Расчет электроремонтного цеха по ремонту электрических машин
МИНИСТЕРСТВО ОБРАЗОВАНИЯ И НАУКИ РОССИЙСКОЙ ФЕДЕРАЦИИ
Государственное образовательное учреждение высшего
профессионального образования
УЛЬЯНОВСКИЙ ГОСУДАРСТВЕННЫЙ ТЕХНИЧЕСКИЙ УНЕВЕРСИТЕТ
Барышский колледж (филиал)
КУРСОВОЙ ПРОЕКТ
ПО ТЕМЕ: Расчет электроремонтного цеха по ремонту
электрических машин
ПО ДИСЦИПЛИНЕ: Техническая эксплуатация и
обслуживание электрического и электромеханического оборудования
Студента
6 курса М.В. Башкиров
Руководитель
темы Г.Т. Мартынов
ВВЕДЕНИЕ
Пути сокращения простоя оборудования в ремонтах
- важная организационно-экономическая задача. Её решение приводит к уменьшению
парка оборудования (или к увеличению выпуска продукции), повышению коэффициента
его использования. Время простоя оборудования в ремонте сокращается при узловом
и последовательно-узловом методах ремонта. При узловом методе ремонта отдельные
узлы заменяются запасными (оборотными), заранее отремонтированными или новыми.
Применение такого метода экономически целесообразно для ремонта одно модельного
оборудования. При последовательно-узловом методе требующие ремонта узлы
ремонтируются не одновременно, а последовательно, во время перерывов в работе
станка (например, в нерабочие смены). Этот метод применим для ремонта
оборудования, имеющего конструкционно обособленные узлы, которые могут быть
отремонтированы и испытаны раздельно (конвейерное оборудование литейных цехов,
автоматы, агрегатные станки). Внедрение узлового и последовательно-узлового
методов ремонта является важнейшим условием проведения трудоемких ремонтов в
выходные и праздничные дни, а в условиях массового, особенно
автоматизированного, производства это единственный путь выполнения капитального
и других видов трудоемких ремонтов без остановки производства.
Прогрессивным направлением организации ремонтного
хозяйства является создание ремонтных баз на предприятиях - изготовителях
оборудования. При такой организации предприятия-изготовители становятся более
заинтересованными в совершенствовании конструкций изделий, повышении их
ремонтопригодности и равно - износостойкости отдельных их частей. Особо важное,
значение имеет развитие фирменного ремонта такого оборудования, как станки с
ЧПУ, автоматизированные и роботизированные комплексы.
Важнейшая задача - добиться, чтобы все
предприятия, эксплуатирующие оборудование, а также специализированные ремонтные
предприятия были обеспечены запасными деталями. Все виды ремонтов выполняются
за счет ремонтного фонда.
Основными направлениями совершенствования
ремонтного хозяйства и повышения эффективности его функционирования могут быть:
• в области организации производства - развитие
специализации и кооперирования в выпуске основной продукции, в организации
ремонтного хозяйства;
• в области планирования воспроизводства -
применение научных подходов и методов менеджмента;
• в области проектирования и изготовления
запасных частей - унификация и стандартизация элементов запасных частей,
применение систем автоматизированного проектирования на основе классификации и
кодирования, сокращение продолжительности проектных работ и повышение их
качества;
• в области организации работ - соблюдение
принципов рациональной организации производства (пропорциональности,
параллельности и др.), применение сетевых методов и ЭВМ;
• в области технического надзора, обслуживания и
ремонта - развитие предметной и функциональной специализации работ, повышение
технического уровня ремонтно-механического цеха, усиление мотивации повышения
качества труда и др.
Эффективность работы ремонтного хозяйства во
многом предопределяет себестоимость выпускаемой продукции, её качество и
производительность труда на предприятии, так как удельный вес затрат на
содержание и ремонт оборудования в себестоимости продукции достигает 10%.
Главной причиной значительных затрат на ремонт и техническое обслуживание
технологического оборудования является его низкое качество, вследствие чего
затраты в сфере эксплуатации за нормативный срок использования в 25 раз больше
её цены.
По сравнению с лучшими зарубежными образцами
аналогичного класса отечественное технологическое оборудование требует в 3-5
раз больше средств на техническое обслуживание, использование и ремонт. Отсюда
следует, что эффективность ремонтного хозяйства зависит как от качества
технологического оборудования, закладываемого на стадиях стратегического
маркетинга и реализуемого на стадии производства, так и от уровня организации
работы ремонтного хозяйства в сфере потребления оборудования.
1. ОБЩИЕ ВОПРОСЫ ЭКСПЛУАТАЦИИ
1.1 Выбор
электродвигателей и силовых трансформаторов. Основные технические
характеристики
В приводах технического оборудования ЭРЦ
применяем электрические двигатели серии АИ. Они являются унифицированной
серией, отвечающей перспективному уровню развития мирового
электромашиностроения.
Электродвигатели серии АИ предназначены для
замены серии 4А,5А.
Двигатели серии АИ имеют улучшенные
энергетические показатели и пусковые характеристики, повышенные показатели
надежности, улучшенные виброакустические характеристики; сниженный расход
активных материалов (медина 2,5 %; электрической стали - на 4%; сниженную массу
и конструктивных материалов соответственно на 10…15% и 15…20%)
Согласно потребляемой мощности (РэП) из сети
электродвигатели определяем номинальную мощность (Рн) двигателя и определяем их
технические характеристики.
Результаты выбора заносим в таблицу 1.
Таблица 1- Электродвигатели серии, АИР и их
характеристики.
|
Наименование
ЭО
|
Кол-во
ЭО
|
Кол-во
двигателей
|
Мощность
|
Тип
двигателя
|
Число
оборотов
|
Общее
количество двигателей
|
|
Электропривод
раздвижных ворот
|
3
|
1
|
5,5
|
АИР100L2
|
3000
|
3
|
|
Универсальные
заточные станки
|
3
|
1
1
|
4.0 0.75
|
2ПФ132МУХ14
АИР 71А2
|
4500
3000
|
6
|
|
Заточные
станки для червячных фрез
|
2
|
1
1
|
5,5
2,2
|
АИР112М4
АИР90L4
|
1500
1500
|
4
|
|
Резьбошлифовальные
станки
|
1
|
1
1 1
|
1,0
4,0 1,5
|
4ПБ112М2
АИР100L4 АИР80А2
|
1000
1500 3000
|
9
|
|
Заточные
станки для фрезерных головок
|
1
|
1
1
|
4,0
0,75
|
АИР100L4 АИР71А2
|
1500
1500
|
4
|
|
Круглошлифовальные
станки
|
5
|
1
1 1
|
2,2
0,75 7,5
|
2ПО132LYX14X АИР71А2
АИР 132S4
|
1000
3000 1500
|
15
|
|
Токарные
станки
|
3
|
1
1
|
5,5
4,0
|
АИР112М4
АИР100S2
|
1000
3000
|
6
|
|
Вентиляторы
|
3
|
1
|
5,5
|
АИР100L2
|
3000
|
3
|
|
Плоскошлифовальные
станки
|
6
|
1
1 1
|
1
11 18,5
|
4ПБ112М2
АИР135S4 АИР160М2
|
1000
1500 3000
|
18
|
|
Внутришлифовальные
станки
|
6
|
1
1 1
|
1
2,2 7,5
|
4ПБ112М2
АИР90L4 АИР112М2
|
1000
1500 3000
|
18
|
|
Кран-Балка
|
1
|
1
1 1
|
7,5
3,0 2,2
|
АИР112М2
АИР80S4
АИР80В2
|
3000
1500 3000
|
3
|
|
Заточные
станки
|
4
|
1
|
3,0
|
АИР90L2
|
3000
|
4
|
Рассчитывается средняя мощность электрических
двигателей в каждой группе:
Ремонтный участок (загрязненный цех):
) Двигатели постоянного тока: Р=27 кВт 21 шт.
) АД с частотой вращения 1500 об/мин: Р=169,7 25
шт.
) АД с частотой вращения 3000 об/мин: 223 кВт 36
шт.
) Двигатели постоянного тока с частотой вращения
4500об/мин: Р=12 кВт 3 шт.
Р ср =0,75 кВт.
Всего количество двигателей: 115шт.
1.2 Классификация
планирования ремонта оборудования
Важнейшим условием правильной эксплуатации
электрического и электромеханического оборудования является современное
проведение планово - предупрежденных ремонтов и периодических профилактических
испытаний.
Наряду с поведением уходом и осмотром
оборудования в соответствии с системой ППР через определенные промежутки
времени проводят плановые профилактические осмотры, проверки, испытания, и
различные виды ремонта с помощью системы ППР оборудование поддерживаются в
работоспособном состоянии, частично предотвращаются случаи его отказа. При
плановых ремонтах в результате модернизации оборудования улучшают его
технические параметры.
По объему ремонты делятся на текущие, средние и
капитальные.
К текущим относятся ремонты, производимые во
время эксплуатации оборудования для гарантированного обеспечения работоспособности
и состоящие в замене и восстановлении его отдельных частей и в их регулировке.
Текущий ремонт проводится на месте установки показателей работы оборудования с
его установкой и отключением.
При среднем ремонте проводится полная или
частичная разборка оборудования, ремонт и замена изношенных деталей и узлов
восстановление качества изоляции. В этом случае достигается восстановление
основных технических показателей работы оборудования.
При капитальном ремонте проводится полная
разборка оборудования с заменой или восстановлением любых его частей, включение
обмотки, при этом достигается полное восстановление ресурса оборудования.
В настоящее время в основном используют два вида
ремонта: текущий и капитальный, хотя для отдельных видов оборудования предусмотрен
и средний ремонт.
По назначению ремонты делятся на
восстановительный, реконструкцию и модернизацию.
Восстановительный ремонт осуществляется без
изменения конструкции отдельных частей и всего устройства в целом. Технические
характеристики оборудования остаются неизменными.
При реконструкции возможны изменения конструкции
отдельных деталей, узлов и замена отдельных материалов, из которых они
изготовлены, при практически неизменных технических характеристик оборудования.
При модернизации благодаря замене и
удостоверению существующих узлов и применяемых материалов предполагается
существенное улучшение технических характеристик оборудования, приблизив их к
характеристикам нового современного оборудования.
По форме организации ремонты разделяются на централизованную,
децентрализованную и смешанную формы.
При централизованной форме ремонт оборудования
производится на специализированных ремонтно-наладочных производствах.
Централизованная форма ремонта обеспечивает высокое качество ремонта.
При децентрализованной форме ремонт, наладка,
испытание оборудования производится ремонтными бригадами (службами)
предприятия, на котором оно установлено.
При смешанной форме организации часть работ
выполняется централизованно, а часть децентрализовано.
При планировании ремонтного производства
вводится понятие ремонтного цикла, определяемого календарным временем между
двумя плановыми капитальными ремонтами. Продолжительность ремонтного цикла
определяется условиями эксплуатации, требованиями и показателями надежности, правилами
технической эксплуатации и инструкциями завода изготовителя. Во время
эксплуатации оборудования между капитальными ремонтами оборудование
подвергается нескольким текущим и средним ремонтом. Обычно ремонты планируют на
календарный год разбивной по кварталам месяцам. Такое планирование называется
текущим. Наряду с текущим планированием осуществляется и оперативное
планирование с использованием систем графиков.
При планировании структуры ремонтного цикла, под
которой понимается виды и последовательность чередованных плановых ремонтов,
исходя из длительности ремонтного цикла в соответствии с «кривой жизни»
технического изделия.
1.3 Составление графика
ППР
Находим плановую продолжительность работы между
двумя капитальными и текущими ремонтами ([7]стр109):
βi
- коэффициенты, косвенно учитывающие реальный характер нагрузки электрической
машины: βk
- 0,75 для коллекторных машин и 1,0 для остальных машин; βp
- коэффициент, учитывающий сменность работы машины, он определяется числом смен
Ксм;
β0
=
β’0
=1,0 для электрических машин, отнесенных к вспомогательному оборудованию, для
машин основного оборудования β0
=
0,85; β’0 = 0,7; βи
- коэффициент использования, определяемый в зависимости от отношения
коэффициента Кф.с фактического спроса к нормируемому Кс;
βс
= 1,0 для электрических машин, установленных на стационарных установках, а для
машин передвижных электрических установок βс
= 0,6.
Для загрязненных цехов:
Ттабл = 6 лет
tтабл = 8 мес (0,7
лет)
Кс = 0,25
Кфс = 0,30
Для Кфс/Кс=1,2 → βu
= 0,8
Количество смен Ксм = 2
Для Ксм = 2 → βp
= 1
Для основного оборудования β0
= 0,85, β’0 =0,7
Для стационарного оборудования βс
= 1
Для АД βк
= 1
Для двигателей постоянного тока βк
= 0,75
Для двигателей постоянного тока:
Тпл=Ттабл*βк*βр*βu*β0*βc=6*0,75*1*0,8*0,85*1=3,06
года
tпл=tтабл*βк*βр*βu*β’0*βc=8*0,75*1*0,8*0,7*1=3,36
месяца (0,3 года)
Для АД:
Тпл=Ттабл*βк*βр*βu*β0*βc=6*1*1*0,8*0,85*1=4,08
года
tпл=tтабл*βк*βр*βu*β’0*βc=8*1*1*0,8*0,7*1=4,48
месяца (0,4 года)
Таблица 3- График ППР на 2012 год
|
№
|
Наименование
оборудования
|
январь
|
февраль
|
март
|
апрель
|
май
|
июнь
|
июль
|
август
|
сентябрь
|
октябрь
|
ноябрь
|
декабрь
|
|
1
|
Электропривод
раздвижных ворот №1
|
|
Кр
|
|
|
|
|
Тр
|
|
|
|
|
Тр
|
|
2
|
Электропривод
раздвижных ворот №2
|
|
|
Тр
|
|
|
|
|
Тр
|
|
|
|
|
|
3
|
Универсально
заточный станок №1
|
Кр
|
|
|
|
Тр
|
|
|
|
Тр
|
|
|
|
|
4
|
Универсально
заточный станок №2
|
|
Тр
|
|
|
|
Тр
|
|
|
|
Тр
|
|
|
|
5
|
Универсально
заточный станок №3
|
|
|
Тр
|
|
|
|
|
|
|
|
Тр
|
|
|
6
|
Заточный
станок для червячных фрез№1
|
Тр
|
|
|
|
|
Кр
|
|
|
Тр
|
|
|
|
|
7
|
Заточный
станок для червячных фрез№2
|
|
Тр
|
|
|
|
|
Тр
|
|
|
|
|
Тр
|
|
8
|
Резьбошлифовальный
станок №1
|
|
|
|
Тр
|
|
|
|
Тр
|
|
|
|
Кр
|
|
9
|
Резьбошлифовальный
станок №2
|
|
Тр
|
|
|
|
Тр
|
|
|
|
Тр
|
|
|
|
10
|
Заточный
станок для фрезерных головок №1
|
|
|
Кр
|
|
|
|
|
Тр
|
|
|
|
|
|
11
|
Заточный
станок для фрезерных головок №2
|
Тр
|
|
|
|
|
Тр
|
|
|
|
|
Тр
|
|
|
12
|
Кругло-шлифовальный
станок №1
|
|
|
Тр
|
|
|
|
Тр
|
|
|
|
Тр
|
|
|
13
|
Кругло-шлифовальный
станок №2
|
|
|
|
Кр
|
|
|
|
Тр
|
|
|
|
Тр
|
|
14
|
Кругло-шлифовальный
станок №3
|
|
|
Тр
|
|
|
|
Тр
|
|
|
|
Тр
|
|
|
15
|
Кругло-шлифовальный
станок №4
|
|
Тр
|
|
|
|
Тр
|
|
|
|
Тр
|
|
|
|
16
|
Кругло-шлифовальный
станок №5
|
|
Тр
|
|
|
|
Тр
|
|
|
|
Тр
|
|
|
|
17
|
Токарный
станок №1
|
|
|
|
Тр
|
|
|
|
|
Кр
|
|
|
|
|
18
|
Токарный
станок №2
|
|
|
|
Тр
|
|
|
|
|
Тр
|
|
|
|
|
19
|
Токарный
станок №3
|
|
|
|
Тр
|
|
|
|
|
Тр
|
|
|
|
|
20
|
Вентилятор
№1
|
Тр
|
|
|
|
|
Тр
|
|
|
|
|
Тр
|
|
|
21
|
Вентилятор
№2
|
|
Тр
|
|
|
|
|
Тр
|
|
|
|
|
Тр
|
|
22
|
Вентилятор
№3
|
|
|
|
|
Тр
|
|
|
|
|
Кр
|
|
|
|
23
|
Плоскошлифовальный
станок №1
|
Тр
|
|
|
|
Тр
|
|
|
|
Тр
|
|
|
|
|
24
|
Плоскошлифовальный
станок №2
|
Тр
|
|
|
|
Тр
|
|
|
|
Тр
|
|
|
|
|
25
|
Плоскошлифовальный
станок №3
|
|
|
|
Тр
|
|
|
|
Тр
|
|
|
|
Тр
|
|
26
|
Плоскошлифовальный
станок №4
|
Тр
|
|
|
|
Кр
|
|
|
|
Тр
|
|
|
|
|
27
|
Плоскошлифовальный
станок №5
|
|
|
|
Тр
|
|
|
|
Тр
|
|
|
|
Тр
|
|
28
|
Плоскошлифовальный
станок №6
|
|
|
|
Тр
|
|
|
|
Тр
|
|
|
|
Тр
|
|
29
|
Внутришлифовальный
станок №1
|
Тр
|
|
|
|
Тр
|
|
|
|
Тр
|
|
|
|
|
30
|
Внутришлифовальный
станок №2
|
|
|
Тр
|
|
|
|
Кр
|
|
|
|
Тр
|
|
|
31
|
Внутришлифовальный
станок №3
|
|
Тр
|
|
|
|
Тр
|
|
|
|
Тр
|
|
|
|
32
|
Внутришлифовальный
станок №4
|
|
|
Тр
|
|
|
|
Тр
|
|
|
|
Тр
|
|
|
33
|
Внутришлифовальный
станок №5
|
|
Тр
|
|
|
|
Тр
|
|
|
|
Тр
|
|
|
|
34
|
Внутришлифовальный
станок №6
|
Тр
|
|
|
|
Тр
|
|
|
|
Тр
|
|
|
|
|
35
|
Кран-Балка
№1
|
|
|
|
|
Тр
|
|
|
|
|
|
36
|
Заточной
станок №1
|
|
|
|
Тр
|
|
|
|
|
Тр
|
|
|
|
|
37
|
Заточной
станок №2
|
|
|
|
|
Тр
|
|
|
|
|
Тр
|
|
|
|
38
|
Заточной
станок №3
|
|
|
Тр
|
|
|
|
|
Тр
|
|
|
|
|
. ОРГАНИЗАЦИЯ И СТРУКТУРА ЭЛЕКТРОРЕМОНТНОГО
ПРОИЗВОДСТВА
2.1 Определение
трудоемкости ремонта
Вводим понятия условной единицы ремонта, за
которую принимаем трудоемкость ремонта одного АД с короткозамкнутой обмоткой
ротора мощностью 5 кВт и напряжением 220/380 В, со скоростью 1500 об/мин.
Для расчета норм трудоемкости других
электрических машин вводятся дополнительные коэффициенты трудоемкости: Кn
- для скоростей, отличных от 1500 об/мин; Кu
- для напряжения питания свыше 1000 В; Кt
- для других типов машин. ([7]стр141)
Мбаз = 15; mбаз
= 3
Трудоемкость ремонтов :
Кn
= 1 для двигателей с частотой вращения 1500 об/мин.
Кn
= 0,8 для двигателей с частотой вращения 3000 об/мин.
Кt
= 1,3 для двигателей с фазным ротором.
Кt
= 1,8 для двигателей постоянного тока.
Кt
= 1 для АД.
Двигатели с фазным ротором:
M = Mбаз
* Кn * Кt
* Кu = 15 * 1 * 1,3 * 1
= 19,5 чел/ч
m = mбаз*
Кn *
Кt * Кu
= 3 * 1 * 1,3 * 1 = 4,5 чел/ч
Двигатели с постоянным током:
M = Mбаз
* Кn * Кt
* Кu = 15 * 1 * 1,8 * 1
= 27 чел/ч
m = mбаз*
Кn * Кt
* Кu = 3 * 1 * 1,8 * 1
= 5,4 чел/ч
АД с частотой вращения 1500 об/мин:
M = Mбаз
* Кn * Кt
* Кu = 15 * 1 * 1 * 1 =
15 чел/ч
m = mбаз*
Кn * Кt
* Кu = 3 * 1 * 1 * 1 =
3 чел/ч
АД с частотой вращения 3000 об/мин:
M = Mбаз
* Кn * Кt
* Кu = 15 * 0,8 * 1 * 1
= 12 чел/ч
m = mбаз*
Кn * Кt
* Кu = 3 * 0,8 * 1 * 1
= 2,4 чел/ч
В связи с тем, что средняя мощность
электродвигателей в каждой группе не равна 5 кВт, пересчитываем их количество с
учетом коэффициента приведения:
Загрязненный цех:
) АД 1500 об/мин.
При Рср = 6,08 кВт коэффициент приведения равен
1,12
) АД 3000 об/мин.
При Рср = 0,6кВт коэффициент приведения равен
0,5
) С постоянным током 1000 об/мин.
При Рср = 3,3 кВт коэффициент приведения равен
0,8
) С постоянным током 4500 об/мин.
При Рср = 1 кВт коэффициент приведения равен 0,4
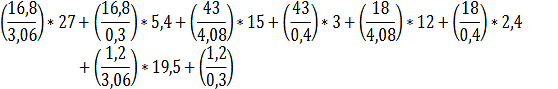
А1 = 21 * 0,8 = 16,8 шт
А2 = 25 * 1,72 = 43шт
А3 = 36 * 0,5 = 18 шт
А4 = 3 * 0,4 = 1,2 шт
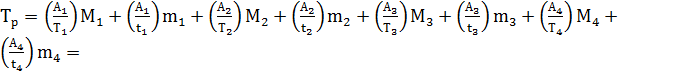
Определяем годовую трудоемкость работ

(1)

.
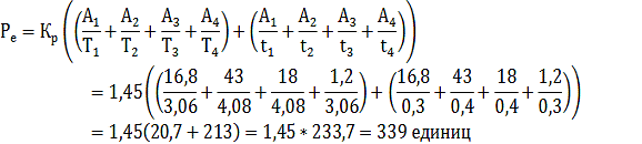
Определяем годовую
производительность электроремонтного предприятия
Для учета трудоемкости ремонта
вспомогательного оборудования увеличиваем получившуюся трудоемкость на 30%:
Те=1374 * 1,3 = 1786,2 чел/час
Рассчитываем электроремонтный цех
для ремонта электрических машин 30 подобных цехов:
,2 * 15 = 26793чел/час
2.2
Определение численности ремонтного персонала ЭРЦ
Рассчитываем ЭРЦ по эксплуатации и
обслуживанию электрических машин 30 подобных цехов ([7]стр143):
Ф - годовой фонд времени одного
рабочего равной при 40 часовой рабочий недели (отпуск 28 дней) = 1736 часов в
году
Число основных производственных
рабочих, необходимых для выполнения производственной годовой программы Тр:
= Тр/Ф = 26793/1736 = 20 чел.
По известному количеству основных
рабочих определяем число вспомогательных рабочих (N всп.);
инженерно-технических работников (Nитр),
служащих и младшего обслуживающего персонала (Nсл):
Nвсп = a * N = 0,15 * 22
= 3 чел
а = 0,15 - эмпирический коэффициент
итр = в (N + Nвсп) = 0,09
* (22+4) = 4 чел
в = 0,09 - эмпирический коэффициент
сл = с * (N + Nвсп) = 0,25
* (22 + 4) = 1 чел
с = 0,025 - эмпирический
коэффициент.
В соответствии с приведенной
трудоемкостью отдельных видов работ распределение основных рабочих по
профессиям выглядит следующим образом:
электрообмотчики - 40% →
16*0,4= 6 чел
электрослесаря - 37% →
16*0,37=1 чел
электромонтеры испытательной станции
- 3% → 16*0,03=1 чел
станочники - 5% → 16*0,05=1
чел
пропитчики - 4% → 16*0,04=1
чел
остальные рабочие - 11% →
16*0,11=2 чел
Общие число рабочих: 20 чел.
2.3
Определение структуры ЭРЦ по ремонту электромашин и пускорегулирующей
аппаратуры
Структура электроремонтного
предприятия и состав его оборудования определяется номенклатурой и объемом
ремонтируемого оборудования. Ремонтный цех может быть как самостоятельной
производственной единицей, так и являться одним из цехов крупного отраслевого
предприятия.
Типовая структурно - технологическая схема
ремонта электрических машин


2.4 Структура цеха по
ремонту силовых трансформаторов
Трансформаторы считаются самыми надежными
элементами электрической системы. По сравнению с другими видами электрического
и электромеханического оборудования они отличаются более высокой надежностью в
эксплуатации, если соблюдаются все правила хранения, транспортировки, монтажа,
эксплуатации и качественного ремонта.
Типовая структурно - технологическая схема
ремонта трансформаторов.
2.5
Определение необходимого оборудования ЭРЦ
Количество необходимого оборудования
в ЭРЦ определяем согласно рекомендации в зависимости от количества
установленного оборудования (электродвигателей) на предприятиях в деловых единицах
и в зависимости от назначения того или иного участка ЭРЦ.
Таблица 6-Количество оборудования
для капитального ремонта
|
Наименование
оборудования
|
Характеристики
|
Количество
оборудования
|
|
Склад
поступивших машин
|
|
Стеллаж
|
|
1
|
|
Дефектационно-подготовительное
отделение
|
|
Решёточный
стол
|
1330*1000*900мм
|
1
|
|
Установка
для мойки деталей машин
|
1600*1400*1150мм
температура воды 90˚С.
|
1
|
|
Стенд
для разборки электродвигателей
|
Поворотный
стол диаметром 500мм
|
2
|
|
Верстак
|
1400
* 600мм.
|
3
|
|
Камера
для оборудования электродвигателей
|
1200*1100*1900
|
1
|
|
Обмоточное
отделение
|
|
Полуавтомат
для рядовой намотки катушки
|
Диаметр
наматываемого провода 0,07…0,6мм:1200*1000мм
|
1
|
|
Намоточный
станок
|
1200*1000мм
сечение наматываемого провода 6 1
|
|
|
Картоннорезательный
станок
|
Длина
резания:1200мм. толщина 3 мм.
|
1
|
|
Трансформатор
для пайки
|
Первичное
напряжение 380 В, вторичное 6…12 В
|
1
|
|
Стол
с поворотным кругом с диаметром 900мм для укладки статоров электродвигателей
|
1100*1250*1725мм.
|
3
|
|
Стол
обмотчика с поворотом кругом диаметром 600ммдля укладки статоров
|
Размеры
1200*600*800мм.
|
3
|
|
Бандажировочный
станок для наложения бандажной проволоки на ротор
|
Размеры
1400*800мм.
|
1
|
|
Универсальная
подставка для роторов и якорей при укладке обмоток
|
Расстояние
между стойками. Размеры 1200*800мм.
|
1
|
|
Приспособление
для продораживания коллекторов
|
1750*330мм
Диаметр фрез 6мм.
|
1
|
|
Ванна
для лужения
|
|
1
|
|
Таль
электрическая
|
|
1
|
|
Пропиточно-сушильный
участок
|
|
Сушильная
тупиковая одноканальная печь
|
3000*2000мм.
|
1
|
|
Сдвоенныя
ванна для пропитки с механизацией подъема и опускания крышек
|
3000*
2000мм.
|
1
|
|
Решёточный
стол
|
1330*1000мм
|
1
|
|
Таль
электрическая
|
|
1
|
|
Окрасочный
участок
|
|
Сушильный
шкаф
|
2000*3000мм.
|
1
|
|
Решёточный
стол
|
2000*3000мм.
|
1
|
|
Таль
электрическая
|
|
1
|
|
Пистолет
распылитель
|
|
1
|
|
Отдел
ремонта электромеханической части
|
|
Сверлильный
станок
|
800*500мм.
|
2
|
|
Сварочный
станок
|
600*100мм.
|
1
|
|
Фрезерный
станок
|
1500*1000мм.
|
1
|
|
Токарный
станок
|
2000*1000мм.
|
2
|
|
Таль
электрическая
|
|
1
|
|
Верстак
|
1400*600мм.
|
2
|
|
Отделения
сборки и испытания
|
|
Пирамида
для якорей и роторов электродвигателей
|
Размеры
3012*975мм.
|
1
|
|
Стенд
сборки электродвигателей
|
Размеры
3012*975мм.
|
2
|
|
Установка
для испытания электродвигателей
|
Размеры
2000*1500мм.
|
1
|
|
Маслинная
ванна для подогрева подшипников
|
Размеры
500*500мм.
|
1
|
|
Таль
электрическая
|
|
1
|
|
Склад
отремонтированных машин
|
|
Стеллаж
|
|
1
|
|
Таль
электрическая
|
|
1
|
|
Склад
материалов
|
|
Стеллаж
|
|
1
|
|
|
|
|
|
Для транспортировки двигателей, запасных частей,
комплектующих используются ручные тележки.
2.6 Определение площади
участков ЭРЦ
По таблице 7 определяем площади каждого участка
([5]стр44).
Таблица 7 - Нормы общей площади участков ЭРЦ на
единицу оборудования
|
Оборудование,
верстаки, рабочие места
|
Общая
площадь на единицу оборудования, м2
|
|
Сборочно-разборочное,
намоточное
|
16…18
|
|
Пропиточное,
сушильное, окрасочное
|
20…25
|
|
Испытательное
|
20…22
|
|
Верстаки,
рабочие места
|
8…10
|
Дефектационно - подготовительное отделение:
16+16+(16*2)+(3*8)=88 м2
Обмоточное отделение:
+16+16+16+16+(16*3)+(16*3)+16+16+16=234 м2
Сушильное отделение 20+20+20=60 м2
Окрасочное отделение 20+20=40 м2
Отделение ремонта механической части равно
(16*2)+16+16+(16*2)+(8*2)=112 м2
Отделение сборки и испытания 16+16+(16*2)+20=84
м2
Общее количество установленных электродвигателей
40 * 30 = 1200 штук, тогда площадь складских помещений будет равна ([7]стр48):
1200*0,5/100= 6м2
Прибавляем площади под оборудование.
Склад поступивших машин: 6 + 16 = 22 м2
Склад материалов: 8 + 16 = 24м2
Склад отремонтированных машин: 6 + 16 = 22 м2
Общая сумма помещений без учета прохода равна
592 м2
Принимаем ширину здания 12м тогда
предварительная длина будет равна 58,4 м.
Принимаем ширину центрального прохода 3 м, тогда
его предварительная площадь равна 3 * 58,4 = 175,2 м2
Суммарная предварительная площадь равна 767,2 м2
Для учета погрешностей при выборе прохода и
площади под перегородки увеличиваем полученное значение на 3 %: 767,2 * 1,03 =
790,2 м2
Длина здания 75 м 2
3. Правила техники
безопасности при ремонтах электрооборудования насосной станции
В связи с развитием техники и автоматизации
производственных процессов повышается уровень электрификации промышленных
предприятий. Поэтому большее значение приобретает вопрос электробезопастности,
т.е. сознательного выполнения рабочих всех правил для предупреждения несчастных
случаев от поражением электрическим током.
Рабочие на предприятиях должны хорошо знать
требования, предъявляемые к устройству и обслуживанию электрооборудования, а
также возможные причины электротравматизма и меры по их устранению.
Наибольшее число поражений электрическим током
на предприятиях происходят в установках напряжением до 1000 В. Следовательно,
создания безопасных условий труда при работе на таких установках является
наипервейшей задачей.
Все ремонтные работы электрооборудования
производятся работниками ЭРЦ при полном снятии напряжении не зависимо от вида
ремонта ( текущий, капитальный, аварийный)
Все мероприятия, обеспечивающие безопасность
работ можно разделить на организационные и технические мероприятиям.
К организационным мероприятиям относятся:
оформление работ нарядом, распоряжением или
перечнем работ выполняемых в процессе ремонта
допуск к работе
наряд во время работы
оформление перерыва в работе, перевода на другое
место, окончание работы.
К техническим мероприятиям относятся:
подготовка рабочего места
При подготовки рабочего места должны быть
выполнены следующие мероприятия: произведены необходимые отключения и приняты
меры, препятствующие подаче напряжения на место работы вследствие ошибочного
или произвольного включения коммутационных аппаратов
на приводах ручного и на ключах дистанционного
управления коммутационных аппаратов должны быть вывешены запрещающие плакаты;
проверить отсутствие напряжения на токоведущих
частях, которые должны быть заземлены для защиты людей от поражения
электрическим током
установлено заземление (включены заземляющие
ножи, переносные заземления)
вывешены указательные плакаты «Заземлено»
ограждены при необходимости рабочие места и
оставшиеся под напряжением токоведущие части, вывешиваются предупреждающие и
предписывающие плакаты
Электромонтеры должны быть обеспечены в полном
объеме специальными инструментами, приспособлениями и материалами.
Электродвигатели.
Если работа на электродвигателе или приводимом
им в движение механизме связана с прикосновением к токоведущим и вращающимся
частям, электродвигатель должен быть отключен с выполнением предусмотренных
настоящими Правилами технических мероприятий, предотвращающих его ошибочное
включение. При этом у двухскоростного электродвигателя должны быть отключены и
разобраны обе цепи питания обмоток статора.
Работа, не связанная с прикосновением к
токоведущим или вращающимся частям электродвигателя и приводимого им в движение
механизма, может производиться на работающем электродвигателе.
Не допускается снимать ограждения вращающихся
частей работающих электродвигателя и механизма.
При работе на электродвигателе допускается
установка заземления на любом участке кабельной линии, соединяющей
электродвигатель с секцией РУ, щитом, сборкой.
Если работы на электродвигателе рассчитаны на
длительный срок, не выполняются или прерваны на несколько дней, то
отсоединенная от него кабельная линия должна быть заземлена также со стороны
электродвигателя.
В тех случаях, когда сечение жил кабеля не
позволяет применять переносные заземления, у электродвигателей напряжением до
1000В допускается заземлять кабельную линию медным проводником сечением не
менее сечения жилы кабеля либо соединять между собой жилы кабеля и изолировать
их. Такое заземление или соединение жил кабеля должно учитываться в оперативной
документации наравне с переносным заземлением.
Перед допуском к работам на электродвигателях,
способных к вращению за счет соединенных с ними механизмов (дымососы,
вентиляторы, насосы и др.), штурвалы запорной арматуры (задвижек, вентилей,
шиберов и т.п.) должны быть заперты на замок. Кроме того, приняты меры по
затормаживанию роторов электродвигателей или расцеплению соединительных муфт.
Необходимые операции с запорной арматурой должны
быть согласованы с начальником смены технологического цеха, участка с записью в
оперативном журнале.
Со схем ручного дистанционного и автоматического
управления электроприводами запорной арматуры, направляющих аппаратов должно
быть снято напряжение.
На штурвалах задвижек, шиберов, вентилей должны
быть вывешены плакаты "Не открывать! Работают люди", а на ключах,
кнопках управления электроприводами запорной арматуры - "Не включать!
Работают люди".
На однотипных или близких по габариту
электродвигателях, установленных рядом с двигателем, на котором предстоит
выполнить работу, должны быть вывешены плакаты "Стой! Напряжение"
независимо от того, находятся они в работе или остановлены.
- Работы по одному наряду на
электродвигателях одного напряжения, выведенных в ремонт агрегатов,
технологических линий, установок могут проводиться на условиях, предусмотренных
п.2.2.9 <http://www.niiot.ru/doc/doc096/doc_02.htm> настоящих Правил.
Допуск на все заранее подготовленные рабочие места разрешается выполнять
одновременно, оформление перевода с одного рабочего места на другое не
требуется. При этом опробование или включение в работу любого из перечисленных
в наряде электродвигателей до полного окончания работы на других не
допускается.
Порядок включения электродвигателя
для опробования должен быть следующим:
производитель работ удаляет бригаду
с места работы, оформляет окончание работы и сдает наряд оперативному
персоналу;
оперативный персонал снимает
установленные заземления, плакаты, выполняет сборку схемы.
После опробования при необходимости
продолжения работы на электродвигателе оперативный персонал вновь
подготавливает рабочее место и бригада по наряду повторно допускается к работе
на электродвигателе.
Работа на вращающемся
электродвигателе без соприкосновения с токоведущими и вращающимися частями
может проводиться по распоряжению.
Обслуживание щеточного аппарата на
работающем электродвигателе допускается по распоряжению обученному для этой
цели работнику, имеющему группу III, при соблюдении следующих мер
предосторожности:
работать с использованием средств
защиты лица и глаз, в застегнутой спецодежде, остерегаясь захвата ее
вращающимися частями электродвигателя;
пользоваться диэлектрическими
галошами, коврами;
не касаться руками одновременно
токоведущих частей двух полюсов или токоведущих и заземляющих частей.
Кольца ротора допускается шлифовать
на вращающемся электродвигателе лишь с помощью колодок из изоляционного
материала.
В инструкциях по охране труда
соответствующих организаций должны быть детально изложены требования к
подготовке рабочего места и организации безопасного проведения работ на
электродвигателях, учитывающие виды используемых электрических машин,
особенности пускорегулирующих устройств, специфику механизмов, технологических
схем и т.д.
электродвигатель силовой трансформатор насосный
Заключение
Целью выполнения данной курсовой работы является
практическое закрепление изученного в ходе учебного процесса теоретического
материала по вопросам эксплуатации электрооборудования, формирование умения
использования справочной литературы, формирование умений в применении
правильной эксплуатации электрических и электромеханических машин и
оборудования, составление ППР.
Для выполнения годовой программы по обслуживанию
электрооборудования 30 подобных цехов нужно 20 человека электротехнического
персонала. Расчетная площадь электроремонтного цеха составила 790,2 м2.
Список литературы
1.
Межотраслевые правила по охране труда (правила безопасности) при эксплуатации
электроустановок. - М.: Издательство «Омега-Л», 2008.
.
Шеховцов В.П. Расчет и проектирование схем электроснабжения. Методическое
пособие для курсового проектирования. - М.: ФОРУМ: ИНФРА - М, 2005.
.
Акимова Н.Ф. и др. Монтаж, техническая эксплуатация и ремонт электрического и
электромеханического оборудования: Учеб. Пособие для студ. учреждений сред.
проф. образования.- М.: Мастерство, 2001.
.
Котеленец Н.Ф. Испытания, эксплуатация и ремонт электрических машин: Учебник
для вузов. - М.6 Издательский центр «Академия», 2003.
.
Сибикин Ю.Д. Электробезопасность при эксплуатации электроустановок промышленных
предприятий: Учебник для нач. проф. образования . - 2-е изд., испр. И доп. -
М.: Издательский центр «Академия», 2004.
.
Кацман М.М. Справочник по электрическим машинам: Учеб. Пособие для студ.
образоват. учреждений сред. проф. образования. - М.: Издательский центр
«Академия», 2005.
.
Акимова Н. А., Котеленец Н. Ф., Сентюрхин Н. И. Монтаж, техническая
эксплуатация и ремонт электрического и электромеханического оборудования;
издат.: Академия, 2008г-304c.