Валидационная оценка таблеток левомицетина
ГБОУ
ВПО Пятигорский Медико-фармацевтический Институт
Филиал
Волгоградского Государственного Медицинского Университета
Кафедра
фармацевтической химии
левомицетин таблетка антибиотик валидационный
Курсовая
работа
Валидационная
оценка методик анализа левомицетина
в
таблетках по 0,25
Выполнила: студентка 520-группы
Гукетлова Оксана Мусабиевна
Руководитель: старший преподаватель,
Саморядова Анна Борисовна
Пятигорск,
2013
План курсовой
работы
Введение
. Описание
препарата
1.1 Название,
формула.
1.2 Химические
свойства
1.3 Физические
свойства
1.4 Способ
получения
.5 Физические
и химические методы анализа
1.6 Применение
и формы выпуска
2. Валидационная
оценка аналитических методик
2.1 Специфичность
2.2 Линейность
2.3 Прецензионность
2.4 Правильность
Выводы
Список
литературы
Введение
Качество лекарственных препаратов - это
показатель который зависит от множества факторов. На каждой стадии
производства, будь то анализ субстанции для изготовления или проведение
инструктажа персонала необходима строгая упорядоченность мероприятий по
осуществлению контроля.
В данной работе внимание уделяется контролю
методов анализа фармацевтической продукции - валидационной оценке аналитических
методик.
Валидационная оценка аналитических методик - это
экспериментальное доказательство аналитической методики.
Валидационной оценке подвергаются методы:
· Идентификации ЛС;
· Установление пределов содержания
примесей
родственных соединений
тяжелых металлов
Ø Количественного определения
ЛВ
индивидуальных примесей
консервантов.
Основные валидационные характеристики ,
рассматриваемые в данной работе, это:
Ø Специфичность
Ø Линейность
Ø Прецензионность
Ø Правильность.
Цели работы
. Изучение процесса валидационной оценки
методик анализа лекарственных средств.
. Установить соответствие методик анализа
таблеток левомицетина по 0,25 по показателю специфичность.
. Установить соответствие методик анализа
таблеток левомицетина по 0,25 по показателю линейность.
. Установить соответствие методик анализа
таблеток левомицетина по 0,25 по показателю прецензионность.
. Установить соответствие методик анализа
таблеток левомицетина по 0,25 по показателю правильность.
. Сделать определенные выводы на основе
результатов испытаний.
Литературный обзор
1. Историческая
справка
Из большого числа антибиотиков, являющихся
ароматическими соединениями (производными нитрофенилалкиламинов), в медицинской
практике применяют хлорамфеникол, или левомицетин, обнаруженный впервые в 1947
году в культуральной жидкости актиномицета Streptomyces venezuelae. В 1949 году
установлена его химическая структура и осуществлен синтез. Хлорамфеникол был
первым антибиотиком, химический синтез которого внедрен в промышленном
масштабе, в то время как большинство других антибиотиков получают биосинтезом.
Этому в значительной степени способствовала сравнительно простая химическая
структура хлорамфеникола.
1. Описание препарата
.1 Название, формула
Левомицетин (хлорамфеникол)
-D-(-)-трео-1-n-нитрофенил-2-дихлорацетиламинопропандиол-1,3
Рисунок 1. Структурная формула хлорамфеникола
Хлорамфеникол (левомицетин) - антибиотик
широкого спектра действия. Синтетическое вещество, является продуктом
жизнедеятельности микроорганизма Streptomyces venezuelae. D- (-) - трео-1-
параНитрофенил -2-дихлорацетиламино-пропандиол - 1,3. Синонимы: Хлороцид,
Alficetin, Berlicetine, Biophenicol, Chemicetin, Chloramphenicolum,
Chlornitromycin, Chlorocyclina, Chloromycetin, Chloronitrin, Chloroptic,
Clobinecol, Detreomycina, Halomycetin, Leukomycin, Paraxin, Synthomycetin,
Tifomycetin, Typhomycin и др. Хлорамфеникол - первый антибиотик, полученный
синтетически. Применяют для лечения брюшного тифа, дизентерии и других
заболеваний. Токсичен. Регистрационный номер CAS: 56-75-7.
.2 Химические свойства
По химическому строению хлорамфеникол
представляет собой n-нитрофенил-2-дихлорацетиламинопропандиол-1,3.
Молекула этого вещества включает два асиметрических атома углерода, поэтому
возможно существование четырех пространственных изомеров: D-трео,
L-трео, D-эритро,
L-эритро, Трео- и
эритро-изомеры различаются пространственным расположением функциональных групп
в молекуле:
Рисунок 2. Пространственные изомеры
хлорамфеникола
Оптическая активность зависит от конфигурации
всех асиметрических атомов углерода, поэтому как в D-ряду,
так и в L-ряду могут быть
левовращающие и правовращающие изомеры.
Геометрические и оптические изомеры n-нитрофенил-2-дихлорацетиламинопропандиол-1,3
отличаются по физиологической активности. D-(-
) и L-(+)-эритро-формы представляют
собой токсичные вещества и поэтому в медицине не применяются. Природный
хлорамфеникол соответствует D-(-)-трео-изомеру,
то есть является левовращающим изомером трео-формы. Ввиду этого он получил
название левомицетин. L-(+)-трео-изомер(правовращающий
антипод хлорамфеникола) неактивное вещество. Смесь D-(-)
и L-(+)-трео-изомеров
известна под названием синтомицина.
.3 Физические свойства
Белый или белый со слабым желтовато-зеленым
оттенком кристаллический порошок без запаха. Температура плавления 149-1530С.
Удельное вращение от +18 до +210 (5%-ный раствор в этаноле). Левомицетин мало
растворим: в воде, эфире, хлороформе, растворим в этилацетате, легко растворим
в этаноле.
Получают хлорамфеникол синтетическим путем,
выделяя на определенных этапах синтеза необходимые изомеры. Из многочисленных
исходных продуктов синтеза наиболее экономичен и доступен n-нитроацетофенон.
Вначале синтезируют так называемое основание хлорамфеникола (D,
L-трео-1-n-нитрофенил-2-аминопропандиол-1,3).
Рисунок 3. Получение "основания"
хлорамфеникола.
Полученное "основание" разделяют на
оптические антиподы последовательной кристаллизацией из водного раствора или с
применением D-винной кислоты. Затем на D-(-)-трео-изомер действуют метиловым
эфиром дихлоруксусной кислоты и получают хлорамфеникол:
Рисунок 4. Конечная стадия синтеза
хлорамфеникола
.5 Физические и химические методы анализа
Подлинность хлорамфеникола подтверждают по УФ-спектру
0,002%-ного водного раствора, который в области 220-400 нм имеет максимум
поглощения при 278 нм и минимум при 237 нм. ФС рекомендует устанавливать
величину удельного показателя поглощения при длине волны 278 нм (от 290 до
305). Водный 0,04%-ный раствор хлорамфеникола натрия сукцината в области
230-350 нм имеет один максимум поглощения при длине волны 276 нм. Для
идентификации хлорамфеникола и хлорамфеникола натрия сукцината использованы
вторые производные УФ-спектров поглощения, а также значения отношений
оптических плотностей в максимумах и минимумах поглощения (растворители вода,
этанол).
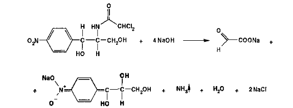
Реакция гидролиза в щелочной среде лежит в
основе испытания подлинности хлорамфеникола и его производных. При нагревании в
течение 1-2 мин с 15%-ным раствором гидроксида натрия хлорамфеникол и
хлорамфеникола стеарат приобретают желтое окрашивание, переходящее и
красно-оранжевое. В отличие от хлорамфеникола стеарата хлорамфеникол при
дальнейшем нагревании в щелочной среде образует кирпично-красный осадок ациформы
n-нитрофенилпропандиола-1,3. Одновременно ощущается запах аммиака. Фильтрат
после подкисления азотной кислотой дает характерную реакцию на хлориды. Это
позволяет подтвердить наличие в молекуле хлорамфеникола нитрофенильного
радикала, аминогруппы и ковалентно связанного атома хлора, поскольку при
щелочном гидролизе образуется "основание" хлорамфеникола, переходящее
в аци-форму, выделяются аммиак и натриевая соль глиоксиловой кислоты:
Рисунок 5. Реакция гидролиза хлорамфеникола в
щелочной среде.
Хлорамфеникол, подобно эфедрину, за счет наличия
в молекуле спиртового гидроксида и вторичной алифатической аминогруппы может
образовывать окрашенные комплексные соединения с солями тяжелых металлов. С
раствором сульфата меди образуется синий осадок, который растворяется в
н-бутаноле, окрашивая его слой в фиолетовый цвет. Известны многочисленные
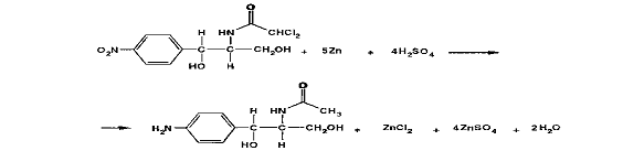
способы идентификации и количественного определения, основанные на
предварительном гидрировании (цинковой пылью в кислой среде) нитрогруппы и
молекуле хлорамфеникола до аминогруппы. Одновременно отщепляются атомы хлора:
Рисунок 6. Предварительное гидрирование цинковой
пылью в кислой среде.
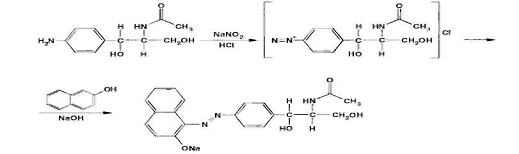
Образовавшийся
1-n-аминофенил-2-ацетиламинопропандиол-1,3 диазотируют и превращают в
азокраситель, сочетая с β-нафтолом, α-нафтиламином
или другим амином или фенолом. Например, в результате азосочетания с β-нафтолом
образуется азокраситель красного цвета:
Рисунок 7. Образование азокрасителя
Для идентификации лекарственных веществ,
содержащих в молекуле нитрогруппу, используют также испытание, основанное на
последовательном гидрировании (цинком в хлороводородной кислоте) до
ароматического амина с последующей его конденсацией с n-диметиламинобензальдегидом
до образования окрашенной соли основания Шиффа. Хлорамфеникол в этих условиях
приобретает ярко-оранжевое окрашивание.
Рисунок 8. Образование основания Шиффа
Наличие исходных и промежуточных продуктов
синтеза в хлорамфениколе устанавливают методом ТСХ на пластинках Силуфол УФ-254
в системе хлороформ-метанол-вода (90:10:1). На хроматограмме допускается
наличие не более трех посторонних пятен, каждое из которых не должно превышать
пятно свидетеля по величине и интенсивности (не более 0,5% каждой примеси).
Количественное определение хлорамфеникола по ФС
выполняют нитритометрическим методом после предварительного гидрирования в
кислой среде цинковой пылью.
Содержание хлорамфеникола определяют и обратным
бромид-броматометрическим методом. Однако этому, как и в случае нитритометрии,
должна предшествовать стадия гидрирования нитрогруппы в аминогруппу с помощью
цинковой пыли и хлороводородной кислоты при нагревании на кипящей водяной бане.
Остаток цинка удаляют фильтрованием и к фильтрату добавляют избыток 0,1 M
раствора бромата калия в присутствии бромидов. Количество непрореагировавшего
титранта устанавливают с помощью йодида калия. Выделившийся йод оттитровывают
0,1 М раствором тиосульфата натрия.
Реакция образования комплексного соединения
хлорамфеникола с ионом меди (II) использована для прямого титрования
хлорамфеникола 0,01 М раствором сульфата меди (индикатор мурексид). Известны
также аргентометрическое и меркуриметрическое определение хлорамфеникола по
хлорид-иону, образующемуся после его окисления пероксидом водорода в щелочной
среде. В результате этой реакции образуются две молекул хлорида натрия.
Хлорид-ион можно получить и при озолении хлорамфеникола в присутствии
карбонатов натрия и калия.
.6 Применение и формы выпуска
Левомицетин антибиотик широкого
спектра действия. Эффективен в отношении многих грамположительных и
грамотрицательных бактерий, анаэробов, риккетсий, спирохет и некоторых крупных
вирусов (возбудители трахомы, пситтакоза, пахового лимфогранулематоза и др.).
Действует на штаммы бактерий, резистентные к пенициллину, стрептомицину,
сульфаниламидам. Слабоактивен в отношении кислотоустойчивых бактерий,
синегнойной палочки, клостридий и простейших.
В обычных дозах оказывает бактериостатическое действие. Механизм антимикробного
действия связан с нарушением синтеза белков микроорганизмов.
Применяют при брюшном и сыпном тифе,
паратифах, дизентерии, генерализованной форме сальмонеллеза, бруцеллезе,
коклюше, туляремии, менингите, сибирской язве, риккетсиозах, газовой гангрене,
абсцессах головного мозга, пневмонии, сепсисе, остеомиелите, инфекциях органов
малого таза, хламидиозе. При инфекционных процессах иной этиологии, вызванных
возбудителями, чувствительными к действию левомицетина, препарат показан в
случае неэффективности других химиотерапевтических средств. Используют также
местно для профилактики и лечения инфекционных заболеваний глаз и кожи, при
наружном отите. Назначают внутрь в таблетках и капсулах (обычно за 30 мин до
еды, в случае тошноты или рвоты - через час после еды), местно - в виде водных
растворов и мазей. Разовая доза для взрослых 0,25-0,5 г, суточная - 2 г. В
особо тяжелых случаях (брюшной тиф и др.) можно назначать препарат в дозе до 4
г в сутки (под строгим наблюдением врача и контролем за состоянием крови и
функцией почек). Разовая доза для детей до 3 лет 10-15 мг/кг, от 3 до 8 лет -
0,15-0,2 г, старше 8 лет - 0,2-0,3 г; принимают 3-4 раза в сутки. Таблетки
пролонгированного действия назначают только взрослым: в первые дни болезни по
1,3 г (2 таблетки) 2 раза в день, после нормализации температуры тела по 0,65 г
(1 таблетка) 2 раза в день. Курс лечения 7-10 дней. По показаниям его можно
продлить до 2 нед при хорошей переносимости и отсутствии изменений в
кроветворной системе. Местно левомицетин применяют в виде 1-5% линимента и
0,25-5% спиртового раствора для лечения трахомы, гнойничковых поражений кожи,
фурункулеза, ожогов, трещин и т. п. Повязки с линиментом назначают при гнойной
раневой инфекции. При лечении конъюнктивитов, кератитов, блефаритов и трахомы
используют 1% линимент или 0,25% водный раствор (глазные капли).
Формы выпуска:
Ø таблетки
по 0,25 и 0,5 г;
Ø капсулы
по 0,1; 0,25 и 0,5 г;
Ø 1%; 3%
и 5% спиртовые растворы для наружного применения во флаконах по 25 и 40 мл;
Ø 0,25%
раствор (глазные капли) во флаконах по 5 и 10 мл;
Ø 1%;
2,5% и 5% линимент в тубах по 25 и 30 г и 2,5% - в банках по 25 и 60 г.
2. Валидационная
оценка аналитических методик
Приказом Министерства здравоохранения и
социального развития РФ от 30 октября 2006г. №736 принят Административный
регламент Федеральной службы по надзору в сфере здравоохранения и социального
развития, который предусматривает в структуре регистрационного досье данные о
валидации аналитических методик. Кроме того, в соответствии с ГОСТ Р 52249-2004
"Правила производства и контроля качества лекарственных средств"
(раздел 6) отдел контроля качества должен обеспечить валидацию методик контроля
качества. Однако, в тоже время, данные документы не регламентируют требования к
проведению валидации аналитических методик и испытания. Следует отметить, что в
Российской Федерации на сегодняшний день нет собственного однозначного
нормативного документа регламентирующего порядок проведения процедуры
валидации. Однако, в 2007 году в Российской Федерации издано "Руководство для
предприятий фармацевтической промышленности (методические рекомендации) ",
которое утверждено и введено в действие решением общего собрания членов
Ассоциации российских фармацевтических производителей, а также рекомендовано к
использованию Федеральной службой по надзору в сфере здравоохранения и
социального развития специалистам, занятым в сфере обращения лекарственных
средств. Одна из частей данного руководства посвящена валидации методик анализа
лекарственных средств. Официальному признанию методики анализа предшествует
процедура её метрологической аттестации. В фармацевтической практике этот
процесс называется валидацией, то есть экспериментальное доказательство того,
что методика пригодна для решения поставленных задач. В зависимости от
характера аналитической методики могут применяться те или иные валидационные
характеристики (табл.1).
Таблица 1 - Валидационные характеристики
основных типов методик
|
Наименование
характеристики
|
Типы
методик
|
|
Испытание на подлинность
|
Посторонние
примеси
|
Количественное определение:
|
|
|
Количественные
методики
|
Пределы
содержания
|
Основного действующего вещества, нормируемых
компонентов
|
Действующего вещества в тесте «Растворение»
|
|
Специфичность**
|
Да
|
Да
|
Да
|
Да
|
Да
|
|
Линейность
|
Нет
|
Да
|
Нет
|
Да
|
Да
|
|
Аналитическая
область
|
Нет
|
Да
|
*
|
Да
|
Да
|
|
Правильность
|
Нет
|
Да
|
Да
|
Да
|
|
Прецизионность:
- повторяемость (сходимость) - внутрила-бораторная воспроизводимость
|
Нет
Нет
|
Да Да
|
Нет Нет
|
Да Да
|
Да Нет
|
|
Предел обнаружения (чувствительность)
|
Нет
|
Нет2
|
Да
|
Нет
|
Нет
|
|
Предел количественного определения
|
Нет
|
Да
|
Нет
|
Нет
|
Нет
|
|
Робастность
(устойчивость)
|
Нет
|
*
|
*
|
*
|
*
|
*
может определяться при необходимости;
**отсутствие
специфичности одной аналитической методики может быть компенсировано
использованием другой аналитической методики;
1-необходимо
только для новых методик, не имеющих аналогов;
2-необходимо
в случаях, когда предел обнаружения близок к пределу количественного
определения.
Для проведения анализа по показателям
специфичность, линейность прецензионность и правильность используются растворы
модельных смесей следующего состава:
Раствор модельной смеси А1. Точные
навески левомицетина - субстанции (0,200 г) и таблеточной массы - натрия
хлорида (0,200 г) помещают в мерную колбу вместимостью 100 мл, прибавляют 15 мл
0,1 М раствора кислоты хлористоводородной, перемешивают, доводят тем же
растворителем до метки, перемешивают.
Раствор модельной смеси А2. Точные
навески левомицетина - субстанции (0,250 г) и таблеточной массы - натрия
хлорида (0,150 г) помещают в мерную колбу вместимостью 100 мл, прибавляют 15 мл
0,1 М раствора кислоты хлористоводородной, перемешивают, доводят тем же
растворителем до метки, перемешивают.
Модельной смеси А3. Точные навески
левомицетина - субстанции (0,300 г) и таблеточной массы - натрия хлорида (0,100
г) помещают в мерную колбу вместимостью 100 мл, прибавляют 15 мл 0,1 М раствора
кислоты хлористоводородной, перемешивают, доводят тем же растворителем до
метки, перемешивают.
Так же используется раствор сравнения который
приготавливают следующим образом:
Точную навеску СО левомицетина (0,1г) помещают в
мерную колбу вместимостью 100 мл, растворяют в 0,1 М растворе кислоты
хлористоводородной, доводят 0,1 М раствором кислоты хлористоводородной до метки
и перемешивают.
2.1 Специфичность
Под специфичностью методики следует понимать
способность достоверно определять анализируемое соединение в присутствии других
компонентов образца - лекарственных веществ, вспомогательных веществ и
посторонних прим Установление специфичности в тестах "Испытание на
подлинность".
Для установления специфичности в идентификационных
тестах, основанных на качественных реакциях, следует убедиться как в отсутствии
по-ложительного эффекта реакции на сопутствующие вещества, так и в возможности
ингибирования данной реакции компонентами образца.
При доказательстве подлинности
спектрофотометрическим методом необходимо убедиться в отсутствии
светопоглощения у второго компонента, вспомогательных и сопутствующих веществ.
Установление специфичности в тестах
"Количественное определение"
Методики, используемые для количественного определения
также должны подвергаться валидационной оценке по данному критерию.
Спектрофотометрический метод. При выполнении анализа спектрофото-метрическим
методом нужно подтвердить, что сопутствующие компоненты не мешают определению.
Готовят модельные смеси по следующей методике:
Раствор модельной смеси А1. Точные
навески левомицетина - субстанции (0,200 г) и таблеточной массы - натрия
хлорида (0,200 г) помещают в мерную колбу вместимостью 100 мл, прибавляют 15 мл
0,1 М раствора кислоты хлористоводородной, перемешивают, доводят тем же
растворителем до метки, перемешивают.
Раствор модельной смеси А2. Точные
навески левомицетина - субстанции (0,250 г) и таблеточной массы - натрия
хлорида (0,150 г) помещают в мерную колбу вместимостью 100 мл, прибавляют 15 мл
0,1 М раствора кислоты хлористоводородной, перемешивают, доводят тем же
растворителем до метки, перемешивают.
Модельной смеси А3. Точные навески
левомицетина - субстанции (0,300 г) и таблеточной массы - натрия хлорида (0,100
г) помещают в мерную колбу вместимостью 100 мл, прибавляют 15 мл 0,1 М раствора
кислоты хлористоводородной, перемешивают, доводят тем же растворителем до
метки, перемешивают.
В модельной смеси 1 с помощью качественных
реакций необходимо доказать подлинность каждого компонента лекарственного
средства.
В модельной смеси 2 с помощью качественных
реакций на второй компо-нент подтверждают отсутствие аналитического эффекта у
первого компонента.
В модельной смеси 3 с помощью качественных
реакций на первый компонент подтверждают отсутствие аналитического эффекта у
второго компонента.
Необходимо провести определение специфичности
одного из ингредиентов в тесте "Количественное определение"
титриметрическим методом.
Для этого используют модельную смесь 2,
содержащую только первый ингредиент, определяемый спектрофотометрическим
методом.
Согласно методике проводят титрование навески
модельной смеси 2. Необходимо убедиться, что компонент 1 не титруется в данных
условиях.
Проводят определение специфичности одного из
ингредиентов в тесте "Количественное определение"
спектрофотометрическим методом. Для этого используют модельную смесь 3,
содержащую только второй ингредиент, определяемый титриметрическим методом.
Выводы:
Ø В модельной смеси 1 реакции на
подлинность компонентов смеси - левомицетин и натрия хлорид дают положительный
результат.
Ø В модельной смеси 2 реакции на
натрия хлорид дают отрицательный результат.
Ø В модельной смеси 3 отсутствие
аналитического эффекта у качественных реакций на левомицетин.
Ø Количественное определение модельной
смеси 2 дает понять что количественно левомицетин не обнаруживается методом
аргентометрии.
Ø Количественное определение модельной
смеси 3 дает понять что содержание натрия хлорида нельзя определить с помощью
спектрофотометрии.
Основываясь на данных выводах можно сделать
заключение о специфичности данной методики.
.2 Линейность
Линейная зависимость устанавливается на
основании результатов испытаний, которые пропорциональны концентрации
анализируемого вещества в образце в пределах аналитической методики. Линейность
результатов может быть представлена графически в виде зависимости аналитических
сигналов от концентрации вещества (не менее 5).
Аналитическая методика должна быть
охарактеризована следующими параметрами для подтверждения линейности:
коэффициент регрессии, уголнаклона линии регрессии и остаточная сумма площадей.
Для установления максимума светопоглощения
раствора левомицетина снимают спектр поглощения 0,002% раствора СО в 0,1 М
растворе кислоты хлористоводородной. Приготовление раствора описано ниже при построении
градуировочного графика. Максимум должен находиться при длине волны 278 нм
(например, оптическая плотность Аст=0,295).
Точную навеску СО левомицетина (0,10 г) помещают
в мерную колбу вместимостью 100 мл, прибавляют 15 мл 0,1 М раствора кислоты хлористоводородной,
перемешивают, доводят тем же растворителем до метки, перемешивают.
В мерные колбы вместимостью 100 мл
последовательно вносят 1,0 мл; 2,0 мл; 3,0 мл; 4,0 мл; 5,0 мл раствора А и
доводят 0,1 М раствором кислоты хлористоводородной до метки (получают 0,001%;
0,002%; 0,003%; 0,004% и 0,005% растворы).
Измеряют оптическую плотность каждого раствора
на спектрофотометре при длине волны 278 нм в кювете с толщиной слоя 10 мм.
Раствор сравнения - 0,1 М раствор кислоты хлористоводородной.
Таблица 1. Результаты измерения оптической
плотности.
|
V 0,02% р-ра (мл)
|
1
|
3
|
4
|
5
|
|
С
р-ра в %
|
0,02
|
0,04
|
0,06
|
0,08
|
0,1
|
|
Оптическая
плотность
|
0,005
|
0,018
|
0,053
|
0,07
|
0,135
|
Рисунок Градуировочный график линейной
зависимости оптической плотности от концентрации левомицетина.
.3 Прецезионность
Прецензионность методики характеризуется
рассеянием результатов относительно среднего значения. Определение проводят
следуя данной методике:
Готовят параллельно по три раствора.
Растворы Б1, Б2, Б3.
В три мерные колбы вместимостью 100 мл переносят по 0,5 мл раствора модельной
смеси А2 и доводят 0,1 М раствором кислоты хлористоводородной до
метки.
Растворы Б4, Б5, Б6.
В три мерные колбы вместимостью 100 мл переносят по 1,0 мл раствора модельной
смеси А2 и доводят 0,1 М раствором кислоты хлористоводородной до
метки.
Растворы Б7, Б8, Б9.
В три мерные колбы вместимостью 100 мл переносят по 1,5 мл раствора модельной
смеси А2 и доводят 0,1 М раствором кислоты хлористоводородной до
метки.
Измеряют оптическую плотность каждого из 9
приготовленных растворов на спектрофотометре при длине волны 278 нм в кювете с
толщиной слоя 10 мм. Раствор сравнения - 0,1 М раствор кислоты
хлористоводородной.
Параллельно измеряют оптическую плотность СО
0,002% раствора левомицетина.
Расчет содержания левомицетина в г/мл проводят
по формуле:

(1),
где: Ах - оптическая плотность
исследуемого раствора; Ао - оптическая плотность раствора СО
левомицетина; 0,00002 - содержание рибофлавина в г в 1 мл раствора СО. Va
- объем аликвоты раствора модельной смеси 2, взятый для разведения, мл.
Xi 
-Xi
SD=
.= 
= 0.00053= 
* 100% .
|
RSD =  * 100% =
2.7 %
|
|
|
|
|
0.002136
|
-0,000145
|
0,00000021
|
|
|
0.00205
|
-0,000059
|
0,000000059
|
|
|
0.00199
|
0,000001
|
0,000001
|
|
|
0.00196
|
0,000031
|
0,0000000096
|
|
|
0.00193
|
0,000061
|
0,000000037
|
|
|
0.00188
|
0,000111
|
0,00000012
|
|
|
 =0,001991∑=0,000014
|
|
|
|
Вывод: данная методика не превышает стандартное
отклонение в 3% следовательно данная методика подходит по показателю
прецинзионность.
.4 Правильность
Правильность (точность) аналитического метода
характеризует близость результатов испытаний, полученных данным методом, к
истинному значению. При количественном определении лекарственного вещества этот
параметр может быть установлена путем применения аналитического метода к
анализируемому объекту с использованием стандарта известной степени чистоты или
путем сравнение результатов, полученных предлагаемой аналитической методикой, с
результатами, которые получены другой независимой методикой, правильность
которой известна.
В случае количественного определения вещества в
лекарственной форме правильность аналитической методики устанавливается по
результатам ее применения к анализу модельной смеси, включающей все компоненты
лекарственной формы. Правильность методики количественного определения
идентифицированных примесных соединений устанавливается по результатам анализа
методом добавок. При отсутствии образцов примесных соединений или в тех
случаях, когда структура их не установлена, правильность предлагаемой методики
их определения должна быть подтверждена результатами анализадругой
аналитической методикой с охарактеризованной правильностью.
Правильность должна быть оценена на основе не
менее 9 определений на минимум 3 уровнях концентраций в пределе аналитической
области (например, 3 повторности определения для 3 аналитических концентраций).
Для проведения анализа методики по данному
показателю необходимо приготовить модельные смеси пропорции которых указаны в
таблице 2.
Таблица 2. Приготовление модельных смесей
таблеток левомицетина.
|
Модельная
смесь
|
1
(А1)
|
2
(А2)
|
3
(А3)
|
|
Навеска
левомицетина - субстанции (г)
|
0,200
|
0,250
|
0,300
|
|
Таблеточная
масса - натрия хлорид (г)
|
0,200
|
0,150
|
0,100
|
|
Средняя
масса
|
0,400
|
0,400
|
Растворы модельных смесей приготавливают
аналогично методике специфичность.
Растворы Б1, Б2, Б3.
В три мерные колбы вместимостью 100 мл переносят по 1,0 мл раствора модельной
смеси А1 и доводят 0,1 М раствором кислоты хлористоводородной до
метки.
Растворы Б4, Б5, Б6.
В три мерные колбы вместимостью 100 мл переносят по 1,0 мл раствора модельной
смеси А2 и доводят 0,1 М раствором кислоты хлористоводородной до
метки.
Растворы Б7, Б8, Б9.
В три мерные колбы вместимостью 100 мл переносят по 1,0 мл раствора модельной
смеси А3 и доводят 0,1 М раствором кислоты хлористоводородной до
метки.
Измеряют оптическую плотность каждого из 9
приготовленных растворов на спектрофотометре при длине волны 278 нм в кювете с
толщиной слоя 10 мм. Раствор сравнения - 0,1 М раствор кислоты
хлористоводородной.
Параллельно измеряют оптическую плотность СО
0,002% раствора левомицетина.
В мерную колбу вместимостью 100 мл вносят 2,0 мл
раствора А и доводят 0,1 М раствором кислоты хлористоводородной до метки.
мл раствора Б содержит 0,00002 г СО
левомицетина.
Расчет содержания левомицетина в процентах
(открываемость) проводят по формуле:

(2),
где: Ах - оптическая плотность
исследуемого раствора;
Ао - оптическая плотность раствора СО
левомицетина;
ах -масса навеска исследуемого
образца левомицетина;
,00002 - содержание левомицетина в г в 1 мл
раствора СО.
|
Aх
|
ax
|
R(%)
|
(Ri- )(Ri- )2
|
|
|
0,385
|
0,206
|
99,86
|
4,96
|
24,6
|
|
0,386
|
0,206
|
94,5
|
-0,04
|
0,0016
|
|
0,386
|
0,206
|
94,5
|
-0,04
|
0,0016
|
|
0,147
|
0,248
|
107,3
|
12,4
|
153,76
|
|
0,152
|
0,248
|
108,2
|
13,3
|
176,89
|
|
0152
|
0,248
|
108,2
|
13,3
|
176,89
|
|
0,257
|
0,294
|
78,8
|
-16,1
|
259,21
|
|
0259
|
0,294
|
82,6
|
-12,3
|
151,29
|
|
0,259
|
0,294
|
82,6
|
-12,3
|
151,29
|
|
Аст=0,216
|
|
 =94,9
|
|
|
SD= 
RSD= 
* 100%.
SD= 
= 11.89
RSD= 
* 100% = 1.3 %


Вывод: полученное значение меньше коэффициента
Стьюдента отсюда следует что данная методика соответствует по показателю
правильность.
. В данной работе изложена суть и
важность валидационных оценок, что позволяет оценить важность этого вида
контроля над производством лекарственных средств.
2. Так как методики количественного и
качественного анализа дают удовлетворительные результаты только при наличии
данного вещества или при определенных условиях, то аналитические методики по
данным показателям специфичны.
3. Следуя из того что данная методика не
превышает стандартное отклонение в 3% она соответствует по показателю
прецинзионность.
4. Полученное значение меньше коэффициента
Стьюдента отсюда следует что данная методика соответствует по показателю
правильность.
Список литературы
1) Атлас
по медицинской микробиологии, вирусологии и иммунологии. Воробьев А.А., Быков
А.С. Источник: <http://www.webmedinfo.ru/atlas-po-medicinskoj-mikrobiologii-virusologii-i-immunologii-vorobev-a-a-bykov-a-s.html>
2) Беликов,
В.Г. Фармацевтическая химия. /В.Г Беликов. В 2 ч.: Ч. 1. Общая фармацевтическая
химия; Ч. 2. Специальная фармацевтическая химия. Учеб для вузов. - Пятигорск.
2003. стр. 333-339.
3) Машковский,
М.Д. Лекарственные средства: в 2 т./М.Д. Машковский. - 18-е изд., перераб. и
доп.- М.: Новая волна, 2010. - 1234 с.
) М.В.
Гаврилин, И.Я. Куль, Н.В. Благоразумная, Л.Н. Дуккардт, С.П. Сенченко, С.Н.
Степанюк, А.Ю.Курегян./Метрологическая аттестация (валидация) методик анализа
лекарственных средств.-Пятигорск 2013.
) Методы
анализа лекарств /Н.П. Максютина [и др.]. - Киев: Здоровья, 1984. - 224 с.
) Лабораторные
работы по фармацевтической химии: Учебное пособие/В.Г. Беликов [и др.]. - 2-е
изд. перераб. и доп. - Пятигорск, 2003. - 342 с.
) Анализ
лекарственных смесей. А.П. Арзамасцев, В.М. Печенников, Г.М.Родионова и др.
Москва компания Спутник+, 2000 год.
) Фармакопейная
статья: "Таблетки левомицетина 0,25. Валидационная оценка методик анализа
левомицетина". Государственная фармакопея. СССР. Вып 2 Общие методы
анализа.
) Фармакопейная
статья "Таблетки". Государственная Фармакопея СССР. Вып 2 Общие
методы анализа.
) Машковский
М.Д. Лекарственные средства. издание пятнадцатое переработанное, исправленное и
дополненное, Москва Новая волна 2005 год.