Инфляционные процессы в Республике Беларусь, их последствия и принимаемые антиинфляционные меры

  • Вид работы:
    Курсовая работа (т)
  • Предмет:
    Эктеория
  • Язык:
    Русский
    ,
    Формат файла:
    MS Word
    156,88 Кб
  • Опубликовано:
    2013-08-20
Вы можете узнать стоимость помощи в написании студенческой работы.
Помощь в написании работы, которую точно примут!

Инфляционные процессы в Республике Беларусь, их последствия и принимаемые антиинфляционные меры

Реферат

Курсовая работа: 40 с., 5 рис., 1 табл., 14 источников.

СОЦИАЛЬНО-ЭКОНОМИЧЕСКИЕ ПОСЛЕДСТВИЯ ИНФЛЯЦИИ. АНТИИНФЛЯЦИОННАЯ ПОЛИТИКА.

Объект исследования ― инфляция, ее виды, причины, социально-экономические последствия, антиинфляционная политика государства.

Предмет исследования ― инфляционные процессы в Республике Беларусь, их последствия и принимаемые антиинфляционные меры.

Цель работы: исследование инфляции, ее социально-экономических последствий и проводимой антиинфляционной политики в Республике Беларусь.

Методы исследования: описания, аналитический метод, метод сравнительного анализа, статистический, графический.

Исследования и разработки: в процессе работы была раскрыта сущность инфляции, рассмотрены ее виды и причины; описаны социально-экономические последствия инфляции и раскрыта сущность антиинфляционной политики; проведен анализ инфляционных процессов в Республике Беларусь; предложены меры по снижению инфляции в Республике Беларусь.

Область возможного практического применения: лекции, семинарские занятия.

Апробация (внедрение): сообщение на научном кружке, выступление на университетской конференции.

Технико-экономическая, социальная и экономическая значимость: изучение инфляционных процессов является очень актуальным, так как инфляция представляет собой одну из наиболее острых проблем современного развития экономики во многих странах мира.

Автор работы подтверждает, что приведенный в курсовой работе расчётно-аналитический материал правильно и объективно отражает состояние исследуемого процесса, а все заимствованные из литературных и других источников теоретические, методические положения и концепции сопровождаются ссылками на их авторов.

Содержание

Введение

. Инфляция и антиинфляционная политика

.1 Сущность инфляции, ее виды и причины

.2 Социально-экономические последствия инфляции

.3 Антиинфляционная политика

. Инфляционные процессы в Республике Беларусь, их последствия и принимаемые антиинфляционные меры

Заключение

Список использованных источников

Введение

Инфляция является неотъемлемым атрибутом рыночного хозяйства, оказывающим неоднозначное воздействие на экономику. В результате инфляции растет денежная масса. Некоторый рост денежной массы (до 10% в год) создает стимул для увеличения объема выпускаемой продукции, ускоряет платежный оборот, способствует активизации инвестиционных процессов, усиливает концентрацию производства. В свою очередь рост производства приводит к восстановлению равновесия между товарной и денежной массой при более высоком уровне цен. Но каковы бы ни были позитивные функции инфляции, она оказывает на ход экономического развития целый комплекс негативных явлений.

Инфляция - кризисное состояние денежной системы. Она относится к разряду тяжелых и трудноизлечимых заболеваний экономики. От нее не застрахована ни одна страна.

Но если ранее инфляция возникала, как правило, в чрезвычайных обстоятельствах, (например, во время войны государство выпускало большое количество бумажных денег для финансирования своих военных расходов), то в последние два-три десятилетия во многих странах она стала хронической. И главная беда заключается в том, что инфляция делает плохо управляемым народное хозяйство.

Инфляция представляет собой одну из наиболее острых проблем современного развития экономики во многих странах мира. Поэтому целью работы является: исследование инфляции, ее социально-экономических последствий и проводимой антиинфляционной политики в Республике Беларусь.

Задачи:

раскрыть сущность инфляционного процесса;

изучить причины возникновения инфляции, ее виды;

проанализировать социально-экономические последствия инфляции;

исследовать меры, принимаемые для борьбы с инфляцией, и проводимую антиинфляционную политику.

Основой для написания курсовой работы послужили: учебные пособия, статьи из журналов, нормативно правовые акты, электронные публикации в Интернете.

В первом разделе дается понятие инфляции, рассматриваются ее виды, причины развития, социально-экономические последствия, антиинфляционные меры.

Во втором разделе анализируются инфляционные процессы, происходящие в Республике Беларусь, их последствия и принимаемые антиинфляционные меры.

1.     Инфляция и антиинфляционная политика

1.1   Сущность инфляции, ее виды и причины

Понятие «инфляция» происходит от латинского слова infljatio, что означает «вздутие», т.е. наполнение каналов обращения избыточными денежными знаками, не обеспеченными товарами.

Инфляция - одно из наиболее значительных аспектов нестабильности экономики. Можно дать несколько определений инфляции.

.        Инфляция - рост среднего уровня цен на товары и услуги.

.        Инфляция - снижение покупательной способности денег.

.        Инфляция - обесценивание денег.

П. Хейне отмечает, что изменяются не только цены товаров, но и измерители их ценности - деньги. «Речь идет не об увеличении длины предмета, а об уменьшении масштаба линейки, используемой для измерения длины».

Инфляция сопряжена с состоянием экономики, ее спадом, нарушением финансов, разбалансированностью бюджета, кредитно-денежной системы, лихорадкой в фискальной политике и т.д. Инфляция поражает все стороны и все звенья экономики.

Не всякое повышение цен является инфляцией. Одномоментное повышение цен нельзя считать инфляцией. Чтобы процесс повышения цен был охарактеризован как инфляция, такое повышение цен должно продолжаться достаточно долго.

Процесс, обратный инфляции, называется дефляция (deflation). Дефляция - снижение среднего уровня цен на товары и услуги.

Так как инфляция и дефляция измеряются по среднему уровню цен, индивидуальные цены могут падать или расти, не меняя при этом среднего уровня цен.

Виды инфляции:. По темпам роста цен выделяют [4, с.18-19]:

) Умеренную (moderate) или ползучую (creeping) инфляцию - рост цен составляет до 10% в год, деньги практически сохраняют свою стоимость. Такая инфляция существует в большинстве стран с развитой рыночной экономикой.

) Галопирующую (galloping) инфляцию - рост цен составляет сотни процентов в год (20-200%).

) Гиперинфляцию (hyperinflation) - темпы роста цен выражаются в четырехзначных числах (тысячи процентов); существует большой разрыв между ценами и заработной платой. Это самый опасный вид инфляции, т.к. она становится практически неуправляемой.

II. В зависимости от того, какие формы принимает инфляционное неравновесие рынков, различают [5, с.48]:

)        Открытую - ей свойственна тенденция к повышению цен. Общая тенденция, измеряемая народнохозяйственным индексом цен. Отсюда следует, что открытая инфляция вполне совместима с периодическими снижениями цен на отдельных товарных рынках или с замедлением их роста. А раз так, то получается, что открытая инфляция, серьезно деформируя механизм рынка, не нарушает его. Она излечима и лечится экономическими методами.

)        В условиях подавленной инфляции цены контролируются государством. Поэтому повышенный спрос на товары выражается в появлении разрыва между спросом и предложением. Поскольку государственная цена оказывается ниже равновесной, притупляются стимулы для увеличения количества и повышения качества товаров. Следствием этого является возникновение дефицита.

III. В зависимости от характера роста цен на отдельные товары инфляция бывает [4, с.19]:

) Сбалансированная - цены растут относительно умеренно и одновременно на большинство товаров и услуг. По результатам среднегодового роста цен поднимается процентная ставка Центрального банка, таким образом ситуация становится равносильной ситуации со стабильными ценами.

) Несбалансированная - цены на различные товары и услуги поднимаются разновременно и по-разному на каждый тип товара.. Инфляция [4, с.19]:

) Ожидаемая - ее можно спрогнозировать на какой-либо период времени, она часто является результатом действий правительства.

) Неожидаемая - внезапный, непредсказуемый скачок цен. В этом случае возможны 2 варианта развития событий в зависимости от наличия/отсутствия у населения инфляционных ожиданий:

а) У населения есть инфляционные ожидания. Тогда спрос резко возрастет и еще больше подстегнет инфляцию.

б) В экономике нет инфляционных ожиданий. Тогда возникает «эффект Пигу» - спрос населения резко падает в надежде на скорое снижение цен. Производителям (из-за снижения спроса) приходится снижать цены на самом деле, и экономика приходит в равновесие.. Наконец, инфляция делится на инфляцию спроса и инфляцию предложения.

) Инфляция спроса (Demand-pull or demand-led inflation) или инфляция покупателей. Если спрос на товары и услуги растет быстрее, чем производство, возникает дефицит товаров. Покупатели соревнуются за имеющееся на рынке ограниченное количество товаров и услуг. Поэтому растут и цены. Такую ситуацию можно показать на графике:

Рисунок 1 - Инфляция спроса

Примечание - Источник: [4, с.19]

Как видно из графика, спрос повышается с D1 до D2, в то время как предложение S не успевает повыситься до того же уровня. В результате цена повышается с Р1 до Р2.

) Инфляция предложения или инфляция издержек/инфляция продавцов (cost-push inflation or seller’s inflation). Изменения со стороны предложения также могут стать причиной инфляции. Можно отметить 3 таких случая:

Рост цен на сырье и материалы.

Очень часто инфляция предложения возникает в результате роста издержек на оплату труда. Увеличение оплаты труда часто является результатом агрессивных действий профсоюзов.

Сами по себе производители могут способствовать инфляции даже при отсутствии других объективных причин. Они могут попытаться получать более высокие доходы и для этого поднять цены быстрее, чем вырастут издержки.

Инфляцию предложения также можно показать графически [4]:


Рисунок 2 - Инфляция предложения

Примечание - Источник: [4, с.20]

Причины инфляции лежат в общем макроэкономическом равновесии между совокупным спросом и совокупным предложением, во всей системе диспропорций по всему хозяйству данной страны. Непосредственными причинами инфляции являются:

. К внутренним причинам:

а) деформация экономики, проявляющаяся в значительном отставании отраслей, производящих предметы потребителя, от отраслей, производящим средства производства;

б) дефицит государственного бюджета, связанный с увеличением государственных расходов;

в) диспропорции на микро- и макроуровне, являющиеся проявлением циклического развития экономики;

г) монополия государства на внешнюю торговлю;

д) монополия крупнейших корпораций, фирм, компаний и установление цен на рынках;

е) высокие налоги, процентные ставки за кредит и др.

. К внешним причинам относятся:

а) структурные мировые кризисы (сырьевой, энергетический, продовольственный, экологический). Они сопровождаются многократным ростом цен на сырье, нефть и т.д. Их импорт становится поводом для резкого повышения цен монополиями;

б) обмен банками национальной валюты на иностранную. Он вызывает потребность в дополнительной эмиссии бумажных денег, что пополняет каналы денежного обращения и ведет к инфляции;

в) сокращение поступлений от внешней торговли;

г) отрицательное сальдо внешнеторгового и платежного баланса и др. [14]

 

1.2 Социально-экономические последствия инфляции

Инфляция в целом оказывает дестабилизирующее влияние на экономику. Даже небольшие темпы ее роста способны привести к существенным экономическим и социальным последствиям.

Инфляция противоречиво воздействует на экономический рост. Незначительная инфляция - до 4% в год - способна временно стимулировать экономическое развитие. Умеренный рост цен вызывает рост доходов совокупного спроса, что создает для предпринимателей возможности расширения производства, вовлечение в производство незадействованных трудовых материальных ресурсов. Слабая инфляция может быть средством активизации деловой жизни и сокращения безработицы.

Несоблюдение же этой меры приводит к далеко идущим негативным последствиям для экономики. Во-первых, в ходе инфляции деформируется механизм рыночного ценообразования, обеспечивающий всех хозяйствующих субъектов информацией о величине экономических издержек производства и реализации тех или иных товаров, а также об изменении общественных потребностей в них. Всеобщий рост цен вызывает «бегство от денег» к дорогим товарам независимо от действительной потребности в них, что искажает структуру потребительского спроса. Производитель утрачивает правильные ориентиры в развитии производства. В результате возникают многочисленные хозяйственные диспропорции, замедляется внедрение новой техники и технологии, понижается эффективность использования производственных ресурсов. «Гонка» цен, их неравномерный рост дезорганизуют хозяйственные связи в обществе, разрушают сложившиеся отношения между экономическими субъектами. Все это отрицательно сказывается на темпах экономического развития и его качестве.

Во-вторых инфляция сокращает денежные накопления. Рост цен приводит к обесценению вкладов и понижению доходности сбережений. Сбережения приносят все меньший реальный доход. На определенном этапе темпы роста цен могут обогнать ставку процента и придать ей отрицательное значение. В этих условиях сбережение теряет экономический смысл. С развитием инфляции вкладчики (в целях защиты своих сбережений) направляют их на приобретение высокодоходных бумаг, иностранной валюты, материальных ценностей - недвижимости, драгоценностей, произведений искусства, потребительских товаров длительного пользования. Накопления в обществе приобретают преимущественно товарно-материальную форму. Большая часть населения, не имеющая возможности такого использования своих сбережений, направляет их на расширение текущего потребления.

В-третьих, утрата стимулов к денежным накоплениям нарушает функционирование денежно-кредитной системы. Предоставление средств в кредит становится не выгодным для кредитора и выгодным для должника. Кредит, получаемый более полноценными деньгами, возвращается обесцененным. В этих условиях сокращается доля долго- и среднесрочного кредитования. Осуществление долгосрочных вложений становится рискованным.

В-четвертых, инфляция негативно сказывается на инвестициях. Сокращение сбережений в обществе и свертывание долгосрочного кредитования производства ведет к сокращению капиталовложений. В условиях утраты стабильных источников финансовых ресурсов предприниматели воздерживаются от осуществления крупных инвестиционных проектов, особенно с большими сроками окупаемости. Инфляция деформирует и структуру инвестиций. Происходит перелив капитала из сферы производства в сферу торговли и область спекулятивных финансовых операций. Свертывание инвестиций приводит к технико-технологической отсталости и росту издержек, что в свою очередь стимулирует инфляционные процессы в стране.

В-пятых, инфляция сказывается на состоянии государственных финансов. С одной стороны, финансирую дефицит бюджета путем увеличения денежной массы, государство облагает население специфическим инфляционным налогом - налог на покупательную способность денег, представляющую собой разницу между величинами покупательной способности денег в начале и в конце периода, в течение которого происходила инфляция [12]. Используя возросшую денежную массу для оплаты приобретаемых товаров и услуг, правительство снижает реальную покупательскую способность денег, находящихся на руках у людей. Это означает фактическое изъятие части их реального дохода в пользу государства. Кроме того инфляция помогает государству решить проблему внутреннего долга, позволяя ему погашать свои обязательства обесцененными деньгами.

С другой стороны, инфляция обесценивает налоговые поступления в бюджет, которые оказываются не в состоянии реально обеспечить растущие государственные расходы. Правительство вынуждено изыскивать для этого дополнительные средства, в том числе прибегать к эмиссии денег. Это еще в большей степени раскручивает инфляционную спираль и дестабилизирует финансовую систему страны. В таких условиях экономические рычаги государственного регулирования экономики утрачивают эффективность, снижается доверие населения к правительственным мероприятиям, ослабляются позиции властных структур в целом.

В-шестых, негативные последствия инфляции проявляются и в области внешнеэкономических отношений. Инфляция отрицательно сказывается на состоянии платежного баланса страны, ведет к обесценению национальной валюты, создает проблемы погашения внешней задолженности. С ростом цен на национальном рынке происходит сокращение экспорта и рост импорта. Платежный баланс страны становится отрицательным. Для покрытия дефицита платежного баланса государству приходится использовать золотовалютные резервы, а затем, когда эти резервы исчерпаны, девальвировать национальную валюту. Последняя мера, хотя и усиливает экспортные возможности экономики, но создает трудности в развитии отраслей, потребляющих импортные товары или сырье. Кроме того, девальвация крайне затрудняет выплату внешних долгов: для возврата единицы иностранной валюты требуется все большее количество единиц национальной валюты.

В-седьмых, важным последствием инфляции является перераспределение дохода. С ростом цен снижается жизненный уровень основной массы населения в результате сокращения их реальных доходов. Однако различные социальные группы в разной степени несут потери от инфляции. В первую очередь от роста цен страдают лица, получаемые фиксированные доходы, - пенсионеры, студенты, безработные. Меры правительства по индексации пенсий, стипендий, пособий, как правило, отстают от роста цен. Значительные потери несут почти все лица, занятые в бюджетной сфере. Заработная плата, особенно работников образования, науки, культуры и др., всегда растет медленнее, чем цены. В результате сокращается их мотивация к труду. Происходит перемещение рабочей силы их этих социально важных сфер в более доходные секторы экономики.

Лица с нефиксированными доходами могут выиграть от инфляции, так как у этой категории увеличение номинального дохода может опережать рост цен. Помимо того, более обеспеченные слои общества обладают большими возможностями в деле сохранения своих сбережений и доходов путем приобретения недвижимости, иностранной валюты, предметов искусства, ценных бумаг.

В целом высокая инфляция снижает реальные возможности эффективного функционирования национальной экономики, ухудшает условия жизни большей части населения страны, углубляет имущественное неравенство между людьми и усиливает социальную напряженность в обществе [6].

 

1.3 Антиинфляционная политика

инфляция спрос потребительский цена

Антиинфляционная политика включает в себя два принципиально различных направления этой политики:

Регулирование совокупного спроса.

Регулирование совокупного предложения.

Сторонники первого направления являются кейнсианцы, сторонники второго - монетаристы.

Кейнсианское направление антиинфляционной политики основное внимание уделяет регулированию совокупного спроса, полагая, что эффективный спрос вызывает стимулы роста предложения. Факторами эффективного спроса могут быть увеличение государственных расходов и дешевый кредит, которые, в свою очередь, вызывают рост инвестиционного спроса; инвестиционный спрос породит спрос предложения; рост предложения приведет к снижению цен, т.е. к замедлению или полному устранению гиперинфляции, доведя ее до умеренного уровня.

Монетаристское направление антиинфляционной политики в центре своего внимания ставит регулирование совокупного предложения. Монетаристы полагают, что кейнсианская политика помогает стране досрочно выйти из кризиса, но не позволяет устранить все его причины, остаются диспропорции между спросом и предложением. Основатель монетаризма полагает, что инфляция - это чисто денежный феномен, ее источник - неграмотное вмешательство государства в экономику, и поэтому пути выхода из инфляции надо искать не в дополнительных расходах государства, а в росте предложения. Монетаристы рекомендуют комплекс мер по сокращению спроса: это денежная реформа, удорожание кредита, сокращение бюджетного дефицита, налоговых ставок. Эти мероприятия, по их мнению, должны вызывать уменьшение потребительского и инвестиционного спроса, банкротство неэффективного производства, спад производства, что в свою очередь освободит рыночные ниши от разорившихся производителей, но сохранит их для сильных, конкурентоспособных. Сокращение налоговых ставок вызовет рост инвестиций, увеличение товарного предложения и в конечном счете снизит цены.

На практике многие страны применяют компромиссную тактику борьбы с инфляцией, используя и кейнсианский, и монетаристский подходы [14].

Основой антиинфляционных мер является ликвидация существующих экономических диспропорций и особенно долгосрочного неравновесия денежного рынка. Исходя из этого, к методам антиинфляционного воздействия корректно относить ту деятельность государства, которая направлена именно на устранение названных явлений. Эффективную борьбу с инфляцией легче вести в том случае, если инфляция принимает открытые формы.

От собственно антиинфляционных мер следует отличать меры по смягчению последствий инфляции, т.е. меры по социальной защите населения путем компенсации и индексации его доходов.

Антиинфляционная политика означает комплекс мер и механизмов по государственному регулированию экономики, направленных на борьбу с инфляцией. Этот комплекс можно подразделить на две группы. Первая - антиинфляционная стратегия, включающая цели и методы долговременного характера. Вторая - антиинфляционная тактика, охватывающая набор мер и механизмов, ориентированных на краткосрочные результаты [6].

Антиинфляционная стратегия включает четыре основных компонента:

)        Преодоление инфляционных ожиданий, страха перед обесцениванием сбережений. В мировой практике положительные результаты достигаются при создании конкурентной среды и условий для развития предпринимательства, стимулировании диверсификации производства, проведении антимонопольной политики, ослаблении таможенных и импортных ограничений.

2)      Долгосрочная денежно-финансовая политика, направленная на введение жестких лимитов на ежегодные приросты денежной массы.

)        Сокращение бюджетного дефицита и перестройка структуры доходов и расходов государственного бюджета в соответствии с требованиями рыночной экономики.

)        Увеличение совокупного предложения посредством структурного преобразования народного хозяйства, государственное стимулирование научно-технического прогресса, мотивации инвестиционных процессов, конверсии [1].

Антиинфляционная тактика выступает как совокупность методов краткосрочной антиинфляционной политики, рассчитанной не на устранение глубинных причин инфляции и демонтаж ее основных механизмов, а на сильные, но кратковременные эффекты.

Методы антиинфляционной тактики: а) позволяют резко нарастить предложение без адекватного повышения спроса либо б) способствуют резкому снижению текущего спроса без соответствующего падения предложения.

В зависимости от теоретических основ проводимой правительством антиинфляционной политики принято различать три относительно различных блока в пакете антиинфляционных мер: дефляционную политику, политику доходов и политику валютного курса.

Дефляционная политика сводится к ограничению денежного спроса через денежно-кредитный и налоговый механизмы. Особенность действия дефляционной политики заключается в том, что она, как правило, вызывает краткосрочное замедление экономического роста.

Ограничение денежной массы представляет собой важнейший элемент этой политики. Данное ограничение наиболее выпукло проявляется в установлении лимитов ежегодного прироста денежной массы. Предел денежной экспансии - это барьер, ограничивающий любую деятельность правительства независимо от состояния бюджета, интенсивности капиталовложений, уровня безработицы и т.д.

Введение режима денежных ограничений обычно осуществляется комплексом мер, находящихся в распоряжении Национального банка. Первая из них - регулирование учетной ставки процента. Под ней понимается процент за кредит, который Национальный банк предоставляет всем прочим банкам. Рост ставки вызывает, по крайней мере, три эффекта. Уменьшается нарастание денежной массы в обращении. Вместе с тем рост этой ставки всегда сопровождается взлетом процентных ставок коммерческих банков, а это значит, что с ростом стоимости денег усиливаются негативные эффекты в производстве, стимулируется его спад, что способно породить волну банкротств. В конечном итоге подавляется инвестиционная активность.

Вторым важным инструментом антиинфляционной политики центрального банка по ограничению прироста денежной массы является норма обязательных резервов. В соответствии с ней рассчитывается денежная сумма, которую коммерческий банк не имеет права давать взаймы и обязан временно держать на своем счете в центральном банке. Этим самым регулируется объем кредитов, которые могут выдавать своим клиентам коммерческие банки.

Третий антиинфляционный инструмент - операции центрального банка на открытых фондовых рынках (продажа и покупка государственных ценных бумаг) с целью регулирования денежной массы. Продавая государственные долговые обязательства, центральный банк сокращает денежную массу, а покупая - увеличивает.

В рамках дефляционной политики важную роль играет также балансирование и бездефицитность государственного бюджета за счет роста его доходов и снижения расходов.

Политика доходов как метод антиинфляционной тактики делает акцент на контроле над ценами и заработной платой. Она используется тогда, когда инфляция в стране инициируется необоснованно высокими и быстро растущими производственными издержками. Главной целью этой политики является достижение стабильности цен. К антиинфляционным мерам относятся:

)        Длительное и целенаправленное регулирование государством цен на отдельные (важнейшие) товары и услуги, часто производимые в условиях монополии или олигополии. Это регулирование может быть прямым или косвенным, т.е. через государственные закупки, займы, субсидии, калькулирование производственных затрат, недопущение ценовых сговоров, количественные ограничения на импорт, экспортные премии и импортные пошлины. В том или ином виде косвенное регулирование сегодня действует практически во всех странах мира.

2)      Добровольное регулирование доходов. Здесь государство направляет свои усилия на успешное завершение ежегодных переговоров между трудящимися и работодателями, т.е. на установление реальных границ роста цен и зарплаты в зависимости от ожидаемого повышения производительности труда и общего состояния экономики страны. Оно активно воздействует на обоих партнеров по переговорам, подталкивает их к достижению взаимоприемлемых трудовых соглашений или коллективных договоров на всех уровнях (национальном, отраслевом, в рамках предприятия).

Политика валютного курса представляет собой комплекс мер, направленный на стабилизацию обменного курса национальной валюты. Она применяется в странах, открытых внешнему миру и сильно зависящих от внешней торговли. Фиксация обменного курса становится фактически основным залогом на пути инфляционной волны. Такая антиинфляционная политика представляется оправданной, особенно если процесс долларизации экономики зашел слишком далеко, а доверие к национальной валюте сильно подорвано. Основными антиинфляционными мероприятиями являются:

)        Гласное и широкое разъяснение через средства массовой информации намеченной антиинфляционной стратегии с целью завоевания общественного доверия и поддержки.

2)      Создание специального стабилизационного фонда (золотовалютных резервов) путем внутреннего и внешнего заимствования.

)        Ужесточение бюджетной политики, направленной на значительное сокращение или ликвидацию существующего бюджетного дефицита.

)        Введение фиксированного обменного курса и ряда сопутствующих ограничений во внешнеэкономической и валютной сфере.

)        Стимулирование экспорта и торможение импорта различными средствами.

)        По мере подавления инфляции и роста золотовалютных резервов снятие введенных ограничений и либерализация соответствующих сфер экономической деятельности.

Несколько особняком стоят институциональные методы антиинфляционной политики и денежная реформа. К институциональным относятся методы, формирующие общие условия и предпосылки для эффективного осуществления антиинфляционной политики. Иными словами, это процедуры создания и укрепления институтов рыночной системы. Эффективно функционирующие рыночные механизмы создают стимулы для расширения предложения товаров и услуг, замедляя или останавливая рост цен и формируя ту среду, в которой возможно эффективное применение иных антиинфляционных мер. Основным направлением институциональных преобразований в экономике является либерализация государственного регулирования рыночной деятельности, в частности ослабление контроля над ценами и экспортно-импортными операциями. Эти меры нацелены на более эффективное распределение местных ресурсов, в том числе их перелив в экспортный сектор экономики.

Суть денежной реформы состоит в попытке изъятия из обращения и замены обесцененных инфляцией денег. Вместо них вводятся новые, устойчивость которых гарантируется на самом высоком государственном уровне.

В зависимости от конкретной антиинфляционной стратегии и тактики правительства денежная реформа может быть начальным или конечным шагом в антиинфляционной борьбе. Без других антиинфляционных мер любая денежная реформа самостоятельного значения в обуздании инфляции не имеет. Денежные реформы могут осуществляться в различных режимах. Наибольшее звучание приобрело в последние годы проведение денежных реформ в режиме «шоковой терапии» [6].

Таким образом, можно сделать следующие выводы. Инфляция - процесс повышения общего уровня цен, сопровождающийся обесцениванием денег. По темпам роста цен выделяют: умеренную, галопирующую и гиперинфляцию. В зависимости от того, какие формы принимает инфляционное неравновесие рынков, различают открытую и подавленную инфляцию. В зависимости от характера роста цен на отдельные товары инфляция бывает сбалансированная и несбалансированная. Инфляция делится на ожидаемую и неожидаемую. Различают также инфляцию спроса и инфляцию предложения. Инфляция в целом оказывает дестабилизирующее влияние на экономику. Даже небольшие темпы ее роста способны привести к существенным экономическим и социальным последствиям. Антиинфляционная политика означает комплекс мер и механизмов по государственному регулированию экономики, направленных на борьбу с инфляцией. Эффективную борьбу с инфляцией легче вести в том случае, если инфляция принимает открытые формы.

2.   Инфляционные процессы в Республике Беларусь, их последствия и принимаемые антиинфляционные меры

Анализ инфляционных процессов в Беларуси в 1991-2004гг. позволяет выделить пять этапов, различающихся природой и динамикой:

·        1991 г. - первое полугодие 1992 г.: скрытая инфляция спроса, существовавшая в административно-командной системе, переходит к ползучей, а от нее - к галопирующей инфляции.

·        Второе полугодие 1992-1994 г.: открытая инфляция спроса со второго полугодия 1993 г. в значительной мере замещается инфляцией предложения, включающей в себя «импортируемую» инфляцию; галопирующая инфляция сменяется гиперинфляцией.

·        1995-1997 гг.: одновременно развивается инфляция спроса и предложения, имеются элементы скрытой инфляции, галопирующая инфляция в отдельные месяцы опускается до ползучей.

·        1998-2000 гг.: сохраняется одновременное протекание инфляции спроса и предложения, особое влияние на рост инфляции предложения оказывает «импортируемая» инфляция, связанная с российским финансовым кризисом 1998г., продолжается существование открытой и скрытой инфляции; по уровню инфляция повышается до галопирующей.

·        2001-2004 гг.: инфляция спроса сохраняется, однако превалирующей становится инфляция предложения, значительную роль в сохранении которой играет «импортируемая» инфляция; наблюдается неуклонное снижение темпов галопирующей инфляции с видимыми перспективами перехода ее в ползучую [13].

Либерализацию экономических отношений, и в частности либерализацию ценообразования, следует рассматривать как фактор, ограничивающий рост цен. При правильном и продуманном использовании рыночных инструментов, создании условий для здоровой конкуренции цены потребительского рынка будут сдерживаться путем вовлечения новых субъектов экономических отношений в сферу производства и реализации потребительских товаров и услуг.

Либерализация ценообразования предполагает два основных направления развития. Первое направление связано с быстрым и резким переходом на новый уровень цен, что влечет существенный рост инфляции в стране, усиление ценовых диспропорций, снижение реальных доходов населения. Именно по такому сценарию проходил процесс либерализации ценообразования в 1992-1994 гг., когда среднемесячный рост цен на потребительском рынке составлял 26-30%, что привело к значительному снижению уровня жизни населения Беларуси. Шоковый вариант либерализации, как правило, вынужденный, неподготовленный, обусловленный отсутствием или неразвитостью рыночных инструментов и механизмов, несоответствием законодательных норм реальным экономическим процессам.

Второй вариант либерализации предполагает плавный, постепенный переход к свободному ценообразованию по мере осуществления рыночных реформ, выработки концептуальных подходов, общих принципов построения системы ценообразования в стране. В данном случае либерализация проходит в несколько этапов, заключающихся в снятии различных барьеров и ограничений при формировании цен на промышленную и сельскохозяйственную продукцию, продукцию, предназначенную на экспорт, товаров и услуг на потребительском рынке. Именно в таком направлении проходил процесс ценовой либерализации в стране начиная с 2000 г. Тем не менее приоритет в проведении ценовой политики государства принадлежал прямому (административному) регулированию. Рыночные методы формирования и регулирования цен во многих сферах не применялись в полной мере, поскольку не было достаточной нормативно-правовой базы, или, говоря по-другому, не были установлены «правила игры» (институциональная среда), формирования и регулирования цен рыночными инструментами.

Начиная с 2008 г. был отменен ряд основополагающих, с точки зрения административного регулирования, документов - «Положение о порядке формирования и применения цен и тарифов» (сентябрь 2008 г.) и «Инструкция о порядке формирования и применения цен и тарифов» (март 2011 г.), достаточно жестко регламентировавшие формирование оптовых и розничных цен и тарифов на потребительском рынке страны. Таким образом, к 2011 г. появились предпосылки перехода к новому этапу либерализации, что и было закреплено в институциональном плане принятием двух документов - Директивы Президента РБ №4 [9] и Указа Президента РБ №72 [8]. В частности, Директивой Президента РБ №4 от 31.12.2010 г. в ценовой сфере предусматривается снижение уровня административного ценового регулирования. Это, в свою очередь, связано с переходом к рыночным механизмам ценообразования, исключением вмешательства органов государственного управления в процесс ценообразования субъектов предпринимательской деятельности, отменой различного рода ограничений в оптовой и розничной торговле.

Также прогрессивным, с точки зрения совершенствования правового поля ценообразования и проведения ценовой политики, является принятый в начале 2011 г. Указ Президента РБ №72 «О некоторых вопросах регулирования цен (тарифов) в Республике Беларусь». Указ предусматривает сохранение государственного регулирования цен (тарифов) на отдельные товары (работы, услуги), имеющие наиболее важное значение для обеспечения экономической безопасности страны, на продукцию организаций-монополистов, а также на социально значимые товары (услуги). Указом определен конкретный перечень товаров (работ, услуг), в отношении которых осуществляется государственное регулирование цен (тарифов), а также органы государственного управления, на которые возлагаются функции по их регулированию.

Переход к новой политике либерализации ценообразования осложнился резкой интенсификацией инфляционных процессов в 2011 г. Но сама по себе либерализация ценообразования не сыграла какой-либо значимой роли в росте цен. Наиболее очевидным инфлятогенным фактором, дестабилизировавшим социально-экономическую ситуацию 2011 г., явилась политика в отношении обменного курса белорусского рубля. Вместе с тем глубинные причины высокой инфляции связаны не только с «переоцененностью» белорусского рубля, проявившейся в 2011 г., но и с нарастанием на протяжении последних пяти лет диспропорций в экономике страны. Причинами инфляции являются не только денежные, но и неденежные факторы, среди которых один из основных - диспропорции в процессе воспроизводства.

В качестве наиболее яркой макроэкономической разбалансировки последних лет следует привести несоответствие роста доходов населения росту цен потребительского рынка. Так, доходы населения за 2006-2010 гг. выросли в 2,9 раза, в то время как цены потребительского рынка в 1,6 раза.

Анализируя инфляционные тренды, следует отметить, что с 2001 и по 2006 г. в стране сложилась устойчивая тенденция снижения темпов роста потребительских цен. Если в 2000 г. цены потребительского рынка выросли более чем в 2 раза, то в последующие годы за счет мер, осуществленных в области денежно-кредитной и валютной политики, институциональных изменений, благоприятной внешней и внутренней конъюнктуры, удалось стабилизировать ценовую ситуацию в стране и перейти в режим низко инфляционного функционирования экономики. В 2005 г. впервые за годы реформ инфляция измерялась однозначной цифрой - 8%.

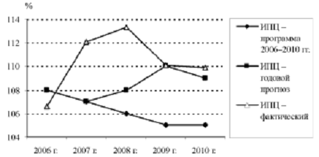
В 2006 г. был достигнут наименьший уровень инфляции - 6,6%. Вместе с тем сложившаяся в 2006-2010 гг. динамика инфляции существенно отличалась от предусмотренной Программой социально-экономического развития Республики Беларусь (ПСЭР) на 2006-2010 гг. [11]. В ПСЭР динамика индекса потребительских цен была построена таким образом, чтобы в 2010 г. уровень инфляции (декабрь к декабрю) составил 5%. Только в 2006 г. фактический параметр инфляции соответствовал прогнозным значениям 107-109% (даже был немного ниже минимального интервального значения прогноза). В последующие годы фактические значения инфляции существенно отличались от параметров, заложенных в Программе.

Следует отметить, что мировой финансово-экономический кризис существенным образом не повлиял на ценовую ситуацию в стране - уровень цен потребительского рынка оставался достаточно высоким. Но если в 2007-2008 гг. тенденция роста цен в нашей стране соответствовала мировому контексту повышения цен на продовольствие и топливо (энергетические товары), то начиная с 2009 г. рост цен в европейских странах существенно замедлился, в то время как в Беларуси заметного спада ценовой напряженности не произошло. По итогам 2010 г. уровень инфляции в Беларуси оказался выше, чем у западных соседей и партнеров по Таможенному союзу - Российской Федерации (на 1 п.п.), Казахстане (2 п.п.).

В 2007 г. инфляция составила 112,1% (по Программе 106-108%); 2008 г. - 113,3 (105 - 107%); 2009 г. - 110% (104-106%); 2010 г. - 109,9 (105%) (рисунок 3).

Рисунок 3 - Прогнозные и фактические значения уровня инфляции (для интервальных значений прогноза взяты средние значения)

Примечание - Источник: [2, с.105]

Как видим, лишь в последние два года показатели годового прогноза, которые принимались значительно выше программных, были выполнены.

На фоне замедления роста цен и стабилизации инфляционных процессов в Российской Федерации и Казахстане (в январе-декабре 2011 г. темпы инфляции -106,1 и 107,4% соответственно) Беларусь в 2011 г. испытала ценовой шок, несоизмеримый по масштабам с ростом цен за последние десять лет. Рассмотрим более подробно, как развивались инфляционные процессы в 2011 году. Рассмотрим более подробно, как развивались инфляционные процессы в 2011 году.

Инфляция по индексу потребительских цен в 2011 г. Составила 208,7%, или в среднемесячном исчислении -106,3%. Рост цен по продовольственной группе товаров - 225,0%; непродовольственной - 212,0; платным услугам населению - 164,9% (таблица 1).

Таблица 1 - Уровень инфляции по индексу потребительских цен в 2011г.,%

Период

Индекс потребительских цен

Среднемесячный ИПЦ

Продовольственные товары

Непродовольственные товары

Услуги населению

Услуги ЖКХ

I квартал II квартал I полугодие III квартал IV квартал 12 месяцев

106,1 128,4 136,2 128,0 119,7 208,7

102,0 108,7 105,3 108,6 106,2 106,3

106,1 128,8 136,7 134,7 122,2 225,0

103,6 140,7 145,8 127,9 113,8 212,0

109,8 110,2 121,0 110,5 123,2 164,9

117,8 96,9 114,1 107,2 116,6 142,5

Примечание - Источник: [2, с.106]

Поквартальная динамика показывает: интенсификация инфляционных процессов началась во II квартале, в III квартале уровень инфляции оставался на стабильно высоком уровне - в среднем за месяц цены потребительского рынка увеличивались на 8,6%. Во II квартале ускорителем инфляционных процессов послужила майская девальвация белорусского рубля, в III квартале широкомасштабной официальной девальвации не происходило. Но результаты оказались идентичными. В IV квартале динамика инфляции была неравномерной. Если в октябре - ноябре рост цен потребительского рынка в среднем составлял 108,1-108,2%, то в декабре произошло резкое замедление темпов инфляции по сравнению с маем - ноябрем до 102,3%.

Декабрьское снижение темпов роста потребительских цен было обусловлено, прежде всего, исчерпанием девальвационного потенциала инфляции. В декабре произошло некоторое укрепление белорусского рубля к доллару, российскому рублю и евро. Среднемесячный курс белорусского рубля к доллару США в декабре составил 8470,09, в то время как в ноябре 8700,89. Кроме этого, сказался сезонный фактор. Традиционно повышенный спрос населения на продовольственные и непродовольственные товары в предновогодний период стимулировал его продавать излишки валюты. Так, в декабре по сравнению с ноябрем продажа валюты населением увеличилась на 85 млн. долл. США и составила 519,4 млн. долл., что было значительно выше среднемесячных продаж валюты начиная с апреля 2011 г. Вместе с тем возрастание сезонного спроса на товары не стало стимулом роста цен для продавцов. Увеличение объемов продаж обеспечивало достаточную прибыль без какого-либо значительного роста цен, т. е. сказался эффект масштаба продаж. Рост розничного товарооборота через все каналы реализации в декабре по сравнению с ноябрем составил 124,2% (аналогичный показатель в 2010 г. - 113,4%).

Основными факторами, повлиявшими на рост цен в 2011 г., выступили, прежде всего, инфляционно девальвационные ожидания населения, производителей и торговых организаций. Ослабление курса национальной валюты в летний период на теневом рынке происходило большими темпами, чем девальвация, осуществляемая Национальным банком Республики Беларусь. Установившийся в сентябре теневой курс белорусского рубля к доллару США наиболее точно отражал на текущий момент рыночный курс, по которому начали осуществляться торги на дополнительной сессии БВФБ. По нашей оценке, прирост потребительских цен за год только за счет девальвации мог составить 94,0% (из расчета средний курс долл. США в декабре 2011 г. НБ РБ 8470,09 BYR к 3010,98 BYR в декабре 2010 г.).

Начиная с мая базовый индекс потребительских цен значительно превосходил индекс роста цен по регулируемой группе товаров (рисунок 4).

Рисунок 4 - Динамика инфляции и ее составляющих (декабрь 2010 г. = 100%)

Примечание - Источник: [2, с.107]

Также резкий рост цен наблюдался на плодоовощную (сезонную) продукцию в мае-июле, что было связано с удорожанием импортных фруктов и овощей. Снижение цен в августе не смогло компенсировать предыдущий и последующий девальвационный рост на сезонную продукцию.

Некоторое сдерживающее влияние на рост цен оказало введение 90-дневного моратория на него по наиболее значимым, в основном продовольственным, позициям (постановление Совета Министров РБ от 28.05.2011 г. №676). Но начиная с сентября среднемесячный прирост цен по регулируемой и сезонной группе товаров превосходил базовую инфляцию.

Своеобразным демпфером еще большего раскручивания инфляции послужили относительно невысокие темпы роста тарифов на платные услуги для населения, в частности услуги жилищно-коммунального хозяйства. Всего за год платежи по жилищно-коммунальным услугам выросли в 1,4 раза - в основном за счет повышения тарифов в феврале на 17,3% и ноябре на 10,9%.

Доминирующий вклад в инфляцию в 2011 г. вносили продовольственные товары (рисунок 5).

Рисунок 5 - Вклад компонентов потребительской корзины в инфляцию в 2011 г

Примечание - Источник: [2, с.106]

Пик роста цен по ним приходится на III квартал, за этот период их вклад в совокупный рост цен составил 61,6%, при одновременном снижении доли непродовольственных товаров и услуг. В итоге за год на долю продовольственных товаров пришлось 61,4 п.п. (56,5%) совокупного прироста потребительских цен; непродовольственных товаров - 34,0 п.п. (31,2%); услуг- 10,1 п.п. (9,3%); услуг жилищно-коммунального хозяйства - 3,2 п.п. (2,9%).

Инфляция в Беларуси в 2011 г. имела преимущественно монетарный характер и была обусловлена главным образом проводимой денежно-кредитной политикой, связанной с чрезмерным эмиссионным кредитованием государственных программ в сочетании с поддержанием официального обменного курса белорусского рубля на завышенном уровне. Уже в I квартале 2011 г. наметились признаки того, что относительно устойчивое положение белорусского рубля может пошатнуться, если не предпринять мер по ужесточению денежно-кредитной политики и переходу к адекватной политике в отношении обменного курса. Тем не менее такие шаги предприняты не были. В результате на внутреннем валютном рынке в условиях высоких девальвационных и инфляционных ожиданий сформировался дефицит валюты. Попытка решить проблему административными методами привела к множественности курсов. Даже майская одномоментная (более чем на 60%) девальвация не смогла нивелировать сложившихся ценовых перекосов на потребительском рынке страны и снизить инфляционно-девальвационные ожидания. В результате в июне - ноябре (за исключением июля) происходила интенсификация инфляционных процессов.

Немаловажным фактором роста цен на потребительском рынке, особенно на рынке продовольствия, является диспаритет цен между Беларусью и Российской Федерацией, усилившийся в летние месяцы вследствие девальвации национальной валюты и неадекватного роста цен на продукты питания. Соотношение цен по некоторым продовольственным товарам мясомолочной группы в Беларуси относительно Российской Федерации в августе по сравнению с январем снизилось более чем в два раза (с учетом теневого курса).

С одной стороны государственные регулирующие органы заморозили цены в связи с введением моратория, с другой - с 1 июля 2011 г. Беларусь вошла в единое таможенное пространство, т. е., по сути, не могла препятствовать любому экспорту (организованному/неорганизованному) товаров. Отечественные товары дешевели относительно российских аналогов, что в условиях прозрачности границ стимулировало их вывоз за пределы страны, приводило к временному дефициту некоторых продуктов питания.

Ситуация начала меняться в сентябре-ноябре, когда резкий рост цен на продовольственные товары (142,2%) превзошел темпы девальвации (сначала на теневом рынке, а затем на доп. сессии БВФБ).

В итоге по некоторым товарам соотношение цен приблизилось к их январскому уровню. Вместе с тем по молочной продукции ценовые соотношения значительно ниже тех, которые были в начале года. Несмотря на рост внутренних цен, их уровень в Беларуси относительно ЦФО Российской Федерации в ноябре составил на молоко 35,4%, творог, сметану - 36,6-38,6%, сыры и сливочное масло - 54-56%. Очевидно, что в сложившейся ситуации отток отечественных товаров (особенно молочной группы) будет продолжаться. Тем более что в целях регулирования розничных цен Министерством экономики (Постановление МЭ Республики Беларусь от 14 декабря 2011 г. №200) в декабре были введены предельные максимальные надбавки к оптовым ценам по ряду продовольственных товаров.

Следует признать, что производителю выгодна реализация продукции на внешнем рынке, поскольку цены внутреннего рынка не соответствуют ни понесенным производителем затратам, ни сравнительному уровню прибыли относительно реализации за пределы страны. В данном случае рыночные механизмы установления цены должны быть скорректированы государственными регуляторами в виде товарных интервенций. Механизм данного вида интервенций предусмотрен в случаях дефицита отдельных видов товаров, а также роста свободных цен, способного повлечь ухудшение жизненного уровня населения (ст. 23 Закона о торговле Республики Беларусь). Кроме этого, для насыщения внутреннего рынка товарами по ценам, соответствующим доходам большинства населения страны, необходимо принять ряд контрольных и, возможно, временных запретительных мер на вывоз товаров молочной группы гражданами в сопредельные страны.

В противном случае в 2012 г. сохраняется угроза неорганизованного экспорта продовольственных товаров гражданами, что может привести к дефициту по некоторым товарным группам, в частности по молочной группе товаров.

Выбранный в качестве прогнозного помесячного тренда индекс потребительских цен должен контролироваться как Национальным банком, так и Министерством экономики и Министерством финансов, Национальным статистическим комитетом. Для этого следует проводить постоянный оперативный ценовой мониторинг с выявлением проблемных товаров и услуг (наиболее высокие темпы прироста цен и существенная доля расходов населения). Необходимо снизить риски инфляционных всплесков через импортную составляющую путем контроля закупки продукции импортерами и цен реализации в розничной сети. В некоторых случаях полезной будет замена традиционных производителей отдельных импортных товаров, поставляющих свою продукцию по высоким ценам, на производителей с более низким ценовым диапазоном. Важным является продвижение таких товаров на внутреннем рынке современными методами торговли и рекламы.

Учитывая инерционность инфляционных процессов, а также временной лаг реакции на принимаемые антиинфляционные меры, первые положительные эффекты могут проявиться начиная со II квартала 2012 г. В III квартале необходимо добиться устойчивого ежемесячного снижения цен потребительского рынка, а в IV - стабилизации ежемесячных темпов прироста цен на уровне прогнозного показателя.

Анализ ценовой динамики на потребительском рынке в 2006-2010 гг. показал, что темпы роста цен, за исключением 2006 г., были значительно выше предусмотренных Программой социально-экономического развития на 2006-2010 гг. Но темпы роста доходов населения значительно превосходили рост потребительских цен, что создавало диспропорции и предпосылки к реализации накопившегося инфляционного потенциала.

Национальная экономика в 2011 г. находилась под воздействием инфляционного шока, несоизмеримого по масштабам с ростом цен за последние десять лет. Ценовая ситуация резко обострилась во II квартале, и на протяжении последующих месяцев (за исключением июля и декабря) инфляционное давление не ослабевало.

Доминирующим фактором ускорения инфляционных процессов в 2011г. вилась широкомасштабная девальвация белорусского рубля, в результате которой белорусский рубль с начала года обесценился почти в три раза. С учетом прямого потребительского импорта, а также доли используемого импортного сырья, материалов, покупных изделий и топлива в объеме производства промышленной продукции, идущей на потребительский рынок, девальвация могла инициировать более 90% прироста потребительских цен.

Непоследовательность действий Национального Банка Республики Беларусь в отношении режима валютного регулирования привела к усилению девальвационно-инфляционных ожиданий субъектов хозяйствования и населения, что в конечном итоге вызывало очередной рост цен. Неопределенность в отношении методов валютного регулирования на протяжении марта - августа текущего года породила множественность валютных курсов, что, в свою очередь, повлияло на ценовую ситуацию на потребительском рынке, провоцировало «народный» экспорт - вывоз товаров за пределы страны в сопредельные страны [2].

После периода ускоренного роста в 2011 году в январе-августе 2012 г. наблюдалось замедление инфляции. Прирост индекса потребительских цен в августе 2012 г. к декабрю 2011 г. составил 14,6% (в среднем за месяц 1,7%). Также замедлился рост цен производителей промышленной продукции, производителей сельскохозяйственной продукции, выросли тарифы на грузовые перевозки. Вместе с тем в августе 2012 г. наблюдалось усиление инфляционных процессов. Базовая инфляция, исключающая изменения регулируемых цен и цен на сезонную продукцию, за шесть месяцев 2012 года составила 9,5% [10].

.        Инфляция в Беларуси в 2011 г. Имела преимущественно монетарный характер и была обусловлена проводимой денежно-кредитной политикой, связанной с чрезмерным эмиссионным кредитованием государственных программ в сочетании с поддержанием официального обменного курса белорусского рубля на завышенном уровне.

.        Немаловажным фактором роста цен на потребительском рынке, особенно на рынке продовольствия, является диспаритет цен между Беларусью и Российской Федерацией, усилившийся в летние месяцы вследствие девальвации национальной валюты и неадекватного роста цен на продукты питания.

.        Прогнозный параметр инфляции на 2012 г. предусматривает рост цен потребительского рынка на 121% к декабрю 2011 г. Это означает, что среднемесячный темп прироста цен не должен превышать 1,6%. Чтобы в 2012 г. не повторилась ситуация 2011 г., необходимо четкое представление о динамике валютного курса, резервах и возможностях регулирования, даже в условиях его свободного формирования. Нивелировка факторов роста цен со стороны валютной и денежно-кредитной политики позволит работать национальной экономике в режиме снижающегося по сравнению с 2011 г. инфляционного фона.

.        Либерализация ценообразования в Беларуси проходит в виде циклического процесса, при котором фазы усиления контроля чередуются с фазами его ослабления. Одновременно решается задача обеспечения и развития свободной конкуренции. Постепенный переход к свободному ценообразованию по мере осуществления рыночных реформ не является фактором интенсификации инфляционных процессов. Наоборот, либерализация, наряду с развитием конкуренции, способствует сдерживанию роста цен.

Заключение

Таким образом, из изложенного выше видно, что инфляция - это сложный многопрофильный процесс, наносящий серьезный ущерб экономике страны, ее населению. Борьба с ней с целью ее снижения требует больших сил и материальных затрат. Проанализировав инфляционные процессы, можно сделать следующие выводы:

.        Инфляция негативно влияет на экономику через обесценивание промышленного капитала, снижение реальной заработной платы, усиление диспропорций в экономике, сдерживание процесса накопления капитала, дезорганизацию хозяйственных связей.

.        Одним из инструментов, используемых для сдерживания роста цен, является контроль со стороны государства за их формирование и применением. Вместе с тем в последнее время принят ряд законодательных и нормативных документов, определивших политику в области ценообразования на ближайшую и долгосрочную перспективу. Прежде всего - это закон "О ценообразовании" и Концепция ценообразования, согласно которым в Республике Беларусь взят курс на совершенствование и расширение расчетных механизмов ценообразования, дальнейшую либерализацию цен с сокращением в перспективе государственного регулирования и контроля за ценами лишь в отношении отдельных видов товаров и услуг. Контроль и ценовые ограничения будут сниматься по мере создания соответствующих экономических предпосылок - стабилизации финансовой ситуации, принятие адекватных мер в области денежно-кредитной и валютной политики, социальной защиты населения. Предусматривается сохранить ценовое регулирование только в отношении предприятий-монополистов, а также отдельных социально значимых товаров и услуг.

.        К причинам усиления инфляционных процессов следует отнести также постоянное падение валютного курса белорусского рубля.

.        Основными факторами, обусловившими темпы роста цен и оказавшими влияние на инфляционные процессы, стали девальвация белорусского рубля, значительный рост рублевой денежной массы, множественность курсов национальной валюты, инфляция издержек, в большей степени обусловленная энерго- и ресурсозависимостью отечественной промышленности, а также необоснованное в ряде случаев завышение цен и тарифов.

.        Республика Беларусь в современных условиях переходит от таргетирования валютного курса к смешанному инфляционному таргетирования, а в перспективе - к прямому инфляционному таргетированию. В условиях установления целевых ориентиров по инфляции основным инструментом регулирования процессов в денежно-кредитной сфере становится процентная ставка.

.        Всю совокупность мер антиинфляционной политики, применяемых в Республике Беларусь, можно условно разделить на три группы: комплекс мер по ограничению издержек и ресурсосбережению; комплекс мер по ограничению монетарных факторов инфляции и комплекс мер по структурному регулированию рынка товаров и услуг и совершенствованию системы ценообразования.

.        Основным приоритетом антиинфляционной политики республики является поддержание уровня инфляции в пределах, которые устанавливаются в Основных направлениях социально-экономического развития на каждый год. Правительство стремиться осуществлять поэтапное снижение уровня инфляции, соответственно каждый год пределы, в которых может колебаться уровень инфляции, снижаются на 1-3 процентных пункта.

Список использованных источников

1 Базылева, М.Н. Экономическая теория: учеб. пособие / М.Н. Базылева, Н.И. Базылев. - 2-е изд. - Минск: Современная школа, 2010. - 640с.

         Василега, В.Г. Либерализация ценообразования и инфляционные процессы в Беларуси / В.Г. Василега // Белорусский экономический журнал. - 2012. - №1. - С. 103-111.

3       Гляцевич Ж.П. Возможности применения инфляционного таргетирования в Республике Беларусь [Электронный ресурс] / Белорусский государственный экономический университет. - Минск, 2012. - Режим доступа: ket@bseu.by <mailto:ket@bseu.by>. - Дата доступа: 21.10.2012.

4 Карпец, О.В. Экономическая теория. Часть 2. Макроэкономика / О.В.Карпей. - Владивосток, 1999. - 60с.

Косов, Н.С. Основы макроэкономического анализа: учебное пособие / Н.С. Косов. - Тамбов: Изд-во Тамб. гос. техн. ун-та, 2007.- 140 с.

Макроэкономика: социально ориентированный подход: учебник для студентов экономических специальностей, обеспечивающих получение высшего образования: 2-е изд., перераб. и доп. / Э.А. Лутохина [и др.]; под ред. Э.А. Лутохиной. - Минск: ИВЦ Минфина, 2010. - 442с.

Микро- и макроэкономика: учеб. пособие для вузов / М. И. Плотницкий [и др.]; под ред. М. И. Плотницкого. - Мн.: Кн. дом, 2004. - 224с.

О некоторых вопросах регулирования цен (тарифов) в Республике Беларусь: Указ Президента Республики Беларусь №72 от 25 февраля 2011 г // Консультант Плюс: Беларусь. Версия 4000.00.52 [Электронный ресурс] / Нац. центр правовой информ. Респ. Беларусь. - 2011. - Дата доступа: 21.10.2012.

О развитии предпринимательской инициативы и стимулировании деловой активности в Республике Беларусь: Директива Президента Республики Беларусь от 31 декабря 2010 г. №4 // Консультант Плюс: Беларусь. Версия 4000.00.52 [Электронный ресурс] / Нац. Центр правовой информ. Респ. Беларусь. - 2011. - Дата доступа: 21.10.2012.

Основные тенденции в экономике и денежно-кредитной сфере Республики Беларусь. Аналитическое обозрение [Электронный ресурс] / Национальный банк Республики Беларусь. - Минск, 2012. - Режим доступа: http://www.nbrb.by/publications/ectendencies. - Дата доступа: 21.10.2012.

Программа социально-экономического развития Республики Беларусь на 2006-2010 годы. Минск: Беларусь, 2006. - Дата доступа: 21.10.2012.

Семенихина, В.А. Экономическая теория: макроэкономика: Учеб. пособие / В.А. Семенихина, С.А. Крючков; Отв. ред. д-р экон. наук, профессор P.M. Гусейнов. - Новосиб. гос. архитектур.-строит. ун-т. - Новосибирск: НГАСУ, 2003. - 136 с.

Экономическая теория: учебное пособие / И.В. Новикова [и др.]; под ред. И.В. Новиковой. - Мн.: БГЭУ, 2006. - 543 с.

Яллай, В.А. Макроэкономика / В.А. Яллай. - Псков: ПГПИ, 2003. - 104с.

Похожие работы на - Инфляционные процессы в Республике Беларусь, их последствия и принимаемые антиинфляционные меры

 

Не нашли материал для своей работы?
Поможем написать уникальную работу
Без плагиата!
Без нейросетей!