Слідкуюча система літакового витратоміра
Міністерство
освіти і науки України
Національний
університет «Львівська політехніка»
ІКТА
Кафедра
БІТ
Курсова
робота
з
курсу: «Комп’ютерні методи дослідження інформаційних процесів та систем»
на
тему: «Слідкуюча система літакового витратоміра»
Виконав:
студент
групи
Перевірив:
Львів
2011
Зміст
1. Завдання
. Теоретичні відомості
. Зведення рівнянь
. Лістинги програм
. Результати
. Графік перехідного процесу
Список літератури
1. Завдання
слідкуючий витратомір
літак рівняння
Тема №6
Слідкуюча система літакового
витратоміра
Схема
Рівняння ланок
Варіант 11
|
Параметри
|
12
|
|
Тм (сек)
|
0,1
|
|
Те (сек)
|
0,04
|
|
С (рад/сек)
|
3
|
|
Ky
|
1
|
|
S (рад/сек)
|
100
|
|
i
|
25
|
1) Звести систему
алгебро-диференціальних рівнянь до системи трьох диференціальних рівнянь
першого порядку, представивши її у нормальній формі та розв’язати цю систему
вказаними методами. Початкові умови - θin(0)=1
радіан, решта початкових умов - нульові. Числові значення сталих параметрів,
заданих в таблиці, виразити з допомогою одиниць системи СІ.
) Побудувати графік зміни величини θout(t)
Метод Мерсона-Рунге-Кутта та
Рунге-Кутта 4 порядку з автоматичним кроком
. Теоретичні відомості
Методи з автоматичною зміною кроку
Застосовуються в тому
випадку, якщо розв’язок потрібно одержати із заданою точністю. При високій
точності (похибка
)
автоматична зміна кроку забезпечує зменшення загального числа кроків в декілька
разів (особливо при розв’язках у вигляді кривих, що сильно відрізняються
крутизною).
Метод
Рунге-Кутта з автоматичною зміною кроку
Після обчислення
з кроком
всі
обчислення виконуються повторно з кроком
. Після цього порівнюються
результати, отримані в точці хn+1 з кроком
і
. Якщо
модуль різниці менший
, то
обчислення продовжуються з кроком
, в іншому випадку крок зменшують.
Якщо нерівність дуже сильна, то крок збільшують.
Маємо
- значення незалежної змінної в
точці
- значення функції в точці
- значення функції в точці
, обчислене
з кроком
- значення функції в точці
, обчислене
з кроком
- значення функції
, обчислене
з кроком
) Якщо
обчислення повторюються з
кроком
і т.д.,
доки не виконається умова
.
) Якщо виконується ця умова,
то можливі два варіанти, в залежності від значення K, де K -
ознака поділу кроку.
Початкове значення
і
залишається таким після першого поділу кроку на два. Надалі, якщо крок
ділиться, то K приймає значення одиниці.
а) Якщо
, то навіть
коли виконалась умова
, крок не
змінюється, тобто лишається тим самим (обчислення далі проводяться з попереднім
кроком).
б) Якщо
і
виконалась умова
, тоді
.
В обох випадках а) і б)
результат
виводиться
на друк.
Метод
Рунге-Кутта-Мерсона з автоматичною зміною кроку
Метод дозволяє оцінити
похибку на кожному кроці інтегрування. При цьому не потрібно зберігати в
пам’яті обчислення значень функцій на кроці
і
для оцінки похибки.
Алгоритм
методу
1. Задаємо число рівнянь
, похибку
, початковий
крок інтегрування
, початкові
умови
.
. Знаходимо значення
та похибку
4. Перевіряємо виконання умов
Можливі випадки:
а) Якщо перша умова не
виконується, тобто
, то ділимо
крок
на 2 та
повторюємо обчислення з п.2, встановивши початкові значення
.
б) Якщо виконується перша та
друга умови, значення
та
виводяться
на друк.
Якщо друга умова не
виконується, крок
збільшується
вдвічі і тоді обчислення знову повторюється з п.2.
Треба відмітити, що похибка
на кожному
кроці методу Рунге-Кутта-Мерсона оцінюється приблизно. При розв’язуванні
нелінійних ДР істинна похибка може відрізнятися в декілька разів від заданої
.
,
де
.
- крок поділити на 2 і повернутися
на початок.
для всіх рівнянь: виводимо на друк
, а крок
збільшуємо удвічі.
3. Зведення
рівнянь
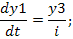
З рівняння редуктора маємо:
З рівняння двигуна:

Розв’яжемо відносно 
:
Тобто ми отримаємо три
рівняння для нашої системи.
Виконаємо заміну :
θout=y1;=y2;
Звідси отримаємо систему
трьох диференційних рівнянь:
4. Лістинги
програм
Метод
Рунге-Кутта 4 порядку
rk_611
(Input,Output);crt;n=3;mas=array[1..n] of real;=array[1..4] of
real;i,k,j:integer;,TM,TE,KU,C,S,h,hh,x,x0,II,xk:real;,y,yy,z,y0,y1,y2,yy1:mas;,p:mmas;:text;4,5;
{Праві частини диференціальних
рівнянь}drr(y:mas; var f:mas);[1]:=y[2];[2]:=(C*S*KU*(1-y[3])-y[1]-TM*y[2])/(TM*TE);[3]:=y[1]/II;;
{Підпрограма розв’язування
диференціальних рівнянь системи методом Рунге-Кутта}dyf(yy,f:mas; w,p:mmas; var
yy1:mas);xx:real;:=x;j:=1 to n do[j]:=yy[j];[j]:=y[j];;i:=1 to 4
do:=xx+w[i]*h;(yy,f);j:=1 to n do[j]:=yy[j]+p[i]*h*f[j];[j]:=z[j]+w[i+1]*h*f[j];;;i:=1
to n do yy1[i]:=yy[i];;wk(var w,p:mmas);i:=1 to 4
do[i]:=trunc(i/2)/2;[i]:=(1+2*w[i]-2*trunc(i/4))/6;;;
{ Підпрограма автоматичного вибору
кроку }run_kut(yy,f:mas; w,p:mmas; var yy1:mas);kk:integer;1,2,6;i:=1 to n do
y0[i]:=yy[i];:=0; x0:=x; hh:=h;(yy,f,w,p,yy);i:=1 to n do[i]:=yy[i];
yy[i]:=y0[i];;
:x:=x0; h:=hh/2;(yy,f,w,p,yy);i:=1
to n do y2[i]:=yy[i];(yy,f,w,p,yy);i:=1 to n do if abs(yy[i]-y1[i])>ep then
goto 1;i:=1 to n do yy1[i]:=yy[i];2;
:hh:=h;:=1; {Поділ кроку навпіл}i:=1
to n do[i]:=y0[i];[i]:=y2[i];;6;
:h:=hh;kk=0 then h:=2*hh;
{Збільшення кроку вдвічі};{Основна програма}(ff,'D:\RK611.txt');(ff);(ff,'
');(ff,' Runge_Kutta_4 Automation');
{ writeln('Порядок рівняння N=3');
{read (n);}:=0; xk:=9;
{write(' Введіть крок H=');
read(h);}h:=1;i:=1 to n do
{ write('Введіть початкове значення
Y(',i,')=');
read(yy[i])};[1]:=0;yy[2]:=0;yy[3]:=0;;:=1.0e-4;:=0.1;TE:=0.04;C:=2;KU:=1;S:=100;II:=25;:=0;(w,p);
:run_kut(yy,f,w,p,yy);:=k+1;k<>100
then goto 4;(ff,' T=',x,' Yout=',yy[3]);:=0;
:if x<=xk then goto 5;until
keypressed;(ff);.
Метод Рунге-Кутта-Мерсона
rkm611;n=3;a=0;b=9;vector=array[1..n]
of
real;i,kk,dd,j:integer;:longint;,x0,St,Ct,dS,dC,h,hh,eps:real;,Te,C,S,Ky,II:real;,y,y0,y1,y2,R:vector;:text;dy;[1]:=y[2];[2]:=(C*S*Ky*(1-y[3]-y[1]-Tm*y[2]))/(Tm*Te);[3]:=y[1]/II;;rkm;,k1,k2,k3,k4,z:vector;;i:=1
to n do[i]:=h*f[i];[i]:=y[i];[i]:=z[i]+k0[i]/3;;:=x+h/3;i:=1 to n
do[i]:=h*f[i];[i]:=z[i]+k0[i]/6+k1[i]/6;;;i:=1 to n
do[i]:=h*f[i];[i]:=z[i]+k0[i]/8+3*k2[i]/8;;:=x+h/3;;i:=1 to n
do[i]:=h*f[i];[i]:=z[i]+k0[i]/2-3*k2[i]/2+2*k3[i];;:=x+0.5*h;i:=1 to n
do[i]:=h*f[i];[i]:=z[i]+(k0[i]/2-3*k2[i]/2+k4[i])/6;[i]:=(-2*k0[i]+9*k2[i]+8*k3[i]+k4[i])/30;;;aut_step(var
y,y0,y1,y2,f:vector);1;i:=1 to n do[i]:=y[i];x0:=x;
: x:=x0;;i:=1 to n
doabs(R[i])>eps then:=h/2;i:=1 to n do[i]:=y0[i];1;;:=0;i:=1 to n
doabs(R[i])<(eps/30) then dd:=dd+1;dd=n
then:=2*h;:=0;;;(ff,'D:\rkm611.txt');(ff);(ff, ' ');(ff,'
Runge-Kutta-Mersona');[1]:=0;y[2]:=0;y[3]:=0;x:=a;h:=1;eps:=1e-2;:=0.1;Te:=0.04;C:=2;Ky:=1;S:=100;II:=25;:=0;:=ks+1;_step(y,y0,y1,y2,f);ks=100
then(ff, ' x=',x,' Uout=',y[3],' h=',h);:=0;;x>b;(ff);.
5. Результати
Метод Рунге-Кутта 4 порядку
T= 3.0517578125E-03 Yout=
1.4054918036E-05= 6.1035156250E-03 Yout= 1.0988221132E-04= 9.1552734375E-03
Yout= 3.6199369461E-04= 1.2207031250E-02 Yout= 8.3744880165E-04=
1.5258789063E-02 Yout= 1.5964607579E-03= 1.8310546875E-02 Yout=
2.6929489732E-03= 2.1362304688E-02 Yout= 4.1750425822E-03= 2.4414062500E-02
Yout= 6.0855396149E-03= 2.7465820313E-02 Yout= 8.4623258697E-03=
3.0517578125E-02 Yout= 1.1338757190E-02= 3.3569335938E-02 Yout=
1.4744008511E-02= 3.6621093750E-02 Yout= 1.8703392738E-02= 3.9672851563E-02
Yout= 2.3238652229E-02= 4.2724609375E-02 Yout= 2.8368225410E-02=
4.8278808594E-02 Yout= 3.9276804451E-02= 5.4382324219E-02 Yout=
5.3672814390E-02= 6.0485839844E-02 Yout= 7.0642821180E-02= 6.6589355469E-02
Yout= 9.0206813944E-02= 7.2692871094E-02 Yout= 1.1235503126E-01=
7.8796386719E-02 Yout= 1.3705186637E-01= 8.4899902344E-02 Yout=
1.6423921295E-01= 9.1003417969E-02 Yout= 1.9383935109E-01= 9.7106933594E-02
Yout= 2.2575745474E-01= 1.0321044922E-01 Yout= 2.5988378816E-01=
1.1535644531E-01 Yout= 3.3386576254E-01= 1.2756347656E-01 Yout=
4.1542978490E-01= 1.3977050781E-01 Yout= 5.0298400884E-01= 1.5881347656E-01
Yout= 6.4834699905E-01= 1.8322753906E-01 Yout= 8.4275523013E-01=
1.9787597656E-01 Yout= 9.5941680716E-01= 2.1008300781E-01 Yout=
1.0545141358E+00= 2.2229003906E-01 Yout= 1.1462856313E+00= 2.3449707031E-01
Yout= 1.2335033241E+00= 2.4670410156E-01 Yout= 1.3150353052E+00=
2.5891113281E-01 Yout= 1.3898601611E+00= 2.7111816406E-01 Yout=
1.4570792229E+00= 2.8332519531E-01 Yout= 1.5159265784E+00= 2.9553222656E-01
Yout= 1.5657768078E+00= 3.0773925781E-01 Yout= 1.6061504207E+00=
3.1994628906E-01 Yout= 1.6367170017E+00= 3.3215332031E-01 Yout=
1.6572960914E+00= 3.4436035156E-01 Yout= 1.6678558615E+00= 3.5656738281E-01
Yout= 1.6685096685E+00= 3.6877441406E-01 Yout= 1.6595105951E+00=
3.8098144531E-01 Yout= 1.6412441167E+00= 3.9318847656E-01 Yout=
1.6142190483E+00= 4.0539550781E-01 Yout= 1.5790569504E+00= 4.1760253906E-01
Yout= 1.5364801889E+00= 4.2980957031E-01 Yout= 1.4872988563E+00=
4.4274902344E-01 Yout= 1.4289414557E+00= 4.6716308594E-01 Yout=
1.3053429340E+00= 4.9157714844E-01 Yout= 1.1708932533E+00= 5.1574707031E-01
Yout= 1.0351382699E+00= 5.2795410156E-01 Yout= 9.6804423305E-01=
5.4016113281E-01 Yout= 9.0318807154E-01= 5.5236816406E-01 Yout=
8.4144528809E-01= 5.6457519531E-01 Yout= 7.8362331994E-01= 5.7678222656E-01
Yout= 7.3045170419E-01= 5.8898925781E-01 Yout= 6.8257362647E-01=
6.0119628906E-01 Yout= 6.4053893802E-01= 6.1340332031E-01 Yout=
6.0479870297E-01= 6.2561035156E-01 Yout= 5.7570131393E-01= 6.3781738281E-01
Yout= 5.5349019027E-01= 6.5002441406E-01 Yout= 5.3830305041E-01=
6.6223144531E-01 Yout= 5.3017272678E-01= 6.7443847656E-01 Yout=
5.2902947102E-01= 6.8664550781E-01 Yout= 5.3470467662E-01= 6.9885253906E-01
Yout= 5.4693592770E-01= 7.1105957031E-01 Yout= 5.6537326638E-01=
7.2326660156E-01 Yout= 5.8958655555E-01= 7.3547363281E-01 Yout= 6.1907380255E-01=
7.5012207031E-01 Yout= 6.6062007028E-01= 7.7453613281E-01 Yout=
7.4196877648E-01= 8.1188964844E-01 Yout= 8.8455356240E-01= 8.3630371094E-01
Yout= 9.8104613978E-01= 8.5717773438E-01 Yout= 1.0606019432E+00=
8.6938476563E-01 Yout= 1.1044904102E+00= 8.8159179688E-01 Yout=
1.1457102525E+00= 8.9379882813E-01 Yout= 1.1837380524E+00= 9.0600585938E-01
Yout= 1.2181102646E+00= 9.1821289063E-01 Yout= 1.2484283119E+00=
9.3041992188E-01 Yout= 1.2743626081E+00= 9.4262695313E-01 Yout=
1.2956554816E+00= 9.5483398438E-01 Yout= 1.3121229839E+00= 9.6704101563E-01
Yout= 1.3236555884E+00= 9.7924804688E-01 Yout= 1.3302177969E+00=
9.9145507813E-01 Yout= 1.3318466910E+00= 1.0036621094E+00 Yout=
1.3286494745E+00= 1.0158691406E+00 Yout= 1.3208000710E+00= 1.0280761719E+00
Yout= 1.3085348499E+00= 1.0402832031E+00 Yout= 1.2921475649E+00=
1.0635986328E+00 Yout= 1.2506846286E+00= 1.0880126953E+00 Yout=
1.1956289038E+00= 1.1280517578E+00 Yout= 1.0894103221E+00= 1.1551513672E+00
Yout= 1.0139752222E+00= 1.1795654297E+00 Yout= 9.4877572167E-01=
1.2039794922E+00 Yout= 8.8988580764E-01= 1.2185058594E+00 Yout=
8.5910378587E-01= 1.2307128906E+00 Yout= 8.3618359866E-01= 1.2429199219E+00
Yout= 8.1623167070E-01= 1.2551269531E+00 Yout= 7.9945694453E-01=
1.2673339844E+00 Yout= 7.8601703435E-01= 1.2795410156E+00 Yout=
7.7601731398E-01= 1.2917480469E+00 Yout= 7.6951078186E-01= 1.3039550781E+00
Yout= 7.6649868468E-01= 1.3161621094E+00 Yout= 7.6693187018E-01=
1.3365478516E+00 Yout= 7.7504660483E-01= 1.3609619141E+00 Yout=
7.9597878690E-01= 1.3853759766E+00 Yout= 8.2738210937E-01= 1.4112548828E+00
Yout= 8.6950387284E-01= 1.4600830078E+00 Yout= 9.6249863688E-01=
1.4849853516E+00 Yout= 1.0107900446E+00= 1.5093994141E+00 Yout=
1.0550370478E+00= 1.5338134766E+00 Yout= 1.0938528997E+00= 1.5582275391E+00
Yout= 1.1253211051E+00= 1.5826416016E+00 Yout= 1.1480417763E+00=
1.6070556641E+00 Yout= 1.1611839965E+00= 1.6314697266E+00 Yout=
1.1645031962E+00= 1.6558837891E+00 Yout= 1.1583243851E+00= 1.6802978516E+00
Yout= 1.1434939749E+00= 1.7047119141E+00 Yout= 1.1213045638E+00=
1.7413330078E+00 Yout= 1.0778850115E+00= 1.7901611328E+00 Yout=
1.0112239278E+00= 1.8157958984E+00 Yout= 9.7703481210E-01= 1.8402099609E+00
Yout= 9.4751964549E-01= 1.8646240234E+00 Yout= 9.2252111814E-01=
1.8890380859E+00 Yout= 9.0322028518E-01= 1.9134521484E+00 Yout=
8.9041353831E-01= 1.9378662109E+00 Yout= 8.8448755829E-01= 1.9622802734E+00
Yout= 8.8541879983E-01= 1.9866943359E+00 Yout= 8.9279625633E-01=
2.0111083984E+00 Yout= 9.0586499816E-01= 2.0504150391E+00 Yout=
9.3615337266E-01= 2.1124267578E+00 Yout= 9.9517662467E-01= 2.1461181641E+00
Yout= 1.0260949065E+00= 2.1705322266E+00 Yout= 1.0455395650E+00=
2.1949462891E+00 Yout= 1.0613870948E+00= 2.2193603516E+00 Yout=
1.0729271161E+00= 2.2437744141E+00 Yout= 1.0797305241E+00= 2.2681884766E+00
Yout= 1.0816591179E+00= 2.2926025391E+00 Yout= 1.0788582379E+00=
2.3175048828E+00 Yout= 1.0715512194E+00= 2.3663330078E+00 Yout=
1.0469144745E+00= 2.4337158203E+00 Yout= 1.0018946780E+00= 2.4825439453E+00
Yout= 9.7163972891E-01= 2.5093994141E+00 Yout= 9.5863895199E-01=
2.5338134766E+00 Yout= 9.4990588179E-01= 2.5582275391E+00 Yout=
9.4446853601E-01= 2.5826416016E+00 Yout= 9.4246295409E-01= 2.6202392578E+00
Yout= 9.4587362610E-01= 2.6690673828E+00 Yout= 9.6026938957E-01=
2.7447509766E+00 Yout= 9.9482234606E-01= 2.7935791016E+00 Yout=
1.0168279985E+00= 2.8424072266E+00 Yout= 1.0329355234E+00= 2.8912353516E+00
Yout= 1.0402388433E+00= 2.9400634766E+00 Yout= 1.0380431648E+00=
2.9888916016E+00 Yout= 1.0277914971E+00= 3.0758056641E+00 Yout=
9.9961511478E-01= 3.1246337891E+00 Yout= 9.8486101583E-01= 3.1734619141E+00
Yout= 9.7490065645E-01= 3.2222900391E+00 Yout= 9.7141456129E-01=
3.2711181641E+00 Yout= 9.7450354723E-01= 3.3521728516E+00 Yout=
9.9007237706E-01= 3.4312744141E+00 Yout= 1.0082795460E+00= 3.4801025391E+00
Yout= 1.0163156318E+00= 3.5289306641E+00 Yout= 1.0199845181E+00=
3.5777587891E+00 Yout= 1.0189315131E+00= 3.6744384766E+00 Yout=
1.0064618904E+00= 3.7716064453E+00 Yout= 9.9136049308E-01= 3.8204345703E+00
Yout= 9.8695409281E-01= 3.8707275391E+00 Yout= 9.8585255325E-01=
3.9761962891E+00 Yout= 9.9343731612E-01= 4.0924072266E+00 Yout=
1.0062430137E+00= 4.1900634766E+00 Yout= 1.0099799414E+00= 4.3062744141E+00
Yout= 1.0037335254E+00= 4.4234619141E+00 Yout= 9.9492615879E-01=
4.5211181641E+00 Yout= 9.9308748894E-01= 4.6793212891E+00 Yout=
1.0005465007E+00= 4.7799072266E+00 Yout= 1.0046342970E+00= 4.8883056641E+00
Yout= 1.0038944016E+00= 5.0728759766E+00 Yout= 9.9719313315E-01=
5.1988525391E+00 Yout= 9.9708026368E-01= 5.4215087891E+00 Yout=
1.0023486395E+00= 5.6558837891E+00 Yout= 9.9942781170E-01= 5.8551025391E+00
Yout= 9.9872989263E-01= 6.1109619141E+00 Yout= 1.0012351811E+00=
6.4000244141E+00 Yout= 9.9911925001E-01= 6.8004150391E+00 Yout=
1.0004982377E+00= 7.2886962891E+00 Yout= 1.0002165761E+00= 7.8746337891E+00
Yout= 1.0000295823E+00= 8.8121337891E+00 Yout= 1.0000016801E+00
Метод Рунге-Кутта-Мерсона
x= 1.3351440430E-03 Yout=
8.5772611741E-08= 2.6702880858E-03 Yout= 6.8026791949E-07= 4.0054321282E-03
Yout= 2.2749294689E-06= 5.3405761726E-03 Yout= 5.3425918950E-06=
6.6757202170E-03 Yout= 1.0338075534E-05= 8.0108642607E-03 Yout=
1.7698762403E-05= 9.3460083009E-03 Yout= 2.7845154122E-05= 1.0681152341E-02
Yout= 4.1181412361E-05= 1.2016296381E-02 Yout= 5.8095882336E-05=
1.3351440421E-02 Yout= 7.8961599903E-05= 1.4686584461E-02 Yout=
1.0413678276E-04= 1.6021728504E-02 Yout= 1.3396530622E-04= 1.7356872553E-02
Yout= 1.6877716414E-04= 1.8692016601E-02 Yout= 2.0888891532E-04=
2.0027160650E-02 Yout= 2.5460411594E-04= 2.1362304699E-02 Yout=
3.0621373845E-04= 2.2697448747E-02 Yout= 3.6399657730E-04= 2.4032592796E-02
Yout= 4.2821964198E-04= 2.5367736845E-02 Yout= 4.9913853767E-04=
2.6702880893E-02 Yout= 5.7699783405E-04= 2.8038024942E-02 Yout=
6.6203142242E-04= 2.9373168991E-02 Yout= 7.5446286176E-04= 3.0708313039E-02
Yout= 8.5450571381E-04= 3.2043457078E-02 Yout= 9.6236386764E-04=
3.3378601109E-02 Yout= 1.0782318542E-03= 3.4713745141E-02 Yout=
1.2022951508E-03= 3.6048889173E-02 Yout= 1.3347304761E-03= 3.7384033204E-02
Yout= 1.4757060758E-03= 3.8719177236E-02 Yout= 1.6253819998E-03=
4.0054321267E-02 Yout= 1.7839103697E-03= 4.1389465299E-02 Yout=
1.9514356389E-03= 4.2724609331E-02 Yout= 2.1280948440E-03= 4.4059753362E-02
Yout= 2.3140178484E-03= 4.5394897394E-02 Yout= 2.5093275783E-03=
4.6730041425E-02 Yout= 2.7141402512E-03= 4.8065185457E-02 Yout=
2.9285655974E-03= 4.9400329489E-02 Yout= 3.1527070744E-03= 5.0735473520E-02
Yout= 3.3866620746E-03= 5.2070617552E-02 Yout= 3.6305221262E-03=
5.3405761583E-02 Yout= 3.8843730885E-03= 5.4740905615E-02 Yout=
4.1482953403E-03= 5.6076049647E-02 Yout= 4.4223639628E-03= 5.7411193678E-02
Yout= 4.7066489167E-03= 5.8746337710E-02 Yout= 5.0012152134E-03=
6.0081481741E-02 Yout= 5.3061230817E-03= 6.1416625773E-02 Yout=
5.6214281277E-03= 6.2751769811E-02 Yout= 5.9471814914E-03= 6.4086913877E-02
Yout= 6.2834299976E-03= 6.5422057942E-02 Yout= 6.6302163012E-03=
6.6757202008E-02 Yout= 6.9875790298E-03= 6.8092346074E-02 Yout=
7.3555529201E-03= 6.9427490139E-02 Yout= 7.7341689511E-03= 7.0762634205E-02
Yout= 8.1234544722E-03= 7.2769800750E-02 Yout= 8.7288053140E-03=
7.5440088813E-02 Yout= 9.5717217104E-03= 7.8110376876E-02 Yout=
1.0457638844E-02= 8.0780664939E-02 Yout= 1.1386621413E-02= 8.3450953002E-02
Yout= 1.2358689523E-02= 8.6121241066E-02 Yout= 1.3373821774E-02=
8.8791529129E-02 Yout= 1.4431958157E-02= 9.1461817192E-02 Yout=
1.5533002763E-02= 9.4132105255E-02 Yout= 1.6676826334E-02= 9.6802393318E-02
Yout= 1.7863268646E-02= 9.9472681382E-02 Yout= 1.9092140748E-02=
1.0214296944E-01 Yout= 2.0363227061E-02= 1.0481325751E-01 Yout=
2.1676287348E-02= 1.0748354557E-01 Yout= 2.3031058553E-02= 1.1015383363E-01
Yout= 2.4427256535E-02= 1.1282412170E-01 Yout= 2.5864577687E-02=
1.1549440976E-01 Yout= 2.7342700458E-02= 1.1816469782E-01 Yout=
2.8861286775E-02= 1.2083498589E-01 Yout= 3.0419983379E-02= 1.2350527395E-01
Yout= 3.2018423074E-02= 1.2617556204E-01 Yout= 3.3656225904E-02=
1.2884585018E-01 Yout= 3.5333000247E-02= 1.3151613831E-01 Yout=
3.7048343843E-02= 1.3418642644E-01 Yout= 3.8801844766E-02= 1.3685671457E-01
Yout= 4.0593082316E-02= 1.3952700270E-01 Yout= 4.2421627874E-02=
1.4219729083E-01 Yout= 4.4287045687E-02= 1.4486757896E-01 Yout=
4.6188893614E-02= 1.4753786709E-01 Yout= 4.8126723819E-02= 1.5020815523E-01
Yout= 5.0100083418E-02= 1.5287844336E-01 Yout= 5.2108515093E-02=
1.5554873149E-01 Yout= 5.4151557653E-02= 1.5821901962E-01 Yout=
5.6228746574E-02= 1.6088930775E-01 Yout= 5.8339614491E-02= 1.6355959588E-01
Yout= 6.0483691667E-02= 1.6622988401E-01 Yout= 6.2660506425E-02=
1.6890017215E-01 Yout= 6.4869585560E-02= 1.7157046028E-01 Yout=
6.7110454712E-02= 1.7424074841E-01 Yout= 6.9382638727E-02= 1.7691103654E-01
Yout= 7.1685661982E-02= 1.7958132467E-01 Yout= 7.4019048704E-02=
1.8225161280E-01 Yout= 7.6382323250E-02= 1.8492190093E-01 Yout=
7.8775010380E-02= 1.8759218907E-01 Yout= 8.1196635507E-02= 1.9026247720E-01
Yout= 8.3646724930E-02= 1.9293276533E-01 Yout= 8.6124806058E-02=
1.9560305346E-01 Yout= 8.8630407603E-02= 1.9827334159E-01 Yout=
9.1163059780E-02= 2.0094362972E-01 Yout= 9.3722294471E-02= 2.0361391785E-01
Yout= 9.6307645398E-02= 2.0628420599E-01 Yout= 9.8918648268E-02=
2.0895449412E-01 Yout= 1.0155484092E-01= 2.1162478225E-01 Yout=
1.0421576344E-01= 2.1429507038E-01 Yout= 1.0690095831E-01= 2.1696535851E-01
Yout= 1.0960997049E-01= 2.1963564664E-01 Yout= 1.1234234753E-01=
2.2230593477E-01 Yout= 1.1509763969E-01= 2.2497622291E-01 Yout=
1.1787539998E-01= 2.2764651104E-01 Yout= 1.2067518430E-01= 2.3031679917E-01
Yout= 1.2349655144E-01= 2.3298708730E-01 Yout= 1.2633906322E-01=
2.3565737543E-01 Yout= 1.2920228452E-01= 2.3832766356E-01 Yout=
1.3208578333E-01= 2.4099795169E-01 Yout= 1.3498913081E-01= 2.4366823983E-01
Yout= 1.3791190136E-01= 2.4633852796E-01 Yout= 1.4085367260E-01=
2.4900881609E-01 Yout= 1.4381402550E-01= 2.5167910413E-01 Yout=
1.4679254432E-01= 2.5434939213E-01 Yout= 1.4978881670E-01= 2.5701968012E-01
Yout= 1.5280243369E-01= 2.5968996812E-01 Yout= 1.5583298974E-01=
2.6236025611E-01 Yout= 1.5888008272E-01= 2.6503054411E-01 Yout=
1.6194331400E-01= 2.6770083210E-01 Yout= 1.6502228838E-01= 2.7037112010E-01
Yout= 1.6811661417E-01= 2.7304140809E-01 Yout= 1.7122590317E-01=
2.7571169609E-01 Yout= 1.7434977068E-01= 2.7838198408E-01 Yout=
1.7748783552E-01= 2.8105227208E-01 Yout= 1.8063972002E-01= 2.8372256007E-01
Yout= 1.8380505004E-01= 2.8639284807E-01 Yout= 1.8698345494E-01=
2.8906313606E-01 Yout= 1.9017456762E-01= 2.9173342406E-01 Yout=
1.9337802449E-01= 2.9440371205E-01 Yout= 1.9659346548E-01= 2.9707400005E-01
Yout= 1.9982053402E-01= 2.9974428804E-01 Yout= 2.0305887706E-01=
3.0241457604E-01 Yout= 2.0630814506E-01= 3.0508486403E-01 Yout=
2.0956799193E-01= 3.0775515203E-01 Yout= 2.1283807511E-01= 3.1042544002E-01
Yout= 2.1611805548E-01= 3.1309572802E-01 Yout= 2.1940759740E-01=
3.1576601601E-01 Yout= 2.2270636868E-01= 3.1843630401E-01 Yout=
2.2601404056E-01= 3.2110659200E-01 Yout= 2.2933028772E-01= 3.2377688000E-01
Yout= 2.3265478825E-01= 3.2644716799E-01 Yout= 2.3598722363E-01=
3.2911745599E-01 Yout= 2.3932727874E-01= 3.3178774398E-01 Yout=
2.4267464182E-01= 3.3445803198E-01 Yout= 2.4602900446E-01= 3.3712831997E-01
Yout= 2.4939006162E-01= 3.3979860797E-01 Yout= 2.5275751154E-01=
3.4246889596E-01 Yout= 2.5613105579E-01= 3.4513918396E-01 Yout=
2.5951039924E-01= 3.4780947195E-01 Yout= 2.6289525000E-01= 3.5047975995E-01
Yout= 2.6628531946E-01= 3.5315004794E-01 Yout= 2.6968032224E-01=
3.5582033594E-01 Yout= 2.7307997618E-01= 3.5849062393E-01 Yout=
2.7648400231E-01= 3.6116091193E-01 Yout= 2.7989212485E-01= 3.6383119992E-01
Yout= 2.8330407117E-01= 3.6650148792E-01 Yout= 2.8671957181E-01=
3.6917177591E-01 Yout= 2.9013836040E-01= 3.7184206391E-01 Yout=
2.9356017371E-01= 3.7451235190E-01 Yout= 2.9698475155E-01= 3.7718263990E-01
Yout= 3.0041183685E-01= 3.7985292789E-01 Yout= 3.0384117556E-01=
3.8252321589E-01 Yout= 3.0727251663E-01= 3.8519350388E-01 Yout=
3.1070561206E-01= 3.8786379188E-01 Yout= 3.1414021682E-01= 3.9053407987E-01 Yout=
3.1757608884E-01= 3.9320436787E-01 Yout= 3.2101298900E-01= 3.9587465586E-01
Yout= 3.2445068111E-01= 3.9854494386E-01 Yout= 3.2788893189E-01=
4.0121523185E-01 Yout= 3.3132751094E-01= 4.0388551985E-01 Yout=
3.3476619073E-01= 4.0655580784E-01 Yout= 3.3820474657E-01= 4.0922609584E-01
Yout= 3.4164295660E-01= 4.1189638383E-01 Yout= 3.4508060178E-01=
4.1456667183E-01 Yout= 3.4851746582E-01= 4.1723695982E-01 Yout=
3.5195333524E-01= 4.1990724782E-01 Yout= 3.5538799927E-01= 4.2257753581E-01
Yout= 3.5882124987E-01= 4.2524782381E-01 Yout= 3.6225288174E-01=
4.2791811180E-01 Yout= 3.6568269222E-01= 4.3058839980E-01 Yout=
3.6911048135E-01= 4.3325868779E-01 Yout= 3.7253605178E-01= 4.3592897579E-01
Yout= 3.7595920882E-01= 4.3859926378E-01 Yout= 3.7937976036E-01= 4.4126955178E-01
Yout= 3.8279751690E-01= 4.4393983977E-01 Yout= 3.8621229147E-01=
4.4661012777E-01 Yout= 3.8962389970E-01= 4.4928041576E-01 Yout=
3.9303215969E-01= 4.5195070376E-01 Yout= 3.9643689207E-01= 4.5462099175E-01
Yout= 3.9983791998E-01= 4.5729127975E-01 Yout= 4.0323506898E-01=
4.5996156774E-01 Yout= 4.0662816712E-01= 4.6263185574E-01 Yout=
4.1001704486E-01= 4.6530214373E-01 Yout= 4.1340153507E-01= 4.6797243173E-01
Yout= 4.1678147301E-01= 4.7064271972E-01 Yout= 4.2015669632E-01=
4.7331300772E-01 Yout= 4.2352704498E-01= 4.7598329571E-01 Yout=
4.2689236132E-01= 4.7865358371E-01 Yout= 4.3025248995E-01= 4.8132387170E-01
Yout= 4.3360727782E-01= 4.8399415970E-01 Yout= 4.3695657412E-01=
4.8666444769E-01 Yout= 4.4030023032E-01= 4.8933473569E-01 Yout=
4.4363810012E-01= 4.9200502368E-01 Yout= 4.4697003942E-01= 4.9467531168E-01
Yout= 4.5029590636E-01= 4.9734559967E-01 Yout= 4.5361556125E-01=
5.0001588767E-01 Yout= 4.5692886655E-01= 5.0268617594E-01 Yout=
4.6023568688E-01= 5.0535646421E-01 Yout= 4.6353588899E-01= 5.0802675247E-01
Yout= 4.6682934174E-01= 5.1069704074E-01 Yout= 4.7011591606E-01=
5.1336732901E-01 Yout= 4.7339548498E-01= 5.1603761728E-01 Yout=
4.7666792359E-01= 5.1870790555E-01 Yout= 4.7993310901E-01= 5.2137819381E-01
Yout= 4.8319092037E-01= 5.2404848208E-01 Yout= 4.8644123882E-01=
5.2671877035E-01 Yout= 4.8968394750E-01= 5.2938905862E-01 Yout=
4.9291893148E-01= 5.3205934688E-01 Yout= 4.9614607784E-01= 5.3472963515E-01
Yout= 4.9936527555E-01= 5.3739992342E-01 Yout= 5.0257641552E-01=
5.4007021169E-01 Yout= 5.0577939055E-01= 5.4274049996E-01 Yout=
5.0897409532E-01= 5.4541078822E-01 Yout= 5.1216042640E-01= 5.4808107649E-01
Yout= 5.1533828219E-01= 5.5075136476E-01 Yout= 5.1850756291E-01=
5.5342165303E-01 Yout= 5.2166817062E-01= 5.5609194130E-01 Yout= 5.2482000916E-01=
5.5876222956E-01 Yout= 5.2796298419E-01= 5.6143251783E-01 Yout=
5.3109700308E-01= 5.6410280610E-01 Yout= 5.3422197501E-01= 5.6677309437E-01
Yout= 5.3733781085E-01= 5.6944338263E-01 Yout= 5.4044442320E-01=
5.7211367090E-01 Yout= 5.4354172639E-01= 5.7534471959E-01 Yout=
5.4727689747E-01= 5.8068529558E-01 Yout= 5.5342019858E-01= 5.8602587157E-01
Yout= 5.5952489499E-01= 5.9136644756E-01 Yout= 5.6559037646E-01=
5.9670702355E-01 Yout= 5.7161605819E-01= 6.0204759954E-01 Yout=
5.7760138035E-01= 6.0738817553E-01 Yout= 5.8354580758E-01= 6.1272875152E-01
Yout= 5.8944882852E-01= 6.1806932751E-01 Yout= 5.9530995531E-01=
6.2340990350E-01 Yout= 6.0112872320E-01= 6.2875047949E-01 Yout=
6.0690469001E-01= 6.3409105548E-01 Yout= 6.1263743575E-01= 6.3943163147E-01
Yout= 6.1832656208E-01= 6.4477220746E-01 Yout= 6.2397169201E-01=
6.5055783150E-01 Yout= 6.3003719014E-01= 6.6123898402E-01 Yout=
6.4109688634E-01= 6.7192013655E-01 Yout= 6.5197530493E-01= 6.8260128907E-01
Yout= 6.6267031539E-01= 6.9328244160E-01 Yout= 6.7318008003E-01=
7.0396359412E-01 Yout= 6.8350304138E-01= 7.1464474665E-01 Yout=
6.9363790985E-01= 7.2532589918E-01 Yout= 7.0358365183E-01= 7.3600705170E-01
Yout= 7.1333947804E-01= 7.4668820423E-01 Yout= 7.2290483225E-01=
7.5736935675E-01 Yout= 7.3227938031E-01= 7.6805050928E-01 Yout=
7.4146299944E-01= 7.7873166180E-01 Yout= 7.5045576798E-01= 7.8941281433E-01
Yout= 7.5925795525E-01= 8.0009396685E-01 Yout= 7.6787001187E-01=
8.1077511938E-01 Yout= 7.7629256032E-01= 8.2145627191E-01 Yout=
7.8452638577E-01= 8.3213742443E-01 Yout= 7.9257242725E-01= 8.4281857696E-01
Yout= 8.0043176903E-01= 8.5349972948E-01 Yout= 8.0810563235E-01=
8.6418088201E-01 Yout= 8.1559536737E-01= 8.7486203453E-01 Yout=
8.2290244544E-01= 8.8554318706E-01 Yout= 8.3002845154E-01= 8.9622433959E-01
Yout= 8.3697507708E-01= 9.0690549211E-01 Yout= 8.4374411285E-01=
9.1758664464E-01 Yout= 8.5033744237E-01= 9.2826779716E-01 Yout=
8.5675703523E-01= 9.3894894969E-01 Yout= 8.6300494094E-01= 9.4963010221E-01
Yout= 8.6908328281E-01= 9.6031125474E-01 Yout= 8.7499425215E-01=
9.7099240727E-01 Yout= 8.8074010265E-01= 9.8167355979E-01 Yout=
8.8632314501E-01= 9.9235471232E-01 Yout= 8.9174574174E-01= 1.0030358647E+00
Yout= 8.9701030218E-01= 1.0137170167E+00 Yout= 9.0211927773E-01=
1.0243981686E+00 Yout= 9.0707515724E-01= 1.0350793206E+00 Yout=
9.1188046268E-01= 1.0457604726E+00 Yout= 9.1653774482E-01= 1.0564416246E+00
Yout= 9.2104957930E-01= 1.0671227766E+00 Yout= 9.2541856268E-01=
1.0778039285E+00 Yout= 9.2964730882E-01= 1.0884850805E+00 Yout=
9.3373844534E-01= 1.0991662325E+00 Yout= 9.3769461021E-01= 1.1098473845E+00
Yout= 9.4151844858E-01= 1.1205285365E+00 Yout= 9.4521260976E-01=
1.1312096884E+00 Yout= 9.4877974421E-01= 1.1418908404E+00 Yout=
9.5222250086E-01= 1.1525719924E+00 Yout= 9.5554352448E-01= 1.1632531444E+00
Yout= 9.5874545310E-01= 1.1739342964E+00 Yout= 9.6183091578E-01=
1.1846154483E+00 Yout= 9.6480253025E-01= 1.1952966003E+00 Yout=
9.6766290085E-01= 1.2059777523E+00 Yout= 9.7041461654E-01= 1.2166589043E+00
Yout= 9.7306024901E-01= 1.2273400563E+00 Yout= 9.7560235089E-01=
1.2380212082E+00 Yout= 9.7804345414E-01= 1.2487023602E+00 Yout=
9.8038606841E-01= 1.2593835122E+00 Yout= 9.8263267963E-01= 1.2700646642E+00
Yout= 9.8478574869E-01= 1.2807458162E+00 Yout= 9.8684771006E-01=
1.2914269681E+00 Yout= 9.8882097070E-01= 1.3021081201E+00 Yout=
9.9070790891E-01= 1.3127892721E+00 Yout= 9.9251087337E-01= 1.3234704241E+00
Yout= 9.9423218217E-01= 1.3341515761E+00 Yout= 9.9587412198E-01=
1.3448327280E+00 Yout= 9.9743894725E-01= 1.3555138800E+00 Yout=
9.9892887954E-01= 1.3661950320E+00 Yout= 1.0003461068E+00= 1.3768761840E+00
Yout= 1.0016927830E+00= 1.3875573360E+00 Yout= 1.0029710272E+00=
1.3982384879E+00 Yout= 1.0041829237E+00= 1.4089196399E+00 Yout=
1.0053305211E+00= 1.4196007919E+00 Yout= 1.0064158323E+00= 1.4302819439E+00
Yout= 1.0074408340E+00= 1.4409630959E+00 Yout= 1.0084074668E+00=
1.4516442478E+00 Yout= 1.0093176345E+00= 1.4623253998E+00 Yout=
1.0101732045E+00= 1.4730065518E+00 Yout= 1.0109760072E+00= 1.4836877038E+00
Yout= 1.0117278367E+00= 1.4943688558E+00 Yout= 1.0124304497E+00=
1.5050500077E+00 Yout= 1.0130855666E+00= 1.5157311597E+00 Yout=
1.0136948708E+00= 1.5264123117E+00 Yout= 1.0142600093E+00= 1.5370934637E+00
Yout= 1.0147825927E+00= 1.5477746157E+00 Yout= 1.0152641949E+00=
1.5584557676E+00 Yout= 1.0157063540E+00= 1.5691369196E+00 Yout=
1.0161105723E+00= 1.5798180716E+00 Yout= 1.0164783161E+00= 1.5904992236E+00
Yout= 1.0168110164E+00= 1.6011803756E+00 Yout= 1.0171100695E+00=
1.6118615275E+00 Yout= 1.0173768363E+00= 1.6332238326E+00 Yout=
1.0178188001E+00= 1.6545861376E+00 Yout= 1.0181470965E+00= 1.6759484427E+00
Yout= 1.0183713994E+00= 1.6973107477E+00 Yout= 1.0185008623E+00=
1.7186730528E+00 Yout= 1.0185441320E+00= 1.7400353579E+00 Yout=
1.0185093634E+00= 1.7613976629E+00 Yout= 1.0184042343E+00= 1.7827599680E+00
Yout= 1.0182359608E+00= 1.8041222730E+00 Yout= 1.0180113136E+00=
1.8254845781E+00 Yout= 1.0177366337E+00= 1.8468468831E+00 Yout=
1.0174178489E+00= 1.8840172931E+00 Yout= 1.0167742641E+00= 1.9267419021E+00
Yout= 1.0159241156E+00= 1.9694665111E+00 Yout= 1.0149891077E+00=
2.0121911204E+00 Yout= 1.0139990070E+00= 2.0767052806E+00 Yout=
1.0124540729E+00= 2.1621544986E+00 Yout= 1.0104161703E+00= 2.4204959702E+00
Yout= 1.0051710198E+00= 3.1040897210E+00 Yout= 9.9985769550E-01
6. Графік перехідного процесу
Рунге-Кутта 4 порядку
Рунге-Кутта-Мерсона
Список літератури
1.
С. М. Єжов, Методи обчислень, К. ВПЦ "Київський університет", 2000.
.
А. А. Самарский, Введение в численные методы, М., Наука, 1987.
.
Е. А. Волков, Численные методы, М., Наука, 1987.
.
Р. В. Хемминг, Численные методы, М., Наука, 1972.
.
Дж. Ортега, У. Пул, Введение в численные методы решения дифференциальных
уравнений, М., Наука, 1986.
.
Дж. Форсайт, М. Малькольм, К. Моулер, Машинные методы вычислений, М., ``Мир'',
1980.
.
Д. Каханер, К. Моулер, С. Нэш, Численные методы и программное обеспечение, М.,
``Мир'', 1998.
8.Лук’яненко
С.О. Чиселові методи в інформатиці: Навч. посіб. - К.: НТУУ «КПІ», 2007. -
140с.
.Фельдман
Л.П., Петренко А.І., Дмітрієва О.А. Чисельні методи в інформатиці. - К.:
Видавнича група BNV, 2006.-480с.
.
Лук’яненко С.О. "Основи обчислювальних методів розв’язування
диференціальних рівнянь", Навч. Посібник. - К. : ІСДО, 1998 - 212с.