Системы электронного документооборота

  • Вид работы:
    Дипломная (ВКР)
  • Предмет:
    Информационное обеспечение, программирование
  • Язык:
    Русский
    ,
    Формат файла:
    MS Word
    133,33 Кб
  • Опубликовано:
    2013-10-02
Вы можете узнать стоимость помощи в написании студенческой работы.
Помощь в написании работы, которую точно примут!

Системы электронного документооборота














Системы электронного документооборота (СЭД)

ВВЕДЕНИЕ

Системы электронного документооборота (СЭД) произвели подлинную революцию в работе с документами, помогая справиться со все возрастающими потоками информации. СЭД существуют уже два десятка лет, сегодня их количество перевалило за сотню. В России в этом секторе работает несколько десятков компаний, продвигающих западные продукты и собственные разработки. В последнее время, как утверждают игроки отечественного рынка СЭД, их бизнес быстро растет.

СЭД - это специальное ПО, предназначенное для коллективной работы с документами в сетевой среде. Благодаря СЭД документы можно объединять в логические блоки, обеспечивая их архивное хранение и поиск. Базовой единицей является электронный документ. Но это не просто один файл, а совокупность файлов разного типа (составных частей документа), снабженная регистрационной карточкой. Такая карточка - неотъемлемый атрибут СЭД. Она содержит набор реквизитов, таких как название организации, вид документа, отметки о согласованиях и утверждениях, даты, адреса сторон и т. д., и позволяет регистрировать, идентифицировать и находить документ, контролировать исполнительскую дисциплину, отслеживать историю документа и архивировать его. Главная задача СЭД - управление полным жизненным циклом документа, начиная с его создания и заканчивая списанием в архив.

Как правило, СЭД состоит из двух основных блоков: статического (электронный архив) и динамического (документооборот). Первый блок обеспечивает первичную обработку документов (регистрация входящей и исходящей информации, поиск, составление отчетов), а второй - организацию информационных потоков, по которым проходят документы, контроль исполнения, групповую работу над документом и т. п.

Однако помимо базовых функций в современных продуктах в той или иной степени предусмотрено множество других полезных возможностей: потоковый ввод бумажных документов, ведение карточек документов (которые настраиваются в соответствии с требованиями организации), поддержка истории работы с документом (для учета обращений и подготовки отчетов), поиск по атрибутам документа и по его содержанию, разграничение прав доступа, маршрутизация документов по рабочим местам пользователей, интеграция с почтовыми системами, формирование отчетов, а также управление знаниями и деловыми взаимодействиями людей и защита документов с помощью шифрования и электронной подписи.

СЭД - проектные системы. И хотя существуют коробочные версии, содержащие базовый набор функций, для каждого предприятия, как правило, создается свое решение, учитывающее специфику его работы с документами. Главная особенность этих систем заключается в том, что в отличие от программ, ориентированных на автоматизацию конкретных подразделений (бухгалтерия, складской учет, кадры и т. д.), они решают задачи менее очевидные и более комплексные. С этим связана основная проблема этой области - руководители многих предприятий имеют слабое представление о преимуществах и специфике систем документооборота.

Внедрение СЭД затрагивает все уровни управления предприятием и призвано изменить сами способы управления. Руководители часто недооценивают сложность данной задачи. Более того, многие из них вообще не видят смысла вкладывать средства в автоматизацию документооборота. За исключением государственных организаций, в которых работа с документами является одним из основных видов деятельности, многие предприятия не верят, что внедрение СЭД может принести прибыль и обеспечить быструю отдачу.

Известно, что повышать эффективность работы можно двумя путями: снижая затраты или улучшая результаты. СЭД позволяют добиться обеих целей. Очевидная экономия достигается прежде всего за счет сокращения количества бумаги, расходных материалов для принтеров, уменьшения площадей, отводимых для хранения документов, снижения издержек на их передачу, уменьшение простоев при обработке документов и времени их поиска. Это - прямой эффект, его можно легко подсчитать. Есть и косвенные выгоды - улучшение качества работы организации. Ведь автоматизация позволяет повысить надежность процессов обработки документов (например, снижается вероятность их утери) и продуктивность труда сотрудников (в частности, благодаря контролю за исполнением документов, ускорению процессов согласований и принятия решений). Однако эти выгоды сложно оценить количественно, поскольку многое зависит от общей системы управления, принятой в организации.

Более того, автоматизация документооборота позволяет предприятию внедрить новые методы управления, которые раньше были недоступны, например систему управления качеством. Подобные улучшения значительно повышают уровень управляемости компании и позволяют ей быстрее реагировать на внешние изменения, что дает заметные конкурентные преимущества.

Основные термины:

Документ - зафиксированная на материальном носителе информация с реквизитами, позволяющими ее идентифицировать.

Электронный документ - документ, в котором информация представлена в электронно-цифровой форме.

Документооборот - движение документов с момента их создания или получения до завершения исполнения, отправки адресату или передачи в архив.

Делопроизводство - комплекс мероприятий по документационному обеспечению управления (ДОУ) организации, систематизации архивного хранения документов, обеспечению движения, поиска, хранения и использования документов.

Архив - организация или ее структурное подразделение, осуществляющее прием и хранение документов с целью использования ретроспективной информации.

Электронный архив - предназначен для систематизации архивного хранения электронных документов в рамках ДОУ.

Примечание: определения взяты из федеральных законов и ГОСТов.

ПОСТАНОВКА ЗАДАЧИ

Наименование программы: Web-сайт для электронного документооборота учреждения.

Краткая характеристика области применения программы: автоматизация делопроизводства и документооборота ВУЗа.

Основания для разработки

Документ (документы), на основании которых ведется разработка: приказ №___ Ректора ГОУ ВПО НГТУ от «__» _______ 2005 г.

Организация, утвердившая этот документ, и дата его утверждения: ГОУ ВПО НГТУ, «__» ________ 2005 г.

Наименование и (или) условное обозначение темы разработки: «Разработка Web-сайта для обеспечения электронного документооборота организации».

Назначение разработки

Автоматизация делопроизводства и документооборота ВУЗа посредством создания Web-приложения.

Требования к программе или программному изделию

Требования к функциональным характеристикам

-    количество пользователей системы: 198

- требования к составу выполняемых функций: организация хранения электронных документов, организация учета бумажных и микрографических документов, организация поиска документов, поддержка коллективной работы с документом, задачи решаемые системой маршрутизации и контроля исполнения, функции e-mail клиента;

-    группы пользователей: администраторы, операторы архива, контролеры, пользователи;

-        количество материала переводимого в электронный вид: 60 печатных листов в день;

         максимальный допустимый объем передаваемой информации:

Мбит/сек или 600 листов печатного текста между двумя пользователями системы;

Мбит/сек или 62,5 листов печатного текста между пользователем и электронным архивом;

входные данные: список пользователей системы, шаблоны документов, электронная версия нормативного документа, права доступа к документу, электронное письмо, координаты получателя или исполнителя;

выходные данные: электронная версия нормативного документа, протокол контроля получения или исполнения, электронное письмо, сортированные списки документов;

Требования к надежности

программа не должна наносить урон средствам установленной операционной системы и другому установленному программному обеспечению, а также посторонним данным.

Условия эксплуатации

- необходимое количество обслуживающего персонала: 1 человек;

квалификация - инженер-системотехник.

Требования к составу и параметрам технических средств

сервер: ПК с частотой процессора не ниже 2400 МГц, объёмом ОЗУ не менее 512 Мб, жёстким диском объёмом не менее 200 Гб, два сетевых адаптера с пропускной способностью 1 Гбит.

клиент: ПК с частотой процессора не ниже 600 МГц, объёмом ОЗУ не менее 64 Мб, жёстким диском объёмом не менее 10 Гб, сетевых адаптера с пропускной способностью 100 Мбит, монитор, поддерживающий разрешение 1024х768.

Требования к информационной и программной совместимости

входные данные: текстовый файл формата совместимый с MS Office, графический файл формата Joint Photographic Experts Group (.jpg) размером не более 100 Кб, e-mail документ;

выходные данные: текстовый файл формата совместимый с MS Office, графический файл формата Joint Photographic Experts Group (.jpg) размером не более 100 Кб, e-mail документ;

язык разработки приложения: PHP 4.0;

web-дизайн: HTML;

операционная система: Microsoft Windows версии не ниже 98/NT 4.0;

- web-браузер: Netscape Navigator, Internet Explorer v5.0 и выше.

Требования к программной документации

предварительный состав программной документации - расчётно-пояснительная записка со следующим содержанием:

1)      введение.

)        техническое задание.

3)      технико-экономическое обоснование проекта.

)        выбор аппаратной и программной платформы Web-сайта.

)        разработка структуры сайта.

)        разработка функциональной схемы обработки документов.

)        разработка схемы доступа пользователей к функциям Web-сайта.

)        реализация программной части системы.

)        организационно-экономическая часть.

)        вопросы охраны труда и защиты окружающей среды.

11)    заключение.

12)    список литературы.

перечень графического материала:

1)      карта сайта.

2)      функциональная схема движения документов.

)        схема доступа пользователей к функциям сайта.

)        блок-схема программы.

)        контрольный пример работы системы

Технико-экономические показатели

Средний процент экономии времени на: поиск и ожидание поступления документов, согласование и утверждение документов, передачу документов между подразделениями, подготовку стандартных отчетов о движении документов - 80%.

Соответственно, использование СЭД может экономить 80%*60%=48% рабочего времени.

Стадии и этапы разработки

разработка структуры сайта.

разработка функциональной схемы обработки документов.

разработка схемы доступа пользователей к функциям Web-сайта.

реализация программной части системы

Порядок контроля и приемки

виды испытаний: создание контрольного примера работы сайта.

ТЕХНИКО-ЭКОНОМИЧЕСКОЕ ОБОСНОВАНИЕ

         Количественные оценки эффективности.

Эффективность использования системы электронного документооборота (СЭД), как правило, достаточно высока и более очевидна, чем для других корпоративных систем - именно потому, что системы электронного документооборота созданы для повышения эффективности использования рабочего времени сотрудников. Простой расчет эффективности основан на существенном уменьшении времени обработки документов.

         Статистические исследования.

По данным статистических исследований*, осуществленных компанией PayBot LLC на основе реальных проектов по внедрению системы электронного документооборота PAYDOX, средний процент рабочего времени, которое сотрудники офиса тратят:

на поиск и ожидание поступления документов - 20%

на согласование и утверждение документов - 20%

на передачу документов между подразделениями - 10%

на подготовку стандартных отчетов о движении документов - 10%

*Необходимо отметить, что исследование проводилось среди сотрудников предприятий, имеющих отношение к процессам документооборота, т.е. как сказано выше, сотрудников офиса, и не включало другие категории сотрудников. Данные оценки являются минимальными, часто эти цифры существенно больше.

Т.е. суммарное среднее время, которое сотрудники офиса тратят на рутинную обработку документов - более 60%. При этом некоторая часть сотрудников практически все свое рабочее время тратит на эти операции.

При использовании СЭД:

на поиск документов тратятся не часы, а секунды или минуты; ожидания документов не требуется - документы одновременно доступны всем имеющим к ним право доступа сотрудникам

процесс согласования и утверждения документов становится прозрачен и происходит в режиме реального времени

время на передачу документов между подразделениями не тратится вообще - карточки и файлы документов в режиме реального времени доступны всем имеющим к ним право доступа сотрудникам

подготовка стандартных отчетов о движении документов делается одним нажатием кнопки.

Отсутствие ключевых сотрудников в офисе в связи с командировками не останавливает работу с документами - СЭД нового поколения обеспечивает возможность удаленной работы с документами как через web-браузер, так и по электронной почте.

         Процент экономии времени.

Средний процент экономии времени на вышеперечисленные виды обработки документов при использовании СЭД - 80%. Соответственно, использование СЭД может экономить 80%*60%=48% рабочего времени

При этом надо учесть, что остальные 52% рабочего времени, не полностью используются для эффективной работы, часть тратится на перерывы, на кофе, разговоры и т.п.

Т.е. если считать чистое рабочее время, то: СЭД может экономить больше половины рабочего времени сотрудников офисов, работающих с документами - договорами, счетами, накладными, письмами, ордерами и т.п. Кроме этого, время, проводимое сотрудниками вне офиса, СЭД позволяет «конвертировать» в рабочее время за счёт возможности удаленной работы с документами как через web-браузер, так и по электронной почте.

Для систем на web-технологиях, учитывая простоту обслуживания, обусловленную использованием web-технологии - система устанавливается только на центральный сервер, установки и последующего обслуживания системы на компьютерах пользователей не - обычно система окупается уже через 2-3 месяца ее эксплуатации, а при использовании на большом количестве рабочих мест начинает существенно экономить расходы предприятия.

         Качественные оценки эффективности.

Кроме количественных оценок эффективности системы, позволяющих убедиться быстром возврате инвестиций в систему, существуют не менее важные качественные оценки эффективности использования системы.

         Повышение прозрачности движения документов.

Сотрудники получают возможность видеть на экране компьютера все документы, задачи и поручения, с которыми они должны работать в данный момент. Руководители имеют возможность видеть в режиме реального времени ход выполнения бизнес-процессов, например, исполнение заказов клиентов, приём новых сотрудников на работу, текущее состояние исполнения договоров, взаимодействие между разными подразделениями компании и т.п. Движение документов и работа с сотрудников с документами становятся контролируемыми в режиме реального времени.

         Организация единого корпоративного информационного пространства.

Удаленные офисы, филиалы, представительства информационно связываются как с центральным офисом, так и между собой и степень их взаимодействия существенно повышается.

         Объединение и обеспечение сохранности корпоративной информации.

Корпоративная информация сохраняется в корпоративной системе управления документами, а не в головах сотрудников. Даже если сотрудники увольняются или переходят на работу в другие подразделения предприятия, их знания, связанные с обработкой документов, сохраняются вместе с документами в системе электронного документооборота предприятия и могут быть использованы другими сотрудниками, приходящими на их место. Объединение знаний сотрудников в общей корпоративной системе дает синергетический эффект и может привести к впечатляющим результатам.

         Повышение управляемости компании в целом.

Ускорение информационных потоков и уменьшение числа ошибок при принятии управленческих решений за счёт использования актуальных и своевременных данных приводит к повышению управляемости компании в целом. Глобальный характер СЭД - в отличие от других корпоративных систем, СЭД обычно устанавливается практически всем сотрудникам, имеющим компьютер - позволяет повысить общий уровень организации предприятия.

ВЫБОР АППАРАТНОЙ И ПРОГРАММНОЙ ПЛАТФОРМЫ WEB-САЙТА

Обзор существующих Web-технологий.

Платформенно-независимый интерфейс CGI.

Значительные интернет-ресурсы могут быть созданы с применением технологии CGI. Платформенно-независимый интерфейс CGI (Common Gateway Interface - дословно - общий шлюзовой интерфейс) используется для исполнения программ совместно с Web-сервером. Такие программы называются CGI-приложениями. Рассмотрим, как работает данная технология.

В зависимости от решаемой задачи в CGI-программе может быть выбран любой из поддерживаемых протоколом HTTP форматов данных: текст, изображение, документ в HTML-формате с соответствующим форматированием, аудиофайл и прочее. Пользователь же не заметит никакой разницы, загрузил ли он существовавший документ с диска Web-сервера, или этот документ был создан для него CGI-программой «на лету». программа может представлять собой любой исполняемый файл - будь то программа, написанная на языке С, Shell-скрипт или программа на Perl. Вообще приложениями CGI называются программы, которые, пользуясь этим интерфейсом, получают через протокол HTTP информацию от удаленного пользователя, обрабатывают ее, и возвращают результат обработки обратно в виде ссылки на уже существующий документ HTML или другой объект (например, графическое изображение) или в виде документа HTML, созданного динамически. Из-за того, что очень часто такие программы пишутся именно на языках-интерпретаторах (подобных Basic, Perl, PHP), их традиционно называют сценариями.

Область применения технологии CGI крайне обширна - возможно, динамическое построение HTML-документов, изображений, возможно выполнение запросов к серверным базам данных, осуществима реализация удаленных вычислений - если в качестве сервера выступает высокопроизводительный компьютер, то с помощью технологии CGI возможно выполнить передачу исходных данных и получить результат вычисления.

Язык разработки сценариев PHP.

PHP - язык, специально нацеленный на работу в сети Интернет, который позволяет встраивать программный код в HTML-документы. Синтаксис языка чрезвычайно ясный и читаемый, сочетает в себе все достоинства языков Perl и С. документы, написанные на языке PHP, относятся по предложенной ранее классификации к документам, обрабатываемым на сервере перед отсылкой их к пользователю. Для поддержки этой технологии Web-сервер должен иметь специальную программную надстройку, выполняющую инструкции языка PHP.

Как правило, Web-документы, написанные на языке PHP, имеют расширение .php. Рассмотрим, как работает данная технология. PHP-«программа» представляет собой обычный HTML-файл, в который в требуемых местах встроен программный код, выполняющий заданные действия. Вставки кода оформляются парой тегов <?php и ?>, между которыми может находиться необходимое число операторов языка. При запросе такого документа пользователем Web-сервер вызывает специальный PHP-интерпретатор и передает ему этот документ. Интерпретатор просматривает его, пропуская все теги HTML и выполняя все операторы программной вставки. Сама программная вставка, ограниченная тегами <?php и ?>, удаляется из документа, а на ее место вставляется результат выполнения операторов этой вставки, в том случае, конечно, если в ней содержатся операторы вывода. При этом сам HTML-файл фактически выступает в роли статического шаблона, в котором изменяемые фрагменты реализуются программным кодом. Результат такой обработки отправляется пользователю. Пользователь же никогда не сможет узнать, какой конкретно фрагмент (и вообще имелись ли такие фрагменты) был сгенерирован динамически. Однако, если Web-сервер не имеет PHP-интерпретатора, но на нем была размещена страница с инструкциями на этом языке, то страница, вместе со всеми программными вставками будет передана пользователю. Так как вставки кода оформляются парой тегов <?php и ?>, они будут восприняты браузерами как комментарии, и отображены пользователю не будут. Хотя пользователь сможет увидеть их, запросив в браузере исходный код страницы.

Как следует из изложенного алгоритма, элементарная PHP-программа вообще может не содержать ни одной программной вставки. Тем не менее, такая «программа» будет вполне рабочей, и при ее интерпретации в интерпретаторе Web-сервера никакой ошибки не произойдет. Иными словами, PHP-сценарий вообще может не отличаться от HTML-документа.

Синтаксис языка PHP обширен и функционален. Язык не требует ни объявления переменных, ни указания их типов. Все преобразования типов выполняются интерпретатором автоматически. Язык поддерживает множество управляющих структур - выбор, циклы, ветвления, поддерживаются функции. В языке реализованы некоторые принципы объектно-ориентированного программирования. К достоинствам языка относится богатый набор «встроенных» функций самого широчайшего назначения: файловых, сетевых, математических, строковых, функций для доступа к базам данных и многих других. PHP «изначально» ориентирован на поддержку CGI - при обработке форм в обрабатывающем сценарии становятся автоматически доступны все переменные, которые соответствуют элементам форм, что в значительной мере упрощает работу Web-программиста.

Область применения данной технологии, как и у технологии CGI - очень широка. PHP позволяет динамически создавать HTML-документы, работать с базами данных, сетевыми протоколами. Средства языка подходят для обработки HTML-форм. По сравнению с другими языками сценариев, выполняемыми на стороне сервера, PHP наилучшим образом подходит для решения задач, не предъявляющих высоких требований к производительности: гостевые книги, доски объявлений, системы регистрации, чаты - все это создается на PHP значительно с меньшими трудовыми затратами, нежели на других языках, например, на Perl.

Технология построения интерактивных документов DHTML.

Перечисленные в предыдущей главе технологии действительно делают HTML-документы интерактивными. Содержание страницы может зависеть от действий пользователя и других событий, однако для его изменения все равно необходимо производить перезагрузку новой страницы. Причем все изменения, которые может произвести пользователь, связаны с необходимостью взаимодействия с элементами управления: кнопкой, полем ввода, переключателем и т.п. Динамические расширения языка HTML (DHTML) позволяют менять содержание документов, взаимное расположение отдельных элементов, реагировать на действия пользователя мышью, на ввод данных с клавиатуры и прочие действия, причем все это выполняется без перезагрузки документа с сервера. Средства DHTML позволяют настраивать внешний вид целых сайтов - современные порталы предлагают пользователю персонализированные страницы, значительную часть оформления которых пользователь может выбрать сам.

Динамический HTML (Dynamic HTML, или DHTML) не является каким-то особым языком разметки страниц. Это термин, применяемый для обозначения HTML-страниц с динамически изменяемым на стороне клиента содержимым.

Элементы управления ActiveX - это самостоятельные программные компоненты, которые можно использовать в разрабатываемых программах для реализации необходимых функциональных возможностей. Элементы ActiveX - это действительно лишь компоненты, они не являются самостоятельным программным приложением, а выполняются только в приложении, позволяющем встраивать элементы ActiveX, являясь, тем самым, для них неким контейнером.

Компоненты ActiveX создаются с применением технологии программирования COM (Component Object Model), разработанной Microsoft. С точки зрения программиста, использующего его, ActiveX-элемент - это дальнейшее развитие технологии объектно-ориентированного программирования. При включении подобного объекта-компонента в тело разрабатываемой программы он делает доступными свои свойства и методы, которые открыты для использования в соответствующей объектно-ориентированной манере в программе-контейнере. Все эти свойства и методы могут быть использованы при применении технологии DHTML в языках-сценариях JavaScript или VBScript.

Элементы ActiveX хранятся на компьютере пользователя. Каждый элемент имеет уникальный идентификатор, и соответствующую, уникальную для каждого элемента запись в реестре операционной системы Windows. Встраивание элемента в HTML-страницу выполняется с помощью пары тегов <OBJECT>..</OBJECT>, содержащих идентификатор встраиваемого элемента ActiveX, а так же необходимое количество других параметров, задающих свойства элементов. Кроме того, может быть задан параметр, определяющий, откуда может быть загружен используемый ActiveX элемент, если он еще не имеется на компьютере пользователя.

Active Server Pages (ASP) - серверная технология от Microsoft.

Технология ASP компании Microsoft является аналогом рассмотренных ранее серверных технологий. Более всего ASP функционально походит на CGI. ASP-страница - это HTML-документ, содержащий сценарии, которые позволяют работать с управляющими элементами ActiveX, в том числе, и элементами для доступа к базам данных. Особенностью этой технологии является то, что в качестве языков сценариев для написания динамических вставок как правило используются JavaScript и VBScript, хотя допустимо использование и других языков. Сценарий управляет объектами, результаты работы которых представляются в формате Dynamic HTML.

Технологию ASP используют Web-сервера на базе Windows - Internet Information Server и Personal Web Server. Таким образом, ASP в некоторой мере может служить заменой CGI на Windows-платформах.

Сравнение технологий.

Рассмотрим особенности CGI и PHP. Очевидно, что реализация серьезных динамических Web-документов в этих технологиях неосуществима без передачи исходной информации от клиента на сервер. При изложении CGI были рассмотрены способы, которыми на сервер могут быть переданы данные. Было сказано, что задача написания функций, реализующих тот или иной алгоритм раскодирования информации и интерпретации строки параметров возлагается на программиста. На каком бы языке сценарий написан бы ни был, если этот язык не имеет соответствующих функций, то программисту придется заботиться и о решении этой совсем не простой задачи. В этом смысле выгодно отличается PHP, который был специально разработан для работы с Web-документами. Если PHP-сценарию была передана строка параметров - вне зависимости от использовавшегося для этого метода - все эти параметры становятся автоматически доступны в сценарии. Иными словами, если серверу была передана строка value1=aaa&value2=%8E%8F%90, то в сценарии на момент выполнения программы эти данные будут в распоряжении программиста в виде массива. Никаких перекодирований и никаких интерпретаций строк параметров выполнять не потребуется.

В DHTML обращение к значениям данных возможно через объектное представление документа.

Теперь попробуем качественно оценить быстродействие средств рассматриваемых технологий программирования. Учитывая то, что для написания CGI-сценариев может применяться любой язык программирования, в том числе и компилируемые - C, Pascal, именно в этой технологии потенциально может быть достигнута наивысшая скорость обработки информации и генерации Web-документов. Однако следует учесть, что при каждом обращении к CGI-сценарию операционная система сервера выполняет его загрузку с диска в оперативную память. Данный процесс занимает некоторое время. При повышении нагрузки на сервер время, требуемое для чтения файла с диска, увеличивается, и эта задержка может оказаться существенной при формировании документа.

Язык PHP обладает меньшим быстродействием при обработке больших объемов информации, однако интерпретатор команд PHP находится в оперативной памяти сервера постоянно, и готов к исполнению программного кода PHP. Благодаря этому никаких обращений к жесткому диску сервера не требуется. Кроме того, если верить разработчикам, с версии 4 этого языка он уже является полу-компилятором - перед выполнением исходный код программы однократно на этапе трансляции преобразуется в промежуточный байт-код, который в последствии интерпретируется. Такой подход позволяет добиться большей производительности, чем построковая интерпретация и проверка синтаксиса на этапе выполнения, существовавшие в предыдущих версиях.

Построение Web-серверов на базе технологий Microsoft сопряжено со значительными финансовыми затратами на приобретение программного обеспечения. Отметим, что все средства для создания Web-серверов с технологиями CGI или PHP (операционные системы семейства Linux или FreeBSD, Web-сервер Apache, сам язык PHP) могут быть получены бесплатно без нарушений каких бы то ни было лицензий.

Подытожим вышеизложенные сравнения следующим выводом. При применении Web-сервера на базе ОС Unix для реализации интерактивных Web-документов на стороне сервера предпочтительным является использование языка PHP. На серверах на базе Windows предпочтительно применение технологии ASP. Для проверки больших объемов информации перед передачей их на сервер или для реализации обработки информации на стороне пользователя рекомендуется использовать компоненты DHTML.

Выбор оптимального с точки зрения быстродействия решения возможен лишь при сравнении нескольких способов решения одной задачи с применением различных технологий. Сведем рассмотренные характеристики в таблицу 1

Таблица 1

Характеристики Web- технологий

Характеристики

Технология


CGI

PHP

ASP

DHTML

DHTML+ActiveX

Место выполнения

сервер

сервер

сервер

клиент

клиент

Быстродействие

++

+-

+-

+-

++

Скорость загрузки

++

++

--

--

--

Нагрузка на сеть при работе с данными

+-

+-

+-

+-

--

Платформа

W/U

W/U

W

W/U

W

Простота разработки

--

++

+-

+-

+-

Работа с базами данных

+

+

+

-

+

Отсутствие лицензирования

+

+

-

-

-


примечание: W - MS Windows, U - Unix.

Выбор платформы системы.

Оптимальной платформой для проекта будет, уже ставшей классической, связка Apache+MySQL+PHP под ОС на базе Unix. Рассмотрим компоненты.

Программное обеспечение Web-сервера.

         ОС Linux Red Hat 9

Linux - это полная многозадачная многопользовательская операционная система(точно также как и другие версии UNIX). Большинство свободно распространяемых по сети Internet программ для UNIX может быть откомпилировано для LINUX практически без особых изменений. Кроме того, все исходные тексты для Linux, включая ядро, драйверы устройств, библиотеки, пользовательские программы инструментальные средства распространяются свободно.

Linux обеспечивает полный набор протоколов TCP/IP для сетевой работы. Это включает драйверы устройств для многих популярных карт Ethernet, SLIP (Serial Line Internet Protocol, обеспечивающие вам доступ по TCP/IP при последовательном соединении), PLIP (Parallel Line Internet Protocol), PPP (Point-to-Point Protocol), NFS (Network File System). Поддерживается весь спектр клиентов и услуг TCP/IP, таких как FTP, telnet, NNTP и SMTP. 1.3.33 rus/PL30.21

Особенности сервера:

-  Поддержка согласования кодировок клиента и сервера как при выдаче документов пользователю, так и при обработке пользовательского ввода (при вводе поддерживаются как GET, так и POST).

-       Выдача правильных Content-type:...;charset=... в соответствии с этим согласованием.

-       Выдача при необходимости заголовка Expires: для proxy серверов.

-       Выдача корректных заголовков Vary: и ETag, в результате возможно корректное кэширование документов (если proxy-cache совместим с HTTP/1.1).

-       Автоматическое перенаправление клиента на URL в нужной кодировке

В сервере реализовано совмещение нескольких методов согласования кодировок клиента и сервера:

-  Через заголовки клиента Accept-Charset: и/или Accept: text/x-cyrillic ... Если сервер знает о том charset, который запросил клиент, то эти заголовки имеют высший приоритет для сервера, вне зависимости от его настройки на native charset.

-       Через поиск в имени сервера названия одной из сконфигурированных кодовых страниц

-       Через поиск в префиксе запрошенного URI названия одной из сконфигурированных кодовых страниц

-       Через явное указание соответствия "номер порта - кодировка".

-       Через конфигурацию кодовых страниц по умолчанию для различных типов клиентских программ в случае, когда сервер может опознать клиентскую программу (иногда среду, в которой работает клиентская программа).

-       Для разных (виртуальных) серверов и/или директорий - по отдельности. Т.е. для каждой директории или виртуального сервера (на другом hostname или номере порта) можно указать свой набор директив <#"656898.files/image001.gif">

Рисунок 1. Жизненный цикл документа.

. Стадия разработки документа, которая может включать:

·              собственно разработка содержания документа;

·              оформление документа;

·              утверждение документа.

В том случае если документ находится на стадии разработки, то он считается неопубликованным, и права на документ определяются правами доступа конкретного пользователя.

2. Стадия опубликованного документа, которая может включать:

·              активный доступ;

·              архивный документ:

o     краткосрочного хранения;

o     долгосрочного хранения;

·              уничтожение документа.

Когда документ переходит на вторую стадию, он считается опубликованным, тогда права на документ остаются только одни - доступ на чтение. В качестве примера опубликованного документа можно привести шаблон стандартного бланка предприятия. Кроме права доступа на чтение могут существовать права на перевод опубликованного документа в стадию разработки.

Задачи архивов.

         Архив предприятия - это комплекс программного и аппаратного обеспечения, предназначенный для решения следующих задач.

Организация хранения электронных документов.

Необходимо обеспечивать хранение произвольного количества электронных документов на разнообразных носителях. Носители электронных документов характеризуются двумя основными параметрами, стоимостью хранения одного мегабайта информации и скоростью доступа к информации. Причем эти два параметра обратно пропорциональны друг другу - в зависимости от решаемых задач, необходимо находить оптимальное соответствие и выбирать определенный носитель информации. Также на выбор носителя влияет срок хранения информации. Иногда для ряда задач необходимо создавать систему хранения, которая состоит из разнотипных носителей. Например, для оперативного доступа требуется применение высокоскоростных жестких дисков, а для архивного хранения достаточно роботизированных библиотек оптических дисков. Соответственно для таких гетерогенных систем хранения необходимо решать задачи не только совместной работы данных носителей информации, но и обеспечивать миграцию документов между носителями. Эта миграция может осуществляться либо путем настройки системы администратором (например после истечения 90 дней со дня создания документа он должен автоматически переместиться на более медленный и дешевый носитель информации), либо автоматически в зависимости от частоты обращения пользователей к тому или иному документу. Программное обеспечение, которое ответственно за автоматическую миграцию документов носит название Hierarchical Storage Management(HSM).

Выбор решений ключевых проблем управления хранением информации на разных платформах зависит от различных факторов, в том числе и от экономических - и в стоимости создания распределенных приложений клиент/сервер, и в выборе аппаратного обеспечения, которые делают необходимыми программные средства в таких областях, как структурированное хранение информации (hierarchical storage management, HSM) и резервирование (Backup). Эти факторы глобальны по своей природе, и в соединении с административными и техническими проблемами формируют определенную совокупность требований к управлению

Принципы управления хранением.

Прежде всего я хотел бы сформулировать фундаментальное правило управления хранением.

Данные находятся в сохранности только тогда, когда они хранятся более чем на одном носителе и более чем в одном месте.

Это утверждение может показаться одной из самоочевидных истин, однако новые технологии его так легко вуалируют, что мы теряем ощущение реальности. Любой носитель может выйти из строя, будь это диск оперативного доступа, магнитная лента или оптический диск. Аналогично может быть разрушено любое место хранения - например сгореть.

Первый принцип управления хранением - хранить данные в безопасности. Проблема, из-за которой мы уделяем так много внимания данной теме, состоит в том, чтобы сделать это наиболее доступным по цене способом. Вместо единого решения, которое подходило бы для всех вариантов хранения, существуют компромиссы. Обычно они возможны между стоимостью хранения, усилиями по выполнению резервирования и стоимостью простоев и потери данных. Стоит еще раз напомнить самим себе, - зачем мы делаем резервирование - чтобы защититься от случайностей ("о, я только что удалил не тот файл") и разных бедствий (разрушен диск или сгорел центр обработки данных).

Существуют гибкие методики, такие как RAID, включая "зеркалирование" (mirroring), однако хотя они и повышают надежность системы, но не защищают ни от катастрофы (если у вас нет удаленной зеркальной копии), ни тем более от случайного удаления.

Организация учета бумажных и микрографических документов.

Архивная система кроме работы с электронными документами должна учитывать бумажные и микрографические документы - система должна хранить только электронную карточку на документ данного типа и поддерживать контроль стандартных архивных операций: выдача документа, возврат документа и т. п.

Организация поиска документов.

Наряду с организацией хранения документов необходимо их быстро и эффективно искать. Если со скоростью поиска все понятно, то для пояснения понятия эффективности поиска рассмотрим модели поиска. Существует два подхода к поиску документов. Первый подход состоит в том, что в процессе поиска ищется документ, который точно существует в системе, и задача состоит в том, чтобы процесс поиска свелся к нахождению требуемого документа или документов. Этот подход применятся в 90% всех случаев поиска. Второй подход состоит в том, что ищутся все документы по интересующему вопросу. Для этого подхода присущи такие понятия, как полнота - соответствие между найденными документами по данному запросу и действительному списку документов и шум - соответствие документов, отвечающих запросу и документов, нерелевантных ему.

Существует два основных типа поиска. Атрибутивный - каждому документу присваивается набор определенных атрибутов, присваиваемых документу во время его размещения в архиве. В дальнейшем документ ищется на совпадение значений этих атрибутов полям запроса. К атрибутам документа можно отнести имя документа, время создания, автор, машинистка, имя подразделения, тип документа (факс, письмо, контракт, спецификация и т.д.). Очевидно, что список таких атрибутов должен быть расширяем. Совокупность атрибутов документа называется карточкой документа. Эти поля могут заполняться произвольно или из предопределенных справочников.

Второй тип поиска, носит название полнотекстовый - автоматически обрабатывается все содержание документа, и затем по любому слову, входящему в данный документ, можно найти сам документ. Соответственно существует зависимость между типами поиска и подходами к поиску. Для поиска известного документа, очевидно, более применим атрибутивный поиск, для исследовательского поиска - полнотекстовый. Существует комбинация полнотекстового и атрибутивного поиска, когда атрибуты документа обрабатываются так же, как все содержание документа. Полнотекстовый поиск зависит от формата документа и языка, на котором он создан. Электронный документ любого формата необходимо предварительно преобразовывать в плоский текст для обработки системой полнотекстового поиска, следовательно, любая такая система должна содержать в своем составе конвертеры форматов. Зависимость от языка выражается в следующих факторах: поиск документа будет более полным, если в результате запроса будут найдены не только документы, которые точно соответствуют слову в запросе, но и те документы, в которых присутствуют различные словоформы слова в запросе. Данная технология носит название нормализации. Причем эффективность метода зависит от применяемого алгоритма нормализации. Для русского языка наиболее эффективен словарный метод - слово нормализуется на основе словарей, в которых содержатся словоформы. Кроме словарного метода может применяться эвристический метод нормализации, когда слово может быть приведено к нормальному виду путем выполнения определенных правил, описывающих алгоритмику нормализации. Если для английского языка свод правил нормализации составляет 300 страниц машинописного текста, то для русского языка этот свод на несколько порядков больше. Аналогично нормализации было бы логично выполнять поиск не только по конкретному слову, но и по его синонимам.

Поддержка защиты документов от несанкционированного доступа и аудита работы.

         Архивная система должна иметь защиту на уровне документа - каждый документ должен иметь ассоциированный с ним список пользователей, имеющих право совершать с ним определенные операции. Для статических архивов этот список операций может представлять следующий набор: просмотр и печать документа, право изменять карточку документа.

Система маршрутизации и контроля исполнения.

При организации систем документооборота одной из основных составляющих являются системы маршрутизации и контроля исполнения, которые оперируют документами, хранящимися в архиве. При построении систем маршрутизации могут применяться два основных подхода.

Первый носит название документно-ориентированный. Документ является основным объектом системы, и маршрутизируется именно он, а все остальные параметры маршрутизации ассоциированы именно с документом. Второй подход носит название работо-ориентированный и его основным объектом является работа. К работе может быть прикреплен самый разнообразный список объектов, в том числе, и документы. Естественно, работа может существовать и без документов. Второй подход является более общим.

Рисунок 2.

Объекты системы маршрутизации.

Свободная маршрутизация.

         Выделяется два основных типов маршрутов документов. Последовательная маршрутизация - документ последовательно проходит одного исполнителя за другим. Передача документа от одного пользователя к другому может происходить по истечении контрольного времени, либо после завершения работы одним из них. Параллельная маршрутизация - документ одновременно поступает всем исполнителям, а завершение маршрута происходит, когда один либо все пользователи завершат работу с документом.

Системы электронной почты.

Минимальной достаточной системой, обеспечивающей маршрутизацию документов является система электронной почты, которая осуществляет параллельное распространение документов (маршрутизация отличается от распространения или рассылки тем, что маршрутизируемый документ возвращается в начало маршрута, например к инициатору, а рассылаемый документ уходит к исполнителю без контроля факта возврата). С помощью дополнительных приложений система электронной почты может обеспечивать последовательную маршрутизацию документов.

Свободная маршрутизация документов с контролем исполнения.

Под контролем исполнения понимается следующая функциональность.

· Контроль доставки задания - инициатору выдается информация о том, что его задание достигло места назначения (исполнителя).

· Контроль прочтения задания - инициатору выдается информация о том, что с его заданием ознакомились сотрудники, для которых это задание было предназначено.

· Контроль выполнения - инициатору выдается информация о том, что задание выполнено.

· Мониторинг задания - инициатор всегда может посмотреть, кто и что сейчас делает с его заданием.

· Извещение о нарушении сроков исполнения - система документооборота может известить инициатора о том, что посланное им задание просрочено конкретным сотрудником.

· История выполнения заданий.

Контроль качества исполнения означает, что, если пользователь говорит о том, что задание исполнено, это еще не означает, что оно действительно исполнено, инициатор должен проверить качество исполнения, подтвердить или нет исполнение.

Информация может выдаваться в виде изменения статуса задания в окнах входящих и исходящих заданий или в виде нового задания сформированного системой инициатору либо с помощью сообщения по электронной почте.

Маршрутизация документов по заранее определенным маршрутам с контролем исполнения.

Маршруты могут быть более сложными, чем простые последовательные или параллельные:

· комбинированные из последовательных и параллельных элементов;

· условные, с переходами в зависимости от состояния тех или иных переменных маршрутов.

Такие маршруты становятся сложными для их задания "на лету", поэтому в этом случае используется специализированный графический редактор, позволяющий создать маршрут. Инициатор вызывает созданный и именованный маршрут и прикрепляет к нему документы - инициирует его. Система маршрутизации должна быть интегрирована с архивной системой, и реальные приложения для работы с документами не могут быть основаны только на файловой системе. И вот почему. Любой процесс маршрутизации документов - это движение одного документа, а не множества его копий, как это происходит в системах электронной почты. Посылать один документ необходимо не только по соображениям экономии пространства, но и в основном для поддержания его целостности - в процессе маршрутизации многие пользователи пытаются вносить изменения в документ. Кроме этого, было бы желательно, чтобы система маршрутизации была интегрирована с архивной системой по следующим параметрам:

· По списку пользователей и системе безопасности. Это означает, что если вы собираетесь послать кому-то документ, то адресат должен обладать соответствующим набором прав для работы с этим документом. Если прав недостаточно, то система должна попросить инициатора работы или маршрута установить соответствующие права.

· Интеграция с операцией опубликования документа. Задача состоит в том, что после окончания маршрута документ, ассоциированный с маршрутом, меняет свой статус на опубликованный. В качестве примеров таких маршрутов можно привести процесс утверждения документа.

Рассмотренные возможности обеспечивают построение любой частной системы документооборота на любом предприятии в любой предметной области. Естественно, для построения частного решения можно ограничивать функционал системы в зависимости от предъявляемых заказчиком требований.

Пограничные задачи.

Данная проблема подразделяется на два основных класса:

· Персональный ввод бумажных документов. Ввод небольшого количества разнотипных бумажных документов осуществляется с помощью планшетных или персональных сканеров. После операции сканирования документ вручную индексируется путем заполнения карточки документа.

· Массовый (поточный) ввод бумажных документов. Основное отличие от предыдущего состоит в том, что обрабатывается большое количество однотипных документов. В качестве примеров приложений данной технологии в конкретных предметных областях можно привести: систему ввода и хранения платежных поручений в банке, систему обработки анкет опроса населения, систему обработки результатов голосования.

При реализации технологии массового ввода документов можно рассматривать два основных класса задач:

) Задача извлечения данных из бумажных документов. Например, имеется форма с результатами опроса населения. Необходимо ввести большое количество анкет, извлечь из них данные и загрузить в некоторую базу. В этом случае нас интересуют только извлеченные структурированные данные, а не сами изображения документов.

) Задача извлечения данных из бумажных документов с сохранением изображения документа. Если вы обрабатываете не форму с опросами населения, а платежное поручение клиента, то имеет смысл после извлечения данных сохранить изображение документа для того случая, когда потребуется анализ исходного документа. Извлеченные данные можно опять-таки использовать двояко. Во-первых, эти данные имеет смысл напрямую загружать в банковскую систему, а, во-вторых, их можно использовать для организации хранения и быстрого поиска изображений платежных поручений. В случае применения извлеченных данных для индексирования изображения документа необходимо разделять типы извлеченных данных. В основном на выходе используются структурированные данные, и тогда для поиска применяется атрибутивная индексация, но бывают случаи, когда из документа извлекаются только неструктурированные данные (например при распознавании всего содержимого документа). Тогда требуется полнотекстовая индексация. Возможна также и промежуточная задача, когда сохраняется не все изображение, а только его часть, допустим подпись клиента на чеке или платежном поручении.

Работа системы массового ввода разбивается на две основные части - подготовка обработки документа и собственно обработка.

Перевод бумажных документов в электронную форму.

Чтобы начать работать с каким-либо документом, необходимо описать его для использования в системе, а именно создать и зарегистрировать новый класс документа. При этом первым шагом должно быть получение отсканированного изображения незаполненного документа и создание формы по отсканированному шаблону в том случае, если мы регистрируем уже кем-то разработанный документ, либо создание формы для нового документа.

После этого с помощью специального программного модуля (Редактор Форм) требуется определить те поля, которые будут распознаваться системой или заполняться оператором с клавиатуры, а также указать типы данных обрабатываемых полей документа. Для распознаваемых полей следует определить специальные атрибуты модуля с целью повышения точности распознавания, например наличие рукописных цифр, которые находятся в специальных рамках, или символов, напечатанных на машинке. Также можно задать специальные правила проверки корректности обрабатываемых полей документа.

Для конкретного класса документа можно создать несколько форм ввода, используемых либо при редактировании неправильно распознанных данных, либо при ручном вводе полей документа. Возможность создания нескольких форм ввода позволяет назначать для конкретного пользователя конкретные поля для редактирования, что значительно повышает его производительность. Например, в документе имеется рукописное поле, которое не подлежит распознаванию. Создается форма ввода, где есть только одно это поле. Оператор осуществляет ввод только данного конкретного поля, что значительно увеличивает производительность за счет появления в его работе элементов автоматизма.

Для конкретного класса документа, с помощью Редактора Модели Ввода, можно разработать специфичную модель обработки документа, которая определяет операции обработки конкретной копии документа.

Также процесс подготовки документа к вводу в систему необходимо дополнить настройками экспорта документа (Редактор Экспорта) в архивную систему. Данная настройка заключается в установке соответствия между полями формы документа (распознанными или введенными вручную) и полями карточки документа архивной системы. Немаловажной особенностью является способность модуля настройки привязывать содержимое поля документа к проверке на вхождение в справочники архивной системы. Например, если в Редакторе Форм было описано поле "Номер клиента" и к нему прикреплен конкретный справочник системы управления документами, а в процессе ввода был распознан номер, которого нет в этом справочнике, следовательно, возникла исключительная ситуация, которую можно решать двумя методами -или повторно обработать документ, или ввести новый номер в справочник.

Подготовка обработки документа.

Чтобы начать работать с каким-либо документом, необходимо описать его для использования в системе, а именно создать и зарегистрировать новый класс документа. При этом первым шагом должно быть получение отсканированного изображения незаполненного документа и создание формы по отсканированному шаблону в том случае, если мы регистрируем уже кем-то разработанный документ, либо создание формы для нового документа.

После этого с помощью специального программного модуля (Редактор Форм) требуется определить те поля, которые будут распознаваться системой или заполняться оператором с клавиатуры, а также указать типы данных обрабатываемых полей документа. Для распознаваемых полей следует определить специальные атрибуты модуля с целью повышения точности распознавания, например наличие рукописных цифр, которые находятся в специальных рамках, или символов, напечатанных на машинке. Также можно задать специальные правила проверки корректности обрабатываемых полей документа.

Для конкретного класса документа можно создать несколько форм ввода, используемых либо при редактировании неправильно распознанных данных, либо при ручном вводе полей документа. Возможность создания нескольких форм ввода позволяет назначать для конкретного пользователя конкретные поля для редактирования, что значительно повышает его производительность. Например, в документе имеется рукописное поле, которое не подлежит распознаванию. Создается форма ввода, где есть только одно это поле. Оператор осуществляет ввод только данного конкретного поля, что значительно увеличивает производительность за счет появления в его работе элементов автоматизма.

Для конкретного класса документа, с помощью Редактора Модели Ввода, можно разработать специфичную модель обработки документа, которая определяет операции обработки конкретной копии документа.

Также процесс подготовки документа к вводу в систему необходимо дополнить настройками экспорта документа (Редактор Экспорта) в архивную систему. Данная настройка заключается в установке соответствия между полями формы документа (распознанными или введенными вручную) и полями карточки документа архивной системы. Немаловажной особенностью является способность модуля настройки привязывать содержимое поля документа к проверке на вхождение в справочники архивной системы. Например, если в Редакторе Форм было описано поле "Номер клиента" и к нему прикреплен конкретный справочник системы управления документами, а в процессе ввода был распознан номер, которого нет в этом справочнике, следовательно, возникла исключительная ситуация, которую можно решать двумя методами -или повторно обработать документ, или ввести новый номер в справочник.

После регистрации нового класса документа система готова к работе с реальными документами, предназначенными для сканирования.

Обработка документа.

Одной из возможностей повышения эффективности системы ввода документов является предварительная подготовка документов для сканирования. Перед сканированием необходимо отсортировать документы различных классов и сформировать пакеты документов. Каждый пакет может сопровождаться специальным титульным листом с кодом идентификации данного пакета. Это позволяет одновременно сканировать пакеты с документами разных классов без дополнительных задержек.

После сканирования документы автоматически направляются на операцию распознавания, непосредственно перед которым система осуществляет ряд операций, улучшающих изображение, а значит, и точность распознавания. Выполняются такие операции, как выравнивание, удаление шума и линий, восстановление символов и др. Система может распознавать печатный текст, рукописные цифры и специальные отметки. Также возможно одновременное использование нескольких распознающих модулей. При этом, безусловно, теряется скорость, но точность распознавания значительно повышается. Очень важно сказать, что при этом значительно понижается возможность пропуска некорректных данных. В зависимости от результатов распознавания, поле помечается как корректное или некорректное. Для повышения надежности данных после распознавания применяются определенные пользователем правила проверки данных. Например, можно проверить, имеется ли распознанная информация в вашей базе данных. Если данные после распознавания помечены как некорректные, то они автоматически направляются на ручное редактирование. Во время редактирования оператор видит реальное изображение нераспознанного поля и имеет возможность откорректировать его. После ввода оператором новых данных опять-таки применяются правила проверки данных - на всех этапах ввода, как автоматического, так и ручного, осуществляется проверка данных в соответствии с правилами, определенными пользователем. После извлечения данных из документа необходимо провести операцию экспорта документов и извлеченной информации в систему управления документами.

В результате выполнения всех этих операций документы заносятся в архив и становятся доступными для всех сотрудников предприятия. Необходимо отметить, что на каждом этапе обработки документов может использоваться произвольное количество станций (серверов) обработки.

РАЗРАБОТКА СХЕМЫ ДОСТУПА ПОЛЬЗОВАТЕЛЕЙ К ФУНКЦИЯМ WEB-САЙТА

Распределение пользователей по группам.

Согласно техническому заданию пользователи делятся на следующие группы:

администраторы - имеют полные права доступа, могут изменять свойства документа, смотреть отчеты и лог файлы, создавать, удалять и редактировать список пользователей, имеют полный доступ к архиву и электронной почте;

контролеры - имеют право на доступ к доске объявления (удаление/размещение документов), к модулю выдачи и контроля поручений, есть доступ к спискам рассылки и оповещению;

операторы архива - группа пользователей для работы с электронным архивом (канцелярия), имеют право на добавление, изменение, удаление, как документов, так и их свойств;

пользователи - имеют доступ к основным свойствам системы, к поиску и электронной почте.

Атрибуты документа.

Каждый документ, занесенный в архив, имеет следующие атрибуты:

автор;

подразделение;

тип документа;

дата создания;

дата утверждения;

срок хранения;

права доступа;

РЕАЛИЗАЦИЯ ПРОГРАММНОЙ ЧАСТИ СИСТЕМЫ

Модуль обработки входящей и исходящей корреспонденции.

Модуль предназначен для регистрации, хранения и обработки входящей и исходящей корреспонденции организации.

Функциональные возможности:

· Регистрация входящей и исходящей документации

· Классификация корреспонденции

· Постановка на контроль

· Выдача поручений по входящим и исходящим документам

· Ведение переписки

· Возможность направления входящего документа по заранее созданным или новым маршрутам прохождения документа, маршрутам согласования и утверждения

· Хранение связей между входящими и исходящими документами

· Контроль прохождения документов по маршрутам

· Ведение журналов электронных версий документов компании (Журнал входящей корреспонденции, Журнал исходящей корреспонденции)

Модуль согласования документов.

Модуль предназначен для:

· Создания проектов документов по принятым в компании шаблонам документов различных типов

· Организации маршрута прохождения документа при его согласовании и утверждении (создание и отслеживание регламента согласования и утверждения документов)

· Согласования документов всеми лицами, участвующими в согласовании (в соответствии с заданным регламентом), по каждому пункту договора.

· Делегирование полномочий одного сотрудника другому, с отслеживанием его участия в согласовании Создания протокола согласования документа

· Хранение резолюций всех согласующих лиц

· Организация утверждения документа (возможно применение электронной цифровой подписи)

· Разграничения доступа: возможность согласования в закрытом кругу (доступ разрешен только приглашенным лицам)

Согласование документов может проходить по заранее созданным маршрутам документов. Так же можно задать новый маршрут согласования. Для разных типов документов могут быть созданы различные маршруты согласования. Документ будет отправлен по маршруту, созданному для данного типа документа. Перед отправкой на согласование, маршрут документа можно изменить.

Согласование документа проходит в режиме закрытого форума, доступ к которому имеют только сотрудники, участвующие в согласовании.

В Системе предусмотрен механизм уведомления пользователей средствами электронной почты обо все событиях их касающихся, о выдаче поручения, о приглашении к согласованию документа и т.п.

Все документы при их согласовании могут быть классифицированы не только по типу документа (договор, приказ, распоряжение) но и по различным тематикам.

Как правило, руководитель подразделения не занимается разработкой документов, а поручает это своим подчиненным или секретарю. Для этого в системе предусмотрена возможность делегирования прав на создание и согласование отдельного документа. Руководитель имеет возможность отследить все действия свое сотрудника по этому вопросу.

Модуль выдачи и контроля поручений.

При выдаче поручения указывается тема поручения, срок выполнения, важность поручения. Можно прикрепить к поручению несколько файлов.

Как только сотрудник выполнит поручение, он обязан прикрепить к поручению отчет - либо в форме комментариев, либо в файле аттачмента. Руководитель сразу же увидит, что сотрудник выполнил работу и когда он ее выполнил - система показывает дату выполнения поручения. Руководитель может просмотреть отчет подчиненного и либо принять его (в этом случае поручение считается выполненным и переносится в архив), либо отклонить, указав причины отклонения. Подчиненный обязан будет довести работу до конца.

Система автоматически отслеживает события по поручениям - она выдает сообщения по электронной почте о том, что подходит срок выполнения определенного поручения. Поручения, срок которых истек, в списке поручений помечаются красным цветом.

Функциональные возможности:

· доступ всех сотрудников подразделения к Системе

· размещение в системе поручений, данных подразделению в распорядительных документах Компании, Протоколах совещаний и т.п.

· возможность направления поручений сотрудникам от руководителя подразделения, его помощника, руководителей структурных подразделений, а также контроль сроков выполнения поручений

· возможность сотруднику сформировать и разместить отчет о выполнении поручения

· возможность руководителю согласовать (утвердить) данный Акт (отчет) о выполнении поручения или потребовать доработки

· ведение электронных архивов документации подразделения (Указаний, презентаций, отчетов по выполненным проектам и т.п.)

Система справочников.

Все модули интегрированы в единую систему документооборота на основе единой базы данных.

Ядром системы является система справочников компаний, подразделений, должностей, сотрудников, типов документов, маршрутов прохождения документов и др.

В системе справочников хранится полная структура организации, созданная в соответствии со штатным расписанием. Справочная система хранит контактную информацию по каждому сотруднику (адрес, телефон), его должность.

Архив документов.

Модуль предназначен для передачи и сохранения информационных материалов (документов) компании в архив, поиска и извлечения копий необходимых материалов из архива, восстановления утраченных или ошибочно удаленных из оперативной части материалов.

Отличительной особенностью Архива является многомерный тематический классификатор документов, позволяющий классифицировать информацию по произвольному количеству признаков. Все документы в Системе хранятся на файловом сервере, а в базе данных на каждый документ заводится карточка документа.

Поиск документов в архиве осуществляется:

· по карточке документа в базе данных

· контекстный поиск

· поиск по атрибутам документа (автор, подразделение, дата создания, утверждения и т.д.)

В архиве между документами можно установить связи различных типов, позволяющих хранить версии документов при их модификации, находить документы, на которые есть ссылки в данном документе, находить комплекты и пакеты документов, просматривать переписку и т.д.

Доступ пользователей к документам, хранящимся в архиве, так же разграничен.

Следует отметить следующие моменты:

· Полное сохранение и доступность архивной информации.

· Решение проблемы замедления обработки пользовательских запросов по мере увеличения числа записей в таблицах базы данных - логическое разделение системы на оперативную и архивную часть.

· Эффективный механизм поиска и выборки документов в большом документарном массиве.

· Поддержание ограничения доступа к архивным данным согласно правам пользователей и пользовательских групп.

Функциональные возможности системы:

· интегрированная обработка всех видов информации

· централизованный электронный архив, включающий электронные копии оригиналов бумажных документов различных форматов

· классификация и рубрикация архива документов (каталог)

· отслеживание принадлежности документов организационным структурам компании

· разграниченный доступ сотрудников к архиву (защита от несанкционированного доступа), разграниченный доступ сотрудников к каждому отдельному документу, различные уровни доступа к документам

· регистрация входящих и исходящих документов (журналы)

· отслеживание истории работы с документами (кто и когда работал с документом, хранение всех версий документа)

· доступ к документам и работа с ними в соответствии с регламентами компании

· система ведения и наполнения архива документов

· информирование нужных сотрудников по электронной почте о поступлении документов в архив

Модуль электронной почты.

Модуль предназначен для работы с электронной почтой организации. Работает как с внешней, так и с внутренней корреспонденцией.

Функциональные возможности:

· получение электронной почты

· создание и отправка электронной почты

· сервисы подобные web-mail

Модуль администрирования.

Модуль администрирования предназначен для ведения (поддержки) справочников, а так же для осуществления политики разграничения прав доступа сотрудников к информационным материалам Системы.

В системе все действия пользователей протоколируются (ведутся <лог> файлы). Всегда можно определить кто, что и когда делал в системе.

Функциональные возможности:

· организация разграниченного доступа к ресурсам системы

· ведение классификаторов электронных документов

· ведение справочников

· создание маршрутов прохождения документов

· поддержка системы

ОРГАНИЗАЦИОННО-ЭКОНОМИЧЕСКАЯ ЧАСТЬ

Оценка трудоёмкости по модели COCOMO II

Тезисы

Общий объём программы - 2 000 строк.

Создание продукта по оптимальной традиционной модели разработки потребует:

Таблица 2

Параметр

Значение

Общий объём работы

4,65 человекомесяца

 !Создание руководств

0,28 человекомесяца

Календарное время

5,6 месяцев

 !Только проектирование

2,51 месяца

Среднее количество занятых работников

1

 !Максимальное количество

 1


Правила расчёта

Тип системы: промежуточная

Формулы:

1.  Работа=2,45*EAF*(SLOC/1000)^1,12

2.      Время=2,50*(Работа)^0,35

Таблица 3

Расчёт EAF

Фактор

Значение

Влияние

Знание языка программировния

Номинальное

1,0

Ограничение времени выполнения

Номинальное

1,0

Размер базы данных

Номинальная

1,0

Межремонтный срок службы компьютера

Номинальный

1,0

Знание виртуальной машины

Номинальное

1,0

Изменчивость виртуальной машины

Номинальная

1,0

Использование программных инструментов

Высокое

0,9

Использование современных методов

Номинальное

1,0

Ограничение объёма памяти

Низкое

1,0

Знание приложений

Высокое

0,95

Ограничение по срокам разработки

Номинальное

1,0

Требуемая надёжность

Номинальная

1,0

Сложность продукта

Номинальная

1,0

Способности персонала/команды

Номинальные

1,0

Способности аналитика

Номинальные

1,0

=1,0^13*0,9*0,95=0,855

Расчёт работы и времени

Работа=2,45*0,855*(2000/1000)^1,12=4,3 человекомесяца*

Время=2,5*(4,3)^0,35=4,15 месяцев*

Работа и время не включают затраты на планирование и определение требований

Итоговые цифры:

Работа = 4,65 человекомесяца

Время = 5,6 месяца

Таблица 4

Распределение работ и времени по стадиям жизненного цикла при традиционном подходе

Вид деятельности

Работа (%)

Время (%)

Планирование и определение требований

(+8)

(+36)

Проектирование продукта

18

36

Детальное проектирование

25

18

Кодирование и тестирование отдельных модулей

26

18

Интеграция и тестирование

31

28

ИТОГО:

108%

136%


Таблица 5

Стандартное распределение работ по видам деятельности WBS в модели COCOMO

Тип кода

Бюджет (%)

Человеко-месяцы

Анализ требований

4

0,19

Проектирование продукта

12

0,56

Программирование

44

2,05

Планирование тестирования

6

0,28

Верификация и аттестация

14

0,65

Канцелярия проекта

7

0,33

Управление конфигурацией и обеспечение качества

7

0,33

Создание руководств

6

0,28

ИТОГО:

100%

4,65


Если оплата труда программиста разработчика составляет 2000 руб./мес., то затраты на разработку составят:


Средний процент рабочего времени, которое сотрудники тратят:

на поиск и ожидание поступления документов - 20%

на согласование и утверждение документов - 20%

на передачу документов между подразделениями - 10%

на подготовку стандартных отчетов о движении документов - 10%

Средний процент экономии времени на вышеперечисленные виды обработки документов при использовании СЭД - 80%. Соответственно, использование СЭД может экономить 80%*60%=48% рабочего времени.

Следовательно, время затрачиваемое сотрудником до внедрения занимало 1176 часов в год, а после внедрения оно займет 235,2 часа.

человекочасов;

человекочасов.

До внедрения ПП в работе был задействован один человек - программист. Заработная плата которого составила 2000 руб., поэтому затраты на заработную плату в год (при 22 рабочих днях в месяце) составили

руб./год

После внедрения программы решение задачи стало составлять 235,2 часов в год.

 

руб./год

Годовая экономия В считается по формуле:

 (1.3)

Используя посчитанные выше данные, получим  руб./год

Вывод:

Относительная технико-экономическая эффективность новой разработки показывает, что она имеет неоспоримое преимущество над ручным документооборотом.

Вопросы охраны труда и защиты окружающей среДЫ

Оценка опасных и вредных производственных факторов.

На человека в процессе его трудовой деятельности могут воздействовать опасные (вызывающие травмы) и вредные (вызывающие заболевания) производственные факторы. Опасные и вредные производственные факторы (ГОСТ 12.0.003-74 "Опасные и вредные производственные факторы. Классификация") подразделяются на четыре группы: физические, химические, биологические и психофизиологические.

Работники информационных отделов сталкиваются с физическими и психофизиологическими опасными и вредными факторами.

Вредными для здоровья физическими факторами являются:

повышенная или пониженная температура воздуха;

повышенная или пониженная влажность воздуха;

повышенная или пониженная скорость движения воздуха;

повышенные уровни шума, вибрации;

недостаточная освещенность рабочих мест;

повышенная яркость света и пульсация светового потока;

повышенное напряжение (возможность поражения электрическим током).

К психофизиологическим опасным и вредным производственным факторам относятся:

физические перегрузки (статические и динамические);

нервно-психические перегрузки (умственное перенапряжение, перенапряжение анализаторов слуха, зрения и др.).

Техника безопасности. Электробезопасность.

Влажность и температура воздуха, наличие заземленных металлических конструкций и полов, токопроводящая пыль и другие факторы окружающей среды оказывают дополнительное влияние на условие электробезопасности.

Данная дипломная работа выполнялась с использованием компьютерной техники, электропитание которой идет от сети с глухозаземленной нейтрайлью, с переменным током 50 Гц и напряжением питания 220 В.

При эксплуатации и ремонте электрического оборудования и сетей человек может оказаться в сфере действия электрического поля или непосредственном соприкосновении с находящимися под напряжением проводками электрического тока. В результате прохождения тока через человека может произойти нарушение его жизнедеятельных функций.

Опасность поражения электрическим током усугубляется тем, что, во-первых, ток не имеет внешних признаков и как правило человек без специальных приборов не может заблаговременно обнаружить грозящую ему опасность; во-вторых, воздействия тока на человека в большинстве случаев приводит к серьезным нарушениям наиболее важных жизнедеятельных систем, таких как центральная нервная, сердечно-сосудистая и дыхательная, что увеличивает тяжесть поражения; в-третьих, переменный ток способен вызвать интенсивные судороги мышц, приводящие к не отпускающему эффекту, при котором человек самостоятельно не может освободиться от воздействия тока; в-четвертых, воздействие тока вызывает у человека резкую реакцию отдергивания, а в ряде случаев и потерю сознания, что при работе на высоте может привести к травмированию в результате падения.

Согласно классификации, рассматриваемое помещение относится к классу помещений с повышенной опасностью

Основными мерами защиты от поражения электрическим током являются:

обеспечение недоступности токоведущих частей, находящихся под напряжением, для случайного прикосновения;

электрическое разделение сети;

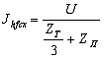
устранение опасности поражения при появлении напряжения на корпусах, кожухах и других частях электрооборудования, что достигается применением малых напряжений, использованием двойной изоляции, выравниванием потенциала, защитным заземлением, занулением, защитным отключением, выполненным согласно ГОСТ 12.1.030-81 "Электробезопасность. Защитное заземление, зануление", расчет защитного заземления и зануления приведен в п. 10.5

применение специальных электрозащитных средств - переносных приборов и приспособлений.

К организационным мероприятиям относятся:

прием на работу лиц не моложе 18 лет;

своевременный инструктаж по электробезопасности;

медицинское освидетельствование работников.

Производственная санитария.

Микроклимат в производственных помещениях.

Микроклимат производственных помещений - это климат внутренней среды этих помещений, который определяется действующими на организм человека сочетаниями температуры, влажности и скорости движения воздуха.

Гигиенические требования к микроклимату производственных помещений нормируются ГОСТ 2.2.2/2.4.1340-03 "Гигиенические требования к персональным электронно-вычислительным машинам и организации работы".

Параметры микроклимата могут меняться в широких пределах, в то время как необходимым условием жизнедеятельности человека является поддержание постоянства температуры тела благодаря терморегуляции, т.е. способности организма регулировать отдачу тепла в окружающую среду. Принцип нормирования микроклимата - создание оптимальных условий для теплообмена тела человека с окружающей средой.

Вычислительная техника является источником существенных тепловыделений, что может привести к повышению температуры и снижению относительной влажности в помещении. В помещениях, где установлены компьютеры, должны соблюдаться определенные параметры микроклимата. В санитарных нормах СанПиН 2.2.2/2.41340-03 "Гигиенические требования к персональным электронно-вычислительным машинам и организация работы" установлены величины параметров микроклимата, создающие комфортные условия. Эти нормы устанавливаются в зависимости от времени года, характера трудового процесса и характера производственного помещения (см. табл. 6). Работа программиста относится к категории легкой (1а).

Таблица 6

Оптимальные и допустимые параметры микроклимата для помещений, где установлены компьютеры

Период года

Параметр микроклимата

Величина



оптимальные

допустимые

Холодный

Температура воздуха в помещении Относительная влажность Скорость движения воздуха

22…24°С 40…60% до 0,1м/с

20…25 °С 15…75% до 0,1 м/с

Теплый

Температура воздуха в помещении Относительная влажность Скорость движения воздуха

23…25°С 40…60% 0,1м/с

21…28 °С 15…75% до 0,2 м/с


Для поддержания параметров микроклимата на уровне, необходимом для обеспечения комфортности и жизнедеятельности, применяют вентиляцию помещений, где человек осуществляет свою деятельность. Оптимальные параметры микроклимата обеспечиваются системами кондиционирования воздуха и центрального водяного отопления, выполняемыми согласно СНИП 41-01-2003 "Отопление, вентиляция и кондиционирование", а допустимые параметры - обычными системами вентиляции и отопления.

Производственное освещение.

Правильно спроектированное и выполненное производственное освещение улучшает условия зрительной работы, снижает утомляемость, способствует повышению производительности труда, благотворно влияет на производственную среду, оказывая положительное психологическое воздействие на работающего, повышает безопасность труда и снижает травматизм.

Недостаточность освещения приводит к напряжению зрения, ослабляет внимание, приводит к наступлению преждевременной утомленности. Чрезмерно яркое освещение вызывает ослепление, раздражение и резь в глазах. Неправильное направление света на рабочем месте может создавать резкие тени, блики, дезориентировать работающего. Все эти причины могут привести к несчастному случаю или профзаболеваниям, поэтому столь важен правильный расчет освещенности.

Существует три вида освещения - естественное, искусственное и совмещенное (естественное и искусственное вместе).

Естественное освещение - освещение помещений дневным светом, проникающим через световые проемы в наружных ограждающих конструкциях помещений. Естественное освещение характеризуется тем, что меняется в широких пределах в зависимости от времени дня, времени года, характера области и ряда других факторов.

Искусственное освещение применяется при работе в темное время суток и днем, когда не удается обеспечить нормированные значения коэффициента естественного освещения (пасмурная погода, короткий световой день). Освещение, при котором недостаточное по нормам естественное освещение дополняется искусственным, называется совмещенным освещением.

Требования к освещенности в помещениях, где установлены компьютеры, следующие: при выполнении зрительных работ высокой точности 300 лк, т.к. контраст объекта различения с фоном средний, характеристика фона - средний.

Кроме того, все поле зрения должно быть освещено достаточно равномерно - это основное гигиеническое требование. Иными словами, степень освещения помещения и яркость экрана компьютера должны быть примерно одинаковыми, т.к. яркий свет в районе периферийного зрения значительно увеличивает напряженность глаз и, как следствие, приводит к их быстрой утомляемости.

При работе с ЭВМ, как правило, применяется совмещенное освещение. Световые проемы располагают слева от оператора ЭВМ. При этом дополнительное искусственное освещение применяется преимущественно в темное время суток.

Для искусственного освещения помещения используются главным образом люминесцентные лампы. Наиболее приемлемыми являются люминесцентные лампы белого и тепло - белого света.

Защита от шума и вибрации.

Шум ухудшает условия труда оказывая вредное действие на организм человека. Работающие в условиях длительного шумового воздействия испытывают раздражительность, головные боли, головокружение, снижение памяти, повышенную утомляемость, понижение аппетита, боли в ушах и т. д. Такие нарушения в работе ряда органов и систем организма человека могут вызвать негативные изменения в эмоциональном состоянии человека вплоть до стрессовых. Под воздействием шума снижается концентрация внимания, нарушаются физиологические функции, появляется усталость в связи с повышенными энергетическими затратами и нервно-психическим напряжением, ухудшается речевая коммутация. Все это снижает работоспособность человека и его производительность, качество и безопасность труда.

В помещениях информационных отделов присутствуют следующие источники шума:

системные блоки (куллер);

принтер;

сканер;

копировальный аппарат, и др.

В табл. 7 указаны предельные уровни звука в зависимости от категории тяжести и напряженности труда, являющиеся безопасными в отношении сохранения здоровья и работоспособности.

Таблица 7

Предельные уровни звука, дБА, на рабочих местах

Категория напряженности труда

Категория тяжести труда


I. Легкая

II. Средняя

III. Тяжелая

IV. Очень тяжелая

I. Мало напряженный

80

80

75

75

II. Умеренно напряженный

70

70

65

65

III. Напряженный

60

60

-

-

IV. Очень напряженный

50

50

-

-


Уровень шума на рабочем месте математиков-программистов и операторов видеоматериалов не должен превышать 50 дБА, а в залах обработки информации на вычислительных машинах - 65 дБА. Для снижения уровня шума стены и потолок помещений, где установлены компьютеры, могут быть облицованы звукопоглощающими материалами. Уровень вибрации в помещениях вычислительных центров может быть снижен путем установки оборудования на специальные виброизоляторы.

Защита от электромагнитных полей, лазерных, тепловых и ионизирующих излучений.

Главную опасность для пользователей представляют электромагнитное излучение монитора в диапазоне частот 20 Гц - 300 МГц и статический электрический заряд на экране. Уровень этих полей в зоне размещения пользователя обычно превышает биологически опасный уровень. Электромагнитное излучение распространяется во всех направлениях и оказывает воздействие не только на пользователя, но и на окружающих (до 5 м от монитора).

Допустимые значения параметров неионизирующих электромагнитных излучений от монитора компьютера представлены в табл. 8.

Максимальный уровень рентгеновского излучения на рабочем месте оператора компьютера обычно не превышает 10мкбэр/ч, а интенсивность ультрафиолетового и инфракрасного излучений от экрана монитора лежит в пределах 10…100мВт/м2.

Таблица 8

Допустимые значения параметров неионизирующих электромагнитных излучений (в соответствии с СанПиН 2.2.2/2.4.1340-03 "Гигиенические требования к видеодисплейным терминалам, персональным электронно-вычислительным машинам и организация работы")

Наименование параметра

Допустимые значения

Напряженность электрической составляющей электромагнитного поля на расстоянии 50см от поверхности видеомонитора

10В/м

Напряженность магнитной составляющей электромагнитного поля на расстоянии 50см от поверхности видеомонитора

0,3А/м

Напряженность электростатического поля не должна превышать: для взрослых пользователей для детей дошкольных учреждений и учащихся средних специальных и высших учебных заведений

 20кВ/м  15кВ/м


Современные модели мониторов обладают пониженным уровнем излучения, и дополнительной защиты от излучения не требуется.

Организация рабочего места согласно эргономическим требованиям.

Проектирование рабочих мест, снабженных видеотерминалами, относится к числу важных проблем эргономического проектирования в области вычислительной техники.

Рабочее место и взаимное расположение всех его элементов должно соответствовать антропометрическим, физическим и психологическим требованиям. Большое значение имеет также характер работы. В частности, при организации рабочего места программиста должны быть соблюдены следующие основные условия: оптимальное размещение оборудования, входящего в состав рабочего места и достаточное рабочее пространство, позволяющее осуществлять все необходимые движения и перемещения.

Эргономическими аспектами проектирования видеотерминальных рабочих мест, в частности, являются: высота рабочей поверхности, размеры пространства для ног, требования к расположению документов на рабочем месте (наличие и размеры подставки для документов, возможность различного размещения документов, расстояние от глаз пользователя до экрана, документа, клавиатуры и т.д.), характеристики рабочего кресла, требования к поверхности рабочего стола, регулируемость элементов рабочего места.

Главными элементами рабочего места программиста являются стол и кресло. Основным рабочим положением является положение сидя.

Рабочая поза сидя вызывает минимальное утомление программиста. Рациональная планировка рабочего места предусматривает четкий порядок и постоянство размещения предметов, средств труда и документации. То, что требуется для выполнения работ чаще, расположено в зоне легкой досягаемости рабочего пространства.

Моторное поле - пространство рабочего места, в котором могут осуществляться двигательные действия человека.

Максимальная зона досягаемости рук - это часть моторного поля рабочего места, ограниченного дугами, описываемыми максимально вытянутыми руками при движении их в плечевом суставе.

Оптимальная зона - часть моторного поля рабочего места, ограниченного дугами, описываемыми предплечьями при движении в локтевых суставах с опорой в точке локтя и с относительно неподвижным плечом.


Оптимальное размещение предметов труда и документации в зонах досягаемости:

ДИСПЛЕЙ размещается в зоне а (в центре);

СИСТЕМНЫЙ БЛОК размещается в предусмотренной нише стола;

КЛАВИАТУРА - в зоне г/д;

«МЫШЬ» - в зоне в справа;

СКАНЕР в зоне а/б (слева);

ПРИНТЕР находится в зоне а (справа);

ДОКУМЕНТАЦИЯ: необходимая при работе - в зоне легкой досягаемости ладони - в, а в выдвижных ящиках стола - литература, неиспользуемая постоянно.

На рис. 4 показан пример размещения основных и периферийных составляющих ПК на рабочем столе программиста.

1 - сканер, 2 - монитор, 3 - принтер, 4 - поверхность рабочего стола,

- клавиатура, 6 - манипулятор типа «мышь».

Высота рабочей поверхности стола составляет 750 мм.

Рабочий стул (кресло) является передвижным, подъемно-поворотным и регулируемым по высоте и углам наклона сиденья и спинки. Поверхность сиденья и спинки стула полумягкая, с нескользящим, неэлектризующимся и воздухонепроницаемым покрытием, обеспечивающим легкую очистку от загрязнений.

Одним из важнейших факторов, влияющих на процесс труда, является правильно выбранный режим труда. Согласно СанПиН 2.2.2/2.4.1340-03 "Гигиенические требования к видеодисплейным терминалам, персональным электронно-вычислительным машинам и организация работы", суммарное время непосредственной работы с видеодисплейным терминалом за рабочую смену не должно превышать 6 часов. Для обеспечения оптимальной работоспособности и сохранения здоровья на протяжении рабочей смены устраиваются регламентируемые перерывы. Суммарное время регламентированных перерывов при работе программиста при 8-часовом рабочем дне составляет около 20-25% от суммарного времени непосредственной работы с видеодисплейным терминалом. При этом продолжительность непрерывной работы с видеодисплейным терминалом без перерыва не превышает 2 часов.

Пожарная безопасность.

Согласно НПБ 105-95 "Определение категорий помещений и зданий по взрывопожарной и пожарной опасности" помещение с ПЭВМ относится к категории "В". Источник возгорания может возникнуть в ПК и питающей электросети в результате неисправности.

Причины возгорания:

несвоевременный инструктаж по правилам пожарной безопасности или отсутствие такового;

нарушение правил пожарной безопасности;

короткое замыкание;

нефункциональное устройство и его эксплуатация;

плохое состояние электрической проводки и отсутствие контроля за ее состоянием.

Пожарная безопасность обеспечивается системой предотвращения пожара и системой пожарной защиты согласно ГОСТ 12.1.004-91ССБТ "Пожарная безопасность. Общие требования".

Система предотвращения пожара помещения с ПЭВМ включает в себя организационно-технические мероприятия:

предупреждение возникновения короткого замыкания - осуществляется правильным монтажом и эксплуатацией проводки, электрооборудования и РЭА;

предотвращение образования источников интенсивного инфракрасного излучения - не допускается наличие в помещении источников огня, самодельных нагревательных приборов;

предотвращение образования легковоспламеняющейся среды - запрещается хранение в рабочем помещении бензина, ацетона, и т.д.;

система пожарной защиты - предотвращение распространения пожара за пределы очага подручными средствами;

применение средств пожаротушения - огнетушитель ОУ-8 количеством 1 шт. (не распылять на проводку, находящуюся под напряжением), огнетушитель ОХП-10 количеством 1 шт.;

применение конструкций объектов с регламентированными пределами огнеупорности и горючести согласно СНиП 2.01.02-85 "Противопожарные нормы" (пределы огнестойкости относить к разряду II);

применение средств сигнализации;

при эвакуации людей расстояние от наиболее удаленного рабочего места до ближайшего эвакуационного выхода не превышает 75 м (50 м), ширина дверей находится в пределе 0,8…2,4м (1,2 м), высота не менее 2 м (2,1 м);

организация пожарной охраны объекта;

обучение обслуживающего персонала;

разработка мероприятий на случай возникновения пожара;

проведение планового инструктажа по пожарной безопасности.

Расчетная часть.

Расчет защитного заземления и зануления, производился согласно ГОСТ 12.1.030-81 "Электробезопасность. Защитное заземление, зануление".

Цель расчета: определить число и длину вертикальных заземлителей (стержней), длину горизонтальных элементов и разместить заземлитель на плане электроустановки.

Расчет простых заземлителей производится в следующем порядке:

· вычисляется расчетный ток замыкания на землю и норма на сопротивление заземления (из ПУЭ) в зависимости от напряжения, режима нейтрали, мощности и других данных электроустановки;

· определяется расчетное удельное сопротивление грунта r расч с учетом климатического коэффициента Y:

где r изм - удельное сопротивленияе грунта, измеренное или полученное из справочной литературы;

рассчитывается сопротивление естественных заземлителей Rе;

определяется сопротивление искусственного заземлителя Rи =(Rе *Rз )/(Rе - Rз );

определяется сопротивление одиночного стержневого заземлителя с учетом расчетного сопротивления грунта Rст.од ;

Исходя из условий местности и расположения относительно защищаемого объекта(выносное, контурное) предварительно на плане местности размещают заземлители, принимают число вертикальных заземлителей n и расстояние между ними, а по этим данным - коэффициент использования вертикальных стержней h ст;

определяется сопротивление соединительных полос Rп с учетом кэффициента использования полосы h п;

определяется сопротивление стержней

ст= (Rп* Rи )/(Rп - Rи )

с учетом коэффициента использования вертикальных заземлителей окончательно определяют их число:

= Rст.од. / h ст . Rст .

Расчет зануления.

Цель расчета: определить достаточность заданного (используемого) сечения нулевого провода или определить для проектируемой сети сечение нулевого провода, удовлетворяющее условию срабатывания максимальной токовой защиты. Уставка защиты определяется мощностью подключенной электроустановки (потребителя).

Порядок расчета следующий.

. Определяется номинальный ток плавкой вставки (уставка защиты), исходя из мощности подключенной электроустановки (потребителя) - Jп.

. Подсчитывается сопротивление фазного и нулевого проводов Rпров (R ф,Rн ):

пров = r пров (L/S), Ом

где: r пров - удельное сопротивление меди или алюминия, Ом·м; L и S - длина линии (м) и сечение проводов (мм2).

. Рассчитывается полное сопротивление петли "фаза-нуль":


где Rф, Rн , Xп - активные сопротивления фазного и нулевого проводов, индуктивное сопротивление петли "фаза-нуль" соответственно.

п = Xф + Xн + Xп ‘,

где: Xп ‘- сопротивление взаимоиндукции между проводами, Ом.


где: µо - магнитная проницаемость воздуха, равная 4 ·10-7 Гн/м;- длина линии, м;- расстояние между проводами, м;- диаметр провода, мм.

Индуктивные сопротивления медных и алюминиевых проводов малы и ими можно пренебречь. При отдельно проложенных нулевых проводах принимается Xп = 0.6 l, при прокладке кабелем или в стальных трубах значением Xп можно пренебречь.

. Определяется расчетный ток короткого замыкания с учетом полного сопротивления петли "фаза-нуль" Zп:


где: Zф.пр и Zн - сопротивление фазного и нулевого провода соответственно, Ом; т - полное сопротивление трансформатора, Ом.

При заданном (принятом) сечении нулевого провода в конце расчета должно соблюдаться условие

ном < Jп < Jкз >3Jп < Jрасч ,

где: Jном , Jрасч - номинальный ток потребителя, ток петли "фаза-нуль", полученный по расчету.

Заключение

Итогом выполнения дипломной работы является создание системы электронного документооборота соответственно техническому заданию. Пользовательский интерфейс реализован с использованием web-дизайна, программная управляющая часть создана на языке программирования PHP 4.0, используемая СУБД - MySQL 3.21.33b, в качестве Web-сервера использован Apache 1.3.33 rus, все компоненты системы установлены на операционную систему Linux Red Hat 9. Клиентская часть не имеет привязки к конкретной ОС, единственным условием является подключение к ЛВС организации и наличие web-браузера.

Внедрение данной системы позволяет:

повысить эффективность управления учреждением за счет обеспечения руководителей и сотрудников максимально полной, оперативной и достоверной информацией на основе единого банка данных;

улучшить делопроизводство при помощи оптимизации и стандартизации документооборота, автоматизации наиболее трудоемких его процедур;

снизить расходы на ведение дел за счет автоматизации процессов обработки информации, регламентации и упрощения доступа сотрудников к нужной информации;

изменить характер труда сотрудников, избавляя их от выполнения рутинной работы и давая возможность сосредоточиться на профессионально важных обязанностях;

повысить эффективность обмена данными между отдельными подразделениями, филиалами и центральным аппаратом;

гарантировать полную безопасность и целостность данных на всех этапах обработки информации.

Список литературы

1.  Мазуркевич А., Еловой Д. «РНР: настольная книга программиста». Москва, Новое знание, 2004

2.      Брусницин Ю.В. Методические показания по выполнению курсовых и дипломных проектов на тему: «Экономическое обоснование инженерных разработок». Таганрог, ТРТУ 1993 г.

.        Гольдштейн Г.Я. Инновационный менеджмент. Таганрог, ТРТУ, 1996 г.

.        "Языки программирования: разработка и реализация." 4-е издание, Теренс Пратт, Марвин Зелковиц, под редакцией А. Матросова, СПб.: Питер, 2002

.        "Язык компьютера" под редакцией В.М. Курочкина, Москва: Мир, 1989

.        "Самоучитель HTML4" И.В. Шапошников,СПб.: БХВ-Петербург, 2001

7.      Начала Web-дизайна, И. Смирнова <http://www.litera.by/catalog/search.php?topic=1000000000&target=author&text=%C8.+%D1%EC%E8%F0%ED%EE%E2%E0&PHPSESSID=079a2e2dbf2f3558441eaa1ca9d109ea>, BHV <http://www.litera.by/catalog/search.php?topic=1000000000&target=publisher&text=BHV&PHPSESSID=079a2e2dbf2f3558441eaa1ca9d109ea>, 2003

.        С.Д. Кузнецов. Введение в СУБД <javascript:if(confirm('http://www.citforum.ru/win/database/osbd/contents.shtml%20%20\n\nThis%20file%20was%20not%20retrieved%20by%20Teleport%20Pro,%20because%20it%20is%20addressed%20on%20a%20domain%20or%20path%20outside%20the%20boundaries%20set%20for%20its%20Starting%20Address.%20%20\n\nDo%20you%20want%20to%20open%20it%20from%20the%20server?'))window.location='http://www.citforum.ru/win/database/osbd/contents.shtml'>. "СУБД" 2-3,1996г

.        С.Д.Кузнецов. Доступ к базам данных с использованием технологии WWW <javascript:if(confirm('http://www.citforum.ru/win/internet/articles/art_5.shtml%20%20\n\nThis%20file%20was%20not%20retrieved%20by%20Teleport%20Pro,%20because%20it%20is%20addressed%20on%20a%20domain%20or%20path%20outside%20the%20boundaries%20set%20for%20its%20Starting%20Address.%20%20\n\nDo%20you%20want%20to%20open%20it%20from%20the%20server?'))window.location='http://www.citforum.ru/win/internet/articles/art_5.shtml'>. "СУБД" 5-6, 1996 г.

.        Раден Н. Данные, данные и только данные // ComputerWeek-Москва. - 2004. - № 8. - С. 28.

11.    IDC, Collaborative ApplicationsMarket Forecast and Analysis, 2000-2004 (2000, June)

12.    http://www.docflow.ru/ - информационный портал по СЭД

.        <http://citforum.ru/> - библиотека по информационным технология

Похожие работы на - Системы электронного документооборота

 

Не нашли материал для своей работы?
Поможем написать уникальную работу
Без плагиата!
Без нейросетей!