Компьютерный анализ изображений позитронно-эмиссионной томографии
МИНИСТЕРСТВО
ОБРАЗОВАНИЯ И НАУКИ РОССИЙСКОЙ ФЕДЕРАЦИИ
Федеральное
государственное бюджетное образовательное учреждение
высшего
профессионального образования
«КУБАНСКИЙ
ГОСУДАРСТВЕННЫЙ УНИВЕРСИТЕТ»
(ФГБОУ
ВПО «КубГУ»)
Физико-технический
факультет
Кафедра
физики и информационных систем
Допустить
к защите в ГАК
_____
. ____ . 2013 г.
Заведующий
кафедрой
д-р
физ.-мат. наук, профессор
_______________Н.
М. Богатов
ДИПЛОМНАЯ
РАБОТА
КОМПЬЮТЕРНЫЙ
АНАЛИЗ ИЗОБРАЖЕНИЙ ПОЗИТРОННО-ЭМИССИОННОЙ ТОМОГРАФИИ
Работу
выполнила Приходько Анна Викторовна
Специальность
200402 - Инженерное дело в медико-биологической практике
Научный
руководитель
доктор
физ.-мат. наук профессор Н.М.Богатов
Нормоконтролёр
доцент В. Ф. Савченко
Краснодар
2013
СОДЕРЖАНИЕ
Введение
.
Общие сведения об ПЭТ и перспективы развития
.1
История развития
.2
Физические основы ПЭТ
.3
Этапы исследования и основные блоки сканера
.4
Аппаратура для ПЭТ
.
Клиническое применение ПЭТ
.1
ПЭТ в онкологии
.2
ПЭТ в кардиологии
.3
ПЭТ в неврологии
.4
Достоинства и недостатки
.
Постановка задачи и методы томографирования
.1
Основные определения и постановка задачи томографии
.2
Восстановление сечений с использованием Фурье преобразований
.3
Метод обратной проекции
.4
Обратная проекция с фильтрацией свёрткой
.5
Итерационные методы восстановления
.6
Алгебраический метод восстановления (ART) или получевая коррекция
.7
Итерационный метод наименьших квадратов (ILST) или одновременная коррекция
.8
Преобразования Радона
.
Методический тест для студентов
.1
Технологи Клиент-Сервер и Сервер-Word
.2
Статистический анализ результатов теста среди учащихся
.3
Преимущества программы «Тест»
Заключение
Список
использованных источников
Реферат
Приходько А.В. Алгоритмы обработки сигналов
позитронно-эмиссионной томографии. Дипломная работа: 85с., рис33., 25
источников
ПОЗИТРОННО-ЭМИССИННАЯ, ТОМОГРАФИЯ, ЭМИССИЯ,
АННИГИЛЯЦИЯ
Объектом разработки данной дипломной работы
является радионуклидный томографический метод исследования внутренних органов.
Этот метод основан на том, что в ткани вводят особый радиофармпрепарат. В его
состав входят радионуклиды, для которых характерен так называемый позитронный
бета-распад. После того, как радиофармпрепарат был введен проводится
регистрация так называемых «гамма-квантов».
Целью работы является изучение принципа работы
ПЭТ - устройства, а также достоинства и недостатки ПЭТ, рассмотрение методов
томографии, написание методического теста для обучающихся, написание программы
«тест» для студентов, статистический анализ результатов тестирования.
В результате выполнения дипломной работы изучен
метод работы ПЭТ, принцип обработки сигналов, также алгебраические и
итерационные методы томографии, создан методический тест на проверку знаний для
студентов, написана программа «Тест», сделан статистический анализ результатов
тестирования.
ВВЕДЕНИЕ
Древняя латинская поговорка гласит:
"Diagnosis cetra - ullae therapiaefundamentum" ("Достоверный
диагноз - основа любого лечения"). На протяжении многих веков усилия
врачей были направлены на решение труднейшей задачи - улучшение распознавания
заболеваний человека.
Потребность в методе, который позволил бы
заглянуть внутрь человеческого тела, не повреждая его, была огромной, хотя и не
всегда осознанной. Ведь все сведения, касающиеся нормальной и патологической
анатомии человека, были основаны только на изучении трупов. После того, как в
Европе стали широко изучаться вскрытия трупов, врачи смогли изучить строение
органов человека, а также изменения, которые они претерпевают при тех или иных
заболеваниях. Какую огромную пользу принес бы непосредственный осмотр
человеческого организма, если бы он стал вдруг "прозрачным"! И вряд
ли кто-нибудь из ученых прошлого мог предположить, что эта мечта вполне
осуществима. [20]
Потребность увидеть не оболочку, а структуру
организма живого человека, его анатомию и физиологию была столь насущной, что,
когда чудесные лучи, позволявшие осуществить это на практике, были наконец
открыты, консервативные и часто недоверчивые к новшествам врачи почти сразу
поняли, что в медицине наступила новая эра. Уже в первые дни и недели после
того, как стало известно о существовании и свойствах этих лучей, врачи
различных стран начали применять их для исследования важнейших органов и систем
человеческого тела.
В течение первого же года появились сотни
научных сообщений в печати, посвященных результатам таких исследований.
Количество сообщений в последующие годы нарастало. Выяснялись все новые
возможности рентгенологического метода. Появились первые книги, посвященные
этому методу. Вскоре эта литература стала необозримой.
В 1946 г. известный советский клиницист и
организатор здравоохранения Н.Н. Приоров на заседании, посвященном 50-летию
рентгенологии, говорил: "Что стало бы сегодня с физиотерапией и урологией,
гинекологией, неврологией и онкологией, хирургией и ортопедией, офтальмологией
и травматологией, если бы лишить их того, что дала рентгенология в области
диагностики и лечения?" Но процесс науки и техники неудержим.[18]
Не успели врачи полностью освоить возможности
рентгеновских лучей в диагностике, как появились другие методы, позволяющие
получить изображение внутренних органов человека, дополняющие данные
рентгенологического исследования. К ним относятся радионуклеидное и
ультразвуковое исследования, тепловидение, ядерно-магнитный резонанс, фотонная
эмиссия, позитронно-эмиссионная томография (ПЭТ) и некоторые другие методы, еще
не получившие широкого распространения.
Эти способы основаны на использовании близких по
своей природе волновых колебаний, для проникновения которых ткани человеческого
тела не являются непреодолимым препятствием. Они объединяются и тем, что в
результате взаимодействия волновых колебаний с органами и тканями организма на
различных приемниках - экране, пленке, бумаге и др. - возникают их изображения,
расшифровка которых позволяет судить о состоянии различных анатомических
образований. Такими образом, все указанные методы принципиально близки
рентгенодиагностике как по своей природе, так и по характеру конечного
результата их применения.
Внедрение в практику этих методов (наряду с
рентгенологией) привело к возникновению новой обширной медицинской дисциплины,
получившей за рубежом название диагностической радиологии (от латинского radius
- луч), а у нас -лучевой диагностики. Возможности этой дисциплины в
распознавании заболеваний человека весьма велики. Ей доступны практически все
органы и системы человека, все анатомические образования, размеры которых выше
микроскопических.
В отличие от классических медицинских методик
(пальпации, перкуссии, аускультации) основным анализатором информации, получаемой
способами лучевой диагностики, является орган зрения, при помощи которого мы
получаем около 90% сведений об окружающем мире, и притом наиболее достоверных.
[3]
Когда широкая сеть медицинских учреждений будет
оснащена высококачественной аппаратурой, позволяющей использовать все
возможности лучевой диагностики, а врачи, работающие в этих учреждениях, будут
обучены обращению с этой сложной аппаратурой и, главное, полноценной
расшифровке получаемых с ее помощью изображений, диагностика основных заболеваний
человека станет более ранней и достоверной не только в крупных
научно-исследовательских и клинических центрах, но и на передовом крае нашего
здравоохранения - в поликлиниках и районных больницах. В этих учреждениях
работает основная масса врачей. Именно сюда обращается подавляющее большинство
больных при возникновении каких-либо тревожных симптомов.
От уровня работы именно этих
лечебно-диагностических учреждений в конечном итоге зависит ранняя и
своевременная диагностика, а следовательно во многом и результаты лечения
подавляющего большинства болезней.[20]
1. ОБЩИЕ СВЕДЕНИЯ ОБ ПЭТ И ПЕРСПЕКТИВЫ РАЗВИТИЯ
1.1 История развития
Методика
ПЭТ отображения является комбинацией двух изобретений, представленных к
Нобелевской премии - радиоактивного индикатора и принципов томографии.
В период с середины 40-х до начала 1950-х
интерес к радиактивным индикаторам был небольшим. Возможно, причиной стало
открытие в 1940 Каменом и Рубеном 14С, более универсального и эффективного
атома, чем 11С.
История
ПЭТ началась в 1950-ых, когда появилась возможность отображения позитрона,
испускающего нуклиды: фотоны с высокой энергией, произведенные при уничтожении
позитрона, можно использовать для описания физиологического 3D распределения
химического состава.
В
середине 1950-ых, Терпогосян выдвинул идею, что, несмотря на короткое время
полураспада этих радионуклидов, они пригодны для изучения регионального
метаболизма.
Первый
прототип ПЭТ сканера появился в 1952 году Массачусетском госпитале после 6
месяцев разработки конструкции. Он имел всего лишь два детектора на основе
йодистого натрия расположенных друг напротив друга и позволял получать
изображения, основанные как на обнаружении совпадения событий, так и на
дисбалансе. Дисбаланс одноканальных детекторов использовался для создания
изображения на основе регистрации любого дисбаланса между каналами детекторов.
Разрешение было низким, но чувствительность устройства все же позволяла
обнаружить опухоль и ее пространственное положение относительно срединной линии
мозга.[4]
С середины 1950-ых до начала 1970-ых
радионуклиды использовались мало. С начала 1970-ых испускающие позитрон
радионуклиды стали популярны и интерес к ПЭТ исследованиям возрос. Были созданы
сложные алгоритмы реконструкции и усовершенствованы датчики.
Рисунок
1 - Первый клинический позитронно-эмиссионный томограф 70-х
В 1980х ПЭТ стал использоваться для динамических
исследований метаболизма человека.
На развитие технологии ПЭТ повлияли три фактора:
1)
большинство метаболических процессов в теле происходят достаточно быстро, чтобы
следить за ними с помощью короткоживущих радионуклидов;
)
несмотря на короткое время жизни изотопов, стала возможна быстрая радиоактивная
маркировка сложных молекул;
)
проникающее излучение, возникающее при уничтожении позитронов, показало, что
можно локализовать этих позитроны.
Первые ПЭТ сканеры с множеством детекторов были
созданы в начале 1960-ых в нескольких исследовательских центрах и представляли
собой системы с кольцом из 32 датчиков и разрешением более 2 см, позволяющие
получать единичные срезы. Это позволило повысить чувствительность метода и
получить двумерное изображение.[4]
В следующем поколении ПЭТ сканеров, появившемся
в 1968 году, был уменьшен размер датчика и добавлены дополнительные кольца,
позволяющие одновременно получать несколько срезов с разрешением менее 1 см.
Такие сканеры позволяли получать двумерные
изображения срезов головного мозга, третья координата обнаруженных опухолей
определялась по положению соответствующего среза.
В 1970 году для обработки полученных данных было
предложено использовать алгоритм обратного проецирования. В конце 1970-ых ПЭТ
сканеры стали использоваться для проведения коммерческих исследований.
Разрабатывались новые сканеры с большим числом датчиков для увеличения
чувствительности и разрешения.
После многих лет исследований, в Университете
штата Пенсильвания было создано устройство, названное PENN-ПЭТ. Оно состояло из
множества позитронных датчиков, расположенных вокруг отверстия для пациента в
виде шестиугольника диаметром 50 см. PENN-ПЭТ давал высокую чувствительность и
разрешение 5,5 мм и был менее сложен и дорог, чем системы с кольцом детекторов.
Рисунок
2 - современный позитронно-эмиссионный томограф
Дальнейшее усовершенствование ПЭТ-сканеров
состоит в повышении пространственного разрешения, чувствительности детекторов,
увеличении числа одновременно получаемых срезов, коррекции аттенюации и
разработке новых алгоритмов реконструкции изображений.
Хотя в последние 20 лет ПЭТ использовалась
преимущественно для научных исследований, ее роль как метода диагностики
находится на стадии становления. В настоящее время основными областями
клинического применения ПЭТ являются онкология, кардиология, неврология.
1.2 Физические основы
ПЭТ
В 1931 году Ворбург обнаружил, что
злокачественные опухоли отличаются повышенным уровнем потребления глюкозы. В
1977 году Соколов предложил измерять локальный уровень метаболического
потребления глюкозы в мозгу крыс с помощью дезоксиглюкозы меченой радиоактивным
изотопом углерода. Фелпс в 1979 году предложил измерять тот же параметр у людей
с помощью дезоксиглюкозы меченой радиоактивным изотопом фтора 18F
(фтородезоксиглюкозы). [3]
Фтородезоксиглюкоза (ФДГ) является аналогом
глюкозы на нескольких этапах ее метаболизма, но, в отличие от глюкозы,
метаболизм ФДГ прекращается преждевременно и ее продукт накапливается в тканях.
Радиоактивный 18F (T = 109 мин) распадается, испуская позитрон, b+. Эти работы
и заложили основы позитронной эмиссионной томографии.
Позитроны (b+) - положительно заряженные
электроны. Они излучаются из ядра некоторых радиоизотопов, являющихся
нестабильными, так как те имеют избыточное число протонов и несут положительный
заряд. Некоторые наиболее известные излучатели позитронов представлены на рис.1
(на нем же даны энергии позитронов и максимальное расстояние, которое способен
преодолеть позитрон в биологической ткани, пробег).
Рисунок 3 - Радионуклиды - позитронные
излучатели, используемые в ПЭТ, и максимальные пробеги испускаемых ими
позитронов в биологической ткани
Позитронная эмиссия стабилизирует ядро за счет
устранения положительного заряда путем превращения протона в нейтрон. За счет
этого, один элемент превращается в другой, атомное число последнего на единицу
меньше, чем у исходного. Для изотопов, использующихся при
позитронно-эмиссионной томографии, элемент, образующий в результате
позитронного распада является стабильным (не радиоактивным).
Все радиоизотопы, использующиеся в ПЭТ распадаются
путем позитронной эмиссии. Позитрон (b+), испущенный распадающимся ядром,
проходит короткое расстояние прежде чем столкнуться с электроном близлежащего
атома.
Позитрон соединяется с электроном близлежащего
атома образуя атом позитрония (В зависимости от взаимного расположения спинов
электрона и позитрона возникают атомы орто- или парапозитрония. Они живут
разное время, но для целей ПЭТ это не существенно, т.к. распадаются
«практически мгновенно»).[10]
При распаде атома позитрония электрон и позитрон
аннигилируют, преобразуя свою массу два гамма-кванта с энергией 511 КэВ
направленных почти на 180 градусов (противоположно) друг от друга. Данные
фотоны с легкостью выходят за пределы тела в котором находятся и могут
регистрироваться внешними детекторами. Регистрируемые противоположно
направленные гамма-лучи, возникающие в результате раздробления позитрония
называются линией совпадения (каждая линия регистрирует именно те два
гамма-кванта, которые участвовали в акте аннигиляции).
Линии совпадения используются в схеме
регистрации для формирования томографических изображений на позитронном
томографе. Эти данные реконструируются с тем, чтобы получить карту
интенсивности радиоактивного распада внутри объекта (реконструкция
пространственного распределения молекулярного зонда). Полученные изображения
анализируются специальными методами с целью выявления аномалий в интенсивности
радиационного поля. Области повышенной (или пониженной) концентрации
позитронного молекулярного зонда свидетельствуют о ненормальном функционировании
органа. [13]
Рисунок 4 - Аннигиляция позитрон-электронной
пары в диагностической установке ПЭТ
В процессе ПЭТ-исследования
позитрон-эмиттирующий радиоизотоп вводится пациенту внутривенно или путем
ингаляции. После этого, изотоп циркулирует в кровяном русле и достигает,
например ткани головного мозга или сердечной мышцы. Как только происходит
аннигиляция, томограф регистрирует локализацию изотопа и вычисляет его
концентрацию.
Линия, которая возникает после аннигиляции
отражает собой эмиссию двух гамма-лучей, с энергией 511 кэВ направленных
приблизительно на 180 градусов (противоположно) друг по отношению к другу.
Работа томографа заключается в том, чтобы регистрировать эти лучи, означающие,
что позитронная аннигиляция произошла где-то на данной линии совпадения.
Когда гамма-лучи с энергией 511 кэВ
взаимодействуют с кристаллами сцинтиллятора сделанными, например из германата
висмута они преобразуются в фотоны света. На Рис.5, 6 в схематической форме
показано преобразование электронными устройствами томографа фотонов света в
электрические сигналы. Процессы конвертации и регистрация происходят
практически мгновенно друг за другом, для того чтобы можно было сравнивать
события сцинтилляции с противоположных детекторов (вдоль большого количества
линий совпадений).[15]
Рисунок 5 - Схема регистрации двух
противоположно направленных гамма квантов, одновременно возникших в одной точке
пространства
Пространственное и временное распределение
эмитирующего позитрон радиоизотопа зависит от того как сканируемый орган
реагирует на него биохимически и физиологически. В данном случае отображаются
события позитронной аннигиляции и происходящие следствие этого эмиссии
гамма-лучей.
Рисунок 6 - Кольцеобразное расположение
детекторов вокруг анализируемого объекта
Детекторы кольцеобразно располагаются вокруг
исследуемого объекта. Томограф оборудован пятнадцатью (а то и больше) такими
кольцами для одновременной томографии нескольких поперечных срезов.
Рисунок 7 - Регистрация совпадений на
расходящемся пучке
Каждый детектор может работать режиме
регистрации совпадений со множеством расположенных напротив детекторов. Таким
образом, существует возможность определения совпадений на нескольких углах
(расходящийся пучок). Также, при любом заданном угле, может быть определено
множество выборок, что приводит к увеличению «линейной выборки». Это все вносит
вклад в качество изображений на выходе.
Рисунок 8 - Линейная выборка в схеме совпадений
Приведенные выше рисунки относятся к случаю
отсутствия объекта исследования. При наличии объекта исследования гетерогенной
структуры с неоднородным распределением источника позитронного излучения
детекторы регистрируют радиационное поле, интенсивность которого изменяется в
пространстве и/или времени.
Программное обеспечение томографа получает
данные о событиях совпадения, зарегистрированных в угловых и линейных положениях,
воссоздает пространственно- временную конфигурацию интенсивности гамма-поля
(точнее - дозового поля) вокруг исследуемого объекта, и выдает информацию в
виде изображений (одного или нескольких, снятых в последовательные моменты
времени). [7]
Рисунок 9 - Реконструкция объекта исследования в
плоскости сканирования (одно кольцо)
Компьютер решает обратную задачу - переход от
пространственного распределения интенсивности (скорости счета детекторов)
гамма-поля к пространственному распределению источников излучения - молекул
меченого радионуклидом зонда (сначала - в плоскости сканирования, а затем - во
всем пространстве по данным всех пятнадцати колец).
При наличии центров повышенной абсорбции зонда
(очагов поражения) осуществляется локализация таких центров (находятся все три
пространственные координаты очагов), рассчитываются его размеры и форма и
находится концентрация зонда в очаге (в динамических вариантах выдается
зависимость количества зонда в очаге от времени).
При наличии нескольких близкорасположенных
очагов, заслоняющих друг друга, предпринимаются специальные меры по улучшения
пространственного разрешения методики.[10]
В ПЭТ используются соединения, меченые 11С, Т =
20,4 мин.; 13N, T = 10,0 мин.; 15O, T = 2,1 мин.; 18F, T = 109 мин.; 82Rb, T =
1,25 мин. Все они короткоживущие и синтез на их основе меченых веществ
представляет собой сложную задачу. Ввиду того, что радионуклид 18F - один из
наиболее удобных для клинического использования, то на его основе синтезируется
самый обширный класс фармпрепаратов для ПЭТ, среди которых - самое используемое
соединение.
Позитронно-эмиссионная томография (сокращенно
ПЭТ) расширила наше понимание биохимических основ нормальной и патологической
работы систем внутри организма и позволила проводить биохимические исследования
пациентам одновременно с их лечением.[2]
Возможности позитронно-эмиссионной томографии
велики, так как:
в основе функционирования тканей лежат
химические процессы;
заболевания являются результатами
нарушений в химических системах организма, которые вызываются вирусами,
бактериями, генетическими нарушениями, лекарственными препаратами, факторами
окружающей среды, старением и поведением;
наиболее избирательной, специфичной и
подходящей является терапия, выбранная на основании данных исследования
нарушений химических процессов, лежащих в основе заболеваний;[14]
детекция химических нарушений
обеспечивает наиболее раннюю диагностику заболеваний, даже на досимптомных
стадиях, еще до того, как израсходованы химические резервы или истощены
компенсаторные механизмы головного мозга;
оценка возможности восстановления
химической функции позволяет объективно определять эффективность
терапевтических вмешательств для каждого конкретного пациента;
лучшим способом диагностики
нормальности ткани является определение ее биохимических функций.
Ниже приведено несколько слайдов, иллюстрирующих
проблему реконструкции изображения в позитронной томографии.
Визуализирующий метод нашел применение в
исследовании многих биохимических процессов. Так как в большинстве случаев
локализация и протяженность патологического процесса неизвестна, использование
эффективного метода диагностики во всем организме является первостепенной
задачей. [13]
Визуализация является чрезвычайно эффективным
методом для решения этой задачи, так как данные представляются в виде
изображений, а именно зрение является наиболее эффективной системой восприятия
человека для поиска, определения и описания. Узнавание зависит от типа
информации, представленной на изображении; как в плане определения, что оно
означает, так и в плане какова его чувствительность для идентификация наличия
патологического процесса.
ПЭТ предоставляет возможность визуализировать
ход биологических процессов «in vivo». Визуализация реализуется путем интеграции
двух методик: анализа кинетики метки и компьютерной томографии. Анализ кинетики
метки включает в себя применение меченых радиоактивными изотопами биологически
активных веществ (что и является меткой) и математических моделей, описывающих
кинетику метки, при ее вовлечении в биологический процесс. [21]
Измерение концентрации метки в ткани,
необходимое для математической модели производится ПЭТ сканером. Результатом
является трехмерное изображение анатомического распределения исследуемого
биологического процесса.
Меченые радиоизотопами метки и метод анализа
кинетики метки используются в для количественной оценки таких процессов как
кровоток, мембранный транспорт, метаболизм, синтез, лиганд-рецепторные
взаимодействия, для картирования аксональных зон проецирования антероградной и
ретроградной диффузией, регистрации моментов клеточного деления, маркерного
анализа с использованием метода рекомбинантной ДНК, радиоиммунного анализа,
исследования взаимодействия препаратов с химическими системами организма. [16]
Методика использования меток продолжает
оставаться одной из самых чувствительных и широко используемых для анализа
состояния биологических систем. Позитронно-эмиссионная томография позволяет
проводить данное исследование на живых организмах, в частности на человеке. ПЭТ
связывает воедино точные и клинические науки благодаря общности методов и
решаемых задач.
Перенос методов меченых радиоизотопами веществ к
использованию на человеке при помощи ПЭТ стал возможным благодаря уникальному
классу радиоизотопов, используемых в позитронно-эмиссионной томографии для
мечения веществ: 11C, 13N, 15О и 18F.
Эти изотопы являются единственными формами
естественных элементов (18F используется как замена водорода) которые излучают
радиацию, способную проходить сквозь тело и быть зарегистрованной за его
пределами. Естественные вещества, аналоги веществ и препараты могут быть
помечены этими радиоизотопами, при этом их химические или биологические
свойства не изменяться. [5]
Это позволяет полноценно использовать методы
анализа кинетики меток из базисных биологических наук применительно к человеку.
При этом необходимы возможности количественных измерений позитронно-эмиссионных
томографов.
Помимо человека внешний сканер может быть
использован для изучения мозга мелких животных. Как известно, многие болезни
человека исследуются на подопытных животных. Поэтому значительное внимание
уделяется проблеме использования методов лучевой диагностики в биологической
практике.
С этой целью разработан миниатюрный сканер,
предназначенный для изучения процессов, происходящих в мозге мелких животных,
таких, как мыши, например. Характерно, что это устройство не требует ввода
каких-либо электродов и других деталей в череп.[3]
При этом прибор достаточно чувствителен, чтобы
обнаружить малейшие изменения в обмене веществ в мозге. Генетически изменённые
мыши используются для изучения таких нейрологических заболеваний, как синдромы
Паркинсона или Альцгеймера. Ранее для того, чтобы исследовать изменения в
мозге, вызванные этими недугами, подопытных мышей приходилось убивать и
вскрывать. Позитронная томография (Positron Emission Tomography) позволит
обходиться без этого.
1.3 Этапы исследования
и основные блоки сканера
Любое ПЭТ исследование состоит из нескольких
основных этапов:
. производство радиоизотопа;
. маркировка выбранного состава испускающим
позитроны радионуклидом и подготовка состава в форме, пригодной для воздействия
на людей;
. транспортировка состава из лаборатории к месту
проведения исследования;
. воздействие радиоактивного индикатора и получение
данных ПЭТ;
. отображение распределения активности позитрона
как функции времени, обработка данных;
. интерпретация результата.[22]
Система производства радиоизотопов состоит из
трех основных частей:
циклотрона (ускорителя частиц);
биологического синтезатора, присоединяющего
радиоизотопы к биологическим молекулам;
компьютера, контролирующего процесс.
До начала исследования в циклотроне производится
радиоактивное вещество, входящее в естественный химический состав тела (атомы
кислорода, углерода, азота) и распадающееся с испусканием позитронов.[17]
Циклотрон (циклический ускоритель) состоит из
двух полых полукруглых металлических электродов (дуантов), расположенных между
полюсами электромагнита и разделеных узким зазором. Вблизи от центра дуантов
располагается источник ионов (как правило, электрическая дуга в газе), который
служит генератором заряженных частиц.
В момент работы, частицы импульсно генерируются
источником ионов. Нить накала, расположенная в источнике ионов создает
отрицательный заряд путем присоединения электронов к атому.
При попадании отрицательных ионов в вакуумную
камеру они приобретают энергию благодаря высокочастотному переменному
электрическому полю, индуцированному на дуантах. Ионы подвергаются воздействию
электрического поля и сильного магнитного поля, генерируемого
электромагнитом.[17]
Когда отрицательные ионы долетают до края дуанта
и влетают в зазор, РЧ-осциллятор меняет полярность на дуантах и ионы
отталкиваются по мере входа в ранее положительно, а теперь отрицательно
заряженный дуант.
С каждым проходом зазора, энергия и радиус
орбиты частиц возрастают и частицы двигаются по спирали. При достижении
максимальных значений на последнем витке спирали включается отклоняющее
электрическое поле, выводящее пучок наружу.[16]
Поток отрицательных ионов направляется к первой
карусели, расположенной между ускорителями и камерой мишени. Карусели состоят
из тонких угольных пластин, которые отделяют оба электрона от ионов Н-, которые
становятся ионами Н+ или протонами.
Протоны проходят через пластину, однако,
несмотря на смену заряда на противоположный, они все еще находятся под влиянием
магнитного поля, двигаются по циркулярной орбите, по касательной к своей
прежней траектории, от центра циклотрона.
Этот поток протонов направляется к камере мишени.
Разделяющие пластины имеют толщину от 5 до 25 μм
и имеют срок службы порядка 100 часов. Протонный пучок из циклотрона влетает в
камеру мишени и путем ядерной реакции преобразует стабильный материал мишени
(стабильный химический изотоп) в радиоактивный изотоп.
Произведенные на циклотроне радиоизотопы
переносятся в биосинтезатор, где они присоединяются к используемым в клинике
химическим составам, за распределением которых в теле хотят проследить.
Естественно встречающиеся в органических
составах атомы заменяются маркированными (химически и биологически идентичными
оригиналу). В ПЭТ маркируемые химические составы, ограничены воображением
исследователей и временем полураспада. Чаще всего в роли маркируемого вещества
выступает глюкоза.[19]
Вся работа системы производства радиоизотопов,
включая циклотрон и биосинтезатор, управляется компьютером. Оператор выбирает
из меню на консоли управления требуемый для производства изотоп, а остальные
процессы проводятся автоматически.[11]
Для проведения исследования малое количество
радиоактивного препарата (радионуклида) внутривенно вводят пациенту,
радионуклид поступает в клетки и распределяется в них. Спустя некоторое время
его концентрация в тканях измеряется сканером, достаточно чувствительным для
обнаружения даже небольшого количества радиоактивного состава.
При распаде радиоактивного вещества происходит
выброс (эмиссия) положительных частиц (позитронов), стабилизирующая ядро за
счет устранения положительного заряда путем превращения протона в нейтрон.
Позитрон проходит короткое расстояние (зависящее от его энергии) перед
столкновением с электроном окружающей среды. Происходит объединение позитрона с
электроном среды (аннигиляция), частицы «уничтожают» друг друга, и их масса
преобразуется в энергию, приводя к эмиссии двух противоположно направленных
(180°±0,25°) гамма-лучей (фотонов высокой энергии) с энергией 511 кэВ
каждый.[15]
Данные фотоны, испущенные в результате
аннигиляции, выходят за пределы тела и регистрируются внешними детекторами.
Регистрируемые после аннигиляции гамма-лучи называются линией совпадения и
используются для определения локализации и концентрации эмитента позитрона,
которая зависит от биохимической и физиологической реакции органа.
Когда гамма-лучи взаимодействуют с кристаллами
сцинтиллятора, фотоны света преобразуются электронными устройствами томографа в
электрические сигналы. Процессы конвертации и регистрация происходят
практически мгновенно друг за другом, для того чтобы можно было сравнивать
события сцинтилляции с противоположных детекторов (вдоль большого количества
линий совпадений).

А - цилиндрический источник для коррекции
аттенюации , В- септа, С- детекторные блоки
Рисунок 10 - Гентри ПЭТ сканера
Основным блоком ПЭТ сканера является гентри,
внутри которого расположены детекторы. Множество детекторов образует кольцо
диаметром 80-100 см и шириной 10-20 см. Для снижения влияния внешнего
излучения, наружная поверхность кольца детекторов имеет свинцовый экран.
Большинство сканеров может работать как в посрезовом режиме, когда аксиальная
коллимация создается тонкими вольфрамовыми кольцами называемыми септами, так и
в трехмерном режиме, когда септа втягивается и совпадение регистрируется между
всеми возможными парами детекторов.[16]
Детекторы являются самими важным компонентами
ПЭТ сканера. В ряде случаев они похожи на используемые в однофотонном
отображении: большие кристаллы йодистого натрия соединенные с фотоумножителями.
В коммерческих томографах детекторы конструктивно представляют собой
прямоугольную группу кристаллов (блок), т.к. более плотное расположение
детекторов позволяет снизить потери пространственного разрешения и регистрации
фотонов. Использование множества регистрирующих кристаллов предотвращает
оптическую дисперсию света между отдельными элементами блока.
Сцинтилляционные детекторы, используемые в ПЭТ,
состоят из сцинтиллятора, фотоэлектронного умножителя и электронной системы.
1 - сцинтиллятор; 2 - фото-катод; 3 - диафрагма;
4 - корпус фотоумножителя; 5 - диноды; 6 - анод; 7- делитель напряжения
Рисунок 11 - Схема сцинтилляционного детектора
Сцинтиллятором называют вещество, благодаря
которому возникают флюоресцентные световые вспышки при испускании
высокоэнергетического излучения (например, бета- или гамма-лучей). Быстрые
заряженные частицы, двигаясь в веществе, теряют свою энергию при столкновении с
атомами, причем энергия частиц расходуется на ионизацию и возбуждение атомов
среды. Возбуждение атомов снимается в основном путем испускания квантов света
характерной для данного вещества частоты. Обычно излучение, возникающее при
этом, поглощается в той же среде. Только в люминесцирующих средах часть
высвеченной энергии может выйти за пределы среды. Процесс люминесценции может
осуществляться двумя путями.[16]
Если переходы из возбужденных энергетических
состояний в основное разрешены, испускание света происходит в соответствии со
средним временем жизни возбужденного состояния по обычным статистическим
законам и называется флуоресценцией. Если переход из возбужденного состояния в
основное запрещен, то возникает метастабильное состояние, среднее время жизни
которого может быть значительно больше времени жизни обычного возбужденного
состояния.
В этом случае для испускания кванта света
система должна перейти в более высокое энергетическое состояние, переход из
которого в основное разрешен. Такой процесс называют фосфоресценцией.
Основными характеристиками сцинтилляторов
являются конверсионная эффективность, спектр излучения и время высвечивания.
Конверсионная эффективность - это отношение
энергии световой вспышки, к энергии, потерянной заряженной частицей в
сцинтилляторе, за висящее от типа и качества сцинтиллятора. Количество света,
испускаемое сцинтиллятором, характеризуется световым выходом - отношением
энергии среднего числа фотонов люминесценции к энергии, потерянной ионизирующей
частицей в сцинтилляторе.[18]
Т.к. световая вспышка сцинтиллятора
регистрируется при помощи фотоэлектронного умножителя, область спектральной
чувствительности которого лежит в диапазоне длин волн видимого света, то спектр
частот, излучаемых сцинтиллятором, должен укладываться в чувствительной области
ФЭУ. В большинстве случаев интенсивность вспышки I с течением времени t спадает
по экспоненциальному закону:
(1)
Величина τ - время,
в течение которого интенсивность падает в е раз, характеризует длительность
свечения и называется временем высвечивания сцинтиллятора.
Основные свойства сцинтилляторов определяются
механизмом возбуждения и высвечивания. С этой точки зрения удобно разделить все
известные сцинтиллирующие вещества на три группы: кристаллофосфоры или
неорганические кристаллы (например, ZnS, NaI), органические кристаллы
(например, антрацен, стильбен), инертные газы . В медицине чаще всего
используются сцинтилляторы в виде таллиевого кристалла, активированного йодидом
натрия.[23]
В решетке такого кристалла при взаимодействии
атомов и ионов происходит возмущение энергетических уровней внешних электронов,
что приводит к образованию чередующихся разрешенных и запрещенных областей. В
обычных условиях нижние энергетические зоны кристалла заняты полностью
(валентная зона), а более высокие - целиком не заполнены и электроны в них
могут свободно перемещаться (зона проводимости), не получая дополнительной
энергии. [10]
Самая верхняя валентная зона отделена от
наиболее низкой зоны проводимости интервалом в несколько эВ. При возбуждении
электроны переходят из валентной зоны в зону проводимости, образуя в валентной
зоне электронную вакансию - дырку. При обратном переходе электронов из зоны
проводимости в валентную зону возникает излучение с характерным для данного
кристалла спектром - собственное излучение.
При наличии в кристалле примесей, в запрещенной
зоне могут возникать локальные энергетические уровни, лежащие вблизи валентной
зоны. Если эти уровни не заняты, то на них могут попасть электроны, движущиеся
в зоне проводимости.
Если переход с этих уровней в валентную зону
разрешен (люминесцентные центры), то возникает излучение, длина волны которого
больше, чем в спектре поглощения. Таким образом, примеси сдвигают спектр
излучения в сторону увеличения длин волн и к увеличению интенсивности свечения.
Вместе с этим примеси создают дефекты в кристаллической решетке, и создают дополнительные
метастабильные уровни, прямой переход с которых в валентную зону запрещен.
Электроны с этих уровней могут перейти в зону проводимости при поглощении ими
тепловой энергии колебаний решетки, а затем попасть в люминесцентные центры.
Это приводит к замедленному испусканию фотонов (фосфоресценции).[21]
Фотоэлектронный умножитель (ФЭУ) - это
фотоэлемент с многократным усилением, основанным на явлении вторичной эмиссии.
ФЭУ состоит из фотокатода, фокусирующего устройства, нескольких эмиттеров
(динодов) и анода.
В фотоумножителях часто применяется
сурьмяно-цезиевый фотокатод, активированный кислородом. Фотокатод нанесен в
виде тонкого полупрозрачного слоя на внутреннюю сторону торцовой стенки
стеклянного баллона ФЭУ, диаметром 15 мм. Эмиттеры и анод изготовлены из
металла. Для увеличения коэффициента вторичной эмиссии σ
(среднего
числа вторичных электронов, выбиваемых одним первичным электроном) эмиттеры
покрыты пленкой вещества с малой работой выхода электронов.[18]
В ФЭУ электроны ускоряются и фокусируются с
помощью электростатического поля, определяемого конфигурацией электродов и
распределением потенциалов в них. Для подачи напряжения на электроды
используется делитель, состоящий из омических сопротивлений. К концам делителя
приложено напряжение Uk (800-1500 В) от источника высокого напряжения.
Световые кванты, падающие на фотокатод, вызывают
фотоэффект. Возникшие при этом фотоэлектроны попадают в электрическое поле,
ускоряются и фокусируются на первом эмиттере (диноде). При ударах электроново
первый эмиттер происходит вторичная эмиссия. Выбитые электроны ускоряются в
следующем межэлектродном промежутке и, попадая на второй эмиттер, вызывают в
свою очередь вторичную эмиссию со второго и т.д.
Таким образом, число электронов от эмиттера к
эмиттеру лавинообразно нарастает. Электроны с последнего эмиттера собираются на
аноде фотоумножителя. Если σ -
коэффициент вторичной эмиссии на каждом эмиттере, то коэффициент усиления
умножителя
(2)
где q<1 - множитель, учитывающий неполное
собирание электронов с фотокатода на первый эмиттер;число эмиттеров.
Величина коэффициента вторичной эмиссии σ
прямопропорционально
зависит от напряжения питания ФЭУ и в области больших ускоряющих напряжений
имеет вид
(3)
где А и U0 - постоянные, определяемые свойствами
материала поверхности эмиттера;- ускоряющее напряжение, приложенное между
соседними динодами и пропорциональное напряжению на делителе Uk.
Коэффициент усиления умножителя имеет вид:
(4)
Поскольку коэффициент вторичной эмиссии не
зависит от числа падающих электронов, то ФЭУ представляет собой линейный
прибор, т.е. заряд, приносимый лавиной на анод, пропорционален числу первичных
фотоэлектронов, собираемых с фотокатода, и, следовательно, пропорционален
интенсивности световой вспышки, попавшей на катод. Если импульсы тока на выходе
достаточно велики, линейность может нарушаться за счет искажения поля
пространственным зарядом в области анода и последних эмиттеров, а также за счет
изменения потенциалов последних эмиттеров и анода.[4]
Оба фактора вызывают дефокусировку и тем самым
нарушают линейность, которую полностью устранить нельзя. Расширению области
линейности в данном случае способствует только увеличение разности потенциалов
между последними эмиттерами и особенно между анодом и предыдущим динодом. Если
к ФЭУ предъявляется требование линейности в широком диапазоне интенсивности
световых вспышек, то это накладывает ограничение на величину коэффициента
усиления. Другой причиной ограничения коэффициента усиления может явиться
резкое возрастание шумов ФЭУ.[6]
В сцинтилляционном детекторе свечение
сцинтиллятора приводит к эмиссии с фотокатода сотен фотоэлектронов и полезные
сигналы по величине в несколько раз превышают шумы. Чаще в сканерах используют
германат висмута, который создает около 2500 фотонов света на 511 кэВ фотон и
имеет время затухания 300 нс. Один блок содержит матрицу 7×8
кристаллов
и четыре фотоумножителя. Каждый кристалл имеет сечение 3.3×6.25
мм
и глубину 30 мм.
Электронная система регистрирует импульсы
электрического тока, в которые преобразуется световая вспышка.
Сцинтилляционные детекторы позволяют
регистрировать все виды радиоактивного излучения, причем в отличие от
газоразрядных счетчиков эффективность регистрации высокоэнергетичных γ-квантов
может быть всцинтилляционных детекторах очень большой (50 или даже 100%).
Высокая временная разрешающая способность
позволяет использовать сцинтилляционные детекторы при высоких скоростях счета и
проводить измерения коротких интервалов вплоть до десятых долей секунды. При
выборе детекторов производители томографов учитывают такие их свойства как
длина аттенюации, эффективность обнаружения, плотность, яркость, время восстановления,
коэффициент преломления, цена. [10]
1.4 Реконструкция
изображений
Реконструкция изображений производится путем
обработки данных, полученных детекторами, расположенными в виде нескольких
колец, что позволяет одновременно получать изображения до пятнадцати срезов.
Получение изображения базируется на внешнем
обнаружении совпадающих испускаемых лучей в течение 10 нс между двумя
датчиками, расположенными на противоположных сторонах сканера. Каждый детектор
может работать режиме регистрации совпадений со множеством расположенных
напротив детекторов.[13]
Линия, соединяющая центры детекторов, проходит
через объект и используется для реконструкции изображения. Таким образом,
существует возможность определения совпадений на нескольких углах (расходящийся
пучок). Если уничтожение происходит вне объема между этими двумя датчиками, то
может быть обнаружен только один фотон, и этот случай отклоняется как не
удовлетворяющий условию. Одновременное обнаружение фотона обеспечивает область
представления с однородной чувствительностью.
Программное обеспечение томографа получает
данные о событиях совпадения, зарегистрированных в угловых и линейных
положениях, количественное суммирование которых дает двумерную картину
распределения изотопа. Подобно КТ и МРТ, отображение в ПЭТ косвенное и
производится с помощью компьютерной реконструкции изображений.
Для реконструкции изображения необходимо
получить распределение изотопа g(x1, x2) внутри отображаемого объекта. Если
обозначить коэффициент аттенюации тела как f (x1, x2 ) , то интенсивность
излучения I , регистрируемая детекторами вдоль прямой линии L, определяется с
помощью выражения
(5)
где τ -отрезок
вдоль L ;(x) - участок L между точкой (x1, x2 ) и детектором.
Коэффициент аттенюации f (x1 , x2) аналогичен
коэффициенту поглощения, измеряемому в обычной компьютерной томографии.
Поскольку в ПЭТ источник испускает две
противоположно направленные частицы и излучение в обоих направлениях измеряется
одновременно, выражение можно переписать как
(6)
где L+ , L - отрезки линии L , разделенной на
участки точкой х
Поскольку L+ + L− = L, то выражение (6)
приобретает вид
(7)
Поскольку значения I и f (x1 , x2) известны из измерений,
основной математической задачей ПЭТ является определение функции g(x1, x2 ) по
ее известным линейным интегралам. Эта математическая задача идентична задаче
компьютерной томографии, рассмотренной выше.
Отличительной особенностью ПЭТ изображений является
их представление по цветной шкале. Цвет или степень яркости каждого пиксела
пропорциональны концентрации изотопа в соответствующей точке объекта, что
создает более наглядную картину.[13]
2. КЛИНИЧЕСКОЕ ПРИМЕНЕНИЕ ПЭТ
2.1 ПЭТ в онкологии
Около 80% клинических ПЭТ исследований
проводится в области онкологии, они позволяют дифференцировать злокачественные
и доброкачественные образования, определять степень распространения опухолей с
чувствительностью, близкой к 100%. Исследования всего тела, занимающие 60-70
минут, позволяют определить метастазы любой локализации. ПЭТ не имеет
альтернативы при ранней (через 1-2 недели) оценке результатов химиотерапии.[18]
Опухоли легких
Рисунок 12 - Центральная бронхокарцинома
- диагностика и стадирование опухолей
легких
ПЭТ предоставляет невероятные возможности для
диагностики и стадирования опухолей легких.
- неинвазивное определение степени
злокачественности опухоли
Становится возможным неинвазивное определение
степени злокачественности опухоли. Как результат, значительно снижается частота
хирургических вмешательств при доброкачественных процессах.
- диагностика медиастинальных и
отдаленных метастазов
ПЭТ также является ценной методикой при
диагностике медиастинальных и отдаленных метастазов.
Таким образом, становится возможным более точное
стадирование онкологического процесса с выбором наиболее оптимальной тактики
лечения.
- оценка ответной реакции опухоли на
химиолучевое лечение
Поскольку ПЭТ отражает метаболизм глюкозы, становится
возможным оценка ответной реакции опухоли на химиолучевое лечение, что при
соответствующем изменении тактики лечения также улучшает прогноз и исход
заболевания.
Рак молочной железы
Рисунок 13 - Томограммы в трех ортогональных
сечениях
Наиболее важным фактором в определении
долговременного прогноза при раке молочной железы является оценка поражения
подмышечных лимфоузлов. Как правило, таким больным производится биопсия
лимфоузлов.[19]
- определение поражения подмышечных
лимфоузлов
ПЭТ является альтернативным, неинвазиным и
безболезненным скриниговым методом определения поражения подмышечных
лимфоузлов. Только при положительных ПЭТ- данных становится необходимым
проведение биопсии лимфоузлов. Это позволяет отказаться от биопсии у 75%
больных.
- проведение скрининговых обследований
Хотя ПЭТ не позволяет полностью заменить
традиционные методы диагностики опухолей молочной железы, однако обладает
большими потенциальными возможности при проведении скрининговых обследований,
особенно у пациентов из группы риска.
- диагностике отдаленных метастазов
Кроме того, ПЭТ- исследование высоко эффективно
в диагностике отдаленных метастазов рака молочной железы.
Рак толстой кишки.
У 2/3 пациентов, прооперированных по поводу рака
толстой кишки, в течение 2-х лет диагностируется рецидив опухоли. В этом случае
для уточнения характера и выяснения операбельности рецидива производится
лапаротомия.
- диагностика рецидива и отдаленных
метастазов
По сравнению с КТ, колоноскопией и определением уровня
CEA, ПЭТ обладает намного более высокой чувствительностью и специфичностью в
диагностике как самого рецидива, так и отдаленных метастазов, что позволяет
избежать лапоротомии в случае заведомой неэффективности локальной резекции.
- проведение дифференциальной диагностики
Кроме того, посредством ПЭТ становиться
возможным проведение дифдиагностики между рубцовыми изменениями и рецидивом
опухоли.[13]
Фронтальный Сагиттальный
Рисунок 14 - Рак толстой кишки без метастазов
Мониторинг эффективности лечения.
- оценка ответа опухоли на химиолучевое
лечение
ПЭТ дает возможность дать оценку ответа опухоли
на химиотерапевтическое лечение и лучевую терапию. Это становится возможно
благодаря тому, что при эффективной терапии резко снижается потребление глюкозы
опухолевыми клетками, и с помощью ПЭТ этот процесс можно зарегистрировать в
течение минут и часов, дав заключение о позитивном или негативном эффекте
терапии.
- мониторинг лечения различных опухолей
Метод применим при мониторинге лечения различных
опухолей, включая рак молочной железы, легкого, яичников, опухолей головы и
шеи, рака щитовидной железы, меланомы и лимфом. [17]

Рисунок 15 - Множественные метастазы мелономы
2.2 ПЭТ в кардиологии
В кардиологии ПЭТ позволяет получать информацию
о кровоснабжении миокарда, скорости метаболических процессов, оценить признаки
болезни коронарной артерии, контролировать эффективность лечения. Для таких
исследований используются ультракороткоживущие изотопы (13N, 18F, 11С). Данные
ПЭТ важны при планировании аортокоронарного шунтирования.
- оценка перфузии миокарда
ПЭТ является прекрасной методикой для оценки
миокардиального кровотока и перфузии миокарда, для диагностики коронарной
болезни сердца. Благодаря высокой энергии позитронов высококачественные
изображения удается получать даже у тучных больных.
- оценка жизнеспособности миокарда
В клинике очень часто возникает вопрос об наличии
жизнеспособного миокарда в зоне перенесенного инфаркта. В таких случаях при
исследовании с фторглюкозой (FDG)
определяются участки повышенного потребления глюкозы в зоне сниженной перфузии.
Таким образом, появляется возможность прогнозировать результаты
реваскуляризации этой области миокарда, тогда как без применения ПЭТу около 20%
больных результаты реваскуляризации оказываются отрицательными.
- диагностика коронарной болезни
Изображения ПЭТ демонстрируют участки снижения
миокардиального кровотока. Поскольку изотопы ПЭТ имеют очень короткий период
полураспада, возможно последовательное проведение исследования покой-нагрузка.
- определение нежизнеспособного миокарда
Посредством ПЭТ удается выявить участки миокарда
с пониженным потреблением глюкозы в зоне перенесенного инфаркта - это участки
рубцовых изменений с нежизнеспособными кардиомиоцитами.[15]
Рисунок 16 - участки миокарда с пониженным
потреблением глюкозы в зоне перенесенного инфаркта
2.3 ПЭТ в неврологии
В неврологии ПЭТ используется для обнаружения
неврологических болезней, включая эпилепсию, опухоли, дифференциации
психических заболеваний. ПЭТ дает сведения о кровообращении мозга, скорости
усваивания кислорода и глюкозы, отображает другие физиологические процессы.[12]
- исследование метаболизма тканей
головного мозга
Рисунок 17 - Исследование метаболизма головного
мозга
- выявление объемных образований в
головном мозге

Глиобластома Астроцитома
Рисунок 18 - Диагностика опухолей головного
мозга
- дагностика эпилептогенных фокусов
В настоящее время насчитывается около 2
миллионов больных эпилепсией, из них 80.000 страдают от парциальной эпилепсии,
приступы которой плохо поддаются медикаментозному лечению. Методом выбора для
лечения таких больных является фокальная резекция эпилептогенного фокуса в
головном мозге; однако точно идентифицировать такие фокусы посредством рутинных
методик затруднительно.[13] ПЭТ с фторглюкозой позволяет оценить увеличение или
уменьшение потребления глюкозы и локализовать эпилептогенные фокусы.
- диагностика деменции
ПЭТ используется в диагностике различных видов
деменций, включая сенильную деменцию и болезнь Альцгеймера. Для болезни
Альцгеймера характерно снижения потребления глюкозы в височно-теменных отделах
головного мозга.
- оценка двигательных расстройств
Болезнь Паркинсона, болезнь Гентингтона, синдром
Туретта могут быть трудны для диагностики. Во многих случаях при этих
заболеваниях отсутствуют изменения на изображениях КТ и МРТ. При ПЭТ с F-DOPA
определяется изменения накопления препарата в допаминовых рецепторах: при
болезни Паркинсона визуализируется снижение фиксации F- DOPA в проекции
хвостатого ядра и скорлупы.
.4 Достоинства
и недостатки ПЭТ
Системы ПЭТ универсальны, они используют все
типы позитронных излучателей. Их отличает 100% достоверность диагностических
результатов, которая достигается использованием поправок на нормализацию,
мертвое время счетчика, затухание, рассеяние и распад, а также качественной и
количественной обработкой информации. Они просты в использовании, имеют
стандартные протоколы и автоматизированный контроль качества.
ПЭТ сканеры позволяют параллельно собирать и
обрабатывать данные, реконструировать изображения, анализировать результаты,
что существенно повышает пропускную способность.[5]
Поскольку период полураспада радиоизотопов мал,
лучевое облучение чрезвычайно мало и не затрагивает нормальные процессы тела.
Это позволяет при необходимости проводить повторные исследования.
Изображения, получаемые в ПЭТ, чаще всего
представлены в соответствии с цветной шкалой, что делает результаты
исследования более наглядными для диагностики. Например, здоровая ткань
использует глюкозу для пополнения энергии и накапливает часть радиоактивной
глюкозы. Злокачественная ткань потребляет больше глюкозы, чем здоровая и на ПЭТ
изображении будет более яркой, чем нормальная ткань.[22]
Конструкция современных ПЭТ сканеров позволяет
проводить исследования не только головного мозга, но и внутренних органов, что
важно для раннего обнаружения злокачественных изменений.
Одним из условий получения правильной картины
распределения изотопа является отсутствие его перераспределения при проведении
сканирования. В ряде случаев ПЭТ может дать ложные результаты, если химический
баланс пациента нарушен. Например, у диабетиков причиной этого может послужить
высокое содержание сахара или инсулина в крови.
Возможности использования ПЭТ ограничиваются
дороговизной томографов и необходимостью размещения их вблизи циклотрона.
Создание новых радиофармпрепаратов, имеющих период полураспада несколько часов,
позволяет частично решить ее. Кроме того, радиоизотоп рубидия-82 (период
полураспада 76 с) можно получить не используя циклотрон.
Ценность ПЭТ растет при совместном проведении с
другими исследованиями (КТ, МРТ).[8]
3. ПОСТАНОВКА ЗАДАЧИ И МЕТОДЫ ТОМОГРАФИРОВАНИЯ
3.1 Основные
определения и постановка задачи томографии
Обычно для восстановления трехмерной функции
используют
одномерные проекции ее двухмерных сечений
при
фиксированном
, т.е. как бы
восстанавливают послойно при разных
двухмерные
сечения объекта («томография» - описание сечений). [21]
В основном рассматриваемые алгоритмы излагаются
на примере восстановления двухмерных объектов. Сделано это по нескольким
причинам. В случае двухмерной задачи упрощаются система обозначений и
математические выкладки. А для восстановления изображения во всем объеме
трехмерный объект может быть аппроксимирован набором двухмерных сечений при
условии, что они расположены достаточно густо, и, следовательно, трехмерная
задача восстановления может быть сведена к последовательности двухмерных задач.
В общем случае к ряду двухмерных задач, в принципе, может быть сведена любая
N-мерная задача. Такая процедура оказывается более эффективной с точки зрения
вычислений, так как при этом обычно требуются значительно меньший объем памяти
и менее сложные вычисления, чем при прямом решении N-мерной задачи. Кроме того,
существенно упрощается механическая часть всего устройства томографа.
Пусть двухмерное сечение исследуемого объекта
описывается функцией плотности
. За пределами
сечения плотность предполагается равной нулю.
Рентгеновская трубка излучает пучок лучей в
плоскости исследуемого сечения объекта. Рассмотрим случай, когда рентгеновский
пучок имеет вид параллельных лучей. После прохождения рентгеновского пучка
через сечение ослабленные пропорционально плотности объекта лучи воспринимаются
детекторами. Система трубка - детекторы вращается вокруг исследуемого сечения.
С системой трубка - детектор связана подвижная система координат, центр которой
совпадает с центром системы, а оси повернуты относительно неподвижной системы
на угол. Направление лучей совпадает с координатой u .[21]
- объект; 2 - источник излучения; 3 - приемник
Рисунок 20 - Расположение объекта в системе
трубка - детектор в случае параллельных лучей
Лучи определяются их расстоянием от начала
координат v и углом поворота относительно неподвижной системы координат
.
Любая точка функции
может быть задана
как в системе
, так и в системе
,
при этом координаты связаны уравнениями преобразования.
(8)
и наоборот
(9)
(9)
Проекция, в общем случае, - это отображение
N-мерной функции в (N-1)-мерную функцию, получаемое путем ее интегрирования в
заданном направлении. В рассматриваемом двухмерном случае за направление
интегрирования выбирается ось u, совпадающая с направлением лучей
рентгеновского источника. Тогда проекция p функции
будет
определена как
(10)
или для подвижной системы координат при
различных
получим набор
проекций:
(11)
где
-
угол, под которым получена проекция
Информация о проекциях снимается с детекторов.
Исходным материалом для задачи восстановления является набор проекций
,
полученных под разными углами
. Если бы мы
располагали неограниченным количеством по-разному ориентированных проекций, то
в принципе могли бы получить точное восстановление функции. Однако в любом
практическом случае количество проекций ограничено. Тем не менее, при
определенных допущениях восстановление можно выполнить и по конечному числу
проекций.[22]
Задача восстановления, практически заключающаяся
в решении интегрального уравнения, может быть сформулирована следующим образом:
по конечному числу проекций
, измеренных под
разными углами и заданных в свою очередь дискретно, требуется восстановить
значение функции
. Количество
проекций существенно влияет на точность восстанавливаемого изображения.
Все многочисленные вычислительные алгоритмы,
применяемые в томографии, направлены на то, чтобы найти в некотором отношении
оптимальную оценку решения в заданном классе искомых функций
.
3.2 Восстановление
сечений с использованием Фурье преобразований
Самый естественный и мощный способ решения
задачи восстановления дает преобразование Фурье. Перейдем от функции
к
ее Фурье образу
и соответственно
от
к
Фурье образу
(
,
-
повернутые на угол
координаты в
Фурье-плоскости)
Одним из основных свойств преобразования Фурье
является его линейность, из чего следует, что если
поворачивается
на угол
,
то соответствующее преобразование Фурье тоже поворачивается на угол
.[16]
(12)
(12)
и наоборот
(13)
(13)
- подвижная
система координат в Фурье плоскости.
(14)
(15)
(16)
Фурье-образ искомой функции в точках
Фурье-плоскости, лежащих на прямой
,
есть одномерный Фурье-образ соответствующей проекции
-
вва это так называемая теорема о проекциях и сечениях:
т.е. так как
,
то
(17)
(18)
Таким образом, теорема позволяет вычислить Фурье
образ искомой функции во всех точках Фурье плоскости
,
вычисляя Фурье образ проекции при разных
,
а затем по формуле обратного преобразования Фурье восстановить саму функцию.
Можно, перейдя в полярные координаты, получить формулу эквивалентную.
Используются при этом следующие соотношения:
(19)
(20)
,тогда
(21)а
формуле (21) построен ряд конкретных вычислительных алгоритмов, в частности,
метод обратной проекции.
3.3 Метод обратной
проекции
Простейший вариант этого метода оценивает
плотность в любой точке сечения посредством сложения лучевых сумм
для
всех лучей, проходящих через искомую точку. Рассмотрим пример, когда д для
восстановления используются только три проекции, хотя для практических целей
потребуется гораздо большее их число.[17]
1,view2,
view3 - проекции
Рисунок 21 - Проекции снятые с объекта (объект -
белое пятно)
view1,view2,
view3 - проекции
Рисунок 22 - Восстановление объекта (белого
пятна) методом «обратной проекции»
Восстановление производится путём обратного
проектирования каждой проекции через плоскость, т.е. величина сигнала,
соответствующая данной лучевой сумме, прикладывается ко всем точкам, которые
образуют этот луч. После того, как это сделано для всех проекций, получается
приближённая аппроксимация исходного объекта. Так как в этом методе проекции
как бы растягиваются обратно через восстанавливаемое сечение, метод назван
обратной проекцией. Для каждой точки изображения восстановленная плотность
является суммой всех лучевых проекций, которые проходят через эту точку.
Поэтому метод обратной проекции иногда называется методом суммирования или
линейной суперпозиции. Математическое описание метода обратной проекции может
быть представлено:
если в принять
,
тогда[18]
(22)
Или при измерении конечного числа проекций
(23)
где суммирование производится по всем углам
проекции
.
Аргумент
(24)
соответствует только тем лучам, которые проходят
через точку
, коэффициент
представляет
угловое расстояние между соседними проекциями, М - количество проекций. Можно
показать, в чём состоит причина невысокой точности метода обратной проекции.
Предположим, что восстанавливаемый объект состоит из одной точки. Тогда
результат восстановления по проекциям методом суммирования будет представлять собой
не точку, а многолучевую звезду, центр которой находится в восстанавливаемой
точке.[24]

а - объект (1) и его проекции (2); б - обратное
проецирование; ясно видно формирование фона в пространстве, окружающем точку
Рисунок 23 - Восстановление точечного объекта
методом «обратной проекции»
Очевидно, что точка будет представлена наиболее
ярко, но в то же время на окружающее пространство эта точка будет накладывать
фон, пропорциональный 1/
, где
-
расстояние от точки 1. Фон и является основным источником погрешностей, которые
снижают достоинства этого метода. Метод суммирования был независимо открыт
Б.К.Вайнштейном и Р.Гордоном.
3.4 Обратная проекция с
фильтрацией свёрткой
Более точный результат по сравнению с методом
обратной проекции, дает обратная проекция с фильтрацией сверткой.
Обратное проецирование с фильтрацией аналогично
методу обратной проекции за исключением того, что профили до обратного
проецирования модифицируются или фильтруются, т.е. в
.
Это позволяет вывести эффект затемнения, присущий методу обратной проекции. В
идеальном случае восстановленное изображение совершенно точное, поскольку
модификация профилей точно компенсирует ложный сигнал, создающий нерезкое
изображение при обратном проецировании.[18]
Предположим, что
есть
Фурье-образ некоторой функции
,
(25)
тогда произведение
на
Фурье-образ проекции можно рассматривать как Фурье-образ свертки самой проекции
и
(26)
Формула описывающая метод обратного
проецирования с фильтрацией свёрткой при измерении конечного числа проекций
будет:
(27)
где
-
результат свертки измерений проекции
с
некоторой функцией
, называемой ядром
свертки.
Как и в методе обратного проецирования,
суммирование идёт по М - количеству проекций, а коэффициент
представляет
угловое расстояние между соседними проекциями.
Точное вычисление
невозможно
ввиду расходимости этого интеграла, но это и не нужно, т.к. дискретизация
отсчетов на проекциях через интервалы
автоматически
ограничивает область задания
максимальным
значением
. Ядро
в
пределах от
до
вычисляется:
(28)
Если положить
,
то
.
, если
четное,
, если
нечетное.
Рисунок 24 - Функция ядра свёртки (по обеим осям
относительные единицы)
Такое ядро впервые было исследовано А.
Лакшминараянаном и Г.Рамачандраном и обычно называется их именами. Следует
отметить, что выбор ядра существенно влияет на качество восстанавливаемого
изображения. Поэтому выбор ядра является предметом тщательного исследования с
учётом особенностей объекта, подлежащего восстановлению.[19]
Процедура восстановления функции по методу
обратной проекции с фильтрацией сверткой следующая:
. Найти функцию
как
интеграл свертки проекции
с функцией ядра
свертки
.
. Определить функцию
в
точках v.
. Вычислить искомую функцию
,
используя уравнение ().
Удобство алгоритма обратной проекции с
фильтрацией состоит в том, что вычислительный процесс восстановления может идти
почти одновременно с регистрацией проекции: как только получена очередная
проекция
,
осуществляется ее свертка с ядром
и
добавление данных в ячейки памяти, накапливающие результаты суммирования по
формуле (28). Как только обработана последняя проекция, функция восстановлена.
3.5 Итерационные методы
восстановления
Термин «итерационный» относится к методу
последовательных приближений, при котором выбирается произвольное начальное
изображение; для него рассчитываются проекции, а затем в изображение вводятся
поправки для лучшего согласования этих проекций с измеренными проекциями.
Итерации повторяются до тех пор, пока не будет получена удовлетворительная
сходимость.
3.6 Алгебраический
метод восстановления (ART) или получевая коррекция
Этот метод был независимо разработан Гордоном и
др., который назвал его методом алгебраического восстановления (ART - Algebraic
Reconstruction Technigues). Процедура восстановления следующая. В каждой
итерации вычисляется сначала одна лучевая сумма при исходном значении плотности
в ячейках
. По ней и с учетом
измеренной лучевой суммы определяется поправка, которая вводится во все точки,
входящие в состав данного луча. Затем операция повторяется для второго луча,
третьего и т.д. При этом поправки, введенные от предыдущей лучевой суммы,
учитываются в каждом новом расчете. Эти операции продолжаются до тех пор, пока
не будут обработаны все проекции, после чего итерация завершена. Если критерий
получения решения не удовлетворён, то происходит переход к следующей итерации.
[20]
Рассмотрим элементарный пример реконструкции
двумерного объекта, когда сам объект предельно прост, алгоритмический
“механизм” совершенно прозрачен, а привлечения ЭВМ вообще не требуется.
Возьмём в качестве такого объекта квадрат ABCD,
разделённый на 9 равных клеток (ячеек). Числа от 1 до 9, разбросанные по
клеткам, соответствуют плотности или какой-нибудь другой характеристике,
находимой томографически. Пусть известны 4 проекции, определяемые направлениями
сторон квадрата AB и AD и его диагоналей AC и BD. Если в каждой проекции взять
по 3 луч-суммы, то в первых двух случаях вклад внесут все клетки, а в двух
других лишь по 7 клеток из 9. Таким образом, мы исходим из 12 значений луч-сумм
и ищем 9 структурных элементов объекта, т.е. решаем переопределённую задачу.
Рисунок 25 - Тест-объект из девяти элементов
Начнем с проекции, образованной лучами,
параллельными стороне AB. Каждое значение луч-суммы разделим на число
пересекаемых клеток и припишем этим клеткам найденную величину (в данном случае
5). Будем считать полученный результат первой итерацией. Для взятой проекции
объект представляется совершенно однородным; если погрешность восстановления
оценивать по формуле
(29)
где индекс ‘k’ нумерует клетки, i обозначает
номер итерации,
- исходные значения
, то
.
Следующая проекция (лучи идут вдоль AD). Теперь
для каждого луча следует скорректировать сумму чисел, получаемых после первой
итерации, на известную луч-сумму данной проекции. Так, сумму в первом столбце
следует, очевидно, уменьшить на 2 и вычесть из каждого числа по 2/3; в третьем
столбце нужно, наоборот, добавить в каждую клетку по 2/3; во втором столбце
изменений нет. Видно, что в вторая итерация фактически оказывается
неинформативной: предыдущее однородное распределение лишь слегка деформируется,
создавая небольшой градиент вдоль AB и совершенно не выявляя сложной структуры
объекта. Погрешность восстановления даже несколько возрастает по сравнению с
первой итерацией:
.
Рисунок 26 - Различные стадии (A-F)
восстановления тест-объекта
томография сканер проекция сечение
Третья Итерация (лучи идут параллельно диагонали
AC) уже резко меняет дело, поскольку в значениях луч-сумм неоднородность
объекта проявляется отчетливо. Принцип остается прежним, только соответствующие
разности следует равномерно распределять по двум или трем клеткам в зависимости
от того, какая луч-сумма принята в расчет;
.
Аналогичная ситуация имеет место и с четвертой итерацией, завершающей первый
цикл процедуры; теперь объект уже напоминает исходный,
.
3.7 Итерационный метод
наименьших квадратов (ILST) или одновременная коррекция
В простейшем случае алгоритм этого метода (ILST-
Iterative Least-Squares Technique) следующий. Все проекции вычисляются в начале
итерации при исходном значении плотности ячеек
.
По расчетным проекциям определяются поправки для каждой ячейки
.
А затем коррекции вводятся одновременно во все ячейки. На этом итерация
завершается. Таким образом в этом алгоритме не производится уточнение значения
плотности в ячейке
в течении
итерации. Изменяется плотность в
один
раз за итерацию. Этот метод впервые применен Р.Брейсвеллом. Он же показал, что
в таком варианте алгоритм приводит к перекоррекции, в результате чего итерации
колеблются вокруг правильного решения.[13]
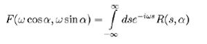
3.8 Преобразование
Радона
Двумерное преобразование Радона.
В данном случае R(s,α)
есть
интеграл от f(x, y) вдоль прямой A.. Рассмотрение преобразования Радона удобно
начать с простейшего случая функции двух переменных, к тому же, именно этот
случай наиболее практически важен.
Пусть f(x, y) функция двух действительных
переменных, определённая на всей плоскости и достаточно быстро убывающая на
бесконечности (так, чтобы соответствующие несобственные интегралы сходились).
Рисунок 27 - Двумерное преобразование Радона
Тогда преобразованием Радона функции f(x,y)
называется функция
(30)
Преобразование Радона имеет простой
геометрический смысл - это интеграл от функции вдоль прямой, перпендикулярной
вектору
и
проходящей на расстоянии s (измеренного вдоль вектора
,
с соответствующим знаком) от начала координат.[21]
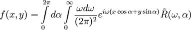
Связь преобразования Радона и преобразования
Фурье. Формула обращения.
Рассмотрим двумерное преобразование Фурье от
функции f(x,y)
(31)
Можно заметить, что показатель экспоненты в этом
интеграле не изменяется, если мы двигаемся вдоль прямой перпендикулярной
вектору
,
и изменяется наиболее быстро если мы движемся вдоль этого вектора. Поэтому
удобно перейти к новым переменным. Обозначим
,
мы выберем новые переменные s = xcosα+ysinα,
z
= − xsinα+ycosα.
Сделав
замену переменных в интеграле, получаем
т.е.
(32)
Таким образом, одномерное преобразование Фурье
по переменной s от преобразования Радона функции f даёт нам двумерное
преобразование Фурье от функции f. Поскольку двумерное преобразование Фурье
достаточно хорошей функции обратимо, то обратимо и преобразование Радона.[21]
Формула обращения для двумерного преобразования
Фурье, как известно, выглядит следующим образом
(33)
Для наших целей удобно переписать эту формулу в
полярных координатах
(34)
что немедленно даёт формулу обращения
преобразования Радона
(35)
4.. МЕТОДИЧЕСКИЙ ТЕСТ ДЛЯ СТУДЕНТОВ
КОМПЬЮТЕРНЫЙ АНАЛИЗ ИЗОБРАЖЕНИЙ
ПОЗИТРОННО-ЭМИССИОННОЙ ТОМОГРАФИИ
. Доза радиации при позитронной
эмиссионной томографии:
а) около 7 mSv; в) около 9 mSv;
б) около 8 mSv; г) около 6 mSv.
. Период полураспада используемых
радиоактивных веществ при ПЭТ:
а) очень мал (от 10 мин до 2 часов); в) мал (от
10мин до 15 мин);
б) очень мал (от 30 мин до 3 часов); г) мал (от
15 мин до 2 часов).
. На сегодняшний день в ПЭТ в основном
применяются позитрон-излучающие изотопы элементов второго периода периодической
системы:
а) углерод-11 (T½=
20,4 мин.),
в) кислород-15 (T½=2,03 мин.),
азот-13 (T½=9,96
мин.),
фтор-18 (T½=109,8 мин).
кислород-15 (T½=2,03
мин.),
фтор-18 (T½=109,8
мин.).
б) углерод-11 (T½=
20,4 мин.),
г) фтор-18 (T½=109,8 мин),
азот-13 (T½=9,96
мин.),
азот-13 (T½=9,96 мин.).
кислород-15 (T½=2,03
мин.).
4. Развивающийся трехмерный визуализирующий
диагностический и исследовательский метод ядерной медицины:
а) ПЭТ; в) МРТ;
б) КТ; г) УЗИ.
. Метод функциональной визуализации,
заключающийся во введении в организм радиоактивных изотопов и получении
изображения путём определения испускаемого ими излучения:
а) Сцинтиграфия; в) Ангиопульмонография;
б) Ангиография; г) Миелография.
. Процесс использования ПЭТ-изображений
распределения радиоактивности для последующего кинетического моделирования с
целью получения необходимой информации называется:
а) анализом изображения; в) обработка
изображения;
б) сканированием изображения; г) все
перечисленное.
. Основы позитронно-эмиссионной
томографии заложили работы:
а) Ворбурга, Соколова, Фелпса; в) Ворбурга,
Фелпса;
б) Соколова, Фелпса; г) Соколова, Ворбурга.
. Кинетическая методика с применением
меченных радиоактивными изотопами веществ является основным и фундаментальным
принципом, лежащим в основе:
а) ПЭТ и ауторадиографии; в) ауторадиографии и
КТ;
б) КТ и ПЭТ; г) МРТ, КТ, ПЭТ.
. Один из первых эффективных
РЕТ-томографов был создан Mike Phelps, Ed Hoffman, Washington University для
изучения кровотока и метаболизма у животных:
а) в 1973; в) в 1974;
б) в 1977; г) в 1979.
10. В РЕТ-анализе можно выделить стадии:
а) 1.получение радионуклидов в) 1.
радиохимическая стадия
. радиохимическая стадия 2. получение
изображения
. получение изображения 3. анализ полученных
данных;
. анализ полученных данных;
б) 1. Радиохимическая стадия г) 1. получение
радионуклидов
. Получение изображения 2. получение изображения
. Анализ полученных данных; 3. радиохимическая
стадия
. анализ полученных данных.
11. Особые вещества, обладающие способностью
излучать свет при поглощении ионизирующего излучения, такого как, например,
гамма-кванты:
а) Сцинтилляторы; в) Стимуляторы;
б) Аннигиляторы; г) Детекторы нейтринные.
. На развитие технологии ПЭТ повлияли
факторы:
а) 1. большинство метаболических процессов в
теле происходят достаточно быстро, чтобы следить за ними с помощью
короткоживущих радионуклидов;
. несмотря на короткое время жизни изотопов,
стала возможна быстрая радиоактивная маркировка сложных молекул;
. проникающее излучение, возникающее при
уничтожении позитронов, показало, что можно локализовать этих позитроны.
б) 1. большинство метаболических процессов в
теле происходят достаточно быстро, чтобы следить за ними с помощью
короткоживущих радионуклидов;
. проникающее излучение, возникающее при
уничтожении позитронов, показало, что можно локализовать этих позитроны.
в) 1. несмотря на короткое время жизни изотопов,
стала возможна быстрая радиоактивная маркировка сложных молекул;
.) проникающее излучение, возникающее при
уничтожении позитронов, показало, что можно локализовать этих позитроны.
г) 1) большинство метаболических процессов в
теле происходят достаточно быстро, чтобы следить за ними с помощью
короткоживущих радионуклидов;
) несмотря на короткое время жизни изотопов,
стала возможна быстрая радиоактивная маркировка сложных молекул.
Система производства радиоизотопов состоит из:
а) трех основных частей:
циклотрона (ускорителя частиц);
биологического синтезатора, присоединяющего
радиоизотопы к
биологическим молекулам;
компьютера, контролирующего процесс;
б) двух основных частей:
циклотрона (ускорителя частиц);
биологического синтезатора, присоединяющего
радиоизотопы к
биологическим молекулам;
в)двух основных частей:
биологического синтезатора, присоединяющего
радиоизотопы к
биологическим молекулам;
компьютера, контролирующего процесс;
г) трех основных частей:
циклотрона (ускорителя частиц);
высоковольтного генератора;
компьютера, контролирующего процесс.
. Чаще всего используемый сцинтиллятор в
ПЭТ:
а) Bi4Ge3O12; в) NaI;
б)BaF2; г) C18H14.
. Процесс люминесценции может
осуществляться если:
а)1. Если переходы из возбужденных
энергетических состояний в основное разрешены, испускание света происходит в
соответствии со средним временем жизни возбужденного состояния по обычным
статистическим законам.
. Если переход из возбужденного состояния в
основное запрещен, то возникает метастабильное состояние, среднее время жизни
которого может быть значительно больше времени жизни обычного возбужденного
состояния.
б) Если переход из возбужденного состояния в
основное запрещен, то возникает метастабильное состояние, среднее время жизни
которого может быть значительно больше времени жизни обычного возбужденного
состояния.
в) Если переходы из возбужденных энергетических
состояний в основное разрешены, испускание света происходит в соответствии со
средним временем жизни возбужденного состояния по обычным статистическим
законам.
г) Если переходы из возбужденных энергетических
состояний в основное разрешены, то возникает метастабильное состояние, среднее
время жизни которого может быть значительно больше времени жизни обычного
возбужденного состояния.
. Сцинтиллирующие вещества делятся на :
а) кристаллофосфоры и в) инертные газы и
инертные газы, органические кристаллы; и неорганические кристаллы;
б) органические кристаллы и г) кристаллофосфоры
и неорганические кристаллы; инертные газы.
16. Комбинацией
двух изобретений, представленных к Нобелевской премии - радиоактивного
индикатора и принципов томографии, является методика отображения:
а)
ПЭТ; в) КТ;
в)
МРТ; г) ПЭТ и КТ.
. Первый
прототип ПЭТ сканера появился в:
а)
1952 году; в) 1977 году;
б)
1950году; г) 1961 году.
. ПЭТ
стал использоваться для динамических исследований метаболизма человека:
а)
в 1980-х; в) в 1970-х;
б)
в 1990-х; г) в настоящее время.
. В
1977 году предложил измерять локальный уровень метаболического потребления
глюкозы в мозгу крыс с помощью дезоксиглюкозы меченой радиоактивным изотопом
углерода:
а)
Соколов; в) Фелпс;
б)
Ворбург; г) Каменом и Рубеном.
. Визуализация
процессов «in
vivo» реализуется
путем:
а)
анализа кинетики метки и компьютерной томографии;
б)
только анализом кинетики метки;
в)
анализа компьютерной томографии ;
г)
правильных ответов нет.
. Измерение
концентрации метки в ткани, необходимое для математической модели производится:
а)
ПЭТ сканером; в) ПЭТ-микрокомпьютером;
б)
ПЭТ датчиками; г) ПЭТ-коллиматор.
. Геометрический
смысл преобразования Радона:
а)
это интеграл от функции вдоль прямой, перпендикулярной вектору
и
проходящей на расстоянии s (измеренного вдоль вектора
,
с соответствующим знаком) от начала координат;
б)
это интеграл от функции вдоль прямой, параллельно вектору
и
проходящей на расстоянии s (измеренного вдоль вектора
,
с соответствующим знаком) от начала координат;
в)
это интеграл от функции прямой, перпендикулярной вектору
и
проходящей на расстоянии s (измеренного вдоль вектора
,
с соответствующим знаком) от начала координат;
г)
это интеграл от функции вдоль прямой, перпендикулярной вектору
и
проходящей на расстоянии s от начала координат.
. Схема
движения частиц в циклотроне:
Магнитное
поле направлено перпендикулярно плоскости рисунка
Рисунок
28 - схема движения частиц в циклотроне
а)1-источник
тяжелых заряженных частиц (протонов, ионов);2-орбита ускоряемой
частицы;3-ускоряющие электроды (дуанты);4-генератор ускоряющего поля;
б)
1-орбита ускоряемой частицы;2-ускоряющие электроды (дуанты);3-генератор
ускоряющего поля; 4-источник тяжелых заряженных частиц (протонов, ионов);
в)
1-источник тяжелых заряженных частиц (протонов, ионов); 2-генератор ускоряющего
поля; 3-ускоряющие электроды (дуанты); 4-орбита ускоряемой частицы;
г)
1-источник тяжелых заряженных частиц (протонов, ионов);2-орбита ускоряемой
частицы; 3-генератор ускоряющего поля; 4-ускоряющие электроды (дуанты).
. Люминесценция-это:
а)
нетепловое свечение вещества, происходящее после поглощения им энергии
возбуждения;
б)
свечение тел, вызванное химическим воздействием или при протекании химической
реакции;
в)
способность живых организмов светиться, достигаемая самостоятельно или с
помощью симбионтов;
г)
результат излучательной рекомбинации электронов и дырок в полупроводнике.
. Позитроны
- это:
а)
античастица электрона;
б)
стабильная, отрицательно заряженная элементарная частица, одна из основных
структурных единиц вещества;
в)
связанная квантовомеханическая система, состоящая из электрона и позитрона;
г)
вещество, состоящее из античастиц.
. Отношение
энергии световой вспышки, к энергии, потерянной заряженной частицей в
сцинтилляторе, зависящее от типа и качества сцинтиллятора, называется:
а)
Конверсионная эффективность;
б)
Спектр излучения;
в)
Время высвечивания;
г)
Фотоэлектронный умножитель.
. Основными
характеристиками сцинтилляторов являются:
а)
Конверсионная эффективность, спектр излучения и время высвечивания;
б)
спектр излучения и время высвечивания;
в)
конверсионная эффективность и время высвечивания;
г)
конверсионная эффективность и спектр излучения.
. К
неорганическим кристаллам относятся:
а)
ZnS, Na;
б)
антрацен, стильбен;
в)
ZnS, Na, NaI;
г)
антрацен, стильбен, селен.
29. Метод вычислительной томографии, в основе
которого используется аппарат преобразования Фурье и преобразования Радона:
а) Аналитический метод;
б) Итерационный метод восстановления
изображения;
в) Алгебраический метод восстановления (ART) или
получевая коррекция;
г) Метод обратной проекции.
. Основные методы ПЭТ:
а) 1.Кинетическое сканирование
.Распределение меток в головном мозге по времени
3. Распределение меток в сердечной мышце по
времени
4.Анализ зон интереса;
б) 1.Кинетическое сканирование
.Распределение меток в головном мозге по времени
3. Распределение меток в сердечной мышце по
времени;
в) 1.Кинетическое сканирование
.Распределение меток в головном мозге по времени
3.Анализ зон интереса;
г) 1 .Распределение меток в головном мозге по
времени
. Распределение меток в сердечной мышце по
времени
3.Анализ зон интереса;
. К какому методу сканирования относится
измерение накопления метки по времени:
а) Кинетическое сканирование;
б) Анализ зон интереса;
в) Распределение меток в головном мозге по
времени;
г) Распределение меток в сердечной мышце по
времени.
. Когда томограф регистрирует локализацию
изотопа и вычисляет его концентрацию:
а) как только происходит аннигиляция;
б) после эмиссии двух гамма-лучей;
в) после того, как радионуклид поступает
в клетки и распределяется в них;
г) все варианты верны.
. На рисунке изображен гентри
ПЭТ-сканера. А, B,C-это:
Рисунок 29 - Гентри ПЭТ-сканера
а) А-цилиндрический источник для коррекции
аттенюации;
В-септа; С-детекторные блоки;
б) А-септа; В-цилиндрический источник для
коррекции аттенюации;
С-детекторные блоки;
в) А-детекторные блоки; В-септа;
С-цилиндрический источник для коррекции аттенюации;
г) А-детекторные блоки; В-цилиндрический
источник для коррекции аттенюации; С-септа.
. Флуоресценция это-
а) Процесс люминесценции при котором выполняется
условие : переходы из возбужденных энергетических состояний в основное
разрешены, испускание света происходит в соответствии со средним временем жизни
возбужденного состояния по обычным статистическим законам;
б) Способность живых организмов светиться,
достигаемая самостоятельно или с помощью симбионтов;
в) Особый тип фотолюминесценции. В отличие от
флуоресцентного, фосфоресцентное вещество излучает поглощённую энергию не
сразу;
г) Явление возникновения вспышки света при
схлопывании кавитационных пузырьков, рождённых в жидкости мощной ультразвуковой
волной.
35. Как называется процесс, при котором
переход из возбужденного состояния в основное запрещен и возникает
метастабильное состояние, среднее время жизни которого может быть значительно
больше времени жизни обычного возбужденного состояния. В этом случае для
испускания кванта света система должна перейти в более высокое энергетическое
состояние, переход из которого в основное разрешен?
а) Фосфоресценция;
б) Люминесценция;
в) Флуоресценция;
г) Сонолюминесценция.
. Метод вычислительной томографии,
использующий аппроксимацию восстанавливаемого объекта:
а) Итерационный метод восстановления
изображения;
б) Аналитический метод;
в) Метод обратной проекции;
г) Распределение меток в головном мозге по
времени.
. К Итерационным методам восстановления
изображения относятся:
а) Алгебраический метод восстановления (ART),
метод одновременного итерационного восстановления (SIRT) и итерационный метод
наименьших квадратов (ILST);
б) Метод одновременного итерационного
восстановления (SIRT) и итерационный метод наименьших квадратов (ILST);
в) Алгебраический метод восстановления (ART) и
итерационный метод наименьших квадратов (ILST);
г) Метод одновременного итерационного
восстановления (SIRT) и алгебраический метод восстановления (ART).
. К Аналитическим
методам относятся:
а) Восстановление сечений с использованием Фурье
преобразований, двумерное преобразование Радона;
б) Восстановление сечений с использованием Фурье
преобразований,
метод одновременного итерационного
восстановления (SIRT);
в) Двумерное преобразование Радона;
алгебраический метод восстановления (ART);
г) Восстановление сечений с использованием Фурье
преобразований, двумерное преобразование Радона, алгебраический метод
восстановления (ART).
. Метод томографии, при котором
восстановление производится путём обратного проектирования каждой проекции
через плоскость, называется:
а) Метод обратной проекции;
б) Алгебраический метод восстановления;
в) Двумерное преобразование Радона;
г) Анализ зон интереса.
4.1 Технология
Клиент-Сервер и Сервер-Word
В программе использовалась технология
клиент-сервер для того, чтобы сделать работу возможной в компьютерных сетях.
Основной принцип технологии
"клиент-сервер" заключается в разделении функций приложения на три
группы:
· ввод и отображение данных
(взаимодействие с пользователем);
· прикладные функции, характерные для
данной предметной области;
· функции управления ресурсами
(файловой системой, базой данных и т.д.)
Поэтому, в любом приложении выделяются следующие
компоненты:
· компонент представления данных
· прикладной компонент
· компонент управления ресурсом
Связь между компонентами осуществляется по
определенным правилам, которые называют "протокол взаимодействия".
Любая программа, компьютеризирующая выполнение
той или иной прикладной задачи, должна обмениваться информацией с
пользователем, осуществлять собственно обработку этой информации в рамках
автоматизации того или иного бизнес-процесса, и, наконец, хранить данные
используемые в программе, на том или ином постоянном носителе.
Для локальных приложений, полностью работающих
на ПЭВМ (например, Word или Excel), все эти компоненты собраны вместе и не
могут быть распределены между различными компьютеры. Такая программа является
монолитной и использует для выполнения ресурсы только того компьютера, на
котором выполняется.
В файл-серверных приложениях часть компоненты
хранения переносится на файловый сервер, однако, все манипуляции со структурами
данных выполняются на клиентской машине, и код пользовательской программы тоже
работает только на ней.
Критерием, позволяющим отнести прикладную
программы к архитектуре клиент-сервер является то, что хотя бы один из трех ее
компонентов полностью выполняется на другом компьютере, и взаимодействие между
компонентами на разных компьютерах осуществляется через ту или иную сетевую
среду посредством передачи запросов на получение того или иного ресурса.
Поскольку архитектура клиент-сервер является
частным случаем технологии клиент-сервер, в ней обязательно есть клиент и
сервер. Соответственно, выделяют клиентскую и серверную стороны приложения.
Клиентская сторона приложения функционирует на рабочем месте пользователя, в
роли которого в подавляющем числе случаев выступает персональный компьютер.
Серверная сторона функционирует на специализированном комплексе, включающем в
себя мощные аппаратные средства, требуемый набор стандартного программного
обеспечения, систему управления базами данных и собственно структуры данных.
Взаимодействие клиентской и серверной частей
приложения осуществляется через сеть - локальную или глобальную. При этом с
точки зрения клиента и сервера взаимодействие осуществляется прозрачно,
соответственно сетевой компонент здесь включает в себя совокупность необходимого
сетевого оборудования, набор программных технологий, обеспечивающих передачу
данных между узлами сети, а также собственно протокол или протоколы для обмена
запросами и результатами их выполнения.
Компонент визуализации прикладной задачи
осуществляет ввод информации пользователем с помощью тех или иных средств, а
также вывод информации на экран и печать. Компонент визуализации для
архитектуры клиент-сервер всегда исполняется на рабочем месте пользователя
(поскольку должен же он наблюдать какие-либо результаты работы программы).
Компонент прикладной логики решает собственно ту
или иную задачу, связанную с обработкой данных в той или иной предметной
области. Этот компонент может быть распределен между клиентской и серверной
частью различным образом в зависимости от применяемой модели.
Компонент хранения базы данных осуществляет
физические операции, связанные с хранением данных, чтением информации из БД и
записью в нее. В архитектуре клиент-сервер этот компонент всегда выполняется на
сервере.
С точки зрения количества составных частей
клиент-серверные системы делятся на двухуровневые и трехуровневые.
Двухуровневые системы состоят только из клиента и сервера. В трехуровневых же
между пользовательским клиентом и сервером, осуществляющим хранение и обработку
базы данных появляется третий, промежуточный слой, являющийся для пользователя
сервером, а для системы управления базами данных - клиентом. Такая архитектура
позволяет более гибко распределять функции системы и нагрузку между
компонентами программно-аппаратного комплекса, а также может снизить требования
к ресурсам рабочих мест пользователей. Необходимой платой за это является то,
что подобные системы намного сложнее в разработке, внедрении и эксплуатации и
требуют значительных затрат и высококвалифицированного персонала.
В последнее время также наблюдается тенденция ко
все большему использованию модели распределенного приложения. Характерной
чертой таких приложений является логическое разделение приложения на две и
более частей, каждая из которых может выполняться на отдельном компьютере.
Выделенные части приложения взаимодействуют друг с другом, обмениваясь
сообщениями в заранее согласованном формате. В этом случае двухзвенная
архитектура клиент-сервер становится трехзвенной, а к некоторых случаях, она
может включать и больше звеньев.
Рисунок 30 - пример архитектуры клиент-сервер.
Технология Сервер-Word
С помощью методов сервер -Word
после прохождения тестирования
Автоматически создается отчет в виде файла
программы Microsoft
Word в котором,
находятся сведения о тестируемом, результаты тестирования , дата и время
прохождения теста.
Наиболее используемыми в Windows для большинства
пользователей являются MS Word и MS Excel. Естественно, результаты решения
прикладных задач для них желательны в виде документов знакомых приложений.
Создание таких прикладных программ, где итоговый
документ формируется не только в формате, но и с использованием возможностей MS
Word или MS Excel, получило название разработки контроллеров автоматизации или
управления серверами автоматизации. Здесь прикладная программа рассматривается
как контроллер, а Word и Excel - как сервер.
Контроллеры автоматизации осуществляют
управление серверами автоматизации при помощи вызовов их методов и с
использованием переменных типа Variant. Этот тип данных позволяет работать со
всеми объектами сервера автоматизации при помощи в основном четырех вызовов:
· OlePropertyGet;
· OlePropertySet;
· OleProcedure;
· OleFunction.принимает строку в
качестве параметра и возвращает данные, содержащиеся в указанном свойстве
объекта.принимает несколько параметров, первый из которых - строка, указывающая
на изменяемое свойство, а последующие параметры - данные, которые будут
записаны в это свойство.и OleFunction выполняют указанный метод объекта.
Объекты к которым обращается сервер имеют
иерархическую структуру (Пример для Excel):
· Приложение (Excel.Application)
содержащее одну или более книг (Workbooks);
· Книги, содерщащие одну или более
страниц (Worksheets) или(и) диаграмм (Charts);
· Страницы, содержащие ячейки (Cells),
строки, столбцы, рисунки, диаграммы.
Соответственно, внутри свойствами объектов Word
могут также быть коллекции Paragraphs, Words, Tables.
4.2 Статистический
анализ результатов теста среди учащихся
При работе с программой «Тест» не требуется
глубоких знаний в области компьютерных технологий и компьютерных языков.
Решена проблема «списывания» при повторном
тестировании, т.к. при каждом новом запуске программы блок вопросов
сортируется.
Использовались приемы технологии «клиент-сервер»,
для того чтобы сделать возможной работу программы в компьютерных сетях.
Были введены возможности ограничения
тестирования по времени (время тестирования задается администратором в
свойствах программы).
В случае применения программы в компьютерной
сети файл-отчет находится на сервере и является общим для всех компьютеров,
входящих в эту сеть. Такой файл-отчет значительно улучшит работу по обработке
результатов тестирования. Вопросы и варианты ответов содержатся в обычных
текстовых файлах (например в программе Блокнот).
4.3 Преимущества
программы «Тест»
Рисунок 31 - рабочее окно программы.Ввод имени
учащегося и потверждение
Рисунок 32 - Рабочее окно программы.Выбор
правильного ответа
Рисунок 33 - Распределение правильных ответов, x-
количество правильных ответов, у- частота прохождения теста
В исследовании теста приняли участие 11
студентов 3 курсов ФТФ. Результаты тестов 18 -1студент, 21-1студент,23 -1 студент,
24-2 студента,25-1 студент,28-1 студент, 30-1 студент, 31-1 студент, 33-2
студента, 34-1 студент, 37-1 студент, 39-1 студент, 40-1 студент. По данным
результатам можно сделать вывод, что тема анализа обработки изображений
позитронно-эмиссионной томографии известна студентам, но нуждается в более
широком изучении. Закрепление знаний можно проверить до изучения темы и после.
ЗАКЛЮЧЕНИЕ
Основные результаты дипломной работы состоят в
следующем:
. проведен анализ литературы относящейся к ПЭТ;
. изучена ПЭТ и ее принцип действия, основанный
на регистрация двух противоположно направленных гамма-лучей одинаковых энергий,
возникающих в результате аннигиляции. В
организм пациента вводится РФП со слабым радиоактивным изотопом с коротким
временем полураспада. Препарат распределяется по всему телу исследуемого
человека и излучает позитроны, образуемые в результате распада введенного
радионуклида. При их столкновении с электронами исследуемых органов, возникает
процесс аннигиляции позитронов, который в свою очередь вызывает возникновение
пары противоположно направленных гамма-квантов. Специальный ПЭТ-сканер
регистрирует возникновение таких гамма-квантов и интерпретирует их в виде
изображения. ;
. рассмотрены методы томографирования, а именно
восстановление сечений с использованием Фурье преобразований, метод обратной
проекции, обратная проекция с фильтрацией свертка;
. изучено влияние ПЭТ на здоровье человека.
Поскольку период полураспада радиоизотопов мал, лучевое облучение чрезвычайно
мало и не затрагивает нормальные процессы тела. Это позволяет при необходимости
проводить повторные исследования;
. составлен тест для учащихся, который позволяет
исключить «списывание», ограничен временем и имеет возможность работы программы
в компьютерных сетях.
СПИСОК ИСПОЛЬЗОВАННЫХ ИСТОЧНИКОВ
1
Розенштраух Л. С. Невидимое стало зримым (успехи и проблемы лучевой
диагностики)/Л. С. Розенштраух- М.: Знание, 1987.- 64 с.
Помозгов
А. И. Томография грудной клетки /А. И. Помозгов, С. К. Терновой, Я. С. Бабий,
Н. М. Лепихин - К.:Здоровья,1992.- 288 с.
Верещагин
Н. В. Компьютерная томография мозга/ Верещагин Н.В., Брагина Л.К., Вавилов
С.Б., Левина Г.Я.-М.:Медицина,1986.-256 с.
Коновалов
А.Н. Компьютерная томография в нейрохирургической клинике/ Коновалов А.Н.,
Корниенко В.Н. - М.: Медицина,1988. - 346 с.
Физика
визуализации изображений в медицине: В 2-х томах. Т.1:Пер. с англ./Под ред.
С.Уэбба.-М.:Мир,1991.- 408 с.
Антонов
А.О. Мед.техника/ А.О.Антонов, О.С.Лыткин С.А.-Москва, 1995.-79 с.
Беликова
Т.П. Мед.техника/Беликова Т.П.,Лапшин В.В., Яшунская Н.И.-Москва,2003.-97 с.
8 Национальное общество по
изучению болезней в кардиологии //Москва. - (Рус.). URL
<http://www.cardioline.ru>
In vivo
measurement of and field inhomogeneity maps in the human heart at 1.5 T. /
S.B.Reeder, A.Z.Faranesh, J.L.Boxerman, E.R.McVeigh. // Magn. Reson. Med. 1998.
- V.39. - P.988-998.
The
intrinsic signal-to-noise ratio in human cardiac imaging at 1.5, 3, and 4 T. /
H.Wen, T.J.Denison, R.W.Singerman, R.S.Balaban. // J. Magn. Reson. Imaging.
1997. - V.125. - P.65-71.
Reduction of
Field of View in MRI Using a Surface-Spoiling Local Gradient Insert. /
D.G.Wiesler, H.Wen, S.D.Wolff, R.S.Balaban. // J. Magn. Reson. Imaging. 1998. -
V.8. - P.981-988.
Mansfield P.
Multi-planar image formation using NMR spin echoes. / P.Mansfield. // J. Phys.
C:Solid State Phys.- 1977. V.10. - P.L55.
Гайсин М.А. Позитрон -
математический фантом реального электрона//Москва. - (Рус.).- URL:
http://www.sciteclibrary.ru/rus/catalog/pages/8881.html
Гайсин М.А. Физическая
природа формирований конфигураций фигур вращения, электронных оболочек атомов.
Физическая природа магнитных полюсов. Физическая природа обменной
энергии//Москва.-(Рус.).-URL:
http://www.sciteclibrary.ru/rus/catalog/pages/8706.html
Гайсин М.А. Наглядное
представление физической природы фотона и нейтрино. Доказательство отсутствия в
природе такого явления, как слабое взаимодействие//Москва.-(Рус.).-URL:
<http://www.sciteclibrary.ru/rus/catalog/pages/9293.html>
Куренков В.Г. Позитронная
эмиссионная томография(физико-химические аспекты)/В. Г. Куренков , Н. П.
Фадеев. - Мед.радиол. 1986,31 ,№ 10,6-76с.
Наркевич Б. Я. Физические
основы ядерной медицины/ Б. Я. Наркевич, В. А. Костылев. -
М.:АМФ-пресс,2001-60с.
18 Coleman
R.E. Value of FDG PET scanning in management of lung cancer. //Lancet. 2002. - Vol. 359.-P. 1361-1362.
Хмелев A.B. Позитронная
Эмиссионная Томография/А. В. Хмелев, С. В. Ширяев, В. А. Костылев. - М:
АМФ-пресс,2004.-5с
Ширяев C.B. Ядерная медицина
в диагностике и лечении онкологических заболеваний/ С. В. Ширяев. - Москва,- 2001.-
24с.
Куренков В. Г. Позитронная
эмиссионная томография(физико-химические аспекты)/ В. Г. Куренков, Н. П.
Фадеев. - Москва, -1996. - 76с.
Лукьянченко А.Б. Современные
тенденции в лучевой диагностике немелкоклеточного рака легкого// Вестник
Российского Онкологического Научного Центра им H.H. Блохина -№1/А. Б.
Лукъянченко, Б. Е.Полоцкий, В. А.Гальченко, Р. Т. Алексеева .-Москва, - 2003.-
29 с.
Мерабишвили В.М. Статистика
рака легкого (заболеваемость, смертность, выживаемость)// Практическая
онкология- №3-2000.-36с.
23 F. Fahey,
Data Acquisition in PET Imaging, Journal of Nuclear Medicine Technology 2002;
p: 39-49
T. Lewellen,
An introduction to PET instrumentation, Division of Nuclear Medicine,
University of Washington Medical Center, 2004; p-32-34
T. Turkington,
Introduction to PET Instrumentation, Journal of Nuclear Medicine Technology
2001; p: 1-8