Расчет параметров потока и потерь в дозвуковых диффузорах

  • Вид работы:
    Курсовая работа (т)
  • Предмет:
    Физика
  • Язык:
    Русский
    ,
    Формат файла:
    MS Word
    683,56 Кб
  • Опубликовано:
    2013-10-26
Вы можете узнать стоимость помощи в написании студенческой работы.
Помощь в написании работы, которую точно примут!

Расчет параметров потока и потерь в дозвуковых диффузорах

Московский государственный технический университет имени Н.Э. Баумана

Кафедра «Газотурбинные и нетрадиционные энергоустановки»

Курсовая работа «Применение основных уравнений механики жидкости и газа при решении инженерно-технических задач» по курсу «Механика жидкости и газа»








Тема: «Расчет параметров потока и потерь в дозвуковых диффузорах»

Студент_______________________________(Кужагалиев Н.А.) группа Э3-52

Консультант___________________________(Гасилов А.В.) каф. Э3









Москва 2012

СОДЕРЖАНИЕ

1) Задача исследования

) Исходные положения и принятые допущения

) Исходная система всех основных уравнений

) Преобразование исходной системы уравнений к форме записи, отвечающей задаче исследования

) Преобразование до конечного результата полученной системы уравнений

) Анализ полученных результатов

) Численный пример

) Список использованной литературы

1. Задача исследования

Получить формулы для расчета параметров потока, а также формулы для нахождения потерь в дозвуковых диффузорах.

2. Исходные положения и принятые допущения

Канал с увеличивающимся поперечным сечением называется геометрическим диффузором. Он служит для торможения потока.


Выделим объем, ограниченный поверхностью диффузора и двумя сечениями 1 и 2, и примем следующие допущения:

а) движение потока одномерное;

б) стационарное;

в) установившееся;

г) газ невязкий, совершенный, сжимаемый, невесомый;

д) процесс изоинтропический;

e) учитываем только геометрическое воздействие (отсутствуют силы трения, тепловое, расходное и механическое воздействия).

3. Исходная система всех основных уравнений

Для определения параметров потока воспользуемся следующими уравнениями.

Уравнение движения Навье-Стокса (уравнение изменения количества движения)

. (1)

Где  - скорость [м/с],  - массовые силы [Н/кг], с - плотность [кг/м3], p - давление [Н/м2],  - координата [м], µ - динамическая вязкость [Па*с].

Уравнение расхода

. (2)

Где  - расход газа [кг/с],  - площадь сечения канала [м2].

Уравнение состояния

. (3)

Где R - газовая постоянная [кДж/кг*К], T - температура газа [К].

Уравнение сохранения энергии

. (4)

Где  - диссипативная функция,  - поток теплоты извне,  - теплота выделяющаяся внутри объема [Дж].

Для нахождения потерь используем формулу Борда - Карно для внезапного расширения канала

. (5)

где коэффициенты потерь при внезапном расширении , , n - отношение площадей.

4. Преобразование исходной системы уравнений к форме записи, отвечающей задаче исследования

Преобразуем уравнение (1) с учетом допущений.

, так как движение одномерное.

.

Так же в правой части обнуляются все слагаемые, кроме второго, получим

 .

Сократим на . Окончательно:

. (6)

В уравнении (4) правая часть обнуляется, так как вязкость равна нулю, массовые силы и теплоту не учитываем, получим:

 или . (7)

Имеем систему уравнений для расчета параметров потока:

 

5. Преобразование до конечного результата полученной системы уравнений

Систему уравнений (2), (6), (7), (3) можно преобразовать к безразмерной форме записи через относительные приращения входящих в нее параметров.

Уравнение расхода (2):

 

После сокращения окончательно получим:

.

Выразим  и учтем отсутствие изменения расхода :

. (8)

Уравнение состояния (3):

 . (9)

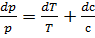
Уравнение сохранения энергии (7):

 , так как  (скорость звука)

 .


. (10)

Из уравнения (6) найти , с учетом

 :

 (11)

Из (9) с учетом (8) и (11), получим:

 (12)

Подставим выражение (12) и (11) в (10):

 ,

 ,

 , делим на ,

 .

Окончательно получаем зависимость изменения скорости потока от изменения площади поперечного сечения канала:

(13)

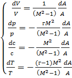
Подставляя выражение (13) в выражения (8), (9) и (11) получим систему уравнений, выражающую в явном виде зависимость относительных приращений параметров потока V, p, с, T от относительного изменения площади A поперечного сечения канала:

 

Для расчета потерь рассмотрим T-S диаграмму течения в диффузоре.

допущение уравнение результат

Реальный процесс 1 - 2 повышения статического давления в диффузоре отклоняется от изоэнтропийного 1- 2из за счет различных потерь, в результате этого давление торможения  на выходе из диффузора меньше, чем давление торможения  при входе. При адиабатичности сопоставляемых процессов (  ) это приводит к уменьшению действительного выходного скоростного напора  в сравнении с изоэнтропийным  на величину

 

Величина  может рассматриваться как потеря скоростного напора  . Преобразуется в статическое давление величина

 

Эффективность процесса повышения статического давления в диффузорах оценивают при помощи следующих коэффициентов:

коэффициента восстановления статического давления

 

коэффициента внутренних потерь

 

Коэффициента потерь с выходной скоростью

 

Очевидно, что  , так как .

Отношение

 

Называется коэффициентом полных потерь;

 

Коэффициентом полезного действия диффузора называют соотношение

 

Потери в диффузорах оценивают при помощи коэффициента восстановления полного давления  . Найдем его связь со скоростным напором. Выразим потери полного давления  в зависимости от скоростного напора подобно формуле (5) для внезапного расширения канала

 

Рассмотрим в качестве определяющего скоростной напор при выходе из диффузора. Установим связь между коэффициентом потерь в диффузоре  и величиной  :

 

Обычно относительные потери полного давления  в диффузоре составляют несколько процентов, и поэтому при условии  можно считать, что . С учетом того, что

 

Получим

 

Коэффициент потерь в диффузоре  учитывает как потери на отрыв потока от стенок, так и потери на трение. Потери на отрыв могут быть оценены в долях ш от коэффициента  . Величина ш называется коэффициентом смягчения (полноты) удара. Согласно экспериментам, ш зависит от угла раскрытия диффузора б, и для конического диффузора при б=0 коэффициент ш=0, при б=60̊ коэффициент ш достигает максимального значения 1,2 и далее уменьшается до единицы с ростом б.

6. Анализ полученных результатов

Проанализируем систему уравнений (14) - (17) для расчета параметров потока.

Течение дозвуковое, следовательно M < 1, так же имеем расширяющийся канал (диффузор), т.е. площадь увеличивается. Знак изменения скорости  противоположен знаку изменения площади поперечного сечения . Это означает, что скорость потока уменьшается при прохождении по каналу диффузора. Знаки изменения давления , плотности  и температуры  в этом случае одинаковы со знаком изменения площади поперечного сечения , откуда следует, что эти параметры возрастают по каналу диффузора.

Потери в дозвуковом диффузоре вызываются трением и отрывом потока от стенки. Существование зон отрыва связано с возникновением условий отрыва пограничного слоя. Определяющими факторами для возникновения этих условий являются числа Маха и Рейнольдса при входе в диффузор, характер пограничного слоя (ламинарный или турбулентный), закон изменения градиента давления вдоль оси диффузора (закон изменения его поперечного сечения), форма эпюры скорости при входе в диффузор, шероховатость стенок.


На рисунке показана экспериментальная зависимость, определяющая возможности безотрывного течения в конических дозвуковых диффузорах, в виде угла раскрытия диффузора б и отношения площадей поперечного сечения при входе и выходе.

Для уменьшения потерь в диффузорах необходимо прежде всего обеспечить безотрывность течения по всей его длине на расчетном режиме. С этой целью основное торможение потока должно осуществляться на начальном участке диффузора, где пограничный слой еще достаточно тонок и устойчив к отрыву. Далее продольный градиент давления должен непрерывно уменьшаться. Существуют различные способы управления потоком в диффузорах для увеличения их эффективности (промежуточные перегородки, пристеночный вдув потока, отсос пограничного слоя, профилирование обвода стенки и т.п.).

При изменении расчетных условий на входе или на выходе из дозвукового диффузора характер течения в нем будет изменяться чаще всего в сторону снижения эффективности вследствие образования стационарных и нестационарных отрывных зон или возникновения струйного течения с отделением потока от стенок.

7. Численный пример


Список использованной литературы

1. Бекнев В.С., Панков О.М., Янсон Р.А. «Газовая динамика». МГТУ им. Н.Э.Баумана 1997. 670с.

. Лекции по курсу «Механика жидкости и газа»

Похожие работы на - Расчет параметров потока и потерь в дозвуковых диффузорах

 

Не нашли материал для своей работы?
Поможем написать уникальную работу
Без плагиата!
Без нейросетей!