Разработка программы управления сетью оборудования связи Morion-Q2

  • Вид работы:
    Дипломная (ВКР)
  • Предмет:
    Информационное обеспечение, программирование
  • Язык:
    Русский
    ,
    Формат файла:
    MS Word
    165,04 Кб
  • Опубликовано:
    2013-10-28
Вы можете узнать стоимость помощи в написании студенческой работы.
Помощь в написании работы, которую точно примут!

Разработка программы управления сетью оборудования связи Morion-Q2

АННОТАЦИЯ

В данном дипломном проекте рассмотрен вопрос организации управления сетью оборудования связи с помощью персонального компьютера по интерфейсу серии F.

В главе 2 рассмотрены общие принципы построения цифровых систем передачи, их иерархия и достоинства.

В главе 3 приведено описание оборудования гибкого мультиплексирования ОГМ-30Е, принцип его работы. Рассмотрено несколько вариантов использования.

Глава 4 посвящена описанию сети и взаимодействия персонального компьютера с сетью оборудования связи. Рассмотрены интерфейсы взаимодействия. Также приведено описание программы управления сетью и её основных возможностей.

Экономическое обоснование проекта приведено в главе 5. Произведены расчёты, подтверждающие экономическую целесообразность производства программного продукта и его применения.

Вопросы охраны труда описаны в главе 6. Рассмотрены вредные факторы, воздействующие на оператора ЭВМ, их влияние на организм человека. Приведены требования к организации рабочего места оператора ЭВМ. Произведён расчёт освещённости рабочего места.

THE ANNOTATION

the given degree project the problem of management organization of the network of equipment of link with the help of personal computer on the interface F is considered.chapter 2 the common principles of construction of digital systems of transmission, their hierarchy and their advantages are considered.are in chapter 3 the description of the equipment OGM-30E, principle of its work. Some variants of use are considered.4 is devoted to the description of the network and interaction of the personal computer with the network of the equipment of link. The interfaces of interaction are considered. The description of a software the network management and it of main possibilities also is indicated.economic substantiation of the project is indicated in chapter 5. The accounts confirming an economic effectivity of production of a software and its using are made.problems of protection of a transactions are circumscribed in chapter 6. The harmful factors effecting on an operator of the computer, their influence to an organism of the person are considered. The requirements to organization of a job of an operator of the computer are indicated. The account of light exposure of a job is made.

ВВЕДЕНИЕ

Сегодня самым большим и бурно развивающимся сектором мировой экономики является рынок телекоммуникаций. По данным компании Anderson Consulting [8], общий объём его в 1994 году составил 700 млрд. долл., а к 2000 г. прогнозируется его удвоение. И хотя основной вклад в эти миллиарды вносят оплата телекоммуникационных услуг и продажа оборудования, по темпам роста впереди всех должен оказаться сектор систем управления телекоммуникациями.

Так, компания Vertel - один из лидеров в области платформ управления для телекоммуникационных систем - утверждает, что оборот этого сектора рынка к 2000 г. должен вырасти до 8 млрд. долл., что по сравнению с 500 млн. долл. в 1995 г. даёт 16-кратное увеличение.

Деятельность любой организации, независимо от ее размера, немыслима без связи. Результат деятельности любого предприятия напрямую зависит от четкой координации действий, а это возможно лишь при наличии хорошо налаженного взаимодействия со своими подразделениями и с окружающим деловым миром. По оценкам специалистов руководители организаций 20-40 % рабочего времени тратят на телефонные переговоры. Надежная связь особенно важна для организаций, занятых в экономической сфере.

В настоящее время идет активная компьютеризация практически всех сфер человеческой деятельности. При этом все большее значение приобретает передача данных и различные услуги, предоставляемые с ее помощью.

Все более активную роль играют телематические службы, представляющие собой взаимоувязанную совокупность сетей и служб электросвязи, средств вычислительной техники, информационных ресурсов и бытовой электронной техники. Под электросвязью следует понимать, согласно [14], всякую передачу или приём знаков, сигнала, письменного текста, изображений, звуков по проводной, радио-, оптической и другим электромагнитным системам. К числу наиболее популярных услуг телематических служб относятся: факсимильная связь, электронная почта, аудиоконференции, электронная доска объявлений.

Из служб передачи данных следует отметить передачу двоичных и текстовых файлов (документооборот) и взаимодействие с базами данных (БД).

Потребность в передаче данных и телематических службах в настоящее время имеется у 80-90 % организаций и предприятий. Основная их часть удовлетворяется путем передачи данных по телефонным сетям общего пользования, часть по арендованным каналам.

В развитии сетей связи в настоящее время хорошо заметны две основных тенденции:

увеличение эксплуатационной гибкости;

повышение интеллектуальности.

С учетом тенденций дальнейшее совершенствование сетей будет ориентироваться на применение цифровых методов обработки информации.

Цифровые системы передачи (ЦСП) находят все более широкое распространение. Развитие ЦСП объясняется существенными преимуществами этих систем по сравнению с аналоговыми системами передачи. Основными преимуществами ЦСП являются следующие [1].

Высокая помехоустойчивость. Представление информации в цифровой форме, т.е. в виде последовательности символов с малым числом разрешенных значений и детерминированной частотой следования, позволяет осуществлять регенерацию этих символов при передаче их по линии связи, что резко снижает влияние искажений и помех на качество передачи информации. Это обеспечивает возможность использования ЦСП на тех линиях связи, на которых аналоговые системы работать не могут.

Возможность многократного воспроизведения информации без ухудшения качества. При аналоговых методах записи звука или изображения каждое воспроизведение вызывает необратимое ухудшение качества записи, а затем и потерю информации. При цифровых методах записи информации возможно периодически восстанавливать исходное качество записи.

Независимость качества передачи от длины линии связи. Благодаря регенерации передаваемых сигналов искажения в пределах регенерационного участка ничтожны. Таким образом качество передачи практически не зависит от длины линии связи.

Стабильность параметров каналов ЦСП. Стабильность параметров каналов определяется в основном устройствами обработки информации в аналоговой форме. Поскольку такие устройства составляют незначительную часть аппаратурного комплекса цифровых систем передачи, стабильность параметров каналов в таких системах значительно выше, чем в аналоговых системах.

Более простая математическая обработка передаваемых сигналов. Цифровая форма представления информации позволяет производить различные виды математической обработки сигналов, направленной как на устранение избыточности в исходных сигналах, так и на перекодирование передаваемых сигналов. В результате исходная скорость, например, цифрового телевизионного сигнала, равная 114Мбит/сек, может быть уменьшена до 35Мбит/сек, а скорость цифрового телефонного сигнала (при некотором ухудшении качественных характеристик канала) - до 32 Кбит/сек.

Возможность построения цифровой сети связи. Цифровые системы передачи в сочетании с оборудованием коммутации цифровых сигналов являются основой цифровой сети связи, в которой передача, транзит и коммутация сигналов осуществляются в цифровой форме. Отношение сигнал-шум, обеспечиваемое в оборудовании транзита и коммутации, является достаточно высоким. Следовательно, параметры каналов практически не зависят от структуры сети, что обеспечивает возможность построения гибкой разветвленной сети связи, обладающей высокой надежностью.

Высокие технико-экономические показатели. Большой удельный вес цифрового оборудования в аппаратурном комплексе цифровых систем передачи определяет особенности изготовления, настройки и эксплуатации таких систем. Высокая стабильность параметров каналов ЦСП устраняет необходимость регулировки узлов аппаратуры, в частности узлов линейного тракта в условиях эксплуатации, что существенно повышает технико-экономические показатели цифровых систем. Высокая степень унификации узлов также упрощает эксплуатацию систем и повышает надежность оборудования.

Современное абонентское устройство (цифровой телефон, компьютер, телексный аппарат и т.д.) имеет выходные интерфейсы для подключения к цифровому каналу передачи информации. Коммутация цифровых каналов осуществляется с помощью цифровых элементов под управлением процессорных систем. Таким образом, существует возможность построения полностью цифровых систем связи. Такие системы, в соответствии с рекомендациями МККТТ, называются ISDN (Integrated Services Digital Network) - цифровая сеть с интеграцией обслуживания.

При внедрении ISDN необходима полная замена аналоговых устройств, работающих в составе сети, цифровыми, что требует больших капиталовложений. Таким образом, применительно к нынешним экономическим условиям в России, широкое распространение сетей ISDN не представляется возможным. Однако на современном этапе развития экономики возникло множество достаточно крупных коммерческих структур (частные предприятия, торговые фирмы, банки, страховые компании и т.д.), для которых характерно пространственное рассредоточение филиалов. При этом, по роду их деятельности, эти предприятия должны иметь устойчивую, скоростную систему связи, обеспечивающую взаимодействие между удаленными друг от друга отделами.

Системы связи проектируются, как правило, на базе оборудования ИКМ, установленного на АТС (аренда цифровых каналов) и малоканальных цифровых систем (ИКМ-4-4), обеспечивающих связь от АТС до пользователя. В этих системах используется принцип импульсно-кодовой модуляции (ИКМ), обеспечивающий скорость передачи данных по каналу 64 Кбит/с. Европейская иерархия цифровых систем передачи информации описана в рекомендациях МККТТ (раздел G). Минимальная первичная скорость передачи в европейской иерархии составляет 2048 Кбит/с, что дает возможность объединить в первичную группу до 31 канала со скоростью передачи 64 Кбит/с.

Выпускаемое в настоящее время оборудование разрабатывалось для взаимодействия между АТС и предусматривало постоянное присутствие обслуживающего персонала. Вместе с тем заказчики локальных систем связи требуют обеспечения контроля работоспособности и тестирования всей сети из одной точки. Это создает предпосылки для разработки систем контроля и тестирования оборудования и каналов связи. Аналогичные требования предъявляются и к системам проектируемым на оборудовании более высоких ступеней иерархии (ИКМ-120, ИКМ-480).

Очевидно, что построение цифровой сети является сложной задачей, решение которой требует длительного времени и больших капиталовложений. Эту задачу, с той или иной степенью успеха, в местных и городских сетях решает аппаратура ИКМ-30, образующая первичную ЦСП иерархического ряда МККТТ. Аппаратура предназначена для работы по симметричным кабелям типа Т и ТПП, проложенным между городскими АТС или между АТС и АМТС (автоматическими междугородними телефонными станциями). С ее помощью организуется 30 каналов в каждом направлении передачи. Структура группового сигнала ИКМ-30 соответствует рекомендации МККТТ G.732.

На сегодняшний день эта аппаратура широко применяется в качестве одного из основных компонентов в системе передачи современных АТС. А сама аппаратура ИКМ-30 имеет множество модификаций и серийно выпускается различными предприятиями, специализирующихся на изготовлении аппаратуры связи.

Одним из таких предприятий является ОАО “Морион”, основным направлением деятельности которого является разработка и выпуск аппаратуры ИКМ-30 и альтернативного ее варианта - оборудования ОГМ-30, полностью являющегося разработкой специалистов предприятия.

Оборудование гибкого мультиплексирования ОГМ-30 предназначено для работы на телефонных сетях и обеспечивает трансляцию речевых сигналов, линейных сигналов и сигналов управления между аналоговой АТС и цифровой АТС (или АМТС) через аналоговую и цифровую системы передач.

Аппаратура предназначена для уплотнения всех видов линий: кабельных, волоконно-оптических и радиорелейных.

Оборудование ОГМ-30 обладает всеми возможностями ИКМ-30 и, сверх этого, целым рядом значительных преимуществ:

- снижение номенклатуры различных функциональных блоков;

высокая гибкость, широкие возможности реконфигурирования;

возможность непосредственного управления и контроля за любым каналом: введение сигнальных частот, речевых сообщений, мониторинг;

удобная индикация;

согласование любых принятых систем сигнализации;

возможность объединения нескольких блоков ОГМ-11 в единую сеть, управляемую РС;

современная элементная база;

и др.

На сегодняшний день ОГМ-30 является полностью законченной разработкой, но в связи с появлением новейшего технического базиса открываются многие дополнительные возможности по совершенствованию изделия. Так, например, в связи с постоянным обновлением базиса, появляются новые возможности по уменьшению места, занимаемого каждым функциональным узлом. И, как следствие , появляется возможность расположить на одной плате то, что раньше располагалось на нескольких. Таким образом, вопрос развития и совершенствования техники электросвязи, как базы для реализации различных цифровых технологий, создания аппаратуры передачи данных является актуальным. Существует потребность в новых системах контроля оборудования и каналов связи, позволяющих непрерывно контролировать используемый канал, вести протокол сбойных ситуаций во времени, обеспечивать стандартную стыковку с оборудованием связи. Не менее актуален и вопрос создания программного обеспечения, позволяющего быстро и просто настраивать оборудование (менять алгоритмы работы, настройки блоков), эффективно управлять им. Программное обеспечение (ПО) должно обладать дружественным оператору интерфейсом.

К программному обеспечению, согласно [3], предъявляются следующие требования:

пакет программ должен обеспечивать выполнение всех основных функций системы, а также позволять наращивать себя для выполнения специальных задач, появление которых возможно в новых видах оборудования ЦСП;

программное обеспечение не должно предъявлять к оператору требований специальных знаний конфигурации сети связи, принципов ее функционирования и контроля;

пакет программ должен быть универсальным и не должен включать в себя конкретные данные о составе и конфигурации обслуживаемых ЦСП. Эти данные должны содержаться на репрограммируемых (или допрограммируемых) постоянных запоминающих устройствах в виде таблиц констант, кодирующих структуру и численные параметры сети. Необходимо иметь возможность ввода или модификации этих таблиц непосредственно с пульта системы без отключения аппаратуры от сети связи. В настоящее время все более широко применяется GUI (Graphics User Interface) - графический интерфейс пользователя. Его применение позволяет сделать программы более наглядными, привлекательными и понятными. Применение различных изображений позволяет существенно снизить объем письменной информации, без потери информационной содержательности. Одно изображение способно порой заменить целое предложение.

Таким образом, из выше сказанного, можно сделать вывод, что дальнейшее развитие оборудования связи должно идти в направлении совершенствования цифровых систем, придания им большей гибкости, уменьшения габаритов, повышения контролепригодности как на этапе изготовления, так и на этапе эксплуатации. К 2005 году доля основных цифровых каналов (ОЦК), реализованных с помощью ЦСП должна составить: на магистральных первичных сетях - более 50%, на внутризоновых первичных сетях - 90%, на городских первичных сетях - 90%, на сельских первичных сетях - 85% [14].

Современная система связи должна обеспечивать возможность собирать информацию о себе и управлять собой из одной точки с помощью компьютера. Отсюда возникает необходимость сопровождения систем программным обеспечением, способным обеспечивать реализацию всех возможностей системы, и обладающим простым, дружественным человеку-оператору интерфейсом.

1. АНАЛИТИЧЕСКИЙ ОБЗОР

1.1 Система сигнализации и обслуживания аппаратуры ИКМ

Для систем связи, организованных на базе ИКМ, разработана и эксплуатируется с 1985 года система сигнализации и обслуживания. Основным блоком системы является блок УСО-01(02) (УСО - унифицированное сервисное оборудование). В дополнение к нему может использоваться блок ТСО-11 (оборудование телеконтроля и служебной связи).

Система сигнализации и обслуживания позволяет взаимодействовать со 99 блоками аппаратуры ИКМ-30-4 и обеспечивает [2]:

цифровую индикацию сигнальной информации;

контроль исправности оборудования, локализацию неисправностей и отображение аварийных ситуаций;

контроль установления соединений по соединительным линиям;

возможность определения телефонной нагрузки;

управление блокировкой и разблокировкой соединительных линий;

организацию и управление каналами служебной связи;

управление системой телеконтроля;

измерение достоверности линейных сигналов электросвязи;

передачу всей аварийно-контрольной информации через дополнительное оборудование в центр технического обслуживания (ЦТО);

прием управляющих команд от ЦТО и их выполнение.

УСО осуществляет контроль коэффициента ошибок в сигнале на выходе РС и отображает его по следующим градациям: 10-5, 10-6, 10-7, 10-8, сбой, отсутствие сигнала, а также измеряет число ошибок за произвольный промежуток времени.

В системе применена шинная организация обмена информацией с блоками аппаратуры ИКМ с временным уплотнением шин. Взаимодействуя по данным шинам, УСО опрашивает состояние всех блоков, и позволяет, в случае неисправности, определить и отобразить на индикаторе место неисправной платы блока. Часть шин задействована на контроль напряжения питания оборудования и анализ сигналов аварий, вырабатываемых в блоках аппаратуры ИКМ. Часть обеспечивает получение информации от оборудования линейного тракта (ОЛТ) об ошибках в принимаемом сигнале электросвязи.

Обмен информацией между блоком УСО-01 и контролируемым оборудованием осуществляется следующим образом.

Данные от блока УСО-01 (сигналы запроса и управления) передаются в синхронном режиме по двум шинам со скоростью 128 Кбит/с. Формат сигнала представлен на рис. 1.1.

Рис. 1.1 Формат сигнала на стыке 128 Кбит/с.

«Номер» - код набранного с тестатуры номера. Биты Р0-Р3 передают младшую цифру, Р4-Р7 - старшую.

«Команда» - код передаваемой команды, если МК=1, либо, если МК=0 - код номера запроса.

МК - метка команды;

Е2 - бит формирования четной суммы единиц в байтах 2 и 3;

Е3 - бит формирования нечетной суммы единиц по байтам 1,2 и 3.

«Адрес» - код адреса блока.

По каждому адресу может быть передано до 16-ти запросов или команд, обозначаемых от Z00 до Z15. Информация «Номер» , передаваемая в байте 1, совместно с командой в байте 2, имеет смысл операнда команды.

Ответы блоков аппаратуры ИКМ к блоку УСО-01 передаются пакетами по 4 байта в синхронном режиме по двум шинам со скоростью 64 Кбит/с с использованием квазитроичного кода. Ответы о выполнении команд передаются в ответах на те запросы, номера которых совпадают с кодом команды. Например, ответ о включении НЧ служебной связи (команда 06) передается в ответе на запрос Z06.

Блок УСО-01 автоматически опрашивает все подключенные к нему блоки, посылая в каждый блок запрос Z00, т.е. находится в основном режиме - режиме обзора. За один цикл обзора (от адреса 01 до 99) только по одному адресу, в случае появления на нем аварийной ситуации, посылаются все запросы (Z01- Z14). Этим ускоряется обработка аварийной информации и ускоряется выдача оптических и акустических аварийных сигналов. Команда 15 означает общий сброс всех команд. Адрес 00 зарезервирован для получения информации о каналах и управления их блокировкой.

Длительность полного цикла обзора составляет около 100 мс. Когда приходит ответ на запрос Z01-Z14, на индикаторе отображается номер платы с которой пришел ответ и «Ответ» из байтов 1 и 2. После этого выдача новой информации на индикаторы блокируется примерно на 2 с. В течение этого времени во все блоки посылается только запрос Z00, в ответе на который содержатся символы, определяющие включение оптической и акустической сигнализации.

По окончании времени индикации начинается поиск следующего аварийного блока, начиная с адреса, непосредственно следующего за адресом блока, информация о котором была выдана на индикаторы. Таким образом обеспечивается индикация в течение 2 с информации обо всех неисправных блоках ряда.

Формирование информации «Ответ», а также прием команд управления производится платами контроля и сигнализации (КС), находящимися на блоках. Платы КС разных блоков имеют разные структуры, но наряду с этим содержат и однотипные функциональные узлы (приемник сигналов от блока УСО-01, передатчик сигналов блоку УСО-01, анализатор принятого пакета информации и т.д. ).

Команды управления от блока УСО-01, принимаемые платами КС, направляются в платы данного блока для исполнения.

Режим работы блока УСО-01 может быть задан вводом команд с тестатуры или внешних управляющих устройств.

Таким образом, система телеконтроля позволяет определить:

номер неисправного линейного регенератора без отключения линейного тракта;

номер участка обрыва цепи дистанционного питания;

номер необслуживаемого регенерационного пункта, в котором понижено избыточное давление.

Система телеконтроля работает по принципу определения ошибок (сбоев) в передаче сигналов элетросвязи на выходе каждого регенератора. Информация об ошибках (сигнал ответа) передается по паре служебной связи в УСО-01, где производится определение правильности передачи.

Краткое описание системы сигнализации и обслуживания дает представление о том, что данное устройство достаточно полно и наглядно характеризует состояние контролируемого объекта, но вместе с тем обладает рядом недостатков:

1.  Невозможность протоколирования сбойных ситуаций во времени и, следовательно, необходимость постоянного присутствия обслуживающего персонала у оборудования. Отсутствие такой возможности не позволяет вести долговременный автоматический контроль за аппаратурой связи с записью аварийных ситуаций и времени их наступления.

2.  Отсутствие постоянного контроля качества канала связи. Блок УСО-01 позволяет обнаружить обрыв в линейном тракте, определить коэффициент ошибок в передаваемом сигнале электросвязи, но он не может постоянно посылать и принимать тестовую последовательность по каналу связи, сравнивать посланное и принятое, ведя при этом протокол ошибок во времени. Такая возможность необходима при наладке системы связи перед введением ее в эксплуатацию и при эксплуатации, если требуется постоянный контроль качества канала. По распределению ошибок во времени можно судить о возможных причинах их появления и вовремя их устранить.

3.  Малая гибкость системы. УСО разрабатывалось только для контроля аппаратуры связи ИКМ, поэтому оно не предусматривает возможность легкой адаптации к другим задачам, таким, как сбор информации об окружающей среде, обмену данными с персональным компьютером и др.

4.  Реализация на устаревшей элементной базе. Блоки УСО-01 и ТСО-11 разработаны и введены в производство в 1985 г. Это обусловило их реализацию на транзисторах и микросхемах средней степени интеграции. Это привело к большим габаритам системы (габариты УСО-01 599‘238‘223 мм3), ее невысокой надежности, большому объему технологических работ при ее изготовлении.

1.2     Зарубежная аппаратура контроля оборудования и каналов связи

В качестве альтернативного варианта рассмотрим переносной анализатор аппаратуры и каналов связи ИКМ-30 (РА-41) - разработку ведущей германской фирмы «Wandel&Golterman», занимающейся приборостроением.

Прибор РА-41 появился на мировом рынке в 1995 г. С помощью данного анализатора можно непосредственно включаться в цифровой поток 2048 Кбит/с. и осуществлять его контроль. Эта возможность в случае приема данного потока позволяет:

· вести контроль работы аналого-цифрового оборудования (АЦО) противоположной стороны по циклу и сверхциклу (при этом возможен контроль как в режиме реального времени, так и ведение протокола событий);

· проконтролировать сигналы управления и взаимодействия (СУВ) всех временных каналов в статистическом режиме и режиме реального времени;

· снять временные диаграммы сигналов СУВ;

· измерить частоту и уровень принимаемого сигнала;

· прослушать любой НЧ канал.

В случае передачи цифрового потока РА-41 позволяет:

· сформировать заданный цифровой сигнал по циклу и сверхциклу;

· ввести в цифровой сигнал ошибки;

· сформировать цифровую последовательность любого временного канала с заданной частотой, уровнем и количеством ошибок;

· задать любую последовательность СУВ.

В режиме тестирования цифрового канала анализатор может: подать в канал связи сигнал любой частоты с любыми ошибками (возможен псевдослучайный поток), принять данный сигнал, сравнить переданный и принятый сигналы, составить протокол ошибок или вывести их на дисплей в реальном времени. Конструктивно прибор РА-41 выполнен в виде блока размером 250 300 150 мм3. На верхней панели блока расположен жидкокристаллический индикатор, позволяющий отображать информацию как в текстовом, так и в графическом виде.

Анализатор РА-41 имеет возможность наращивания свих способностей за счет подключения внешнего ППЗУ, выполненного в виде пластиковой карты. Подключение таких карт позволяет осуществлять дистанционное управление прибором по двухмегабитному потоку, вести телефонный разговор, включаясь в поток и др. Прибор РА-41 имеет стандартный внешний интерфейс RS-232 для подключения к ЭВМ.

Из вышесказанного можно сделать вывод, что разработка фирмы «Wandel&Golterman» отвечает требованиям, предъявляемым к аппаратуре контроля. Но вместе с тем данный прибор является узко специализированным (аппаратура ИКМ-30, анализ двухмегабитного потока), предназначенным для работы специалистов связи, и не предназначенным для стационарного включения в интегрированные системы связи.

Таким образом, использование данного оборудования для обслуживания систем связи во время их эксплуатации является нецелесообразным, ввиду его высокой сложности и, следовательно, очень высокой стоимости.

Вывод

Недостатки рассмотренных систем потребовали создания нового оборудования контроля и тестирования каналов связи, обладающего достаточными способностями контроля, обеспечивающего устранение указанных недостатков и имеющего сравнительно низкую стоимость.

В свою очередь, создание данной аппаратуры, а точнее реализованные в ней новые возможности, привели к необходимости организации взаимодействия между аппаратурой и ЭВМ. Таким образом, разработка аппаратно-программного комплекса интерфейса серии F оборудования гибкого мультиплексирования ОГМ-30Е, является актуальной задачей.

2. ЦИФРОВЫЕ СИСТЕМЫ ПЕРЕДАЧИ ИНФОРМАЦИИ

2.1 Принципы построения систем передачи

Любая информация передается через физическую среду с помощью технических устройств. Такой средой могут быть кабель, радиорелейные линии, оптический кабель, воздушные линии и др. Наибольшее распространение получили кабельные и радиорелейные линии, а в последнее время начал использоваться оптический кабель.

Относительно высокая стоимость линейных сооружений и кабеля обусловливает необходимость их наиболее эффективного использования, что осуществляется с помощью систем передачи.

Системы передачи обеспечивают высококачественную и надежную передачу по одной линии большого числа однородных или разнородных (телефонных, телеграфных, факсимильных и измерительных сигналов, текстов центральных газет, сигналов дискретной информации телеуправления в автоматизированных системах управления). Вопрос создания и совершенствования высокоэффективных систем передачи является на данный момент весьма актуальным.

Использование методов многоканальной электросвязи при построении систем передачи позволяет организовать большое число одновременно действующих каналов передачи, практически независимых друг от друга, по которым можно передавать информацию самого различного вида.

Суть этих методов состоит в том, что сообщения от различных источников информации объединяются, образуя групповой сигнал, который передается по линии связи [4]. В приемнике групповой сигнал разделяется на индивидуальные сигналы, поступающие к получателям сообщений.

В настоящее время в технике телефонной связи широко применяется многоканальная аппаратура, основанная на разделении абонентских сигналов по частотному и временному признаку [5].

При частотном группообразовании каждый исходный сигнал путём модуляции сдвигается по частоте с целью получения совокупности сигналов, непересекающихся в частотной области [9]. При временном группообразовании сигналы дискретизируются с целью получения совокупности сигналов разнесённых во времени.

При частотном разделении каждому каналу системы предоставляется определенный участок частотного диапазона. По линии связи все разнесенные по частоте абонентские сигналы передаются одновременно.

Системы, использующие принцип одновременной передачи сигналов, занимающих не перекрывающиеся полосы частот, получили название систем частотного уплотнения, или систем с частотным делением каналов (системы ЧД).

В многоканальных системах с временным делением каналов (системы ВД) осуществляется поочерёдная передача сигналов по линии связи от различных источников сообщений. Полоса частот линейного тракта во время передачи сигналов от каждого источника используется полностью.

Сообщения, для передачи которых предназначены системы связи, делятся на непрерывные и дискретные.

К непрерывным относятся, например, речевые, музыкальные, телевизионные и некоторые другие. Непрерывные сообщения характеризуются бесчисленным (несчетным) множеством возможных значений.

В отличие от непрерывных, дискретными называют такие сообщения, множество различных значений которых конечно или, по крайней мере, счётно. Примерами дискретных сообщений служат буквенные и цифровые тексты, данные телеконтроля и т. д.

Передача информации всегда осуществляется с помощью модуляции, т. е. путем управления одним или несколькими параметрами переносчика информации в соответствии с передаваемым сообщением. Переносчик информации может быть непрерывным во времени (например, гармонические колебания несущей частоты) или дискретным (например, последовательность импульсов).

Если переносчик информации непрерывен во времени, а его модулируемый параметр изменяется непрерывно в соответствии с характером передаваемого сообщения, то такой метод модуляции называют аналоговым, а систему передачи непрерывных сообщений - аналоговой.

Если система передачи использует дискретный переносчик информации (импульсную несущую), а модулируемый параметр меняется непрерывно, то её называют импульсно-аналоговой. Например, в системах с амплитудно-импульсной модуляцией (АИМ), амплитуда импульсов изменяется непрерывно, в соответствии с изменением модулирующего воздействия.

В последнее время для передачи непрерывных сообщений широко используется метод импульсно-кодовой модуляции (ИКМ) [1]. Речевые и другие непрерывные сигналы в аппаратуре с ИКМ преобразуются в дискретные.

При этом, во-первых, осуществляется дискретизация сигналов по времени, т. е. непрерывный сигнал заменяется совокупностью его дискретных отсчётов. Во-вторых, непрерывное множество значений сигнала заменяется дискретным множеством значений, разрешенных для передачи. Эта операция называется квантованием или дискретизацией по уровню, а разрешенные значения сигнала - уровнями квантования. В-третьих, полученные уровни квантования кодируются. Под кодированием понимается процесс преобразования квантованных по уровню отсчётов сигнала в последовательность кодовых групп. Кодовая группа представляет собой совокупность импульсных посылок, выражающих некоторое число, например порядковый номер уровня квантования, в определенной системе счисления (чаще всего - в двоичной системе). Закон, по которому осуществляется кодирование, называется цифровым кодом.

Таким образом, в системах связи с ИКМ, непрерывный сигнал от источника информации для передачи по линии связи преобразуется в цифровую последовательность. На приемной станции производится обратное - цифро-аналоговое преобразование сигналов. Систему связи с ИКМ можно назвать цифровой системой передачи непрерывных сообщений.

Аппаратура цифровых систем передачи состоит из оборудования формирования и приема цифровых сигналов, а также аппаратуры линейного тракта. Цифровой сигнал формируется в оконечном оборудовании, куда поступают аналоговые и цифровые сигналы.

В зависимости от вида сигнала в оконечное оборудование устанавливается аппаратура, осуществляющая АЦП либо ЦАП. Структура ЦСП приведена на Рис. 2.1.

Рис. 2.1 Структура ЦСП

Аналоговые сигналы преобразуются в цифровые в оконечном оборудовании (ОК). На выходе ОК формируется цифровой поток для включения в первичный цифровой сигнал. В оборудовании временного группообразования ОВГ формируется первичный цифровой сигнал.

Современные цифровые системы связи позволяют производить обработку потоков данных в различных узлах сетей связи (гибкие мультиплексоры). Существует три основных способа применения гибких мультиплексоров: кросс-мультиплексор, мультиплексор ввода-вывода и оконечный мультиплексор.

Кросс-мультиплексор представляет собой устройство, предназначенное для перераспределения цифровых каналов нижней ступени иерархии между двумя потоками верхней ступени иерархии. Например, выделить из потока 2048 Кбит/с поток 64 Кбит/с и включить его в другой поток 2048 Кбит/с (Рис. 2.2).

Рис. 2.2 Кросс-мультиплексор

Мультиплексор ввода-вывода (drop-insert) позволяет осуществлять ввод/вывод отдельных каналов передачи данных в/из группового сигнала на промежуточных пунктах линии передачи, а не в узлах сети связи. В буквальном переводе «режим разделения-сборки». (Рис. 2.3.)

Рис. 2.3 Мультиплексор ввода-вывода

Оконечный мультиплексор (рис. 2.4.) предназначен для выполнения функций индивидуального и группового оборудования (аналого-цифрового цифро-аналогового преобразования, кодирования/декодирования и формирования разделения группового сигнала). Эта аппаратура может также использоваться в качестве каналообразующей для цифровых систем передачи более высоких порядков.

Рис. 2.4 Оконечный мультиплексор

В системах с ИКМ, как и в других системах связи, возможно использование различных способов разделения канальных сигналов. Наибольшее развитие на практике получили системы ВД-ИКМ и ЧД-ИКМ. В системах ВД-ИКМ операциям дискретизации по времени, квантования по уровню и кодирования подвергаются поочередно сигналы каждого из каналов. Кодовые группы отдельных каналов также передаются поочередно, в разные промежутки времени. В системах ЧД-ИКМ операциям дискретизации, квантования и кодирования подвергается групповой телефонный сигнал, сформированный из канальных сигналов по принципу частотного уплотнения. Кодовые группы в этом случае также следуют поочередно друг за другом, но они соответствуют отсчётам группового телефонного сигнала. После декодирования цифрового сигнала и демодуляции здесь необходимо разделить канальные сигналы по частоте.

Важнейшим преимуществом ЦСП является их высокая помехоустойчивость, связанная с цифровым представлением аналоговых сигналов. Устройства регистрации цифровых сигналов достаточно просты, что обеспечивает возможность частой расстановки регенераторных (восстанавливающих сигнал) пунктов вдоль линии связи. Регенерация позволяет «очистить» цифровой сигнал от воздействовавших на него помех и искажений, благодаря чему появляется возможность использования существующих линий связи без предъявления к их электрическим характеристикам таких жестких требований, какие необходимы для работы аналоговых систем.

Перед передачей цифровые сигналы объединяют. Временным группообразованием (ВГ) [6] называется процесс, при котором цифровые сигналы объединяются в составной сигнал с соответственно большей скоростью передачи, а на приемном конце составной сигнал разделяется на составляющие.

Существуют три способа объединения цифровых сигналов, представляющих двоичную последовательность: чередование символов (посимвольное объединение), канальных временных интервалов и циклов. Наибольший интерес представляют первые два способа.

Посимвольное объединение, при котором объединяются поочередно символы каждого канала, имеет ряд преимуществ: структура ступени ВГ высшего порядка не зависит от структуры цикла ступени ВГ низшего порядка, равномерно распределены информационные символы в цикле составного цифрового сигнала.

При чередовании канальных интервалов объединяются группы символов каждого канала поочередно. Разделение составного сигнала на составляющие, строго соответствующие исходным каналам, обеспечивается при условии синхронной работы передающей и приемной аппаратуры временного группообразования. Выполнение условий синхронной работы обеспечивается выделением тактовой частоты в приемной аппаратуре и цикловой синхронизацией.

Цикл состоит из определенного числа временных интервалов составного цифрового сигнала и фиксированной цифровой последовательности, которая называется синхросигналом. Благодаря определенной комбинации символов синхросигнала последний опознается в приемном оборудовании. Потеря синхросигнала из-за помех и неисправностей в системе передачи приводит к выходу из циклового синхронизма, из-за чего, в свою очередь, нарушается процесс разделения составного сигнала и появляются ошибки в тракте. Одновременно может “разрушиться” цикловая синхронизация объединяемых потоков. Время восстановления синхронизации или вхождения в цикловой синхронизм является важным критерием оборудования временного группообразования. Время восстановления циклового синхронизма в оборудовании временного группообразования высшего порядка меньше, чем в оборудовании низших порядков, что и обеспечивает их независимую работу.

Рассмотренные способы посимвольного объединения и чередования канальных интервалов являются синхронными методами временного группообразования. Основным недостатком синхронного группообразования является необходимость синхронизации объединенных потоков в аппаратуре временного группообразования. Другим методом объединения цифровых потоков является асинхронное временное группообразование, при котором объединение происходит с помощью выравнивания скоростей цифровых потоков. Поскольку скорость входных цифровых потоков, подлежащих объединению меняется, ее следует привести к некоторой опорной скорости, вставляя выравнивающие символы. В том случае, когда скорость входного потока превышает опорную, удаляется информационный символ. Информация о выравнивании скоростей передается в приемное устройство, которое производит обратное преобразование.

2.2 Структура первичного цифрового группового сигнала

В ЦСП используется объединение цифровых сигналов в первичный цифровой групповой сигнал. Первичный цифровой групповой сигнал состоит из 32 временных канальных интервалов (КИ). Циклы делятся на четные и нечетные. Каждый канальный интервал состоит из 8 бит. Сверхцикл состоит из 16 циклов. Структура первичного цифрового группового сигнала показана на рис. 2.5.

Рис. 2.5 Структура первичного цифрового группового сигнала

Цикловый синхросигнал (ЦСС) передается в КИ0 через 1 цикл. Структура КИ0 приведена в Табл. 2.1.

Табл. 2.1 Структура КИ 0


Номер бита


0

1

2

3

4

5

6

7

КИ 0, содержащий ЦСС

X1

0

0

1

1

0

1

1

КИ 0, не содержащий ЦСС

X2

1

A

Y

Y

Y

Y

Y


Х1 - бит, зарезервированный для международного использования, если не используется принимает значение 1.

Х2 - бит, зарезервированный для международного использования, если не используется принимает значение 1. При включении процедуры CRC-4 используется для сообщения ошибки CRC-4 с дальнего конца.

Y - биты, зарезервированные для национального использования, если не используются принимают значение 1.

А - бит (значение 1) аварийного сигнала “ИЗВЕЩЕНИЕ” с дальнего конца.

Сверхцикл состоит из 16 циклов. В цикле 0 передается сверхцикловый синхросигнал. Структура сверхцикла приведена в Табл. 2.2.

Табл. 2.2 Структура сверхцикла

КИ 16

№ Цикла \ Байт

0

1

2

3

4

5

6

7

0

0

0

0

0

Y

A

Y

Y

1

a1

b1

0

1

a16

b16

0

1

15

a15

b15

0

1

a30

b30

0

1


Y - зарезервированные биты, если не используются принимают значение 1;

А - бит (значение 1) аварийного сигнала “ИЗВЕЩЕНИЕ” с дальнего конца;

а1 - сигнальный бит 1-го телефонного канала в первом сигнальном канале;

b1 - сигнальный бит 1-го телефонного канала во втором сигнальном канале;

а15 - сигнальный бит 15-го телефонного канала в первом сигнальном канале;

b15 - сигнальный бит 15-го телефонного канала во втором сигнальном канале;

а16 - сигнальный бит 16-го телефонного канала в первом сигнальном канале;

b16 - сигнальный бит 16-го телефонного канала во втором сигнальном канале;

а30 - сигнальный бит 30-го телефонного канала в первом сигнальном канале;

b30 - сигнальный бит 30-го телефонного канала во втором сигнальном канале.

2.3 Достоинства цифровых систем передачи

Основными преимуществами ЦСП являются следующие [1]:

Высокая помехоустойчивость. Представление информации в цифровой форме, т.е. в виде последовательности символов с малым числом разрешенных значений и детерминированной частотой следования, позволяет осуществлять регенерацию этих символов при передаче их по линии связи, что резко снижает влияние искажений и помех на качество передачи информации. Это обеспечивает возможность использования ЦСП на тех линиях связи, на которых аналоговые системы работать не могут.

Возможность многократного воспроизведения информации без ухудшения качества. При аналоговых методах записи звука или изображения каждое воспроизведение вызывает необратимое ухудшение качества записи, а затем и потерю информации. При цифровых методах записи информации возможно периодически восстанавливать исходное качество записи.

Независимость качества передачи от длины линии связи. Благодаря регенерации передаваемых сигналов искажения в пределах регенерационного участка ничтожны. Таким образом, качество передачи практически не зависит от длины линии связи, так как помехи не накапливаются вдоль линии. Основным источником помех является оконечное оборудование, в котором аналоговый сигнал преобразуется в цифровой и наоборот (поскольку появляются погрешности квантования). Отсутствует влияние загрузки многоканальным сигналом системы передачи в целом на параметры отдельного канала.

Стабильность параметров каналов ЦСП. Стабильность параметров каналов определяется в основном устройствами обработки информации в аналоговой форме. Поскольку такие устройства составляют незначительную часть аппаратурного комплекса цифровых систем передачи, стабильность параметров каналов в таких системах значительно выше, чем в аналоговых системах.

Более простая математическая обработка передаваемых сигналов. Цифровая форма представления информации позволяет производить различные виды математической обработки сигналов, направленной как на устранение избыточности в исходных сигналах, так и на перекодирование передаваемых сигналов. В результате исходная скорость, например, цифрового телевизионного сигнала, равная 114Мбит/сек, может быть уменьшена до 35Мбит/сек, а скорость цифрового телефонного сигнала (при некотором ухудшении качественных характеристик канала) - до 32 Кбит/сек.

Возможность построения цифровой сети связи. Цифровые системы передачи в сочетании с оборудованием коммутации цифровых сигналов являются основой цифровой сети связи, в которой передача, транзит и коммутация сигналов осуществляются в цифровой форме. Организация транзита и выделения сигналов в цифровых системах передачи значительно проще по сравнению с аналоговыми системами и не требует специального оборудования.

Отношение сигнал-шум, обеспечиваемое в оборудовании транзита и коммутации, является достаточно высоким. Следовательно, параметры каналов практически не зависят от структуры сети, что обеспечивает возможность построения гибкой разветвленной сети связи, обладающей высокой надежностью.

Высокие технико-экономические показатели. Большой удельный вес цифрового оборудования в аппаратурном комплексе цифровых систем передачи определяет особенности изготовления, настройки и эксплуатации таких систем.

Высокая стабильность параметров каналов ЦСП устраняет необходимость регулировки узлов аппаратуры, в частности узлов линейного тракта в условиях эксплуатации, что существенно повышает технико-экономические показатели цифровых систем. Высокая степень унификации узлов также упрощает эксплуатацию систем и повышает надежность оборудования.

Сигналы всех видов информации - телефонной, передачи данных, видеотелефонной, телевидения - имеют единую цифровую форму, что позволяет использовать единые средства передачи и коммутации каналов и трактов и повышает экономическую эффективность сетей.

2.4 Иерархия цифровых систем передачи

Структура первичной сети предопределяет объединение и разделение потоков передаваемой информации, поэтому используемые на ней системы передачи строятся по иерархическому принципу [7]. Применительно к цифровым системам этот принцип заключается в том, что число каналов ЦСП, соответствующей данной ступени иерархии, больше числа каналов ЦСП предыдущей ступени ЦСП в целое число раз.

Система передачи, соответствующая первой ступени, называется первичной. В этой ЦСП осуществляется прямое преобразование относительно небольшого числа первичных сигналов в первичный цифровой поток. Системы передачи второй ступени иерархии объединяют определенное число первичных потоков во вторичный цифровой поток и т.д. Таким образом, если на данной станции первичной сети необходимо установить ЦСП с ИКМ с относительно небольшим числом каналов, на ней устанавливают аппаратуру соответствующего числа первичных, вторичных и т.д. цифровых систем передачи. Таким способом строятся ЦСП с временным группообразованием. Эти системы помимо обеспечения потребностей сети позволяют использовать на первой ступени групповые кодеки с приемлемыми скоростями работы.

Системы передачи с ЧРК также строятся по иерархическому принципу, но в отличие от ЦСП с ИКМ, для них ступенями иерархии являются не сами системы передачи, а типовые группы каналов. Системы передачи проектируются на числа каналов, кратные типовым группам.

В рекомендациях МККТТ представлено несколько типов иерархий ЦСП с ИКМ: европейская, североамериканская и японская. К 1990 г. МККТТ разработал рекомендации по единой синхронной цифровой иерархии (SDH), позволяющей объединять цифровые потоки, образованные системами передачи, входящими в любую существующую иерархию.

Параметры цифровых потоков, получаемых на тех или иных ступенях иерархии, должны соответствовать рекомендациям МККТТ. Это позволяет унифицировать оборудование первичной сети и облегчает организацию международных связей.

Скорости цифровых потоков одной и той же ступени иерархии, на образуемых ЦСП, расположенными на различных станциях сети, могут несколько отличаться друг от друга в пределах допустимой нестабильности задающих генераторов. Это требует принятия специальных мер по объединению потоков в поток более высокой ступени иерархии, что заметно усложняет эксплуатацию первичной сети связи в целом и снижает ее качественные показатели.

Системы иерархии, где объединяются потоки с небольшими расхождениями скоростей, называются плезиохронными (PDH). Если же обеспечить синхронность объединяемых потоков, то резко упрощается техника их объединения и разделения. Кроме того, обеспечивается прямой доступ к компонентам составляющих потоков без разделения общего, а также появляются заметные преимущества эксплуатации и технического обслуживания сети связи.

В разработанной системе синхронной цифровой иерархии скорость передачи на первой ступени установлена равной 155520 Кбит/с, что выше верхней скорости европейской PDH (139264 Кбит/с). Установлены также скорости высших ступеней: второй - 155520 х 4 = 622080 Кбит/с и третьей - 622080 х 4 = 2483200 Кбит/с. Кроме того, рассматривается вопрос об установлении скоростей передачи ниже первой ступени, что позволит получить преимущества SDH на современных спутниковых и радиорелейных линиях связи, где скорости цифровых потоков обычно не превышают 60 Мбит/с.

3. ОБОРУДОВАНИЕ ГИБКОГО МУЛЬТИПЛЕКСИРОВАНИЯ ОГМ-30Е

3.1 Общее описание

Оборудование ОГМ-30Е предназначено для работы в телефонной сети и в зависимости от установленного аппаратного и программного обеспечения может использоваться в различных режимах:

· оборудование, используемое для перераспределения основных цифровых каналов 64 Кбит/с между 4 первичными сигналами электросвязи 2048 Кбит/с со структурой цикла, соответствующей рекомендациям МСЭ G.703 (кросс-мультиплексор);

· оконечное оборудование для телефонных каналов и каналов передачи данных (оконечный мультиплексор);

· оборудование для ввода/вывода телефонных каналов и каналов передачи данных на промежуточных пунктах (мультиплексор ввода-вывода);

· оконечное оборудование используемое для согласования цифровых электронных АТС с аналоговыми АТС.

ОГМ-30Е обеспечивает автоматический контроль функционирования и обнаружение неисправностей с помощью оборудования КС.

Формат данных потока 2048 Кбит/с соответствует Рек. G.704 МСЭ-Т, цифрового потока “сонаправленный стык” 64 Кбит/с -, преобразование аналогового телефонного сигнала в цифровой согласно Рек. G.711 МСЭ-Т. Общие вопросы функционирования - Рек. G.732 МСЭ-Т.

3.2 Структура ОГМ

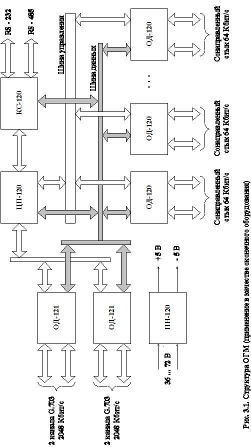
Структурная схема ОГМ-30Е приведена на рис. 3.1. (пример приведен для функционального назначения ОГМ-30Е в качестве оконечного оборудования). Блок содержит следующие основные составные части:

1.  ЦП-120 - плата центрального процессора и цифровых переключателей. Она предназначена для перераспределения основных цифровых каналов (ОЦК) 64 Кбит/с между первичными сигналами 2048 Кбит/с, анализа и обработки поступающей в КИ16 информации о сигнальных каналах.

КС-120 - плата контроля и сигнализации. Предназначена для автоматического контроля работоспособности плат ОГМ-30Е и передачи аварийных сигналов, при нарушениях в работе блока, в ЦП. При установке в ОГМ-30Е платы КС-121 вместо платы КС-120 возможен автономный контроль ОГМ-30Е со светодиодной индикацией состояния блока.

2.  ОД-121 - плата внешнего стыка, предназначена для приема и передачи 1-2 первичных цифровых групповых сигналов 2048 Кбит/с.

3.  ОД-120 - плата передачи данных по сонаправленному стыку. Плата производит выделение цифрового канала из первичного группового сигнала 2048 Кбит/с стандарта G.703 и передачу его по сонаправленному стыку, а также прием данных по сонаправленному стыку и включение их в один из каналов группового сигнала 2048 Кбит/с.

4.  ПН-120 - плата преобразователей напряжения, обеспечивает стабилизированным напряжением плюс 5 В, минус 5 В платы, устанавливаемые в блок ОГМ-12 (блок ОГМ-12 это каркас куда устанавливаются платы. Блок ОГМ-12 с установленными платами называют оборудованием ОГМ-30Е).


Кроме того, в блок ОГМ-12 может устанавливаться следующее оборудование:

· ОК-120 - плата окончаний канальных, предназначена для кодирования и декодирования аналоговых сигналов тональной частоты (ТЧ) и обеспечения необходимых входных и выходных уровней аналоговых сигналов в 2-х или 4-х проводном режиме, а также для организации стыков сигнальных каналов;

· ЦФ-120 - плата цифровых фильтров определяет наличие сигнальных частот в любом канале ОЦК. Плата производит предварительный анализ выделенных частот в каждом канале ТЧ и информацию о них передает в плату ЦП-120.

Вариант применения ОГМ в качестве мультиплексора ввода-вывода приведен на Рис. 3.2.

На рис. 3.3. представлено использование ОГМ-30Е в качестве переключателя цифровых каналов 64 Кбит/с.

Возможный вариант применения ОГМ-30Е в качестве оконечного мультиплексора каналов передачи данных показан на Рис. 3.4.

Рис. 3.2 Применение ОГМ-30Е в качестве мультиплексора ввода-вывода

Рис.3.3 Применение ОГМ-30Е в качестве переключателя цифровых каналов 64 Кбит/с.

Рис.3.4 Вариант применения ОГМ-30Е в качестве оконечного мультиплексора

3.3 Принцип работы ОГМ

Первичные цифровые групповые сигналы 2048 Кбит/с поступают на плату ОД-121, где происходит преобразование квазитроичных сигналов в униполярный двоичный код, HDB3-AMI декодирование, выделение тактовой частоты 2048 Кгц и преобразование скоростей входных цифровых сигналов 2048 Кбит/с к скорости работы внутренних электронных коммутаторов, расположенных в плате ЦП-120.

ОД-120 передаёт в плату ЦП-120 преобразованный принимаемый поток 2 Мбит/с по двум последовательным шинам BSR и BDR.

Шина BDR несёт информацию, содержащуюся во всех канальных интервалах принимаемого потока, кроме 16-го. Шина BSR - информацию 16-го КИ и служебную информацию.

Передача осуществляется аналогично. Плата ОД-121 принимает последовательные потоки BDT (данных) и BSR (сигналов управления) от платы ЦП-120, формирует групповой поток 2048 Кбит/с, осуществляет кодирование и преобразует биполярные сигналы в квазитроичные для передачи в линию связи.

В плате ЦП-120 находится управляемый напряжением генератор 8192 Кгц, от которого платой вырабатываются все необходимые тактовые последовательности для работы оборудования ОГМ-30Е: сигнал синхронизации F0, тактовые частоты F2M и F4M ( рис. 3.5. ).

Рис. 3.5 Диаграммы частот генератора ОГМ-30Е

Информация о работоспособности платы ОД-121, а также о состоянии входных потоков 2048 Кбит/с и внешнего сигнала синхронизации передаётся от ОД-121 по последовательной шине контроля CTRLI к плате КС-120 для последующей обработки и индикации аварийных состояний.

Одна плата ОД-121 осуществляет прием - передачу 2-х цифровых потоков 2048 Кбит/с. При необходимости обработки 3-х, 4-х потоков 2048 Кбит/с устанавливаются две платы ОД-121.

Плата ЦП-120 осуществляет цифровую обработку и контроль принимаемых потоков 2048 Кбит/с, обработку и преобразование по заданной программе поступающей информации о сигнальных каналах, перераспределение основных цифровых каналов (ОЦК) 64 Кбит/с между первичными сигналами 2048 Кбит/с и последовательными шинами групповых сигналов плат ОК-120.

Плата может производить переключение до 120 основных цифровых каналов 64 Кбит/с поступающих в составе 4-х первичных цифровых групповых сигналов 2048 Кбит/с.

Работая от внутреннего генератора, плата ЦП-120 синхронно обрабатывает последовательные шины от ОД-121: BDR1, BSR1 и передает в плату ОД-121 потоки BDT1, BST1 (для 2-го потока: BDR2, BSR2, BDT2, BST2 и т. д.).

Для обмена данными с платами ОД-120, плата ЦП-120 формирует последовательные шины: BDI - приём информации ОЦК от плат ОД-120, BDO - передача информации ОЦК в платы ОД-120, ВSI - прием информации сигнальных каналов от плат ОД-120, ВSO - передача информации сигнальных каналов в платы ОД-120.

Плата ЦП-120 имеет стык RS-232 с персональным компьютером типа IBM РС для загрузки выполняемой программы, изменения программы обработки и коммутации сигналов, изменения конфигурации оборудования ОГМ-30Е, а также для тестирования блока и оперативного контроля за состоянием каналов.

Информация о состоянии входных цифровых групповых сигналов 2048 Кбит/с и всех обрабатываемых каналах, а также о работоспособности платы передаётся от ЦП-120 по последовательной шине CTRL к плате КС-120 для последующей обработки и сигнализации.

При использовании ОГМ для коммутации телефонных каналов в блок устанавливаются платы канальных окончаний ОК-120. При необходимости приема и обработки поступающих по каналам ТЧ сигнальных частот, для совместной работы с платой ЦП-120 в блок ОГМ-12 устанавливается плата цифровых фильтров ЦФ-120.

Плата ЦФ-120 определяет наличие сигнальных частот в любом канале ОЦК, производит предварительный анализ выделенных частот в каждом канале.

Плата контроля и сигнализации КС-120 осуществляет контроль за исправностью плат блока ОГМ-12, анализируя данные шины CTRL линии INTER.

Плата питания ПН-120 осуществляет преобразование напряжение батареи -60В в напряжение +5В для питания всех плат блока ОГМ-12.

3.4 Описание конструктива

Конструктивно блок ОГМ-12 представляет собой однорядный съемный каркас евростандарта 19 дюймов.

В каркасе блока ОГМ-12 устанавливаются съёмные платы, подключаемые к кросс-плате с помощью разъёмов.

Платы устанавливаются в каркас на места, обозначенные на фиксирующей планке, в соответствии с тех. паспортом на изделие. Подключение оборудования ОГМ-30Е к внешним устройствам производится через разъемы, установленные на лицевой стороне соответствующих плат.

Оборудование ОГМ-30Е предназначено для работы в помещениях в условиях:

температура окружающего воздуха от 5° С до 4О° С;

относительная влажность воздуха до 90 % при температуре 30° С;

атмосферное давление не ниже 60 КПА (450 мм ртутного ст.).

Оборудование ОГМ-30Е сохраняет свои параметры после пребывания при температуре минус 50° С и плюс 50° С.

3.5 Шина ST-BUS

Все ЦСП должны осуществлять прием и передачу в соответствии с требованиями МККТТ, чтобы не возникало проблем их стыковки между собой. Однако при обработке группового сигнала непосредственно в самом оборудовании структура первичного цифрового группового сигнала подвергается преобразованию для облегчения обработки.

Структура «внутреннего» группового сигнала может быть различной в разных устройствах, в зависимости от используемой элементной базы.

В ОГМ используются микросхемы фирмы «MITEL», работающие с потоком ST-BUS. Преобразование первичного группового потока в поток ST-BUS осуществляется в микросхеме МТ9079 фирмы «MITEL» в плате внешнего стыка.

На выходе приемной части приемопередатчика МТ9079 формируются сигналы BDR1 и BSR1. Структура сигналов показана на Рис.3.6.

Рис. 3.6 Структура сигналов на выходе приемной части приемопередатчика

Каждый сигнал состоит из 32 временных интервалов (ВИ), которые составляют 1 цикл. Каждый временной интервал состоит из 8 бит.

В сигнале BDR1 каждый ВИ содержит информацию соответствующую информации в канальном интервале (КИ) того же порядкового номера в первичном цифровом групповом сигнале.

В сигнале BSR1 содержится информация сверхцикла, т.е. КИ16 и служебная информация в служебных словах S1, S2, S3, S4. Соответствие между структурой сигнала BSR1 и структурой первичного цифрового группового сигнала (цикл, КИ) приведено в Табл. 3.1.

Табл. 3.1

BSR1, КИ

0

1

2

...

15

16

17

18

...

Цикл

0

1

2

...

15

0

1

2

...

15

КИ

16

16

16

...

16

16

16

16

...

16

Тетрада

1

1

1

...

1

2

2

2

...

2


Электрические параметры сигналов соответствуют МОП-уровням. Скорость передачи сигналов равняется 2048 Кбит/с. Приемопередатчик имеет эластичную память, которая позволяет синхронизировать все выходные сигналы от одной частоты 2048 Кгц (сигнал F2M). F0 - метка начала сверхцикла, устанавливает приемопередатчик в синхронизм. Временные диаграммы сигналов показаны на Рис. 3.7.

На передающую часть приемопередатчика поступают сигналы BDT1, BST1, через кросс-плату блока ОГМ.

Структура сигналов BDT1, BST1 не отличается от структуры сигналов BDR1 и BSR1.

Информация из ВИ сигнала BDT1 транслируется в соответствующий КИ первичного цифрового группового сигнала.

Рис. 3.7 Временные диаграммы сигналов приемной части приемопередатчика

4. СЕТЬ ОБОРУДОВАНИЯ СВЯЗИ

4.1 Описание сети

Адресное пространство сети оборудования связи Morion-Q2 составляет 128 адресов сетевых элементов (СЭ). Это связано с тем, что под адрес СЭ выделен 1 байт, но старший бит не используется.

Адрес 0 используется при отладке. Адрес 1 назначен ведущему СЭ сети, и используется при обмене информацией между ведущим СЭ и остальными элементами сети. То есть, если в сообщении указан адрес 1, то это ответ одного из ведомых СЭ ведущему. У ведущего СЭ есть также другой адрес, как и у любого другого СЭ. Ведущим становится тот СЭ, к которому подключен РС (если в сети уже есть один РС, то новый игнорируется). Адрес 255 используется для передачи команды всем блокам одновременно. Он может использоваться, например, для синхронизации работы СЭ (установка времени). Структура сети Morion-Q2 приведена на рис. 4.1. При объединении в сеть более 32 СЭ, необходимо на каждые 32 СЭ добавлять по одному репитеру (из-за ослабления сигнала).

Рис. 4.1 Структура сети оборудования связи Morion-Q2.

4.2 Описание интерфейса

Взаимодействие PC с ведущим СЭ осуществляется по интерфейсу F. На физическом уровне интерфейса F используется интерфейс RS-232C, на уровне звена передачи данных - BiSync.

Физический уровень [12] - это та часть модели OSI ISO, которая определяет физические и электрические характеристики соединений, которые образуют сеть (витые пары, оптические кабели, разъёмы, повторители и т.д.). Можно назвать его аппаратным уровнем.

На уровне звена передачи данных рассматривается прохождение по сетевому кабелю электрических импульсов. На этом этапе обнаруживаются и исправляются ошибки передачи (запрашивая повторные передачи искажённого пакета).

При передаче двоичных данных по линии связи все двоичные разряды передаваемых элементов должны быть преобразованы в физические электрические сигналы [10].

Интерфейсы RS-232C (разработанный американской Ассоциацией производителей элетротехники) V.24 (разработанный МККТТ) были первоначально созданы в качестве стандартного интерфейса для соединения оконечного оборудования данных (ООД) с модемами. Однако позже эти интерфейсы были приняты в качестве стандартов на соединение любого символьного устройства (видеодисплея, принтера и т.д.) с компьютерами.

Рис. 4.2. Интерфейсы RS-232C/V.24

Как видно из рис. 4.2., напряжения сигналов в линии симметричны по отношению к уровню земли и составляют не менее +3 В для двоичного нуля, и -3 В для двоичной единицы. На практике используются напряжения 12 или даже 15 В (по стандарту передатчик не должен ни при каких обстоятельствах выдавать напряжение более 25 В. Приёмник же должен выдерживать это напряжение на входе). Схемы передачи преобразуют низкие уровни сигналов аппаратуры в более высокие, применяемые в линиях передачи. Приёмные схемы выполняют обратное преобразование. Схемы согласования интерфейса также выполняют необходимые преобразования напряжений.

Использование как положительных, так и отрицательных напряжений повышает помехоустойчивость системы [11]. Все уровни напряжений в этом интерфейсе измеряются относительно общего провода, называемого «землёй» сигналов или сигнальной «землёй» (signal ground).

Стандарт RS-232C [13] описывает несимметричный интерфейс, работающий в режиме последовательного обмена синхронного либо асинхронного. В этом стандарте определена максимально допустимая физическая удалённость, не более 15 м, и скорость передачи, до 20000 бит/с.

Стандарт RS-232C эквивалентен:

по описанию цепей обмена - рекомендации V.24 МККТТ;

по характеристикам электрического сигнала - рекомендации V.28 МККТТ;

по механическим характеристикам - описанию 25-контактного интерфейсного разъёма между ООД-АПД и обозначениям контактов стандарта ISO 2110.

Структура кадра BiSync представлена на рис. 4.3.

Рис 4.3 Структура кадра BiSync

Syn - синхробайт. Два синхробайта предназначены для обнаружения начала кадра;

A - адрес ведущего СЭ;

L - длина поля Data в байтах;

R - резервный байт;

CRC1H, CRC1L - старший и младший байты контрольной суммы 1 (КС1). КС1 вычисляется для заголовка без Syn-ов.

Рис. 4.4 Блок-схема подпрограммы вычисления КС

Data - поле данных. В этом поле передаётся HDLC-кадр без контрольной суммы;

CRC2H, CRC2L - старший и младший байты контрольной суммы 2 (КС2). КС2 вычисляется для поля данных.

Для вычисления КС1 и КС2 используется полином g(x)=X15+X2+1.

Блок-схема подпрограммы вычисления контрольной суммы представлена на рис. 4.4. Входные данные - SText - строка, для которой надо вычислить контрольную сумму. Polinom=8005h=10000000 00000101b.

4.3 Взаимодействие РС с сетью

Процедура взаимодействия РС с сетью оборудования организована следующим образом:

1.       Посылается запрос о состоянии оборудования по очередному адресу (адрес передаётся в поле адреса HDLC-кадра);

2.       Запускается таймер;

.         Если время вышло, а ответа нет, то осуществляется повторный запрос по данному адресу, но всего их может быть не более 3-х. Если на 3 запроса не получено ответа, то осуществляется выход из процедуры с результатом "оборудование не отвечает";

.         Если ответ получен, то производится проверка правильности КС1. Если КС1 переданная не равна КС1, вычисленной на приёмной стороне, то принимается решение об искажении заголовка, и данный ответ игнорируется. Таким образом происходит переход к пункту 3;

.         Если заголовок принят правильно, то переходим к проверке КС2. Если КС2 принятая не равна КС2 вычисленной, то принимается решение об искажении данных. Если количество запросов по данному адресу меньше 3, то осуществляется повторный запрос. Если уже было сделано 3 запроса и КС2 не совпала, то выходим из процедуры с результатом "искажение данных";

.         Если сообщение принято без искажений, то производим действия, соответствующие принятой информации (запоминаем сообщения о появлении/снятии аварий в файле-отчёте, отображаем изменения графически, включаем/выключаем звуковой сигнал и т.д.).

Сеть взаимодействует с РС через ведущий СЭ. Ведущий СЭ, получая от РС запрос о состоянии оборудования, анализирует совпадение КС1 принятой и вычисленной. В случае их несовпадения принимается решение об искажении заголовка кадра и далее запрос не транслируется (нельзя доверять заголовку - неизвестна длина поля данных).

Если КС1 совпали, то проверяется КС2. В случае несовпадения принятой КС2 с вычисленной, на РС выдаётся ответ об искажении поля данных.

Если сообщение принято верно (правильные значения КС1 и КС2), то проверяется адрес СЭ, которому предназначен запрос. Если это не адрес ведущего СЭ, то для поля данных с помощью специализированной микросхемы вычисляются 2 проверочных байта и добавляются в конец. Таким образом, получаем HDLC-кадр. Данный кадр транслируется на всю сеть. Если пришёл запрос для ведущего СЭ, то в этом нет необходимости.

Сетевые элементы взаимодействуют с РС (ведущий - непосредственно, остальные через ведущий) по алгоритму:

1.  Вычисление проверочных байтов для принятого кадра;

2.  Анализ правильности проверочных байтов в принятом кадре. Если проверочные байты принятые и вычисленные не совпали, то сообщение игнорируется, т.к. оно искажено;

3.  Если кадр принят верно, то проверяется соответствие адреса СЭ адресу, принятому в кадре. При несовпадении адресов сообщение далее не обрабатывается;

4.  При совпадении адресов, анализируются принятые данные, формируется и отправляется соответствующий ответ.

Взаимодействие СЭ между собой и с РС осуществляется с помощью платы КС-120.

4.4 Плата КС-120

.4.1 Назначение

Плата КС-120 предназначена для сбора информации о состоянии блока ОГМ-12, отображения срочной (ЭАС) и несрочной аварий, сохранения истории аварий и информации о конфигурации ОГМ-12 в энергонезависимой памяти, инициализации всех плат после включения питания. Управление осуществляется по интерфейсу Q2 или по RS-232 от персонального компьютера.

4.4.2 Технические данные

Плата КС обеспечивает:

· выдачу информации о состоянии блока ОГМ-12;

· доступ к блоку ОГМ-12 со стороны интерфейса Q2;

· доступ к блоку ОГМ-12 с рабочего места оператора;

· доступ к блоку ОГМ-12 по служебному каналу с использованием национальных битов потока Е1;

Ток, потребляемый платой от сигнального источника тока -(36-72) В не более 0.1 А.

Конструктивно плата выполнена на плате типоразмера 100 х 220мм.

На лицевой стороне платы расположены:

· разъем (интерфейс RS-232) для подключения IBM-PC совместимого компьютера;

· красный светодиод, отображающий состояние сигнала ЭАС блока ОГМ-12;

· желтый светодиод «не срочная авария»;

· зеленый светодиод светится, если блок является ведущим по интерфейсу Q2;

· 4 разрядный индикатор;

· разъем для подключения внешнего звонка и интерфейса Q2;

· кнопка отключения звонка;

Плата КС-120 устанавливается в блок ОГМ-12 на место №24.

4.4.3 Описание платы

Плата КС-120 содержит следующие функциональные узлы:

· преобразователь напряжения;

· блок микропроцессора;

· часы реального времени;

· интерфейс Q2;

· интерфейс служебного канала;

· интерфейс RS-232;

· внутренний межплатный интерфейс «CTRL».

Плата КС-120 питается от преобразователя напряжения, который преобразует сигнальное напряжение минус (36-72) В в напряжение плюс 5 В. Сигнальное напряжение подается через кроссплату блока ОГМ-12 от платы ПН-120.

Работой всех узлов по заданной программе управляет микропроцессор. После включения питания RC цепочкой формируется сигнал сброса и микропроцессор начинает работу по программе, записанной во внутреннем ПЗУ. При наличии рабочей программы во Flash памяти, микропроцессор переключается на нее, а при отсутствии организует ввод рабочей программы через интерфейс RS-232 и программирование.

Flash память используется для хранения программы работы микропроцессора и как память аварий. При отключении питания эти данные не теряются. ПЛИС обеспечивает доступ микропроцессора к памяти аварий в режиме чтения и записи, а памяти программ только в режиме чтения. Для доступа к памяти программ для модификации предусмотрен режим программирования.

Часы реального времени необходимы для регистрации времени возникновения и устранения аварий с точностью до 1 с.

Преобразователь уровня RS-232 необходим для подключения внешнего IBM-PC совместимого компьютера (или ручного пульта управления) к последовательному порту микропроцессора. Устанавливается режим асинхронного обмена на скорости 9600 бит/с с одним стоп битом.

Интерфейс служебного канала необходим для управления блоком по служебному каналу. Служебный канал реализован с использованием национальных битов в первом таймслоте потока Е1. В схему интерфейса входит HDLC контроллер MT8952C.

Интерфейс «CTRL» служит для инициализации и для обмена информацией со всеми платами блока ОГМ-12. Интерфейс реализован на ПЛИС.

Для объединения блоков ОГМ-12 в сеть Q2 используются 4-х контактные разъемы. К контактам 1 и 2 подключается прямая линия передачи, а к контактам 3 и 4 - обратная. К прямой линии подключен передатчик ведущего (первичная станция) и приемники всех ведомых блоков (вторичные станции). Из передаваемой информации приемники извлекают сигнал синхронизации, поэтому передатчик ведущего постоянно передает последовательность флагов (если передавать нечего). К обратной линии подключен приемник ведущего и все передатчики ведомых. В исходном состоянии выходы этих передатчиков находятся в высокоимпедансном состоянии а в линии поддерживается уровень логической единицы.

персональный компьютер интерфейс цифровой

4.4.4 Интерфейс Q2

В схему интерфейса Q2 входят: HDLC контроллер MT8952C, приемопередатчик, реализованный в ПЛИС и два драйвера RS485 AMD485.

В соответствии с рекомендациями X.211 установлен:

· синхронный режим обмена;

· полудуплексный режим;

· многоточечная конфигурация.

На физическом уровне Q2 используется интерфейс ISO 8482 (полная совместимость с EIA RS-485). Это последовательный интерфейс. Используется две отдельные витые пары, по одной для каждого направления передачи.

Когда все передатчики, подключенные к шине, находятся в высокоимпедансном состоянии, на шине установлен уровень логической единицы.

Максимальное количество устройств на шине равно 128. Скорость передачи 64000 бит/с. Допуск ±0.05%. Линейный код NRZI.

Передатчик ведомой станции должен переходить в высокоимпедансное состояние через 0.750 ms после передачи последнего бита закрывающего флага. Это не относится к передатчику ведущей станции, передающей последовательность флагов в режиме холостого хода.

Ведомая станция должна войти в режим синхронизма за время передачи 4 переходов. Для синхронизации может использоваться встроенная последовательность, содержащая минимум четыре перехода перед началом передачи стартового флага.

Уровень звена передачи данных:

· сервис соответствует рекомендациям Х.212;

· синхронный HDLC протокол ISO 4335;

· структура цикла соответствует ISO3309;

· поле адреса состоит из одного байта;

· информационное поле может содержать от 1 до 256 байт;

· ведущая станция передает последовательность флагов для заполнения промежутков времени между блоками;

· адрес ведомой станции задается микропереключателями в диапазоне от 1 до 126;

· адрес 11111111b=255d используется для обращения ко всем станциям;

· адрес 0 определен как «не станция» для целей тестирования и отладки;

· групповые адреса не используются;

· используемые HDLC команды:

· SNRM (Set Normal Response Mode) - установить режим нормального ответа;

· DISC (Disconnect) - разъединение;

· используемые HDLC команды и ответы:

· I (Information) - передача информации;

· RR (Receive Ready) - готов к приему;

· RNR (Receive Not Ready) - не готов к приему;

· используемые HDLC ответы:

· FRMR (Frame Reject) - некорректный кадр;

· UA (Unnumbered Acknowledgment) - ненумерованное подтверждение;

· DM (Disconnect Mode) - режим разъединения;

· основной рабочий режим NRM (Normal Response Mode) - режим нормального ответа;

· вспомогательный режим NDM (Normal Disconnected Mode) - режим нормального разъединения;

· класс процедур

· применяется класс несбалансированных процедур для работы в режиме нормального ответа (UNC - Unbalanced Normal Class ) ISO 7809;

· реализованы следующие HDLC функции (команды):

· UN (Unnumbered Information) - ненумерованная информация;

· TEST - тестирование звена передачи данных.

Другие параметры уровня звена передачи данных:

· размер окна для неподтвержденных кадров равен 1;

· в случае отсутствия ответа от ведомой станции предусмотрен цикл ожидания 0.13 с перед повторной передачей;

· количество повторений до фиксации отсутствия ответа равно 5;

· ведомая станция должна выставить открывающий флаг своего ответа не позднее 5 ms после закрывающего флага ведущей станции.

4.5 Описание программы

.5.1 Общие сведения

Программа Morion View предназначена для управления сетью оборудования, объединённого по интерфейсу Q2.

Список оборудования, которое может входить в состав сети, представлен в таблице 4.1. Там же приведены присвоенные оборудованию коды, которые используются для определения программой типа оборудования.

Таблица 4.1. Допустимые СЭ сети Morion-Q2 и их коды

Код СЭ

Наименование

12

ОГМ - 12

11

ОГМ - 11

01

STM - 1

60

ТМС - 60


При запуске программы первым делом осуществляется определение состояния зарегистрированных СЭ на момент запуска программы.

Для этого осуществляется перебор всех адресов зарегистрированных СЭ, и проверяется, отвечает соответствующий СЭ или нет.

Для каждого СЭ создаётся линейка-индикатор, которая графически отображает его текущее состояние. Внешний вид индикатора для ответившего СЭ приведён на рис. 4.5.

Рис. 4.5 Линейка-индикатор для отображения состояния отвечающего СЭ

Для отвечающего оборудования установлен оливковый цвет индикатора. Выбранный на данный момент индикатор выделяется цветом аква. В зависимости от состояния СЭ внешний вид индикатора изменяется. Если аварий нет, то все транспаранты зелёного цвета, изображение выключенного громкоговорителя также на зелёном фоне. Если звуковая сигнализация включена, то изображение включенного громкоговорителя появляется на красном фоне. Если произошла авария плат, канала или интерфейса, то изменяется цвет соответствующего транспаранта. При этом транспарант "Нет аварий" заменяется транспарантом "Авария".

Если СЭ не отвечает, то линейка-индикатор примет вид, изображённый на рис. 4.6. При этом цвет индикатора будет серым.

Рис. 4.6 Линейка-индикатор для отображения состояния не отвечающего СЭ

Во время работы программы осуществляется циклический опрос состояния оборудования в сети. Каждый цикл опроса осуществляется опрос всех зарегистрированных СЭ и одного из незарегистрированных (на случай появления в сети нового оборудования). Если незарегистрированный СЭ ответил, то он автоматически регистрируется. По результатам опроса обновляется состояние индикаторов.

В окне программы предусмотрены также 3 дополнительных линейки-индикатора: оборудование выше, оборудование ниже и состояние сети. Эти индикаторы отображают суммарную информацию о состоянии оборудования. Их внешний вид соответствует рис. 4.5, отсутствует лишь информация о физическом адресе и типе оборудования. Цвет всех трёх индикаторов - серый.

Рассмотрим для примера индикатор «оборудование выше».

Если часть индикаторов, отображающих состояние оборудования, оказалась выше отображённого в окне программы, то на индикаторе «оборудование выше» отобразится наихудшее состояние транспарантов соответствующего оборудования (например, если включена звуковая сигнализация хотя бы на одном из СЭ, то транспарант звуковой сигнализации будет показывать что звуковая сигнализация включена).

Если выше оборудования нет, то появляется сообщение что оно отсутствует. Остальные индикаторы работают аналогично, с той лишь разницей, что они предназначены для оборудования ниже и для сети в целом.

Для перемещения индикаторов, находящихся за пределами видимости, в зону видимости, используется полоса скроллинга.

4.5.2 Система меню

Главное меню содержит следующие пункты: просмотр, выбор приложения, хронология аварий, звонок, справка, администрирование, выход. Рассмотрим их более подробно.

Просмотр.

Меню содержит 3 пункта: справки об оборудовании, неисправное оборудование, всё оборудование. Пункт меню «справки об оборудовании» позволяет получить информацию о версии программного обеспечения, установленного на выбранном (он выделен цветом аква) СЭ. Два других пункта позволяют отображать на экране в виде линеек-индикаторов либо всё оборудование, либо только неисправное. При запуске программы изначально отображается всё оборудование. Сообщение о текущем режиме отображения выводится в заголовке окна программы.

Выбор приложения.

Содержит пункты, позволяющие выполнять запуск определённых приложений.

Удалённое наблюдение позволяет увидеть внешний вид СЭ (блок с установленными платами). При этом индикаторы блока изменяют своё состояние в зависимости от состояния СЭ, то есть изображение блока выглядит примерно так же, как и сам блок в данный момент времени. Это приложение позволяет получить более наглядную информацию о состоянии блока (графические образы воспринимаются легче).

Конфигурация оборудования позволяет вызвать приложение конфигурации оборудования для выбранного СЭ. Данное приложение доступно для администратора и инженера. Оно даёт возможность узнать текущую конфигурацию блока, сравнить её с файлом конфигурации на диске, изменить конфигурацию СЭ. В файле конфигурации предусмотрено место (заголовок) для хранения дополнительных сведений о нём (дату создания/изменения, имя автора, небольшой комментарий). Во время работы приложения конфигурации опрос сети прерывается.

Хронология аварий.

Позволяет вывести информацию об авариях сети на экран монитора, либо на принтер. При этом информацию об авариях можно вывести для всего оборудования, либо только для выбранного. Также можно отфильтровать аварии по времени или причине возникновения, либо вывести все аварии. Если был выбран фильтр по времени возникновения аварии, то появляется окно, в которое надо ввести начальную и конечную дату (вывести список аварий, произошедших в период с... по...). В случае фильтрации по причине возникновения аварии пользователю предлагается для выбора список причин.

Звонок.

Позволяет выключить звуковой сигнал на выбранном СЭ (если он включен). Если хотя бы на одном СЭ включен звуковой сигнал, то программа включает звуковую сигнализацию на ПК. Если флажок у пункта меню «Выключить на ПК» установлен, то звукового сигнала на ПК не будет. Его также не будет если звук отключен в Windows. Регулировка громкости осуществляется регулятором Windows.

Справка.

Используется для получения информации о программе и для доступа к справочной системе.

Администрирование.

Этот пункт меню доступен только для администратора. Он позволяет осуществлять вызов приложений регистрации/изменения прав доступа пользователей и удаления зарегистрированного оборудования из сети. Новое оборудование в сети регистрируется автоматически при первом обнаружении. Однако при удалении оборудования из сети (физическом) запись о нём остаётся, и при каждом запуске программы оно отображается как не отвечающее. Для исключения отображения несуществующего оборудования, запись о нём надо удалить.

5. ЭКОНОМИЧЕСКОЕ ОБОСНОВАНИЕ ПРОЕКТА

5.1 Ситуация на рынке средств связи

Успешная деятельность современного предприятия, нормальное и слаженное функционирование всех его подразделений и звеньев управления невозможны без постоянного контакта, как между собой, так и с другими предприятиями и ведомствами.

Сегодня, в эпоху информационного взрыва, одним из наиболее важных элементов деловой активности предприятия является доступ к источникам, обмен и распределение информации. Наличие или отсутствие своевременной информации зачастую определяет успех или провал деловых начинаний или их прибыльность.

Все эти задачи можно решить только путем использования современных цифровых систем связи. Современные цифровые системы связи, выполненные на основе самых передовых технологий, обладают исключительной гибкостью конфигурации, и могут расти вместе с бизнесом, практически не требуют обслуживания, и обеспечивают, помимо высококачественной передачи речи, обмен цифровой информацией.

Успешное развитие рыночной экономики в странах СНГ нельзя представить себе без параллельного развития как общегосударственных, так и ведомственных сетей и систем связи.

Экономическая ситуация в нашей стране весьма и весьма специфична. Переход к рынку коренным образом изменил жизнь общества. Теперь к производителям продукции предъявляются совершенно иные, гораздо боле жесткие требования. Раньше, до начала перестройки, в обществе преобладала идеология своего, отечественного и, в частности, аппаратура связи разрабатывалась по своим стандартам. Теперь же ситуация сильно изменилась. В условиях рынка продукция, выпускаемая любым предприятием, должна быть в первую очередь конкурентоспособной, а это возможно лишь в том случае, если она будет отвечать требованиям мировых стандартов и максимально удовлетворять потребности покупателя.

В настоящее время на мировом рынке средств связи присутствует достаточно большое число производителей. Они предлагают широчайший выбор аппаратуры связи: оборудование для городских, сельских и междугородных АТС, учрежденческие АТС, оборудование для линейных трактов, системы сотовой, пейджинговой и транкинговой связи. Наиболее известны такие фирмы, как Siemens, Motorola, Alcatel, AT&T.

Аппаратура отечественного производства представлена довольно скромным списком. Кроме того, неизменно растет число фирм, которые специализируются в интеграции и внедрении современных систем и сетей связи. Эти системы могут объединять различные виды телекоммуникационного оборудования в единую сеть, зачастую включающую в себя продукцию многих фирм-производителей.

Однако, несмотря на столь широкий ассортимент предлагаемой продукции, иностранные производители не в состоянии удовлетворить потребностей российского рынка. Это объясняется тем, что в нашей стране ещё существует большое количество аналоговых АТС, в то время как магистральные линии работают в цифровом режиме и уже эксплуатируется довольно много цифровых АТС. Поэтому вопрос создания и совершенствования высокоэффективных систем передачи, которые кроме обычных функций мультиплексирования обеспечивали бы еще и согласование цифровых АТС и аналоговых, работающих по специфичным системам сигнализации является на данный момент весьма актуальным.

Как показывает практика, спрос на оборудование гибкого мультиплексирования для первичных цифровых потоков довольно высок. Заявки на его разработку поступают как от российских, так и от иностранных заказчиков.

Таким образом, выпуск оборудования гибкого мультиплексирования, соответствующего рекомендациям Международного Союза Электросвязи и отвечающего европейским требованиям на аппаратуру гибкого мультиплексирования представляется экономически целесообразным и оправданным.

В свою очередь, сопровождение аппаратуры программным обеспечением, позволяющим повысить удобство её эксплуатации, позволяет получить дополнительное конкурентное преимущество.

Не следует забывать и о моральном устаревании аппаратуры. Современная система связи должна обеспечивать возможность собирать информацию о себе и управлять собой из одной точки с помощью компьютера. Отсюда возникает необходимость сопровождения систем программным обеспечением, способным обеспечивать реализацию всех возможностей системы, и обладающим простым, дружественным человеку-оператору интерфейсом.

Также следует учесть, что вся информация о событиях, происходящих в сети, запоминается в памяти аппаратуры и может быть прочитана в любой момент времени. Памяти аппаратуры достаточно для сохранения более 100 тысяч событий, а это значит, что к аппаратуре можно длительное время вообще не подходить. Например, даже если аварии в сети будут происходить каждые 15 минут, то за сутки их произойдёт 24'60/15=96, и памяти хватит на 100000/96»1041 дней»2 года 10 месяцев. На практике количество аварий в единицу времени существенно меньше.

Таким образом, если раньше для наблюдения за аппаратурой было необходимо постоянное присутствие оператора, то применение аппаратно-программного комплекса позволяет отказаться от него.

5.2 Экономические расчёты

Изготовление любой тиражируемой продукции состоит из двух этапов[8]: создание программного продукта, который является конечным изделием, и создание тиража. Основные затраты в этом случае приходятся на создание оригинального программного продукта, а создание тиража сводится к сравнительно нетрудоёмкому процессу копирования, сопровождения и, может быть, затрат на маркетинг.

При установлении цены на тиражируемый программный продукт следует ограничить долю себестоимости и установить прибыль одного экземпляра программного продукта с учётом затрат на его разработку и создание необходимого тиража. Регулирование доли себестоимости и доли прибыли, приходящейся на цену одного экземпляра тиражируемого программного продукта, можно получить следующим образом.

Пусть в течение некоторого периода времени Т исходные условия остаются неизменными. Программный продукт тиражируется в n экземплярах. Затраты на разработку составляют Спр. Тогда цена одного экземпляра тиражируемого программного продукта равна

,                                                                                 (5.1)

где Р1 - затраты на копирование, сопровождение и маркетинг (затраты на маркетинг могут относиться ко всему тиражу. Тогда в цене (5.1) учитывается 1/n от общих затрат на маркетинг);

П1 - величина прибыли от реализации одного экземпляра тиража.

5.2.1 Расчёт затрат на написание программы

Затраты на написание программы включают в себя затраты на заработную плату программиста, отчисления на социальное страхование и накладные расходы:

Спр=Зп+Осс+Рн                                                                              (5.2)

Полная зарплата определяется по формуле:

Зп=Зо·(1+Кр+Кд) ,                                                                          (5.3)

где Зо - основная зарплата;

Кр - районный коэффициент;

Кд - коэффициент дополнительной зарплаты.

Основная зарплата:

Зо=Ст·t ,                                                                                           (5.4)

где Ст - часовая тарифная ставка;

t - время, потраченное на разработку.

Отчисления на социальное страхование составляют определённый процент от полной заработной платы, и вычисляются по формуле:

Осс=Зп·Ксс                                                                                       (5.5)

Накладные расходы определяются по формуле

Рн=Зо·Кнр                                                                                       (5.6)

Итоговая общая стоимость работ по написанию программы определится как:

Спр=Зо·((1+Кр+Кд) ·(1+Ксс)+Кнр)                                                         (5.7)

Расчёт:

На написание программы надо 6 месяцев. Исходя из тарифной ставки 1200 рублей в месяц, Кр=15% , Кд=20% , Ксс=40.5% и Кнр=70% вычислим:

Зо=1200·6=7200 (руб.).

Зп=7200·(1+0.15+0.2)=7200·1.35=9720 (руб.).

Осс=9720·0.405=3936.6 (руб.)

Рн=7200·0.7=5040 (руб.)

Спр=9720+3936.6+5040=18696.6 (руб.).

5.2.2 Расчёт цены одного экземпляра программы

Расчёт цены одного экземпляра тиражируемого программного продукта производится по формуле (5.1). Для начала рассчитаем затраты на копирование.

Р1К=Сн+ Зо·((1+Кр+Кд) ·(1+Ксс)+Кнр)                                        (5.8)

где Сн - стоимость носителя, на котором поставляется программа.

Для расчётов примем Сн=4 рубля (стоимость дискеты), Кр=15%, Кд=20%, Ксс=40.5%, Кнр=70% , Ст=6 руб./час., t=2 минуты=1/30 часа (копирование программы и проверка качества копии).

Зо=6/30=0.2 (руб.)

Р1К=4+0.2·((1+0.15+0.2)·(1+0.405)+0.7)= 4.5194 (руб.)

Для дальнейших расчётов примем n=500. Затраты на сопровождение и маркетинг для всего тиража 25000 рублей (исправление обнаруженных ошибок, рассылка исправленных копий ...), откуда

Р1С+М=25000/500=50 (руб.)

Р1=4.5194+50=54.5194 (руб.)

Рассчитаем П1 с учётом дисконтирования, исходя из того, что вложения в программный продукт должны окупиться в течение 6 мес. Исходя из этого условия получим П1=170. Данные расчётов приведены в таблице 5.1. Таким образом, минимальная цена данной программы равна

С=18696.6/500+54.5194+170=261.9126 (руб.)

Сравнив полученную цену с ценой подобных программ, видим, что она слишком низка. Обычно такая программа стоит не менее 1200 руб. Установив эту цену получим

П1=1200-18696.6/500-54.5194=1108.0874»1110 (руб.)

Результаты вычислений для этого случая приведены в таблице 5.2. Графическое представление этих данных на рис. 5.2.

5.2.3 Расчёт экономической эффективности

При подсчёте экономического эффекта необходимо все затраты и результаты привести к одному моменту времени. С этой целью вводится учёт фактора времени. Если предположить, что затраты производятся единовременно, а использоваться продукция будет n лет (месяцев), то формула для расчёта будет иметь вид:

,                                                                                  (5.9)

где Рt - стоимостная оценка дополнительного эффекта, возникающего у потребителя от применения программного продукта в t-ом расчётном периоде;

at - коэффициент учёта фактора времени (дисконтирующая функция). Как правило, дисконтирующая функция имеет вид

,                                                                                         (5.10)

где r - коэффициент дисконтирования ;

С - затраты на приобретение программного продукта.

Рассмотрим экономический эффект от приобретения программного продукта. Будем исходить из того, что при приобретении программы отпадает необходимость в одном операторе, который следил за состоянием оборудования. Приняв, что тарифная ставка оператора составляет 1000 руб./мес., получим ежемесячный дополнительный эффект за счёт экономии на заработной плате и отчислениях на социальное страхование (Кр=15%, Кд=20%, Ксс=40.5%)

Рt=1000'(1+0.15+0.2)'(1+0.405)=1896.75 (руб.).

Приняв r=20%, и зная расходы на приобретение программы (1200 руб.), рассчитаем экономический эффект. Рассчитанные значения для первых 2-х лет представлены в таблице 5.3. Графическое представление этих данных приведено на рис. 5.3. Расчёты ясно дают понять, что приобретение программного продукта экономически выгодно.

Выводы

Оборудование ОГМ-30Е является программно управляемым. Этот факт имеет большое значение, так как аппаратура становится более гибкой и может выполнять несравненно большее количество функций, нежели при аппаратном управлении. В пользу этого говорит перевод практически всей радиоэлектронной аппаратуры на программное управление. Даже обычная бытовая техника (телевизоры, радиоприемники, стиральные машины и пр.), выпускаемая в данный момент, имеет микропроцессорное управление.

Создание аппаратно-программного комплекса позволяет существенно улучшить эксплуатационные характеристики оборудования (централизованный сбор информации и управление оборудованием, отсутствие необходимости постоянного присутствия), замедлить процесс его морального устаревания и, как следствие, повысить конкурентоспособность ОГМ-30Е.

Таким образом, разработка интерфейса серии F для оборудования гибкого мультиплексирования ОГМ-30Е экономически целесообразно, т.е. может и должно принести прибыль, как производителю, так и потребителю. Производителю - нормальную прибыль при производстве, потребителю - прибыль за счет эксплуатации современного, гибкого, удобного и надежного аппаратно-программного комплекса.

Результаты расчётов приведены в таблицах 5.1-5.3. Графическое представление данных изображено на рис. 5.1-5.3. Расчёты показывают, что производитель за 2 года продажи ПП получит прибыль в размере почти 323 тыс. руб. с учётом дисконтирования (коэффициент дисконтирования=0.03). Покупатель за тот же период получит прибыль, с учётом дисконтирования, в размере почти 33 тыс. руб. за счёт экономии на заработной плате оператора.

6.       ОХРАНА ТРУДА

6.1 Организация рабочего места оператора ЭВМ

Рабочее место - это оснащённое техническими средствами пространство, где осуществляется деятельность исполнителя. Организацией рабочего места называется система мероприятий по оснащению рабочего места средствами и предметами труда и размещению их в определённом порядке.

6.1.1 Оборудование рабочего места оператора ЭВМ

В данном параграфе описаны средства, необходимые для работы инженеру-проектировщику, и их расположение в выделенном помещении.

Рассмотрим необходимые для работы средства. Для решения поставленных задач оператору ЭВМ необходимы:

Персональный компьютер для написания и отладки программ;

Письменный стол для работы с документами, книгами, статьями и т.д.;

Стеллаж для хранения справочной литературы, технической документации, журналов и статей;

Принтер для печати необходимых документов.

Исходя из предложенного списка, допустим, что перечисленные средства были выделены. Расположение их в помещении приведено на рис. 6.1.

Помещение имеет площадь 36 квадратных метров (6м длина и 6м ширина). Высота помещения составляет 3.5 м. Окна выходят на западную сторону, на окнах имеются жалюзи. Пол в помещении деревянный, сверху покрыт линолеумом. Стены выкрашены краской светло-зелёного цвета. На потолке находится четыре светильника.

В комнате имеется шесть оборудованных рабочих мест инженеров-программистов. Они включают в себя компьютеры типа IBM PC, столы, на которых размещены эти компьютеры, шкафы с документацией и справочной литературой, а также письменные столы. Клавиатура и манипуляторы типа " Мышь " расположены на столах. Принтер является сетевым. Имеются стулья с регулируемой спинкой.

Рис. 6.1 Расположение рабочих мест проектировщиков

6.1.2 Вредные факторы в работе

Изучение и выявление возможных причин производственных несчастных случаев, профессиональных заболеваний, аварий, взрывов, пожаров, и разработка мероприятий и требований, направленных на устранение этих причин позволяют создать безопасные и благоприятные условия для труда человека. Комфортные и безопасные условия труда - один из основных факторов влияющих на производительность служащих ВЦ.

Поскольку работа оператора ЭВМ связана с работой на компьютере, длительном нахождении в сидячем положении, то он подвержен действию ряда вредных факторов [1]. Выделим для рассмотрения основные вредные и опасные производственные факторы.

Основные вредные факторы при работе на компьютере у человека связаны с общим переутомлением и вредными излучениями монитора. Рассмотрим их по порядку:

Переутомление кистей рук.

Общее переутомление кистей рук возникает при использованием клавиатуры и мыши. Работая с клавиатурой и манипулятором типа "Мышь", пользователь РС с высокой скоростью повторяет одни и те же движения. Поскольку каждое нажатие на клавишу сопряжено с сокращением мышц, сухожилия непрерывно скользят вдоль костей и соприкасаются с тканями, вследствие чего могут возникнуть разные воспалительные процессы.

Одним из таких заболеваний является синдром RSI (repetitiv stress injuries), возникающий из-за перенапряжения мышц и связок кистей рук, предплечий и плеч. Он выводит из строя до 185 тысяч рабочих и служащих в год: боли, скованность движений, общая слабость - и, рано или поздно, длительная неработоспособность.

В помощь покалеченным разрабатываются специальные системы упражнений, ведь RSI составляет уже более половины случаев профессиональных заболеваний, хотя еще 10 лет назад это число не превышало 20%.

Длительные статические нагрузки.

Однако не только кисти, локти и плечи представляют собой уязвимые зоны. Другой причиной возникновения синдрома длительных статических нагрузок (СДСН) может быть длительное сидение, которое приводит к сильному перенапряжению спины и ног. Мышцы находятся в сокращённом состоянии под постоянной статической нагрузкой, а это приводит к ухудшению кровообращения. Все это может привести к ухудшению состояния здоровья.

По данным исследований, более чем у половины пользователей видеодисплейных терминалов имеются жалобы на костно-мышечные заболевания, в основном на боли в области спины и шеи.

Потеря трудоспособности происходит из-за болезней кистей рук, плеч и шеи. Дисплеи, расположенные слишком низко или под неправильным углом, являются основной причиной появления сутулости.

Излучение дисплея.

По данным исследований, более половины пользователей жалуются на проблемы со зрением. Наиболее часто встречается астенопия- " пелена перед глазами ", быстрая утомляемость глаз, проблемы с фокусировкой зрения. Это является результатом длительного напряжения глаз при работе на видеодисплеях.

С началом 90-х годов самые широкие компьютерные круги осознали серьезность вопроса о возможной опасности воздействия на организм переменных электрических и магнитных полей, которые создаются экранами мониторов.

Поскольку источником магнитных полей является электрический ток, сильноточные провода создают относительно мощные магнитные поля - невидимые силовые линии, легко проникающие через все, что встречается на их пути, в том числе и через тело человека.

Установлено что:

1 Лица, чьи профессии требуют работы в электромагнитных полях (имеются в виду электрики, электроинженеры и персонал по обслуживанию телефонных и высоковольтных линий), умирают от лейкемии и опухолей мозга значительно чаще, чем представители других специальностей;

2 Вероятность смерти от опухолей мозга у рабочих, занятых в электроэнергетической промышленности, в 13 раз выше, чем у тех, чья работа не сопряжена с пребыванием в электромагнитных полях;

3 Напряженность магнитного поля, создаваемого переменным током, в котором приходилось работать этим людям, составляла всего 4,3 мГс. Принимая во внимание что напряженность переменного КНЧ магнитного поля ЗЗ-см цветного монитора фирмы Аррlе и дисплея Соlоr-Раgе 15 фирмы Е-Масintosh составляла 4-15 мГс на расстоянии 30 см от экрана.

На основании вышесказанного можно сделать заключение о потенциальной опасности для здоровья людей переменных магнитных полей, создаваемых дисплеями.

Новейшие исследования показали, что электромагнитные поля малых интенсивностей отрицательно влияют на способность Т-лимфоцитов убивать опухолевые клетки. Это означает, что такие поля, подавляя иммунную систему, могут способствовать образованию опухолей. Слабые электромагнитные поля с напряженностью, равной напряженности полей, которые создаются в тканях человека, стоящего точно под проводами высоковольтной линии электропередач (или, что то же самое, находящегося рядом с дисплеем монитора), могут повышать активность фермента орнитиндекарбоксилазы, который, как считают, способствует росту опухолей.

Специальные измерения убедительно доказали, что мониторы действительно излучают магнитные волны, интенсивность которых, по меньшей мере, не уступает уровню магнитных полей, связываемых с развитием опухолей у детей и рабочих.

Было также обнаружено, что у женщин, которые во время беременности проводили не менее 20 часов в неделю за компьютерными терминалами, вероятность ранних и поздних преждевременных прерываний беременности на 80% выше, чем у женщин, выполнявших ту же работу без помощи видеодисплеев.

Всё вышесказанное объясняется тем, что переменное магнитное поле вызывает колебания любых находящихся в нём магнитных частиц. Это означает, что молекулы любого типа, где бы они ни находились, в мозге или в теле, будут совершать колебания с частотой магнитного поля.

Поскольку магнитные поля сзади и по бокам большинства мониторов значительно сильнее, чем перед экраном, желательно чтобы пользователи располагали свои рабочие места на расстояниях не менее 1,22 м от боковых и задних стенок других мониторов. Следует иметь в виду, что магнитное излучение не задерживается ни перегородками, ни стенками, ни свинцовыми фартуками, ни даже телом человека.

Кроме того, любой монитор, работающий не на ЭЛТ, имеет то преимущество, что не излучает переменных компонент, связанных с наличием систем вертикального и горизонтального отклонения электронного луча.

Освещение рабочего места.

Результаты исследований показали, что отрицательное физиологическое воздействие на операторов дисплеев связано с дискомфортными зрительными условиями из-за неправильно спроектированного освещения: прямая и отражённая от экранов блёскость, вуализующее отражение, неблагоприятное распределение яркости в поле зрения, неверная ориентация рабочего места относительно световых проёмов.

Требования к освещению для визуального восприятия пользователем РС информации с двух разных носителей с экрана дисплея и бумажного документа различаются. Слишком низкий уровень освещённости ухудшает восприятие информации при чтении документов, а слишком высокий приводит к уменьшению контраста изображения знаков на экране.

Оптимальной освещённостью рабочих помещений для работ с видеотерминалами считается 300 люкс.

Микроклимат рабочего места.

Высокая температура воздуха отрицательно сказывается на функциональном состоянии человека. Поэтому необходимо постоянно создавать комфортные тепловые условия. Оптимальные значения температуры воздуха в помещении составляют +19° Q +23°С. Рекомендуется относительная влажность воздуха 55%. Скорость движения воздуха на уровне лица не должна превышать 0.1 м/с.

При нагреве поверхностей, контактирующих с человеком, более чем до +45°С, следует предусмотреть средства охлаждения или изоляции. Поскольку все основные электронные блоки имеют встроенные вентиляторы для обеспечения стабильных температурных режимов их функционирования, необходимо уделять особое внимание путям отвода воздуха, чтобы исключить перегрев или сквозняк.

Производственные шумы.

Установлено, что шум неблагоприятен для человека, особенно при длительном воздействии. У пользователя РС это выражается в снижении работоспособности (например, скорость обработки текста уменьшается на 10Q15%), ускорении развития зрительного утомления, изменении цветоощущения, повышении расхода энергии и т. п.

Шум в помещении, где выполняют работу, требующую концентрации внимания, не должен превышать 50 дБА, а при однообразной работе - 65 дБА. Суммарное воздействие множества источников шума в помещении в результате многократного отражения звуковых волн может значительно превышать энергию прямого звука от тех же источников. Шум от отдельных приборов не должен превышать фоновый шум более чем на 5 дБ.

Основными мерами борьбы с шумом являются:

Устранение или ослабление причин шума в самом его источнике в процессе проектирования;

Использование средств звукопоглощения;

Рациональная планировка помещения.

Многие сотрудники ВЦ подвержены воздействию таких неблагоприятных психофизических факторов, как умственное перенапряжение, перенапряжение зрительных анализаторов, эмоциональные перегрузки. Воздействие указанных неблагоприятных факторов приводит к снижению работоспособности, вызванному развивающимся утомлением. Появление и развитие утомления связано с изменениями, возникающими во время работы в центральной нервной системе, с тормозными процессами в коре головного мозга.

Длительное нахождение человека в зоне комбинированного воздействия различных неблагоприятных факторов может привести к профессиональному заболеванию.

6.1.3  Требования к организации и оборудованию рабочих мест с ВДТ и ПЭВМ

Помещения ВЦ, их размеры (площадь, объем) должны в первую очередь соответствовать количеству работающих и размещаемому в них комплекту технических средств. В них должна поддерживаться соответствующая температура, освещённость, чистота воздуха, изоляция от производственных шумов и т.п. Их оборудуют общеобменной вентиляцией и искусственным освещением.

Желательно, чтобы рабочие места с ВДТ и ПЭВМ по отношению к световым проемам располагались так, чтобы естественный свет падал сбоку, преимущественно слева. В тех случаях, когда одного естественного освещения не хватает, устанавливается совмещенное освещение. При этом дополнительное искусственное освещение применяется не только в темное, но и в светлое время суток.

В схемах размещения рабочих мест с ВДТ и ПЭВМ необходимо учитывать расстояния между рабочими столами с видеомониторами (в направлении тыла поверхности одного видеомонитора и экрана другого видеомонитора). Они должны составлять не мене 2,0 м, а расстояние между боковыми поверхностями видеомониторов - не менее 1,2 м. Рабочие места с ВДТ и ПЭВМ в залах с ЭВМ или в помещениях с источниками вредных производственных факторов желательно размещать в изолированных кабинах с организованным воздухообменом.

Оконные проемы в помещениях использования ВДТ и ПЭВМ необходимо оборудовать регулируемыми устройствами типа: жалюзи, занавесей, внешних козырьков и др.

Рабочие места с ВДТ и ПЭВМ при выполнении творческой работы, требующей значительного умственного напряжения или высокой концентрации внимания, по возможности, изолировать друг от друга перегородками высотой 1,5Q2,0 м.

Шкафы, сейфы, стеллажи для хранения дисков, дискет, комплектующих деталей, запасных блоков ВДТ и ПЭВМ, инструментов, желательно располагать в подсобных помещениях. При отсутствии подсобных помещений или лаборантских допускается размещение шкафов, сейфов и стеллажей в помещениях непосредственного использования ВДТ и ПЭВМ при соблюдении требований, изложенных в настоящем разделе.

При конструировании оборудования и организации рабочего места пользователя ВДТ и ПЭВМ следует обеспечить соответствие конструкции всех элементов рабочего места и их взаимного расположения эргономическим требованиям с учетом характера выполняемой пользователем деятельности, комплексности технических средств, форм организации труда и основного рабочего положения пользователя.

Необходимо, чтобы конструкция рабочего стола обеспечивала оптимальное размещение на рабочей поверхности используемого оборудования с учетом его количества и конструктивных особенностей (размер ВДТ и ПЭВМ клавиатуры, пюпитра и др.), характера выполняемой работы. При этом допускается использование рабочих столов различных конструкций, отвечающих современным требованиям эргономики. Высота рабочей поверхности стола может регулироваться в пределах 680-800 мм; при отсутствии такой возможности желательно, чтобы высота рабочей поверхности стола составляла 725 мм.

Модульными размерами рабочей поверхности стола для ВДТ и ПЭВМ, на основании которых рассчитываются конструктивные размеры, предпочтительно считать: ширину 800, 1000, 1200 и 1400 мм, глубину 800 и 1000 мм при нерегулируемой его высоте, равной 725 мм.

Рабочий стол, по возможности, должен иметь пространство для ног высотой не менее 600 мм, шириной - не менее 500 мм, глубиной на уровне колен - не менее 450 мм и на уровне вытянутых ног - не менее 650 мм.

Желательно, чтобы конструкция рабочего стула (кресла) обеспечивала поддержание рациональной рабочей позы при работе на ВДТ и ПЭВМ, позволяла изменять позу с целью снижения статического напряжения мышц шейно-плечевой области и спины для предупреждения развития утомления. Тип рабочего ступа (кресла), по возможности, должен выбираться в зависимости от характера и продолжительности работы с ВДТ и ПЭВМ с учетом роста пользователя. Желательно, чтобы рабочий стул (кресло) был подъемно-поворотным и регулируемым по высоте и углам наклона сиденья и спинки, а также расстоянию спинки от переднего сиденья, при этом регулировка каждого параметра должна быть независимой, легко осуществляемой и иметь надежную фиксацию. Поверхность сиденья, спинки и других элементов стула (кресла), по возможности, должна быть полумягкой, с нескользящим, неэлектризующимся и воздухопроницаемым покрытием, обеспечивающим легкую очистку от загрязнений.

Желательно, чтобы конструкция рабочего стула (кресла) обеспечивала:

· Ширину и глубину поверхности сиденья не менее 400 мм;

· Поверхность сиденья с закругленным передним краем;

· Регулировку высоты поверхности сиденья в пределах 400Q550 мм и углам наклона вперед до 15 градусов и назад до 5 градусов;

· Высоту опорной поверхности спинки 300±20 мм, ширину - не менее 380 мм и радиус кривизны горизонтальной плоскости - 400 мм;

· Угол наклона спинки в вертикальной плоскости в пределах 0Q30 градусов;

· Регулировку расстояния спинки от переднего края сиденья в пределах 260Q400 мм;

· Стационарные или съемные подлокотники длиной не менее 250 мм, шириной - 50Q70 мм;

· Регулировку подлокотников по высоте над сиденьем в пределах 230±30 мм и внутреннего расстояния между подлокотниками в пределах 350Q500 мм.

Экран видеомонитора необходимо располагать на оптимальном расстоянии от глаз пользователя (600Q700 мм), но не ближе 500 мм с учетом размеров алфавитно-цифровых знаков и символов.

В помещениях с ВДТ и ПЭВМ ежедневно должна проводиться влажная уборка. Помещения с ВДТ и ПЭВМ необходимо оснащать аптечкой первой помощи и углекислотными огнетушителями.

Рабочее место желательно оборудовать подставкой для ног, имеющей ширину не менее 300 мм, глубину не менее 400 мм, регулировку по высоте в пределах до 150 мм, по углу наклона опорной поверхности подставки до 20 градусов.

Клавиатуру следует располагать на поверхности стола на расстоянии 100Q300 мм от края, обращенного к пользователю или на специальной, регулируемой по высоте рабочей поверхности, отделенной от основной столешницы.

Необходимо, чтобы уровень глаз при вертикально расположенном экране ВДТ приходился бы на центр или 2/3 высоты экрана. Линия взора, по возможности, должна быть перпендикулярна центру экрана и оптимальное её отклонение от перпендикуляра, проходящего через центр экрана в вертикальной плоскости, не должно превышать ±5 градусов, допустимое ±10 градусов.

6.1.4 Расчёт освещённости рабочего места

Метод коэффициентов использования предназначен для расчета общего равномерного освещения на заданную освещенность горизонтальной поверхности, при светильниках любого типа. При расчете по этому методу используется как прямой, так и отражённый свет. Основная расчетная формула рассматриваемого метода имеет следующий вид:

F = E·k·S·z/(N·q·р),                                                                         (6.1)

где F - поток лампы (или ламп) в светильниках, лм;

E - нормируемая минимальная освещенность, лк;

k - коэффициент запаса, с учетом запыления светильников и их износа;

N - число светильников, определяемое из условия создания равномерной освещенности всей площади поверхности;

q - коэффициент использования светового потока (в долях единицы), т. е. отношение потока, падающего на расчетную поверхность к суммарному потоку всех ламп.

q зависит от типа светильника, коэффициентов отражения светового потока от стен, геометрических размеров помещения и высоты подвеса светильников, что учитывается характеристикой i (А - ширина, В - высота, h высота помещения):

i =А·B/(h·(A+B))                                                                              (6.2)

z - отношение средней освещенности к минимальной;

р - коэффициент затенения;

S - площадь помещения.

При освещенности рядами люминесцентных светильников до расчета намечается число рядов, а также тип и мощность ламп, что и определяет поток F. Необходимое число светильников определяется по формуле:

N=E·k·S·z/(n·F·q·р),                                                                        (6.3)

где n - число рядов в светильнике.

Делением N на число рядов определяется число светильников в каждом ряду, а так как длина светильника известна, то можно найти полную длину всех светильников ряда. Если указанная длина близка к геометрической длине ряда, он получается сплошным. Если она меньше длины ряда - светильники размещаются в ряду с разрывами. Если, наконец, она больше длины ряда, увеличивается число рядов или же каждый ряд образуется из сдвоенных (строенных) светильников.

Выполним расчет по таблицам удельной мощности. Исходные данные:

· Длина помещения: А=6 м;

· Ширина помещения: В=6 м;

· Расчетная высота помещения: h=3.5 м;

· Коэффициент отражения:

· от стен 50 %,

· от потолка 70 %,

· от пола 10 %;

· Нормируемая освещенность (согласно [5]) - 300 лк.

Затемненных рабочих мест нет. Необходимо определить число светильников при общем равномерном освещении.

Выбираем лампы для освещения помещения типа ЛБ-40 (согласно [5] для помещений вычислительных центров). Светильники выберем типа ЛСП-13- 2‘40-06 для установки двух ламп типа ЛБ-40. Лампы ЛБ-40 имеют Fл=3120 лм, а так как в светильнике их две, то Fсв = 3120'2 = 6240 лм.

Для определения количества рядов существует коэффициент е, который находится как отношение расстояния между рядами Lр к высоте помещения h. Его значение обычно принимается 1,4. Тогда Lр найдем как:

Lр=е'h=1,4'3,5=4,9 (м)                                                                            (6.4)

Очевидно, что такое расстояние между рядами в рассматриваемом помещении обеспечить нельзя, следовательно, лампы необходимо устанавливать в один ряд.

Рассчитаем площадь помещения:

S=6'6=36 (м2)                                                                                 (6.5)

Из рекомендаций источника [4] определяем:

· k=1,5 (для помещений вычислительных центров, освещаемых люминесцентными лампами с очисткой светильников не реже 2-х раз в год);

· z=1,2 (исходя из оптимального расположения светильников);

· р=0,8 (для помещений с фиксированным положением работающих).

=6'6/(3,5'(6+6))=0,86                                                                      (6.6)

Согласно [5], светильник ЛСО-04 имеет кривую силы света класса Г-2. Для i=0,86 и вышеуказанных коэффициентов отражения получаем q равное 0,74.

Таким образом, получаем

=300'1,5'36'1,2/1'6240'0,74'0,8=3.85,                                        (6.7)

то есть в ряду устанавливается четыре светильника.

Расстояние от стен помещения до торцов ряда светильников, а также расстояние между светильниками в ряду рассчитывается по формулам:

=(A-N'Lc)/nр,                                                                                  (6.8)

где L - расстояние между светильниками в ряду;- длина светильника, Lc = 1,265 м.= (6-4'1,265)/4=0,235 (м).

Тогда расстояние от стен помещения до торцов ряда светильников:Т=L/2=0,235/2=0,117 (м).

6.2 Противопожарная защита

Пожары на ВЦ представляют особую опасность, так как сопряжены с большими материальными потерями.

Противопожарная защита - это комплекс организационных и технических мероприятий, направленных на обеспечение безопасности людей, на предотвращение пожара, ограничение его распространения, а также на создание условий для успешного тушения пожара.

Одной из наиболее важных задач пожарной защиты является защита строительных помещений от разрушений и обеспечение их достаточной прочности в условиях воздействия высоких температур при пожаре.

Для изготовления строительных конструкций используются, как правило, кирпич, железобетон, стекло, металл и другие негорючие материалы. Применение дерева должно быть ограниченно, а в случае использования необходимо пропитывать его огнезащитными составами. Горючими компонентами на ВЦ являются: строительные материалы для акустической и эстетической отделки помещений, перегородки, двери, полы, изоляция кабелей и др.

К средствам тушения пожара, предназначенных для локализации небольших очагов пожара, относятся пожарные стволы, внутренние пожарные водопроводы, огнетушители, сухой песок, асбестовые одеяла и т. п.

В зданиях ВЦ пожарные краны устанавливаются в коридорах, на площадках лестничных клеток и входов. Применение воды в залах с ЭВМ, помещениях контрольно-измерительных приборов ввиду опасности повреждения или полного выхода из строя дорогостоящего оборудования возможно в исключительных случаях, когда пожар принимает угрожающе крупные размеры. При этом количество воды должно быть минимальным, а устройства ЭВМ необходимо защитить от попадания воды, накрывая их брезентом или полотном.

Для тушения пожаров на начальных стадиях широко применяются огнетушители. По виду используемого огнетушащего вешества огнетушители подразделяются на следующие основные группы:

1.  Пенные огнетушители. Применяются для тушения горящих жидкостей, различных материалов, конструктивных элементов и оборудования, кроме электрооборудования, находящегося под напряжением.

2.  Газовые огнетушители. Применяются для тушения жидких и твердых веществ, а также электроустановок, находящихся под напряжением.

В производственных помещениях ВЦ применяются главным образом углекислотные огнетушители, достоинством которых является высокая эффективность тушения пожара, сохранность электронного оборудования, диэлектрические свойства углекислого газа, что позволяет использовать эти огнетушители даже в том случае, когда не удается обесточить электроустановку сразу.

Для обнаружения начальной стадии загорания и оповещения службы пожарной охраны используют системы автоматической пожарной сигнализации (АПС). Кроме того, они могут самостоятельно приводить в действие установки пожаротушения, когда пожар еще не достиг больших размеров.

Системы АПС состоят из пожарных извещателей, линий связи и приемных пультов (станций).

Эффективность применения систем АПС определяется правильным выбором типа извещателей и мест их установки. При выборе пожарных извещателей необходимо учитывать конкретные условия их эксплуатации: особенности помещения и воздушной среды, наличие пожарных материалов, характер возможного горения, специфику технологического процесса и т.п.

Помещения с ЭВМ необходимо оборудовать дымовыми пожарными извещателями. В этих помещениях в начале пожара при горении различных пластмассовых, изоляционных материалов и бумажных изделий выделяется значительное количество дыма и мало теплоты.

Объекты ВЦ кроме АПС необходимо оборудовать установками стационарного автоматического пожаротушения. Наиболее целесообразно применять на ВЦ установки газового тушения пожара, действие которых основано на быстром заполнении помещения огнетушащим газовым веществом с резким снижением содержания в воздухе кислорода.

ЗАКЛЮЧЕНИЕ

В ходе работы над дипломным проектом был рассмотрен ряд вопросов, связанных с построением цифровых систем передачи информации. Было показано, что дальнейшее развитие систем связи будет идти в направлении развития цифровых систем передачи информации, позволяющих управлять собой с помощью ЭВМ. Также была проведена разработка программы управления сетью оборудования связи Morion-Q2, в состав которой в качестве сетевых элементов может входить оборудование гибкого мультиплексирования ОГМ-30 и ОГМ-30Е (разница между ними в конструктивном исполнении), по интерфейсу F. В перспективе предполагается включение в состав сети и других типов оборудования.

При разработке интерфейса пользователя была использована современная визуальная среда разработки 32-разрядных программных продуктов -Delphi 3 фирмы Borland. Delphi 3 позволяет разрабатывать программы, способные работать в операционных системах Windows 95/97 и Windows NT. Применение Delphi 3 дало возможность быстро и легко создать красивое Windows-приложение, позволяющее эффективно работать с сетью оборудования связи.

Разработанный программный продукт отвечает всем требованиям, предъявляемым к программному обеспечению. Он позволяет собирать информацию о состоянии сети оборудования связи в реальном времени, производить сбор информации о текущей конфигурации элементов сети и изменять их конфигурацию, вести протокол аварийных ситуаций, фиксируя время обнаружения/устранения аварии с точностью до 1 с, графически отображать состояние элементов сети.

В экономическом обосновании дипломного проекта приведён расчёт экономического эффекта, как для производителя, так и для покупателя программного продукта. Расчёты ясно дают понять что и разработка, и приобретение программного продукта экономически целесообразны.

Продажа программы за 2 года принесёт прибыль в размере 322.8 тыс. руб. с учётом дисконтирования. Экономический эффект от применения программы за тот же период составит, с учётом дисконтирования, 32.7 тыс. руб. Коэффициент дисконтирования в обоих случаях составляет 3% в месяц. Разработка программы позволила также повысить конкурентоспособность оборудования ОГМ-30Е, сделав его более современным, увеличив удобство его эксплуатации, а это, в свою очередь, приведёт к росту объёма продаж оборудования связи, производимого АО «Морион».

СПИСОК ИСПОЛЬЗОВАННЫХ ИСТОЧНИКОВ

1.  Аппаратура ИКМ-30/ Голубев А.Н., Иванов Ю.П., Левин Л.С. и др.; Под ред. Ю.П. Иванова и Л.С. Левина. - М.: Радио и связь, 1983. - 184 с., ил.

2.  Комплект УСО-01. Альбом №5.

3.  Руководящий документ по стандартизации ...

4.  Баева Н.Н. “Многоканальная связь и РРЛ”, М.: Радио и Связь, 1988.

5.  “Цифровые и аналоговые системы передачи” под ред. Иванова В.И., М.: Радио и Связь, 1995.

6.  Гуревич В.Э., Лопушнян Ю.Г., Рабинович Г.В. “ИКМ в многоканальной телефонной связи”, М.: Связь, 1983.

7.  ГОСТ 26886-86. Стыки цифровых каналов передачи и групповых трактов первичной сети ЕАСС. - М.: Издательство стандартов,1986.

8.  Журнал «Сети и системы связи» №5 (27), май 1998. Статья «TMN в конце туннеля» П.О. Дубенсков

9.  Былянски П., Ингрем Д. Цифровые системы передачи: Пер. с англ./ Под ред. А.А. Визеля. - М.: Связь, 1980. - 360 с., ил.

10.Халсалл Ф. Передача данных, сети компьютеров и взаимосвязь открытых систем: Пер. с англ. - М.: Радио и связь, 1995. - 408 с.: ил.

11.Хаммел Р.Л. Последовательная передача данных: Руководство для программиста: Пер. с англ. - М.: Мир, 1996. - 752 с., ил.

12.Нанс Б. Программирование в локальных сетях: Пер. с англ. под ред. В.М. Беленковича. - Пермь: издательство Пермского университета, 1992. - 756 с.

13.Дженнингс Ф. Практическая передача данных: Модемы, сети и протоколы: Пер. с англ. - М.: Мир, 1989. - 272 с., ил.

14.Основные положения развития взаимоувязанной сети связи Российской Федерации на перспективу до 2005 года. Руководящий документ: Книга 1. Концептуально-целевые основы развития и общие организационно-технические положения. - М.: НТУОТ Минсвязи России, 1996. - 246 с.

15.Основы программирования на Delphi для Windows 95. /Том Сван

16.Джон Матчо, Дэвид Р. Фолкнер. Delphi: Пер. с англ.- М.: БИНОМ, 1995. - 464 с.: ил.

17.Фаронов В.В. Турбо Паскаль (в 3-х книгах). Книга 1. Основы Турбо Паскаля. - М.: Учебно-инженерный центр "МВТУ-ФЕСТО ДИДАКТИК", 1992. -304 с., ил.

18.Супербиблия Delphi 3: Пер. с английского/ Туротт Пол и др. - К.: Издательство «ДиаСофт», 1997.- 848 с.

По разделу ОХРАНА ТРУДА

1.  Сибаров Ю.Г. «Охрана труда в вычислительных центрах», М.: Машиностроение, 1990.

2.  Н.Н. Ушаков “Технология производства ЭВМ”, М.: Высшая школа, 1991.

3.  Никитина Е.А. “Охрана труда операторов дисплейной техники”, Безопасность труда в промышленности, N 3, 1993.

4.  Естественное и искусственное освещение. Нормы проектирования. СНИП 23-05-95.-М.: Машиностроение, 1996.

5.  Санитарные нормы и правила 2.2.2. 542 - 96.

По разделу ЭКОНОМИЧЕСКОЕ ОБОСНОВАНИЕ ПРОЕКТА

1.  Экономические расчёты в приборостроении: Учеб. Пособие для приборостроительных спец. вузов. - 2-е изд., переработанное и доп. - М.: Высшая школа, 1983. - 160 с., ил.

2.  Выполнение организационно-экономической части дипломных проектов: Учебное пособие/ Московский государственный институт радиотехники, электроники и автоматики (технический университет) - М., 1994. - 75с.

Похожие работы на - Разработка программы управления сетью оборудования связи Morion-Q2

 

Не нашли материал для своей работы?
Поможем написать уникальную работу
Без плагиата!
Без нейросетей!