Решение инженерных задач с помощью программ Excel и Mathcad
КОНТРОЛЬНАЯ РАБОТА
по курсу
«Информатика»
Тема: «Решение инженерных задач с
помощью программ Excel и Mathcad»
Введение
Мы все являемся свидетелями того, как компьютеры на глазах изменяют нашу
жизнь.
Автоматические и научно-технические расчеты являются важной сферой
применения персональных компьютеров. Часто они выполняются с помощью программ.-
универсальный математический пакет, предназначенный для выполнения инженерных и
научных расчетов. Основное преимущество пакета - естественный математический
язык, на котором формируются решаемые задачи. Объединение текстового редактора
с возможностью использования общепринятого математического языка позволяет
пользователю получить готовый итоговый документ. Пакет обладает широкими
графическими возможностями, расширяемыми от версии к версии. Практическое
применение пакета существенно повышает эффективность интеллектуального труда.
Если же говорить об EXCEL, которая является одной из наиболее известных
программ обработки электронных таблиц, то без преувеличения можно утверждать,
что ее возможности практически неисчерпаемы. Лично я считаю, что такие
программы на сегодняшний день представляют собой один из наиболее мощных и
гибких инструментов, созданных для компьютера.
Возможности EXCEL очень высоки. Обработка текста , управление базами
данных - программа настолько мощна , что во многих случаях превосходит
специализированные программы - редакторы или программы баз данных. Такое
многообразие функций может поначалу запутать , нежели заставить применять их на
практике. Но по мере приобретения опыта начинаешь по достоинству ценить то ,
что границ возможностей EXCEL тяжело достичь.
Задание №1
Условие задания
Дана нелинейная функция f(x) согласно варианту. Требуется:
. Решить нелинейное уравнение вида f(x)=0 с помощью программы
Excel. Для этого необходимо выполнить следующие действия.
Провести табулирование функции f(x) на заданном интервале. Шаг
табуляции h=0.2. Оформить таблицу (рамки, названия столбцов и т.п.).
Построить график функции f(x).
По графику определить приближенные значения корней уравнения f(x)=0 и
точек экстремума функции. Этот этап называется «локализация корней и
экстремумов». На нем необходимо обязательно задавать начальное приближение того
значения аргумента, вблизи которого имеется корень или экстремум. В ходе
последующего использования имеющихся процедур осуществляется уточнение значения
аргумента (соответствующего нужному корню или экстремуму). Поэтому для каждого
корня или экстремума обязательно должно быть задано свое начальное приближение.
С помощью процедуры «Подбор параметра» определить уточненные значения
корней уравнения f(x)=0. Точность реализации этого этапа можно
настроить, используя меню «Параметры». Результат записать с точностью 5 знаков
после запятой.
. С помощью надстройки «Поиск решения» Excel найти экстремумы функции f(x).
Выделить в таблице цветом точки корней и экстремумов или привести в
соответствующих строках подписи рядом с таблицей («Корень 1», «Корень 2»,
«Максимум 1», «Минимум 2» и т.п.). Результат записать с точностью 5 знаков
после запятой.
. Решить это же нелинейное уравнение с помощью программы Mathcad. Для
этого необходимо выполнить следующие действия.
Построить график функции f(x).
По графику определить начальные приближения корней уравнения f(x).
Для каждого приближения определить уточненные значения корней уравнения.
Для этих целей могут быть использованы соответствующие функции Mathcad: «root»,
«find» и т.п. Результат записать с точностью 5 знаков после запятой.
. С помощью символьных вычислений в Mathcad найти производную функции f(x).
Найти экстремумы функции f(x) путем решения уравнения f'(x)=0 аналогично
пункту 3. Результат записать с точностью 5 знаков после запятой.
. Провести сравнение полученных результатов и сделать выводы об
эффективности Excel и Mathcad при решении задач нахождения корней нелинейного
уравнения и поиска экстремумов функции.
Решение
Дана функция
на интервале [-5;3] c
шагом 0.2. На основе полученной таблицы табуляции строим график функции f(x)(рис.
1.).
Рис. 1. Табуляция функции и построение графика в Excel.
1. На полученном графике определяем приближенные значения корней
уравнения.
Данные корни будут находиться в точках пересечения графика функции с осью
абсцисс, а также их приближенные значения можно определить по таблице табуляции
в строках, где значения в столбце y меняют свой знак. Получаем следующие
приближенные значения корней уравнения: -0.85,1.2,4.0.
. С помощью процедуры «Подбор параметра» определяем точное значение корня
для каждого приближенного значения. Получаем следующие значения корней
уравнения: x1=-0.903.x2=1.194, x3=3.709.
. Найдем в Excel экстремумы функции f(x). По графику видно, что
данная функция имеет одну точку экстремума (максимума) в районе x=2. Для
нахождения этого экстремума воспользуемся надстройкой «Поиск решения» и
настроим её согласно рис.2. Для функций такого типа (с разрывами) обязательно
нужно добавлять ограничения нижнего и верхнего значения аргумента, чтобы в
решении не оказалось бесконечное число, соответствующее точке разрыва.
Рис. 2. Настройка формы «Поиск решений» для точки максимума
. С помощью программы Mathcad построим график функции
(рис. 3). По графику определяем приближенные значения корней уравнения: -0.85,1.2,4.0.
Рис.4. График функции f(x), построенный в Mathcad
1. С помощью функции root
находим точные значения корней уравнения: x1=-0.903.x2=1.194, x3=3.709
2. Используя символьные вычисления Mathcad, найдем производную
3. Построим
график производной функции f(x). По графику определяем приближенное значение корня
. С помощью функции root также
находим точное значение корней уравнения.
Рис. 1.6. Нахождение корней уравнения и экстремумов функции с помощью
Mathcad
Задание №2
Условие задания
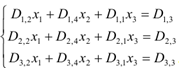
Даны матрицы A, B и С. Вычислить матрицу D по формуле . Задание выполнить
в Excel и Mathcad.
Решение
Даны матрицы A, B, и С. Вычислить матрицу D по формуле. Используя коэффициенты
полученной матрицы D решить систему
уравнений.
1. С помощью Excel
произведем расчеты матрицы D
(рис. 2.1).
Рис. 2.1. Вычисление матрицы D в Excel
Задание №3
Условие
задания
Система уравнений:
Решение
1. Решим полученную систему уравнений в Excel с помощью обратной матрицы (рис. 2.1). В результате
получим вектор решения:
Рис. 2.1. Решение системы линейных уравнений с помощью Excel
Проведем расчет матрицы D средствами Mathcad. Заполним матрицу коэффициентов
системы уравнений и найдем ее решение (рис. 7)

Задание №4
Условие задания
Дана таблично заданная функция - пары точек (xi,yi), для которых
необходимо сделать следующее:
С помощью программы Mathcad провести кусочно-линейную интерполяцию и
найти значения y.
Используя опцию “Добавить линию тренда” Excel, выполнить аппроксимацию
заданных точек, подобрав подходящие формы аппроксимирующих кривых по виду
графика.
Решение
Решим задачу с использованием Mathcad.
1. Проведем кусочно-линейную интерполяцию для заданных точек (xi,yi) и
определяем значение функции для указанных значений аргумента (рис. 10):
уравнение функция программа инженерная
Рис.10. Кусочно-линейная интерполяция в Mathcad
Рис.11 . Добавление на график аппроксимирующей линии (линии тренда).
. Проведем аппроксимацию точек с помощью Excel. Для этого сначала
заполним исходную таблицу точек и отметим эти точки на координатной плоскости.
Рис.12 . Наилучшая аппроксимирующая линия (линии тренда)
Задание №5
Условие задания
Найти экстремум функции двух переменных в Excel и Mathcad. Построить
график двухмерной поверхности в Excel и Mathcad. Сравнить результаты и сделать
выводы.
Решение
Рассмотрим функцию
1. Построим график функции в Mathcad (рис. 13).
. По графику определяем, что функция z имеет точку минимума.
. Воспользуемся блоком решения Mathcad и функцией Minimize. За начальное
приближение точки минимума возьмем x=0 и y=0. В качестве
ограничений укажем интервалы для x[-8;8] и y[-10;10].
. Получили решение x=4,257*10^-10; y=1-наименьшее значение в
заданной области определения (рис.14).
Рис.13. Построение поверхности в Mathcad
Рис.14 . Наименьшее значение в заданной области определения
Теперь выполним это же задания в Excel. Для этого сначала проведем
табуляцию функции на интервале по x [-8;8] и y[-10;10] (рис. 15).
Рис.15 . Табулирование функции 2-х переменных в Excel
На основе полученной таблицы строим поверхность (рис.16 ).
Рис.16 . График функции двух переменных в Excel
Задание № 6
Условие задания
Заданные экспериментальные значения (таблица1)
Определяем начальные значения параметров ωf и α. По графику (см. ниже) видно, что
период Tэкс прохождения грузом нулевого положения составляет приблизительно 8
единиц времени, fэкс=1/Tэкс, начальное значение ωf ≈ 2πfэкс = 0.01021034, принимаем ωf
= 0.01. Для γ
выбираем начальное
значение 0.08.
Решение
Решение задачи средствами Mathcad.
Решения задачи средствами MS Excel.
Заключение
Данная курсовая работа позволила мне более близко познакомиться с
программами MathCAD и MS Excel. Мной были рассмотрены способы
решения инженерных задач с использованием данных программ.
Задачи исследования были максимально реализованы т.к. в курсовой работе
были описаны все функции, используемые в системе MathCAD и MS Excel, и рассмотрена работа некоторых из
них на конкретных примерах.
Список использованной литературы
1. Бидасюк Ю.М. Mathsoft MathCAD 11. Самоучитель. - СПб: Диалектика, 2009. - 224 с.
2. Бутенков С.А. Методические указания к использованию
системы MathCad в практических занятиях по курсу
высшей математики. - Таганрог : ТРТУ, 1995. - 450 с.
. Гмурман В.Е. Теория вероятностей и математическая
статистика. Учебное пособие для ВУЗов. - М.: Высшая школа, 1972. - 368 с.
. Кудрявцев В.М. MathCAD 8. - М.: ДМК, 2010. - 320 с.
. Плис А.И. MathCAD 2000: Математический практикум для экономистов/ А.И.Плис,
Н.А.Сливина. - М.: Финансы и статистика, 2000. - 656 с.
. Шушкевич Г.Ч. Введение в MathCAD 2000: Учебное пособие / Г.Ч. Шушкевич, С.В. Шушкевич.
- Гродно: ГрГУ, 2001. - 138 с.
7. MathCAD 6.0 PLUS.
Финансовые, инженерные и научные расчеты в среде Windows 95./Перевод с англ. - М.: Информационно-издательский
дом «Филин», 1996. - 712 с.