Теоретические методы описания эффекта Джоуля-Томсона в рамках уравнения Ван-дер-Ваальса и сопоставление их с экспериментальными данными для простых газов

  • Вид работы:
    Курсовая работа (т)
  • Предмет:
    Физика
  • Язык:
    Русский
    ,
    Формат файла:
    MS Word
    654,84 Кб
  • Опубликовано:
    2013-09-27
Вы можете узнать стоимость помощи в написании студенческой работы.
Помощь в написании работы, которую точно примут!

Теоретические методы описания эффекта Джоуля-Томсона в рамках уравнения Ван-дер-Ваальса и сопоставление их с экспериментальными данными для простых газов

Введение

Для описания свойств реальных газов в термодинамике используют различные уравнения состояния. Для каждого свойства в определенном диапазоне температур и давлений можно выделить уравнение состояния, которое дает результаты, наиболее близкие к эксперименту. В данной работе изучаются теоритические методы описания эффекта Джоуля-Томсона в рамках уравнения Ван-дер-Ваальса и сопоставление их с экспериментальными данными для простых газов.

Экспериментальные данные были взяты из физического справочника. Для их обработки используется программная среда Mathcad. Выполнялась линейная интерполяция данных и нахождение точек инверсии, как корней уравнений при изменении давления в табличных данных.

На основе вычисленных результатов получены таблицы значений для точек инверсии и построены графики сопоставления для различных газов.

1. Уравнения состояния реальных газов

.1 Уравнение состояния идеального газа

Идеальный газ - математическая модель газа, в которой предполагается, что: 1) потенциальной энергией взаимодействия молекул можно пренебречь по сравнению с их кинетической энергией; 2) суммарный объем молекул газа пренебрежимо мал. Между молекулами не действуют силы притяжения или отталкивания, соударения частиц между собой и со стенками сосуда абсолютно упруги, а время взаимодействия между молекулами пренебрежимо мало по сравнению со средним временем между столкновениями. В расширенной модели идеального газа частицы, из которого он состоит, имеют также форму в виде упругих сфер или эллипсоидов, что позволяет учитывать энергию не только поступательного, но и вращательно-колебательного движения, а также не только центральные, но и нецентральные столкновения частиц и др. Идеальный газ описывается уравнением состояния идеального газа Клапейрона - Менделеева:

 (1)

Состояние идеального газа часто на практике описывается обобщённым уравнением Менделеева - Клапейрона:

 (2)

где  - давление,  - объем,  - масса газа,  - молярная масса вещества

 - универсальная газовая постоянная,  - абсолютная температура[4].

1.2 Уравнение Ван-Дер-Ваальса

Реальные газы описываются уравнением состояния идеального газа только приближенно. Приближение лучше подходит для разреженных газов при высокой температуре. При увеличении плотности газа, что соответствует уменьшению расстояния между молекулами, необходимо учитывать силы взаимодействия между молекулами. Для нейтральных атомов и молекул силы взаимодействия связаны с их структурой, при которой входящие в них заряды не находятся в одной и той же точке, что приводит к появлению поляризации и дипольному взаимодействию. Силы притяжения, связанные с дипольным взаимодействием (называемые часто силами Ван-дер-Ваальса), с увеличением расстояния убывают значительно быстрее, чем кулоновские. При уменьшении расстояния между молекулами начинают преобладать силы отталкивания, связанные с отталкиванием электронных оболочек. Сжатие превращает газ в жидкость. Конденсированное состояние жидкости связано со значительным возрастанием сил притяжения (количественным эффектом), которые удерживают молекулы на близких расстояниях, определяемых равновесием сил притяжения и отталкивания. [1,2]

Для описания сил взаимодействия используются приближенные формулы, удовлетворяющие экспериментальным данным. По ним находят зависимости между функциями состояния, т. е. получают уравнения состояния. Удобно также использовать потенциальную энергию взаимодействия между молекулами U(r) в зависимости от расстояния между ними, которая определяет силу взаимодействия:

 (3)

Иногда зависимость энергии от расстояния, называемую потенциалом, описывают экспонентой, а иногда степенными функциями:

 (4)

Постоянные  и , и показатели  и  подбираются по экспериментальным данным. Хорошо удовлетворяет экспериментальным данным для многих веществ потенциал Леннарда-Джонса[1]:

(5)

Наиболее удачным и часто употребляемым из уравнений состояния реальных газов является уравнение Ван-дер-Ваальса, связывающее давление р, молярный объем  ( - число молей вещества) и температуру Т, в котором две постоянные: а, описывающие силы притяжения, и b, описывающее силы отталкивания, подбираемые для каждого вещества по экспериментальным данным:

 (6)

Для постоянной b можно сделать оценку, рассматривая молекулы как твердые шары диаметром d и считая, что газ достаточно разрежен, чтобы можно было учитывать только парные столкновения и не учитывать одновременные столкновения большего числа молекул. В таком случае расстояние между центрами молекул не может быть меньше d, и недоступный объем для пары молекул . Для молярного объема  полученный для пары молекул объем надо умножить на половину числа Авогадро (чтобы не учитывать каждую молекулу дважды). Таким образом:

 (7)

На рисунке 1 в координатах  показаны изотермы, определяемые уравнением RT. Особенностью представленных зависимостей является их неоднозначность при температурах ниже , которая определяется условием для точки перегиба[1,2]:

 (8)

Рисунок 1 - Изотермы газа Ван-дер-Ваальса

Точку перегиба называют критической точкой. Используя (6) и (7), находим значения параметров в этой точке через постоянные, входящие в (4):

  (9)

Отсюда следует, что между критическими параметрами существует связь:

 (10)

Величину K называют критическим коэффициентом:

 (11)

По критическому объему и молекулярному весу можно найти критическую плотность:

 (12)

Молекулярный вес можно найти, если заданы критические температура, давление и плотность[1,5]:

 (13)

При заданных критических параметрах можно найти постоянные, входящие в (6):

 (14)

По известным критическим параметрам находим a и b, а затем по (6) можно определить одни параметры уравнения состояния по другим.

Таблица 1. Коэффициенты a и b в уравнении состояния Ван-Дер-Ваальса[5]

Вещество

a,

b,

Азот

0,1350

38,620

Аргон

0,1344

32,213

Вода

0,5451

30,410

Водород

0,0245

26,653

Воздух

1,3078

114,127

Гелий

0,00338

23,606

Закись азота

0,3801

44,316

Кислород

0,1358

31,671

Неон

0,2088

16,971

Окись азота

0,1438

28,856

Окись углерода

0,14536

39,492

Метан

0,2256

42,719

Метиловый спирт

0,9532

67,074

Спирт этиловый

1,2008

84,033

Сероуглерод

1,1099

72,608

Углекислый газ

0,36088

42,840

Хлор

0,6497

56,241

Этан

0,5427

64,187


Уравнение (6) можно записать в безразмерных переменных:

 (15)

В таком случае получаем приведенное уравнение Ван-дер-Ваальса примет вид:

 (16)

Это уравнение является общим для различных веществ. Замечательным является то, что уравнения типа (4), описывающие различные вещества с помощью трех констант a, b и R, можно обобщить (привести к безразмерному виду) для описания всех веществ. Этот вывод называют законом соответственных состояний. Из него следует, что совпадение двух безразмерных параметров для разных веществ обязательно приводит и к совпадению третьих безразмерных параметров[2].

Для описания отклонений термодинамических свойств реальных газов от свойств идеальных газов в термодинамике используется коэффициент сжимаемости

 (17)

Для идеального газа коэффициент сжимаемости Z равен единице, и тогда получаем привычное уравнение состояния идеального газа

 (18)

Для реальных газов Z может, в общем случае, быть как меньше единицы, так и больше неё.

Отклонение поведения газа от поведения идеального газа важно возле критической точки, или в случаях очень высоких давлений или достаточно низких температур. В этих случаях график зависимости коэффициента сжимаемости от давления или, иначе говоря, уравнение состояния больше подходит для получения точных результатов при решении задач[4].

.3      Другие варианты уравнений состояния

Уравнения состояния, как правило, связывают между собой термодинамические параметры системы, такие, как температура, давление, объём, химический потенциал и др.

Его можно написать всегда, когда можно применять термодинамическое описание явлений. При этом реальные уравнения состояний реальных веществ могут быть крайне сложными.

Уравнение состояния системы не содержится в постулатах термодинамики и не может быть выведено из неё. Оно должно быть взято со стороны (из опыта или из модели, созданной в рамках статистической физики). Термодинамика же не рассматривает вопросы внутреннего устройства вещества.

Соотношения, задаваемые уравнением состояния, справедливы только для состояний термодинамического равновесия[1].

Уравнение Бертло - двухпараметрическое уравнение состояния реального газа, опубликованное Д. Бертло в 1899 году как модификация уравнения Ван-дер-Ваальса[5].

Уравнение может быть записано в виде:

 (19)

В критических точках можно считать, что

 (20)

Что приводит к значениям

 (21)

Д. Бертло также предложил уравнение состояний для низких давлений

 (22)

Уравнение Дитеричи - уравнение состояния, связывающее основные термодинамические величины в газе. Используется наряду с более распространенным уравнением Ван-дер-Ваальса для описания реальных газов, в которых частицы имеют конечные размеры и взаимодействуют друг с другом.

Предложил и теоретически обосновал Конрад Дитеричи (1858-1929).

Это уравнение встречается в двух различных вариантах (соответственно первое и второе уравнения Дитеричи):

 (23)

Оба уравнения являются полуэмпирическими. Они переходят в уравнение состояния идеального газа в пределе больших молярных объёмов.

Первое уравнение Дитеричи для умеренных давлений лучше описывает свойства реальных газов, чем уравнение Ван-дер-Ваальса, но зато совершенно непригодно для больших давлений[4].

Уравнение Редлиха - Квонга - уравнение состояния реального газа из двух параметров, полученное О. Редлихом и Дж. Квонгом в 1949 году как улучшение уравнения Ван-дер-Ваальса. При этом Отто Редлих в своей статье 1975 года пишет, что уравнение не опирается на теоретические обоснования, а является по сути удачной эмпирической модификацией ранее известных уравнений.

Уравнение имеет вид

 (24)

Уравнение Редлиха - Квонга применимо, если выполняется условие

 (25)

После 1949 года было получено несколько обобщений и модификаций уравнения Редлиха - Квонга однако, как показали А. Бьерре и Т. Бак, оригинальное уравнение более точно описывает поведение газов. [2]

Уравнение Барнера - Адлера - многопараметрическое уравнение состояния, описывающее поведение насыщенного и слегка перегретого пара. Получено Барнером и Адлером в 1970 году как обобщение уравнения Иоффе.

Уравнение имеет сложный вид:

 (26)

Уравнение применимо в области

Уравнение состояния Суги - Лю - многопараметрическое уравнение состояния, применяемое для описания насыщенных и несильно перегретых паров. Уравнение подобно уравнению Барнера - Адлера; обладает повышенной точностью, но при этом имеет сложную структуру. Кроме того, оно даёт хорошие результаты при расчётах объёмов насыщенной жидкости.

Уравнение было разработано в 1971 году Суги и Лю:

 (27)

2. Теория эффекта Джоуля-Томсона

.1 Физическая природа эффекта

Эффектом Джоуля - Томсона называется изменение температуры газа при адиабатическом дросселировании - медленном протекании газа под действием постоянного перепада давлений сквозь дроссель (пористую перегородку). Данный эффект является одним из методов получения низких температур.

Рисунок 2 - Процесс Джоуля-Томсона

Газ в теплоизолированной трубе продавливается с помощью поршня сквозь пористую перегородку. Слева и справа от перегородки поддерживается с помощью поршней постоянное давление P1 и P2 (P1 ˃ P2), так что весь процесс является стационарным. Однако, в реальных производственных условиях процесс Джоуля - Томсона несколько иначе: роль поршней выполняет компрессор, создающий перепад давлений и стационарный поток газа, а роль пористой перегородки - вентиль[2].

Докажем, что процесс Джоуля - Томсона происходит при постоянной энтальпии - изоэнтальпийный процесс. Пусть некоторое количество газа, занимавшее слева от перегородки объем V1 занимает после продавливания справа от перегородки объем V2. Изменение внутренней энергии газа U2 - U1 равно работе, проведенной над газом P1 V1 - P2 V2 , откуда

 (28)

Особое внимание уделяется тому, что процесс Джоуля - Томсона является необратимым адиабатическим процессом. Заменив его воображаемым изоэнтальпийным процессом, ведущим из начального состояния P1,V1,T1 в то же конечное состояние P2,V2,T2, что и реальный процесс Джоуля - Томсона.

Уделяя внимание непосредственно изменению температуры газа, сопровождающее процесс Джоуля - Томсона (это изменение, очевидно, будет таким же и в воображаемом изоэнтальпийном процессе), можно найти производную . При переходе к естественным для W переменным S, P:

 (29)

В силу равенства находится

 (30)

В случае идеального газа получаем , т.е. эффект Джоуля - Томсона отсутствует.

Для исследования формулы (13) в случае реальных газов удобно перейти в правой части к переменным T,P, пользуясь соотношением

 (31)

тогда получается

 (32)

Так как , то знак производной  совпадает со знаком величины [2] [5]

2.2 Описание эффекта Джоуля-Томсона на основании уравнения Ван-дер-Ваальса

Поведение газа, подчиняющегося уравнению Ван-дер-Ваальса, будет выглядеть так:

 и  (33)

При λ < 0 имеем отрицательный эффект Джоуля - Томсона - просачивание газа сквозь перегородку сопровождается нагреванием, при λ > 0 - положительный эффект - газ охлаждается и при λ = 0 - так называемую точку инверсии (смена знака эффекта). Точки эффекта определяются уравнением[2]:

 (34)

Так как нас интересует температура инверсии как функция давления, исключим из этого уравнения объем с помощью уравнения Ван-дер-Ваальса. Из уравнения (17) находим

 (35)

Вводится обозначение

 (36)

Подставляя в уравнение Ван-дер-Ваальса, получим х квадратное уравнение:

 (37)

И температура инверсии равна^

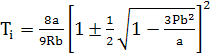
 (38)

Вводя критическую температуру  и критическое давление , тогда формула примет вид:

 (39)

Видно, что при P<9PK существует две точки инверсии: верхняя и нижняя, разница между которыми уменьшается с ростом давления; при P<9PK обе точки инверсии сливаются в одну Ti` = 3TK. Наоборот, при  имеем верхнюю и нижнюю соответственно  [2].

2.3 Кривая инверсии

Для большинства газов при низких давлениях нижняя точка инверсии находится в области жидкого состояния. На плоскости PT кривая инверсии имеет куполообразную форму, изображенную на рисунке 3. Область положительного эффекта лежит внутри кривой. Это видно хотя бы из того, что согласно формуле (17) при  и фиксированном V величина λ становится отрицательной. Для большинства газов (за исключением водорода и гелия) верхние температуры инверсии велики по сравнению с комнатными, и для них уже при комнатных температурах λ ˃ 0. Следовательно, эффект Джоуля - Томсона приводит к понижению температуры газа, с чем связано его техническое использование в установках для сжижения азота и т.д. [4]

Для водорода и гелия верхние температуры инверсии при обычно употребляемых давлениях очень низки, и при комнатных температурах процесс джоуля - Томсона приводит к нагреванию газа. В связи с этим для снижения Н2 и Не необходимо предварительное их охлаждение ниже температуры инверсии другими методами. Для водорода используется охлаждение с помощью теплового контакта с жидким воздухом, а для гелия - с жидким водородом.

Рисунок 3 - График инверсии по теоретическим данным

Как видно из выражения (17), положительный эффект имеет место в условиях, когда большую роль играет поправка  в уравнении Ван-дер-Ваальса, а отрицательный эффект - когда превалирует поправка b. Это обстоятельство легко понять, пользуясь соображениями молекулярной теории. Поправка  связана с действием сил притяжения между молекулами, и когда эти силы преобладают, они тормозят движение молекул при их удалении друг от друга - при расширении газа после прохождения через пористую перегородку. При этом кинетическая энергия молекул и, следовательно, температура газа снижаются. Поправка b связана с конечностью объема молекул, т.е. с действием сил отталкивания между ними при непосредственном движении. Если силы превалируют, то они ускоряют молекулы при их удалении друг от друга. При этом кинетическая энергия молекул и температура газа возрастают. [4,5]

2.4 Технические применения эффекта

Таким образом дифференциальный эффект Джоуля - Томсона, имеющий место при бесконечно малых перепадах давлений. Технический интерес представляет интегральный эффект, для которого

 (40)

В реальных условиях величина Т1 фиксирована выбором метода предварительного охлаждения газа, а величина Р2 приблизительно совпадает с атмосферным давлением. Найдем, при каком выборе начального давления Р1 эффект будет максимальным. Дифференцируя (18) по Р1, найдем  при Р = Р1, Т = Т1, но это есть условие того, что начальное состояние лежит на кривой инверсии для дифференциального эффекта Джоуля - Томсона. Следовательно, выбрав температуру T1 предварительного охлаждения, по кривой инверсии можно найти оптимальное начальное давление.

Можно заметить, что все полученные результаты только качественно согласуются с опытом, так как уравнение Ван-дер-Ваальса лишь приближенно описывает поведение реальных газов. [2]

3. Сопоставление экспериментальных и теоретических результатов

.1 Методика расчета экспериментальных точек инверсии для ксенона

уравнение газ термодинамика инверсия

При прохождении реальных газов через пористую перегородку наблюдается эффект Джоуля-Томсона, приводящий к изменению температуры газа при постоянной разности давлений. Этот процесс является изоэнтальпийным и характеризуется коэффициентом [1,2]

. (41)

При λ < 0 имеем отрицательный эффект Джоуля-Томсона, просачивание газа через перегородку сопровождается нагреванием, при λ > 0 - положительный эффект, газ охлаждается (и это используется в технических установках), а при λ = 0 - так называемую точку инверсии, при прохождении которой меняется знак эффекта.

Теоретически для уравнения Ван-дер-Ваальса значения температуры инверсии определяются уравнением [1]

, (42)

откуда можно получить выражение для давления в виде функции от температуры инверсии и построить теоретическую кривую инверсии

. (43)

В формулах (2), (3)  - давление, температура инверсии, критическая температура и критическое давление для данного реального газа. Основной задачей данной работы является сопоставление теоретической кривой инверсии (3) и экспериментальных значений коэффициента Джоуля-Томсона, приведенных в справочнике [3] (см. таблицу 1), для ксенона. Данные, приведенные в Таблице 1, обрабатывались следующим образом. Для каждого значения температуры формировались векторы данных vp, vλ и строился график зависимости коэффициента λ от давления. В области пересечения графиком оси абсцисс с помощью встроенной функции linterp(vp,vλ,p) программного пакета Mathcad [4] выполнялась линейная интерполяция данных. Линейная интерполяция - это один из видов интерполяции, при которой интерполирующая функция состоит из отрезков прямых, соединяющих точки. Далее с помощью встроенной функции root(f(p),p) находилось значение давления, при котором коэффициент λ = 0.

Таблица 2 − Коэффициент Джоуля-Томпсона λ для ксенона, град/атм

Р, атм

Температура, Cº


25

50

75

100

125

150

1

1,87

1,62

1,43

1,28

1,14

1,02

30

1,72

1,50

1,32

1,17

1,05

0,943

50

1,49

1,36

1,21

1,09

0,983

0,889

100

0,188

0,577

0,786

0,804

0,769

0,725

200

0,0293

0,089

0,165

0,252

0,320

0,362

300

-0,0155

0,0115

0,0435

0,0795

0,120

0,155

600

-0,0625

-0,0551

-0,0450

-0,0374

-0,0296

-0,0203

1000

-0,0820

-0,0791

-0,0737

-0,0740

-0,0734

-0,0718

2000

-0,0949

-0,0934

-0,0893

-0,0934

-0,0980

-0,1011


Рисунок 4 - Линейная интерполяция газа ксенона

 

 (44)

 

Таким образом, были вычислены экспериментальные точки инверсионной кривой. Численные значения представлены в Таблице 3. На рисунке 5 эти точки сопоставлены с теоретической кривой, построенной на основании формулы (43) с учетом того, что для ксенона , атм [1]. Область положительного эффекта ограничивается сверху кривой инверсии, а снизу - осью температур.

Таблица 3 - Значения температуры и давления инверсии полученные из расчетов линейной интерполяции для ксенона

Температура инверсии, Kº

Давление инверсии, атм

298

265,402

323

351,802

348

447,458

373

504,021

398

540,642

423

565,26


Рисунок 5 - Экспериментальные (1) и теоретические (2) точки кривой инверсии эффекта Джоуля-Томсона для ксенона

По полученным результатам видно, что теоретические и экспериментальные результаты близки для газа ксенона, как для уравнения Ван-дер-Ваальса, так и для уравнения Бертло, но только при невысоких температурах и давлениях. В области высоких температур и давлений расхождение увеличивается, так что, возможно, для описания эффекта Джоуля-Томсона более точные результаты могут дать другие уравнения состояния реальных газов.

.2 Расчет экспериментальных точек инверсии для различных газов

На примере газа ксенона были так же произведены расчеты точек инверсии для газов аргона и окиси углерода. Таблицы с данными приведены из справочника [3].

На основании формулы (43) были так же построены теоретические кривые на по критическим точкам для аргона Нахождение точки инверсии осуществляется как нахождение корня уравнения. На рисунке 6 представлена точка инверсии аргона из таблицы 4 для давления 200 атмосфер.

Таблица 4 - Коэффициент Джоуля-Томпсона λ для аргона, град/атм [3]

T, Kº

Давление, атм


1

20

50

100

150

200

123

1,81

-

0,002

-0,025

-0,046

-0,056

148

1,111

1,045

0,166

0,039

0,000

-0,011

173

0,860

0,800

0,655

0,285

0,094

0,040

198

0,706

0,678

0,618

0,426

0,213

0,130

223

0,595

0,574

0,522

0,396

0,265

0,188

248

0,505

0,479

0,439

0,325

0,257

0,200

0,431

0,406

0,370

0,305

0,236

0,192

298

0,371

0,350

0,317

0,264

0,212

0,175

323

0,322

0,304

0,276

0,231

0,189

0,161

373

0,242

0,224

0,203

0,175

0,146

0,127

423

0,183

0,171

0,154

0,130

0,109

0,096

473

0,137

0,126

0,115

0,095

0,079

0,068

573

0,064

0,060

0,055

0,046

0,037

0,028


Рисунок 6 - Пример нахождения точки инверсии для аргона

Таблица 5 - Значения температуры и давления инверсии полученные из расчетов линейной интерполяции для аргона

Температура инверсии, Kº

Давление инверсии, атм

198

132,766

223

148

248

153,392


После нахождения точек инверсии строится график, на котором вместе с точками инверсии располагаются теоретические кривые инверсии уравнений Ван-дер-Ваальса и Бертло.

Рисунок 7 - Экспериментальные и теоретические точки кривой инверсии эффекта Джоуля-Томсона для аргона

На полученном графике видно, что точки инверсии практически совпадают с инверсионной кривой уравнения Бертло. Для данного газа уравнение Бертло подходит лучше, чем уравнение Ван-дер-Ваальса.

Аналогичным образом выполнена обработка экспериментальных данных для окиси углерода. По таблице экспериментальных данных из справочника и критическим точкам с помощью линейной интерполяции находятся точки инверсии.

Таблица 6 - Коэффициент Джоуля-Томпсона λ для окиси углерода, град/атм[3]

T, Kº

Давление, атм

274

0.295

0,251

0,213

0,179

0,150

0,104

323

0.240

0,206

0,175

0,147

0,122

0,085

373

0.190

0,162

0,137

0,115

0,095

0,067

473

0.093

0,084

0,072

0,060

0,049

0,032

573

0.034

0,031

0,027

0,022

0,015

0,005

673

-0.001

-0,001

-0,002

-0,004

-0,008

-0,014

873

-0.034

-0,034

-0,034

-0,034

-0,034

-0,039

1273

-0.056

-0,056

-0,056

-0,057

-0,058

-0,059

3273

-0.065

-0,066

-0,067

-0,068

-0,068

-0,071


Рисунок 8 - Нахождение точки инверсии для окиси углерода

Таблица 7 - Значения температуры и давления инверсии полученные из расчетов линейной интерполяции для окиси углерода

Температура инверсии, Kº

Давление инверсии, атм

274

670,143

323

669,875

373

666,103

473

657,615

573

638,217

673

559,316


Далее полученные точки инверсии наносятся на график с инверсионными кривыми уравнений Ван-дер-Ваальса и Бертло. На рисунке можно наблюдать, что ни одно из этих уравнений не соответствует экспериментальным данным коэффициента Джоуля-Томсона окиси углерода из-за высоких значений температуры и давления.

Рисунок 9 - Экспериментальные и теоретические точки кривой инверсии эффекта Джоуля-Томсона для окиси углерода

Заключение

В данной работе выполнен обзор различных уравнений состояния реальных газов. Изучена теория коэффициента Джоуля-Томсона в рамках уравнения Ван-дер-Ваальса.

Выполнена обработка экспериментальных данных, найдены точки инверсии с помощью линейной интерполяции в Mathcad.

Выполнены графические сопоставления теоретических и экспериментальных результатов для газов: аргона, ксенона, окиси углерода.

Список использованных источников

1. Румер, Ю.Б. Термодинамика, статистическая физика и кинетика / Ю.Б. Румер, М.Ш. Рывкин. - Новосибирск: Изд-во Новосиб. ун-та, 2000. - 608 с.

. Базаров, И.П. Термодинамика / И.П. Базаров. - М: Высшая школа, 1991. - 376 с.

. Таблицы физических величин. Справочник, ред. И.К. Кикоин - М.: Атомиздат, 1976. - 1008 с.

. Макаров, Е.Г. Инженерные расчеты в Mathcad / Е.Г. Макаров. - СПб.: Питер, 2005. - 448 с.

. Вукалович, М.П. Техническая термодинамика / М.П. Вукалович, И.И. Новиков. - Москва, 1968. - 497 с.

Похожие работы на - Теоретические методы описания эффекта Джоуля-Томсона в рамках уравнения Ван-дер-Ваальса и сопоставление их с экспериментальными данными для простых газов

 

Не нашли материал для своей работы?
Поможем написать уникальную работу
Без плагиата!
Без нейросетей!