Контроль качества лекарственных форм индивидуального изготовления
Государственное
образовательное учреждение высшего профессионального образования
Дальневосточный
государственный медицинский университет министерства здравоохранения Российской
Федерации
Кафедра
Фармацевтической и аналитической химии
Контроль
качества лекарственных форм индивидуального изготовления
Хабаровск
Алгоритм выполнения самостоятельной
работы
1. Написать на латинском языке
в виде рецепта лекарственную форму, предложенную для выполнения самостоятельной
работы.
2. Обосновать виды аптечного
контроля, которым будет подвергаться предложенная лекарственная форма и
сформулировать, какие испытания нужно провести, чтобы оценить качество
лекарственной формы.
. Описать физические свойства
входящих ингредиентов (агрегатное состояние, цвет, запах, вкус, растворимость).
НА основании свойств ингредиентов обосновать физические свойства лекарственной
формы.
. Описать химические свойства
входящих ингредиентов. Привести уравнения химических реакций и
физико-химические характеристики)максимум светопоглощения, удельный показатель
поглощения, удельное вращение, показатель преломления и др.), выбрать наиболее
чувствительные реакции и показатели из описанных в литературе. Назвать
специфические реакции, позволяющие определять ингредиенты при совместном
присутствии. Обосновать выбор реакции соответствующими факторами (доступность
реактивов, скорость выполнения реакций, наблюдаемый эффект, чувствительность
реакций и т.д.)
. Обосновать все возможные
методы количественного определения во взаимосвязи со структурой и свойствами
ингредиентов, входящих в лекарственную форму. Дать их сравнительную оценку,
исходя из доступности реактивов, скорости выполнения, чувствительности реакции,
точности и др. параметров. На основании чего предложить оптимальные химические
и физико-химические методы количественного определения ингредиентов при
совместном присутствии.
Написать уравнения химических
реакций, лежащих в основе каждого титриметрического метода. Описать способ
приготовления титрантов, формулу расчета молярности, установки поправочного
коэффициента.
Дать краткое описание
физико-химического метода, его обоснование, принцип определения, схему прибора.
6. Рассмотреть вопросы
физической, химической и фармакологической несовместимости ингредиентов
лекарственной формы, используя учебные материалы по технологии лекарственных
форм.
7. Составить методику для
проведения реакций подлинности и количественного определения ингредиентов
лекарственной формы.
Рассчитать молярную массу
эквивалента, титр по определяемому веществу, теоретический объем титранта.
Привести формулу расчета массы (или процентного содержания) каждого
ингредиента.
8. Рассчитать допустимые
(минимальный и максимальный) пределы содержания ингредиентов в лекарственной
формы в целом в соответствии с допустимыми нормами отклонений по приказу МЗ РФ
№305 от 16.10.97, на основании чего привести расчет пределов расхода титранта
для каждого ингредиента.
9. Описать правила оформления
лекарственной формы для отпуска больному.
. Описать и обосновать
условия хранения во взаимосвязи со структурой и свойствами входящих
ингредиентов и лекарственной формы в целом. Перечислить процессы, происходящие
при неправильном хранении под влиянием факторов внешней среды. Подтвердить
уравнениями химических реакций, где это возможно. Привести сроки хранения.
. Описать фармакологические
свойства входящих ингредиентов и привести заболевания, при которых назначается
предложенная лекарственная форма. Обосновать применяемые дозы.
Задание 1
Дана лекарственная форма следующего
состава:
Кислоты борной
Кислоты салициловой по 1 г
Вазелина 10 г: Acidi
boricisalicylici ana 110,0. S:
Задание 2
Согласно приказу МЗ РФ 214 от
16.07.97 «О контроле качества лекарственных средств, изготовляемых в аптеках»,
данная лекарственная форма должна обязательно подвергаться письменному,
органолептическому, полному химическому контролю, контролю при отпуске.
Письменный контроль заключается в
заполнении паспорта письменного контроля. С обратной стороны записываются все
расчеты до изготовления лекарственной формы.
Паспорт письменного контроля.
Лицевая сторона Обратная сторона
Число, № рецепта Расчеты
Кислоты салициловой 1,0 Кислоты
борной 1,0
Кислоты борной 1,0 Кислоты
салициловой 1,0
Вазелина 10,0 Вазелина 10,0
Приготовил: ФИО, подпись
Проверил: ФИО, подпись
Заполненный паспорт остается у
контролера и хранится полмесяца.
Органолептический контроль
заключается в проверке внешнего вида лекарственной формы, ее цвета,
прозрачности, отсутствия механических включений.
Физический и полный химический
контроль должен провести провизор-аналитик.
Контроль при отпуске заключается в
проверке соответствия упаковки, оформления, указанных в рецепте доз. Провизор
технолог должен сверить номера квитанции, рецепта и этикетки на склянке, а
также фамилию больного на рецепте, этикетке и на склянке.
Задание 3
Физические свойства ингредиентов.
Кислота борная - это бесцветные,
блестящие, слегка жирные на ощупь чешуйки или мелкий кристаллический порошок,
без запаха. Летуч с парами воды и спирта. При продолжительном нагревании (до
1000) теряет часть воды переходя в мета-борную кислоту (HBO2),
при более сильном нагревании образуется стекловидная сплавленная масса, которая
при дальнейшем нагревании теряет всю воду, оставляя борный ангидрид (В2О3).
Водные растворы имеют слабокислую реакцию. Растворим в 25 ч. Воды, в 4 ч.
кипящей воды, в 25 ч. спирта и медленно в 7 ч. глицерина.
Кислота салициловая - это белые
мелкие игольчатые кристаллы или легкий кристаллический порошок без запаха.
Летуч с водяным паром. При осторожном нагревании возгоняется. Мало растворим в
воде, растворим в кипящей воде, легко растворим в спирте, эфире, трудно
растворим в хлороформе.
Вазелин (масло вазелиновое) -
бесцветная маслянистая нефлюоресцирующая жидкость без запаха и вкуса. Препарат
практически нерастворим в воде и спирте. Растворим в эфире, хлороформе,
бензине. Смешивается с растительными маслами, кроме касторового.
На основании изучения физических
свойств можно предположить, что данная лекарственная форма должна представлять
собой мягкую лекарственную форму бесцветная, без запаха.
Задание 4
Химические свойства ингредиентов.
HBO3 Кислота борная
Кислота борная- это слабая кислота,
проявляет слабые кислотные свойства. Протолитические связаны не с отщеплением
протона, а с присоединением гидроксил-ионов, что вызывает появление свободных
протонов в растворе:
Реакция с куркумином. Куркумовая
бумага, смоченная раствором препарата (1:50) и несколькими каплями соляной
кислоты, окрашивается при высушивании в розовый или буровато-красный цвет,
переходящий от смачивания раствором аммиака в зеленовато-черный.
Реакция образования борноэтилового
эфира, горящего пламенем с зеленой каймой:
Кислота салициловая - двухосновная гидроксикислота.
Реакционная способность бензольного ядра салициловой кислоты определяется
наличием двух заместителей с противоположными мезомерным и индуктивным
эффектами: донорной гидроксильной и акцепторной карбоксильной: в результате
салициловая кислота значительно легче бензойной, но не так активно, как фенол,
вступает в реакции электрофильного замещения вследствие стабилизации
промежуточного σ-комплекса гидроксильной группой.
) 0,01 г препарата растворяют в 10
мл воды. К полученному раствору прибавляют 1 каплю раствора хлорида окисного
железа; появляется сине-фиолетовое окрашивание, исчезающее от прибавления
нескольких капель разведенной хлороводородной кислоты и неисчезающее от
добавления нескольких капель разведенной уксусной кислоты:
Образование комплексов зависит от
рН. При рН 2-3, образуются фиолетовые моносалицилаты, при рН 3-8 - красный
дисалицилат, при рН 8-10 трисалицилат желтого цвета.
) 0,1 г препарата нагревают с 0,3 г
цитрата натрия, ощущается запах фенола- происходит даекарбоксилирование.
) 1 г препарата наревают с 2 мл
концентрированной серной кислоты и выделяющийся газ пропускают через известковую
муть появляется муть (происходит декарбоксилирование). Водный раствор препарата
имеет кислую реакцию.
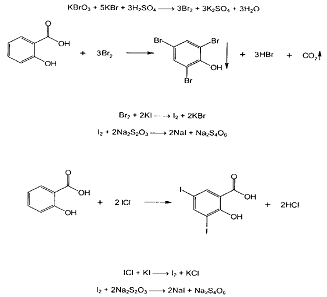
(OH)2 + CO2 →
CaCO3 ↓+ H2O
) Из нефармакопейных реакций,
наиболее интересна реакция с раствором сульфата меди, образуется комплекс
зеленого цвета (предварительно салициловую кислоту нейтрализуют щелочью). По ФС
идентификацию проводят УФ-спектрофотометрии, предварительно растворив в 0,5 н
растворе серной кислоты; можно обнаружить по ИК-спектру в области 4000-400 см-1.
Он должен полностью соответствовать спектру, приведенному в ФС. УФ-спектр
0,007% раствора кислоты ацетилсалициловой в хлороформе имеет в области 260-350
нм максимум при 278 нм.
Задание 5
Методика количественного определения
Кислота борная по ГФ X определяется
прямой алкалиметрией методом нейтрализации. При этом нейтрализуется
одноосновная глицероборная кислота щелочью-едким натром.
Около 0,2 г препарата (точная
навеска) растворяют в 10 мл свежепрокипяченной и охлажденной воды, прибавляют
40 мл глицерина, предварительно нейтрализованного по фенолфталеину. Раствор
перемешивают, прибавляют 15 капель раствора фенолфталеина и титруют 0,1 н
раствором едкого натра до розового окрашивания. Затем к раствору прибавляют ещё
10 мл нейтрализованного глицерина и, если розовая окраска раствора при этом
исчезает, снова титруют до появления розовой окраски раствора. Добавление
глицерина и титрование едким натром продолжают до тех пор, пока от последних 10
мл нейтрализованного глицерина розовая окраска раствора не перестанет исчезать.
Кислота салициловая по ГФ X
определяется прямой алкалиметрией методом нейтрализации. При этом
нейтрализуется салициловая кислота щелочью-едким натром. Около 0,25 г препарата
(точная навеска) растворяют в 15 мл нейтрализованного по фенолфталеину спирта и
титруют с тем же индикатором 0,1 н раствором едкого натра до розового
окрашивания.
лекарственная форма
фармакологический ингредиент
Учитывая, что оба ингредиента
определяются одним и тем же методом алкалиметрическим титрованием
нейтрализации, то оптимальным для данной лекарственной формы будет совместное определение
ингредиентов. Кроме того, броматометрия - более долгий метод, т.к.
подразумевает нахождение титруемого раствора в темном месте значительное время.
Приготовление титрованных растворов
и установка титра
. 0,1 н раствор едкого натра.
мл раствора содержит 0, 0040 г
гидроокиси натрия
Приготовление. 1. 4,5 г едкого натра
растворяют в 5 мл воды, колбу плотно закрывают резиновой пробкой и оставляют до
следующего дня. Прозрачную жидкость сливают с осадка и разбавляют
свежепркипяченной и охлажденной водой до 1 л.
. 5 г едкого натра растворяют в 20
мл воды, к раствору приливают 2 мл раствора хлорида бария. Осадку дают
отстоятся и, добавляя несколько капель раствора хлорида бария, убеждая в
полноте осаждения карбонат-ионов. Если осадок больше не образуется, то сливают
с осадка прозрачную жидкость и разбавляют свежепрокипяченной и охлажденной
водой до 1 л.
Установка титра. 1. Около 0,15 г
(точная навеска) х. ч. янтарной кислоты, высушенной при 95-1000 до
постоянного веса, растворяют в 50 мл свежепрокипяченной и охлажденной воды и
титруют приготовленным раствором едкого натра до появления слабо розового
окрашивания (индикатор-фенолфталеин). Поправочный коэффицент вычисляют по
первому способу, где Т=0, 005904.
. При установке титра по метиловому
оранжевому 20 мл приготовленного раствора титруют 0,1 н раствором соляной
кислоты до появления розовато-оранжевого окрашивания. Поправочный коэффициент
вычисляют по второму способу.
Примечание: Растворы едкого натра
должны быть тщательно защищены от действия углекислоты воздуха. Склянки,
соединенные непосредственно с бюретками, предохраняют трубками с натронной
известью. Титр раствора следует часто проверять.
Реакция идет по схеме:
НOOC - CH2 - CH2 -
COOH + 2NaOH = NaOOC - CH2 - CH2 - COONa + 2H2O
Молярность рассчитывают по формуле
,
где
А - навеска в граммах;
У - объем раствора,
пошедшего на титрование;
Э - молярная масса
условных частиц натрия карбоната.
Примечание: раствор в
запас не готовится.
. 0,1 н раствор
тиосульфата натрия
мл раствора содержит
0,02482 г тиосульфата натрия.
Приготовление. 26 г
тиосульфата натрия и 0,1 г карбоната натрия растворяют в свежепрокипяченной
воде и доводят такой же водой до 1 л. Раствору дают стоять 10 дней в защищенном
от света месте. При наличии осадка жидкость сифонируют.
Установка титра. Около
0,15 г (точная навеска) перекристаллизованного из горячей воды и высушенного
при 130-1500 до постоянного веса мелко растертого бихромата калия
растворяют в 50 мл воды в склянке с притертой крышкой, прибавляют 2 г йодида
калия, растворенного в 10 мл воды, 5 мл соляной кислоты, закрывают пробкой,
смоченной раствором йодида калия, и оставляют в темном месте в течение 10
минут. Прибавляют 200 мл воды, обмывая пробку водой и титруют приготовленным
раствором тиосульфата натрия до зеленовато-желтого окрашивания. Затем приливают
2-3 мл раствора крахмала и продолжают титровать до перехода синей окраски в
светло-зеленую. Поправочный коэффициент вычисляют по первому способу, где
Т=0,004904.
Примечание: раствор
следует защищать от действия углекислоты воздуха и света.
Реакция идет по схеме:
2Cr2O7
+ 6KI + 7H2SO4 = 3I2 + Cr2(SO4)3
+ 4K2SO4 + 7H2O
I2 + 6Na2S2O3
= 6NaI + 3Na2S4O6
Молярность рассчитывают
по формуле
,
где
а - навеска в граммах
бихромата калия.- объем раствора, пошедшего на титрование;- молярная масса с
эквивалентом бихромата калия.
Задание 6
Все компоненты данной
лекарственной формы физически, химически и фармакологически совместимы.
Задание 7
На основании
вышеприведенной сравнительной оценки качественного и количественного анализа
кислоты борной и салициловой предлагается следующая методика анализа
лекарственной формы.
Определение подлинности.
Кислота борная
Реакция с куркумином.
Куркумовая бумага, смоченная раствором препарата (1:50) и несколькими каплями
соляной кислоты, окрашивается при высушивании в розовый или буровато-красный
цвет, переходящий от смачивания раствором аммиака в зеленовато-черный.
Кислота салициловая
Определяется по
образованию сине-фиолетового цвета с раствором хлорида окисного железа.
Количественное
определение
Так как кислота борная и
кислота салициловая обе определяются прямой алкалиметрией методом нейтрализации
с одним индикатором фенолфталеином, я предлагаю метод совместного(суммарного)
титрования борной и салициловой кислот. Салициловая кислота определяется
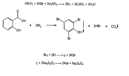
обратной броматометрией.
Методика: Извлечение
веществ 1 г лекарственной формы вносят в колбу, прибавляют 3-5 мл разведенной
соляной кислоты, 10 мл воды и нагревают на кипящей водяной бане в течение 5-7
минут, охлаждают и фильтруют через вату в колбу на 100 мл, доводя водой до
метки. На анализ берем аликвоту 10 мл (разведение 1:10)
Раздельное титрование
Методика: в склянку с
притертой крышкой помещаем 10 мл ЛФ, прибавляем 5 мл 0,1 н раствора бромата
калия, 0,5 г бромида калия, подкрепляют 10 мл разбавленной хлороводородной
кислоты и оставляем на 10 минут. Затем прибавляем 10 мл 10% раствора калия
иодида, оставляем на 5 минут. Выделившийся йод титруем тиосульфатом натрия,
индикатор крахмал.
э=1/6
|
а
|
fэ
|
С титранта
|
|
NaOH суммарное
|
1
|
1
|
0,1
|
|
Na2S2O3 раздельное
|
1
|
1
|
0,1
|
Кислота салициловая
Рассчитываем фактическую навеску для
анализа:
г ЛФ-1 г к-ты
г ЛФ-0,08 г к-ты
мл-0,08 г к-ты
мл-0,008 г к-ты (аф)
Рассчитываем титр салициловый
кислоты по бромату калия:
Рассчитываем теоретический объём 0,1
н раствор KBrO3 пошедший на титрование:
Рассчитываем объём
натрия тиосульфата:
Рассчитываем процентное
содержание салициловой кислоты:
Суммарное титрование
Методика: К 10 мл ЛФ,
добавляем глицерин, 1-2 капли фенолфталеина, титруем 0,1 н раствором едкого
натра до розового окрашивания.(суммарное титрование). э=1

NaOH
|
а
|
fэ
|
С титранта
|
|
Кислота борная
|
1
|
1
|
0,1
|
|
Кислота салициловая
|
1
|
1
|
0,1
|
Рассчитываем фактическую навеску для
анализа:
г ЛФ-1 г к-ты
г ЛФ-0,08 г к-ты
мл-0,08 г к-ты
мл-0,008 г к-ты (аф)
Рассчитываем титр борной кислоты по
едкому натру:
Рассчитываем
теоретический обьем 0,1 н раствора NaOH пошедший на титрование:
Рассчитываем суммарный
объем, пошедший на титрование:
Рассчитываем процентное
содержание борной кислоты:
Задание 8
Согласно приказу МЗ РФ
№305 от 16.10.97 «О нормах отклонений, допустимых при приготовлении средств и
фасовке промышленной продукции в аптеках» находим допустимые отклонения.
Согласно пункту 2.7 допустимое отклонение составляет +6%.
Кислота салициловая
-0,96=0,04г
г -100%
,04-4%
Кислота борная
-0,97=0,03г
г-100%
,03-3%
Данная лекарственная
форма приготовлена удовлетворительно так, как найденные отклонения по
компонентам лекарственной формы не превышают допустимые отклонения значений по
приказу №305.
Задание 9
Согласно приказу №530 от
04.06.82 г данная лекарственная форма будет оформляться этикеткой оранжевого
цвета, свидетельствующей о том, что она предназначена для наружного применения,
на которой также будут обозначены название аптечного управления, номер аптеки,
номер рецепта, фамилия больного, способ применения, вид лекарственной формы,
детали применения лекарства (сколько раз в день принимать, до еды или после),
размер доз, дата изготовления лекарства, стоимость и общие предупредительные
надписи «беречь от детей», «хранить в защищенном от света месте», «перед
употреблением взбалтывать».
Задание 10
В соответствии с приказом МЗ РФ №377
от 13.11.96 г. данная лекарственная форма должна храниться в прохладном,
защищенном от света месте, в хорошо укупоренной таре.
Задание 11
Кислота борная применяется как
антисептическое средство. Применяется при конъюнктивите, мокнущей экземе,
дерматитах, пиодермии, опрелости, острых и хронических отитах, кольпите,
педикулезе.
Кислота салициловая применяется как
антисептическое, кератолитическое средство. Применяется при кожных
заболеваниях. Способ применения-наружно, наносить на пораженные участки кожи.
Список литературы
1. Муравьев И.А. Технология лекарств изд. 3, М., «Медицина»,
1980
2. Приказ МЗ РФ №305 от 16.10.97 г
. Приказ МЗ РФ №377 от 13.11.96
. ГФ X, ФС «Кислота борная», «Кислота салициловая»
. ГФ XI, изд. 2, ОФС «Титрованные растворы»
. ГФ XI, изд. 1, ОФС «Испытание на чистоту и допустимые
пределы примесей»
. В.Г. Беликов «Фармацевтическая химия», Пятигорская
государственная фармацевтическая академия