Моделирование механизмов социального влияния на основе мультиагентного подхода
Оглавление
Введение
1. Примеры существующих формализаций
1.1 Моделирование социального влияния
1.2 Реализация с помощью клеточных автоматов
1.3 Представление социального расстояния
1.4 О кампании по искоренению полиомиелита в Индии
1.5 Некоторые результаты
2. Формализация психологических операций
2.1 Концептуализация
2.2 Работа со слухами
2.3 Метод анализа пропаганды SCAME
2.4 Контрпропаганда
3. Программная реализация
Заключение
Литература
Введение
Информационные операции - "несмертоносные" военные
действия, включающие в себя широкий спектр действий и дисциплин таких, как
психологическая война, пропаганда, военная дезинформация, информационная война,
операции по обеспечению безопасности, контрразведка, контрпропаганда и
общественная деятельность. Объединенные и одновременные результаты различных
компонент информационной кампании, работающих совместно с традиционными
военными операциями, помогают сформировать современное поле военных действий в
поддержку национальных и военных целей.
С наступлением информационной эры, развитием телекоммуникаций
и интернета, информационные кампании получают все большее распространение, и
повышается их результативность. Поэтому в настоящее время важно уметь
предсказывать и оценивать результаты и последствия информационных кампаний с
высокой точностью.
Компьютерное моделирование может позволить взглянуть во
внутрь сложной природы современных психологических операций. Оно повышает
понимание, безопасность и снижает риск при принятии решений.
Социальные процессы труднее оценивать и моделировать, так как
результаты скорее психологические и социологические, чем физические. Это может
представлять определенные трудности при попытке предсказания последствий
информационной операции, так как может пройти длительное время прежде, чем будет
достигнут какой-то эффект. Кроме того, прямое тестирование и эксперименты с
текущими, новыми и только что разработанными концепциями информационной
кампании более трудны, чем с физическими операциями, чьи результаты в целом
мгновенны и обозримы.
Вследствие этого, инструменты, которые помогали бы
планировщикам информационной кампании понять социальные, культурные,
религиозные, политические, исторические и экономические характеристики
различных социальных слоев, очень важны. Хотя средства моделирования, помогающие
планировать информационные операции, очень медленно разрабатываются, все же
существует несколько групп, добившихся некоторого успеха в разработке агентных
моделей социальных сетей, социального недовольства и социальных систем
некоторых стран ближнего востока. Компьютерное моделирование с использованием
агентов представляется наиболее эффективным для моделирования сложных
социальных процессов.
В основе такого подхода лежит понятие интеллектуального
агента. Агент - это сущность, которая находится в некоторой среде,
интерпретирует их и исполняет команды, воздействующие на среду. Мультиагентные
системы характеризуются тем, что, во-первых, каждый агент владеет информацией,
недостаточной для решения всей задачи, во-вторых, нет глобального контроля,
т.е. каждый агент принимает решения самостоятельно, в-третьих, данные
децентрализованы, и наконец, вычисления могут быть асинхронны.
Основной целью данной работы является формализация понятия
психологических операций. А именно, речь идет о моделировании социальных процессов,
возникающих под воздействием информационных кампаний. При этом используются
мультиагентные системы.
1. Примеры
существующих формализаций
1.1
Моделирование социального влияния
Социальное влияние - это ветвь социальной психологии, которая
рассматривает характеристики успешного и неуспешного убеждения, такие как
уступчивость, послушание, устойчивость к авторитетам. На индивидуумы и на
группы можно влиять вербальными и невербальными способами. Важно отметить
разницу между терминами послушание и уступчивость. Уступчивость не
подразумевает изменение позиции, только поведения. Успешное убеждение
заключается в том, что человек должен изменить свою позицию, мнение и, как
следствие, поведение.
Существует своя терминология в области социального влияния. В
1948 году Ласвел предложил свою модель передачи информации, состоящую из 5
компонент:
· Источник - человек, пытающийся убедить или
повлиять на другого человека.
· Сообщение - то, в чем источник пытается
убедить получателя.
· Получатель - человек, на которого пытаются
повлиять.
· Канал связи - способ передачи сообщения.
· Результаты коммуникации - реакция
получателя на сообщение.
Модель Ласвела создавалась для описания коммуникации больших
масс, но она также применима и в случаи общения между отдельными индивидуумами.
Существуют также модели включающие в себя обратную связь, т.е. сообщения от
получателя к источнику, например модель Шеннона - Вивера и круговая модель
Осгуда - Шрама так как коммуникация - процесс скорее циклический, нежели
линейный.
Моделирование факторов, играющих роль при попытке воздействия
на человека, требуют многопланового подхода. Для построения модели используются
такие дисциплины, как статистическая механика, компьютерные науки, маркетинг,
политические науки и социальная психология. Модель, рассмотренная далее, в
основном базируется на теории динамического социального влияния, предложенной
Латане и ее дальнейших разработках.
Пытаясь объяснить условия, при которых любое сообщение имеет
социальное влияние, Латане подчеркивал важность трех атрибутов отношений между
получателем и источником:
· Сила - социальный статус и сила доверия.
· Расстояние - физическое или
психологическое.
· Текущее количество - число источников,
влияющих на получателя.
Согласно теории динамического социального влияния, уровень
влияния, испытываемого индивидуумом, может быть выражен следующей формулой (1):
, где
· Ii - количество социального
давления, направленного на индивидуума i, (-∞<Ii<∞)
· Oi - мнение i - того индивидуума (±1) по
отношению к данному вопросу, +1 - поддержка и - 1 - сопротивление предложению.
· Si
- сила
влияния (S>0)
· β - сопротивление к изменениям.
· dij - расстояние между
индивидуумами i
и j.
· α - степень ослабления расстояния.
· N - общее число агентов.
Значение постоянной β принимается равным 2 для
соответствия с величиной использованной в исследованиях Латане. Большее
значение этой постоянной означает, что для изменения мнения требуется большее
давление, меньшее значение соответствует меньшему усилию. Значение постоянной α также принимается равной 2. Большие значения α означают, что с ростом расстояния между источником и получателем
требуется много большая величина давления.
Величина dij - свойство пары индивидуумов, она может
рассматриваться как показатель легкости общения (передачи информации). Эффект
физической близости подчиняется закону об обратной квадратичной зависимости,
т.е. легкость коммуникации пропорциональна величине 1/ (dij) 2.
Если социальное давление Ii>0, то индивидуум i поменяет свое мнение,
величина Ii определяет силу давления на индивидуума i. Чтобы включить степень
случайности в процессе принятия решения индивидуумом, было предложено следующее
правило (Какперски и Холист) (2):
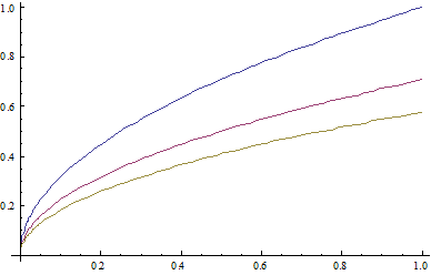
Используя выражение (2) можно построить сигмоидальную кривую,
которая отображает вероятность изменения мнения на шаге t+1 при определенном значении величины давления Ii на шаге t. Параметр T передает
среднюю величину изменчивости индивидуума. Кривые, полученные при разных значениях
T представлены на графике.
формализация мультиагентный социальное моделирование
Как видно, меньшая величина параметра T означает, что мнение
индивидуума сильно зависит от мнения его соседей, и наоборот, большая величина
параметра T
говорит о том, что индивидуум более устойчив социальному давлению. Это также
применимо и в случае, когда давление отрицательно (Ii < 0), т.е. усилие
направлено на то, чтобы сохранить текущую позицию индивидуума. Внешнее всеобщее
влияние, например влияние СМИ, также может быть учтено, если в выражение (1)
добавить член - OiOMSMi, где SMi - сила влияния внешних
источников на i
- ый индивидуум, SMi>0, OM - мненине внешнего
источника. Учитывая влияние масс медиа, получаем итоговое уравнение (3):
.
Внешний источник также моделируется как агент, но вне окружающей
среды и с расстоянием 1 до каждого индивидуума ввиду своей
"вездесущей" природы. Величина SMi меняется в зависимости от индивидуума, так
как каждый человек испытывает различное давление СМИ, эта величина аналогична
величине доверия индивидуума к сообщениям, получаемым из внешних источников.
Полученная модель достаточна ясна, если расстояние представлено
единственно величиной, например географическим расстоянием или временем, но
сложность возрастает, если рассматривать расстояние как меру отличий в
религиозных убеждениях, расе, поле, величине прибыли или использовать
комбинированные показатели.
Латане обосновывал свои модели основываясь на данных, собранных
при изучении примеров (моделей) коммуникации в различных частях света (в Китае,
Польше, США). Обоснование вышеприведенных уравнений реальными данными является
одним из преимуществ рассмотрения данной модели. Поэтому эти уравнения
считаются в достаточной мере обоснованными.
1.2
Реализация с помощью клеточных автоматов
Клеточные автоматы (КА) берут свое происхождение из работ
Джона фон Неймана и Станислава Улана в 1940 году. Работы Неймана в
программировании и проектировании компьютеров заставили его искать основные
соответствия между компьютерами и живыми организмами, а также общие принципы
структуры и организации природных и искусственных систем. Нейман назвал свою
общую теорию "теорией автоматов", которая позже превратилась в
"теорию самовоспроизводящихся автоматов".
С 1950 года было разработано множество моделей КА и правил
развития, а также их применение к различным задачам моделирования многих
областей, включая физику, биологию, метеорологию, компьютерные науки. Несмотря
на большое разнообразие моделей КА, применяющихся в различных областях, все они
имеют общие основные возможности:
· Автоматы организованы в правильной D-размерной сетке
· Каждая клетка автомата принимает одно из
конечного набора состояний
· Время является дискретной величиной
· Клетки меняют свое состояние согласно
локальным правилам
· Ко всем клеткам применяются одинаковые
правила перехода
· Клетки обновляются в каждый период времени
(одновременно или последовательно)
Обычно применяются КА в виде двухмерной сетки с квадратными
клетками или автоматами. Различные состояния клетки представляются на экране
компьютера различными цветами. Весь процесс моделирования представлен как
последовательность меняющихся узоров и цветов, отображающих взаимодействие
клеток в течение времени. На каждом временном шаге пересчитываются значения
каждой клетки согласно правилам перехода. При вычислении нового значения
принимаются во внимание, как текущее состояние самой клетки, так и состояние ее
соседей.
Существует несколько типов соседей в моделях КА. На двухмерных
сетках более употребительны следующие три вида соседств: соседство Неймана,
соседство Мура и расширенное соседство Мура.
Преимущество моделей КА заключается в возможности описания
поведения сложных систем, используя простые правила взаимодействия клеток на
сетке. В отличие от традиционного подхода с использованием дифференциальных
уравнений с частными производными, КА отличаются простотой применения.
Одним из первых примеров применения КА в области социального
влияния была работа Шеллинга (модель разнорасового соседства), в которой
индивидуумы предпочитали, чтобы по крайней мере определенная часть (25%) их
соседей принадлежали к той же расе, что и они. Он обнаружил, что даже
сравнительно терпимое население, состоящее из индивидуумов, чувствующих себя
комфортно притом, что 75 % их соседей принадлежат к другим расам, неожиданно
создавали явно отделенные соседства или гетто.
1.3
Представление социального расстояния
Чтобы сделать модель более реалистичной, требуется
рассмотреть несколько видов социального расстояния. Географическое расстояние, dgeo, или физическая близость
определяется как сеточное расстояние между двумя индивидуумами. Хотя
географическое расстояние является важным фактором частоты и интенсивности
взаимодействия между индивидуумами, оно часто не принимается во внимание. Кроме
физического расстояния в уравнение (3) могут быть включены и другие виды
социальных расстояний или факторы, которые оказывают влияние на взаимоотношения
между индивидуумами. Работы Макферсона, Смита-Ловина и Кука указывают на то,
что люди имеют склонность к определенным контактам с индивидуумами со схожими
атрибутами. Эта тенденция образовывать социальные связи с людьми с аналогичными
социально-демографическими характеристиками известна как гомофилия и имеет
значительный эффект на информацию, получаемую индивидуумом, их характеристики и
на их взаимоотношения.
Наиболее важные факторы, влияющие на то, с кем общаются
индивидуумы - это раса, национальность, возраст, религия, образование, занятие
и пол, расположенные примерно в таком порядке (по значимости). Хотя значение и
последовательность этих факторов могут быть различными в разных культурах, тем
не менее, они служат отправной точкой для дальнейшего расширения уравнения (3)
путем включения величин других социальных расстояний.
В отличие от географического расстояния, другие виды
расстояний, например религиозное, трудно поддается вычислению. Если религиозное
расстояние включить в уравнение (3), то получится следующее уравнение (4):
, где
w1+w2= 1, dgeo ≥1 - географическое расстояние, drel ≥1 - религиозное расстояние. Вообще добавление
различных дополнительных социальных расстояний приводит к формуле:
,
причем w1+w2+…+wn=1, 0≤wi≤1 для всех i, d (ij) ≥1.
Расстояние между двумя религиями не устанавливается однозначно, в
отличие от географического расстояния, не определены единицы измерения
расстояния между религиями.
Традиционно социальное расстояние между индивидуумами или группами
измеряется по шкале Богардуса, разработанной Эмори Богардусом в 1925 году.
Богардус занимался задачами в области социального влияния и широко известен
разработкой шкалы социальных расстояний. Большая часть его работ относится к
исследованию отношений между расами.
1.4 О
кампании по искоренению полиомиелита в Индии
В 1988 году Всемирная Организация Здравоохранения (ВОЗ)
поставила цель - искоренить полиомиелит к 2005 году. В то время в Индии было
около 24257 зарегистрированных случаев полиомиелита, результатом этой кампании
стало снижение случаев заболевания до 2765 к 1997 году. Индийское правительство
повело информационную кампанию по просвещению родителей о преимуществах детской
вакцинации полиомиелита.
Компания вакцинации полиомиелита основывалась на сообщениях
(через радио, печать, телевидение, кино и плакаты), оказывающих воздействия на
общество, причем телевидение и радио играло наиболее важную роль в городских
областях. В стороне от сообщений, доставляемых через телевидение и радио,
главным источником осведомления (как для сельских, так и для городских
родителей) стали работники здравоохранения.
К сожалению, многие группы населения, на которых эта компания
была нацелена в первую очередь, отказывались прививать своих детей в силу
различных причин. Моделирование подхода данной кампании в штате Уттар Прадеш
обеспечивает некоторый пример того, как информационные операции могут быть
смоделированы с использованием теории динамичного социального влияния Латане в
структуре клеточных автоматов.
Построение модели, приближающей распределение
(распространение) религии, пола, плотности населения и др. не сложно, хотя и
очень утомительно и требует времени. Плотность и расположение ячеек на карте
модели очень грубо представляет действительную плотность населения в Уттар
Прадеш. Плотно населенные городские территории, такие как Дели, Агра, Канпур,
Варанаси и Горахпур было представлены близко расположенными агентами этих
городов. Сельские территории были представлены редко располагающимися агентами
на территории Уттар Прадеш. Согласно демографическому описанию, примерно 70%
населения - это индусы и 30% - мусульмане.
Каждая ячейка может рассматриваться как отдельная семья. Цвет
ячейки показывает отношение семьи к вакцинации полиомиелита: синий - за и
красный - против. Когда глава семьи (или семья) меняет свое отношение - цвет
также меняется. Это позволяет наглядно показать распространение мнений, а также
продемонстрировать нелинейность динамики социального влияния, распространения
информации, расположения точек "кучкования" (кластеризации) и
сосредоточения на разных фазах.
При моделировании автомат имел следующие свойства:
· Географическое положение - координаты (x,y)
· Религия (мусульманство, индуизм)
· Социальное влияние (убедительность):
нормальное распределение (средняя величина=5, смещение=4)
· Постоянная устойчивость к изменениям: 2
· Восприимчивость к влиянию через СМИ:
нормальное распределение (средняя величина=5, смещение=4)
· Предпочтительная дистанция по отношению к
другим религиям: интервал от 1 до 32
· Мнение о вакцинации полиомиелита (+1, - 1)
Заметим, что социальное влияние и восприимчивость к влиянию
СМИ сокращается до нуля, так, что их распределение не может считаться абсолютно
нормальным. При нормальном распределении со средней величиной 5 и смещением 4,
6 из каждых 1000 значений может быть ниже нуля, и требуют пересчета.
Некоторые из вышеперечисленных атрибутов имеют отношение к
переменным из уравнения (3):
· Социальное влияние (убедительность) = S
· Постоянная устойчивости к изменениям = β
· Восприимчивость к влиянию СМИ = SM
· Мнение о вакцинации полиомиелита = O
В начале моделирования автоматы создаются варьированием
значений этих атрибутов. Географическое положение семьи определяется аналитиком
в такой степени, чтобы семья находилась вблизи города или располагалась в
сельской местности. Приблизительно 30% семей случайно выбирались для помещения
в застроенной городской местности, а оставшиеся 70% случайно распределяются в
строгих границах карты Уттар Прадеш (т.к. приблизительно 70% населения Уттар
Прадеш проживают в сельской местности). Карта разбивается сеткой: 150
интервалов по горизонтали и 150 интервалов по вертикали. Такая сетка позволяет
увидеть разумный уровень детализации карты, а также позволяют реализовать
удовлетворительную скорость моделирования при населении от 2000 до 8000.
Соседство автоматов - это расширенное соседство Мура, которое расширяется до 32
интервалов на каждой стороне. (Латане называет это рангом воздействия). Это
ограничивает максимальное возможное число соседей или источников социального
влияния объекта числом 4224. Если размер сетки большой, как в данном случае, то
ограничение размера соседства агентов позволяет ускорить моделирование,
незначительно изменяя результат. В связи с ограничением компьютерной мощности,
Латане использует расширенное соседство Мура размера 10, для достижения более
высокой скорости моделирования.
Предпочтительное расстояние между семьями в соответствии с
религией определяется случайно, исходя из равномерного распределения,
колеблющегося от 1 до 5. Далее значение расстояния определяется по шкале
Богардуса. Это обеспечивает протяженность предпочтительного расстояния от 1 до
32 (включительно) интервалов сетки, хотя распространение значений в целом не
является равномерным в переводе на расстояния на сетке.
Социальный статус семьи определяется случайным выбором числа
из нормального распределения со средним значением 5 и стандартным отклонением
2. Полученное число может быть рассмотрено как значение на гипотетической
шкале, представляющей совместную величину состояния семьи, профессиональный вес
и уровень образования. Социальное положение семьи остается неизменным в течение
моделирования.
Восприимчивость семьи к сообщениям в СМИ также определяется
нормальным распределением со средним значением 5 и стандартным отклонением 2.
Число, представляющее восприимчивость к СМИ может быть рассмотрено как
результат гипотетического анкетирования или подобной операции, измеряющей
уровень доверия к СМИ у опрашиваемых. Эта величина также не меняется в течение
моделирования, она представляется переменной SMi в уравнении (3).
Число, представляющее сопротивление главы семьи переменам
мнения, упрямство, инертность, устойчивость к изменениям задается показателем
социального статуса агента, умноженным на постоянную, равную 2. Прошлые
исследователи часто полагали устойчивость к изменениям параметром, β в уравнении (1), равным постоянному значению = 2. Причина выбора
такого значения не имеет психологической основы и не объясняется исследователями.
Мнение семьи о вакцинации полиомиелита может принимать
значения (+1) и (-1). В начале процесса моделирования аналитиками
устанавливается соотношение количества семей, поддерживающих и не
поддерживающих вакцинацию. Мнение устанавливается независимо от религиозных
взглядов, географического положения и других атрибутов. Мнение о вакцинации
является единственным показателем, который может быть изменен в течение
моделирования, причем он может меняться несколько раз. Хотя семья имеет семь
атрибутов, есть только одно действие: изменение или сохранение мнения о
вакцинации.
1.5 Некоторые
результаты
Влияние "из рук в руки". Данные, полученные при
моделировании без учета влияния СМИ, представлены на графике. Так как нет
влияния через массмедиа, то распространение информации идет только "из рук
в руки". Моделирование подчиняется уравнениям (1) и (2)
Начальные условия при данном моделировании были следующими:
· Население состоит из 2000 семей.
· Степень случайности при принятии решения
было постоянным для всех начальных условий (T = 20).
· Моделирование проводилось при начальном
уровне поддержки вакцинации 20%, 30%, 40%, 50%, 60%, 70% и 80% населения.
В начальном положении система имела случайное распространение
(в пространстве) мнений о вакцинации. Ко времени достижения положения
равновесия, была достигнута явная кластеризация (сосредоточение) мнений в
областях с высокой плотностью населения. Тенденция образования устойчивых
кластеров мнений из начального положения часто наблюдается в эмпирических данных.
Начальный уровень поддержки вакцинации является главнейшим
фактором при расчете конечного состояния. Обязательно тестируется зависимость
выходных данных от различных начальных условий. Ниже показан средний уровень
поддержки вакцинации среди целевой группы, описанной в предыдущих параграфах.
Для каждого начального состояния проводилось 12 запусков
программы. 12 - это наименьшее число наблюдений, требуемое для построения
доверительного интервала. На рисунке выше представлено среднее для 12
экспериментов значение при различных начальных условиях. Устойчивость или
конечное положение достигалось через 200 шагов. Временные шаги показывают время
моделирования, а не реальное время. Попыток соотнести время моделирования и реальное
время здесь не проводились.
Начальный процент населения, поддерживающего вакцинацию
полиомиелита оказывает значительный эффект на процент поддержки вакцинации в
итоговом положении. Однако этот эффект не равномерен, так при разнице в
начальном положении в 10% (от 40% до 50%), получаются сильно отличающиеся
выходные данные (примерно 20% и 50% соответственно, разница 30%), но при
начальных данных в 30% и в 20% (разница по-прежнему 10%), итоговые данные 12% и
8% соответственно (разница лишь в 4%). Эти результаты также подтверждают
наблюдения Латане, что группа или мнение, доминирующее в начале моделирования
обычно доминирует и в конце.
Моделирование продемонстрировало типичные характеристики
агентного социального моделирования такие, как кластеризация схожих мнений,
поляризация, нелинейность изменения мнения во времени. Моделирование,
основанное на уравнении (1) демонстрирует, как доминирующее мнение неизменно
усиливается. Выяснилось, что наибольшее увеличение числа людей, меняющих свое
мнение, происходит при начальном уровне в 50%. Несмотря на постоянное
увеличение в размерах, преобладающее мнения редко достигает полного
доминирования. При достижении состояния устойчивости, обнаруживаются небольшие
группы агентов, в основном на границах, которые могут неопределенное время
противостоять мнению большинства. Агенты, расположенные на границах или возле
границ, имеют меньше соседей, чем центральные агенты в виду усеченной природы
их соседств.
Моделирование медиа влияния. Медиа рассматривается как
универсальное внешнее воздействие, оно действует на каждого агента в течение
моделирования, как показано в уравнении (3) (комбинация параметра медиа-мнения OM и параметра устойчивости
агента к медиа-влиянию SM). Как и в настоящем мире медиа оказывает на
разных агентов различное влияние. Одни имею высокий уровень доверия к
медиа-сообщениям, в то время как другие очень низкий. Уровень доверия
подчиняется нормальному закону распределения.
Масс-медиа подобно невидимому соседу для каждого агента и при
моделировании подразумевается, что каждый агент имеет доступ к медиа. При
увеличении среднего значения восприимчивости населения к СМИ, SM, увеличивается влияние
"медиа-мнения" на процесс принятия решения агентом. При моделировании
использовалось уравнение (3) для вычисления уровня социального влияния,
испытуемого каждым агентом.
Начальные условия были следующими:
· Население состоит из 2000 семей.
· Степень случайности при принятии решения
было постоянным T=20.
· Моделирование проводилось при начальном
уровне поддержки вакцинации 50%.
· Значение восприимчивости к медиа-влиянию
для каждого агента выбирался из нормального распределения со средним значением
5, 10 или 15 (со средним отклонением равным 2). Также для сравнения включен
случай при отсутствии медиа-влияния.
Ниже на графике представлен результат увеличения
медиа-влияния (это также может случить частотой повторения сообщений). В этой
серии моделирования медиа поддерживало вакцинацию.
На графике хорошо видно нелинейность роста поддержки вакцинации
от начального положения. Первые шаги свидетельствуют о наибольшем скачке роста
поддержки вакцинации среди населения, причем, чем больше уровень доверия к
медиа-информации, тем больше скачок. Но даже при высоком уровне доверия к
медиа, поддержка не становится всеобщей, так как присутствуют типичные группы
агентов, которые не меняют свое мнение, несмотря на внешнее влияние. Латане
обнаружил, что мнение меньшинства часто выживает на окраинах. Тем не менее, по
сравнению с моделью без медиа-влияния ясно виден результат медиа-поддержки
вакцинации.
Два этих графика позволяют оценить медиа-влияние. Даже когда
в начале вакцинация поддерживается меньшинством при двух наиболее высоких уровнях
медиа-влияния наблюдается быстрый рост поддержки (более 90%). При среднем
уровне влияния, равном 5, поддержка увеличивается гораздо медленнее. Большая
разница в величине поддержки на временном шаге 800 показывает важность
медиа-влияния там, где в начале вакцинацию поддерживало меньшинство. С другой
стороны, на рисунке выше видно, что разница между поддержкой при наличии и
отсутствии медиа-влияния там, где изначально вакцинацию поддерживало
большинство, незначительна. Таким образом, медиа-влияние наиболее эффективно,
если изначально меньшая часть населения оказывает поддержку. Это наиболее
важный результат при анализе затрат и выгод, который получен в данном
моделировании. Когда поддержка населения достигает определенного порога,
человеческие и материальные ресурсы, которые в этом месте будут давать
небольшие и быстро сокращающиеся положительные результаты, можно перекинуть на
области, более нуждающиеся в них.
Географически ограниченное медиа-влияние. Возможность влиять на
агентов одинаковыми или различными способами, может быть использовано при
проведении экспериментов для оценки ограниченного некоторой областью
медиа-влияния. Моделирование, как и раньше, основывается на уравнении (3).
Численность населения удвоена (с 2000 до 4000) чтобы было легче визуально
продемонстрировать и оценить масштаб ограниченного влияния.
Начальные условия: Степень случайности при принятии решения
было постоянным T=20.
· Население состоит из 4000 семей.
· Моделирование проводилось при начальном
уровне поддержки вакцинации 50%.
· Значение восприимчивости к медиа-влиянию
для каждого агента выбирался из нормального распределения со средним значением
5 и со средним отклонением равным 2.
· Масс медиа поддерживало вакцинацию.
На рисунке ниже показан пример устойчивости, являющиеся образцом
результатов осознанного ограничения области проникновения медиа. Все
медиа-сообщения блокировались на правой части сетки, результатом стало явная
"неподдержка" вакцинации в этих областях. Хотя граница между
медиа-областью и областью с блокированными медиа-сообщениями четко представлена
на рисунке, существует степень проницаемости в действительном распространении
мнения возле границы, в связи с передачей информации "из рук в руки".
Области не доступные СМИ (в связи с географическими особенностями
или политическими трудностями) могут быть смоделированы, чтобы дать
планировщику ИО более точное понимание о проникновении информации сквозь
границу для отделенных областей. На обоих рисунках области, где отсутствовали СМИ,
не испытывали на себе сильного влияния со стороны соседей. На рисунке видно,
как мнение (как за, так и против вакцинации) распространяется вдоль границы, но
величина распространения информации "из рук в руки" как видно не
велика. Если бы агенты не были привязаны к одному месту, а могли свободно
передвигаться по сетке, то эта величина была бы больше.
Социальное влияние и плотность населения. Различное число агентов на сетке может
продемонстрировать эффект плотности населения на формирование и передачу мнения.
Кластеризация мнения наиболее заметна в областях с высокой плотностью. Большая
плотность означает меньшее расстояние между источником и целью, и,
следовательно, большее социальное влияние на каждого агента. Для изучения
влияния плотности была проведена серия экспериментов с различным уровнем
плотности агентов на сетке. Все остальные параметры оставались постоянными.
Моделирование основывалось на уравнениях (1) и (2) (то есть без учета
медиа-влияния).
Начальные условия:
· Величина населения варьировалась от 7000
до 1000. Возможные значения - 1000, 2500, 4000, 5500 и 7000.
· Степень случайности при принятии решения
было постоянным T=20.
2.
Формализация психологических операций
Есть серьезная близость в инструментарии и методах
психологических операций и мирной рекламы. Есть даже совпадающие задачи: так,
например, в рамках психологических операций стоит и такая задача, как
"создание благоприятного имиджа действий страны". Общность методов
приводит к отличиям только в одном аспекте - более серьезной технологической
подготовке кампании, более существенной исследовательской базе по изучению
целевой аудитории, на которую направлено действие психологических операций.
Цикл психологических операций состоит из трех составляющих,
также привычных для рекламы: оценка, планирование и исполнение. При этом
тестирование сообщений, проверка результатов также включаются. Более подробно
психологические операции расписываются в следующем виде:
· сбор разведывательной
информации;
· анализ целевой аудитории;
· разработка продукта;
· отбор медиа;
· производство медиа;
· распространение.
Первый компонент входит в оценку, три последующие - в
планирование, оставшиеся два - в исполнение. Конечной целью работы признаются
поведенческие изменения у целевой аудитории.
Психологические операции делятся на три типа: стратегические,
оперативные и тактические, при этом оперативные подаются как промежуточные
между первыми и третьими. Стратегические работают на появление эффектов,
которые проявятся в обозримом будущем. Оперативные - направлены на региональные
целевые аудитории.
Следует также подчеркнуть серьезный анализ целевой аудитории,
предшествующий выработке необходимых сообщений. И тут особую роль играют и
этнические особенности аудитории, ее национальная картина мира, поскольку
ПО-специалист заинтересован в поиске уязвимых мест своего противника. Более
подробные анализы в этой области, несомненно, поставляются представителями
других наук.
Создание сообщений также разбито на ряд четких этапов:
интеграция, концептуализация и развитие. Интеграция направлена на соединение
анализа целевой аудитории с соответствующим типом медиа. Здесь следует ответить
на следующий ряд вопросов:
· Кто является целевой
аудиторией?
· Что следует сказать своим
сообщением?
· Когда оно будет иметь
максимальный эффект?
· Где расположена целевая
аудитория?
· Какова цель ПО-сообщения
или акции?
· Как следует построить
сообщение или провести акцию?
.1
Концептуализация
Этап концептуализации направлен на перевод анализа аудитории
и выбора медиа в работающий план. Развитие представляет собой разработку плана
и межличностной коммуникативной программы. Здесь также предложен набор
конкретных техник для работы:
· привлечение внимания (1)
· создание достоверности (2)
· создание памяти (разработка запоминающихся
заголовков etc) (3)
· возбуждение эмоций (4)
· повторение сообщения (5)
Эти техники можно моделировать как внешние (абстрактные)
агенты.
- объем j-ого
воздействия на i-ого агента
- результативность j-ого
воздействия на i-ого агента
в простейшем случае функция
вида (1)
(1)
(2)
Однако более реалистичной является функция вида (2), где чрезмерно
большое количество информации отторгается аудиторией.
- воздействие, внешнее по отношению к совокупности воздействий,
осуществляемых в рамках психологической операции. (
)
,
где
- сопротивление i-ого агента.
Можно заметить обычный уровень восприимчивости этих техник
относительно друг друга.
<
=
>
=
Хорошо разработанным аспектом, в отличие от рекламы, является
работа на межличностном уровне, при общении человека с человеком. Общение
"один с другим" обладает рядом существенных достоинств:
· возможна максимальная
подстройка под слушателя,
· возможны повторы при
необходимости,
· детальный выбор
аудитории,
· направленность в точки,
которые могут быть недоступными для масс-медиа,
· повышение достоверности с
помощью четкого указания на источник,
· быстрота в
распространении сообщений в рамках психологической операции.
При клеточном моделировании (для максимальной подстройки под
слушателя):
) Вся группа разбивается на подгруппы
2) Каждая подгруппа - агент
3) Оцениваем социальное давление
на всю группу (учитывая
- объем подгруппы)
) Степень подстройки под подгруппу
.
Классификация типов толпы:
· случайная толпа - временное собрание людей на событии типа
нахождения перед открытием магазина,
- мало;
· условная толпа - люди, собравшиеся на какое-то мероприятие,
например, на спортивное состязание,
- мало, но увеличивается
;
· экспрессивная толпа - люди, выражающие себя пением, танцами
и подобное, велики
и
;
· мобилизованная толпа - люди, собравшиеся из-за враждебных
представлений в связи с реальным или несуществующим событием,
- мало, но также велики
и
.
2.2 Работа со
слухами
Еще одним значимым элементом для работы в ситуации
межличностного общения являются слухи. Здесь есть полное совпадение между
рекламой и ПО. Слухи психологически направлены на снятие напряжения. Слухи
являются очень мощным оружием, но они должны быть хорошо подготовленными и
находиться под контролем.
Три характеристики слуха подчеркиваются особо:
1. Источник должен быть привлекательным для аудитории и
пользоваться ее доверием,
- степень привлекательности для i-го агента
Простейший случай:
- привлекательный/непривлекательный
Непрерывный случай:
;
. Содержание слуха должно вызывать доверие,
- степень доверия у i-го агента
Простейший случай:
- доверяет/не доверяет
Непрерывный случай:
- насколько доверяет;
. Получатель слуха становится его передатчиком по мере
передачи его дальше,
- активность i-го агента при передаче сообщения.
Аналогично формуле (1) из первой главы рассмотрим влияние
слухов на i-го
агента
,
где
- множество агентов имеющих влияние на i-го. Если
то агент i принимает то
мнение, ради распространения которого запускалось данное сообщение. Но, даже не
поменяв мнение в пользу слуха, агент может передать его дальше и наоборот.
Передаст ли агент сообщение дальше или нет, зависит от порогового значения
, которое подбирается эмпирически в
зависимости от аудитории. Если
слух передается дальше. Мнение агента о получения сообщения
влияет на степень привлекательности
и, отчасти, на
(которое определяется также индивидуальными особенностями
агента).
монотонно зависит от
, например графиком следующего вида:
При этом от
зависит коэффициент "подъема":
чем больше
, тем выше коэффициент доверия.
· выравнивание - слухи
должны быть краткими и простыми, поскольку подлежат устной передаче
· выпячивание
закономерности выборочного восприятия, когда из большого текста берут только
ключевые моменты
· уподобление отражает
имеющиеся стереотипы, этноцентризм и предубеждения.
Выравнивание.

- длина
слуха (в словах)
- монотонно убывающая функция.
Основной акцент делается на особенностях обработки информации
разными социальными группами.
Одно из правил этого уровня звучит следующим образом:
"Информация, которая не выровнена, выпячивается, становясь важной. То, что
выпячивается одной группой, может быть выровнено другой".
Выпячивание.
Длинное сообщение бьется на фрагменты, для каждого их которых
определяется степень привлекательности
для данного агента. Выпячивание заключается в том, что выбирается
фрагмент с максимальным значением этой характеристики, и далее передается
только он, но при этом снижается степень доверия
, в том числе и у этого агента.
Уподобление.
Уподобление заключается в том, что все множество агентов бьется на
непересекающиеся подмножества, например, по этническому признаку.
,
где
- все агенты.
Ш.
У них разная эмоциональная реакция на конкретный слух, а значит и
разная степень доверия.
2.3 Метод
анализа пропаганды SCAME
(Source - Content - Audience - Меdia - Effect).
Источник (Source). На этом этапе интерес представляют
достоверность, точность источника, его возможная связь с правительством,
военным командованием, организацией или конкретным индивидом.
Определяется несколько источников, которые также являются
особыми агентами в нашей модели. Source1, …, Sourcek.
Кроме того у нас есть несколько агентов-экспертов: Expert1, …, Experts.
Согласно мнению i-го эксперта,
каждый источник характеризуется вектором
- независимое мнение i-го
эксперта о j-ом источнике.
- характеристики типа: достоверность, точность, связь с
правительством, связь с военными организациями, связь с конкретными агентами.
Можно считать что
.
Содержание
(Content). Здесь предлагается конкретный формат, в соответствии с которым
оценивается содержание. Акцентируются следующие моменты: боевой дух,
непреднамеренная информация, экономические, биографические и географические
сведения, намерения. Можно разделить содержание на классы информации:
1. Информация о состоянии дел в ходе военных действий.
2. Экономическая информация.
. Биографическая информация.
. Географическая информация.
. Намерения того кто сообщает, по поводу того, о ком
сообщается.
Можно определить
- объем информации каждого типа. Степень достоверности и точность
можем использовать вектор источника, если он фиксирован. При этом в зависимости
от класса информации учитываются связи источника из того же вектора.
Если информация идет от нескольких источников, берем линейную
комбинацию с весами (для каждого класса в отдельности, согласно достоверности
источника и объема информации каждого класса).
Аудитория
(Audience). Анализ аудитории требует установить как можно больше разнообразных
типов аудитории, на которые могло быть направлено данное сообщение.
В простейшем случае происходит разбиение на множестве агентов.
Например (разбиение внутри национальной группы):
Группа может считаться одним интегральным агентом. В этом случае,
численность группы является характеристикой агента.
На какие виды групп может происходить разбиение множества агентов:
· Первичные - семьи; отделение, взвод (в
армии).
· Вторичные - выборные структуры, такие как
парламент и т.д.
· Категория - общность людей объединенных
этнической принадлежностью, расой, полом.
· Совокупность - объединение по
географическому признаку (как например - европейцы).
Объединение групп и представление их как одного агента
существенно упрощает моделирование, но при этом, естественно, теряется
точность.
Медиа (Меdia). Интересует ответ на такой вопрос: что
именно было избранно противником для передачи данного сообщения?
Рассматриваются разные типы техник передачи информации: радио,
граффити, листовки, телевидение и т.д. Каждая характеризуется
- результативностью (силой) влияния.
Эффект
(Effect). Возможные последствия введения данного сообщения в массовое сознание.
Определяется целевая функция Effect для частного случая - конкретной аудитории, содержания, медиа. Effect (Source, Content, Group, Media) строится исходя из экспертных оценок и
локальном тестировании. Определяется количество агентов с положительным (+1) и
отрицательным мнением (-1) до введения данного сообщения и через некоторое
время t. Было - N+ и N-, стало - N+' и N-'. N= N++N - общее число агентов.
- насколько % возросло количество имеющих положительное мнение по
данному вопросу (можно взять за значение функции Effect).
Конечный результат:
- вес, определяющийся численностью и авторитетностью данной
группы, а также затратами на медиа.
2.4
Контрпропаганда
Контрпропаганда обладает конкретными техниками по
опровержению введенного противником сообщения. Каждая из этих техник имеет свои
позитивные и негативные последствия. Некоторые из возможных техник:
Прямое опровержение. Оно должно быть
достоверным и быстро достигать аудитории, чтобы не дать проявиться
разрушительному эффекту сообщения противника. Однако этот тип опровержения
одновременно привлекает внимание и служит распространению враждебной
информации. То есть оно имеет смысл только если предполагается, что
.
Непрямое опровержение. Направлено не на повтор сообщения, а на другие его
характеристики, например, на борьбу с достоверностью оппонента. То есть
проведение самостоятельной информационной кампании, направленной на снижение
для как можно большего числа агентов.
Отвлечение внимания. Введение новых тем, уводящих массовое сознание в сторону.
Молчание.
Иногда лучше промолчать, чтобы не распространять чужого сообщения. Существует tпорог которое определяет как долго агенты "помнят"
содержание сообщения. Если через какое-то время
новых сообщений не поступило, то интерес затухает и мнение
становится нейтральным, сообщение больше не распространяется. В этом случае
главное оценить кратковременный
(насколько он опасен).
Предупреждение. Собственный разговор на темы, которые предположительно будут
подняты противником. Суть состоит в том, чтобы добиться как можно большего
значения N+ на момент начала предполагаемой информационной кампании
противника.
3.
Программная реализация
Программа, выбранная для моделирования и тестирования модели
- Recursive Porous Agent Simulation Toolkit (RePast). Она основана на
программе агентного моделирования Swarm и заимствовала из нее много концепций. Есть
несколько пакетов программ для агентного моделирования, RePast была выбрана за простоту
в использовании, за объектно-ориентированную Java реализацию и большой
набор примеров и шаблонов. RePast также предлагает поддержку анализа социальных
сетей, импортирование файлов ArcView для регистрирования информации GIS (географические информационные
системы) при моделировании, и возможность изменения свойств агента "на
лету" во время работы.
Заключение
Две наиболее трудоемкие части социального моделирования -
выбор показательного примера целевой группы для формирования базового набора данных
и развитие обоснованного набора правил поведения и вероятности влияния на
поведение агентов. Если набор данных и правила поведения хорошо разработаны, то
моделирование, имитирующее различные вопросы социального влияния, будет более
надежным, реалистичным и заслуживающим доверие. Достаточные усилия должны быть
приложены для сбора банных и построения правил поведения для увеличения
точности и релевантности выходящих данных.
Более детализированные наборы данных, описывающих
демографические показатели, правила поведения в группе и сеть социальных
связей, будут большой пользой при дальнейшем построении моделей. Возможности,
такие как социальная и географическая мобильность, родственные связи,
возможность развития и разрыва дружеских связей, возрастающий и убывающий
уровень социального престижа и влияния в течение времени, и более сложные
правила взаимодействия добавляют точности при моделировании. Использование
нескольких внешних источников (СМИ) с различными мнениями также повышают
реализм модели.
Агентное моделирование стало наиболее мощным инструментом
изучения социальных теорий. Первая глава дает общее представление о
возможностях агентного моделирования в сфере информационных кампаний. Агентное
моделирование позволяет показать и проанализировать динамические и внезапно
возникающие свойства, такие как поляризация и кластеризация. Хотя явление
социальных изменений очень сложны, применяемые теории и их обобщения, например
теория динамического социального влияния, позволяют выделить наиболее
критические факторы социального влияния и систематически изменять их в очень
простой модели.
Формализация, предложенная во второй главе, также позволяет
оценивать влияние пропаганды на мнение населения. В ней расширена работа со
слухами (передача сообщений "из рук в руки"), с различными
аудиториями, на которые направлена информационная кампания. В ходе выполнения
работ были изучены и проанализированы различные подходы к моделированию
социального влияния, их достоинства и недостатки.
Планируется тестирование и уточнение данной теории на
небольшой социальной системе с помощью программного продукта RePast.
Литература
1. Wragg T. Modelling the Effects of Information Campaigns
Using Agent-Based Simulation. - 61p. - (Prep.: Command and Control Division,
Defence Science and Technology Organisation, DSTO-TR-1853)
2. Городецкий
В.И., Грушницкий М.С., Хабалов А.В. Многоагентные системы // Новости
искусственного интеллекта, - Вып. 19. - 1997, 13-19.
. Дмитриев
А.В. и др. Неформальная политическая коммуникация // М., 1997.
. Почепцов
Г. Военные методы мирной рекламы // Рекламное измерение. - Вып.7. - 1998.
5. Jowett G. S., O'Donell V. Propaganda and persuasion //
Newbury Park, ISBN 978-412908979, 1992.
6. Акофф
Р., Эмери Ф. О целеустремленных системах // М: Советское радио, 1974.
. Войтасик
Л. Психология политической пропаганды // М., 1981.
9. Д.А.
Поспелов. От коллектива автоматов к мультиагентным системам. // In Proc. of the
Intern. Workshop "Distributed Artificial Intelligence and Multi-agent
System", St-Petersburg, 1997.
10. Marsella, S. C., Pynadath, D. V., Read, S. J. PsychSim:
Agent-based modeling of social interactions and influence. // Paper in the
Proceedings of the 6th International Conference on Cognitive Modeling, Carnegie
Mellon University, Pittsburgh, PA, 2004.