Оборотные средства предприятий авиационного транспорта
МИНИСТЕРСТВО
ОБРАЗОВАНИЯ И НАУКИ РОССИЙСКОЙ ФЕДЕРАЦИИ
Федеральное
государственное бюджетное образовательное учреждение высшего профессионального
образования
«Сибирский
государственный аэрокосмический университет имени академика М.Ф. Решетнева»
Факультет ГА
и ТД
КУРСОВАЯ
РАБОТА
по
дисциплине «Экономика предприятия»
на тему:
«Оборотные
средства предприятий авиационного транспорта»
Выполнила: с-т гр. С91
Гижевская Тамара
Проверил: Цветцых
Александр Васильевич
Красноярск
2012
Содержание
Теоретическая часть
. Сущность, состав и структура
оборотных средств предприятия
. Источники формирования оборотных
средств, их состав и структура
. Эффективность использования
оборотных средств: оценка и пути повышения
. Пути ускорения оборачиваемости
оборотных средств
Практическая часть
Список используемой литературы
нормирование оборачиваемость эффективность оборотные средства
Теоретическая
часть
1.
Сущность, состав и структура оборотных средств предприятия
В процессе создания продукта на предприятиях
авиационного транспорта наряду с основными производственными фондами участвуют
предметы труда, которые в отличие от основных фондов потребляются полностью и в
полном объеме отражаются в себестоимости конечного продукта, изменяя при этом
натурально-вещественную форму. В связи с тем, что они потребляются в каждом
возобновляемом цикле, их называют оборотными средствами.
Оборотные средства различаются по
следующим признакам:
по
сферам кругооборота средств - оборотные производственные фонды (сфера
производства); фонды обращения (сфера обращения);
по способу формирования -
собственные и заемные;
по способу
определения объема - нормируемые и ненормируемые.
Для более полного представления о
составе оборотных средств, а также учета, анализа и планирования производства
большое значение имеет структура оборотных средств. Она представляет собой
перечень составных частей оборотных средств и их процентное соотношение. В
таблице представлена структура оборотных средств предприятия авиационного
транспорта.
Структура оборотных средств предприятия, %
|
Статьи
|
2009
г.
|
|
Материалы
Авиационные горюче-смазочные материалы (авиа ГСМ) Топливо Тара Запасные части
Инструмент и инвентарь (срок службы менее 1 года) Форменное обмундирование на
складах Спецоборудование и спецодежда
|
14,5
17,7 9,8 0,6 34,6 4,2 2,1 5,4
|
|
Итого производственных запасов
|
88,9
|
|
Расходы
будущих периодов
|
0,5
|
|
Итого в сфере производства
|
88,4
|
|
Задолженность
иностранных авиакомпаний Денежные средства
|
7,8
2,8
|
|
Итого в сфере обращения
|
11,6
|
|
Всего оборотных средств
|
100
|
Как видно из представленной таблицы на
предприятиях в сфере производства потребляются оборотные производственные
фонды: производственные запасы и расходы будущих периодов. А к сфере обращения
относят задолженность иностранных компаний (дебиторская задолженность) и
денежные средства.
К производственным запасам относятся предметы
труда, необходимые для обеспечения производственного процесса, но еще не
включенные в него (см. таблицу).
По статье «Материалы» отражаются вещественные
элементы, необходимые для технического обслуживания и ремонта самолетов и авиадвигателей,
всевозможные строительные материалы, запасные части для автомобильного и
специального транспорта, твердое топливо для отопительных целей и т.д. По
статье «Авиа ГСМ» выделяются оборотные средства для обеспечения необходимых
запасов различных видов авиационного топлива и смазочных материалов. Статья
«Топливо» включает в себя горюче-смазочные материалы для эксплуатации
автомобилей и специальных машин.
По статье «Запасные части» отражаются запасы
сменных частей, необходимые для своевременной замены износившихся или
отработавших установленный срок службы сменных частей самолетов, вертолетов и
авиадвигателей (агрегаты, приборы и т. д.). По статье «Инструмент и инвентарь»
учитываются такие предметы (находящиеся на складе и в эксплуатации), как различный
инвентарь, а также покупные емкости, используемые в основном для хранения
горюче-смазочных материалов.
Предприятия авиационного транспорта для текущих
нужд формируют оборотные средства по статье «Специальное обмундирование и
спецодежда». Для обеспечения потребностей личного состава в форменном
обмундировании создаются его складские запасы. Оборотные средства для этого
предусматриваются по статье «Форменное обмундирование на складах». Данные
статьи входят в состав производственных запасов.
На предприятиях авиационного транспорта
формируются также расходы будущих периодов и незавершенное производство. Для
возмещения затрат, произведенных в счет будущего и подлежащих отнесению на
себестоимость авиаперевозок в последующие отчетные периоды, таких как: арендная
и абонементная плата, налоги, вносимые вперед, расходы на подписку
периодической печати, и т.д., выделяются оборотные средства по статье «Расходы
будущих периодов». Статья «Незавершенное производство» формируется на
авиаремонтных предприятиях, в силу сравнительно большой длительности
производственного цикла ремонта СВП. В сфере обращения предприятий авиационного
транспорта образуются денежные средства (статья «Денежные средства»).
2.
Источники формирования оборотных средств, их состав и структура
По источникам формирования оборотные средства
предприятий авиационного транспорта подразделяются на собственные и заемные. Собственные
оборотные средства - это средства, постоянно находящиеся в распоряжении
предприятия, формируемые за счет собственных ресурсов (прибыли, бюджетного
финансирования). Заемные оборотные средства - это кредиты банков, кредиторская
задолженность и прочие пассивы.
Нормирование оборотных средств
- это разработка и обоснование норм и нормативов с целью обеспечения
бесперебойной и ритмичной работы предприятия. Под нормативом оборотных средств
понимается минимальная плановая сумма денежных средств, постоянно необходимая
предприятию для организации производственной деятельности.
К нормируемым оборотным средствам относятся все
производственные запасы (планируемые и имеющиеся на складе), расходы будущих
периодов и часть фондов обращения: средства, охватывающие расчеты с личным
составом за форменное обмундирование и некоторые другие. К ненормируемым
оборотным средствам относятся денежные средства на расчетном счете в банке,
средства в расчетах за выполненные работы, а также с отдельными лицами и
организациями (дебиторская задолженность).
В процессе нормирования оборотных средств
рассчитываются совокупные и частные нормативы.
Совокупный норматив - это общая плановая сумма
оборотных средств предприятию.
Частный норматив - сумма оборотных средств,
предназначенная для образования минимального запаса какого-либо элемента
(статьи) оборотных средств. Норматив оборотных средств определяется в рублях
по выражению:
,
где -
средний
расход ресурса за день (дневная потребность), руб.;
- норма запаса (на
период между поставками), дней.
Норма запаса оборотных средств по статьям «Авиа
ГСМ», «Запасные части», «Материалы», «Топливо» и другим состоит из времени
пребывания материальных ценностей в виде текущего запаса
,
страхового запаса
, времени,
необходимого для разгрузки, приемки, складирования и анализа материалов
(подготовительный запас -
,
нахождения
ценностей в пути (транспортный запас) :
Текущий складской запас создается для
обеспечения непрерывного производства в период между поставками материальных
ценностей и равен половине интервала между очередными поставками.
Страховой запас
необходим для обеспечения непрерывного производства в случае перебоев в
снабжении, он принимается равным половине текущего складского запаса.
Подготовительный запас
рассчитывается по фактическим затратам времени, необходимого для разгрузки,
приемки, складирования и лабораторного анализа материалов (обычно 1 день).
Транспортный запас
определяется временем с момента оплаты счета на поставку материальных ценностей
до момента их прибытия на предприятие.
Нередко создается сезонный запас, если
производство (полеты только в течение нескольких месяцев в году) или доставка
оборотных средств (например, только в навигацию) носит ярко выраженный сезонный
характер. Величину сезонного запаса определяет продолжительность времени от
наиболее ранней даты последней поставки до наиболее поздней даты первой
поставки после окончания сезонного перерыва на основании за ряд лет.
Среднедневной расход ресурса в рублях
определяется исходя из плановой суммы расхода в квартал или год, деленной на
количество дней в квартале или в году (90 или 360).
Норма запаса оборотных средств по статьям «Авиа
ГСМ», «Запасные части», «Материалы», «Топливо» и другим состоит из времени
пребывания материальных ценностей в виде текущего запаса, страхового запаса,
времени, необходимого для разгрузки, приемки, складирования и анализа
материалов (подготовительный запас), нахождения ценностей в пути (транспортный
запас).
Для образования запасов ГСМ норматив
определяется исходя из числа самолёта-вылетов по типам самолетов с учетом
среднего времени полета до первого пункта посадки, норм расхода ГСМ по маркам,
времени вспомогательно-служебных и тренировочных полетов, объема работы авиации
и стоимости единицы массы ГСМ на данном предприятии. Из-за сезонности работы
расчет расхода ГСМ производится по кварталам. Норма текущего запаса в днях на
запасные части к самолетам и авиадвигателям разрабатывается по основным их
видам (берется не менее 70% запасных частей от общей стоимости). Интервалы
поставок определяются поставщиками на основании взаимных договоров.
Совокупный норматив ОС определяется по
выражению:
,
где
-
норматив средств в производственных запасах;
-
норматив средств в незавершенном производстве (характерному для авиаремонтных
предприятий);
- норматив средств
в расходах будущих периодов. Норматив средств в незавершенном производстве
определяется по выражению:
,
где
-
среднесуточный выпуск продукции, штук;
-
длительность производственного цикла;
-
коэффициент нарастание затрат, характеризующий степень технической готовности
объекта.
3.
Эффективность использования оборотных средств: оценка и пути повышения
Оборотные средства предприятий авиационного
транспорта находятся в постоянном движении, совершая определенный кругооборот.
Кругооборот средств на предприятиях АТ имеет свою специфику и отличается от
кругооборота средств на промышленных предприятиях. Он состоит не из трех, как в
общем случае, а из двух стадий. Первая - превращение денежных средств в
товарно-материальные ценности, необходимые для осуществления транспортного
процесса, переход оборотных средств из денежной формы в производительную.
Вторая стадия - производство транспортной продукции с одновременным ее
потреблением и получением денежных средств от ее реализации. Затем
осуществляется переход оборотных средств из производительной непосредственно в
денежную стадию, минуя товарную форму. Кругооборот оборотных средств как
непрерывный процесс, называется оборачиваемостью. Оборачиваемость
показывает, как быстро оборотные средства переходят из одной стадии
кругооборота в другую в процессе производства и реализации продукции. Чем
быстрее оборачиваются средства, меньше времени они заняты в процессе
производства и реализации, тем меньшая сумма оборотных средств требуется
предприятию для выполнения одного и того же объема работы. На основании планового
объема выполнения работы и норматива оборотных средств устанавливаются плановые
показатели оборачиваемости.
По результатам производственно-финансовой
деятельности определяются фактические показатели оборачиваемости оборотных
средств. На основе сравнения фактических показателей с плановыми определяется
степень эффективности использования оборотных средств и мероприятия по
ускорению их оборачиваемости. Основными показателями, характеризующими
эффективность использования оборотных средств, являются: коэффициент
оборачиваемости и длительность оборота. Ускорение оборачиваемости оборотных
средств является важной экономической задачей каждого предприятия, так как при
этом сокращается потребность в оборотных средствах, высвобождаются материальные
ресурсы для расширения производства, улучшается хозяйственная деятельность
предприятия.
Длительность оборота
оборотных средств представляет собой число дней, в течение которых совершается
один их оборот. Он определяется по выражению:
где СО- средний остаток оборотных средств
предприятия за рассматриваемый период, тыс. руб.; Р- объем реализованной за
данный период продукции, тыс. руб.; Д- количество дней в периоде, дни.
Коэффициент оборачиваемости
или число оборотов оборотных средств за анализируемый период определяется по
формуле:
Абсолютное высвобождение отражает прямое
уменьшение потребности в оборотных средствах. Относительное высвобождение
отражает как изменение величины оборотных средств, так и изменение объема
выполненных работ. Для его определения необходимо рассчитать потребность в
оборотных средствах за отчетный период исходя из фактического оборота
выполненной работы за этот период, оборота в днях за предыдущий период.
Разность позволит определить сумму высвобожденных средств.
4.
Пути ускорения оборачиваемости оборотных средств
Ускорение оборачиваемости оборотных
средств на предприятиях авиационного транспорта
достигается в результате проведения комплекса организационно-технических
мероприятий по основным функциональным сферам деятельности. Экономический смысл
ускорения оборачиваемости оборотных средств состоит в том, что без
дополнительного финансирования при запланированной сумме оборотных средств
может быть увеличен объем реализованной продукции или выполненной работы.
При выполнении запланированного объема работы
высвобождается часть оборотных средств и сокращаются расходы по хранению
материальных ценностей в связи с относительным уменьшением производственных
запасов.
В сфере производства ускорение оборачиваемости
оборотных средств достигается за счет перевыполнения планов авиационных
перевозок, улучшения использования основных фондов и в первую очередь
самолетно-вертолетного парка, сокращения длительности производственного цикла
во всех звеньях и уменьшения объема незавершенного производства, повышение
качества ремонта.
В сфере материально-технического обеспечения
ускорение оборачиваемости оборотных средств достигается за счет улучшение
материально-технического обеспечения производства.
В сфере управления ускорение оборачиваемости
оборотных средств достигается за счет совершенствования нормирования расхода
материальных ценностей и сокращения излишних их запасов, строгого соблюдение
режима экономии, вовлечения коллектива в соревнование за лучшее использование
оборотных средств.
Инженерно-авиационная служба в распоряжении
которой находятся авиационная техника, наземное оборудование, здания и
сооружения играет важную роль в экономии топливо энергетических ресурсов. К
числу основных мероприятий ИАС по экономии ресурсов относятся следующие:
v оптимизация графика испытания авиадвигателей при
выполнении работ по техническому обслуживанию или устранению отказов и
неисправностей требующих запуска;
v внедрение сокращённой программы гонки двигателей;
v организация учёта расхода топлива;
v организация технического обслуживания на опорных
базах, исключающих перегон на базовый аэропорт;
обеспечение раздельного сбора отстоя горючего и
смазочных материалов и сдачи его на склад для повторного использования.
Практическая
часть
Задание 1.
Определить стоимость устройства - универсального пульта контроля ОСО. Расчеты
выполнить в следующей последовательности. На первом этапе определить затраты,
связанные с изготовлением устройства. Далее, необходимо рассчитать капитальные
вложения, связанные с внедрением устройства. На завершающем этапе необходимо
определить эксплуатационные расходы, связанные с использованием устройства.
Этап 1. Расчет затрат, связанных с
изготовлением устройства.
Стоимость элементов, необходимых для
изготовления устройства представлены в таблице.
Таблица Элементы устройства и их стоимость
|
Элемент
|
Цена
за 1 шт. руб.
|
Необходимое
количество
|
Стоимость,
руб.
|
|
C8051F321
|
245.00
|
1
|
245,00
|
|
AD8544ARU
|
25.00
|
1
|
25,00
|
|
Резисторы
SMD 1%
|
3.00
|
12
|
36,00
|
|
Конденсаторы
|
4.00
|
3
|
12,00
|
|
USB разъем В
|
12.00
|
1
|
12,00
|
|
USB кабель А-В
|
20.00
|
1
|
20,00
|
|
Итого
стоимость устройства
|
350,00
|
Также в стоимость готового изделия будет входить
стоимость следующих материалов:
фольгированный двухсторонний стеклотекстолит;
- железо для корпуса изделия;
соединительные провода. Стоимость этих
материалов 300 руб.
Стоимость готового изделия составляет 650 руб.
Этап 2. Расчет капитальных вложений
Дополнительные капитальные вложения, связанные с
внедрением устройства сопряжения, определяются по формуле:
,
де: К - капитальные вложения в ЭВМ, для которой
предназначено данное устройство сопряжения, руб.,
Z - стоимость
устройства сопряжения, руб.;
- эффективный годовой фонд времени
работы ЭВМ (за вычетом плановых простоев), ч./год;
- машинное
время, необходимое потребителю для решения задач с помощью данного устройства
сопряжения, машино-ч./год. Капитальные вложения в ЭВМ равны затратам на
основные и вспомогательные материалы. Затраты на основные и вспомогательные
материалы определяются в размере 1% от стоимости основного оборудования
- стоимости
ЭВМ
,
= 96 рабочих дней в году;
= 1 час, среднесуточная загрузка
оборудования.
Для решения задач с помощью данного
устройства сопряжения необходимо затратить приблизительно
= 1 час.
Этап 3. Расчет эксплуатационных
расходов
Величина эксплуатационных расходов,
связанных с использованием устройства сопряжения
вычисляется по формуле:
,
где:
- амортизационные отчисления на
оборудование, р./год;
- затраты на основные и
вспомогательные материалы, р./год;
- затраты на электроэнергию,
р./год.
Норма амортизации для оргтехники
(ЭВМ) составляет
= 12.5 % от
стоимости оборудования.
Затраты на основные и
вспомогательные материалы определяются в размере 1% от стоимости основного
оборудования (ЭВМ).
Затраты на электроэнергию определяются, исходя
из годового фонда рабочего времени и потребляемой мощности (400 Вт).
Годовой объем работ ЭВМ в часах определяется по
выражению:
,
где:
- среднесуточная загрузка
оборудования, ч. (для разрабатываемого устройства
равно 1
часу). 96 - среднее количество дней работы ЭВМ в течение года.
Стоимость одного киловатт-часа на 2011 год равна
3,04 руб.
Задание 2.
Определить себестоимость летного часа ТУ-204, по результатам расчетов заполните
табл. При расчете используйте данные таблицы (цифры условные). Состав экипажа
ТУ-204: командир ВС, второй пилот, бортинженер, старший бортпроводник, борт
проводник.
Таблица Расчет себестоимости летного часа
|
Статьи
затрат
|
Сумма
затрат, руб.
|
Удельный
вес, %
|
|
1. Статьи затрат, связанные с налетом часов
|
|
1.1
Расходы на ГСМ
|
33372
|
|
|
1.2
Амортизационные отчисления по летательным аппаратам и двигателям
|
147500
|
|
|
1.3
Отчисления в ремонтный фонд
|
18411,25
|
|
|
1.4
Расходы на периодическое техническое обслуживание
|
4050
|
|
|
1.5
Затраты на оплату труда летного состава
|
1639,82
|
|
|
1.6
Отчисления по страховым взносам
|
557,53
|
|
|
1.7
Расходы на страхование воздушных судов
|
2500
|
|
|
2. Статьи затрат, связанные с выполнением
рейсов
|
|
2.1
Аэропортовые расходы
|
15830,8
|
|
|
2.2
Расходы по оперативному техническому обслуживанию
|
62289
|
|
|
2.3
Расходы на питание пассажиров и экипажа в рейсе
|
3604
|
|
|
2.4
Расходы на метеообслуживание
|
282,13
|
|
|
2.5
Аэронавигационные сборы
|
1539
|
|
|
3.
Прочие производственные и общехозяйственные расходы
|
43733623,95
|
|
|
4.
Себестоимость летного часа
|
44025199,48
|
|
Таблица Исходная информация к определению
себестоимости летного часа
|
Перечень
исходных данных
|
|
|
1.
Тип воздушного судна
|
ТУ-204
|
|
2.
Маршрут воздушного судна
|
Красноярск-Шереметьево
|
|
3.
Стоимость 1 т ГСМ, руб Шереметьево Красноярск
|
8
150 8 050
|
|
4.
Часовой расход топлива (включая расход на земле), т
|
4
|
|
5.
Коэффициент, учитывающий непроизводственный налет часов
|
1,03
|
|
6.
Норма амортизации планера, %
|
8
|
|
7.
Норма амортизации двигателя воздушного судна, %
|
10
|
|
8.
Стоимость планера % от стоимости воздушного судна
|
70
|
|
9.
Стоимость двигателя, % от стоимости воздушного судна
|
30
|
|
10.
Стоимость воздушного судна, млн. руб
|
650
|
|
11.
Годовой производственный налет часов, л.ч
|
2
600
|
|
12.
Амортизационный ресурс планера, л.ч
|
42
000
|
|
13.
Амортизационный ресурс двигателя, л.ч
|
24
000
|
|
14.
Межремонтный ресурс планер, л.ч
|
14
000
|
|
15.
Межремонтный ресурс двигателя, л.ч
|
8
000
|
|
16.
Стоимость капитального ремонта планера, % от стоимости планера
|
20
|
|
17.
Стоимость капитального ремонта 1 двигателя, % от стоимости 1 двигателя
|
30
|
|
18.
Количество двигателей на воздушном судне, шт.
|
3
|
|
19.
Стоимость 1 н-ч периодического технического обслуживания, руб.
|
450
|
|
20.
Трудоемкость периодического технического обслуживания (в расчете на л.ч), н-ч
|
9
|
|
21.
Оклад, руб.: Командир ВС Второй пилот Бортинженер Старший бортпроводник
Бортпроводник
|
9
000 8 000 8 000 4 000 3 500
|
|
22.
Надбавка за класс, % от оклада: Командир ВС Второй пилот Бортинженер Старший
бортпроводник Бортпроводник
|
40
40 40 25 25
|
|
23.
Премия, % от оклада
|
30
|
|
24.
Ставка часовой оплаты, руб.: Командир ВС Второй пилот
|
100
80
|
|
Бортинженер
|
80
|
|
Старший
бортпроводник Бортпроводник
|
30
30
|
|
25.
Месячная санитарная норма налета экипажа, ч
|
70
|
|
26.
Коэффициент доплат
|
1,5
|
|
27.
Ставка платежей по страховым сборам, % от затрат на оплату труда
|
34
|
|
28.
Страховой процент, % от стоимости воздушного судна
|
1
|
|
29.
Взлетная масса воздушного судна, т
|
94,5
|
|
30.
Ставка сбора за взлет-посадку, руб./т.: Шереметьево Красноярск
|
141
152
|
|
31.
Ставка сбора за обеспечение авиационной безопасности в зоне аэропорта,
руб./т.: Шереметьево Красноярск
|
31
59
|
|
32.
Пассажирская вместимость воздушного судна, чел
|
214
|
|
33.
Коэффициент использования пассажирских кресел
|
0,8
|
|
34.
Ставка сбора за пользованием аэровокзалом руб./пасс. Шереметьево Красноярск
|
38
31
|
|
35.
Ставка сбора за наземное коммерческое обслуживание пассажиров руб./пасс
Шереметьево Красноярск
|
115
102
|
|
36.
Максимальная коммерческая загрузка воздушного судна , т
|
24
|
|
37.
Средний вес пассажира, кг
|
90
|
|
38.
Ставка сбора за наземное коммерческое обслуживание груза, руб./кг Шереметьево
Красноярск
|
1,2
2,4
|
|
39.
Трудоемкость оперативного технического обслуживания воздушного судна, н-ч
Шереметьево Красноярск
|
34
33
|
|
40.
Трудоемкость оперативно-технического обслуживания воздушного судна, н-ч
|
33
|
|
41.
Ставка сбора за оперативно-техническое обслуживание воздушного судна, руб./н-ч
Шереметьево Красноярск
|
222
182
|
|
42.
Стоимость бортпитания, руб./чел.
|
150
|
|
43.
Ставка сбора за метообслуживание, руб. Шереметьево Красноярск
|
782
1 287
|
|
44.
Протяженность воздушной линии, км
|
2
970
|
|
45.
Ставка сбора за аэронавигационное обслуживание, руб./100 км
|
190
|
|
46.
Рейсовая скорость воздушного судна, км/ч
|
810
|
|
47.
Прочие производственные и общехозяйственные расходы, % от суммы затрат,
связанных с налетом часов и выполнением рейсов
|
15
|
Этап 1.
Расчет затрат, связанных с налетом часов . В рамках данного этапа определяются
следующие расходы.
1. Расходы на ГСМ
,
где
,
- стоимость 1 т ГСМ в аэропортах
отправления и назначения соответственно;
- часовой расход ГСМ (включая расход
на земле);
-
коэффициент, учитывающий непроизводственный (т.е. вспомогательный,
тренировочный и служебный) налет часов.;
2. Амортизационные отчисления по
летательным аппаратам и двигателям
где
- стоимость планера;
- норма
амортизации планера;
- стоимость
двигателей;
- норма
амортизации двигателя;
- годовой
производственный налет часов.
. Отчисления в ремонтный фонд
,
,
,
где
,
- количество капитальных ремонтов
планера и двигателя соответственно;
,
- стоимость капитального ремонта
планера и двигателя соответственно;
- количество двигателей,
устанавливаемых на рассматриваемом типе воздушного судна;
,
-
межремонтный ресурс планера и двигателя соответственно;
,
-
амортизационный ресурс планера и двигателя соответственно.
. Расходы на периодическое
техническое обслуживание (ПТО)
,
где
- стоимость 1 н-ч ПТО;
-
трудоемкость ПТО (в расчете на л.ч.).
. Расходы на оплату труда летного
состава
,
,
,
где
- месячный фонд оплаты труда членам
экипажа;
- месячная
санитарная норма налета экипажа;
- заработная плата члена экипажа;
-
количество членов экипажа;
- оклад члена экипажа;
- надбавка
за класс члену экипажа;
- премия
члену экипажа;
- ставка
часовой оплаты члену экипажа;
- коэффициент доплат.
. Отчисления на социальные нужды
,
где
- ставка отчислений по страховым
взносам.
. Расходы на страхование воздушного
судна
,
где
- стоимость воздушного судна;
- страховой
процент.
После определения элементов затрат,
связанных с налетом, определяется общая их величина по выражению:
.
Этап 2. Расчет
затрат, связанных с выполнением рейсов. На данном этапе необходимо произвести
расчет следующих затрат
.
Затраты, связанные с выполнением
рейсов, рассчитываются по следующей формуле:
.

где
- сбор за взлет-посадку;
- сбор за
обеспечение авиационной безопасности в зоне аэропорта;
- сбор за
пользование аэровокзалом;
- сбор за
коммерческое наземное обслуживание пассажиров;
- сбор за коммерческое наземное
обслуживание груза;
- время
выполнения рейса;
- взлетная
масса воздушного судна;
,
- ставка
сбора за взлет-посадку в аэропортах отправления и назначения соответственно;
,
- ставка
сбора за обеспечение авиационной безопасности в зоне аэропортов отправления и
назначения соответственно;
- пассажирская вместимость
воздушного судна;
-
коэффициент использования пассажирских кресел;
- ставка сбора за пользование
аэровокзалом в аэропортах отправления и назначения соответственно;
,
- ставка
сбора за коммерческое наземное обслуживание пассажиров в аэропортах отправления
и назначения соответственно;
- максимальная коммерческая
загрузка воздушного судна;
- средний вес пассажира;
,
- ставка
сбора за коммерческое наземное обслуживание груза в аэропортах отправления и
назначения соответственно;
- протяженность воздушной линии;
- рейсовая
скорость воздушного судна.
. Расходы по оперативному
техническому обслуживанию воздушного судна
,
руб/час
где
,
- трудоемкость ОТО воздушного судна
в аэропортах отправления и назначения соответственно;
,
- ставка
сбора за ОТО в аэропортах отправления и назначения соответственно.
. Расходы на питание пассажиров и
экипажа в рейсе
,
где
- стоимость бортпитания.
. Расходы на метеообслуживание
,
где
,
- ставка сбора за метеообслуживание
в аэропортах отправления и назначения соответственно.
. Аэронавигационные сборы
,
где
- ставка сбора за аэронавигационное
обслуживание.
Величина прочих производственных и
общехозяйственных расходов (затраты на форменное обмундирование, оплата труда
аппарата управления, амортизационные отчисления по наземным основным фондам и
т.п.)
,
где
- ставка прочих производственных и
общехозяйственных расходов.
На завершающем этапе расчетов
определяется себестоимость летного часа, представляющая собой сумму
эксплуатационных затрат, приходящаяся на 1 летный час.
Задание 3. Необходимо
рассчитать себестоимость сварки корпуса ТНА, общую производственную
себестоимость и полную себестоимость годового объема продукции. На завершающем
этапе необходимо выполнить расчет капитальных вложений в оборудование и ценить
срок окупаемости проекта.
Исходные данные для определения
стоимости единицы изделия (сварки корпуса ТНА).
Таблица Необходимые материалы для сварочных
работ
|
Наименование
используемых материалов
|
Объем
материалов
|
Стоимость
за кг (м³)
|
Итого,
стоимость
|
|
Флюс
ФС-71, кг
|
0,0014
|
5000
|
7
|
|
Электроды
тарированные, кг
|
0,0056
|
2016
|
11,43
|
|
Аргон,
м³
|
0,543
|
40
|
21,72
|
Исходные данные для расчета производственной
себестоимости и прибыли представлены в таблице.
Таблица Исходные данные для определения
производственной себестоимости и прибыли
|
Показатели
|
Значение
показателя
|
|
Годовая
программа, шт
|
100
|
|
Трудозатраты
на единицу изделия, н-ч
|
130
|
|
Транспортно-заготовительные
расходы % от стоимости материалов
|
1,2
|
|
Средняя
стоимость часа работы, руб/час
|
15,5
|
|
Нормативная
заработная плата с учетом доплат, % от начисленной заработной платы, в.ч
доплаты по премиальным и за ночные смены
|
50
|
|
Дополнительная
заработная плата, % от нормативной заработной платы
|
56,4
|
|
Районный
коэффициент, %
|
30
|
|
Страховые
отчисления, %
|
34
|
|
Накладные
цеховые расходы, % от нормативной заработной платы
|
300
|
|
Общезаводские
накладные расходы, % от нормативной заработной платы
|
200
|
|
Коммерческие
расходы, % от производственной себестоимости
|
3,9
|
|
Нормативная
прибыль, % от коммерческой себестоимости
|
10
|
Исходные данные для расчета капитальных вложений
представлены в таблице.
Таблица Данные по необходимому оборудованию
|
Наименование
единицы оборудования
|
Стоимость,
руб
|
|
Источник
питания ВД-306ДК
|
35000
|
|
Автомат
сварочный АДГ-502
|
25000
|
|
Источник питания
Integral 500 High-speed
|
250000
|
|
Устройство
для напыления порошка УНАФ-4
|
8000
|
|
Колонна
32Ц197
|
11000
|
|
Манипулятор
МСГ-1000
|
16000
|
1. Определить трудоемкость
производственной программы
и количество необходимых рабочих
.
Трудоемкость производственной программы определяется по выражению:
,
шт*н/ч
где
- объем производства годовой программы,
шт.;
-
трудоемкость единицы изделия, н/ч.
раб. Часов
2. Определить стоимость материалов, расходуемых
на изготовление единицы изделия. Данные берутся из табл.
3. Определить стоимость материалов
,
расходуемых на изготовление годовой программы выпуска по выражению:
4. Произвести расчет
транспортно-заготовительных расходов на одно изделие
и на
годовую программу выпуска.
=0,4818 руб.
5. Произвести расчет расходов на электроэнергию
и топливо на технологические нужды на выпуск единицы и на годовую программу
выпуска по выражению:
,
где
- мощность установки, КВт;
- время
работы установки, ч.;
- стоимость
электроэнергии, руб.;
- расходы на освещение и отопление,
руб.
. Рассчитать заработную плату
сварщика (V разряд).
Учитывая среднюю стоимость часа работы нормативная заработная плата (без
доплат) определяется по выражению:
,
2728 руб.
где
- средняя стоимость часа работы,
руб.; 8 - продолжительность рабочего дня, ч.; 22 - число рабочих дней в месяцу.
А. Нормативная заработная плата с
учетом доплат (50% от начисленной заработной платы, в том числе доплаты по
премиальным) определяется по выражению:
Б. Дополнительная заработная плата (56,4 от
нормативной заработной платы) определяется по выражению:
В. Заработная плата основным рабочим с учетом
районного коэффициента определяется по выражению:
Г. Месячный фонд заработной платы с учетом
отчислений на социальные нужды (34% от нормативной и дополнительной заработной
производственных рабочих) определяется по выражению:
Д. Годовой фонд заработной платы одного сварщика
определяется по выражению:
мес.
Далее, необходимо определить стоимость одного
часа работы сварщика, за счет годового фонда оплаты труда:
а также затраты труда (из ФОТ) на изготовление
одного изделия по выражению:
.
7. Определить технологическую
себестоимость одного изделия
и годовой программы выпуска
.
Технологическая себестоимость одного изделия определяется по выражению:
Технологическая себестоимость годовой программы
определяется по выражению:
.
8. Рассчитать накладные цеховые расходы на год
по выражению:
9. Определить накладные заводские расходы на год
по выражению:
10. Определить прямые затраты на производство годовой
программы по выражению:
11. Определить полную себестоимость годовой
программы выпуска с учетом коммерческих затрат по выражению:
12. Рассчитать выручку при выполнении годовой
программы выпуска с учетом нормы прибыли (10%) по выражению:
.
13. Найти прибыль при реализации годовой
программы по выражению:
ПР.=16913793-15376176=1537617
руб.
На завершающем этапе
работы необходимо выполнить расчет капитальных вложений и оценку срока
окупаемости. Капитальные вложения соответствуют размеру стоимости комплекта
оборудования, определяемой путем суммирования стоимости каждой единицы
оборудования.
Срок окупаемости
рассчитывается по выражению:
Срок окупаемости
будет =2 месяца
Задание 4.
Рассчитать стоимость изготовления конструкции на мощностях АТБ авиационного
предприятия.
При расчетах необходимо учесть, что сборка будет
осуществляться силами техников авиапредприятия в количестве четырех человек.
Также при монтаже верхней части конструкции
необходимо задействовать подъемный кран грузоподъемностью от 1,5 тонн. При
определении стоимости испытательного стенда необходимо учесть следующие
условия:
перечень необходимых материалов и их стоимость
представлены в таблице ;
средняя стоимость 1 см сварочного шва
электродуговой сварки составляет 22 руб.;
общая длинна сварочных швов составляет 7,5 м
(или 750 см).
трудозатраты рассчитываются исходя из ставки
рабочего за один час работы равной 1500 руб∙час.
ориентировочное время сборки конструкции
составляет 3 часа.
Таблица Перечень необходимых материалов и их
стоимость
|
Наименование
материала
|
Потребность
|
Стоимость
единицы, руб
|
Общая
стоимость, руб
|
|
Двутавровая
балка №22
|
48
м
|
626
|
30048
|
|
Труба
стальная 102 мм
|
1,7
м
|
925,9
|
1574,03
|
|
Труба
стальная 57 мм
|
6
м
|
325,35
|
1952,1
|
|
Труба
стальная 24 мм
|
7,9
м
|
110,46
|
872,63
|
|
Листовая
сталь 20 мм
|
1,7
м²
|
3
106,5
|
5281,05
|
|
Болт
М16×80
|
34
шт
|
14
|
476
|
|
Болт
М16×40
|
4
шт
|
9,1
|
36,4
|
|
Шайба
D16
|
76
шт
|
1,1
|
83,6
|
|
Шайба
гровер D16
|
38
шт
|
0,83
|
31,54
|
|
Гайка
шестигранная М16
|
38
шт
|
3,8
|
144,4
|
|
Общая
стоимость материалов
|
40499,75
|
Стоимость сварочных работ
находится
по формуле:
,
где
- стоимость одного сантиметра
сварного шва, руб.;
- суммарная длинна сварных швов,
применяемых при изготовлении конструкции, см.
Стоимость сборки конструкции
определяется по выражению:
,
где
- нормо-ставка для рабочего
авиапредприятия;
- количество человек;
- время
сборки.
Общая себестоимость изготовления
конструкции определяется по выражению:
.
Задание 5.
Провести технико-экономическое обоснование разработки зонного метода
технического обслуживания воздушных судов Ан-24, Ан-32.
Для обоснования необходимости использования
зонного метода ТО рекомендуем использовать метод экспертных оценок. Сущность
данного метода заключается в проведении экспертизы независимых экспертов по
критериям, которые обосновывают необходимость разработки зонного метода ТО.
Сценка критериев определяется в процентах. Ответы экспертов занесите в таблицу.
Для предупреждения взаимного влияния на оценку критериев каждого эксперта,
экспертиза проводится с каждым экспертом отдельно.
Необходимо провести соответствующие вычисления
для определения коэффициента согласия W.
При соблюдении данного условия, делается вывод об удовлетворении
разрабатываемого метода обслуживания ВС определенным критериям и о возможности
его применения для организации обслуживания самолетов.
Экспертизу необходимо провести последующим
критериям:
повышение качества работ по техническому
обслуживанию самолетов;
уменьшение продолжительности технического
обслуживания самолетов;
удобство работы при техническом обслуживании на
самолете;
устранение взаимных помех при работе нескольких
исполнителей.
Таблица
Экспертная оценка критериев выбора зонного
метода технического обслуживания воздушных судов Ан-24, Ан-32
|
Наименования критерия
|
Оценка критериев экспертами
|
 Вес критерия, %
|
|
|
|
|
I
|
II
|
III
|
IV
|
|
|
|
|
Повышение
качества работ по ТО
|
6
|
7
|
5
|
7
|
25
|
0,094
|
23,8
|
|
Уменьшение
продолжительности ТО
|
9
|
8
|
7
|
8
|
32
|
0,120
|
30,5
|
|
Удобство
работы
|
7
|
8
|
9
|
10
|
34
|
0,128
|
32,4
|
|
Устранение
взаимных помех при работе
|
2
|
5
|
3
|
4
|
14
|
0,052
|
13,3
|
Проведя опрос и заполнив на основе
полученных данных таблицу, необходимо определить коэффициент согласованности
мнения экспертов. Данный коэффициент должен удовлетворять следующему условию:
, при
степени значимости
.
Коэффициент согласованности мнения экспертов определяется по выражению:
,
где
,
где
- число экспертов;
- число оцениваемых критериев;
- ранг
-го
критерия, присвоенный
-ым
экспертом.
Если оценки хотя бы у одного эксперта
повторяются, коэффициент конкордации вычисляется по более сложной формуле:
,
где
- число повторений каждого ранга
для
-го
эксперта;
- число повторяющихся рангов для
-го
эксперта.
Задание 6. Провести
расчет стоимости устройства универсального стенда проверки ЦСКД-2М. Стоимость
элементов, входящих в состав стенда проверки представлена в табл.
Таблица Состав элементов, необходимых для
изготовления стенда и их стоимость
|
Элемент
|
Стоимость 1 шт., руб
|
Необходимое количество
|
Общая стоимость руб.
|
|
К555ИР23
|
57
|
1
|
57
|
|
К1533ИР22
|
55
|
2
|
110
|
|
Н1582ВЖЗВ-0167
|
47
|
1
|
47
|
|
Н1806ВМ2
|
81
|
1
|
81
|
|
Н1582ВЖЗВ-0237
|
48
|
3
|
144
|
|
Н1582ВЖ2-0459
|
46
|
1
|
46
|
|
Н537РУ16
|
51
|
2
|
102
|
|
Н1582ВЖЗ-0123
|
48
|
1
|
48
|
|
Разъем
USB
|
63
|
1
|
63
|
|
АЦП
КР572ПВ3
|
89
|
1
|
89
|
|
Стоимость
всего:
|
|
|
787
|
При изготовлении стенда проверки ЦСКД-2М
потребуются также следующие материалы: фольгированный двухсторонний
стеклотекстолит (плата с уже имеющимся на ней разъемом ISA),
железо для корпуса изделия - 0,6 кг., соединительные провода - 4 м. Стоимость
данных материалов составляет 150 руб.
+787=937 руб.- полная стоимость устройства.
Затраты на изготовление стенда
определяются
по выражению:
,
где
- время, затраченное на
изготовление стенда - 40 чел/час.;
- основная заработная плата
работника-изготовителя (авиатехника 3-го класса предприятия), для которого
разрабатывается стенд) - 7000 руб. без учета районного и северного
коэффициентов;
- коэффициент, учитывающий
дополнительную заработную плату (премия) изготовителя стенда, в долях к
основной заработной плате 10,0%.
- коэффициент, учитывающий
отчисления по страховым взносам, 34% от суммы основной и дополнительной
заработной платы.
Задание 7.
Используя исходные данные (табл. 6.1) и представленные ниже методические
указания провести экономическое обоснование разработки и использования
программного продукта «Автоматизированная обучающая программа на базе КСЦПНО
самолета Ил-96-300».
Представленная методика экономического
обоснования разработки и внедрения программного продукта предусматривает
реализацию следующих действий.
Этап 1. Расчет
затрат (
) на разработку
программы проводится по формуле:
,
Значение
определяется
по формуле:
,
где
- величина эксплутационных
расходов, связанных с использованием программы, р./год. Значение
находится
по формуле:
,
где
- амортизационные отчисления на
оборудование, р./год.;
- затраты
на основные и вспомогательные материалы, р./год.;
- затраты
на электроэнергию, р./год.
Таблица 6.1 Исходные данные
|
Название
показателя
|
Условное
обозначение
|
Значение
базы
|
|
Количество
разработчиков, чел
|
1
|
|
|
Время
разработки программного продукта, мес.
|
3
|
|
|
Основная
заработная плата с учетом районного коэффициента, руб./мес
|
4 800
|
|
|
Машинное
время ЭВМ для отладки программы, часов
|
110 ч
|
|
|
Коэффициент,
учитывающий дополнительную заработную плату разработчика программы, в долях к
основной заработной плате
|
0,4
|
|
|
Единый
социальный налог, %
|
26
|
|
|
Коэффициент,
учитывающий накладные расходы организации, в которой разрабатывается данная
программа (от 2,0 до 4,0)
|
2
|
|
|
Эксплуатационные
расходы на 1 час машинного времени, руб./час
|
6,54
|
|
|
Стоимость
программного обеспечения, необходимого для создания программы, $
|
699
|
|
Затраты на электроэнергию
определяются исходя из годового фонда рабочего времени
и
потребляемой ЭВМ мощности по формуле:
,
где
- стоимость
1 кВтч электроэнергии, руб.
Годовой объём работ ЭВМ в часах
определяется по формуле:
=253*6=1518 ч.
где
- среднесуточная загрузка
оборудования, ч. (для ЭВМ третьей группы, равна 6 часам); 253 - среднее
количество дней работы ЭВМ в течение года;
- машинное время, необходимое
потребителю для решения задач с помощью данной программы, машино-часы/год.
Для расчета стоимости продукта используется
формула:
,
где
- стоимость программы.
Этап 2. Расчет
капиталовложений, связанных с использованием разработанной программы
Дополнительные капитальные вложения,
связанные с внедрением программы, определяются по формуле:
,
где
- капитальные вложения в ЭВМ, для
которой предназначена данная программа, р./год.
- эффективный годовой фонд времени
работы ЭВМ (за вычетом плановых простоев), ч./год;
- машинное
время, необходимое потребителю для решения задач с помощью данной программы,
машино-часов/год;
- цена, по
которой продается программа, p.
Этап 3. Расчет
экономии эксплуатационных расходов потребителя программы
Величина экономии эксплуатационных
расходов у потребителя программы определяется по формуле:
,
где
- основная заработная плата
-oгo работника с
учётом районного коэффициента, который решал эту задачу вручную, р./год.
Этап 4. На
завершающем этапе экономического обоснования проводится определение срока
окупаемости затрат на ее разработку программы.
Задание 8 .
Договор финансового лизинга с полной амортизацией определил следующие условия
лизинговой сделки (таблица ).
Таблица Условия договора финансового лизинга
|
Элемент
договора
|
|
|
Стоимость
имущества - предмета договора
|
160,0
млн. руб.
|
|
Срок
договора
|
10
лет
|
|
Норма
амортизационных отчислений на полное восстановление
|
12%
годовых;
|
|
Процентная
ставка по кредиту, использованному лизингодателем на приобретение имущества
|
24%
годовых
|
|
Величина
использованных кредитных ресурсов
|
160,0
млн. руб.;
|
|
Процент
комиссионного вознаграждения лизингодателю
|
12%
годовых
|
|
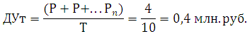
Дополнительные
услуги лизингодателя, предусмотренные договором лизинга, всего, в том числе:
оказание консалтинговых услуг по использованию (эксплуатации) имущества
командировочные расходы обучение персонала ставка налога на добавленную
стоимость
|
4,0
млн. руб. 2,0 млн. руб. 0,5
млн. руб. 1,5 млн. руб. 18%
|
Лизинговые взносы осуществляются ежегодно
равными долями, начиная с 1-го года.
Провести расчет лизинговых платежей.
Расчет общей суммы лизинговых платежей
осуществляется по формуле:
Где ЛП-общая сумма лизинговых платежей;
АО-величина амортизационных отчислений,
причитающихся лизингодателю в текущем году;
ПК-плата за используемые кредитные ресурсы
лизингодателем на приобретение имущества - объекта договора лизинга;
КВ-комиссионное вознаграждение лизингодателю за
предоставление имущества по договору лизинга;
ДУ-плата лизингодателю за дополнительные услуги
лизингополучателю, предусмотренные договором лизинга;
НДС-налог на добавленную стоимость, уплачиваемый
лизингополучателем по услугам лизингодателя
БС-балансовая стоимость имущества - предмета
договора лизинга, млн. руб.; На- норма амортизационных отчислений,%;
ПК-плата за используемые кредитные ресурсы,
млн.руб.;
СТк-ставка за кредит, %-годовых;
р-ставка комиссионного вознаграждения, %-годовых
от балансовой стоимости имущества;
Дут-плата за дополнительные услуги в расчетном
году, млн. руб.;
Р,Р..
-расход
лизингодателя на каждую предусмотренную договором услугу, млн. руб.; Т-срок
договора, лет.
НДСt-величина
налога, подлежащего уплате в расчетном году, млн. руб.;
Bt-выручка от
сделки по договору лизинга в расчетном году, млн. руб.;
СTn-
ставка налога а добавленную стоимость, %;
Расчет размера ежегодного лизингового взноса,
если договором предусмотрена ежегодная выплата, осуществляется по формуле:
ЛП-общая сумма лизинговых платежей, млн. руб.;
Т-срок договора лизинга, лет.
Расчет размера ежеквартального лизингового
взноса, если договором лизинга предусмотрена ежеквартальная выплата,
осуществляется по формуле:
ЛВк-размер ежеквартального лизингового взноса,
млн. руб.
Расчет размера ежемесячного лизингового взноса, если
договором предусмотрена ежемесячная выплата, осуществляется по формуле:
ЛВм-размер ежемесячного лизингового взноса, млн.
руб.
Задание 9.
Определить потребность авиационно-технической базы в персонале для проведения
ТО.
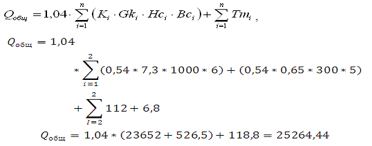
Годовой налёт на один среднесписочный вертолёт
Ми-8 составил 1000 часов. Годовой налёт на один среднесписочный вертолёт R-44
составил 300 часов. Число приписных воздушных судов : число Ми-8 - 6 шт, число R-44
- 5 шт. Трудоемкость мойки для Ми-8 (6 шт) - 112 чел.-ч/год., 6,8 чел.-ч/год;
масса конструкции Ми-8 - 7,3 т, масса конструкции R-44
- 0,65 т.
Удельная
трудоемкость для вертолетов Ми-8 составляет 0,54 чел.-ч/ч.-т. Дополнительная
информация, необходимая для выполнения задания представлена в таблице .
Таблица Эффективный годовой фонд
времени
|
Производственный персонал
|
Эффективный годовой фонд времени,
чел.-ч/год
|
|
Цех оперативного ТО
|
1745
|
|
Цех периодического ТО
|
1745
|
|
Цех лабораторной проверки и текущего ремонта АиРЭО
|
|
|
- в цехе оперативного ТО -в лабораториях
|
1745 1795
|
|
ПЭССОПИ
|
1795
|
|
Цех текущего ремонта
|
1815
|
|
Цех подготовки производства
|
1815
|
|
Цех обслуживания бытового оборудования
|
1815
|
|
Лаборатория диагностики и неразрушающих методов контроля
|
1795
|
На первом этапе проводится расчет годового объема
работ по ТО. Далее, по результатам расчета общей трудоемкости работ
определяется численность персонала для проведения запланированного объема
работы.
Расчёт общего годового объёма работ АТБ
проводится по формуле:
где 1,04 - коэффициент, учитывающий
выполнение доработок,
-
количество типов приписного парка ЛА;
- удельная трудоёмкость
-oгo типа ВС;
- масса
конструкции
-oгo типа ЛА;
- средний
годовой налёт на ВС
-oгo типа,
ч.нал.,
- число
приписных ЛА
-oгo типа;
-
трудоёмкость мойки ВС
-oгo типа,
чел.-ч.
Подставляя в формулы соответствующие значения
вначале определяется годовой объём работ для каждого типа ВС, затем и общий годовой
объём работ.
Количество персонала ТО определяется на основе
отношения общей трудоёмкости годовой программы работ к эффективному годовому
фонду времен и работающего по формуле:
,
где
- число подразделений в АТБ,
- трудоёмкость годовой программы
-oгo подразделения, чел.-ч.,
- эффективный годовой фонд времени работающего в
-ом
подразделении, чел.ч/год.
Задание 10.
Используя исходные данные, представленные в таблице, определите общий фонд
оплаты труда авиационно-технической службы.
Таблица Состав фонда оплаты труда работников
ИАС
|
Должность
|
Оклад,
руб.
|
Надбавки
|
|
1
|
Авиатехник
3-класса
|
7
808
|
, , , ,
|
|
2
|
Авиатехник
2-класса
|
7
808
|
, , , , ,
|
|
3
|
Авиатехник
1-класса
|
7
808
|
, , , , ,
|
|
4
|
Инженер
СиД, АиРЭО
|
9
600
|
, , , , ,
|
|
5
|
Ведущий
инженер
|
11
000
|
, , , ,
|
|
6
|
Начальник
цеха
|
12
600
|
, , ,
|
|
Должность
|
Оклад,
руб.
|
Надбавки
|
|
1
|
Авиатехник
3-класса
|
7
808
|
390,4;
2342,4; 2342,4; 1171,2; 1873,92
|
|
2
|
Авиатехник
2-класса
|
7
808
|
1561,6;
390,4; 2342,4; 2342,4; 1171,2; 1873,92
|
|
3
|
Авиатехник
1-класса
|
7
808
|
1561,6;
390,4; 2342,4; 2342,4; 1171,2; 1873,92
|
|
4
|
Инженер
СиД АиРЭО
|
9
600
|
480;
2880; 2880; 2304; 1440; 960
|
|
5
|
Ведущий
инженер
|
11
000
|
1100;
1650; 3300; 3300; 2640
|
|
6
|
Начальник
цеха
|
12
600
|
1260;
1890; 3780; 3024
|
Сведения по надбавкам, установленным на
предприятии:
- надбавка за классность - 20%;
- надбавка за стаж в зависимости от
выслуги лет, три года - 5%, четыре года - 10% и т.д.;
- районный коэффициент - 30%;
- северный коэффициент - 30%;
- за выполнение дополнительных
работ - 15%;
- надбавка за вредность - 24%;
- особые условия труда - 10%.
+390,4+2342,4+2342,4+1171,2+1873,92=15928,32
руб. - з/п авиатехника 3 класса;
+1561,6+390,4+2342,4+2342,4+1171,2+1873,92=17489,92руб.
- з/п авиатехника 2 класса;
+561,6+390,4+2342,4+2342,4+1171,2+1873,92=17489,92
руб. - з/п авиатехника 1 класса;
+480+2880+2880+2304+1440+960=20544
руб. - з/п инженера;
11000+1100+1650+3300+3300+2640=22900 руб. з/п
ведущего инженера;
+1260+1890+3780+3024=22554 руб. - з/п начальника
цеха.
Общий фонд оплаты труда составляет:
15928,32+17489,92+17489,92+20544+22990+22554=116996,16
руб.
Задание 11.
Используя исходные данные, представленные в таблице 4.9 и методические указания
определить стоимость конструкции АФАР для радиолокационной станции.
Таблица 4.9 Исходные данные
|
Название
показателя
|
Условное
обозначение
|
Значение
базы
|
|
Затраты
на основные материалы (транзисторы, плата модуля и т.д.), с учетом возвратных
отходов, руб.
|
2 811,3
|
|
|
Затраты
на вспомогательные материалы (проводка), руб.
|
281,13
|
|
|
Основная
заработная плата инженеров - разработчиков конструкции АФАР, руб.
|
|
9
5437
|
|
Коэффициент,
учитывающий дополнительную заработную плату, %
|
36,2
|
|
|
Коэффициент,
учитывающий возмещение износа, %
|
30
|
|
|
Коэффициент,
учитывающий косвенные расходы, %
|
210
|
|
|
Коэффициент,
учитывает внепроизводственные расходы, %
|
10
|
|
Определение стоимости конструкции АФАР для
радиолокационной станции проводится на основе расчета затрат на ее создание по
формуле:
,
95437*
где
- коэффициент, учитывающий
дополнительную заработную плату (10% от
) и страховые взносы (34% от
[
+
дополнительной заработной платы]);
- коэффициент, учитывающий
возмещение износа.
- коэффициент, учитывающий
косвенные расходы, куда входят:
расходы на содержание и эксплуатацию
оборудования (80÷180);
- цеховые расходы (50÷80);
- общехозяйственные расходы (80÷100);
- материальные затраты, определяемые
по формуле:
Затраты на основные материалы рассчитываются по
формуле:
где
- потребность в
-ом
материале, кг/шт;
,
- оптовая цена цены реализуемых
отходов;
=1,03 - 1,05 - коэффициент,
учитывающий транспортно-
заготовительные расходы;
- количество реализуемых отходов,
кг.;
Затраты на комплектующие изделия
рассчитываются по формуле:
,
где
- потребность в
-ом виде
комплектующих изделии, шт;
- оптовая цена вида комплектующих
изделий;
= 1,03 -
1,05 - коэффициент, учитывающий транспортные расходы. Основная заработная плата
научно производственного персонала определяется на основе трудоёмкости работ в
(ч) и стоимости (руб./ч) по выражению:
,
где
- виды работ на изделие;
- часовая тарифная ставка рабочего,
соответствующая разряду j-го вида работ, руб./ч;
- трудоёмкость по отдельным видам
работ, ч;
- коэффициент, учитывающий
премиальные доплаты к тарифному заработку, (1,7).
Список
используемой литературы
Основной
1. Сергеев, И. В. Экономика
организаций (предприятий) / И.В. Сергеев, И.И. Веретенникова. - М.: Проспект,
2009.
. Скляренко, В. К. Экономика
предприятия / В.К. Скляренко, В.М. Прудников. - М.: Инфра-М, 2009.
. Цветцых, А. В. Экономика
предприятий гражданской авиации : основные ресурсы, планирование развития
предприятий / А.В. Цветцых ; Сиб. гос. аэрокосмич. ун-т - Красноярск, 2009.
. Цветцых, А. В. Экономика
предприятий авиационного транспорта : учеб. пособие / А. В. Цветцых ; Сиб. гос.
аэрокосмич. ун-т. - Красноярск, 2011. - 112 с
. Экономика организации
(предприятия) / под. Ред. Н.А. Сафронова. - М.: Экономистъ, 2009.
. Экономика предприятия (фирмы) /
под ред. В.М. Семенова. - СПб. : Питер, 2008.
Дополнительный
. Акмаева, Р. И. Экономика
организаций (предприятий) / Р. И. Акмаева, Н. Ш. Епифанова. - М.: Феникс, 2009.
. Грибов, В. Д. Экономика
предприятия / В. Д. Грибов, В. П. Грузинов. - М.: Финансы и статистика, 2009.
. Кантор, Е. Л. Экономика
предприятия / Е. Л. Кантор, Г. А. Маховикова, В. Е. Кантор. - СПб. : Питпр,
2009.
. Коноплев, С. П. Экономика
организаций (предприятий) / С. П. Коноплев. - М.: Проспект, 2009.
. Самойлович, В. Г. Экономика
предприятия / В.Г. Самойлович, Е.К. Телушкина. - М.: Академия, 2009.
. Сергеев, И. В. Экономика
организаций (предприятий) / И. В. Сергеев, И. И. Веретенникова. - М.: Проспект,
2009.
. Фокина, О. М. Экономика
организации (предприятия) / О. М. Фокина, А. В. Соломка. - М. : КноРус, 2009.
. Чуев, И. Н. Экономика предприятия
/ И. Н. Чуев, Л. Н. Чуева. - М. : Дашков и К, 2009.
. Экономика предприятия / под ред.
А.Е. Карлика, М. Л. Шухгальтер. - СПб.: Питер, 2009.