Распространение плоских высокочастотных волн в магнитоактивной плазме
Содержание
Задание
Введение
Основная
часть
.Нахождение
показателя преломления магнитоактивной плазмы
.
Рассмотрение «обыкновенной» и «необыкновенной» волн, исследование свойств
нормальных волн
.
Частные случаи распространения электромагнитных волн в магнитоактивной плазме
Заключение
Список
использованной литературы
Задание
1) дать определение магнитоактивных сред;
) найти показатель преломления магнитоактивной
плазмы;
) рассмотреть «обыкновенную» и «необыкновенную»
волны, исследовать свойства нормальных волн;
) рассмотреть частные случаи распространения
электромагнитных волн в магнитоактивной плазме.
волна магнитоактивная плазма
Введение
С фундаментальной точки зрения, магнитное поле
может создаваться переменным электрическим полем, электрическими токами в виде
потоков заряженных частиц или магнитными моментами частиц.Конкретные
микроскопическая структура и свойства различных веществ приводят к тому, что на
макроскопическом уровне они могут вести себя достаточно разнообразно под
действием внешнего магнитного поля.
Мы рассмотрим особенности распространения
плоских волн в магнитоактивной плазме. Определим показатель преломления в этой
плазме. Узнаем, почему при фиксированной частоте в плазме могут
распространяться две волны - «обыкновенная» и «необыкновенная», и исследуем их
свойства.
В заключение нашей работы мы рассмотрим три
частных случая распространения электромагнитных волн в магнитоактивной плазме,
и увидим, как зависит показатель преломления от функции u при различных углах
.
Основная часть
Магнитоактивные среды - это среды, свойства
которых меняются при воздействии на них магнитного поля.
Пример: феррит, плазма.
Магнитная проницаемость таких сред представляет
собой тензор, и среда становится анизотропной.
1. Нахождение показателя преломления
магнитоактивной плазмы
Рассмотрим особенности распространения плоских
волн в магнитоактивной плазме. Будем считать, что постоянное магнитное поле,
создающее анизотропию среды, направлено по оси z; вектор
лежит
в плоскости y, z и составляет угол
с
осью z. При этом
Чтобы определить показатель преломления
магнитоактивной плазмы, воспользуемся системой уравнений для компонент вектора
,
следующей из уравнений Максвелла
Принимая во внимание конкретный вид тензора
,
определяемого
,
и
,
,
,
перепишем эту систему в явной форме:
,
,
,
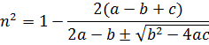
Из условия равенства нулю определителя системы
получается квадратное уравнение
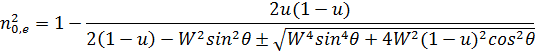
для квадрата
показателя преломления. Мы для краткости используем обозначения
Решение этого уравнения удобно записать в форме
Подставляя сюда выражения для
через
безразмерныевеличины
, получим
Поскольку uи W есть функции частоты,это
уравнение определяет дисперсию в магнитоактивной плазме. Каждому значению
частоты соответствуют два значения показателя преломления. Таким образом, при
фиксированной частоте в плазме могут распространяться две волны -
«обыкновенная» и «необыкновенная», фазовые скорости которых определяются
величинами
и
.
Показатели преломления обеих волн являются функциями угла
.
2. Рассмотрение «обыкновенной» и
«необыкновенной» волн, исследование свойств нормальных волн
Перейдем теперь к выяснению характера
поляризации нормальных волн в магнитоактивной плазме. Для этого необходимо
найти множитель поляризации, т. е. отношение компонент вектора
в
плоскости фронта волны.
Выберем систему координат, ось z которой
совпадает с вектором
, а вектор
постоянного магнитного поля
лежит в плоскости
y, z и составляет угол
с осью z (Рис.
1.).
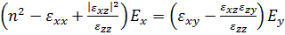
Из системы уравнений для компонент вектора
с
учетом того что
, имеем


Здесь
-
уже известная величина, полученная из условия равенства нулю определителя этой
системы. Поэтому независимыми являются лишь два уравнения. Исключая, например,
из
первого и третьего уравнений, получим связь между компонентами
:
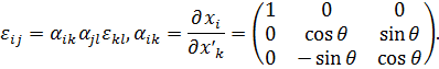
Явный вид тензора диэлектрической проницаемости
определен нами в другой системе координат
(обозначим ее оси какx', у', z'); ось z' этой системы направлена вдоль
магнитного поля
. Нам нужно найти
компоненты тензора в системе х, y, z, получающейся поворотом на угол
вокруг
оси х (в плоскости у, z).
Старые и новые координаты связаны соотношениями
Компоненты тензора преобразуются по формулам
Перемножая матрицы, найдем





Подставляя в формулу
найденные
значения компонент тензора и решение
,
получим для множителя поляризации следующее
выражение:
Из этого выражения следует, что поляризация
обыкновенной и необыкновенной волн - эллиптическая. Направления вращения
векторов
в
плоскости фронта в обыкновенной и необыкновенной волнах противоположны.
Произведение множителей поляризации равно
единице:
Это означает, что оси эллипсов взаимно перпендикулярны.
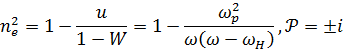
Отметим, что в выражения для показателя
преломления и множителя поляризации частота входит в неявном виде, через
величины u и W, т. е. показатель преломления и множитель поляризации зависят от
отношения плазменной частоты к частоте волны
и
гиромагнитной частоты к частоте волны
.
Если
,
то влияние магнитного поля должно быть слабым. Действительно, в этом случае
.
Однако учет малых членов
в
выражении для показателей преломления обыкновенной и необыкновенной волн
оказывается существенным, когда электромагнитная волна в замагниченной плазме
проходит достаточно большой путь. Именно учет этих малых членов позволяет
описать, например, поворот плоскости поляризации волны (эффект Фарадея),
наблюдаемый в магнитоактивной плазме.
Пусть передатчик излучает линейно-поляризованную
волну с вектором
, параллельным оси
х. Предположим, что частота волны много больше плазменной частоты (
);
при этом
-
обыкновенная и необыкновенная волны свободно распространяются. На расстоянии l
от излучателя поле можно представить как сумму полей двух волн с круговой
поляризацией:




получим

Отсюда следует,
что множитель поляризации
,
действителен, т. е. поляризация по-прежнему
линейная, но ее плоскость повернута относительно оси х на угол
.
Величина этого угла зависит от длины пройденного
волной пути, частоты волны и параметров плазмы.
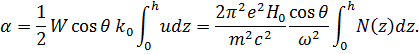
В земной ионосфере электронная концентрация
является функцией высоты, N = N (z). При удалении от поверхности она
увеличивается до некоторого максимального значения, а затем убывает. Используя
эффект Фарадея, можно по измерениям углов поворота плоскости поляризации судить
об интегральной электронной концентрации. Пусть, например, передатчик,
создающий линейно-поляризованную волну, находится на высоте h. Излучаемый
сигнал регистрируется приемником, расположенным на поверхности Земли. В этом
случае плоскость поляризации будет повернута на угол
В соответствии с формулой пo измерению
можно
определить полное число электронов в столбе воздуха высотой h и площадью
поперечного сечения
. Однако угол
может
быть большим 2
. Чтобы устранить
неоднозначность, нужно излучать одновременно две волны одинаковой поляризации,
имеющие достаточно близкие частоты
и
.
Тогда
.
Частоты
следует
выбирать таким образом, чтобы выполнялось условие
.
Перейдем к рассмотрению общей задачи, когда
условие
не
выполнено и влияние магнитного поля нельзя считать слабым.
При
показатель
преломления и множитель поляризации сильно изменяются в зависимости от
направления распространения и анизотропия весьма существенна. Рассмотрим
различные частные случаи.
3. Частные случаи распространения
электромагнитных волн в
магнитоактивной
плазме
1). Пусть волна распространяется вдоль
магнитного поля (
продольное
распространение). Из общих формул (5.2) и (5.4) при
0
получаем

Поляризация обыкновенной и необыкновенной волн -
круговая. Обе волны - поперечные, т. е.
.
Направление вращения вектора
в плоскости фронта
волны для необыкновенной волны такое же, как направление вращения электрона в
магнитном поле. Это, как уже отмечалось, приводит к резонансному поглощению
необыкновенной волны на частотах
На
Рис.2 изображена зависимость
от
u при
=
0.
Показатель преломления необыкновенной волны
обращается
в нульпри условии u=1 - W, обыкновенной волны
-
при условииu=1+W. Oбращение в нуль показателя преломления соответствует условию
отражения волны от неоднородной среды. Если частота волны
то
обе волны могут отразиться от плазмы. Когда
,
необыкновенная волна отразиться не может, поскольку для значения W> 1
условие
соответствует
отрицательным значениям u или отрицательным значениям электронной концентрации,
что физически бессмысленно.
). Рассмотрим случаи поперечного
распространения. Пусть вектор
направлен по оси у
и перпендикулярен магнитному полю
,
ориентированному вдоль оси z. Полагая в формуле (5.2)
=
1,
0,
получим
.
Система уравнений (5.1) для компонент вектора
при
=
0 будет иметь вид


.
Для обыкновенной волны нетрудно показать, что
определитель системы, образованной двумя первыми уравнениями, отличен от нуля,
т. е. Еx = Еy = 0. Вектор
будет направлен
вдоль
(оси
z); этим объясняется совпадение
со значением
показателя преломления для изотропной плазмы. Для волны необыкновенной эти
уравнения примут вид

Поскольку определитель этой системы равен нулю,
компоненты Еx, Еy отличны от нуля; они связаны соотношением
.
Это означает, что необыкновенная волна
эллиптически-поляризована в плоскости х, y.
На Рис. 3 изображена зависимость
от
u при
.В
этом случае показатель преломления необыкновенной волны при W < 1 обращается
в нуль при
обыкновенной - при
u = 1.
). При
обыкновенная
и необыкновенная волны имеют эллиптическую поляризацию. Показатели преломления
обращаются в нуль при тех же значениях и, что и в случае поперечного
распространения (т. е.
= 0 при u = 1;
=
0 при u = 1 + W).
Графики, представляющие
как
функцию от u, удобны для выяснения зависимости условий распространения волн от
электронной концентрации, поскольку
В
неоднородной ионосфере, в которой N=N(z), фазовые скорости и параметры эллипсов
поляризации непрерывно изменяются по мере распространения. Если частота
,
то необыкновенная волна отражается от уровня электронной концентрации,
соответствующего значению
. Обыкновенная волна
распространяется выше и отражается при условии
.
При малых углах
от уровня u=1
происходит не полное, а частичное отражениеобыкновенной волны. Часть энергии
при этом распространяется выше и отражается от уровня
.
При
=
0 обыкновенная волна полностью отражается при условии
.
Заключение
Поскольку плазма представляет собой ионизированный
газ, состоящий из заряженных частиц, наличие магнитного поля оказывает
значительное влияние на все процессы, происходящие в плазме.
Чтобы определить показатель преломления
магнитоактивной плазмы, мы воспользовались системой уравнений для компонент
вектора
,
следующей из уравнений Максвелла. После преобразований, мы выяснили, что
каждому значению частоты соответствуют два значения показателя преломления.
Таким образом, при фиксированной частоте в плазме могут распространяться две
волны - обыкновенная и необыкновенная.
Если ω≫ωH,W≪1,
то влияние магнитного поля должно быть слабым.
В заключение работы мы рассмотрели частные
случаи, когда условие ω≫ωH
не выполнено и влияние магнитного поля нельзя считать слабым.
При продольном распространении показатель
преломления необыкновенной волны ne обращается в нуль при условии u=1 - W,
обыкновенной волны n0 - при условии u=1+W. Обращение в нуль показателя
преломления соответствует условию отражения волны от неоднородной среды.
При поперечном распространении показатель
преломления необыкновенной волны при W < 1 обращается в нуль при u=1±W
обыкновенной - при u = 1.
При
обыкновенная
и необыкновенная волны имеют эллиптическую поляризацию. Показатели преломления
обращаются в нуль при тех же значениях и, что и в случае поперечного
распространения (т. е.
= 0 при u = 1;
=
0 при u = 1 + W).
Графики, представляющие
как
функцию от u, удобны для выяснения зависимости условий распространения волн от
электронной концентрации, поскольку
Список литературы
Виноградова
М. Б., Руденко О. В., Сухоруков А. П. Теория волн. 1979.
В.Л.
Гинзбург. Распространение электромагнитных волн в плазме. 1960.