Магазин 'Вестфалика'
Введение
Разработка бизнес-планов стала одной из наиболее
удачных и распространенных форм планирования в рыночной экономике.
Бизнес-план - это документ, который описывает
все основные аспекты будущего предприятия, анализирует все проблемы, с которыми
оно может столкнуться, а также определяет способы решения этих проблем.
Планирование является свойством большинства
целеустремленных систем, под которыми в экономической литературе понимают
системы, способные распознать свои потребности и выбрать способы их удовлетворения.
Планы подразделяют: на комплексные или специализированные на одном из аспектов
экономической жизни; перспективные и оперативные; стратегические и тактические.
Планирование может быть локальным и глобальным.
Целью данной работы является составление
бизнес-плана магазина обуви «Вестфалика» в г. Амурске.
Для достижения цели работы необходимо решить
следующие задачи:
раскрыть сущность, цели и задачи планирования;
определить виды планирования;
определить формы и способы планирования;
составить резюме предприятия ЗАО СОК
«Вестфалика»;
определить цели и задачи деятельности
предприятия;
описать продукцию предприятия;
провести анализ рынка;
привести план маркетинга;
привести производства;
рассмотреть управленческий состав;
определить источники и объем требуемых средств;
привести финансовый план;
привести детальный финансовый план и построить
график безубыточности.
Предметом исследования является
бизнес-планирование деятельности предприятия.
Объектом исследования является магазин обуви
«Вестфалика» г. Амурск.
При написании работы использовались труды Репина
В.В. «Технологии управления финансами предприятия», Олейника И.С. «Финансовый
менеджмент», Мальцева В.А. «Финансовый менеджмент: введение в управление
капиталом» и др.
1. Теоретические аспекты планирования
.1 Сущность, цели и задачи
планирования
Планирование на предприятии заключается в
установлении целей его деятельности на определенный период, путей его
реализации и ресурсного обеспечения. Оно предусматривает разработку комплекса
мероприятий, определяющих последовательность достижения конкретных целей с
учетом их возможностей наиболее эффективного использования ресурсов каждым
производственным подразделением и предприятием в целом [3, с. 29].
С точки зрения экономической теории планирование
является механизмом, который заменяет «невидимую руку рынка». Вопрос о
необходимости планирования: на макроуровне решается в рамках различных научных
школ по-разному. Есть как приверженцы политики государственного невмешательства
в экономику, так и противники.
Противники саморегулирования экономики
апеллируют к тому, что существуют не только устойчивый вид равновесия на рынке,
но и асимптотически устойчивый, неустойчивый. Кроме того, существует
запаздывание реакции рынка (быстрое изменение спроса и медленное - предложения)
и влияние неценовых факторов на точку равновесия, поэтому движение к точке
равновесия может быть сравнительно долгим, а значит - нерациональным
(неэффективным). Планирование в большей мере, чем саморегулирование рынка,
позволяет максимально эффективно использовать ограниченность ресурсов.
Имеются и другие объективные обстоятельства,
обусловливающие потребность макроэкономического планирования в рыночном
хозяйстве, а именно [12, с. 17]:
. Неспособность механизма свободного
рынка обеспечить макроэкономическую устойчивость национальной экономики,
преодолеть циклические колебания производства, валового дохода, занятости и
т.д.
. Систематический рост в общем объеме
потребления доли коллективного или общественного потребления. Коллективное
потребление товаров и услуг в значительной мере регулируется не обычным
рыночным механизмом, а государством, поэтому увеличивается доля совокупных
ресурсов страны, распределяемых им с помощью внерыночных механизмов.
. Рост масштабов воздействия человеческой
деятельности (как производственной, так и потребительской) на среду обитания,
наличие отрицательных внешних эффектов экономической деятельности.
. Появление более сложных форм
взаимодействия друг с другом хозяйствующих субъектов и целых секторов экономики
в результате расширения деятельности и развития интеграционных процессов.
. Обострение глобальных проблем
современности (продовольственный кризис, истощение невоспроизводимых природных
ресурсов, ухудшение состояния окружающей среды и др.) обусловливает
усиливающийся интерес общества, государства к проблемам долгосрочного
прогнозирования.
. Возникновение чрезвычайных ситуаций
(войны, экономические кризисы, стихийные бедствия и необходимость ликвидации их
последствий), стимулирующих деятельность в области планирования.
Планирование - одна из составных частей
управления, заключающаяся в разработке и практическом осуществлении планов,
определяющих будущее состояние экономической системы, путей, способов и средств
его достижения [10, с. 97].
Планирование является свойством большинства
целеустремленных систем, под которыми в экономической литературе понимают
системы, способные распознать свои потребности и выбрать способы их
удовлетворения. Планы подразделяют: на комплексные или специализированные на
одном из аспектов экономической жизни; перспективные и оперативные;
стратегические и тактические. Планирование может быть локальным и глобальным.
К планированию применим макроподход,
определяющий общие основы и концепции развития систем с учетом законов и
принципов разработки планов в отдельных сферах. В то же время можно говорить о
планировании на уровне отдельного хозяйствующего субъекта. В отдельных случаях
планирование на микроуровне уменьшает трансакции (затраты на поиск покупателя
или продавца, проведение переговоров и т.д.) [9, с. 67].
В организации планирование выполняет следующие
функции [2, с. 121]:
позволяет наиболее рационально использовать
имеющиеся ресурсы;
помогает подготовиться к использованию будущих
благоприятных условий;
систематизирует возникающие проблемы;
улучшает координацию между подразделениями и
службами экономической организации;
увеличивает проходимость информации;
упрощает и систематизирует выполнение функции
контроля за производственно-хозяйственной деятельностью.
В условиях рыночных отношений планирование является
одним из важнейших условий организации эффективной работы предприятия.
Планирование охватывает все основные сферы его производственно-хозяйственной
деятельности - сбыт, финансы, производство, закупки, научные и проектные
разработки, которые тесно взаимосвязаны. Эта деятельность опирается на
выявление и прогнозирование спроса, анализ и оценку имеющихся ресурсов и
перспектив развития хозяйственной конъюнктуры. Отсюда вытекает необходимость
увязки планирования с маркетингом и контролем для постоянной корректировки
показателей производства и сбыта вслед за изменениями спроса на рынке [16, с.
120].
Планирование представляет очень важную функцию в
системе управления производством на предприятии. С его помощью определяются
направление и содержание деятельности предприятия, его структурных
подразделений и отдельных работников. Главной задачей планирования является
обеспечение планомерности развития экономики предприятия и деятельности каждого
его члена, определение путей достижения лучших конечных результатов
производства. Для управления производством нужно иметь полную и правдивую
информацию о ходе производственного процесса, о ходе выполнения планов. Поэтому
одной из функций управления производством является учет. Он обеспечивает
постоянный сбор, систематизацию и обобщение данных, необходимых для управления
производством и контроля за ходом выполнения планов и производственных
процессов.
Однако для управления производством нужно иметь
представление не только о ходе выполнения плана, результатах хозяйственной
деятельности, но и о тенденциях и характере происходящих изменений в экономике
предприятия. Осмысление, понимание информации достигаются с помощью
экономического анализа. В процессе анализа первичная информация проходит
аналитическую обработку: проводится сравнение достигнутых результатов
производства с данными за прошлые отрезки времени, с показателями других
предприятий и среднеотраслевыми; определяется влияние разных факторов на
величину результативных показателей; выявляются недостатки, ошибки, неиспользованные
возможности, перспективы и т.д. [1, с. 82].
1.2 Виды планирования
Признаками, определяющими тип планирования,
являются [19, с. 92]:
степень охвата;
степень неопределенности;
временная ориентация идей планирования;
содержание планирования в аспекте
предпринимательской политики;
горизонт планирования;
предмет (объект) планирования;
сферы функционирования.
По степени охвата выделяют общее планирование
(включающее в себя все относящиеся к данному вопросу области и величины) и
частичное (охватывающее только определенные области и величины) [4, с. 106].
В зависимости от степени неопределенности
плановой деятельности системы планирования в организации можно разделить на два
типа. Первый - это те, которые действуют в полностью предсказуемой среде и не
имеют недостатка в информации. Следовательно, события в таких системах имеют
полную определенность: можно дать 100%-ю гарантию, что если событие А
произойдет, то за ним последует событие Б. Этот тип систем планирования
называют детерминированными системами.
Другой тип систем планирования предполагает
недостаток определенности во внешней среде и нехватку информации. Так, нельзя
предусмотреть определенное значение результата решения X, принятого менеджером,
если этот результат может воплотиться с 80%-й вероятностью. Системы
планирования, не дающие полной предсказуемости результата, называют
вероятностными (стохастическими).
Типы планирования зависят также от временной
ориентации идей планирования (ориентированы ли эти идеи в прошлое, настоящее
или будущее). В этом смысле различают четыре типа планирования: реактивное
(нацеленное только в прошлое), инактивное (приспосабливающееся только к
настоящему), преактивное (предпочитающее смотреть только в будущее) и
интерактивное (ориентированное на взаимодействие всех лучших идей планирования)
[12, с. 126].
Реактивное планирование (возврат к прошлому).
Представители реактивного планирования свои идеалы и способ существования
находят в прошлом. Они отрицают все достижения сегодняшнего дня и с этой точки
зрения негативно относятся к технике и современному технологическому обществу.
Основной метод реактивного планирования - это генетический подход. Всякая
проблема здесь исследуется с точки зрения ее возникновения и прошлого развития.
Если найти в прошлом причину проблемы, подавить ее или сдержать - проблема
исчезнет.
Инактивное планирование. При этом типе
планирования не считают нужным возвращаться в прошлое и вместе с тем не
стремятся к движению вперед, а также предполагают, что существующие условия
достаточно хорошие, по крайней мере, приемлемые. Удовлетворение настоящим -
отличительная черта инактивизма. Характерным для него является также
представление о том, что равновесие в положении экономической организации на
рынке достигается естественным путем, автоматически. Следовательно, главным
принципом планирования должно быть правило: «Планировать минимум необходимого,
чтобы не изменить естественного хода вещей». Руководители-инактивисты, таким
образом, не стремятся к каким-либо серьезным изменениям в деятельности своей
организации.
Преактивное планирование (упреждение). Оно
ориентировано в основном на будущие изменения. В противовес инактивистам,
преактивисты стремятся ускорить изменения, побыстрее приблизить будущее.
Особенно важной у преактивистов считается возможность угадать вероятные
направления изменений и «оседлать их первую волну» для того, чтобы достичь
своих целей. Эти цели обычно связывают не только с увеличением прибыльности, но
и с выживанием и ростом организации.
Интерактивное планирование. Такой вид
планирования характеризуется двумя основными чертами [11, с. 163]:
оно основано на принципе участия и максимально
мобилизует творческие способности участников организации;
предполагает, что будущее подвластно контролю и
в значительной мере является продуктом созидательных действий участников
организации. Цель интерактивного планирования - проектирование будущего.
Это самый ресурсоемкий из представленных типов
планирования.
По содержанию в аспекте предпринимательской
политики выделяют следующие виды планирования [3, с. 155]:
стратегическое (высший уровень управления) -
поиск новых возможностей и продуктов производства;
тактическое (средний уровень) - создание
предпосылок для известных возможностей и продуктов;
оперативное (низший уровень) - реализация данной
возможности.
Стратегическое планирование предусматривает
разработку, прежде всего глобальных целей развития предприятия в отдаленной
перспективе с учетом неконтролируемых факторов внешней среды: политических
событий, инфляции, безработицы, нарушений торгового баланса, изменений
кредитных ставок и т.п. На этой стадии устанавливают главные цели и важнейшие
результаты деятельности предприятия при условии сохранения действующей
политики. Затем их сравнивают с результатами, которые должны быть получены при
достижении уровня установленных целей развития и выявляют резервы. Вырабатывают
стратегические решения, позволяющие реализовать эти резервы с учетом средств и
способов достижения поставленных целей и обеспечения необходимыми ресурсами.
При этом учитывают также новые возможности предприятия, например расширение
производственных мощностей путем строительства новых производств или
приобретения оборудования, смена профиля предприятия или радикальное изменение
технологии [10, с. 110].
Тактическое планирование - это принятие решений
о том, как должны быть распределены ресурсы организации для достижения
стратегических целей. Если стратегический план отвечает на вопрос: «Что
делать?», то тактический - на вопрос: «Как достичь поставленной цели?».
Тактические планы обычно содержат количественные
показатели по продуктам, данные о капиталовложениях и источниках
финансирования. Их разрабатывают в производственных подразделениях предприятия
с ориентацией на ликвидацию так называемых узких мест, т. е. на такие сферы
деятельности, где наиболее ограничены возможности влияния на общие результаты.
Оперативное планирование означает практически то
же самое, что и тактическое планирование. Термин «оперативное» лучше, чем
термин «тактическое», подчеркивает, что это планирование отдельных операций в
общем хозяйственном потоке на короткий и средний периоды, например планирование
производства, маркетинга и т.п. Под оперативным планированием понимают также
составление бюджета организации [8, с. 91].
В зависимости от горизонта планирования (периода
времени, который охватывают планы, составленные организацией), планирование
разделяют на три типа: долгосрочное, среднесрочное, краткосрочное.
Долгосрочное планирование обычно охватывает
длительные периоды времени - от 10 до 25 лет. Процесс долгосрочного планирования
состоит из следующих стадий: экономическое прогнозирование, включающее в себя
стратегическое планирование; разработка долгосрочного плана.
Среднесрочное планирование конкретизирует
ориентиры, определенные долгосрочным планом, и рассчитывается на более короткий
период. До недавнего времени горизонт среднесрочного планирования равнялся пяти
годам. Однако непредвиденный характер и скорость изменения внешней среды
вынудили многие фирмы г сократить промежуток планирования с пяти до трех лет
соответственно, а пятилетние планы перешли в разряд долгосрочных.
Краткосрочное планирование - это разработка
планов на один-два года. Краткосрочные планы включают в себя конкретные способы
использования необходимых для достижения целей ресурсов организации,
определенных в более длительных планах.
По предмету (объектам) планирования различают:
целевое планирование (определение общих, стратегических и оперативных целей и
ограничений), планирование средств (относится к планированию потенциалов, таких
как персонал, оборудование, материалы, финансы, информация), программное
планирование (планирование программ производства и сбыта) и планирование
действий (например, специальных продаж и мероприятий по вербовке) [3, с. 124].
По сферам функционирования планирование
подразделяют: на планирование сбыта (цели сбыта, программы действий, расходов
на сбыт, развитие сбыта); производства (программы подготовки и хода
производства); персонала (потребности в персонале, подготовки персонала);
заготовок (планирование потребностей, закупок); финансов (платежных средств,
покрытий капиталов, вложений капиталов); инвестиционное и расширенное общее
планирование [15, с. 67].
1.3 Формы и способы планирования
экономической деятельности
Существует две формы планирования деятельности
фирмы: планирование деятельности фирмы на рынке; внутрифирменное планирование.
Как правило, эти аспекты планирования взаимосвязаны [2, с. 130].
Необходимо отметить, что по-настоящему
планирование может быть рациональным только тогда, когда отношения фирмы с
контрагентами на рынке носят не случайный и разовый характер, а приобретают
устойчивый и долговременный характер.
Планирование деятельности предприятия позволяет:
осуществить четкую координацию предпринимаемых усилий по достижению
поставленных целей; побудить руководителей конкретнее определить свои цели и
пути их достижения; определить показатели деятельности фирмы, необходимые для
последующего контроля; подготовить предприятие к внезапным изменениям рыночной
конъюнктуры; четко формализовать обязанности и ответственность всех менеджеров
фирмы.
Критерии выбора формы планирования (принципы
планирования) [21, с. 106]:
полнота (требуется учесть все),
детализация (глубина ее определяется целью
планирования),
точность,
простота и ясность,
непрерывность,
эластичность и гибкость (использование плановых
резервов, учет множественности возможных альтернатив, отсрочка деталей
планирования до выяснения обстановки, вариантность),
выравнивание при планировании (учет "узких
мест"),
экономичность.
В зависимости от главных целей или основных подходов
используемой информации, нормативной базы, применяемых путей получения и
согласования тех или иных конечных плановых показателей принято различать
следующие методы (способы) планирования: экспериментальные, нормативные,
балансовые, расчетно-аналитические, программно-целевые, отчетно-статистические,
экономико-математические и другие.
Расчетно-аналитический метод основан на
расчленении выполняемых работ и группировке используемых ресурсов по элементам
и взаимосвязи, анализе условий наиболее эффективного их взаимодействия и
разработке на этой основе проектов планов.
Экспериментальный метод - это проектировка норм,
нормативов и моделей планов на основе проведения и изучения замеров и опытов, а
также учета опыта менеджеров, плановиков и других специалистов.
Отчетно-статистический метод состоит в
разработке проектов планов на основе отчетов, статистики и иной информации,
характеризующей реальное состояние и изменение характеристики деятельности
предприятия.
В процессе планирования ни один из
рассматриваемых методов не применяется в чистом виде [17, с. 221].
Таким образом, на основе вышеизложенного
материала можно сделать следующие выводы.
Планирование на предприятии заключается в
установлении целей его деятельности на определенный период, путей его
реализации и ресурсного обеспечения. Оно предусматривает разработку комплекса
мероприятий, определяющих последовательность достижения конкретных целей с
учетом их возможностей наиболее эффективного использования ресурсов каждым
производственным подразделением и предприятием в целом.
Планирование представляет очень важную функцию в
системе управления производством на предприятии. С его помощью определяются
направление и содержание деятельности предприятия, его структурных
подразделений и отдельных работников. Главной задачей планирования является
обеспечение планомерности развития экономики предприятия и деятельности каждого
его члена, определение путей достижения лучших конечных результатов
производства. Для управления производством нужно иметь полную и правдивую информацию
о ходе производственного процесса, о ходе выполнения планов. Поэтому одной из
функций управления производством является учет. Он обеспечивает постоянный
сбор, систематизацию и обобщение данных, необходимых для управления
производством и контроля за ходом выполнения планов и производственных
процессов.
В организации планирование выполняет следующие
функции:
позволяет наиболее рационально использовать
имеющиеся ресурсы;
помогает подготовиться к использованию будущих
благоприятных условий;
систематизирует возникающие проблемы;
улучшает координацию между подразделениями и
службами экономической организации;
увеличивает проходимость информации;
упрощает и систематизирует выполнение функции
контроля за производственно-хозяйственной деятельностью.
Признаками, определяющими тип внутрифирменного
планирования, являются:
степень охвата;
степень неопределенности;
временная ориентация идей планирования;
содержание планирования в аспекте
предпринимательской политики;
горизонт планирования;
предмет (объект) планирования;
сферы функционирования.
2. Организация планирования в ЗАО
СОК «Вестфалика»
.1 Характеристика предприятия
Закрытое акционерное общество Сибирская Обувная
Компания «Вестфалика» - федеральная сеть обувных магазинов, основанная в 2003
году, головной офис находится в Новосибирске. На сегодняшний день в городах
Сибири, Урала и Центральной части России работают 100 магазинов компании под
брендами «Вестфалика» и «Пешеход».
Адрес магазина «Вестфалика»: г.
Комсомольск-на-Амуре, Шиханова, д. 6 (общая площадь 68 м2.)
Адрес планируемого магазина в г. Амурск пр.
Комсомольский, д. 4 (общая площадь 100 м2.)
Вид деятельности ЗАО СОК «Вестфалика» -
производство и продажа обуви. Данное обувное предприятие имеет уже семилетний
опыт в области продаж и производства обуви, прочные деловые связи с зарубежными
и российскими поставщиками. Продукция «Вестфалики» продается более чем в 100
городах России. Открыты представительства компании в Москве, Санкт-Петербурге,
Екатеринбурге, Хабаровске. Кроме этого «Вестфалика» осуществляет поставки обуви
в Монголию и Казахстан. Компания поддерживает тесные связи со многими
партнерами в странах Европы и Азии.
Сибирская обувная компания
"Вестфалика" является постоянным экспонентом всех ведущих
специализированных ярмарок России. Сотрудники компании регулярно посещают
крупнейшие европейские выставки и ярмарки, знакомятся с передовыми технологиями
обувного производства, устанавливают деловые контакты с производителями
оборудования для пошива обуви.
Первоначально компания выпускала только женскую
обувь (зимнюю и демисезонную), однако сейчас она расширяет свой основной
бизнес.
Горизонтальное расширение происходит путем
освоения нового ассортимента: мужской и детской обуви, женских модельных туфель
и вертикальное расширение: производство основных материалов (кожи, натурального
меха) и комплектующих, создание региональной снабженческой структуры российских
обувных производств.
Специалисты компании изучают возможности
применения последних достижений науки и техники в области обувных технологий.
Модельеры и технологи компании при участии западных специалистов из Италии и
Германии постоянно внедряют новые материалы, усовершенствуют технологию
производства и организацию труда.
В настоящий момент, при существующих объемах
производства компании 960 000 пар обуви в год, «Вестфалика» занимает лидирующее
положение в своей ценовой нише - 50% от продаж аналогичной обуви в Сибири и
прилегающих регионах.
«Вестфалика» производит не только готовую обувь.
Необходимые комплектующие - подошва, стелька - также изготавливаются в цехах
компании. Их используют на собственном производстве, а также поставляют на
другие предприятия России. Партнеры и потребители ценят продукцию компании за
оптимальное соотношение цены и качества, европейский дизайн, за конструктивные
особенности обуви, адаптированные к условиям России. Некоторые модели
«Вестфалики» обладают уникальной морозостойкостью и выдерживают температуру 40
градусов ниже нуля.
Вся продукция компании изготавливается из
натуральных материалов и экологически безопасна. На всю обувь установлен
соответствующий российским ГОСТам гарантийный срок - 70 дней. Обувь
сертифицирована и регулярно проходит тестирование и испытания [11, с. 169].
Цели и задачи ЗАО СОК «Вестфалика» можно
выразить деревом целей, представленным в Приложение (рис. 2.1).
Цель деятельности компании «Вестфалика»
определена как наиболее полное удовлетворение потребностей покупателей в
качественной обуви из натуральных материалов. Компания стремится
соответствовать высоким мировым стандартам и нацелена на поиск новых
технологических решений.
Миссия компании заключается в том, чтобы
совершенствоваться и предоставлять людям удобную, практичную и красивую обувь
[21, с. 91].
Задачи деятельности компании «Вестфалика»:
. Развитие компетенций - профессиональный рост
сотрудников и управленческой команды.
. Рост стоимости компании в долгосрочной
перспективе: укрепление позиций на рынке, рост стоимости бренда, рост ресурсов
и повышение эффективности их использования.
. Лояльность сотрудников - совпадение личных
ценностей и целей с ценностями и целями компании, доверие и удовлетворение от
достижений.
Руководящие принципы компании:
. Активность и совершенствование
. Открытость и честность
. Лидер - тот, кто умеет работать в команде
ЗАО СОК «Вестфалика» производит следующие виды
продукции:
Женские зимние сапоги.
Женские зимние ботинки.
Демисезонные женские сапоги.
Демисезонные женские ботинки.
Мужские зимние сапоги.
Мужские демисезонные туфли.
Летние женские туфли.
Летние мужские туфли.
Проведем анализ рынка.
В целом исследование рынка включает следующие
составляющие: характеристика основных потребителей, возможности расширения
целевых рынков, состояние конкуренции на рынке, организация взаимоотношений с
поставщиками и партнерами [20, с. 160].
Внешняя среда организации схематично представлена
на рис. 2.1.
Рисунок 2.1 - Внешняя среда организации
Анализ внешней среды ЗАО СОК «Вестфалика»
приведен в табл. 2.1.
Таблица 2.1 - Анализ внешней среды ЗАО СОК
«Вестфалика»
|
Факторы
|
Содержание
фактора
|
Влияние
на деятельность фирмы
|
|
Факторы
внешней среды прямого воздействия
|
|
1.
Потребители
|
Улучшение
уровня жизни населения
|
Изменение
покупательских предпочтений
|
|
2.
Поставщики
|
Появление
новых поставщиков
|
Сбои
в поставках продукции
|
|
Снижение
цен на сырье и готовую продукцию
|
Способствование
развитию предприятия
|
|
3.
Конкуренция
|
Появление
новых фирм на рынке
|
Усиление
конкуренции
|
|
|
Совершенствование
технологии производства
|
Увеличение
конкурентных преимуществ со стороны конкурентов
|
|
Удачное
поведение конкурентов
|
Потеря
потребителя
|
|
Изменения
моды
|
Появление
принципиально нового товара
|
|
Изменение
рекламных технологий
|
Появление
товаров-субститутов
|
|
Факторы
косвенного воздействия
|
|
4.
Государство
|
Уменьшение
императивных норм законодательства
|
Появление
новых концернов
|
|
Снижение
безработицы
|
Изменение
уровня цен
|
|
Снижение
налогов и пошлин
|
Рост
темпов инфляции
|
Для того, чтобы разработать стратегию поведения
организации, проводят swot анализ, который позволяет выявить, как изменения
внешних факторов соотносятся с сильными и слабыми сторонами организации. Для
этого строится матрица SWOT (таблица 2.2).
Таблица 2.2 - Сильные и слабые стороны
организации
|
№
|
Положительные
стороны
|
Отрицательные
стороны
|
|
1
|
Достоверный
мониторинг рынка
|
Сбои
в снабжении
|
|
2
|
Отлаженная
сбытовая сеть
|
Недостатки
в рекламной политике
|
|
3
|
Широкий
ассортимент продукции
|
Средний
уровень цен
|
|
4
|
Высокий
контроль качества
|
Низкий
уровень сервиса (дополнительные услуги)
|
|
5
|
Высокая
рентабельность
|
Не
полная загруженность производственных мощностей
|
|
6
|
Рост
оборотных средств
|
Неучастие
персонала в принятии управленческих решений
|
|
7
|
Высокая
квалификация персонала
|
Недостаточный
контроль исполнения приказов и распоряжений
|
|
8
|
Хорошая
мотивация персонала
|
|
|
9
|
Достаточная
известность
|
|
Потребители: продукция ЗАО СОК «Вестфалика»
может удовлетворить потребности как молодого покупателя (детская обувь), так и
взрослого (женская и мужская обувь). Ассортимент обновляется ежемесячно на
два-четыре фасона колодок.
Поставщики: до постройки кожевенного завода ЗАО
СОК «Вестфалика» работала с 10-15 поставщиками (причем основная часть
поставщиков кожи находилась в Ярославле) и каждый предлагал от 3 до 5 артикулов
кожи. Это многократно усложняло процесс обработки кожи. На отделочных операциях
и на сборочном потоке при формовании союзок, а так же при затяжке носочной
части, где в основном выявляется брак, отдушистость кожи, важно знать, что это
за кожа, какой артикул, из какого сырья изготовлена, какая была химия
использована. Для разных артикулов кожи приходится применять определённые
методы и приёмы труда, поскольку каждый артикул ведёт себя по-разному в
производственном процессе. Это повышает трудоёмкость изготовления обуви. В
настоящее время ЗАО СОК «Вестфалика» использует кожу собственного производства
из преимущественного местного сырья. Собственное производство кожи поможет
технологам-кожевенникам обрабатывать и производить те артикулы, с которыми бы
обувщики смогли лучше справляться, т.е. работать не на 15-20 чужих артикулах, а
на 5 своих.
Конкуренты: «Вестфалика» имеет развитую
розничную сеть, количество собственных магазинов сейчас около 100.
Основной конкурент «Вестфалики» на новосибирском
обувном рынке - старейшая новосибирская фабрика «Корс» - по поводу расширения
торговой сети соседа особого беспокойства не выражает. У «Корс» тоже есть своя
приличная торговая фирменная сеть, но в основном она вся находится в
Новосибирске. В отличие от «Вестфалики», на «Корс» считают, что вкладывать
солидные деньги в развитие собственной розничной торговли нет смысла, а лучше
всего работать по привычной схеме - на создание собственных фирменных секций в
крупных магазинах. Среди других конкурентов ЗАО СОК «Вестфалики» можно назвать
сети магазинов «Монро» и «Россита».
К внутренней среде организации относятся
функциональные структуры фирмы, обеспечивающие управление, разработку и
тестирование новых товаров, продвижение товаров до покупателей, сбыт,
обслуживание, взаимоотношения с поставщиками и иными внешними органами. В
понятие внутренней среды так же входят квалификация персонала, система передачи
информации и т.д. Представим данные в схематическом изображении.
Рисунок 2.2 - Внутренняя среда ЗАО СОК
«Вестфалика»
Итак, внутренняя среда ЗАО СОК «Вестфалика»
включает в себя пять основных элементов: кадры, организационную структуру,
технологию производства, цели и задачи, организационную культуру [23, с. 154].
2.2 План маркетинга
Маркетинговая деятельность фирмы «Вестфалика»
направлена на достижение конечного результата - реализации своей продукции -
рентабельности фирмы. Этот результат обеспечивается тем положением, которое фирма
«Вестфалика» может занять на рынке (доля в объеме продаж), и эффективностью
работы самой фирмы. Рыночная доля, в свою очередь, определяется
конкурентоспособностью ее товаров и услуг, а, следовательно, и авторитетом у
потребителей [6, с. 107].
Таблица 2.3 - Объем реализованной обуви и
емкость рынка по видам товаров ЗАО СОК «Вестфалика»
|
Вид
товара
|
2010
год
|
2011
год
|
|
Емкость
рынка
|
Объем
реализации
|
Емкость
рынка
|
Объем
реализации
|
|
Женские
зимние сапоги
|
18000
|
15364,13
|
29000
|
27324
|
|
Женские
зимние ботинки
|
9000
|
8047,875
|
12002
|
11880
|
|
Демисезонные
женские сапоги
|
9000
|
10242,75
|
13000
|
14256
|
|
Демисезонные
женские ботинки
|
10000
|
10974,38
|
20020
|
19008
|
|
Мужские
зимние сапоги
|
12002
|
10242,75
|
16000
|
15444
|
|
Мужские
демисезонные туфли
|
8000
|
7316,25
|
11000
|
11880
|
|
Летние
женские туфли
|
9000
|
8779,5
|
10500
|
11880
|
|
Летние
мужские туфли
|
3000
|
2194,875
|
9000
|
7128
|
|
Всего
|
78000
|
73162,5
|
120500
|
118800
|
Таким образом, можно сказать, что маркетинговая
стратегия - инструмент изменения и развития организации. Для того чтобы он
оказался полезным, необходимо его вдумчивое освоение каждым менеджером. В
отношении компании ЗАО СОК «Вестфалика» можно сказать, что компания обладает
достаточно высоким уровнем стратегического мышления и развития.
Проведем анализ продуктового портфеля
предприятия на основе краткосрочной динамики.
Таблица 2.4 - Таблица показателей продуктового
портфеля ЗАО СОК «Вестфалика»
|
Вид
товара
|
Объем
реализации (2010 год)
|
Темп
роста к предыд. году, %
|
Относительная
доля в сбыте
|
|
Женские
зимние сапоги
|
15364,13
|
23
|
1,88
|
|
Женские
зимние ботинки
|
8047,875
|
6
|
1,53
|
|
Демисезонные
женские сапоги
|
10242,75
|
8
|
0,13
|
|
Демисезонные
женские ботинки
|
10974,38
|
45
|
0,06
|
|
Мужские
зимние сапоги
|
10242,75
|
27
|
0,08
|
|
Мужские
демисезонные туфли
|
7316,25
|
-2
|
0,03
|
|
Летние
женские туфли
|
8779,5
|
13
|
0,10
|
|
Летние
мужские туфли
|
2194,875
|
7
|
0,07
|
|
Всего
|
73162,5
|
|
|
По данной таблице можно сделать вывод, что новые
бизнес-области, занимающие относительно большую долю бурно растущего рынка
является женская зимняя обувь. Бизнес-области, которые в прошлом получили
относительно большую долю рынка, является женская демисезонная обувь.
Бизнес-области конкурируют в растущих отраслях, но занимают относительно
небольшую долю рынка - мужская демисезонная и детская демисезонная обувь.
Бизнес-области с относительно небольшой долей на рынке в медленно развивающихся
отраслях является мужская демисезонная и детская демисезонная обувь [18, с.
61].
2.3 План производства
К общим принципам рациональной организации
производственного процесса ЗАО СОК «Вестфалика» относятся:
принцип специализации, означающий разделение
труда между отдельными подразделениями предприятия и рабочими местами и их
кооперирование в процессе производства;
принцип параллельности, предусматривающий
одновременность осуществления отдельных частей производственного процесса,
связанного с изготовлением продукции;
принцип пропорциональности, предполагающий
относительно равную производительность в единицу времени взаимосвязанных
подразделений предприятия;
принцип прямоточности, обеспечивающий кратчайший
путь движения предметов труда от запуска сырья до получения готовой продукции;
принцип непрерывности, предусматривающий
максимальное сокращение перерывов между операциями;
принцип ритмичности, означающий, что весь
производственный процесс и составляющие его частичные процессы по изготовлению
заданного количества продукции должны строго повторяться в равные промежутки
времени;
принцип теоретической оснащенности,
ориентированный на механизацию производственного процесса, устранение ручного,
монотонного труда, тяжелого, вредного для здоровья человека труда [12, с. 96].
В ЗАО СОК «Вестфалика» применяется полный
производственный цикл - от выделки кожи на кожевенном заводе до выпуска готовой
обуви.
Составим производственную программу предприятия
на период 2010 - 2011 гг. в таблице 2.5.
Таблица 2.5 - Производственная программа
предприятия, млн. руб.
|
Показатели
|
2010
г
|
2011
г
|
|
Коэффициент
роста объемов выпуска продукции
|
1
кв
|
2
кв
|
3
кв
|
4
кв
|
Коэффициент
роста объемов выпуска продукции
|
1
кв
|
2
кв
|
3
кв
|
4
кв
|
|
Объем
выпуска, тыс. шт
|
1,4
|
912
|
988
|
1064
|
1,6
|
1117,2
|
1170,4
|
1223,6
|
1276,8
|
|
Объем
реализации, млн. руб.
|
1,2
|
367,8
|
385,35
|
402,82
|
420,36
|
1,4
|
460,29
|
500,22
|
540,15
|
580,1
|
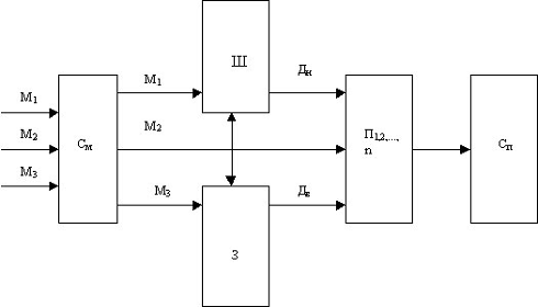
Рассматривая технологию производства, можно
представить схему производственного процесса (рис. 2.3). Процесс начинается на
складах, где материалы группируют по видам, сортам, толщине, площади и другим
признакам. Там же выборочно проверяют соответствие их свойств требованиям
государственных стандартов. При наличии полного комплекта всех материалов
подобранные их партии передают в подготовительные цеха: раскройный и
вырубочный. Здесь же, обычно после разруба детали предварительно обрабатывают.
Далее в сборочных цехах изготовляют заготовку верха, формуют ее, скрепляют с
деталями низа и отделывают обувь. При изготовлении обуви специфичных
конструкций (например, цельнолитой) схема производства изменится: ликвидируются
операции по подготовке таких деталей низа, как подошвы. Это означает, что схема
процесса динамична и при совершенствовании техники и технологии возможны ее
принципиальные изменения [17, с. 115].
Рисунок 2.3 -Укрупненная схема процесса
производства обуви: М1 - материалы для низа обуви; М2 - вспомогательные
материалы (клей, нитки и др.); М3 - материалы для верха обуви; См - склады
материалов; Ш - вырубочный цех; З - раскройный цех; П - сборочные цехи №1,
2,…,n; Сп - склады готовой продукции; Дн и Дв - узлы (детали) низа и верха
обуви
Рассмотрим управленческий состав ЗАО СОК
«Вестфалика».
Применяемая в настоящее время организационная
структура управления ЗАО СОК «Вестфалика» представлена в Приложение (рисунок
2.5).
На ЗАО «Вестфалика» применяется бюрократическая
организационная структура, которая характеризуется высокой степенью разделения
труда, развитой иерархией управления, цепью команд, наличием многочисленных
правил, стандартов и норм поведения персонала, подбор кадров по их деловым и
профессиональным качествам, профессиональным ростом, базирующемся на
компетенции.
Организационная структура управления ЗАО
«Вестфалика» является функциональной структурой управления. Между элементами
структуры управления возникают вертикальные функциональные связи.
Функциональная структура применяется компаниями, которые строят свои
конкурентные преимущества на технологическом превосходстве в большей степени,
чем на возможности раньше других удовлетворять потребности рынков. Она
эффективна до тех пор, пока высшее руководство в состоянии осуществлять
межфункциональную координацию и контроль над выполнением ключевых видов
деятельности организации.
Аппарат функционального управления - охватывает
функциональные подразделения ЗАО СОК «Вестфалика: отдел главного технолога,
отдел главного инженера, экономические службы, бюро. Он способствует
осуществлению управления линейным аппаратом путем переработки разнообразной информации
и подготовки необходимых решений в рамках его компетенции. В вертикальном
направлении аппарат управления делится на уровни. Можно выделить три уровня в
аппарате управления: управление предприятием, управление цехом, управление
участком [4, с. 135].
В горизонтальном направлении аппарат управления
подразделяется на звенья. В аппарате управления ЗАО СОК «Вестфалика» можно
выделить 13 звеньев: цеха по производству кожи и изделий из кожи, ревизионный
отдел, отдел производства вспомогательных материалов, финансовый и
инвестиционный отдел, юридический отдел, отдел маркетинга, отдел закупок,
научно-исследовательский отдел, технологический отдел, отдел продаж,
консультационный и транспортный отделы.
На Генерального директора ЗАО СОК «Вестфалика»
возлагаются следующие функции: общее руководство производственно-хозяйственной
и финансово-экономической деятельностью предприятия; организация взаимодействия
всех структурных подразделений, цехов и производственных единиц; обеспечение
выполнения всех принимаемых предприятием обязательств, включая обязательства
перед бюджетами разных уровней и внебюджетными фондами; создание условий для
внедрения новейшей техники и технологии, прогрессивных форм управления и
организации труда; принятие мер по обеспечению здоровых и безопасных условий
труда на предприятии; контроль за соблюдением законности в деятельности всех
служб; защита имущественных интересов предприятия в суде, арбитраже, органах
государственной власти.
Генеральный директор назначает коммерческого
директора, финансового директора, начальника производства, главного экономиста
и главного инженера.
Коммерческий директор относится к категории
руководителей, принимается и увольняется на работу приказом директора
предприятия. На должность коммерческого директора назначается лицо, имеющее
высшее экономическое или инженерно-экономическое образование и стаж
экономической работы на руководящих должностях не менее 5 лет. Коммерческий
директор подчиняется директору предприятия [11, с. 144].
На коммерческого директора возлагаются следующие
функции: руководство хозяйственно-финансовой деятельностью предприятия
(объединения, компании) в области планирования и управления его
производственно-экономической политикой; участие в разработке планов и программ
НИОКР и производства, подготовке планов экспортной деятельности на различных
рынках; изучение тенденций рынка и прогнозирование объема продаж в зависимости
от внешней среды; координация и проведение маркетинговых действий, вытекающих
из решений руководства предприятия и других руководителей линейных служб;
организация работы складского хозяйства, создание условий для надлежащего
хранения и сохранности материальных ресурсов и готовой продукции; организация
работы по рекламе продукции, оказании дополнительных услуг, торговых скидок, торговли
в кредит и т.д.; координация работы подчиненных ему подразделений.
Финансовая служба предприятия во главе с
финансовым директором включает финансовый отдел и бухгалтерию. Специалист
финансового отдела осуществляет финансовое планирование, разрабатывает и
обеспечивает процессы анализа финансового положения предприятия, оценки
потенциала важнейших проектов по инвестированию; выполняет другие функции в
рамках своей компетенции. Главный экономист ЗАО СОК «Вестфалика» управляет
планово-экономическим отделом [3, с. 29]. Начальнику по производству
подчиняются главные технологи предприятия. Структура персонала ЗАО СОК
«Вестфалика» представлена производственным и управленческим персоналом.
Среднесписочное количество работающих на предприятии в 2009 году составляло
2750 человек.
Таблица 2.6 - Заработная плата сотрудников
управления ЗАО СОК «Вестфалика» в 2009 году
|
Профессия
(должность)
|
Оклад
(тарифная ставка), руб.
|
Надбавка,
руб.
|
Месячный
ФОТ, руб.
|
|
|
Расширение
работ 20%
|
Ненормированный
Рабочий день, 30%
|
Поясной
коэффициент 25%
|
|
|
Генеральный
директор
|
42
000
|
|
12
600
|
10
500
|
65
100
|
|
Начальник
производства
|
13
900
|
2
780
|
4
170
|
3
475
|
24
325
|
|
Главный
технолог кожевенного производства
|
11
900
|
2
380
|
|
2
975
|
17
255
|
|
Главный
технолог обувного производства
|
12
800
|
2
560
|
|
3
200
|
18
560
|
|
Главный
технолог мехового производства
|
11
700
|
2
340
|
|
2
925
|
16
965
|
|
Финансовый
директор
|
25
000
|
5
000
|
|
6
250
|
36
250
|
|
Бухгалтерия
|
6
500
|
1
300
|
|
1
625
|
9
425
|
|
Финансовый
отдел
|
6
300
|
1
260
|
|
1
575
|
9
135
|
|
Главный
экономист
|
8
500
|
1
700
|
|
2
125
|
12
325
|
|
Планово-экономический
отдел
|
7
900
|
1
580
|
|
1
975
|
11
455
|
|
Главный
инженер
|
14
000
|
2
800
|
|
3
500
|
20
300
|
|
Инженерный
отдел
|
10500
|
2
100
|
|
2
625
|
15
225
|
|
Коммерческий
отдел
|
10800
|
2
160
|
|
2
700
|
15
660
|
|
Отдел
сбыта
|
9
400
|
1
880
|
|
2
350
|
13
630
|
|
Итого
|
191
200
|
29
840
|
16
770
|
47
800
|
286
910
|
Как видно из табл. 2.6, месячный фонд оплаты
труда составил 286 910 руб.
2.4 Финансовый план
ЗАО СОК «Вестфалика» планируется взять кредит в
банке в сумме 5000000 тыс. руб. под 21% годовых сроком на два года. Данное
мероприятие позволит увеличить средства фирмы и приобрести новое оборудование.
Рентабельность производства отчетного периода рассчитывается как отношение
балансовой прибыли предприятия к выручке от реализации:
Рентабельность производства равна:
/350,3 * 100 % = 35,4%
Рентабельность основной деятельности
рассчитывается как отношение прибыли от реализации к сумме себестоимости
проданных товаров, продукции, работ, услуг.
Рентабельность основной деятельности равна:
/149,3 * 100% = 134,6%.
Производительность труда рассчитывается как отношение
выручки от реализации к среднесписочной численности работников предприятия.
Производительность труда равна:
,3 / 2750 * 100 % = 12,7%.
Объем чистой прибыли предприятия составил 78
млн. руб. Объем чистой прибыли характеризует способность предприятия
реализовывать конечную цель своей коммерческой деятельности - приносить доход.
Эффективность деятельности предприятия во многом определяется способностью
увеличивать доходы и минимизировать затраты, что во многом обусловливает рост
чистой прибыли.
В деятельности ЗАО СОК «Вестфалика» можно
выделить следующие риски:
Сбои в снабжении.
Недостатки в рекламной политике.
Средний уровень цен.
Низкий уровень сервиса (дополнительные услуги).
Не полная загруженность производственных
мощностей.
Неучастие персонала в принятии управленческих
решений.
Недостаточный контроль исполнения приказов и
распоряжений.
План доходов и расходов (табл. 2.7 и табл. 2.8)
позволяет определить, как будет формироваться и изменяться прибыль предприятия.
В основе его составления лежит прогноз объемов реализации продукции [12, с.
116].
Таблица 2.7 - План доходов и расходов ЗАО СОК
«Вестфалика» на 2010 г, млн. руб.
|
№
|
Наименование
статей
|
Всего
|
1
кв.
|
2
кв.
|
3кв.
|
4кв.
|
|
1
|
Доходы
|
|
|
|
|
|
|
1.1.
|
Доходы
от реализации
|
1064
|
266
|
266
|
266
|
266
|
|
1.2.
|
Внереализационные
доходы
|
15,8
|
3,95
|
3,95
|
3,95
|
3,95
|
|
Итого
|
1079,8
|
269,95
|
269,95
|
269,95
|
269,95
|
|
2
|
Расходы
|
|
|
|
|
|
|
2.1.
|
Затраты
денежного довольствия
|
0,0131
|
0,0033
|
0,0033
|
0,0033
|
0,0033
|
|
2.2.
|
Материальные
затраты
|
71,95
|
17,98
|
17,98
|
17,98
|
17,98
|
|
2.3.
|
Амортизация
основных фондов
|
14,39
|
3,59
|
3,59
|
3,59
|
3,59
|
|
2.4.
|
Прочие
расходы
|
28,78
|
7,19
|
7,19
|
7,19
|
7,19
|
|
2.5.
|
Обязательное
и добровольное страхование
|
0,0047
|
0,0011
|
0,0011
|
0,0011
|
0,0011
|
|
3
|
Прибыль
|
|
|
|
|
|
|
3.1.
|
Прибыль
(налоговая)
|
948,86
|
237,21
|
237,21
|
237,21
|
237,21
|
|
3.2.
|
Отчисления
в бюджет
|
227,71
|
56,92
|
56,92
|
56,92
|
56,92
|
|
3.3.
|
Прибыль
к распределению
|
736,89
|
184,22
|
184,22
|
184,22
|
184,22
|
Таким образом, при достижении планируемого
увеличения выпуска продукции в 2010 г. в 1,4 раза, предприятие сможет получить
чистую прибыль в размере 736,89 млн. руб.
Таблица 2.8 - План доходов и расходов ЗАО СОК
«Вестфалика» на 2011 г, млн. руб.
|
№
|
Наименование
статей
|
Всего
|
1
кв.
|
2
кв.
|
3кв.
|
4кв.
|
|
1
|
Доходы
|
|
|
|
|
|
|
1.1.
|
Доходы
от реализации
|
1117,2
|
279,3
|
279,3
|
279,3
|
279,3
|
|
1.2.
|
Внереализационные
доходы
|
15,8
|
3,95
|
3,95
|
3,95
|
3,95
|
|
Итого
|
1133
|
283,25
|
283,25
|
283,25
|
283,25
|
|
2
|
Расходы
|
|
|
|
|
|
|
2.1.
|
Затраты
денежного довольствия
|
0,0015
|
0,0039
|
0,0039
|
0,0039
|
0,0039
|
|
2.2.
|
Материальные
затраты
|
86,34
|
21,58
|
21,58
|
21,58
|
21,58
|
|
2.3.
|
Амортизация
основных фондов
|
17,27
|
4,31
|
4,31
|
4,31
|
4,31
|
|
2.4.
|
Прочие
расходы
|
34,54
|
8,63
|
8,63
|
8,63
|
8,63
|
|
2.5.
|
Обязательное
и добровольное страхование
|
0,0054
|
0,0013
|
0,0013
|
0,0013
|
0,0013
|
|
3
|
Прибыль
|
|
|
|
|
|
|
3.1.
|
Прибыль
(налоговая)
|
994,84
|
248,7
|
248,7
|
248,7
|
248,7
|
|
3.2.
|
Отчисления
в бюджет
|
238,76
|
59,69
|
59,69
|
59,69
|
59,69
|
|
3.3.
|
Прибыль
к распределению
|
756,08
|
189,02
|
189,02
|
189,02
|
189,02
|
Таким образом, при достижении планируемого
увеличения выпуска продукции в 2011 г. в 1,6 раза по сравнению с 2010 годов,
предприятие сможет получить чистую прибыль в размере 756,08 млн. руб.
Построим график безубыточности предприятия.
Постоянные издержки (Ипост) = 21537т.р/год;
Переменные издержки (Ипер) = 50253 т.р/год;
Валовой доход (ВД): 1064000 т.р/год;
Точка безубыточности (ТБ) =
т.р/год;
Запас финансовой прочности (ЗФП%) =
Сила воздействия операционного
рычага (СВОР) = 
%
График безубыточности представлен на рис. 2.6.
Рисунок 2.6 - График безубыточности предприятия
планирование маркетинг план магазин
Таким образом, при объеме производства и продаж
равном 22599,16 тыс. руб., у предприятия нет ни прибыли, ни убытков. При объеме
производства меньше 22599,16 тыс. руб., предприятие своей выручкой не может
покрыть затраты и, следовательно, результатом его деятельности являются убытки.
Если объем производства и продаж превышает 22599,16 тыс. руб., предприятие
получает прибыль.
Таким образом, на основе вышеизложенного материла
можно сделать следующие выводы. Закрытое акционерное общество Сибирская Обувная
Компания «Вестфалика» - федеральная сеть обувных магазинов, основанная в 2003
году, головной офис находится в Новосибирске. На сегодняшний день в городах
Сибири, Урала и Центральной части России работают 100 магазинов компании под
брендами «Вестфалика» и «Пешеход». Цель деятельности компании «Вестфалика»
определена как наиболее полное удовлетворение потребностей покупателей в
качественной обуви из натуральных материалов. Компания стремится
соответствовать высоким мировым стандартам и нацелена на поиск новых
технологических решений.
Маркетинговая деятельность фирмы «Вестфалика»
направлена на достижение конечного результата - реализации своей продукции -
рентабельности фирмы. Этот результат обеспечивается тем положением, которое
фирма «Вестфалика» может занять на рынке (доля в объеме продаж), и
эффективностью работы самой фирмы. Рыночная доля, в свою очередь, определяется
конкурентоспособностью ее товаров и услуг, а, следовательно, и авторитетом у
потребителей. ЗАО СОК «Вестфалика» планируется взять кредит в банке в сумме
5000000 тыс. руб. под 21% годовых сроком на два года. Данное мероприятие
позволит увеличить средства фирмы и приобрести новое оборудование. При
достижении планируемого увеличения выпуска продукции в 2010 г. в 1,4 раза,
предприятие сможет получить чистую прибыль в размере 736,89 млн. руб., а при
достижении планируемого увеличения выпуска продукции в 2011 г. в 1,6 раза по
сравнению с 2010 годов, предприятие сможет получить чистую прибыль в размере
756,08 млн. руб. При объеме производства и продаж равном 22599,16 тыс. руб., у
предприятия нет ни прибыли, ни убытков. При объеме производства меньше 22599,16
тыс. руб., предприятие своей выручкой не может покрыть затраты и,
следовательно, результатом его деятельности являются убытки. Если объем
производства и продаж превышает 22599,16 тыс. руб., предприятие получает
прибыль.
Заключение
Таким образом, планирование на предприятии
заключается в установлении целей его деятельности на определенный период, путей
его реализации и ресурсного обеспечения. Оно предусматривает разработку
комплекса мероприятий, определяющих последовательность достижения конкретных
целей с учетом их возможностей наиболее эффективного использования ресурсов
каждым производственным подразделением и предприятием в целом.
В работе составлен бизнес-план ЗАО СОК
«Вестфалика».
Основным видом деятельности предприятия в
настоящее время является производство и реализация кожи и изделий из кожи.
ЗАО «Сибирская обувная компания «Вестфалика»
объединяет 3 фабрики по производству обуви, овчинно-меховой завод, фабрику
меховых изделий, фабрику деталей низа, колодочное производство, кожевенный
завод, цех по засолке сырья в Австралии, а также сеть магазинов и филиалов по
всей России.
Анализ SWOT показал, что одной из сильных сторон
организации в настоящий момент является независимость от поставщиков сырья в
связи с открытием собственного кожевенного производства.
На ЗАО «Вестфалика» применяется бюрократическая
организационная структура. Организационная структура управления ЗАО
«Вестфалика» является функциональной структурой управления. Между элементами
структуры управления возникают вертикальные функциональные связи.
Функциональная структура применяется компаниями, которые строят свои
конкурентные преимущества на технологическом превосходстве в большей степени,
чем на возможности раньше других удовлетворять потребности рынков. Аппарат
функционального управления - охватывает функциональные подразделения ЗАО СОК
«Вестфалика: отдел главного технолога, отдел главного инженера, экономические
службы, бюро. Он способствует осуществлению управления линейным аппаратом путем
переработки разнообразной информации и подготовки необходимых решений в рамках
его компетенции. Можно выделить три уровня в аппарате управления: управление
предприятием, управление цехом, управление участком.
Объемы производства продукции на предприятии за
последние годы выросли в несколько раз, в дальнейшем также планируется
увеличение объемов производства. Рентабельность производства в ЗАО «Вестфалика»
составляет 35,4 %.
Анализ финансового состояния ЗАО СОК
«Вестфалика» показал, что предприятие может обеспечить выполнение своих
краткосрочных и среднесрочных обязательств. Финансовое положение предприятия
является устойчивым.
Библиографический список
1. Барсуко
А.В. Финансы предприятия. - Новосибирск, 2008. - 113 с.
2. Бородина
Е.И. Финансы предприятий. - М.: Банки и биржи, 2008. - 208 с.
. Герчикова
И.Н. Финансовый менеджмент. - М.: Изд-во АО «Консалтбанкир», 2007. - 208 с.
. Ефимова
О.В. Финансовый анализ. - М.: Бухгалтерский учет, 2009. - 208 с.
. Ковалев
В.В. Анализ финансового состояния предприятия. - М.: Центр экономики и
маркетинга, 2007. - 192 с.
. Ковалев
В.В. Финансовый анализ. - М.: Финансы и статистика, 2007. - 512 с.
. Крейнина
М.Н. Финансовый менеджмент. - М.: Дело и сервис, 2007. - 304 с.
. Мальцев
В.А. Финансовый менеджмент: введение в управление капиталом. - Новосибирск, 2008.
- 136 с.
. Никольская
Э.В. Финансовый анализ. - М.: МГАП Мир книги, 2007. - 316 с.
. Олейник
И.С. Финансовый менеджмент. - Обнинск, 2008. - 187 с.
. Павлов
Л.Н. Финансовый менеджмент. Управление денежным оборотом предприятия. - М.:
Финансы и статистика, 2008. - 103 с.
. Репин
В.В. Технологии управления финансами предприятия. - М.: «Издательский дом
«АТКАРА», 2008. - 367 с.
. Русак
Н.А. Финансовый анализ субъектов хозяйствования. - Минск: Высшая школа, 2007. -
260 с.
. Савицкая
Г.В. Анализ хозяйственной деятельности предприятия. - Минск: ООО «Новое
знание», 2007. - 688с.
. Сайфулин
Р.С. Методика финансового анализа. - М.: ИНФРА-М, 2007. - 241 с.
. Стоянова
Е.С. Финансовый менеджмент: российская практика. - М.: Финансы и статистика,
2007. - 118 с.
18. Стоянова
Е.С. Финансовый менеджмент для практиков. - М.: Перспектива, 2008. - 268 с.
19. Черкасов
В.Е. Финансовый менеджмент. - Тверь, 2007. - 263 с.
Приложения
Дерево целей ЗАО СОК «Вестфалика»
Организационная структура управления
ЗАО СОК «Вестфалика»