудования за счет наличия на предприятии полного технологического цикла разработки, изготовления, испытаний (технологической приработки).

·        Применение помехоустойчивого каскадного кодирования, что обеспечивает достоверность передачи информации по каналам связи в условиях повышенных индустриальных помех.

3.2 Обоснование экономического эффекта от внедрения системы АСУ-ГХ

Предлагаемый к рассмотрению перечень оборудования и работ по внедрению автоматизированной системы управления транспортом, его стоимостная оценка (на 100 единиц систем ) представлены в Приложении 3.

Система включает в себя 4 АРМ диспетчера, оборудование для установки в мэрии города, 100 бортовых УТС, в 4-х вариантах исполнения с различными датчиками, программное обеспечение.

Основным условием достижения ценовой конкурентоспособности системы является сохранение себестоимости бортовых устройств, изготавливаемых на предприятии на уровне не выше 15,17 т.р. за 1 УТС без датчиков.

Уровень накладных расходов в себестоимости изделия снижен до уровня 103% в целях достижения конкурентоспособной цены.

Кроме того, общие трудозатраты на производство одной УТС в соответствии с нормами ОАО «КНИИТМУ» являются завышенными по отношению к требованиям, предъявляемым рыночными ценами на подобные изделия.

По сравнению с другими системами АСУ имеет меньшую цену, но при этом не отвечает многим требованиям и параметрам используемым в современных навигационных системах. Её удобнее применять для малых автопарков с выработанными и типовыми маршрутами следования транспорта.

Структура цен систем представлена в Т.аблице 3.1

Таблица 3.1. Структура цены



АСУ(База)

АСУ-ГХ(Проект)

М2М

Вистар

№п/п

Наименование статьи затрат

Сумма

Сумма

Сумма

Сумма

1

Материалы

451,84

1942,87

2050,90

2060,88

2

ФЗП

602,76

925,99

937,89

940,55

3

Страховые взносы

210,96

233,36

245,44

247,65

4

Накладные расходы

305,62

953,77

973,84

980,84

5

Командировочные расходы

0

212,00

216,00

218,00

6

Себестоимость

2375,74

4267,99

4424,12

4447,92

7

Прибыль

1000

1089,75

1000

1000

8

НДС

607,63

964,39

976,34

980,62

9

Цена

3983,37

6322,13

6400,46

6428,5


Структура цены, приведенная в табл учитывает снижение уровня ФЗП 4,67 тыс. руб.(Кроме базового варианта.) Уровень накладных расходов на изготовление УТС составляющий 103% будет компенсирован за счет прибыли прочих заказов предприятия, при этом уровень прибыли в стоимости АСУ составляет 10%.

Внедрение системы обеспечивает:

1 экономию расхода топлива на 30 - 40 %, при том же объеме выполненной работы за счет сокращения непроизводственных пробегов техники и несанкционированного слива топлива. Базовый вариант системы и системы конкурентов обеспечивают сокращение расхода топлива на 10-20%, что меньше чем у системы АСУ-ГХ, в системе АСУ-ГХ это достигается за счет оптимизации маршрута в режиме реального времени.

2 сокращение холостых пробегов - на 2 - 3% обеспечивается во всех системах;

3 сокращение (исключение) вывоза мусора на не установленные места отслеживается системами АСУ-ГХ, М2М, Вистар, а система АСУ не может отследить автомобиль во время его движения по городу;

4 регистрацию и учет фактически выполненной работы по уборке улиц, вывоза мусора. Все системы осуществляют контроль в режиме реального времени, а система АСУ по факту прибытия автомобиля на стоянку;

5 высокое качество уборки улиц, своевременное выполнение работы;

6 исключение взятия мусора от сторонних лиц и организаций. Система АСУ не может отследить.

7 оперативное принятие мер при ДТП и иных «нештатных» ситуациях за счет речевой связи. Только в системе АСУ-ГХ.

Система АСУ-ГХ позволяет на уровне администрации города выполнять анализ работы и строить стратегию использования спецмашин в городе.

Средний расход топлива комбинированной машины типа КО-713Н, ЗиЛ 130 составляет примерно 150 - 200 л в день.

При цене топлива 26 руб/л, ежемесячная экономия на каждую спецмашину составит в среднем:

Э1 = 26 (руб)х150х0,3 = 1170 руб./день; (АСУ-ГХ)

Э2= 26 (руб)х150х0,15 = 585 руб./день; (другие системы)

Экономия топлива на одну машину в месяц составит:

х30=35100 руб.(АСУ-ГХ).

х30=17550 руб.(другие системы)

Для спецавтохозяйства в целом, имеющем парк в 100 спецмашин, ежемесячная экономия топлива составит:

ЭСАХ = 35100х100 = 3510000 руб.

ЭСАХ = 17550х100 = 1755000 руб.

Можно сделать вывод что система АСУ-ГХ имеет наиболее быстрый срок окупаемости, лучшею экономию ГСМ, что влияет и на финансовую составляющую и на экологическую ситуацию в целом.

Снижение расходов на персонал:

Во всех компаниях самые ощутимые затраты связаны с персоналом. Возьмём для примеранебольшую компанию, осуществляющую услуги по доставке продуктов в различные магазины, с парком в 100 автомомашин.

При рабочем дне с 8:00 до 17:00 с часовым перерывом на обед водители курьеры приходят на работу в 8:20, в 12:45 едут на обед, между тем решая пару личных вопросов, при этом они возвращаются с обеда в 14:15, сообщая, что простояли в пробке, а заканчивают рабочий день в16:50. При этом требуют зарплату за 8-и часовую 5-и дневную рабочую неделю.

После внедрения системы мониторинга Вы сможете платить только за действительно отработанные часы. Очень просто посчитать выгоду:

Количество сотрудников (автомобилей): 100

Оклад водителя в месяц, руб. 25000

Один час рабочего времени курьера-водителя при 21-дневном рабочем месяце составит, руб/час. 148.81

Экономия рабочего времени после внедрения системы мониторинга, минут/автомобиль в день,60

Итого на 1-го сотрудника в день экономия составит, руб. 148,81

Месячная экономия, руб. 312500,00

Годовая экономия, руб. 3750000,00

Снижение расходов на сервисное обслуживание:

Снижение пробега автотранспорта позволяет, в свою очередь, сократить расходы на его плановое техническое обслуживание, которое придётся делать значительно реже. 800 км. в месяц сэкономленного пробега при парке в 100 машин в итоге дадут следующиеэкономические показатели:

Ежемесячный сэкономленный пробег по парку из 100 машин, км. 80000

При норме проведения ТО раз в 10 тыс.км. сэкономлены, в количественном выражении, 8

При средней стоимости ТО на грузовой автомобиль в 50 тыс. руб, в месяц экономия составит, руб. 400000,00

Снижение расходов на мобильную связь:

При помощи системы мониторинга диспетчеры всегда будут точно знать текущее местоположение и состояние транспортных средств компании. В свою очередь это позволит сократить трудозатраты (повысить эффективность использования рабочего времени диспетчеров и водителей), а так же более чем на 50% снизить количество звонков и соответственно расходы на сотовую связь. Простой пример, опять же исходя из штата в 100 водителей:

Ежемесячные расходы на мобильную связь с 1 водителем, руб. 300

Месячная экономия, руб. 30000,00

Годовая экономия, руб. 360000,00

Сравнивая цены на различные системы, отметим, что наиболее низкая цена у системы АСУ, но отсутствие режима онлайн делает ее менее экономичной и отсутствуют многие возможности в отличие от других систем.

Надежность систем обеспечивается использование качественных материалов и датчиков, но только в системе АСУ-ГХ используются материалы и датчики производимые на ОАО «КНИИТМУ», предприятии которое является часть оборонной промышленности. Это обеспечивает высокое качество продукции, высокий гарантийный срок, все изделия проходят ОТК.

В системах М2М и Вистар присутствует абонентская плата за использование серверов и программного обеспечения, что делает значительно дороже эксплуатацию этих систем. Приложение:

Телефон+GPS приемник 450 руб/мес.

Навигатор 600 руб/мес.

Проведем расчеты:

Срок проекта 6 месяцев, 100 единиц техники.

х600х6=360000 руб.

х450х6=270000 руб.

+270000=630000 руб.

Делаем вывод что только за использование систем М2М и Вистар мы платим 630 тыс. руб. за пол года, что значительно снижает ее окупаемость и повышает суммарную цену.

В системе АСУ-ГХ абонентская плата отсутствует, все программное обеспечение, сервера, обучение сотрудников, обслуживание и установка входят в базовую стоимость системы. Система работает автономно и ОАО «КНИИТМУ» осуществляет только гарантийное обслуживание.

Глава 4. Охрана труда и экология

.1 Охрана труда

Опасные и вредные факторы на рабочем месте экономиста отдела главного бухгалтера.

Разработкой прогнозов, связанных с объемом производства продукции, на предприятии ОАО «КНИИТМУ» занимается экономист, рабочее место которого находится в помещении отдела главного бухгалтера. Отдел расположен на втором этаже двухэтажного административного здания, окна выходят на северо-запад, они оборудованы жалюзи. Размер помещения составляет (см. рис. 4.1) : длина a= 4.3 м , ширина b=3.0 м , высота h= 3.0 м.

Общая площадь :


Объем помещения :


В помещении работают 2 сотрудника. На каждого из них приходится объем помещения :


Площадь, приходящаяся на одного сотрудника :


Эти данные соответствуют нормативам для помещений, в которых эксплуатируются ПЭВМ (СанПиН 2.2.2/2.4.1340-03).

Рисунок 4.9.План помещения отдела главного бухгалтера: 1 - окно, 2 - принтер и сканер(мфу), 3 - пылеулавливатель, 4 - шкаф, 5- дверь ,6-кондиционер

В помещении отдела главного бухгалтера имеются 2 рабочих места для сотрудников, каждое из которых включает в себя:

·    Письменный стол

·        Кресло

·        ПЭВМ

·        Принтер

·        Сканер

·        Телефон

Кроме того, в помещении есть два шкафа для документации и верхней одежды сотрудников. Имеется кондиционер и медицинская аптечка.

Работа сотрудников отдела - главного бухгалтера и экономиста - связана с применением ПЭВМ а, следовательно, они могут подвергаться вредному воздействию целой группы факторов. При длительной работе могут проявиться отрицательные действия следующих психофизических факторов:

·    зрительное перенапряжение;

·    умственное перенапряжение;

·        эмоциональные перегрузки;

·        постоянная статическая нагрузка, обусловленная относительно неподвижной рабочей позой.

У работников могут появляться боли в спине, зрительная усталость, раздражительность, общее утомление. Всё это приводит к снижению работоспособности. Снижение влияния этих факторов и сохранение здоровья и высокой работоспособности можно достичь, соблюдая на рабочем месте требования СанПиН 2.2.2/2.4.1340-03.

Характеристика микроклимата

Одним из необходимых условий нормальной жизнедеятельности человека является обеспечение нормальных метеорологических условий в помещениях, оказывающих существенное влияние на тепловое самочувствие человека. Метеорологические условия, или микроклимат, зависят от теплофизических особенностей технологического процесса, климата, сезона года, условий отопления и вентиляции.

Параметры микроклимата оказывают непосредственное влияние на тепловое самочувствие человека и его работоспособность. Нормы производственного микроклимата установлены системой стандартов безопасности труда ГОСТ 12.1.005 - 88 и санитарными нормами СН 2.2.4.548 - 98.

Работа с ПЭВМ по интенсивности труда относится к категории 1a - легкая работа, где затраты энергии человеком не превышают 174 Вт.

В производственных помещениях, в которых работа с использованием ЭВМ является основной и связана с нервно-эмоциональным напряжением, должны обеспечиваться оптимальные параметры микроклимата для категорий работ 1a и 1б , в соответствии СанПиН 2.2.2/.24.1340 - 03 (таблица 4.1).

Таблица 4.1. Оптимальные параметры микроклимата

Период года

Категория работ по уровню энергозатрат, Вт

Температура воздуха, °С

Температура поверхностей, °С

Относите-льная влажность воздуха, %

Ско-рость движе-ния воздуха, м/с

холодный

1а (до 139)

22 - 24

21 - 25

60 - 40

0,1


1б (140 - 174)

21 - 23

20 - 24

60 - 40

0,1

теплый

1а (до 139)

23 - 25

22 - 26

60 - 40

0,1


1б (140 - 174)

22 - 24

21 - 25

60 - 40

0,1


Измерение температуры и влажности воздуха на рабочем месте, в соответствии с протоколом аттестации рабочего места экономиста показало:

-    температура воздуха: +22°C;

-       относительная влажность воздуха: 46%.

Следовательно, по показателям микроклимата рабочее место технолога соответствует требованиям СИ 2.2.4.548 - 96.

Характеристика источников запыленности:

Запыленность воздуха рабочей зоны возникает при работе самого компьютера и его периферийных устройств. Нормальное состояние воздуха рабочей зоны технолога обеспечивается выполнением следующих мероприятий:

.     Применение общеобменной вентиляции;

2.      Кондиционирование воздуха;

.        Проведение регулярной влажной уборки помещения.

Для улучшения параметров воздушной среды в отделе установлен пылеулавитель. Проведенные измерения при аттестации рабочего места показали полное соответствие состояние воздуха рабочей зоны требованиям ГОСТ 12.1.005-99.

Характеристика источников шума и гигиенические требования к шуму на работе:

Человек реагирует на шум в зависимости от субъективных особенностей организма, привычного шумового фона. Раздражающее действие шума зависит от его уровня и спектральных характеристик.

Шум, даже когда он невелик, создает значительную нагрузку на нервную систему человека, оказывая на него психологическое воздействие, которое может стать причиной таких заболеваний, как гипертония и язвенные болезни, неврозы, желудочно-кишечные и кожные заболевания.

В помещении отдела главного бухгалтера шум возникает при работе ПЭВМ, её периферийных устройств, кондиционера.

Нормативные величины звукового давления и уровней звука изложены в СНиП 23.03.2003, а также в СН 2.2.4/2.1.8.562-96, ГОСТ 12.1.003-83.

Уровень шума на рабочем месте с использованием ПЭВМ не должен превышать предельно допустимых значений, установленных для данных видов работ в соответствии с действующими санитарно- эпидемиологическими нормативами. Шумящее оборудование (печатающие устройства, серверы и т.д.), уровни шума которого превышают нормативные, должно размещаться вне помещения с ПЭВМ. При наличии внешних источников шума, инфра- и ультразвука применяются мероприятия звукопоглощения и звукоизоляции. Уровни шума должны соответствовать данным таблице 4.2.

Таблица 4.2.Допустимые значения уровней звукового давления в октавных полосах частот и уровня звука, создаваемого ЭВМ

Уровни звукового давления в октавных полосах со среднегеометрическими частотами

Уровни звука в ДБА

31,5 Гц

63 Гц

125 Гц

250 Гц

500 Гц

1 000 Гц

2 000 Гц

4 000 Гц

8 000 Гц


86 дБ

71 дБ

61 дБ

54 дБ

49 дБ

45 дБ

42 дБ

40 дБ

38 дБ

50


Проведенные замеры состояния условий труда на рабочем месте экономиста показали, что уровни шума не выходят за пределы нормативов. Следовательно, характеристика шума на рабочем месте соответствует требованиям СН 2.2.4/2.1.8.562 - 96.

Характеристика источников электромагнитных полей и требования безопасности:

Для снятия электростатического заряда в настоящее время на экран наносят специальное антистатическое покрытие, раньше применялись защитные экраны. В таблице 4.3 перечислены основные составляющие компоненты монитора, создающие электромагнитные поля.

Источник

Диапазон частот

Сетевой трансформатор блока питания

50 Гц

Статический преобразователь напряжения в импульсном блоке питания

20-100 кГц

В блоке кадровой развертки и синхронизации

48-160 Гц

В блоке строчной развертки и синхронизации

15-400 кГц

Ускоряющее анодное напряжение

электростатическое поле


Процесс подавления электромагнитных полей, излучаемых монитором, реализуется путем экранирования таковых с использованием электропроводящих материалов.

Максимальные зафиксированные на рабочих местах пользователей ПК значения электромагнитных полей приведены в таблице 4.4.

Таблица 4.4 Максимальные зафиксированные на рабочем месте значения ЭМП

Вид поля, диапазон частот, единицы измерения напряженности поля

Значение напряженности по оси экрана

Значение напряженности вокруг монитора

Эл. поле, 100 кГц - 300 МГц, В/м

17

24

Эл. поле, 0,02 - 2 кГц, В/м

150

155

Эл. поле, 2 - 400 кГц, В/м

14

16

Магнитное поле, 100 кГц - 300 МГц, мА/м

НЧП

НЧП

Магнитное поле, 0,02 - 2 кГц, МА/м

550,0

600,0

Магнитное поле, 2 - 400 кГц, МА/м

35,0

35,0

Электростатическое поле, КВ/м

22,0

-


Из изложенной выше информации можно сделать вывод, что степень воздействия на пользователя ПЭВМ электромагнитных полей зависит от следующих факторов:

-      напряженности электрического поля;

-           напряженности магнитного поля;

-      частоты электромагнитных колебаний;

-      времени воздействия.

Для устранения негативного воздействия электромагнитных излучений на организм человека вводятся нормативно допустимые уровни, которые отражены в СанПиН 2.2.2./2.4.1340-03 (см. таблицу 4.5).

Таблица 4.5. Временно допустимые уровни ЭМП создаваемых ПК на рабочих местах

Наименование параметра

Диапазон частот

Временно допустимые уровни ЭМП

Напряженность электромагнитного поля

5 Гц - 2 кГц

25 В/м


2 кГц - 400 кГц

2,5 В/м

Плотность магнитного потока

5 Гц - 2 кГц

250 нТл


2 кГц - 400 кГц

25 нТл


Основным мероприятием по защите от ЭМП и психофизиологического перенапряжения оператора ПЭВМ является защита временем. При суммарной продолжительности работы с компьютером более 4-х часов работа относится к классу 3.1 и 3.2 - вредные условия труда.

Инструментальный контроль уровней ЭМП, проведенный на рабочем месте экономиста, показал, что уровни ЭМП не выходят за пределы допустимых. Следовательно, характеристика электромагнитных полей на рабочем месте эколога соответствует нормативам, указанным в СанПиН 2.2.2./2.4.1340-03.

Характеристика электробезопасности:

В качестве источника питания для работы ПЭВМ используется сеть однофазного переменного тока с номинальным напряжением 220 В промышленной частотой 50 Гц. При наличии открытых токоведущих частей вычислительной техники, находящихся под напряжением, появляется опасность поражения человека электрическим током.

Помещение отдела главного бухгалтера относится к I классу в соответствии с классификацией помещений по степени электрической опасности (без повышенной опасности - сухое, с нормальной температурой воздуха и т.д.). Для исключения поражения человека электрическим током на рабочих местах отдела главного бухгалтера обеспечено выполнение следующих мероприятий:

-      отсутствуют незащищенные части электрического оборудования, аппаратуры;

-      рабочие места в помещении оборудованы защитным заземлением;

-           устранена опасность поражения людей электрическим током, при появлении на внешних частях приборов, аппаратуры напряжения (заземление и защитное отключение).

Предельно допустимые уровни напряжения и тока при аварийном режиме прикосновения соответствуют ГОСТ 12.1.038-82.

Характеристика пожарной безопасности:

Здание, в котором расположен отдел главного бухгалтера, имеет вторую степень огнестойкости, т.к. все основные элементы здания выполнены из несгораемых материалов. Помещение отдела главного бухгалтера по пожарной опасности относится к категории «В», т.к. в нем имеются в наличии твердые горючие материалы.

Горючим компонентом в помещении могут являться строительные материалы, используемые в качестве акустической и эстетической отделки помещения: перегородки, двери, полы, мебель, изоляция электропроводки, радиотехнические детали и т.д.

Помимо возможных неисправностей в электрических цепях причинами возникновения пожара могут стать:

- несоблюдение правил пожарной безопасности сотрудниками;

- возникновение зарядов статического электричества и т.д.

В целях пожарной профилактики проводится инструктаж работающих по правилам пожарной безопасности и правилам поведения в случае возникновения пожара.

Помещение отдела главного бухгалтера, в котором находится экономист, укомплектовано ручным углекислым огнетушителем. Возле здания есть противопожарный щит. Здание оснащено пожарной сигнализацией с автоматическими датчиками теплового, дымового и светового действия. Для спасения людей в случае возможного пожара разработаны пути эвакуации, схемы которых имеются на каждом этаже.

Помещение отдела главного бухгалтера по пожарной безопасности соответствует требованиям ГОСТ 12.1.004-1 и НПБ 105-03.

Оптимальная организация рабочего места:

Главными элементами рабочего места экономиста являются письменный стол и кресло. Основным рабочим положением является положение сидя.

Высота рабочей поверхности рекомендуется в пределах 680-760 мм. Высота рабочей поверхности, на которую устанавливается клавиатура, должна составлять 650 мм.

Большое значение придается характеристикам рабочего кресла. Так, рекомендуется высота сиденья над уровнем пола должна быть в пределах 420-550 мм. Поверхность сиденья рекомендуется делать мягкой, передний край закругленным, а угол наклона спинки рабочего кресла - регулируемым.

Положение экрана определяется:

-      расстоянием считывания (0,6 ± 0,1 м);

-      углом считывания, направлением взгляда на 20° ниже горизонтали к центру экрана, причём экран перпендикулярен этому направлению.

Должна предусматриваться возможность регулирования экрана:

-      по высоте ± 3 см;

-           по наклону от 10° до 20° относительно вертикали;

-           в левом и правом направлениях.

Зрительный комфорт подчиняется двум основным требованиям:

-      четкости на экране, клавиатуре и в документах;

-      освещенности и равномерности яркости между окружающими условиями и различными участками рабочего места.

Причина неправильной позы пользователей обусловлена следующими факторами: нет хорошей подставки для документов, клавиатура находится слишком высоко, а документы - слишком низко, некуда положить руки и кисти, недостаточно пространство для ног.

Характеристики используемого рабочего места:

-      высота рабочей поверхности стола 750 мм;

-           высота пространства для ног 650 мм;

-           высота сиденья над уровнем пола 450 мм;

-           поверхность сиденья мягкая с закругленным передним краем;

-      предусмотрена возможность размещения документов справа и слева;

-      расстояние от глаза до экрана 700 мм;

-           расстояние от глаза до клавиатуры 400 мм;

-           расстояние от глаза до документов 500 мм;

-      возможно регулирование экрана по высоте, по наклону, в левом и в правом направлениях.

Эти условия удовлетворяют требованиям к организации рабочего места по СанПиН 2.2.3/2.4.1340-03.

Характеристика освещенности:

Требования к освещению на рабочих местах, оборудованных ПЭВМ, изложены в СанПиН 2.2.2./2.4.1340-03:

искусственное освещение должно осуществляться системой общего равномерного освещения. Для освещения зоны расположения документов, дополнительно устанавливаются светильники местного освещения;

освещенность на поверхности стола должна составлять 300-500 лк. Освещение не должно создавать бликов на поверхности экрана, освещенность которого не должна быть более 300 лк.

яркость светящихся поверхностей (окна, светильники и др.), находящихся в поле зрения, должна быть не более 200 кд/м2;

яркость бликов на экране ПЭВМ не должна превышать 40 кд/м2, а яркость потока - 200 кд/м2;

показатель ослепленности для источников общего искусственного освещения должен быть не более 20;

соотношение яркости между рабочими поверхностями не должно превышать 3:1-5:1, а между рабочими поверхностями и поверхностями стен и оборудования 100:1;

в качестве источников света при искусственном освещении следует преимущественно применять люминесцентные лампы типа ЛБ и компактные люминесцентные лампы КЛЛ;

светильники применять с зеркальными параболическими решетками, укомплектованными электронными пускорегулирующими аппаратами (ЭПРА).

Инструментальный контроль освещенности в помещении выявил следующие данные:

коэффициент естественного освещения (КЕО) 0,6;

- освещенность рабочей поверхности лк;

в качестве источников света применяются люминесцентные лампы типа ЛБ.

Параметры освещенности рабочей зоны соответствуют нормам СНиП 23-05-95 и СанПиН 2.2.2/2.4.1340-03 «Гигиенические требования к персональным электронно-вычислительным машинам и организации работы».

Расчет кондиционера для рабочего помещения отдела главного бухгалтера

Кондиционирование воздуха - автоматическое поддержание в закрытых помещениях всех или отдельных параметров воздуха (температуры, относительной влажности, чистоты, скорости движения) с целью обеспечения главным образом оптимальных метеорологических условий, наиболее благоприятных для самочувствия людей, ведения технологического процесса, обеспечения сохранности ценностей.

Параметры микроклимата при отоплении и вентиляции помещений (кроме помещений, для которых метеорологические условия установлены другими нормативными документами) следует принимать по ГОСТ 30494, ГОСТ 12.1.005, СанПин 2.1.2.1002 и СанПиН 2.2.4.548 для обеспечения метеорологических условий и поддержания чистоты воздуха в обслуживаемой или рабочей зоне помещений (на постоянных и непостоянных рабочих местах).

Основные теплопритоки в помещение складываются из следующих составляющих:

1) Теплопритоки, возникающие за счет разности температур внутри помещения и наружного воздуха, а также солнечной радиации , рассчитываются по формуле


где V- объем помещения;

 - удельная тепловая нагрузка, принимается:

-35 - если нет солнца в помещении; 35 - среднее значение; 35-40 - если большое остекление с солнечной стороны;

(Вт)

) Теплопритоки, возникающие за счет находящейся в нем оргтехники .

В среднем берется 300 Вт на 1 компьютер в полной комплектации (или 30% от мощности оборудования).

 (Вт)

) Теплопритоки, возникающие от людей, находящихся в помещении .

Обычно для расчетов принимается: 1 человек - 100 Вт (для офисных помещений),

 (Вт)

К подсчитанным теплопритокам прибавляется 20% на неучтенные теплопритоки:

 (Вт)

 (Вт)

Таким образом, мощность, которой должен обладать кондиционер, равна примерно 2 кВт. Из этого следует, что в это помещение будет достаточно поставить один кондиционер мощностью 2 кВт или выше. Расположить кондиционер следует на стене, ориентируясь к середине комнаты и он будет довольно равномерно охлаждать воздух в помещении, поддерживая благоприятный микроклимат. Была выбрана модель кондиционера Aermec EWI 071H / CWI 071H с мощностью охлаждения 2,10 кВт и мощностью охлаждения 2,40 кВт и потребляемой мощностью 0,53 кВт.

.2 Экология

Анализ негативного воздействия производственной деятельности предприятия ОАО «КНИИТМУ» на окружающую среду.

Приоритетные направлении деятельности акционерного общества:

Основным направлением деятельности ОАО «КНИИТМУ» является разработка, производство, внедрение на объектах заказчиков и авторское сопровождение систем и комплексов телекоммуникации, связи и АСУ (систем и средств помехоустойчивой передачи информации, средств защиты информации), радиоэлектронных систем управления воздушным движением и аэродромного обеспечения (подвижных аппаратных) и гражданской продукции (систем и средств оповещения, систем навигации на основе сигналов глобальных навигационных спутниковых систем и т.д.).

Рабочие площади ОАО «КНИИТМУ»:

.     Транспортный цех

2.      Заготовительный цех

.        Сборочный цех

Характеристика выбросов в атмосферу:

Предприятие ОАО «КНИИТМУ» имеет разрешение на выброс загрязняющих веществ в атмосферу стационарными источниками загрязнений, выданным Главным управлением природных ресурсов и охраны окружающей среды. В целом на размер экологических платежей за выбросы в атмосферу за 2012 год составили 55 тыс. руб.

Таблица 4.7. Перечень и количество вредных веществ, выбрасываемых в атмосферу

 №№ п/п (код)

 Название (формула) соединений

ПДК м.р. ПДК с.с. ОБУВ мг/м3

 Класс опасности

0184

Свинец и его неорганические соединения

0,0005

1

0328

Сажа

0,150

3

1

2

3

4

0330

Ангидрид сернистый (серы диоксид - SO2)

0,500

3

0337

Углерода оксид (СО)

2,000

4

2754

Углеводороды предельные C12-C19

0,500

4

2907

Пыль неорганическая (SiO2 > 70 %)динас и др.

0,250

3

2908

Пыль неорганическая (SiO2 =20-70 %) цемент и др.

0,300

3

2909

Пыль неорганическая (SiO2 <20 %) известняк и др.

0,500

3


Характеристика водопотребления и сбросов в гидросферу:

Расход питьевой воды цехами и другими объектами предприятия, потребляемой из городского водопровода в рабочие дни, составляет 14 тыс.м3/год, расход воды в праздничные и выходные дни - 10,02 м3/сут.

Фактический сброс отходов в гидросферу и предельно допустимый сброс, утверждённый Комитетов природных ресурсов, указан в таблице 4.8.

Таблица 4.8 Сброс веществ, поступающих в водный объект со сточными водами

Показатели состава сточных вод

Фактическая концентрация

Фактический сброс

Допустимая концентрация

Утвержденный предельно-допустимый сброс



г/час

т/год


г/час

т/год

Взвешенные вещества

7,09

612,43

0,03143

12,85

3021,035

0,155

Хром (III)

0,005

1,697

0,0001

0,036

8,464

0,0004

Хром (VI)

отс.

отс.

отс.

отс.

отс.

отс.

Медь

0,03

3,553

0,0002

0,001

0,235

0,00001

Нефтепродукты

0,19

12,7756

0,0008

0,05

11,755

0,0006

Хлориды

70,80

3122,19

0,1786

66,32

15591,83

0,8002

1

2

3

4

5

6

7

Фосфаты

0,07

4,112

0,0002

0,14

32,914

0,0017

Железо

0,17

12,265

0,0009

од

23,51

0,0012

Нитриты

0,0019

1,1159

0,00005

0,0147

3,456

0,0002

Нитраты

5,3

578,63

0,034

7,369

1732,45

0,889

Сульфаты

32,40

2343,37

0,1123

86,29

20286,78

1,0411


Отходы приведены в соответствие со следующей классификацией:

-      1 класс опасности - 1 вид (люминесцентные лампы);

-      2 класс опасности - 1 вид (отработанные аккумуляторы);

-      3 класс опасности - 1 вид (легковоспламеняющиеся жидкости);

-      4 класс опасности - 7 видов (смесь гидроокисей тяжёлых металлов, отработанные шины, осадок мойки автотранспорта, отработанные масла, лом чёрных и цветных металлов, малотоксичные производственные твёрдые отходы);

-      Нетоксичные отходы - 1 вид (твёрдые бытовые отходы).

Мероприятия, проводимые на ОАО «КНИИТМУ» по уменьшению вредного воздействия на окружающую природную среду:

Нормативными показателями экологичности предприятий, транспортных средств, производственного оборудования и технологических процессов являются предельно допустимые выбросы (ПДВ) в атмосферу, предельно допустимые сбросы (ПДС) в гидросферу, а также нормативы образования и лимиты размещения отходов. Наибольшее количество газов и взвешенных частиц, загрязняющих воздушную среду, образуется при транспортировке, перемешивании материалов, загрузки и разгрузки сырья на складах и в бетоносмесительном цехе, горении топлива в котельной, конденсации паров в компрессорных. Для хранения токсичных отходов на ОАО «КНИИТМУ» имеется площадка временного хранения отходов. Место хранения оборудовано средствами пожаротушения. Отработанные аккумуляторы необходимо хранить в защищенном от атмосферных осадков месте. Основной мерой безопасности является предотвращение разлива кислотного раствора. Пролитый электролит необходимо нейтрализовать известью. Работы необходимо выполнять в резиновых перчатках. Шины необходимо хранить вдали от источников открытого огня и соблюдать меры пожарной безопасности. Мероприятия, проводимые ОАО «КНИИТМУ», по снижению влияния воздействия загрязняющих веществ на окружающую среду: Защита атмосферы:

·    В системах вентиляции цехов используются фильтры, в которых твердые частицы улавливаются при прохождении выпускных газов через фильтрующий элемент путем их центрифугирования;

·        Внедрение ресурсо-сберегательной технологии

·        В системах вентиляции помещений и испытательных боксов используются фильтры, в которых твердые частицы улавливаются при прохождении выпускных газов через фильтрующий элемент путем их центрифугирования;

·        Плановые мероприятия по их техническому обслуживанию и регулировке систем;

Защита гидросферы:

·    Вакуумная уборка и гидросмыв поверхностей

·        Оборотное водоснабжение.

·        Плановые мероприятия по их техническому обслуживанию и регулировке систем;

·        Активное использование заводских очистных сооружений;

·        Оборотное водоснабжение.

Защита литосферы:

·    Передача отходов на переработку, захоронение и утилизацию специализированным предприятиям по переработке отходов;

·        Обезвоживание осадка очистных сооружений;

Заключение

Управление автотранспортным парком и грузопотоками - это головная боль многих предприятий, даже если это направление является не основным, а сопутствующим. Большую помощь сегодня в этом может оказать спутниковый мониторинг транспорта. Его используют для определения и предотвращения несанкционированного использования авто, контроля заправок, слива топлива, а при необходимости - контроля параметров перевозимого груза. На самом деле, это всего лишь вершина айсберга удобств и услуг, получаемых от внедрения системы транспортного мониторинга.

Огромную роль система АСУ-ГХ играет в оптимизации маршрутов движения. В случае задержки прибытия водителя в пункт назначения, система мониторинга транспорта ГЛОНАСС/GPS сможет проконтролировать ситуацию и оперативно изменить маршрут. Также система помогает вести систематический учёт расхода топлива, существенно снижая расходы предприятия по этой статье.

Следует отметить повышение дисциплины водителей, ведь уже не получится безнаказанно выезжать позже и нагонять упущенное время в дороге, превышать скорость и оставлять автомобиль с включённым двигателем на долгое время. Система мониторинга транспортных средств (ТС) отражает все действия водителя в отчётах. Организации, которые начали применять спутниковый ГЛОНАСС/GPS мониторинг автомобилей, смогли на 30% сократить расходы своих средств на транспорт.

Внедрение системы мониторинга и контроля транспорта позволяет предприятию вести более эффективную конкурентную борьбу благодаря возможности планирования автоперевозок и оптимизации грузопотоков. В качестве дополнительных услуг ваша компания сможет предоставлять клиентам информацию о местоположении их груза и о параметрах его состояния (о температуре, давлении, влажности и т.д.). Наряду с этим, система мониторинга ТС значительно улучшает существующую систему безопасности автомобилей, так как даёт возможность наблюдать за местоположением транспорта в реальном времени, а тревожная кнопка позволяет диспетчеру оперативно отреагировать на нештатную ситуацию. Как показала практика, внедрение систем слежения улучшает качество, эффективность и слаженность работы отдела логистики, транспортного отдела, бухгалтерии и склада.

В настоящее время на рынке представлены системы с разным функционалом, и диапазон цен достаточно большой. Основное отличие между ними - это канал доставки информации от установленного на автомобиле терминала, осуществляющего спутниковый мониторинг авто, до клиента. Большое распространение получили три вида каналов доставки: сотовая связь, спутниковая связь и радиосвязь. Использование радиосвязи (система АСУ) является самым дешевым средством, но необходимость дополнительно устанавливать приемо-передающие устройства в зонах передвижения автотранспорта, необходимость получения разрешения на использование радиочастот и их низкая пропускная способность сводят на нет все преимущества. ГЛОНАСС/GPS мониторинг ТС (АСУ-ГХ, М2М, Вистар) с использованием спутниковой связи является самым надёжным, но и самым дорогим, как в обслуживании, так и при покупке терминалов. Часто спутниковую связь используют в комплексе с другими каналами, если необходима высокая надежность и бесперебойность связи с транспортом. Сотовая связь является золотой серединой, отличается доступной, необременительной ценой обслуживания, достаточной зоной покрытия. Большое количество преимуществ и недорогое оборудование делают данный сегмент терминалов самым массовым. Зоны отсутствия покрытия сотовой связи (GPRS) при GSM мониторинге транспорта компенсируются буферизацией информации в терминале и передачи ее на сервер при первой возможности.

Если вы решили купить систему мониторинга транспорта, то кроме стоимости самих терминалов и канала связи вам следует обратить внимание на стоимость программного обеспечения автоматизированного рабочего места диспетчера и карт (или планов-схем), используемых в программе. Наиболее оптимальным вариантом является система АСУ-ГХ, программное обеспечение уже входит в стоимость системы.

Нередко программа для мониторинга транспорта продаётся отдельно, и стоимость её порой существенна.(М2М, Вистар)

Также следует обратить внимание на качество самих терминалов, так как из-за вибрации в автотранспорте предъявляются повышенные требования к разъемам, а температура и влажность окружающей среды оказывают большое влияние на элементную базу терминала.

Система АСУ-ГХ обеспечивает максимальную надежность, работоспособность и помехоустойчивость системы.

Системы типа АСУ-ГХ окупаются за непродолжительный период - от 2 до 12 месяцев. Но тем руководителям, которые решили установить на своём предприятии подобную систему, следует учитывать, что существует возможность возникновения проблем с водителями, и потребуется компенсация части «левых» доходов повышением заработной платы. В итоге спутниковый GPS мониторинг транспорта позволяет получить прозрачный, предсказуемый и поддающийся планированию отдел грузоперевозок.

Сегодня мониторинг автотранспорта ГЛОНАСС/GPS - это услуга, которая необходима не только для предприятий, содержащих собственные автопарки, но и для частных лиц, так как она позволяет значительно увеличить производительность труда транспортной компании и уберечь автомобиль от хищения.

Таким образом, актуальность данной темы состоит в том, что после установки системы АСУ-ГХ на транспортные средства муниципальных хозяйств мы получаем не только экономические выгоды, но и разгружаем улицы от холостых пробегов городского транспорта, улучшаем экологическое состояние.

Была достигнута цель дипломной работы, разработаны мероприятия по внедрению системы мониторинга транспорта АСУ-ГХ.

Были решены следующие задачи:

.     Исследованы методы и технологии технико-экономического анализа и обоснования проектных решений.

3.      Дана краткая характеристика предприятия.

.        Произведен анализ производства базовых и типовых вариантов систем мониторинга городского транспорта.

.        Произведен сравнительный технико-экономический анализ системы АСУ-ГХ с другими имеющимися системами.

Система АСУ-ГХ показала себя как наилучший вариант системы мониторинга городского хозяйства, по техническим и экономическим показателям.

Список литературы


1)    Федеральный закон от 26 октября 2002 г. № 127-ФЗ "О несостоятельности (банкротстве)" // Российская газ. - 27.09. - с.4

2)      Постановление Правительства Российской Федерации от 20 февраля 2006 г. (посл. ред. от 12.08.2011 г. № 672) // Российская газ. - 10.06.

)        Методические указания по разработке и защите выпускной квалификационной работе (дипломной работы) - Калуга: Изд. КФ МГТУ, 2011

)        Арустамов Э.А. Безопасность жизнедеятельности.- М.: Изд-во "Дашков и К", 2002. - с. 348

)        Барнгольц С.Б. Мельник М.В. Методология экономического анализа деятельности хоязйствующего субъекта: Учеб. пособие. М.: Финансы и статистика, 2003. 240с. с.19

)        Беренс В., ХавранекП. М. Руководство по подготовке промышленных технико-экономических исследований. - М.: Интерэксперт, 1995.

)        Ветошкин А.Г., Разживина Г.П. Безопасность жизнедеятельности. Оценка производственной безопасностиУчебное пособие. Пенза: Издательство Пенз. госуд. архит. - строит. академия, 2002г. -172с.

)        Герасимов Б.И. Комплексный экономический анализ финансово-хозяйственной деятельности организации: учебное пособие. - Тамбов: изд-во. Тамб. гос. техн. ун-та, 2008. - 160 с.

)        Дубровина Т.И. Безопасность жизнедеятельности. Охрана труда. Учебно-методическое пособие для студентов всех специальностей факультетов университета и колледжа очной и заочной форм обучения. - Петропавловск-Камчатский: КамчатГТУ, 2005. - 48 с.

10)  Зимин Н.Е., Технико-экономический анализ деятельности предприятий: Учеб. пособие. М.: Колос, 2001. 256 стр.

11)  Калинина В.М. Безопасность жизнедеятельности - Техника безопасности. Безопасность труда. Учебно-практическое пособие.:М.: MSTA, 2004. - с. 42

12)    Любушин Н. П. Комплексный экономический анализ хозяйственной деятельности: учеб, пособие для студентов вузов. / Н. П. Любушин. - 3-е изд., перераб. и доп. - М.: ЮНИТИ-ДАНА, 2006. - 448 с.

)        Любушин Н.П. Экономический анализ. учебник. М.: ЮНИТИ-ДАНА, 2007. 575 с.

)        Перерва О.Л. Экономика и управление инновационными процессами на промышленном предприятии: теория, методология, практика: Монография. - М.: Издательство МГТУ им. Н.Э. Баумана, 2005. - 280 с. с. 168.

)        Ример М. И, Касатов А. Д., Матиенко Н. Н. - Экономическая оценка инвестиций 2-е изд. - СПб.: Питер, 2008. - 480 с.

)        Савицкая Г.В. Анализ хозяйственной деятельности предприятия: Учеб. Пособие/ Г.В. Савицкая.- 7-ое изд., испр.- Мн.:Новое знание, 2008.- 704 с.

)        Павловец В.Б. Какая кредитная нагрузка будет оптимальной для всей организации// Финансовый директор.-2010.-№7-8.-c. 29-35

)        Урусов А.П. Путевой технопарк// Калужский Бизнес-журнал.-2009.-№2.-с. 24-25

)        Щербина Ю. В. Технические средства автоматизации и управления. Москва, Московский государственный университет печати, 2002. 213 стр.

)        http://www.kniitmu.ru/

)        http://m2m-t.ru/

)        http://vistar.ru/

)        http://ru.wikipedia.org/

)        http://www.unisky.ru/

Похожие работы на - Организация и технико-экономическое обоснование производства системы АСУ-ГХ (на примере ОАО 'КНИИТМУ')

 

Не нашли материал для своей работы?
Поможем написать уникальную работу
Без плагиата!
Без нейросетей!