Розробка акселерометричної системи керування маніпуляторами

  • Вид работы:
    Дипломная (ВКР)
  • Предмет:
    Информационное обеспечение, программирование
  • Язык:
    Украинский
    ,
    Формат файла:
    MS Word
    1,62 Мб
  • Опубликовано:
    2013-07-26
Вы можете узнать стоимость помощи в написании студенческой работы.
Помощь в написании работы, которую точно примут!

Розробка акселерометричної системи керування маніпуляторами

ВСТУП

Маніпулятор - механічний аналог руки людини, був створений, щоб замінити людину в небезпечних і шкідливих для неї умовах, таких як, загазовані приміщення, середовища з високим рівнем радіації або вакуумі, а також в цілях поліпшення виконання важкої праці на підприємствах та інші. Тому, на сьогоднішній день, механічний маніпулятор є найбільш часто використовуваною робототехнічною системою.

З самого початку роботи над відтворенням механічного аналога руки людини інженери робототехніки почали шукати спосіб, який би дозволив їй виконувати ту ж роботу і з тією ж точністю, що і людина. Спочатку ставки робились на автономність. Створення алгоритмів виконання заданих дій для маніпуляторів дозволило застосовувати їх на виробництвах, для заміни людини при виконанні одноманітної і монотонної роботи, в складальних цехах і на конвеєрах. Саме через це вони стали найбільш масовими робототехнічними системами. Однак автоматика не дозволила застосовувати маніпулятори у тих випадках, де необхідно приймати інтелектуальні рішення. Для того, щоб машина могла замінити людину в таких випадках, вона повинна володіти розумом, таким, який би наближався до людського. Роботи над створенням систем штучного інтелекту до цього часу вже велися і ведуться до цих пір. Однак, за такий тривалий період часу, незважаючи на великі досягнення в цьому напрямку, зробити систему, яка хоча б наблизилась до людського розуму, так і не вдалось. Саме тому, в таких випадках, автоматика не здатна виконувати роботу з тією ж швидкістю, точністю і якістю, з якою це робить людина. З’явилась потреба в системах керування, які б дозволяли безпосередньо людині управляти маніпулятором. Системи керування такого типу отримали назву людино-машинні системи керування маніпулятором. Одним з типів таких систем є системи копіюючого керування. Системи копіюючого управління маніпулятором отримали широке розповсюдження, особливо в тих умовах, коли необхідно проводити маніпуляції в небезпечних для людини умовах, а також в тих ситуаціях, в яких необхідна висока точність виконання операцій. Сучасний стан мікроелектроніки дозволяє створювати такі системи з використанням нових датчиків,ще більш точних ніж ті, що були раніше. Використання таких сучасних датчиків які виконана за технологією MEMS(мікроелектронні механічні системи), дозволять підвищити точність і синхронність дії таких систем керування. Саме тому розробка таких систем є особливо актуальна та практично значима.

1. ОБЛАСТІ ЗАСТОСУВАННЯ ТА ТЕХНІЧНІ РІШЕННЯ СИСТЕМ КЕРУВАННЯ МАНІПУЛЯТОРАМИ

Маніпуляційні роботи (МР) згідно з класифікацією, запропонованого академіком РАН Є.П. Поповим, поділяються на: автоматичні МР з програмним, адаптивним і інтелектуальним управлінням; біотехнічні МР з командним, копіюючим і напівавтоматичним керуванням; інтерактивні МР з автоматизованим, супервізорним і діалоговим керуванням.

Процес розвитку робототехніки за аналогією з розвитком обчислювальної техніки складається з декількох етапів. Перший етап розвитку промислової робототехніки характеризувався створенням маніпуляторів з ручним і дистанційним управлінням для звичайних цехових і екстремальних умов роботи і МР з автоматичним управлінням (промислових роботів) для виконання допоміжних і підйомно-транспортних операцій, пов'язаних з обслуговуванням основного технологічного обладнання та складських приміщень.

Подібні ПР відносяться до групи допоміжних (підйомно-транспортних) роботів. Розвиток робото технічних систем (РТС) як засобів гнучких автоматизованих виробництв визначає другий етап розвитку робототехніки. Цей етап пов'язаний зі створенням технологічних (виробничих) роботів, які безпосередньо виконують технологічні операції механообробки, що характеризуються складною просторовою оброблюваної поверхнею при невисоких вимогах до розмірної точності, в тому числі лазерного та гідро абразивного обробки; монтажно-збиральних і зварювальних операцій; обробки поверхонь шляхом їх забарвлення або напилення антикорозійних рідин, випробування, контролю.

1.1 Автоматичне управління

Автоматичне програмне управління реалізується у вигляді: циклового, позиційного, контурного і контурно-позиційного управління. МР з програмним управлінням працюють тільки в умовах детермінованою зовнішнього середовища, що вимагає застосування різного роду орієнтуючих пристроїв , наповнювачів та інших пристосувань. При не детермінованої зовнішньому середовищі застосовуються адаптивне та інтелектуальне управління.

.2 Інтерактивне управління

Супервізорним засобом керування роботом називають систему керування, при якій оператор обирає для виконання одну за одною заздалегідь укладених в пам'ять робота типових операцій, забезпечуючи таким чином виконання певної заданої складної роботи.

При цьому, команди оператора включають в себе два види інформації: назва типової операції і введення чисельних значень деяких заздалегідь не визначених параметрів цієї операції. Прикладом такої інформації є необхідні для виконання операції координати зовнішнього середовища. Це здійснюється за допомогою, наприклад, керуючої рукоятки, світлової мітки на екрані дисплея, світлового пера, миші, засобів віртуальної реальності в комп'ютерному тривимірному просторі.

Операція може задаватися через клавіатуру, за допомогою мовного командного устрою та інших засобів спілкування. Більш досконале інтерактивне управління передбачає діалоговий зв'язок з роботом. Після отримання певного завдання, робот може повідомити про нездійсненність якоїсь операції із зазначенням причин, може запитати у оператора відсутню для його виконання інформацію або будь-які уточнення, повідомити про виникнення несправності і т. п. У свою чергу оператор може запитати у робота додаткову інформацію про зміст пам'яті, додаткову сенсорну інформацію про зовнішнє середовище, або стан окремих його систем. Для реалізації подібного діалогового режиму, включаючи мовний обмін, потрібен інтелектуальний інтерфейс.

Супервізорний метод управління дозволяє поєднати інтелектуальні можливості людини при вирішенні складних неформальних завдань та обчислювальні можливості ЕОМ при вирішенні формалізованих задач. Для розробки такої системи управління потрібні: правильний вибір засобів і методів сенсорного забезпечення роботів, розробка адаптивних алгоритмів керування, чітке визначення і розмежування функцій між людиною і ЕОМ при взаємодії з роботом. Алгоритми управління забезпечують реалізацію типових рухів елементів маніпулятора, так і корекцію його дій.

Співвідношення між ланками і характеристичними координатами руки робота є основою алгоритмів безпосереднього розрахунку, причому для маніпуляційних систем, в яких більше ніж три ланки, накладаються обмеження для виключення надмірності їх структури.

Можливість обчислення характеристичних координат елементів маніпуляційної системи робота в заданій точці за одну ітерацію є однією з переваг таких алгоритмів управління. До недоліків - обмеженість застосування даного алгоритму тільки для даної кінематичної структури робота, та не оптимальність одержуваної траєкторії руху робочих органів в задану позицію.

Неузгодженість між вихідним і заданим положеннями робочих органів маніпуляційної системи, в алгоритмах оптимізації, розглядається як цільова функція, яка імітується в процесі управління роботом з урахуванням обмежень на орієнтацію ЗУ.

Забезпечення оптимальної, траєкторії переміщення ланок маніпуляційної системи,є перевагами алгоритму оптимізації, однак при цьому різко збільшуються час і обсяг обчислень. Інтерактивний режим управління, при русі мобільних роботів у невідомої місцевості, має особливо велике значення. В цьому випадку діалоговий режим часто необхідний при виникненні складних і непередбачених перешкод, плануванні маршруту, а також інших нештатних ситуацій.

1.3 Біотехнічне управління

Відмітною ознакою біотехнічного управління маніпуляторів є участь людини в процесі управління. Системи керування, в яких керуючі сигнали виробляються в процесі взаємодії людини і машини називаються людино-мишинні системи керування. Така система управління застосовується, коли реалізація автоматичного управління невигідна в порівнянні з керуванням людиною, або неможлива на базі сучасної техніки.

До першого варіанту, коли людське управління являється кращим за автоматику, відносяться операції, які людина робить швидше, якісніше і дешевше, хоча вони цілком піддаються роботизації, або особливо відповідальні операції, які людина не може довірити автомату (деякі операції в космосі, під водою в екстремальних ситуаціях).

Другий варіант відповідає досить складним технічним операціям та об'єктам управління. Наприклад: дугове зварювання складних виробів, вільна ковка, деякі складальні і настроювальні операції, різні аварійно-рятувальні операції. Приклади об'єктів: мобільні роботи у складній непередбачуваній обстановці, космічні та підводні маніпулятори.

Інтелект людини та її органи чуття дозволяють оператору швидко орієнтуватися в робочій обстановці, аналізувати умови роботи, приймати необхідні рішення і вибирати раціональні алгоритми виконання технологічних операцій. Це і визначає застосування маніпуляторів з ручним і дистанційним управлінням для виконання складних і нетипових операцій з не детермінованими варіативними об'єктами як при звичайних, так і екстремальних умовах роботи. До маніпуляторів з ручним управлінням відносяться збалансовані і механічні копіюючі маніпулятори. При експлуатації збалансованих маніпуляторів оператор впливає безпосередньо на підвішений вантаж. Управляти рухом збалансованого маніпулятора можна і не безпосередньо, а за допомогою спеціального виносного пульта дистанційного командного управління.

Необхідність більшого видалення оператора від небезпечних зон, що виникають при аварійних ситуаціях та екстремальних умовах експлуатації, збільшення вантажопідйомності маніпулятора і зниження стомлюваності оператора призвела до створення в повному розумінні дистанційно керованих маніпуляторів. З точки зору методів управління дані маніпулятори поділяються на маніпулятори з командним, напівавтоматичним і копіюючим керуванням.

1.4 Системи командного управління

Система командного управління передбачає управління окремими приводами, і здійснюється в релейному режимі управління швидкістю та переміщенням. Таке управління застосовується виключно як додатковий спосіб управління, наприклад, для програмування методом навчання промислових роботів, а також в аварійних і нештатних ситуаціях. Швидкодія такого управління дуже низька, так як, для отримання прийнятної точності таке управління ведеться зазвичай на зниженої швидкості, а, також тому, що тут приводи працюють послідовно. Точність управління визначається вмінням оператора, через якого замикається зоровий зворотній зв'язок в контурі управління.

1.5 Системи напівавтоматичного управління

Один з найперших способів управління маніпуляторами є управління за допомогою керуючої рукоятки. Принцип роботи системи досить простий. По задаючий рукою оператора траєкторії робочого органу керуюча рукоятка (джойстик), визначає завдання його приводам. Це робиться за допомогою математичної моделі маніпулятора рішенням оберненої задачі кінематики. Кожна ступінь рухливості оснащена датчиком положення. Оператор, зміщуючи своєю рукою керуючу рукоятку, задає координати робочого органу маніпулятора, за допомогою цих датчиків. По даним цих датчиків, комп’ютер визначає завдання для приводів. Для управління рухом робочого органу потрібно шість координат - три орієнтуючі кутові і три переносні його центру. Для цього застосовуються дві трьох статичні керуючі рукоятки: одна для управління переміщенням, а інша - орієнтацією робочого органу.

Невисока точність відображення геометрії перешкоди є недоліком таких систем управління. Для того, щоб визначити напрямок руху руки, повинна бути забезпечена деяка свобода руху. Отже, рука повинна мати можливість зміщуватися також і в напрямку перешкоди. Якщо треба рухатися вздовж перешкоди, роблячи на нього деякий тиск, то виникне протиріччя, тому що , ступеня рухливості повинні бути звільнені, щоб здійснити такий рух, однак імітація опору з боку перешкоди призведе до блокування приводів.

Використання електромеханічного маніпулятора, є ще одним способом реалізації відображення зусиль опору руху, на якому встановлений сило вимірювальні датчик замість схвата.

Цей спосіб дозволяє точніше виконувати рух уздовж границі перешкоди. Однак, недоліком э те, що рух маніпулятора відбувається з відчутними автоколиваннями, що ускладнює роботу оператора. Це обумовлено тим, що величина переміщення рукоятки пропорційна діючої на неї силі.

Управління за допомогою керуючої рукоятки, на сьогоднішній день, був практично повністю витиснений більш сучасними системами.

1.6 Системи копіюючого управління

Системи копіюючого управління маніпулятором або MSM (master-slave manipulators) отримали широке розповсюдження, особливо в тих умовах, коли необхідно проводити маніпуляції в небезпечних для людини умовах, а також в тих ситуаціях, в яких необхідна висока точність виконання операцій.

Перші конструкції систем копіюючих маніпуляторів почали використовуватися в атомних лабораторіях США. Оператор, з безпечної відстані, управляє рухами маніпуляторів і спостерігає за їх роботою, перебуваючи в безпечному приміщенні. В Атомній промисловості США зараз використовується понад 2500 телеоператорів.

Ще одною сферою застосування копіюючих маніпуляторів є медицина. Компанії, які займаються медичною технікою та обладнанням, такі компанії, як Intuitive Surgical виробляють хірургічні роботи - маніпулятори, якими управляє лікар - хірург завдяки системам копіюючого маніпулятора, із застосуванням «віртуальних» методів, таких як 3D - анімація і тактильне відчуття. Перевагою використання комп'ютеризованого методу є те, що хірургу не потрцбно бути присутнім при проведенні операції, адже лікар може бути де завгодно в світі, що приводить до можливості віддаленої хірургії. У разі відкритої хірургії, автономні інструменти стали замінювати традиційні, виконуючи тіж самі дії, але з набагато більш гладким зворотним зв'язком руху, у порівнянні з людською рукою. Головною метою таких інструментів, є зменшення або повне усунення розривів тканин, які традиційно асоціюються з відкритою хірургією. Ця технологія дозволяє проводити операції, без необхідності різання тіла пацієнта для забезпечення доступу для рук хірурга, а саме, через крихітні розрізи. Хірург, засобами робототехніки, може "проникати” у внутрішні області тіла і маніпулювати невеликими хірургічними інструментами.

Основні принципи побудови копіюючих маніпуляторів використовуються і при розробці навантажувальних маніпуляторів з аналогічним способом управління, проте їх вузька спеціалізація дозволила ввести ряд змін в систему управління. Перш за все слід зазначити, що за наявності кругових обслуговуваних обсягів немає можливості розташувати оператора нерухомо щодо обслуговується обсягу, практично він робить поворот разом з виконавчим механізмом, як це має місце, наприклад, у екскаваторах та кранах. У зв'язку з цим для управління поворотом використовується, як правило, управління по швидкості і лише в особливих випадках можливе введення додаткового механізму повороту з сервоприводом, управління яким здійснюється від пристрою, що задає, керуючого і рухом інших ланок маніпулятора. Це дозволяє згодом при розгляді ряду систем управління зупинятися тільки на плоских схемах виконавчих механізмів, що забезпечують рух в базовій площині.

Система керування копіюючим маніпулятором є системою, яка розширює можливості людини, дозволяючи оперувати предметами на відстані. Така система основана на принципі синхронної дії між органом управління і об'єктом управління. Об'єктом управління є виконавчий (ВМ) маніпулятор, а органом управління ним служить керуючий маніпулятор (КМ).

Керуючий механізм кінематично повністю повторює виконавчий. Замість схвату, як у виконавчого маніпулятора, у керуючого є рукоятка. Оператор, переміщаючи цю рукоятку, змушує робочий орган виконавчого маніпулятора повторювати цей рух. Таким чином, виконавчий маніпулятор повторює, копіює рух керуючого.

Керуючий маніпулятор, за звичай, набагато менше виконавчого, для того щоб відповідати розмірам робочої зони руки людини, а також в силу обмеження простору, що надається оператору за пультом управління, де розміщується керуючий маніпулятор.

Задача о копіюванні захватом переміщень виконавчого маніпулятора, які задають керуючий маніпулятор зводиться до того, що ланки першого, повинні виконувати ті ж відносні рухи, які мають місце в другому. Система передач для відтворення цих рухів може бути різною. Наприклад, керуючий механізм оснащується датчиками відносних переміщень його ланок. Сервоприводи, які розташовані на рухомих ланках виконуючого маніпулятора керуються сигналами цих датчиків і приводять виконавчий маніпулятор в положення, яке відповідає положенню керуючого.

Існують два типи систем копіюючих маніпуляторів - незворотні, або односторонньої дії, і оборотні, або двосторонньої дії. Вони відрізняються один від одного, наявністю, так званого, ефекту силового відчуття у другому типі. Коли оператор переміщує керуючий механізм, він відчуває на своїй руці протидію яке пропорційне зусиллю, з яким робочий орган виконавчого маніпулятора діє на об'єкти зовнішнього середовища (так званий ефект відображення зусилля).

В системах двосторонньої дії присутні приводи, які необхідні для здійснення зазначеного ефекту силового відчуття, у відмінку від копіюючих маніпуляторах односторонньої дії, в яких приводи відсутні.

Ефект відображення зусилля дуже важливий для точності і надійності управління маніпулятором. Коли людина сама виконує яку-небудь операцію, наприклад піднімає і переміщує вантаж, вона, сама того не помічаючи, враховує масу вантажу і докладає силу, пропорційну їй, а коли відкриває або закриває двері, люк, пересуває деталь і т.д., інстинктивно діє з силою, яка не призводить поломки або деформації предметів, заклинювання або зрив різьби з них і т. п. Оператор потребує інформації про зусилля, що розвиваються маніпулятором, щоб теж уникнути деформацій і псування деталей, не знижуючи швидкості проведення операцій і підвищуючи тим самим продуктивність праці та якість робіт, виконуючи подібні операції за допомогою робота.

В залежності від типу зв’язку між задаючим і керуючим механізмом, копіюючі маніпулятори можна розділити на три групи.

1.6.1 Маніпулятори з механічним зв’язком

Механічні маніпулятори були першими пристроями, які почали використовувати в небезпечних для життя людини умовах. Перші конструкції таких систем були представлені в 1951 році Раймондом Гоерцом (Raymond Goertz) Комісії з ядерної енергетики. В цих маніпуляторах керуючий і виконавчий механізми зв’язані механічними передачами: зубчатими, тросово-стрічковими та іншими. За допомогою цього виконавчий маніпулятор переміщувався під дією зусилля з боку людини-оператора, прикладеного до керуючого маніпулятора. Механічна конструкція, забезпечувала з'єднання один-до-одного між двома сторонами, створюючи відтворення фактичної маніпуляції. Механічні передачі є реверсивними і мають високий рівень КПД, тому на задаючому механізмі достатньо точно відтворюються зусилля, яке прикладено до виконавчого маніпулятора. З сьогоднішньої точки зору ці пристрої здаються примітивними, так як не мали електроніки та комп'ютерного управління. Тим не менш, вони були досить ефективними і до цих пір широко використовуються. Ці механічні телеманіпулятори прості, надійні, та зручні в використанні. Вони були першими механізмами подібного типу. Вантажопідйомність цих систем становила від 3 до 16кгс. По суті, чисто механічні пристрої були обмежені відстанню приблизно 5 метрів між виконавчим і керуючим маніпулятором. Крім того, ця відстань визначалася під час установки системи, наслідком чого жодна із сторін не могла переміщатися по відношенню до іншої.

.6.2 Маніпулятори з магнітним приводом

Маніпулятори цього типу використовуються в тих випадках, коли необхідно забезпечити абсолютну герметизацію об’єму камер(робота в зоні значного тиску, вакуумі і т.д). У якості приводів в них використовуються муфти на постійних магнітах, які дозволяють передавати переміщення через “глуху” стінку, без отворів під передаточні механізми. Маніпулятори з магнітними муфтами бувають двох видів: с торцевими магнітними муфтами, і с циліндричними магнітними муфтами.

.6.3 Сервоманіпулятори

Ця назва закріпилась за копіюючими маніпуляторами, в яких керуючий і виконуючий механізми, зв’язані системами управління особливого виду - обратимі стежачі системи (ОСС), розроблені в 70-х роках XX століття. Такі системи забезпечують відтворення по положенню між задающими та виконуючими органами, а також відтворюють на задаючому зусилля, яке прикладене до виконуючого.

Схем побудови таких систем дві, а саме, симетрична і несиметрична схеми. Симетрична, названа так, тому що в ній задающа і виконавча частини ідентичні. На вхід приводів подається з різним знаком неузгодженість Δα = αі - αз, де αі і αз - кути повороту приводів одного ступеня рухливості відповідно виконавчого та задающого маніпуляторів. Зворотний зв'язок, здійснюється за допомогою датчиків швидкості ДСІ, ДСЗ, і створює звичайну динамічну корекцію. При повороті оператором ланки на кут αз виникає неузгодженість Δα, яка призводить до створення на виконавчої осі рушійного моменту Ми, який сонаправлений з αз і викликає зміну αі в тому ж напрямку. На задающій стороні під дією цього ж сигналу неузгодженості Δα, що надходить із зворотним знаком, виникає такий же за величиною момент, але відповідно спрямований проти повороту αі, т. е. протидіє зміні αі.

Оператор сприймає цей момент, так ніби він безпосередньо повертав виконавчу вісь, робивши опір навантаження. Це і є ефект відображення зусилля.

Динаміка системи в лінійному наближенні може бути описана наступними рівняннями:

1.

де коефіцієнти демпфуючих швидкісних сил;

 - моменти інерції; - передавальні функції швидкісних і позиційних контурів приводів на задающої і виконавчої сторонах. Висловивши з другого рівняння Δα і підставивши цей вираз в перше,

отримаємо:


Будемо вважаючи задающу і виконавчу системи управління ідентичними. Тоді можна спростити вираз перед квадратною дужкою наступним чином:


Тут - коефіцієнт масштабування відчуття оператором навантаження на виконавчої осі. З урахуванням останнього виразу


Похибка відображення зусилля:


перший член цього виразу - внутрішній момент на керуючій стороні, а другий - на виконавчій стороні. У цих членів перший доданок визначає похибку, викликану інерційністю приводів, а друге - швидкісними силами опору. Для зменшення цієї похибки в приводах застосовують позитивний швидкісний зворотний зв'язок, що компенсує члени, і послідовну корекцію у вигляді ПІ-ланок для усунення статичної помилки стеження. Проте кардинальний шлях підвищення точності відображення зусилля - це застосування на керуючий стороні контуру управління безпосередньо за різницею ().

В несиметричній схемі системи управління, виконавчий привід відображає кут αз, в той час як задаючий привід відпрацьовує момент Mі. Для демпфування цього приводу і отримання необхідної якості відпрацювання моменту застосовують гнучкі зворотні зв'язки і послідовні коригувальні ланки.

Використовуються, також приводи на сельсинах. Вони складаються з з сельсина-датчика і сельсина-прийомника, які мають конструкцію звичайного матора. Обмотки роторів і статорів обох сельсинов з’єднані між собою по індікаторній схемі. Ротори сельсинов-датчиків зв’язані с ланками керуючого маніпулятора, а ротори сельсинов-прийомників - с ланками виконуючого маніпулятора. Якщо обертати ротор сельсина-датчика, то при відсутності на виконавчому механізмі нагрузки ротор сельсина-прийомника буде мати синхронне з ним обертання. У результаті виконавчий маніпулятор в цілому і його робочий орган відстежують положення керуючого маніпулятора, переміщуваного оператором. Однак, в маніпуляторах зі стежачими приводами або з магнітними муфтами виконавчий механізм відтворює рухи керуючого механізму лише приблизно. Саме тому вони не забезпечують необхідної синхронності між керуючим і виконавчим маніпулятором.

2. ПОСТАНОВКА ЗАДАЧІ

Поставлена задача розробити систему копіюючого маніпулятору з використанням трьохосьових акселерометрів.

Для розробки системи необхідно:

-       вивести формули та рівняння що описують механічний маніпулятор як об’єкт керування;

-       проаналізувати роботу акселерометрів;

-       визначити зв’язки між кутами положення ланок маніпулятору і кутами що міряють акселерометри;

-       провести порівняльний аналіз акселерометрів і встановити оптимальні характеристики для використання в системі керування.

-       розробити структурну схему системи;

-       розробити електричну схему з’єднання пристроїв системи;

-       виготовити експериментальний зразок механічного маніпулятору;

-       виготовити експериментальний зразок керуючого приладу;

-       провести налагодження системи;

-       розробити програмне забезпечення;

-       провести випробування системи копіюючого маніпулятора.

3. ЗАГАЛЬНІ ПРИНЦИПИ СИСТЕМИ КЕРУВАННЯ

.1 Маніпулятор як виконавчий об'єкт керування

Маніпулятор - механізм для управління просторовим положенням знарядь і об'єктів праці і конструкційних вузлів та елементів.

Маніпулятори включають в себе рухомі ланки, що забезпечують кутові переміщення, та ланки, що забезпечують поступальну ходу.

Область дії маніпуляційної системи та ступінь рухливості робота визначає взаємне розташування та поєднання ланок маніпулятора.

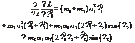
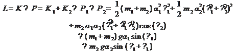
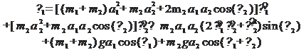
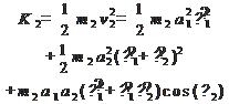
В маніпуляторах можуть використовуватися електричні, гідравлічні або пневматичні приводи для забезпечення руху його ланок. Однією з частин маніпуляторів, хоч і необов'язковою, є захватні пристрої. Розглянемо динаміку дволанкового маніпулятора. (Ріс.3.1) Припустимо що маси ланок зосереджені на їх кінцях.

Рис.3.1 Динаміка дволанкового маніпулятора.

Спільна змінна

узагальнений вектор сили

деі  моменти приводів. Для ланки a1 кінетична і потенційна енергія:

Для ланки а2 ми маємо:


так що квадрат швидкості дорівнює


Таким чином кінетична енергія ланки а2 дорівнює


Потенційна енергія ланки а2


Лагранжіан для всієї руки


Нарешті, відповідно до рівняння Лагранжа, динаміка маніпулятора задається двома пов'язаними нелінійними диференціальними рівняннями


Запишемо рівняння динаміки маніпулятора в векторній формі


Перепишемо рівняння динаміки маніпулятора в стандартній формі:


де - матриця інерції, - вектор швидкісних сил,  - n-мірний вектор сил тяжіння. τ - вектор сил, що діють за n ступенями рухливості системи.

Згідно розглянутим рівнянням механічний маніпулятор являє собою досить складний динамічний об'єкт - багатомірний, нестаціонарний і нелінійний, зі взаємопов'язаними змінними.

Одним з можливих підходів вимірювання кутів ланок маніпулятора є використання акселерометрів, які утворюють сигнали відповідно до проекцій вектору земного тяжіння пропорційно цим кутам. Використання акселерометрів з цифровим виходом які обладнані багато розрядним аналого-цифровим перетворювачем забезпечить необхідну точність роботи системи управління.

3.2 Акселерометр

3.2.1 Загальна характеристика

Акселерометром називають пристрій, який реагує на прискорення, статичне або динамічне, виникаюче під дією сили, яка прискорює датчик, наприклад, внаслідок дії гравітації.

Серед усіх типів акселерометрів, найкращими характеристиками володіють ємнісні напівпровідникові датчики, виконані за технологією MEMS. Технологія MEMS (Micro Electro Mechanical Systems), дозволяє поєднувати на одному кристалі традиційні електронні елементи інтегральних схем з мікроелектромеханічними пристроями. В таких акселерометрах пластини, що рухаються паралельно, утворюють змінний конденсатор. Три пластини утворюють послідовне з'єднання двох конденсаторів. При цьому дві пластини, що знаходяться по краям, жорстко закріплені, а центральна зміщується, відносно них, під дією інерційних сил. При наявності прискорення, рухома пластина зміщується щодо нерухомої частини акселерометра. До груза прикріплена обкладка конденсатора і зміщується щодо обкладки на нерухомої частині. Коли прискорення відсутнє ємності майже однакові, якщо ж прискорення відмінно від нуля, пластинка зміщується, і баланс ємностей порушується.

3.2.2 Принцип дії

При впливі прискорення на рухливу пластину акселерометра масою m сили F = mа виникає зміщення х, яке пропорційне прискоренню:


де β - жорсткість підвісу, а - прискорення зсуву сенсора, ω0 - власна частота коливань сенсора, яка визначає чутливість механічної частини. На обкладку конденсатора подаються прямокутні електричні імпульси різної полярності в протифазі.

Коли відсутнє прискорення, зсув механічної системи відсутній і ємності рівні, тому вихідний сигнал змінної напруги також практично дорівнює нулю (завжди присутній малий ненульовий зсув). При наявності прискорення, з’являється зсув рухомої частини, і з'являється змінний сигнал.

Отриманий сигнал, детектується в схемі синхронного демодулятора і посилюється. Для зменшення шумів та запобігання небажаного збудження сенсора частота електричного сигналу, що подається на ємності, вибирається істотно більше власної частоти коливань сенсора.

Значення резонансної частоти датчика не перевищує 10 кГц, частоти подаючого сигналу - 100 кГц. Вихідним сигналом після відповідної обробки сигналу перетворювачем із сенсорної частини є сигнал широтно-імпульсної модуляції (ШІМ), при якому прискорення також пропорційно відношенню тривалості імпульсу до періоду послідовності.

3.2.3 Основні параметри

Основні параметри, а також їх співвідношення визначають області застосування акселерометрів. Найважливішими параметрами акселерометра є чутливість S, що виражається як відношення сигналу в вольтах до прискорення:


діапазон вимірюваних прискорень, нелінійність, шуми що обмежують поріг дозволу пристрою, температурний дрейф нуля (зсуву) та чутливості, які впливають на точність визначення прискорення. У деяких випадків важливою характеристикою є власна частота коливань сенсора ω0 або резонансна частота f0, яка визначає робочу смугу частот сенсора. Чутливість датчика залежить від якості електронного перетворювача.

3.2.4 Вимірювання кутів нахилу

За допомогою сили гравітації проаналізуємо визначення кута нахилу акселерометра. Кут нахилу визначається за величиною виміряної проекції.

На практиці, крім сили гравітації, на об’єкт діють ще й інші сили, викликані обертанням, тряскою і т.д. Сила гравітації є величиною постійною, тому будь-які додаткові сили, діючі на об'єкт, змінять вихідні дані акселерометра, що призведе до появи помилки в розрахунку кута нахилу. Вплив інших сил можна звести до мінімуму, застосувавши попередню обробку вихідного сигналу акселерометра, але це призведе до затримки видачі актуального значення кута.

3.2.5 Одноосьовий акселерометр

Рис.3.2 Одноосьовий акселерометр

Розглянемо ідеальний випадок, в якому вісь X об'єкта завжди знаходиться в площині дії сили гравітації. Отримаємо вираз для обчислення проекції сили гравітації на вісь Х:

(1)

де- кут між горизонтом і віссю акселерометра.

За горизонт беруть площину, яка ортогональна силі гравітації. Через те що вихідне значення акселерометра пропорційно синусу кута нахилу в поле гравітації, для визначення кута нахилу отримаємо формулу:

(2)

Так як  пропорційна зміні сигналу на виході акселерометра, то:

 - напруга на виході акселерометра

 - напруга при 0g

 - Чутливість акселерометра

Проаналізуємо залежність проекції Ax від кута нахилу. Чутливість інклінометра виражається відношенням зміни його вихідного сигналу до пов'язаної з цим зміни кута. В одноосьовому випадку, якщо кут нахилу близький до значення 90°, велика зміна кута призводить до маленької зміни вимірюваного прискорення. Таким чином, чутливість вимірювання кута нахилу буде прагнути до нуля з наближенням значення кута до 90°.

Однією з важливих характеристик інклінометра є величина його порога чутливості. Ця характеристика визначає мінімальну різницю між двома кутами, яку прилад може виміряти.

Поріг чутливості акселерометра є постійна величина, отже для інклінометра він повинен змінюватися подібно до його чутливості: найкраще значення в районі кута нахилу від 0° і найгірше при 90º. Акселерометр повинен визначати величину, на яку змінюється проекція сили гравітації при зміні нахилу на кут рівний порогу чутливості інклінометра. Ця величина представляється формулою:

(3)

де-поточний кут.

Досягнення високої роздільної здатності на широкому діапазоні вимірювань, в одноосьовому випадку, можливо лише із застосуванням акселерометра, який володіє високою роздільною здатністю. Крім того, така схема не може працювати в повному діапазоні кутів від 0 ° -360 º так як значення синуса збігаються для кутів N º і 180 º-N º.

3.2.6 Двохосьовий акселерометр

Рис 3.3 Двохосьовий акселерометр.

Введення в систему вимірювання додаткової осі чутливості Y, ортогональної осі X яка також знаходиться в площині дії сили гравітації, дозволить позбутися вищеописаних недоліків.

Значення прискорення виміряний акселерометром по осі X буде пропорційно синусу кута нахилу, а значення прискорення виміряний акселерометром по осі Y - косинусу кута нахилу. З властивостей функцій синуса і косинуса випливає, що тоді як чутливість по одній осі буде зменшуватися, вона ж за іншою віссю буде збільшуватися. Розрахунок кута нахилу можна провести скориставшись наступною формулою:

  (4)

(5)

Застосування відносини проекцій для обчислення кута нахилу, робить аналітичне визначення порогу чутливості непростим завданням. Виходячи з того що чутливість по одній осі зростає в той час як за іншою вона падає, можна грубо вважати, що загальна чутливість є постійною величиною. Розрахунок порога чутливості, виконаний для одного кута, буде справедливий для всього інтервалу вимірюваних кутів. До значних помилок вимірювання кута нахилу одноосьовим акселерометром призведе будь-який нахил не по осі чутливості. Навіть якщо присутній нахил по третій осі введення додаткової осі дозволяє отримати досить точні результати. При дії гравітації тільки в площині XY значення прискорення, буде 1g. Нахил в площині XZ або YZ зменшить вимірюване прискорення, що призведе до зниження чутливості акселерометра. Вплив сили гравітації на осі X і Y з ростом кута нахилу буде зменшуватися, в результаті неможливо буде взагалі розрахувати кут нахилу.

Також, додаткова вісь дає нам можливість вимірювати кути в діапазоні 0-360 градусів. Це досягається завдяки зміні знака в залежності від приналежності кута до того чи іншого квадранту.

90º X > 0; Y < 0

 X > 0; Y > 0 0º

180º  X < 0; Y < 0 270º

 360º  X < 0; Y > 0


3.2.7 Трьохосьовий акселерометр

Рис.3.4 Трьохосьовий акселерометр

Вимірювання всіх кутів нахилу сенсора в просторі досягається введенням третьої чутливої осі. У початковій позиції осі X і Y знаходяться в площині горизонту, а вісь Z ортогональна осях X і Y.

У початковій позиції, при якій сила гравітації діє тільки на вісь Z, отримаємо, що всі значення кутів рівні 0. Значення кутів можуть бути обчислені за наступними формулами:

(6)

(7)

(8)

Поріг чутливості в 3-ох випадку постійний як і в 2-ох осьовому і це дозволяє точно виміряти значення кутів для всієї сфери.

3.2.8 Калібрування акселерометра

Все вище сказане справедливе при умові що використовується ідеальний акселерометр, який має ідеальну чутливість і зміщення нуля відсутнє. В реальності ж на MEMS-акселерометр буде діяти статичне «навантаження» незважаючи на те, що він відрегульований. Це призведе до зміщення рівня нуля і зміни чутливості сенсора. Акселерометр буде видавати значення кутів нахилу з точністю значно гірше заданої. Для зниження помилки допоможе калібрування чутливості і нульового значення акселерометра. Для калібрування акселерометра досить зняти кілька свідчень акселерометра, у разі якщо на нього діє тільки сила тяжіння.

Усі отримані значення від акселерометра можна представити в такому вигляді:

(9)

де - початкове зміщення,  - коефіцієнт чутливості;  - дійсне значення прискорення, що діє на сенсор, так само 1g;

Для знаходження величин А0 і К, знімемо свідчення з акселерометра, в положеннях, 0 º, 90 º, 180 º і 270 º. Математично отримані значення можна записати в такій формі:

(10)

(11)

(12)

Враховуючи що, а, після складання виразів (9),(10),(11)і(12)отримаємо:

(13)

Для знаходження коефіцієнта чутливості скористаємося наступними тригонометричними тотожностями:

 і

,

звідки:

(14)

Описану послідовність дій необхідно провести для кожної з осей чутливості акселерометра.

.3 Принцип дії системи керування

Керуюча частина являє собою маніпуляційну систему, яка кінематично повторює виконавчий маніпулятор і складається з трьох ланок - плечова, ліктьова і кистьова. Для визначення кутів повороту керуючого пристрою, кожна ланка обладнена акселерометром. Акселерометри, які розташовані в кистьової і в ліктьової ланках, визначають кути повороту в 2ох осях координат - XY, а акселерометр, розташований в плечової ланці, працює в 3 осях - XYZ. При зміні положень ланок керуючого пристрою змінюються показання відповідних акселерометрів.


Рис 3.5 Поворот ліктьової ланки маніпулятора.

Проаналізуємо роботу керуючої системи на прикладі декількох випадків переміщення ланок керуючого маніпулятора.

Перший випадок (рис.3.5), коли здійснюється поворот ліктьової ланки. При зміні положення ліктьової ланки, буде змінюватися положення в просторі не тільки акселерометра, який розташований в ліктьової ланці, але також і акселерометра, розташованого в кистьової, що призводить до зміни проекції прискорення на чутливу вісь як одного, так і іншого сенсора. Це веде до небажаних наслідків, а саме, в тому випадку, коли проводиться поворот тільки ліктьової ланки керуючого маніпулятора, змінювати свій кут нахилу буде як ліктьова, так і кистьова ланка виконавчого маніпулятора. Цю проблему, можна вирішити програмним засобом, а саме, проводити порівняння значень з обох акселерометрів. Якщо приріст значень кутів обох акселерометрів однаковий, це означає що, поворот відбувається тільки ліктьовою ланкою керуючого маніпулятору, а якщо приріст кута акселерометра кистьової ланки відбувається швидше або повільніше ніж ліктьової, значить, відбувається поворот обох ланок. У випадку, коли відбувається приріст значення кута ліктьового акселерометра, а значення кута акселерометра розташованого в кистьової ланці постійне, буде означати, що поворот ланок керуючого маніпулятора буде відповідати ріс.6.

Рис 3.6 Поворот ліктьової та кистьової ланок маніпулятора.

Для формування керуючих сигналів для виконавчого маніпулятора, необхідно провести програмну обробку отриманих значень кутів акселерометрів що відображують виміри величин прискорення. Кут повороту акселерометра це кут між горизонтом і чутливою віссю, а саме площини, ортогональної силі гравітації. Тому, значення кута нахилу ланки маніпулятора буде дорівнювати 900 ± значення кута нахилу акселерометра.

4. РОЗРОБКА СИСТЕМИ КОПІЮЮЧОГО МАНІПУЛЯТОРУ

.1 Керуючий пристрій

Система керування копіюючим маніпулятором являє собою багатопроцесорну систему, яка розроблена за принципом системної інтеграції.

Рис 4.1 Експериментальний зразок керуючого пристрою

Керуючий пристрій (рис.4.1) розроблений на базі контролерного модулю SeeeDuino, до якого, через I2C шилд підключено три буферні контролерні модулі, виконані на основі мікроконтролера ATmega8A. До кожного контролерного модуля підключений акселерометр.

Завданням буферного модулю є створення персональної адреси для кожного модуля акселерометра. Це необхідно, на сам перед, для того, що б чітко розуміти, з якої саме ланки приходять значення кутів. Зміни кутів повороту ланок фіксуються акселерометрами, які, через буферні пристрої, передають отримані значення до центрального модуля.

Центральна плата, прийнявши дані, по шині USB відправляє їх на ПК. ПК, завдяки спеціальному програмному забезпеченню, аналізує та обробляє дані, що надходять, і відправляє команди, що задають кути повороту, на контролерну плату маніпулятора. Маніпулятор, прийнявши команду, виконує поворот відповідним двигуном на необхідний кут, після чого відправляє на ПК підтвердження, про виконання команди. Реалізація подібної схеми, можлива завдяки установці акселерометрів, на ланки маніпулятора. Прийнявши команду на поворот, маніпулятор виконує поворот до того моменту, коли акселерометр не видасть відповідне значення кута. Після чого на ПК надсилається підтвердження. Вся електроніка змонтована на механічному каркасі, який реалізує керуючий маніпулятор, який кінематично повторює виконавчий. Акселерометри розташовуються на ланках керуючого маніпулятора - плечова, ліктева, кистьова ланки.

4.2 Елементна база керуючого пристрою

4.2.1 Акселерометр

Акселерометри є головною складовою системи копіюючого керування, так як вони є основним реєстраційним елементом системи, тому вибір найбільш підходящих за своїми характеристиками акселерометрів, є першочерговою задачею при створенні системи керування. Було вирішено вибрати декілька типів акселерометрів, а саме, Freescale MMA7660FC, та Analog devise ADXL345, та провести експериментальний аналіз їх характеристик, а також, провести експеримент в режимі керування ліктьової ланки маніпулятора.

4.2.1.1 Freescale MMA7660FC

MMA7660FC трехосьовий акселерометр з діапазоном ± 1,5g і цифровим виходом I2C. Він призначений для визначення руху об'єкта і вимірювання кутів повороту або орієнтації.

В якості вимірювального елемента використовується MEMS датчик прискорення Freescale. Одним з важливих переваг акселерометрів MMA7660 є мале енергоспоживання і перестроюваєма частота вимірів (користувачеві доступні на вибір 8 діапазонів з частотою вибірки від 1 до 120 Гц).

Акселерометр проводиться в 10-вивідному корпусі DFN розміром 3 × 3 × 0,9 мм. Робочий температурний діапазон акселерометра становить від -40...+85 ºC. Напруга живлення 3,6 В.

Відмітна особливість:

Споживання акселерометра в сплячому режимі складає всього 2 мкА, в активному 47 мкА при частоті вимірювань 1 Гц.

Основні параметри наведені в таблиці 1.

Таблиця 1

Прискорення (макс.),±g

1.5

Осі

XYZ

Чутливість,LSB/g

21.33

Роздільна здатність,біт

6

Частота зрізу,Гц

120

Інтерфейс

I2C

VCC,В

от 2.4 до 3.6

ICC,мА

0.3

TA,°C

от -40 до 85

Корпус

DFN-10


4.2.1.2 Analog devise ADXL345- цифровий трьохосьовий iMEMS (інтегральна мікро- електронно-механічна система) акселерометр забезпечує економію до 80% енергії в порівнянні з аналогічними трьох осьовими інерційними датчиками. ADXL345 так само містить вбудований АЦП (аналого-цифровий перетворювач), який спрощує апаратну конфігурацію пристрою.

Датчик руху ADXL345 містить вбудований блок FIFO (перший увійшов, перший вийшов) пам'яті в якій зберігається до 32-х вибірок даних по осях X, Y і Z. Шляхом обробки вхідних даних для визначення необхідності активної відпрацювання системою змін в положенні і прискоренні, новий датчик руху додатково економить енергію, споживану всією системою, завдяки самостійного виконання частини функцій центрального процесора. Зазвичай, центральний процесор споживає левову частку від загального споживання енергії в системі; утримання процесора в режимі очікування протягом максимально можливого часу, може знизити загальне споживання енергії системою більш ніж на 75%.

Надекономічний цифровий акселерометр ADXL345 має діапазон вихідних сигналів, масштабований в діапазоні частот від 0,1 Гц до 3,2 кГц, на відміну від конкурентів, які мають фіксовану швидкість передачі даних 100 Гц, 400 Гц або 1 кГц.

Це дає можливість точно виділяти кількість енергії необхідної для даної функції і зарезервувати невикористану потужність. ADXL345 так само вимірює динамічне прискорення, що виникає при русі або ударі. Діапазон величин миттєвого прискорення до 10000g дозволяє використовувати датчик для таких додатків, як захист жорстких дисків в персональних комп'ютерах.

Датчик забезпечує дозвіл 4 милі G / МЗР (молодший розряд) у всіх діапазонах прискорень, розпізнавання одноразового і подвійного клацання, виявлення активності і простою, виявлення вільного падіння і програмовані користувачем порогові рівні.

Датчик так само містить трьох і чотирьох провідний SPI (послідовний периферійний інтерфейс) цифровий інтерфейс і має діапазон робочої напруги від 1,8 до 3,6 В.

Основні параметри наведені в таблиці 2.

Таблиця 2

Прискорення (макс.),±g

2

Осі

XYZ

Чутливість,LSB/g

32

Роздільна здатність,біт

10

Частота зрізу,Гц

1600

Інтерфейс

I2C SPI

VCC,В

от 2 до 3.6

ICC,мА

0.145

TA,°C

от -40 до 85

Корпус

LGA-14


4.2.1.3 Результати випробувань

Випробування проводилися в режимі керування поворотом ліктової ланки маніпулятора, тобто, при повороті і, відповідно, зміні кута акселерометра, в рух приводився сервомеханізм розташований в ліктьовому суглобі маніпулятора.

Отримані показання для MMA7660FC приведені в таблиці 3.

Таблиця 3

Вихідні значення

Прискорення, ±g

Кут (x,y)

21

0.984

152

20

0.938

148

19

0.891

145

18

0.844

142

17

0.797

139

16

0.750

136

15

0.703

133

14

0.656

131

13

0.609

129

12

0.563

126

11

0.516

123

10

0.469

120

9

0.422

117

8

0.375

114

7

0.328

111

6

0.281

108

5

0.234

105

4

0.188

102

3

0.141

99

2

0.094

96

1

0.047

93

0

0.000

90

-1

-0.047

-2

-0.094

84

-3

-0.141

81

-4

-0.188

79

-5

-0.234

76

-6

-0.281

73

-7

-0.328

70

-8

-0.375

67

-9

-0.422

64

-10

-0.469

61

-11

-0.516

58

-12

-0.563

55

-13

-0.609

51

-14

-0.656

48

-15

-0.703

45

-16

-0.750

42

-17

-0.797

39

-18

-0.844

36

-19

-0.891

33

-20

-0.938

30

-21

-0.984

24


Показання Analog Device ADXL345 приведені в таблиці 4.

Таблиця 4

Вихідні значенняПрискорення, ±gКут (x,y)



265...269

0.997

143

260...264

0.974

142

255...259

0.959

141

250...254

0.948

140

245...249

0.922

139

240...244

0.903

138

235...239

0.884

137

230...234

0.865

136

225...229

0.846

135

220...224

0.828

134

215...219

0.809

133

210...214

0.794

132

205...209

0.771

131

200...204

0.756

130

195...199

0.737

129

190...194

0.726

128

185...189

0.703

127

180...184

0.981

126

175...179

0.658

125

170...174

0.643

124

165...169

0.636

123

160...164

0.609

122

155...159

0.583

121

150...154

0.568

120

145...149

0.557

119

140...144

0.548

118

135...139

0.526

117

130...134

0.493

116

125...129

0.466

115

120...124

0.455

114

115...119

0.432

113

110...114

0.414

112

105...109

0.402

111

100...104

0.376

110

95...99

0.357

109

90...94

0.346

108

85...89

0.319

107

80...84

0.301

106

75...79

0.282

105

70...74

0.267

104

65...69

0.244

103

60...64

0.225

102

55...59

0.214

101

50...54

0.191

100

45...49

0.173

99

40...44

0.154

98

35...39

0.135

97

30...34

0.127

96

25...29

0.097

95

20...24

0.082

94

15...19

0.060

93

10...14

0.045

92

5...9

0.022

91

0...4

0.011

90

-4...-1

0.015

89

-8...-5

0.030

88

-12...-9

0.045

87

-16...-13

0.056

86

-20...-17

0.071

85

-24...-21

0.082

84

-28...-25

0.105

83

-32...-29

0.116

82

-36...-33

0.135

81

-40...-37

0.146

80

-44...-41

0.165

79

-48...-45

0.180

78

-52...-49

0.191

77

-56...-53

0.207

76

-60...-57

0.225

75

-64...-61

0.240

74

-68...-65

0.252

73

-72...-69

0.267

72

-76...-73

0.282

71

-80...-77

0.297

70

-84...-81

0.312

69

-88...-85

0.331

68

-92...-89

0.346

67

-96...-93

0.361

66

-100...-97

0.372

65

-104...-101

0.395

64

-108...-105

0.406

63

-112...-109

0.417

62

-116...-113

0.429

61

-120...-117

0.447

60

-124...-121

0.462

59

-128...-125

0.478

58

-132...-129

0.496

57

-136...-133

0.504

56

-140...-137

0.523

55

-144...-141

0.542

54

-148...-145

0.557

53

-152...-149

0.572

52

-156...-153

0.587

51

-160...-157

0.602

50

-164...-161

0.613

49

-168...-165

0.624

-172...-169

0.647

47

-176...-173

0.651

46

-180...-177

0.673

45

-184...-181

0.685

44

-188...-185

0.700

43

-192...-189

0.722

42

-196...-193

0.737

41

-200...-197

0.752

40

-204...-201

0.760

39

-208...-205

0.782

38

-212...-209

0.790

37

-216...-213

0.813

36

-220...-217

0.824

35

-224...-221

0.843

34

-228...-225

0.850

33

-232...-229

0.865

32

-236...-233

0.880

31

-240...-237

0.899

30

-244...-241

0.914

29

-248...-245

0.929

28

-252...-249

0.948

27

-256...-253

0.963

26

-260...-257

0.967

25

-270...-261

0.971

24


Випробування показали, що діапазон вимірюваного прискорення акселерометра в ±1.5, ± 2g є найбільш прийнятним. Сервомотор маніпулятора практично миттєво спрацьовував навіть при швидкій зміні кута, як при використанні MMA7660FC, так і при ADXL345. Тому, найбільш вирішальним фактором стала розрядність АЦП. У постійному положенні акселерометра, тобто при утриманні кута, проекція прискорення на чутливу вісь постійна. Зсув механіки відсутній і ємності рівні, проте в силу присутності малих ненульових зсувів, на виході акселерометр видає не нульові значення. Відхилення становить ± одне, ± два значення. За технічними параметрами, розрядність АЦП у MMA7660FC становить 6 біт, його діапазон вихідних значень для кутів від -21 до +21. Ці значення охоплюють кути від 24 до 152 з інтервалом в 3 градуси, що не дозволяє точно управляти положенням ланки маніпулятора. ADXL345, АЦП якого видає 10бітне значення, в межах від -265 до +265 значень кутів, дозволив керувати маніпулятором дуже точно. Навіть в постійному положенні акселерометра, а також при швидкій зміні кута, при якій на сенсор, крім статичній сили тяжіння, діють додаткові сили інерції, маніпулятор стабільно тримає кут, без особливих відхилень, так як на один градус в середньому припадає близько 5 вихідних значень акселерометра.

За результатами проведених експериментів, було прийнято рішення використати акселерометри ADXL345 фірми Analog devise у якості основних реєстраційних компонентів керуючого пристрою в копіюючій системі керування.

4.2.2 Отладочна платформа Seeeduino

Отладочна плата Seeeduino компанії Seeed Studio - це повністю сумісна з Arduino плата, виконана на базі мікроконтролера Atmel AVR ATmega168P або ATmega328P. Плата містить інтерфейс USB на базі мікросхеми FT232RL, всі необхідні зовнішні компоненти і конектори для підключення плат розширення. Для роботи з платою в інтегрованому середовищі розробки Arduino необхідно вибрати в налаштуваннях середовища плату Arduino Duemilanove 328.

Основні характеристики:

мікроконтролер ATmega328

Флеш-пам'ять 32 Кб (2 Kb використовуються для завантажувача)

ОЗУ 2 Kb1 Kb

Тактова частота 16 МГц

Робоча напруга 3,3-5V

Вхідна напруга (рекомендований) 7-12V

Вхідна напруга (граничне) 6-20V

Цифрові входи / виходи 14(6 з яких з ШІМ)

Аналогові входи / виходи 8

Граничний струм через вхід / вихід 40 мА

Граничний струм для виведення 3.3В при 50мА

Розмір 6,9 * 5,3 * 1 см (Д * Ш * В)

4.3 Виконавчий маніпулятор

Для проведення експериментів з системою керування, був створений експериментальний зразок виконавчого маніпулятора.

Виконавчий маніпулятор виготовлений з текстоліту товщиною 1.5мм, і змонтований на поворотному штативі. Маніпулятор має 5 ступенів свободи і складається з 3 ланок. В суглобах встановлені 5 сервомеханізмів Tower Pro MG 995. Маніпулятор обладнаний двох пальцевим cхватом, для операцій з предметами. Кожен палець cхвата приводиться в рух за рахунок сервопривода Tower Pro SG90.

Рис.4.2 Експериментальний маніпулятор СH-1

Основні характеристики маніпулятора:

Загальна довжина руки: L - 44,7 см

Довжина ланок: L1 - 16,3 см - 9,7 cм - 18,7 см

Піднімаєма вага: - 166гр

4.3.1 Центральна плата

Центральна плата виконавчого маніпулятора виконана на основі мікроконтролера ATmega8A. ATmega8A, це 8-розрядний мікроконтролер, який має швидкий гарвардський процесор, пам'ять програм, пам'ять даних, порти вводу / виводу, і різні інтерфейсні схеми.

Гарвардська архітектура реалізує повний логічний і фізичний поділ не тільки адресних просторів, але також і інформаційних шин для звернення до пам'яті програм і до пам'яті даних, причому способи адресації і доступу до цих масивів пам'яті також різні.

Такий пристрій вже є близьким до пристрою цифрових сигнальних процесорів, і забезпечує суттєве підвищення продуктивності. Центральний процесор працює одночасно як з пам'яттю програм, так і з пам'яттю даних.

Рис.4.3 Центральна плата маніпулятора.

Основні характеристики ATMEGA8A-PU:

8Кбайт програмної flash пам'яті (10.000 циклів запису)

1024 х 8 біт внутрішньої оперативної пам'яті (SRAM)

512 байт пам'яті EEPROM

захист пам'яті програм (flash і EEPROM)

Зона кодів завантаження

23 програмовані лінії введення / виводу

два 8-бітних таймера / лічильника

один 16-бітний таймер / лічильник

внутрішні і зовнішні переривання

програмований USART

3 PWM канала

двопровідний послідовний інтерфейс

6-канальний 10-бітний АЦП

аналоговий компаратор

Внутрішньосхемне програмування (SPI порт)

watchdog таймер з осцилятором

робоча частота 0 .. 16МГц

внутрішній калібрований RC-генератор

режимів зниженого споживання

напруга живлення 2,7-5,5 В

діапазон температур -40 .. +85 ° С

Сервоприводи маніпулятора підключаються до центральної плати, та управляються сигналом широтно - імпульсної модуляції.

В платі реалізовано інтерфейс RS232 для зв'язку маніпулятора з ПК. Даний інтерфейс основан на базі мікросхеми ST232BN відмітні особливості якої приведені в таблиці 5.

маніпулятор керування акселерометр сигнал

Таблиця 5

Кількість прийомо / передавачів

2/2

Швидкість передачі, кбіт/с

220

Напруга живлення, В

5

Кількість зовнішніх конденсаторів

5

Тип корпусу

DIP16

Температурний діапазон, С

-40…85

Номінальна ємність зовнішніх конденсаторів, мкФ

0.1


4.3.2 Сервопривід Tower Pro MG 995

Tower Pro MG 995 має дуже потужний двигун без сердечника, який ідеально підходить для механічної роботи. Продуктивність 13 кг на 1 см на 4,8 вольта або 15 кг на 6V. Цей сервопривід має такий же розмір, як і сервоприводи стандартного типу.

Вага - 55гр.

Розмір - 40,7 х 19,7 х 42,9 мм

Швидкість - 0,20 сек/60 гр. (4,8V),0,16сек/60гр. (6V)

Кут повороту 180 градусів

Посилення - 8,5 кг/см(4.8V),10кг/см (6V)

Робоча напруга - 4.8V - 7.2V

Робоча температура - 0С - 55С

Гніздо - JR (Fits JR and Futaba)

Шестерінки з металу.

4.3.3 Сервопривід TowerPro SG90

TowerPro SG90 - високоякісний аналоговий сервопривід. Особливістю даного сервоприводу є компактний розмір і мала вага - всього 9 грам.

Характеристики:

Число оборотів холостого ходу: 0.12 секунди / 60 градусів (4.8V)

Крутний момент: 1.6кг/см (4.8V)

Робоча температура: -30 ~ +60 градусів Цельсія

Час зупинки при позиціонуванні: 7 мікросекунд

Робоча напруга: 4.8V-6V

Споживаний Ток: менше ніж 500mA

Довжина кабелю: 180 мм

Вага: 9грам

Сервопривід працює на 90 градусів, що дозволяє його використовувати для рульового управління і для вирішення інших завдань.

4.4 Програмне забезпечення маніпулятору

4.4.1 Програма керування копіюючим маніпулятором

Одним з елементів системи управління маніпулятором є, програма, управління, яка написана мовою С#.














Ріс.4.3 Вікно програми керування копіюючим маніпулятором

Ріс.4.4 Блок-схема програми керування копіюючим маніпулятором

Програма управління реалізує принцип копіюючого управління маніпулятором, приймаючи значення з центральної плати Uno32, по USB шині, а саме, значення кутів які зчитують акселерометри, і відповідно до них, видавати команди повороту на відповідні мотори маніпулятора по RS232 протоколу.

Також програма управління дозволяє управляти в ручному режимі окремими двигунами маніпулятора за допомогою спеціальних движків. Також, програма замірює затримку між двома прийнятими командами з центральною плати системи управління і виводити їх на екран.

4.4.2 Внутрішня прошивка

До складу програмного забезпечення входять прошивки для контролерного модулю виконавчого маніпулятора а також модулів системи керуючого пристрою. Прошивки написані в середовищі програмування Arduino IDE, мовою Processing / Wiring. Написані на Wiring програми перетворюються (з мінімальними змінами) в програму мовою C/C++, і потім компілюються компілятором AVR-GCC. Так що, фактично, використовується спеціалізований для мікроконтролерів AVR варіант C/C++.

Програми буферних модулів керуючого пристрою, отримують данні з акселерометрів через інтерфейс SPI, перетворюють їх в значення кутів, і відправляють їх в центральний модуль керуючого пристрою, програма якого, об’єднує отримані данні з усіх модулів, і надсилає на ПК управління.

Прошивка маніпулятора реалізує управління сервомоторами, отримуючи команди з ПК через інтерфейс RS232.

4.5 Випробування

В рамках даної роботи проведені випробування роботи експериментального зразка керуючого пристрою, та виконавчого маніпулятору. Виконавчий маніпулятор продемонстрував такі показники по підйому ваги, а саме, 162гр - максимальна підйомна вага плечової ланки маніпулятора, і 153гр при підйомі ваги ліктьовою ланкою.

Проводився експериментальний аналіз характеристик двох акселерометрів, MMA7660FC та ADXL345, а також, проведено експеримент в режимі керування ланок маніпулятора. Виявлені найбільш прийнятні характеристики акселерометрів, для використання їх у якості сенсорних елементів задаючого пристрою системи копіюючого управління, які приведені в таблиці 6.

Таблиця 6

Прискорення (макс.)g

1.5 - 2

Осі

XYZ

Чутливість,LSB/g

21.33 - 32

Роздільна здатність,біт

10

Важливим фактором, було визначення затримки, між видачею датчиком значення, перетворення його в кут, і прийомом значення кута на ПК. Затримкою є час між двома прийнятими командами. Вона визначалася програмно, за допомогою програми управління і склала близько 16ms.

5. ОХОРОНА ПРАЦІ ТА БЕЗПЕКА В НАДЗВИЧАЙНИХ СИТУАЦІЯХ

.1 Шкідливі і небезпечні фактори робочої зони

Під час вивчення стану організації робочих місць у лабораторії автоматизації експерименту та моделювання фізичних процесів кафедри експериментальної фізики встановлено: загальна площа лабораторії становить 36 м2; висота до стелі - 3,8 м; приміщення має два вікна, що виходять на захід; кількість робочих місць з ПК - 5; всі монітори ПК на електронно-променевих трубках (ЕПТ).

Проаналізовані різні складові можливого негативного впливу комп'ютера на працюючих в лабораторії. Такий вплив є комплексним.

По-перше, монітор ПК на електронно-променевій трубці є джерелом:

електростатичного поля між екраном і оператором;

слабких електромагнітних випромінювань у низькочастотному, наднизькочастотному і високочастотному діапазонах (2 Гц - 400 кГц);

м'якого рентгенівського випромінювання;

ультрафіолетового випромінювання;

інфрачервоного випромінювання;

випромінювання видимого діапазону;

пилу, озону, окислів азоту й аероіонізації;

шуму й вібрації.

По-друге, нерухома напружена поза оператора, призводить до втоми й виникнення болю у хребті, шиї, плечових суглобах.

По-третє, інтенсивна робота із клавіатурою викликає болючі відчуття в ліктьових суглобах, передпліччях, зап'ястях, кистях і пальцях рук.

По-четверте, значному навантаженню піддається зоровий апарат працюючих із ПК.

По-п'яте, робота комп'ютера супроводжується акустичними шумами.

Всі ці фактори можуть бути психофізичним фактором, що веде до певних функціональних розладів стану здоров’я працюючих, а саме, вони можуть викликати:

фізичні нездужання: сонливість, стомлюваність, постійну втому (навіть після відпочинку);

захворювання очей: швидку стомлюваність, почуття гострого болю, печію, сверблячку, слізливість, часте моргання, відчуття натертості.

порушення візуального сприйняття: неясність зору на далекій відстані відразу після роботи за комп'ютером («завіса перед очима»); неясність зору на близькій відстані (зображення на екрані погано фокусується зоровою системою);

- погіршення зосередженості й працездатності (дуже часто виявляється наслідком візуальних порушень): зосередженість зменшується із працею (неможливо зберегти уважність протягом тривалого часу); дратівливість під час і після роботи; втрату робочої точки на екрані, пропуски рядків, слів, уведення повторних рядків, помилки при заповненні стовпчиків («невлучення»), переставлення слів або цифр місцями.

Аналіз умов роботи в лабораторії показав, що факторами, що найбільше впливають на зір при роботі з ПК, є такі:

1) Недосконалість способів створення зображення на екрані монітора. Ця група факторів містить у собі:

- неоптимальні параметри схем розгортки ЕПТ,

несумісність параметрів монітора й графічного адаптера,

недостатньо високе розрізнення монітора, розфокусування, незведення променів і низький рівень інших його технічних характеристик;

надлишкову або недостатню яскравість зображення.

) Непродумана організація та розташування робочих місць, що є причиною:

наявності відблисків на передній панелі екрана;

відсутності необхідного рівня освітленості робочих місць;

недотримання відстані від очей оператора до екрана.

Таким чином, більша частина факторів, що шкідливо впливають на користувача ПК, так чи інакше пов’язані з впливом на якість зорового сприйняття інформації, що є найважливішою складовою у діяльності людині, тому дуже важливим завданням у комплексі заходів із забезпечення сприятливих умов праці на робочих місцях в лабораторії автоматизації експерименту є створення належних умов розташування та освітленості робочих місць.

В лабораторії для живлення приладів використовувалася звичайна побутова електрична мережа з змінною напругою, 220V, 50 Гц. В експериментальній установці використовувалася постійна напруга 3.3V - 7.5V.

Приміщення, де проводилася розробка приладу, відноситься до приміщень без підвищенної небезпеки, оскільки:

відносна вологість приміщення не більше 75%,

неструмопровідна підлога приміщення.

повітря в приміщенні без струмопровідного пилу.

температура повітря в приміщенні в межах +22…+27°С.

Для забезпечення безпеки при виконанні роботи було використано:

заземлення, занулення приладів та елементів приладів.

правильне розміщення та використання приладів.

електрична ізоляція елементів виготовленного приладу.

Робоче приміщення відноситься до категорії В по пожежній небезпеці, в ньому присутні тверді горючі та важкогорючі речовини і матеріали, здатні при взаємодії с киснем повітря лише горіти.

В приміщенні передбачені засоби для гасіння пожежі: вогнегасники ВВ-10, ящики з піском, азбестова ковдра, пожежний водопровід з краном та рукавами для гасіння пожежі.

У разі виникнення пожежі, необхідно:

дану ділянку знеструмити загальним рубильником.

вжити заходів до гасіння полум’я наявними протипожежними засобами (вода, вогнегасник);

покинути приміщення;

повідомити про пожежу і місце його знаходження черговому пожежної охорони.

5.2 Розробка заходів безпеки праці

5.2.1 Заходи безпеки праці перед початком роботи

Для обмеження прямих відблисків від джерел природного та штучного освітлення в приміщенні передбачено зниження яскравості видимої частини джерел світла шляхом застосування спеціальних розсіювачів світла, а також правильне розміщення робочого місця відносно джерел світла.

Також передбачено заходи щодо обмеження відбитих відблисків на робочій поверхні (екран, стіл, клавіатура). Яскравість відблисків на екрані ПК не повинна перевищувати 80 кд/м2, а яскравість стелі при застосуванні системи відбитого освітлення не повинна перевищувати 200 кд/м2.

Нерівномірність розподілу яскравості в полі зору користувачів обмежують співвідношенням яскравості між робочим екраном та близьким оточенням (стіл, зошити, посібники і т. ін.), воно не повинно перевищувати 5:1, а між поверхнями робочого екрана і оточенням (стіл, обладнання) - 10:1.

Коефіцієнт запасу (Кз) для освітлювальних установок загального освітлення приймається рівним 1,4.

Величина коефіцієнта пульсації освітленості не перевищує 5%, що забезпечується застосуванням газорозрядних ламп у світильниках загального та місцевого освітлення з високочастотними пускорегулюючими апаратами (ВЧПРА) для світильників будь-яких типів. Якщо не має світильників з ВЧПРА, то лампи багатолампових світильників або світильники загального освітлення, розташовані поруч, слід вмикати на різні фази трьохфазної мережі. Для забезпечення нормованих значень освітленості у приміщеннях з ПК слід чистити шибки і світильники не менше двох разів на рік і вчасно замінювати лампи, що перегоріли.

Приміщення з комп'ютерною технікою рекомендується обладнувати ПК, корегований рівень звукової потужності яких не перевищує 45 дБА.

Зниження рівня шуму в приміщеннях можна здійснити таким чином:

Використанням блоків живлення ПК з вентиляторами на гумових підвісках;

Використанням ПК, в яких системи охолодження вмонтовані в блоці живлення та в критичних точках материнської плати (процесор, мікросхеми чіпсету), які дозволяють програмним шляхом регулювати як моменти ввімкнення систем охолодження, так і їх інтенсивність;

Переведення жорсткого диска в режим очікування (Standby),якщо комп'ютер не працює на протязі визначеного часу. Цей час встановлюється в опціях керування напругою в операційних системах сімейства Windows. Якщо в режимі Standby немає необхідності, його можна вимкнути в BIOS материнської плати;

Використанням ПК, в яких охолодження на процесорі встановлено виробником (ВОХ-процесор);

Застосуванням материнських плат формату АТХ та АТХ-корпусів, що дозволяє регулювати автономну швидкість та момент часу відключення вентилятора блока живлення від електромережі;

Використанням 24-32-х швидкісних CD-ROM для застосувань, які створюють менше шуму, аніж швидкісні 48-50-х CD-ROM, або застосовувати привід з одночасним зчитуванням декількох доріжок CD;

Заміною матричних голчатих принтерів струменевими і лазерними принтерами, які забезпечують при роботі значно менший рівень звукового тиску;

Застосуванням принтерів колективного користування, розташованих на значній відстані від більшості робочих місць користувачів ПК;

Зменшенням шуму на шляху його розповсюдження через розміщенням звукоізолюючого відгородження у вигляді стін, перетинок, кабін;

Акустичною обробкою приміщень;

Зменшення енергії відбитих звукових хвиль шляхом збільшення площі звукопоглинання I (розміщення на поверхнях приміщення облицювань, що поглинають звук, розміщенням в приміщеннях штучних поглиначів звуку).

Захист від випромінювання здійснюється в таких напрямках:

Екранування випромінювання. Для здійснення колективного захисту, якщо сусідні робочі місця потрапляють у зону впливу поля (на відстані 1,2-2,5 метрів від дисплея), встановити захисне покриття задньої і бічних стінок, змонтувати спеціальні екрануючі панелі, на задню і бічні сторони монітора, встановити перегородки між різними користувачами;

- Захист відстанню. Потужність еквівалентної дози іонізуючого електромагнітного випромінювання на відстані 0,05 м від екрана до корпуса термінала при будь-яких положеннях регулювальних пристроїв не повинна перевищувати 7,74 х 10 в ст. -12 А/кг, 0,1 мбер/год (100 мкР/год.). Тобто в залежності від розміру діагоналі монітору слід витримувати відповідну відстань до оператора ПК;

Захист часом. При 8-годинній денній робочій зміні слід призначати регламентовані перерви для відпочинку тривалістю 15 хвилин через кожні дві години. При 12-годинній зміні регламентовані перерви повинні встановлюватись в перші 8 годин роботи аналогічно перервам при 8-годинній робочій зміні, а протягом останніх 4-х годин роботи через кожну годину тривалістю 15 хвилин. У всіх випадках, коли робочі обставини не дозволяють застосовувати регламентовані перерви, тривалість безперервної роботи с ВДТ не повинна перевищувати 4 години.

         5.2.2 Заходи безпеки під час проведення робіт

Небезпека ураження електричним струмом існує завжди, якщо є контакт з пристроєм, що живиться напругою 36 В і вище, а тим паче від електричної мережі 220 В. Це може статися за помилки у випадку дотику до відкритих струмоведучих частин, але частіше за все через різні причини (перевантаження, не зовсім якісна ізоляція, механічні пошкодження та ін.). В процесі експлуатації може погіршитися ізоляція струмоведучих частин, у тому числі шнурів живлення, в результаті чого вони можуть опинитись під напругою, і випадковий дотик до них загрожує електротравмою, а у важких випадках - і загибеллю людини.

Зоною підвищеної електронебезпеки є місця підключення електроприладів і установок. Часто розетки розташовують на підлозі, що неприпустимо. Також часто відбувається інша помилка - перенавантаження розеток за потужністю, і, як наслідок, відбувається порушення ізоляції, що приводить до короткого замикання.

Для зведення до мінімуму потенційної небезпеки електротравмування необхідно дотримуватися вимог, встановлених "Правилами експлуатації електроустановок споживачів" і "Правилами техніки безпеки при експлуатації електроустановок споживачів" (ПЕ і ПТБ електроустановок споживачів), а також "Правилами улаштування електроустановок" (ПУЕ).

Для запобігання уражень електричним струмом при роботі з комп'ютером слід встановити додаткові захисні пристрої, що забезпечують недоступність струмопровідних частин для дотику; з метою зменшення небезпеки можна використовувати розділовий трансформатор для розв'язки з основною мережею, і обов'язковим у всіх випадках є наявність захисного заземлення або занулення (захисного відключення) електрообладнання. Для якісної роботи комп'ютерів створюється окремий заземлюючий контур.

В процесі обслуговування ПЕОМ виникає необхідність ремонтних, монтажних і профілактичних робіт. Згідно ДСанПін 3.3.2.007-98 та НПАОП 0.00.1.31-2010, заборонено проводити ремонт ВДТ і ПЕОМ безпосередньо в робочих, навчальних та дошкільних приміщеннях.

Під час роботи з електроустановками поряд з безумовним дотриманням певних організаційних заходів, встановлених ПЕ і ПТБ електроустановок споживачів, слід суворо виконувати всі технічні заходи, що забезпечують безпеку робіт зі зняттям напруги, а саме: відключення обладнання на ділянці, виділеній для виконання робіт, та вживання заходів проти помилкового чи самовільного включення; огородження при необхідності робочих місць і залишених під напругою струмоведучих частин; встановлення попереджувальних плакатів і знаків безпеки; перевірка відсутності напруги; накладання заземлення.

При виконанні електромонтажних і ремонтних робіт необхідно також всі види обслуговування ЕОМ виконувати одночасно не менш ніж двом фахівцям, щоб у разі електротравми було кому відключити струм і надати першу долікарську допомогу. При цьому робітник повинен знаходитися на гумовому килимку і перевіряти електричну схему, не торкаючись корпусу і струмоведучих ланцюгів.

Під час ремонту обчислювальної техніки забороняється:

Застосовувати для з'єднання блоків і приладів дроти з пошкодженою ізоляцією;

Проводити пайку і монтаж деталей в обладнанні, що знаходиться під напругою;

Вимірювати напругу і струм переносними приладами з неізольованими дротами і щупами;

Підключати блоки та прилади до устаткування, що знаходиться під напругою;

Замінювати запобіжники при включеному обладнанні;

Працювати на високовольтних установках без захисних засобів.

Для усунення можливої несиметрії напруги в разі аварійної ситуації на інших електроустановках в силовій мережі, для надійного відключення комп'ютерного обладнання від мережі та з метою забезпечення електробезпеки користувача і збереження техніки необхідно виконувати ряд монтажних вимог:

-       всі з'єднання ПЕОМ та зовнішнього обладнання повинні проводитися при відключеному електроживленні;

-       всі вузли одного персонального комп'ютера і підключене до нього периферійне устаткування повинні живитись від однієї фази електромережі;

-       корпуса системного блоку і зовнішніх пристроїв повинні заземлюватися окремо на зовнішній контур;

-       для відключення комп'ютерного обладнання повинен використовуватися окремий щит з автоматами захисту і одним рубильником.

Для захисту комп'ютерів від неякісного електроживлення (підвищеної або зниженої напруги, провалів і стрибків напруги, відхилення частоти і форми кривої напруги), що є основною причиною збоїв електроніки під час роботи (зависання, помилки при запису або читанні диска і т. п.), застосовуються джерела безперебійного живлення (ДБЖ). Їх основне призначення - забезпечення навантаження електроенергією при аварії в основній мережі. При використанні ДБЖ необхідно, щоб захисний контур (земля) і нейтральний провід прокладалися окремо. Крім усього іншого, неякісне заземлення знижує захист від електромагнітних перешкод, що наводяться джерелом на обладнання (монітор). Крім того, не рекомендується включати в ДБЖ лазерні принтери, так як під час розігріву принтера споживаний струм значно перевищує номінальне значення, що може привести до виходу ДБЖ з ладу.

5.2.3 Заходи безпеки після закінчення робіт

В приміщенні після закінчення роботи, з усіх електроустановок та електроприладів, а також з мереж їх живлення відключається напруга (за винятком чергового освітлення, протипожежних та охоронних установок, а також електроустановок, що за вимогами технології працюють цілодобово).

Обігрівання приміщення лабораторії здійснюється тільки приладами центрального водяного опалення.

Вентиляційні камери, шахти і повітроводи очищаються від горючих предметів і пилу не рідше ніж два рази на рік.

Під час експлуатації кондиціонерів не допускається:

·   використовувати як опорні конструкції горючі елементи конструкцій рам(у разі встановлення кондиціонера у віконному прорізі);

·   кустарно (самотужки) переробляти кондиціонери;

·   замінювати триполюсні штепсельні роз'єднувачі на двополюсні;

·   встановлювати кондиціонери у внутрішніх протипожежних перегородках та стінах

Після закінчення роботи необхідно уважно оглядати приміщення, усунути виявлені недоліки а також прибрати сміття.

5.2.4 Заходи безпеки в аварійних ситуаціях

При експлуатації ЕОМ не виключена небезпека різного роду загорянь. У сучасних комп'ютерах дуже висока щільність розміщення елементів електронних систем, в безпосередній близькості один від одного розташовуються сполучні дроти, комунікаційні кабелі. При протіканні по них електричного струму виділяється значна кількість теплоти, що може привести до підвищення температури окремих вузлів до 80-100 °C. При цьому можливі оплавлення ізоляції сполучних дротів, їх оголення і, як наслідок, коротке замикання, що супроводжується іскрінням, яке веде до неприпустимих перевантажень елементів електронних схем. Перенагріваючись, вони згорають з розбризкуванням іскор.

Для відведення надлишкового тепла від ЕОМ служать системи вентиляції та кондиціонування повітря. Однак ці системи також представляють додаткову пожежну небезпеку для машинного залу та інших приміщень, оскільки, з одного боку, димарі забезпечують подачу кисню, що є окислювачем, у всі приміщення, а з іншого - при виникненні пожежі швидко поширюють вогонь і продукти горіння по всіх приміщеннях і пристроях, з якими вони пов'язані.

Живлення до електрообладнання подається по кабельних лініях, які становлять особливу пожежну небезпеку. Наявність горючого ізоляційного матеріалу, ймовірних джерел запалювання у вигляді електричних іскор і дуг, розгалуженість і важкодоступність роблять кабельні лінії місцями найбільш вірогідного виникнення і розвитку пожежі.

Експлуатація ЕОМ пов'язана з необхідністю проведення обслуговуючих, ремонтних і профілактичних робіт. При цьому використовують різні мастильні матеріали, легкозаймисті рідини, прокладають тимчасові електропроводки, ведуть пайку та чистку окремих вузлів і деталей. Виникає додаткова пожежна небезпека, що вимагає відповідних заходів пожежної профілактики. Для попередження спалаху всі види кабелів прокладають в металевих газонаповнених трубах. У машинних залах кабельні лінії прокладають під технологічними знімними підлогами, які виконують з негорючих або важкогорючих матеріалів з межею вогнестійкості не менше 0,5 ч.

У приміщеннях обчислювального центру пожежні крани встановлюють в коридорах, на майданчиках сходових кліток, у входів. Ручні вуглекислотні вогнегасники встановлюють у приміщеннях з розрахунку один вогнегасник на 40-50 м2.

Для запобігання розповсюдження вогню під час пожежі з однієї частини будівлі на іншу влаштовують протипожежні перешкоди у вигляді протипожежних стін, перегородок, перекриттів, зон, тамбурів-шлюзів, дверей, вікон,люків,клапанів.

У будівлі на випадок виникнення пожежі передбачається не менше двох евакуаційних виходів, але через машинний зал, що має також не менше двох виходів, не повинні проходити шляхи евакуації співробітників, що працюють в інших підрозділах. В інших виробничих приміщеннях допускається проектувати один вихід, якщо відстань від найбільш віддаленого місця до виходу не перевищує 25 м, а кількість працюючих у зміні не більше 25 осіб. Проходи, коридори і робочі місця не слід захаращувати архівними матеріалами, папером. На евакуаційних шляхах встановлюють як природне, так і штучне аварійне освітлення.

Для зберігання носіїв інформації використовують вогнетривкі металеві шафи, двері до сховищ також повинні бути вогнетривкими.

Комплекс організаційних і технічних заходів пожежної профілактики дозволяє запобігти пожежі, а в разі її виникнення забезпечити безпеку людей, обмежити поширення вогню, а також створити умови для успішного гасіння пожежі.

Дотримання правил і вимог електробезпеки дозволяє максимально забезпечити захист користувача від ураження електричним струмом. Однак, якщо стався нещасний випадок, в першу чергу необхідно будь-яким способом негайно припинити дію струму, для чого треба вимкнути рубильник, відкинути електропровід від потерпілого сухою палицею або чимось неструмопровідним і обов'язково викликати лікаря. Якщо потерпілий у свідомості і відчуває деяке нездужання, до приходу лікаря слід забезпечити йому спокій, свіже повітря, тепло.

При важкому стані потерпілого (втрата свідомості, відсутній пульс, переривчасте дихання) необхідно терміново почати штучне дихання за способом "з рота в рот" з частотою 12-15 вдувань за хвилину та непрямий масаж серця з частотою одне натискання в секунду і продовжувати ці дії до поліпшення стану хворого (діаметр зіниць відновлюється, тобто зменшується до нормального, пульс повертається, дихання нормалізується). Коли людина приходить до тями, треба продовжувати надавати допомогу ще 5-10 хвилин, потім покласти його в теплі і давати рясне пиття у вигляді теплого чаю. У будь-якому випадку треба забезпечити надання кваліфікованої медичної допомоги.

Виконання правил безпеки не дає стовідсоткової гарантії запобігання надзвичайних ситуацій. В процесі роботи з електрообладнанням можуть виникнути різноманітні позаштатні ситуації, серед яких, наприклад, короткі замикання та перевантаження обладнання що можуть спричинити іскріння та навіть загоряння обладнання та оточуючих його горючих речовин, надмірне диміння, оплавлення ізоляції що робить можливим випадкове торкання до джерела електричного струму та ураження ним та інші ситуації. При виникненні позаштатної ситуації слід негайно попередити всіх людей які знаходяться в зоні надзвичайної ситуації та звернутись за допомогою до відповідних служб.

5.3 Розрахунок системи загально обмінної вентиляції

Розрізняють чотири основні схеми організації повітрообміну при загальнообмінній вентиляції: зверху вниз, зверху вверх, знизу вверх, знизу вниз.

Вибираємо схему організації повітрообміну-зверху вниз (рис 5.1.)

Рис.5.1 Організація вентиляції

Вхідні дані:

-       Приміщення - офісного типу.

-       Працівники: 1(одна) людина.

-       Розмір приміщення 10 м. × 7 м. ×4.2 м.

Для визначення необхідної продуктивності необхідно розрахувати два значення повітрообміну: по кратності і по кількості людей, після чого вибрати більше з цих двох значень.

Розрахунок повітрообміну по кратності:

Lкр = n ×V=2,5×274=685 м3/год,

де

L - необхідна продуктивність припливної вентиляції, м3/год;

n - нормована кратність повітрообміну: для житлових приміщень n = 1, для офісів n = 2,5

V - об’єм приміщення, м3;

Розрахунок повітрообміну по кількості людей:

кіл = N × Lнорм =1 × 60 = 60 м3/год

де- необхідна продуктивність припливної вентиляції, м3/год;- кількість людей;норм - норма витрати повітря на одну людину(норма для роботи в офісі - 60 м3/год)

Отже, Lкр > Lкіл=685 м3/год

Вибираємо стандартні розміри круглого повітропроводу з листової сталі d=500 мм.

Потрібний тиск, необхідний для передачі повітря повітропроводами, визначають через розрахунок суми втрат тиску на тертя і місцеві опори в сітці. Втрати тиску на тертя для кожної ділянки (починаючи з найввідаленої)і в вітках розраховуються за формулою, Па.

 Па

Де R - питомі втрати тиску на 1 м довжини трубопроводів.  - довжина ділянки або вітки, м.

Питомі втрати тиску можуть бути визначені за табличними даними або за формулою,

Па/м

Де  - коефіцієнт опору тертя, який залежить від шорсткості стінок повітропроводу(для стальних повітропроводів /d = 0,031); - швидкість повітря м/с, d- діаметр повітропроводів, мм; - питома вага,Н/м3;g - прискорення сили тяжіння,м/с2.

Значення  приймаємо згідно залежно від діаметру повітропроводу d, і швидкості транспортування повітря vp.

Втрати тиску в місцевих опорах розраховують також послідовно для кожної ділянки і в вітках за формулою, Па:

,

де  - коефіцієнт місцевих опорів.

Коефіцієнти місцевих опорів в трійнику враховують як зі сторони руху повітря магістралі, так із сторони віток. Втрати тиску у хрестовині дорівнюють сумі коефіцієнтів місцевих опорів двох трійників.

Загальні витрати тиску на кожній розрахунковій ділянці і вітках, Па:


Вибір вентиляційного обладнання

Необхідна потужність електродвигуна вентилятора,кВт

 кВт

Де L -кількість пилу що надходить в робочу зону,м3/г;Н - тиск, що створюється вентилятором, Па;К-коефіцієнт запасу, К = 1,1….1,5; - ККД вентилятора (0,5…0,8).

Під час виконання експериментальної частини дипломної роботи були виявлені потенційно небезпечні фактори та проведено роботу по їх усуненню або мінімалізації їх негативного впливу.

Встановлено необхідну кількість якісних люмінесцентних ламп.


ОСНОВНІ РЕЗУЛЬТАТИ РОБОТИ ТА ВИСНОВКИ

1.      Розглянуті області застосування та існуючі технічні рішення до побудови систем керування маніпуляторами, а також проведено їх порівняльний аналіз.

.        Виведені рівняння, які описують маніпулятор як виконавчий об’єкт керування.

.        Проаналізовано роботу акселерометру з точки зору визначення кутів нахилу окремих ланок маніпулятору, за яким встановлено, що необхідна обов'язкова програмна корекція роботи акселерометрів.

.        Проведено зв’язок значень кутів акселерометра з формуванням сигналів управління маніпулятором.

.        Проведено порівняльний аналіз акселерометрів і встановлені оптимальні характеристики для використання в системі керування, а саме: прискорення: 1.5 - 2g, чутливість: 21.33 - 32LSB/g, Роздільна здатність: 10біт.

.        Розроблені структурна та електрична схеми системи копіюючого маніпулятора.

.        Виготовлено експериментальний зразок системи.

.        Проведено тестування маніпулятора та його налагодження. Експериментальний маніпулятор продемонстрував такі показники по підйому ваги, а саме, 162гр - максимальна підйомна вага плечової ланки маніпулятора, і 153гр при підйомі ваги ліктьовою ланкою.

.        Розроблено програмне забезпечення системи копіюючого керування маніпулятором.

.        Проведені випробування системи, за якими досягнута висока швидкість реакції на керуючі ланки маніпулятора, що визначається затримкою між зміною кута задаючою ланки, та моментом виконання команди на зміну кута маніпулятору, та складає велечину меншу ніж 16ms.

СПИСОК ВИКОРИСТАНИХ ДЖЕРЕЛ

1. Толмачёв Р. П. Система копирующего управления орбитальным манипулятором / Р. П. Толмачёв, М. М Милых // Материалы XV Международной молодежной научно-практической конференции «Человек и Космос» (10 апр. - 12 апр. 2013 г.). - Днепропетровск : Национальный центр аэрокосмического образования молодежи им. Макарова [и др.], 2013. - DVD, ISSN 2221-4550.

2. Frank L.Lewis , Darren M.Dawson , Chaouki T.Abdallah . Robot Manipulator Control Theory and Practice Second Edition, Revised and Expanded . Marcel Dekker, Inc. 2004.

3. K.Jayarajan, Manjit Singh. Master - Slave manipulators: Tehnology and recent developments. 2006.

4. Using an Accelerometer for Inclination Sensing by Christopher J.Fisher. (AN-1057.pdf)

5. Е.И. Юревич, Управление роботами и робототехническими системами, Санкт-Петербург 2000 .

Определение угла наклона акселерометром - <http://bitaks.com/resources/inclinometer/content.html>Data Sheet. - <http://www.analog.com/>

Похожие работы на - Розробка акселерометричної системи керування маніпуляторами

 

Не нашли материал для своей работы?
Поможем написать уникальную работу
Без плагиата!
Без нейросетей!