Синтез системы управления спуском космического аппарата на поверхность Марса методом интеллектуальной эволюции
Введение
Синтез системы управления на сегодняшний день является приоритетной
задачей современной теории управления, поскольку максимально учитывает работу
объекта в реальности, обеспечивая сохранение системных свойств модели и ее
целостности.
Главной задачей данной работы является произвести синтез системы
управления для обеспечения безопасного спуска в атмосферу Марса.
Проблема синтеза заключается в том, чтобы найти управление как функцию
координат пространства состояний. При этом решение задачи синтеза позволяет
получить управление, которое обеспечивает возможность сохранения оптимального
значения критерия качества не только при заданных в постановке задачи начальных
условиях, но и при изменении этих условий.
На сегодняшний день существует много методов для решения задач синтеза
систем управления, сложные практические задачи осуществлены в основном только
численными методами, при этом выбор функциональной зависимости управления
основывается на опыте разработчика и предварительном знании разработчика о системе.
Сегодня появилась возможность с помощью вычислительной машины организовать
поиск решения на множестве математических выражений, удовлетворяющих
требованиям задачи.
Запланированный на конец текущего года запуск американского аппарата The
Mars Science Laboratory (MSL) обещает стать первым шагом на пути реализации
управляемого спуска в атмосфере Марса, что позволит обеспечить точное
приземление в запланированное место посадки. Однако, метод управления,
применяемый для MSL имеет существенные ограничения. Он основан на линеаризации
уравнений движения космического аппарата относительно заранее рассчитанной
номинальной траектории, таким образом, не существует возможности правильно
реагировать на изменение параметров входа в атмосферу, а также места посадки. Параметры
системы управления так же рассчитаны для номинальной траектории и не могут
изменяться в процессе спуска. Одна из основных трудностей в реализации
оптимального управления заключается в отсутствии точных знаний о начальном
состоянии спускаемого космического аппарата. Траектория спуска и его основные
параметры, точность посадки и максимальная перегрузка, существенно зависят от
начального угла входа в атмосферу и начальной высоты. Значительная удаленность
Марса в свою очередь затрудняет управление с Земли процессом спуска
космического аппарата.
Преодолеть указанные ограничения в данной работе предлагается путем ухода
от построения оптимального управления как функции времени, так как оно не
учитывает поведения системы уже в процессе функционирования и влияния этого
поведения на дальнейшее состояние всей системы. В свою очередь предлагается
использовать синтез системы управления как функции от состояния объекта. Именно
такое поведенческое описание систем в динамике является приоритетным на
сегодняшний день, поскольку максимально учитывает работу объекта в реальности.
Объектом исследования в работе является система управления КА
спускающегося в атмосферу Марса.
Цель работы состоит в разработке алгоритмов методом интеллектуальной
эволюции для синтеза системы управления КА.
Для достижения цели в работе решаются следующие задачи:
ü разработка вычислительного метода синтеза системы управления
с использованием метода сетевого оператора и алгоритмов интеллектуальной
эволюции;
ü разработка комплекса программ для решения задачи синтеза
космического аппарата;
ü исследование на основе вычислительного эксперимента
синтезируемой системы автоматизированного управления космического аппарата,
методом интеллектуальной эволюции.
1. Постановка задачи
Основная задача данной работы - это обеспечить плавный вход спутника в
атмосферу Марса, испытав при этом минимальную перегрузку.
Для дальнейших исследований Марса необходимо доставить туда научные
лаборатории. На сегодняшний день во всех успешно реализованных миссиях на Марс
масса груза не превышала 0.6 тонн, а порядок по точности составлял 100
километров. При этом в общей статистике около половины предпринятых миссий на
Марс не были успешно завершены. Очевидно, что на сегодняшний день не создано
достаточно надежной системы спуска и посадки КА на Марс, позволяющей безопасно
в смысле перегрузки и целостности аппарата и с требуемой точностью посадить
аппарат в запланированное место посадки.
Мягкий
спуск большой массы на поверхность Марса
<#"656863.files/image001.gif">
Рис.1. Схема входа "Кьюриосити" в атмосферу Марса
Теперь сформируем формальную постановку задачи.
Математическая модель спускаемого космического аппарата представляет
собой систему дифференциальных уравнений четвертого порядка.
, (1)
, (2)
, (3)
, (4)
где
,
- координаты
центра масс космического аппарата в ортогональной системе координат,
,
-
компоненты скорости космического аппарата,
-
управление,
,
-
экваториальный радиус Марса,
-
ускорение свободного падения на поверхности Марса,
,
,
- масса
космического аппарата,
- площадь поверхности сопротивления комического аппарата,
,
- аэродинамические коэффициенты,
-
плотность атмосферы на поверхности Марса,
-
коэффициент разреженности атмосферы,
.
Заданы
начальные условия:
,
,
,
,
где
- угол наклона траектории при входе в атмосферу,
,
,
(5)
-
расстояние до поверхности планеты, с которого начинается вход в атмосферу,
,
,
(6)
Цель
управления описывается следующим функционалом:
, (7)
где
- весовой коэффициент,
-
перегрузка
,
,
,
-
терминальная ошибка
,
,
.
Управление
ищем в виде
(8)
где
- искомое математическое выражение,
- вектор параметров, не меняющихся в процессе
управления.
Особенностью
рассматриваемой задачи является наличие множества начальных значений (5), (6).
При различных начальных значениях (5), (6) значения функционала (7), различны.
Главная
задача управления - это поиск математического выражения (8), благодаря которому
будет обеспечен плавный вход спутника в разряженную атмосферу Марса.
Рассмотрим
подробнее способы нахождения математического выражения.
Способы
нахождения математического выражения:
*
АКОР - аналитическое конструирование оптимальных регуляторов.
**
АКАР - аналитическое конструирование агрегированных регуляторов
2. Генетическое программирование
Для решения многих практических задач наиболее естественным
представлением решений являются компьютерные программы. Одна из центральных
задач теории вычислительных систем (computer science) - научить компьютер
решать поставленную задачу, не объясняя ему как это делать. Генетическое
программирование позволяет сделать это путем создания работающих компьютерных
программ исходя из высокоуровневой постановки задачи. Генетическое
программирование достигает поставленной цели автоматического программирования
или программного синтеза (automatic programming, program synthesis) путем
выращивания популяций компьютерных программ, используя принцип естественного
отбора Дарвина, и основанные на генетических принципах операторы, которые могут
включать репродукцию, скрещивание и мутацию.
Джон Коза (John R. Koza) в 1987 продемонстрировал эволюцию выражений
языка программирования LISP. Он впервые использовал термин «генетическое
программирование». В 1989 году Коза показал применение генетического
программирования для решения различных задач.
Настоящее развитие генетическое программирование получило после выхода в
1992 году книги Джона Козы «Genetic Programming: On the Programming of
Computers by Means of Natural Selection & Genetics», в которой он
продемонстрировал области применения метода, а также численные результаты экспериментов
и некоторые практические рекомендации. По сути, генетическое программирование
является некой модификацией генетического алгоритма, основное различие - в
представлении решений. Решения в генетическом программировании могут иметь
различную форму и размер, в генетическом алгоритме - это строки фиксированной
длины. Наиболее распространенным является представление в виде деревьев.
Символьная запись:
1. инфиксная
(используется для бинарных операций, когда операция ставится между
аргументами);
. префиксная
(используется сначала символ операции, затем символьный аргумент);
. постфиксная
(используется сначала аргумент, затем операция);
Рассмотрим это на примере.
,
(1)
где
,
,
-параметры,
,
- переменные.
В
математическом выражении выделим унарные (u) и бинарные (b)
операции. В результате принятых обозначений префиксная символьная запись
рассматриваемого математического выражения имеет вид:
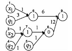
y1=b1u1u2b1q1x1u3b2b1q2x2q3,
где
-
операция умножения,
- операция сложения,
- унарная
операция вычисления экспоненты,
- унарная
операция обращения знака или унарный минус,
-
операция вычисления синуса.

Рис.2.
Дерево вычислений выражения (1)
По
дереву вычислений математического выражения видно, что узлы дерева содержат
символы операции, причем бинарные операции имеют две ветви, а унарные - одну.
Параметры и переменные математического выражения расположены на листьях дерева.
Для
выполнения операции скрещивания в ГП случайно выбирают в обоих выражениях
операции, имеющие одинаковые количества аргументов, и обменивают поддеревья,
для которых эти операции являются вершинами.
Пусть есть мат. выражение:y2= b2b1b2b1q1x1x2b2b1q1x1u3b2x1q2 (2).
Дерево решений представлено на рис.3
Рис.3. Дерево вычислений выражения (2).
На рис. 1 и 2 выбранные вершины заштрихованы. После обмена поддеревьев,
исходящих от выбранных вершин, получаем деревья вычислений, представленные на
рис.4 и 5. В результате выполнения операции скрещивания получаем следующие мат.
Выражения
y3=b1u1u2b1q1x1u3b2b1q1x1x2 (3)
y4=b2b1b2b1q2x2q3b2b1q1x1x2u3b2x1q2 (4)
Рис.4.Дерево вычислений выражения (3).Скрещивание.
Рис.5. Дерево вычислений выражения (4).
Выделим основные недостатки ГП:
ü при вычислении мат. выражения необходимо анализировать все
символы строк;
ü при выполнении операции скрещивания необходимо находить
обмениваемые подстроки, соответствующие поддеревьям вычислений;
ü число вхождений параметров и переменных в математическое
выражение соответствует числу символов для их описания;
ü длина символьных строк не одинакова и в процессе поиска после
многократного скрещивания увеличивается;
ü нарушается преемственность описания математических выражений,
так как результат скрещивания двух математических выражений зависит от
обмениваемых подстрок.
Метод
сетевого оператора.
Основная задача, для решения которой необходимо использовать метод
сетевого оператора, - это поиск нужного математического выражения. Большинство
задач поиска математического выражения решают в полуавтоматическом режиме.
Исследователь вручную записывает математическое выражение, в которое входят
параметры в виде символов. Затем с помощью вычислительной машины осуществляется
поиск оптимальных значений входящих в него параметров.
В последнее время появились методы, которые позволяют конструировать
вычислительные алгоритмы для нахождения аналитических решений и в виде матричных
выражений. К таким методам относится метод генетического программирования и
метод сетевого оператора.
Метод
сетевого оператора позволяет представить математическое выражение в виде
ориентированного графа (рис.8).Ориентированный граф (сокращённо орграф) G -
это упорядоченная пара
, для которой выполнены следующие условия:
·
- это
непустое множество вершин или узлов,
·
- это
множество (упорядоченных) пар различных вершин, называемых дугами или
ориентированными рёбрами.
Рис.8 Графическое изображение ориентированного графа.
В вычислительной машине ориентированный граф сетевого оператора
представляют в виде целочисленной матрицы.
При построении сетевого оператора вводят дополнительную унарную
тождественную операцию. В узлах-источниках сетевого оператора располагают
переменные и параметры математического выражения. Все остальные узлы графа
связывают с соответствующими бинарными операциями.
Какие же операции называются унарными, а какие бинарными? Остановимся на
этих определениях поподробнее.
Унарные - тип операции, при которой имеется один принимаемый аргумент
(отрицание, унарный минус).
Бинарные - тип операции, при которой имеется два принимаемых аргумента
(сложение, вычитание, умножение и т.д.).
В качестве примера рассмотрим многослойный сетевой оператор.
Пример:
а)
Исходный сетевой оператор
б)
Слой 1
в) Слой 2
Слой
1 сетевого оператора описывает два математических выражения
и
. Слой 2
соответствует математическому выражению
.
Матрицы
слоев сетевого оператора имеют следующий вид
сетевой
оператор алгоритм вычислительный

,
В
результате вместо одного операторного уравнения
имеем
два операторных уравнения с матрицами сетевых операторов меньшего размера:
,
.
При
разбиении матрицы сетевого оператора необходимо учитывать рабочее пространство
матрицы для описания математических выражений [8]. Чем меньше величина рабочего
пространства, тем эффективнее используется каждый элемент матрицы сетевого
оператора для описания математического выражения. Величину рабочего
пространства вычисляем по формуле
+ L-m+

где
L- размерность матрицы сетевого оператора, m - количество узлов-источников.
Вывод: метод сетевого оператора позволяет синтезировать систему
управления пространственным движением летательного аппарата. В результате
использования многослойного сетевого оператора удается сократить количество
просматриваемых в результате вычислений элементов.
3. Пчелиный алгоритм
Алгоритм пчел является довольно молодым алгоритмом для нахождения
глобальных экстремумов (максимумов или минимумов) сложных многомерных функций
(будем называть эту функцию целевой функцией).
Идея алгоритма взята у пчел, а именно из их поведения при поиске мест,
где можно раздобыть как можно больше нектара.
Первоначально из улья вылетают в случайном направлении некоторое количество
пчел, которые отыскивают участки, где есть нектар. Через некоторое время пчелы
возвращаются в улей и сообщают остальным, где и сколько они нашли нектара.
После этого на найденные участки отправляются другие пчелы, причем, чем
больше на этом участке предполагается найти нектара, тем больше пчел летит в
этом направлении. А разведчики опять улетают искать другие участки, после чего
процесс повторяется.
А теперь представим, что расположение глобального экстремума - это
участок, где больше всего нектара, причем этот участок единственный, то есть в
других местах нектар есть, но меньше. А пчелы живут не на плоскости, где для
определения месторасположения участков достаточно знать две координаты, а в
многомерном пространстве, где каждая координата представляет собой один
параметр функции, которую надо оптимизировать. Найденное количество нектара
представляет собой значение целевой функции в этой точке.
Первым шагом в реализации метода пчелиного роя (МПР) является выбор
параметров, которые необходимо оптимизировать, и определение допустимого
интервала для поиска оптимальных значений. Затем в допустимой области случайным
образом располагаются пчёлы, а также задаются векторы и скорости их движения.
Затем каждая частица должна перемещаться через пространство решений, как если
бы она была пчелой в рое. Алгоритм действует на каждую частицу отдельно,
перемещая ее на небольшую величину, циклично двигая ее через весь рой.
Оценка пригодности для частицы, сравнение с персональной наилучшей
позицией (ПЛП) и глобальной наилучшей позицией (ГНП)- является следующим шагом
реализации. Функция пригодности, используя координаты частицы в пространстве
решений, возвращает значение пригодности для текущей позиции. Если это значение
больше, чем значение ПНП, соответствующее этой частице, или ГНП, тогда
соответствующие позиции заменяются текущей позицией.
Манипуляции со скоростью частицы являются основным элементом всей
оптимизации. Скорость частицы меняется в соответствии с взаимным расположением
позиций ПНП и ГНП. Она стремится в направлении этих позиций наибольшей
пригодности в соответствии со следующим уравнением:
где:
- это скорость частицы в n-том измерении на предыдущем
шаге,
- это
координата частицы в n-том измерении,
- ПНП,
-ГНП.
Расчет
производится для каждого из N. Из этого уравнения видно, что новая скорость
получается из старой скорости путем простого масштабирования на
, и прибавления направления ГНП и ПНП для этого
конкретного направления.
и
- это
масштабные коэффициенты, которые определяют относительное взаимное «притяжение»
к ПНП и ГНП.
Они
иногда рассматриваются как познавательный и социальный факторы.
- это коэффициент, определяющий какое влияние на
частицу оказывает ее память о ПНП, и
-
коэффициент, определяющий какое влияние на частицу оказывают остальные члены
роя. Увеличение
предполагает исследование пространства решений путем
движения каждой частицы в направлении своего ПНП; увеличение
предполагает исследование предполагаемого глобального
максимума. Функция случайных чисел rand() возвращает число в интервале между -1
и 1. В общем случае два появления функции rand() представляет собой два
различных вызова функции. Большинство реализаций используют две независимые
случайные величины для стохастического изменения относительного притяжения ГНП
и ПНП. Это введение случайного элемента в оптимизацию предназначено для
моделирования незначительного непредсказуемого компонента реального поведения
роя.
называют «инерционным весом» и это число (выбранное в
интервале между 0 и 1) отражает в какой мере частица остается верной своему
первоначальному курсу, не подвергшемуся влиянию ГНП и ПНП.
В
итоге можно заметить, что метод роя пчёл можно эффективно распределить на
несколько параллельных процессов, за счёт чего значительно увеличится его
скорость.
По
сравнению с генетическим алгоритмом, операторы которого могут быть реализованы
различным образом, имеет лишь один оператор - вычисление скорости, что делает
его более простым в использовании.
В
методе роя пчёл можно легко определить достижение точки глобального минимума, в
то время как в генетических алгоритмах это значительно осложнено.
Концепция
этих методов основывается на двух совершенно разных природных процессах: МРП
основывается на социальном поведении роя, а генетический алгоритм имитирует
процесс эволюции и естественного отбора.
Теперь
рассмотрим генетический алгоритм. Хотя, название алгоритма созвучно с
генетическим программированием - эти понятия не дополняют друг друга.
Согласно
правилам работы генетического алгоритма (ГА) первоначально генерируют множество
возможных решений или хромосом и виде строк символов, каждая их которых
представляет собой математическое выражение. Затем оценивают каждое возможное
решение с помощью функции приспособленности, которую для оптимизационных задач
строят на основе целевой функции с учётом ограничений. На основе отобранных
решений воспроизводят новые решения с помощью специальных операций
генетического алгоритма скрещивания и мутации. Блок-схема таких операций
приведена на рис. 6 и 7.
Рис.6.
Блок-схема генетического алгоритма. Рис.7. Схема эволюции решений в
генетическом алгоритме
Рассмотрим
ГА, который позволяет одновременно искать решения обеих задач целочисленной
оптимизации для поиска структуры решения и нелинейного программирования для
поиска оптимальных значений параметров.
v Первоначально задаём базисное решение задачи. Это решение может
представлять собой любое математическое выражение, которое, по мнению
исследователя, наиболее близко к искомому оптимальному выражению.
Базисное
решение описываем матрицей сетевого оператора
=
, i, j =
.
v Генерируем упорядоченные множества векторов вариаций.
v Генерируем битовые строки, определяющие параметрическую часть хромосомы.
v Для каждой хромосомы определяем значения функционалов.
v Определяем количество возможных решений. И отбираем лучшие.
v Для построения новых возможных решений выполняем операции
скрещивания и мутации.
v Осуществляем построение новых хромосом.
v Вычисляем значение функционалов.
4. Метод интеллектуальной эволюции
Современные вычислительные алгоритмы (дифференциальной эволюции, роя
частиц, пчелиный алгоритм, генетические алгоритмы и т.д.) относятся к классу
эволюционных алгоритмов. В том случае, когда эти алгоритмы содержат элементы
интеллектуального анализа, подстройки алгоритма под цели решаемой проблемы и
т.п., эти алгоритмы можно отнести к классу «интеллектуальной эволюции».
Представленный в работе метод интеллектуальной эволюции позволяет
одновременно искать решения обеих задач. Новый метод основан на сочетании
методики генетического программирования и пчелиного алгоритма. В этой связи
часть терминологии будет совпадать с терминами эволюционных алгоритмов,
например, каждое возможное закодированное решение будем называть хромосомой, а
множество возможных решений - популяцией.
Общий алгоритм метода можно представить в виде следующего псевдокода:
. Инициализация.
. Оценка множества (популяции) возможных решений.
. Формируем решения с разными базисами.
. Создание новых хромосом (возможных решений): отбор, скрещивание и
мутация на решениях с разными базисами.
. Оценка новой популяции возможных решений и замена плохих решений на
лучшие.
. Проверка условия смены эпох.
. Проверка условия останова алгоритма.
На первом этапе алгоритма задаем базисное решение задачи. Оно может
представлять собой любое математическое выражение, которое, по мнению исследователя,
наиболее близко к искомому оптимальному выражению. Базисное решение описываем
матрицей сетевого оператора
,
.
Генерируем
упорядоченное множество векторов вариаций
,
, (7)
где
H - количество возможных решений или размерность картежей.
Параметрическую
часть каждого возможного решения генерируем с помощью кода Грея в виде битовых
строк
,
, (8)
где
p - число параметров, с - число бит под целую часть, d - число бит под дробную
часть числа.
Таким
образом, получаем множество родительских хромосом (возможных решений)
,
. (9)
На
втором этапе производим оценку множества возможных решений. Для каждого
возможного решения
,
вычисляем
значения функционалов (2)
путем
построения матрицы сетевого оператора
:
и перевода параметрической части картежа из двоичного
кода в вектор параметров
.
Также
каждую полученную матрицу сетевого оператора и вектора параметров оцениваем по
расстоянию до множества Парето. Оно определяется количеством решений, которые
лучше в смысле Парето, чем анализируемое
,
Где
Все
возможные решения сортируем по показателю
.
На
третьем этапе на основе исходного (нулевого) базисного решения
и заданного числа,
лучших с
точки зрения расстояния до множества Парето хромосом
формируем множество базисов
,
, причем
каждому из этих базисов ставится в соответствие значение вероятности его
использования
, обратно пропорциональное его расстоянию до множества
Парето.
Распределяем
вновь сформированные базисы по половине популяции с вероятностью
, для оставшейся половины популяции сохраняем нулевой
базис.
Такой
подход основан на идее пчелиного алгоритма, который имитирует поведение колонии
пчел при поиске мест, где можно раздобыть как можно больше нектара. Сначала
часть пчел определяет количество нектара на случайно выбранных участках, а
затем, чем больше на данном участке предполагается найти нектара, тем больше
пчел летит в этом направлении. В разработанном алгоритме базисы
играют роль таких выбранных участков, а расстояние до
множества Парето соответствует количеству нектара, найденного на каждом из
участков.
На четвертом этапе для построения новых возможных решений (хромосом) на
основе множества (9) выполняем генетические операции отбора, скрещивания и
мутации на популяции с исходным и новыми базисами [1, 2].
На пятом этапе для всех новых решений вычисляем значения функционалов
(2).
Для
каждого нового решения
выполняем следующие процедуры. Находим расстояние до
множества Парето
. Находим во множестве возможных решений хромосому,
которая имеет наибольшее расстояние до множества Парето.
, (10)
где
- номер возможного решения, имеющего наибольшее
расстояние до множества Парето.
Сравниваем
новое решение с решением, которое имеет наибольшее расстояние до множества
Парето
. (11)
Если
условие (11) выполняется, то заменяем решение, которое имеет наибольшее
расстояние до множества Парето, на первое новое решение
,
, (12)
.
Пересчитываем
расстояния до множества Парето для всех возможных решений в множестве и
повторяем действия (10)-(12) для всех новых решений.
Повторяем
четвертый и пятый этапы Е раз, где Е - заданное число поколений между сменами
эпох, и меняем базисное решение
на
лучшее из массива базисов.
Завершаем
вычисления, когда выполним заданное количество циклов. Отбираем решения,
которые имеют нулевое расстояние до множества Парето, получаем новое множество
Парето, которое считаем решением задачи (1)-(4)
. (13)
На
базе разработанного метода интеллектуальной эволюции в среде Delphi7 был
разработан программный вычислительный комплекс. Тестирование программы успешно
завершено на эталонном объекте, описываемом системой дифференциальных уравнений
второго порядка. Синтезированное управление сохраняет свойства оптимальности даже
при изменении начальных условий в заданном диапазоне.
5. Синтез системы управления
Рассмотрим задачу синтеза системы управления с несколькими целями
управления.
Задана система обыкновенных дифференциальных уравнений, описывающая
модель объекта управления
, (1)
где
,
,
- ограниченное замкнутое множество,
.
Состояние
объекта управления оцениваем по наблюдаемым координатам
, (2)
где,
.
, (3)
Задано
множество целевых состояний
, (4)
причем
.
Задан
критерий качества управления
(5)
где
- время управления, которое может быть ограничено,
, но не задано.
Необходимо
найти управление в форме
(6)
которое
обеспечивает достижение последовательно всех целевых точек (4) и минимизирует
функционал (5).
Цель
управления (4) многозначна. Для перехода к задаче синтеза интеллектуальной
системы управления необходимо обеспечить в системе возможность выбора. Для этой
цели ослабим требования к попаданию объекта в каждую целевую точку, заменим
требованием попадания в окрестность целевой точки.

,
, (7)
где
- малая положительная величина.
Тогда
у нас появляется компромисс между точностью и скоростью достижения целевых
точек. Для реализаций управления в данной задаче нам необходимо каждый раз
решать задачу выбора между точным достижением текущей цели и переходом на
другую цель. Очевидно, что при таком условии в системе управления помимо
регулятора обратной связи, обеспечивающего достижение цели, необходимо иметь
логический блок, осуществляющий переключение целей.
Уточним
данную постановку задачи.
Управление
(6) представим в виде функции, зависящей от расстояния до цели
, (8)
где
- номер текущей целевой точки.
В
любой момент времени
номер текущей целевой точки определяем с помощью
логической функции
,
, (9)
где
,
- предикатная функция,
:
. (10)
Функцию
(10) также необходимо найти вместе с синтезирующей функцией (6). Функция (10)
должна обеспечивать переключение целевых точек. Обе функции (6) и (10) должны
обеспечивать минимум функционалу качества (5) функционалу точности
(11)
Время
управления
определяем по достижению последней целевой точки
, если
,
(12)
где
- малая положительная величина.
Частный
критерий (5) заменим суммарным критерием качества
(13)
Для
построения предикатной функции используем функцию дискретизации и логическую
функцию.
, (14)
где
- логическая функция,
, (15)
где
- функция дискретизации.
Задача
заключается в том, чтобы найти управления в форме
, (16)
где
- целочисленный вектор, определяющий управления для
решения частной задачи
. Управления (16) должно обеспечить достижения
минимумов функционалов (11) и (13).
В
общем случае, так как задача содержит два критерия (11) и (13), то ее решением
будет множество Парето в пространстве функционалов
. Конкретное решение на множество Парето выбирает
разработчик по результатам моделирования и исследования синтезированной системы
управления.
Задачу
(1) - (3), (7) - (16) называем задачей синтеза интеллектуальной системы
управления. Для ее решения необходимо найти две многомерные синтезирующие
функции
и
.
Для
решения задачи синтеза интеллектуальной системы управления используем метод
сетевого оператора [1-7]. Для нахождения функции
используем
обычный арифметический сетевой оператор, в котором в качестве конструктивных
функций используем множество арифметических функций с одним или двумя
аргументами. В методе сетевого оператора эти функции называются унарными или
бинарными операциями. Для нахождения логической функции
используем логический сетевой оператор, соответственно
с унарными и бинарными логическими операциями.
В
качестве примера рассмотрим следующую математическую модель.
,
,
где
,
- координаты на плоскости.
На
управление наложены ограничения
Траектория
движения задана набором точек
.
Необходимо
найти управление, чтобы минимизировать две целевые функции объекта. Первый
функционал определяет точность движения по траектории, а второй - время
прохождения траектории.
,
,
где
,
,
Задача
логического управления заключалась в обеспечении переключения точек траектории.
,
где
,
,
,
,
.
Начальные
значения для моделирования были
.
На
рис. 9 приведено полученное решение в виде множества Парето.
Рис.
9. Множество Парето
На
множестве Парето было отобрано лучшее решение по критерию
. Полученные матрицы арифметического и логического
сетевых операторов имеют следующий вид
.
На
рис. 10,11 показаны результаты моделирования отобранной системы управления.
Рис.
10. Траектории на плоскости
Рис.
11. Управление
Время
движения по всей траектории составило 4.82 с. При оптимальном по быстродействию
управлении, при точном прохождении всех точек время движения по траектории
составило бы
5.1 Задача спуска космического аппарата на
поверхность Марса
Рис.12
график перегрузки
Рис.
13 график управления
5.2 Вычислительный эксперимент
В
среде Delphi 6 разработан вычислительный комплекс, соответствующий
условиям поставленной задачи.
Рис.14.
Главное меню программы
I. Раздел Initialization:
a. Create object- задаются параметры сетевого оператора и
генетического алгоритма.
b.
Undefined parameters - задаются максимальные и
минимальные значения Х и У.
c. Parameters of Network operator - параметры сетевого оператора. Строится матрица базисного значения
сетевого оператора, значения параметров q и psi
(их можно загрузить новыми и сохранить).
d. Parameters of GA - Genetic algorithm with network
operator - Ввод параметров генетического алгоритма.
II. Раздел Optimization:
a. GA for NOP + Parameters
b. GA for Parameters. Раздел Pareto set
a. Pareto set - множество
Парето. Раздел Expression. Show - просмотр полученных выражений. Print to file - запись полученных выражений в файл
c. Clear - очистить окно. Раздел Simulation:. Initial data - отображение введённой части экспертной системы. В
этом окне можно загрузить экспертную систему из файла, сохранить её в файл, а
так же изменять введённую экспертную систему.
Проводим эксперимент, используя часть составленного нами метода. Для
поиска решений используем генетический алгоритм с параметрами, приведёнными в
Таблице № 1 и программу из Приложения A для спуска аппарата на поверхность Марса методом интеллектуальной
эволюции.
Таблица №1. Параметры генетического алгоритма
|
Параметр
|
Значение
|
|
Размер начальной популяции
хромосом или возможных решений
|
256
|
|
Число поколений
|
64
|
|
Число пар в одном поколении
|
128
|
|
Число изменений в одной
хромосоме
|
8
|
|
Число функционалов
|
2
|
|
Число искомых параметров
|
4
|
|
Количество битов для
дробной части
|
10
|
|
Число поколений в одной
эпохе между сменой базисного решения
|
29
|
|
Число элитарных хромосом
|
16
|
|
Параметр для скрещивания
|
0.4
|
|
Вероятность мутации
|
0.7
|
Рис.15. Параметры генетического алгоритма
Рис.16.Матрица сетевого оператора
Для
решения используем значения
и q.
Эти
значения прилагаются в приложении Б.
*******************operations
2 3 4 5 6 7 8 9 10 14 15 16 17 18 23
*******************operations
1
*******************of nodes for variables
2 4 6
*******************of nodes for parameters
3 5 7
*******************of nodes for outputs
23
*******************network operator matrix
0 0 0 0 0 0 0 1 0 0 0 0 0 0 0 0 0 0 0 0 0 0 0
1 0 0 0 0 0 7 1 0 0 0 0 0 0 0 0 0 0 0 0 0 0 0
0 0 0 0 0 0 0 0 1 0 0 0 0 0 0 0 0 0 0 0 0 0 0
0 0 0 0 0 0 0 0 1 0 0 0 0 0 0 0 0 0 0 0 0 0 0
0 0 0 0 0 0 6 0 0 1 0 0 0 0 0 0 0 0 0 0 0 0 0
0 0 0 0 0 0 0 0 0 1 0 0 0 0 0 0 0 0 0 0 0 0 0
0 0 0 0 0 0 0 0 0 0 1 0 0 0 0 0 0 0 23 0 0 0 0
0 0 0 0 0 0 0 0 0 0 1 0 0 0 0 0 0 0 0 0 0 0 0
0 0 0 0 0 0 0 1 0 0 0 1 0 0 0 0 0 0 0 0 0 0 0
0 0 0 0 0 0 0 0 0 1 0 0 1 0 0 0 0 0 0 0 0 6 0
0 0 0 0 0 0 0 0 0 0 1 0 1 0 0 0 0 0 0 0 0 0 0
0 0 0 0 0 0 0 0 0 0 0 0 0 1 0 0 0 0 0 0 0 0 0
0 0 0 0 0 0 0 0 0 0 0 0 0 0 1 0 0 0 0 0 0 0 0
0 0 0 0 0 0 0 0 0 0 0 0 0 0 0 1 0 0 9 0 0 0 0
0 0 0 0 0 0 0 0 0 0 0 0 0 0 0 0 1 0 0 0 0 0 0
0 0 0 0 0 0 0 0 0 0 0 0 0 0 0 0 0 1 0 0 0 0 0
0 0 0 0 0 0 0 0 0 0 0 0 0 0 0 0 0 18 1 0 0 0 0
0 0 0 0 0 0 0 0 0 0 0 0 0 0 0 0 0 0 0 1 0 0 0
0 0 0 0 0 0 0 0 0 0 0 0 0 0 0 0 0 0 0 0 1 0 0
0 0 0 0 0 0 0 0 0 0 0 0 0 0 0 0 0 0 0 0 0 1 0
0 0 0 0 0 0 0 0 0 0 0 0 0 0 0 0 0 0 0 0 0 0 17
0 0 0 0 0 0 0 0 0 0 0 0 0 0 0 0 0 0 0 0 0 0 1
0 0 0 0 0 0 0 0 0 0 0 0 0 0 0 0 0 0 0 0 0 0 0
*******************of parameters q:
2,69336
,82227
,78711
,32910
z_0=x_0_1=q_0_2=x_1_3=q_1_4=x_2_5=q_2_6=x_3_7=q_3=Prod(z_1,z_0)
=Prod(z_3,z_2)
=Prod(z_5,z_4)
=Prod(z_7,z_6)
=Sum(z_9,z_8)
=Sum(z_11,z_10)
z14=Sum(z_12)=Sum(z_13)=Sum(z_12)=Sum(z_13)=Sum(Ro_18(z_13),z_12)=Sum(z_17,Ro_9(z_14),Ro_23(z_6))
=Sum(z_18)=Sum(z_19)=Sum(z_20,Ro_6(z_10))=Sum(z_22,Ro_17(z_21))

Исследование 1
Рис.17.Множество Парето.
Условное множество Парето
|
№
|
Кол-во решений
|
F_0
|
F_1
|
|
0
|
128
|
46
|
27
|
|
1
|
248
|
46
|
27
|
|
…
|
…
|
…
|
…
|
|
50
|
179
|
46
|
24
|
|
…
|
…
|
…
|
…
|
|
91
|
240
|
47
|
22
|
Заключение
На сегодняшний день задача синтеза - одна из самых актуальных тем
современной науки. Благодаря современной вычислительной технике появилась
возможность смоделировать летательные объекты и максимально чётко просчитать
математические модели этих объектов. Тем самым снизить риск неполадок при
запуске спутника.
Объектом исследования в работе являлась система управления КА
спускающегося в атмосферу Марса.
Цель работы заключалась в разработке алгоритмов методом интеллектуальной
эволюции для синтеза системы управления КА.
Для достижения цели в работе решились следующие задачи:
ü был разработан вычислительный метод синтеза системы
управления с использованием метода сетевого оператора и алгоритмов
интеллектуальной эволюции;
ü разработан комплекс программ для решения задачи синтеза
космического аппарата;
На базе разработанных методов в среде Delphi 6 был разработан программный
вычислительный комплекс. Тестирование программы успешно завершено на эталонном
объекте, описываемом системой дифференциальных уравнений четвёртого порядка.
Синтезированное управление сохраняет свойства оптимальности даже при изменении
начальных условий в заданном диапазоне.
Список литературы
1. Дивеев
А.И. Метод сетевого оператора. М.: Изд-во ВЦ РАН. 2010. 178 с.
.
Pham D.T., Ghanbarzadeh A., Koc E., Otri S., Rahim S., Zaidi M. The Bees
Algorithm - A Novel Tool for Complex Optimisation Problems Manufacturing
Engineering Centre, Cardiff University, Cardiff CF24 3AA, UK,2010, pp. 67.
.
Pham D.T., Ghanbarzadeh A., Koc E, Otri S, Rahim S., Zaidi M. The Bees
Algorithm. Technical Note, Manufacturing Engineering Centre, Cardiff
University, UK, 2009, pp. 53.
4. Электронный журнал «Молодёжный
научно-технический вестник». Издатель ФГБОУ
ВПО "МГТУ им. Н.Э. Баумана". Эл No. ФС77-51038. ISSN 2307-0609.
5. А.И.
Дивеев, Е.Ю. Шмалько.//«Синтез системы управления для обеспечения безопасного
спуска в атмосферу Марса» 2008, № 3. С. 43 - 87.
.
Braun R.D., Manning R.M. Mars Exploration Entry, Descent and Landing Challenges//IEEE
Aerospace Conference, Big Sky Montana, March 2010. Pp.№0076.
.
Mendeck G.F., Carman G.L. Guidance Design for Mars Smart Landers Using the
Entry Terminal Point Controller, AIAA 2002-4502, Atmospheric Flight Mechanics
Conference and Exhibit, Monterey, CA, August 2009.Pp. 147.
.
Carman, G., Ives, D., and Geller, D., “Apollo-Derived Mars Precision Lander
Guidance,” AIAA Pp. 98-4570, Aug. 2008.
9. Дивеев
А.И., Шмалько Е.Ю. Многокритериальный структурно-параметрический синтез системы
управления спуском космического аппарата на основе метода сетевого оператора//
Вестник Российского университета дружбы народов. Серия инженерные исследования
(информационные технологии и управление). 2008, № 4. С. 86 - 93.
. T. Weise. Global Optimization Algorithms - Theory and Application: Ph.D
Thesis. - University of Kassel, 2008,pp.245.
11. Дивеев
А.И. Метод сетевого оператора. - М.: Учреждение Российской академии наук
Вычислительный центр им. А.А. Дородницына РАН, 2010.178с.
. Дивеев
А.И., Софронова Е.А. Метод генетического программирования для автоматического
подбора формул в задаче структурного синтеза системы управления // Труды
института системного анализа РАН. Динамика неоднородных систем. / Под ред. Ю.С.
Попкова. - Вып. 10(1). - М.: ИСА РАН, КомКнига, 2010. - С.14-26.
13. Карпенко А. П.,
Селиверстов Е. Ю.Обзор методов роя частиц для задачи глобальной оптимизации
(Particle Swarm Optimization) <#"656863.files/image211.gif">=Prod(z_3,z_2)
=Prod(z_5,z_4)
=Prod(z_7,z_6)
=Sum(z_9,z_8)
=Sum(z_11,z_10)
z14=Sum(z_12)=Sum(z_13)=Sum(z_12)=Sum(z_13)=Sum(Ro_18(z_13),z_12)=Sum(z_17,Ro_9(z_14),Ro_23(z_6))
=Sum(z_18)=Sum(z_19)=Sum(z_20,Ro_6(z_10))=Sum(z_22,Ro_17(z_21))