Разработка программного обеспечения системы технического зрения для робота-манипулятора

  • Вид работы:
    Дипломная (ВКР)
  • Предмет:
    Информационное обеспечение, программирование
  • Язык:
    Русский
    ,
    Формат файла:
    MS Word
    1,56 Мб
  • Опубликовано:
    2013-06-12
Вы можете узнать стоимость помощи в написании студенческой работы.
Помощь в написании работы, которую точно примут!

Разработка программного обеспечения системы технического зрения для робота-манипулятора















Разработка программного обеспечения системы технического зрения для робота-манипулятора. Часть I

Введение

В современных условиях развития автоматизации производства особое место отводится использованию промышленных роботов. Промышленный робот - это механическая система, включающая манипуляционные устройства, систему управления, чувствительные элементы и средства передвижения. Принципиальными отличиями робототехники от традиционных средств автоматизации являются их широкая универсальность (многофункциональность) и гибкость (мобильность) при переходе на выполнение принципиально новых операций. Промышленные роботы находят применение во всех сферах производственно-хозяйственной деятельности. Они успешно заменяют тяжелый, утомительный и однообразный труд человека, особенно при работе в условиях вредной и опасной для здоровья производственной среды. Они способны воспроизводить некоторые двигательные и умственные функции человека при выполнении ими основных и вспомогательных производственных операций без непосредственного участия рабочих. Для этого их наделяют некоторыми способностями: слухом, зрением, осязанием, памятью и т. д., а также способностью к самоорганизации, самообучению и адаптации к внешней среде.

Робототехника, как любая область техники, развивается, соблюдая закон "от простого к сложному". Характеризуя ее качественный прогресс, принято выделять три разных по сложности и по своим возможностям поколения роботов. Однако можно отметить: деление роботов на поколения, т. е. на их виды по степени сложности и "разумности", достаточно условно, и смысл понятия "поколение" в роботостроении несколько иной, чем в других областях техники. Если вычислительные машины нового поколения полностью заменяют старые, поскольку они более совершенны по всем параметрам, то роботы следующего поколения не вытесняют предыдущие, а дополняют их, так как у всех у них разные функции и области применения.

Для роботов первого поколения характерно то, что они имеют программное управление, т. е. действуют по жесткой, не меняющейся в процессе работы программе; поэтому их называют также "программными роботами". Предназначены они для автоматизации несложных операций при неизменном состоянии окружающей среды. Их система управления имеет только исполнительный уровень: поскольку окружающие условия не меняются, сенсорных устройств нет - никакой связи с внешним миром не требуется, и она отсутствует. К сожалению, функциональные возможности роботов первого поколения существенно ограничены несовершенством их системы управления, служащей для реализации лишь той жесткой программы, которая зафиксирована в памяти. При изменении параметров окружающей среды такой робот не может сам адаптироваться к новым условиям, и требуется вмешательство человека-оператора, чтобы корректировать заданную ему программу, приспосабливая ее к другим параметрам. Таким образом, можно сказать, что роботы первого поколения имеют только нижний уровень системы управления - исполнительный.

Роботы второго поколения - это «очувствленные» роботы, предназначенные для работы с неориентированными объектами произвольной формы. Они отличаются, во-первых, существенно большим набором и совершенством как внешних сенсорных датчиков (телевизионные, оптические, тактильные, локационные и т.п.), так и внутренних (датчики положений "руки" или "ноги" относительно "тела" робота, датчики усилий и моментов и т.п.) и, во-вторых, более сложной системой управления, требующей для своей реализации управляющей ЭВМ.

Возможности роботов второго поколения, оснащенных значительным числом датчиков внешней среды и развитым программным обеспечением, значительно превосходят возможности роботов первого поколения. Благодаря способности распознавать внешнюю обстановку, анализировать сенсорную информацию и приспосабливаться к изменяющимся условиям эксплуатации, очувствленные роботы могут взаимодействовать с неориентированными объектами в неупорядоченной обстановке, а значит, выполнять исследовательские работы, сборочные и монтажные операции, собирать информацию об окружающей обстановке и т.п.

Роботы третьего поколения - это так называемые интеллектуальные (ИР), или разумные, роботы, предназначенные не только и не столько для воспроизведения физических и двигательных функций человека, сколько для автоматизации его интеллектуальной деятельности, т.е. для решения интеллектуальных задач. Они принципиально отличаются от роботов второго поколения сложностью функций и совершенством управляющей системы, включающей в себя элементы искусственного интеллекта. Интеллектуальный робот - это робот, создающий в себе модель внешней среды (проблемной среды), для чего он производит активные и пассивные исследования, сам планирует свои действия, моделирует планы и реализует их.

Робот-манипулятор, исследуемый в данном дипломном проекте можно отнести к роботам второго поколения, так как в он должен быть способен выполнять действия, запрограммированные оператором, взаимодействовать со внешней средой, но он не моделирует мыслительную деятельность человека.

Целью дипломного проектирования является создание программного обеспечения системы технического зрения для робота-манипулятора, достаточно простого в установке, настройке и эксплуатации.

1. Анализ состояния проблемы, обзор аналогов, выбор прототипов и постановка задачи

.1 Анализ состояния проблемы

Высокая точность, отсутствие усталости, беспрерывность цикла работы, возможность применения во вредных и опасных зонах, робототехника становится наиболее важным технологическим этапом современного производства и зачастую определяет качественные характеристики продукта или системы. Основная сложность при автоматизации управления роботизированных систем - обеспечение точности позиционирования в пространстве.

Современные роботы функционируют на основе принципа иерархичности системы управления роботом. Иерархия системы управления роботом подразумевает деление системы управления на горизонтальные слои, управляющие общим поведением робота, расчётом необходимой траектории движения манипулятора, поведением отдельных его приводов, и слои, непосредственно осуществляющие управление двигателями приводов.

Управление бывает нескольких типов:

·  программное управление;

·        управление человеком (например, дистанционное управление);

·        адаптивное управление.

Программное управление - это самый простой тип системы управления, используется для управления манипуляторами на промышленных объектах. В таких роботах отсутствует сенсорная часть, все действия жёстко фиксированы и регулярно повторяются.

Роботы с адаптивной системой управления оснащены сенсорной частью. Сигналы, передаваемые датчиками, анализируются и в зависимости от результатов анализа принимается решение о дальнейших действиях, переходе к следующей стадии действий и т. д.

Одним из примеров адаптивного управления является система технического зрения (СТЗ). Система технического зрения может обеспечивать систему управления манипулятором информацией для идентификации объекта, определения его ориентации и положения, а также препятствий вокруг.

В данном проекте решается проблема адаптивного управления роботом-манипулятором посредством применения видеокамеры и распознавания образов (контуров объектов) методами контурного анализа.

1.2 Обзор аналогов

На сегодняшний день наиболее известными фирмами производителями промышленных систем технического зрения и автоматизированных систем для различных отраслей промышленности являются:

·  ABB (Швеция)         ;

·        Kawasaki (Япония);

·        Cloos (Германия);       

·        KUKA (Германия);

·        Fanuc (Япония); 

·        Motoman (Япония);

·        IGM (Австрия);  

·        Panasoniс (Япония).

Ответить на вопрос, какой робот лучше, не получится. Мировые лидеры роботостроения, динамично развиваются, не уступая друг другу в конкурентной борьбе. Для повышения интереса к промышленным роботам и системам технического зрения, любой может заявить, что промышленные роботы, которые он предлагает лучшие, и это будет неприкрытый обман.

По сути, каждый производитель роботов и СТЗ имеет ассортимент, удовлетворяющий текущий мировой спрос на промышленную автоматизацию. Некоторые производители создают специализированные серии под конкретную технологию. Но в целом, все роботы имеют схожую антропоморфную конструкцию, примерно одинаковый технический уровень и сопоставимое качество сборки.

Не зависимо от производителя манипуляторы включают в себя подвижные звенья двух типов: обеспечивающие поступательные движения и обеспечивающие угловые перемещения. Сочетание и взаимное расположение звеньев определяет степень подвижности, а также область действия манипуляционной системы робота. Для обеспечения движения в звеньях могут использоваться электрические, гидравлический или пневматический привод.

Частью манипуляторов (хотя и необязательной) являются захватные устройства. Наиболее универсальные захватные устройства аналогичны руке человека - захват осуществляется с помощью механических «пальцев». Для захвата плоских предметов используются захватные устройства с пневматической присоской. Для захвата же множества однотипных деталей (что обычно и происходит при применении роботов в промышленности) применяют специализированные конструкции.

Вместо захватных устройств манипулятор может быть оснащен рабочим инструментом. Это может быть пульверизатор, сварочные клещи, отвёртка и тому подобное.

Наиболее известные системы технического зрения приведены ниже.

Система технического зрения F250 фирмы Энергоснаб наряду с возможностями контроля, предоставленными в предыдущей системе фирмы F210, система F250, благодаря наличию в ней специальной быстродействующей схемы, обладает возможностью сверхбыстрой локализации объектов [9]. Наличие четырех портов для подключения камер позволяет организовать одновременный контроль по нескольким параметрам в пределах одной системы. Через интерфейс Ethernet система F250 может обмениваться данными практически с любой компьютерной системой предприятия.

Достоинства данной системы:

·  специальная быстродействующая схема для ускорения инструментов контроля при решении задач, требующих повышенной скорости обработки;

·        возможность подключения четырех камер; возможность локализации объекта в реальном времени;

·        повышенная гибкость благодаря наличию операций ветвления и условных переходов;

·        два гнезда для компактных карт флеш-памяти (CF) для хранения данных и ведения протокола;

·        интерфейс Ethernet, 67 дискретных входов/выходов, RS232.

Характеристики системы:

·  количество инструментов (режимов) контроля (приблизительно 70 инструментов обработки);

·        количество камер (четыре высокоскоростные с построчной разверткой);

·        количество сценариев/банков - 32, расширяется с помощью флэш-карты (CF);

·        количествов инструментов (режимов) на сценарий ограничено только памятью и зависит от инструмента;

·        интерфейс - RS232, 67 дискретных входов/выходов;

·        сеть - Ethernet 10Base/T.

Далее приведены разработки ИМИТ СПбГПУ.

Учеными и инженерами ИМИТ СПбГПУ и ООО «Малленом» разработан универсальный математический аппарат и программные средства, обеспечивающие возможность калибровки и использования произвольного количество камер (два и более), работающих синхронно и наблюдающих одну и ту же сцену с различных позиций ????????[8]. Разработанные методы и алгоритмы анализа стереоизображений позволяют решать широкий круг задач в области автоматизированного контроля формы, геометрии и параметров движения наблюдаемых объектов.

Расположение видеокамер относительно объекта и схема их взаимодействия схематично приведены на рисунках 1 и 2.

Рисунок 1 - Определение формы и положения объекта в пространстве

Рисунок 2 - Вычисление характеристик объекта

Системы технического зрения фирмы Omron - это системы технического зрения серии F150-3. Они позволяют быстро и четко сравнить изображение предмета с заданным изображением для задач контроля качества, идентификации, определения размеров и положения объектов.

Подключение двух камер к контроллеру осуществляется через адаптер, это позволяет не только одновременно получать изображения с обеих камер, но и соединять их в одно (режим вертикально-горизонтального редактирования). Диапазон применений F150-3 расширился за счет использования встраиваемых источников света с изменяемыми параметрами. Уровень освещенности и направление излучения этих моделей могут быть изменены через контроллер.         Достоинства данной модели:

·  до 11 входов и 21 выходов;

·        память на 23 дефектных изображения;

·        модели со сменным или постоянным объективом;

·        настраиваемая скорость затвора;

·        256 градаций серого цвета для точных измерений менее одного пикселя.

Система технического зрения Omron F150-3 представлена на рисунке 3.

Характеристики          F150-3:

·  дистанция срабатывания  61-71 мм,   66-76 мм -          определяется объективом;

·        разрешение в пикселях 659х494,  659х494,    659х494;

·        площадь охвата изображения 20х20 мм         50х50 мм   - определяется объективом;

·        напряжение питания   24 VDC, 24 VDC.

Высокоскоростная система технического зрения F160, представленная на рисунке 4, также разработана фирмой Omron для решения наиболее сложных задач, касающихся контроля за производством продукции.

Система обладает быстродействием, достаточным для инспектирования высокоскоростных производственных линий, а использование карт памяти, способных хранить до 1024 изображений и возможность подключения нескольких камер позволяет применить F160 для линий, производящих много наименований одновременно. Система способна выполнять до 17 операций, что позволяет легко построить систему контроля качества нового поколения.         

Достоинства данной модели:

·  обработка до 32 участков одновременно;

·        13 дискретных входов и 22 дискретных выхода;

·        автоматическое распознавание символов;

·        работа с двумя камерами;

·        упрощенная настройка;

·        связь через RS232C;

·        уникальное быстродействие.

Характеристики F160:

·  модификации: F160-S1     F160-SLC20        F160-SLC50;

·        расстояние срабатывания - определяется объективом       : 51-71 мм, 55-76 мм;

·        площадь захвата рисунка - определяется объективом      20х20 мм, 50х50 мм;

·        разрешение в пикселях 512x484, 512x484, 512x484;        

·        напряжение питания    24 VDC, 24 VDC.

Приведённые системы технического зрения, хотя и имеют множество достоинств, достаточно дороги для приобретения. Тем более, что существуют области применения таких систем, где не нужно трёхмерное распознавание и слишком большая чёткость изображения, несколько камер. Разрабатываемая в данном проекте система технического зрения будет включать в себя всего одну неспециализированную USB веб-камеру, что обеспечит низкую стоимость, а также достаточно простой интерфейс пользователя.

1.3 Постановка задачи на проектирование

Данный дипломный проект предусматривает разработку программного обеспечения системы технического зрения управления роботом-манипулятором посредством ЭВМ. Технические характеристики разрабатываемого устройства, а также требования, касающиеся его работы, надёжности и других параметров рассмотрены ниже.

1.3.1 Требования к аппаратным средствам

Система технического зрения состоит из USB веб-камеры, подключённой к ЭВМ, а также программы распознавания объектов и управления манипулятором.

Манипулятор имеет шесть степеней свободы и имеет управляющий контроллер, подключаемый к ЭВМ посредством COM-интерфейса. Веб-камера закрепляется на штативе вертикально.

1.3.2 Требования к функциональным возможностям системы

Система технического зрения должна обеспечивать поиск контрастных объектов относительно фона, идентификацию, вычисление их координат относительно робота и передачу преобразованных координат системе управления для корректировки положения манипулятора.

Управление параметрами системы технического зрения осуществляется через пользовательскую программу. Интерфейс должен быть понятным и интуитивным, чтобы программой мог воспользоваться любой оператор-пользователь, даже далекий от данной темы.

На программное обеспечение возлагаются ответственные функции:

·  организация протокола связи с устройством;

·        кроссплатформенность ПО;

·        опрос подключенного устройства перед началом работы с целью немедленного обнаружения неисправности или отключения устройства, сигнализирование пользователю о неисправности на линии.

Основными требованиями к алгоритмам управления являются:

·  адекватная реакция на управляющие команды;

·        допущение возможности неадекватных или случайных действий оператора-пользователя;

·        приспособленность к различному подключаемому оборудованию;

·        гарантия отсутствия тупиковых ветвей в любых ситуациях;

·        корректная работа в любом режиме;

·        минимальный объем памяти.

1.3.3 Требования к входным и выходным данным

Входными данными системы являются положение объектов в рабочей области камеры, а также программа, вводимая оператором, задающая последовательность действий, которые должен выполнять манипулятор.

Выходными данными является список найденных контуров, соответствующих по форме известным программе шаблонам, а также изображение с отмеченными найденными объектами.

Выводы

В разделе 1 был произведён анализ состояния проблемы, обзор аналогов.

Сделан вывод о том, что разработка данной системы технического зрения является актуальной задачей в силу своей дешевизны и малых вычислительных требований. В качестве прототипа не подошёл ни один из аналогов, так как ничего не известно о программном обеспечении данных систем. Было сформулировано техническое задание на программное обеспечение системы технического зрения.

2. Выбор, обоснование и разработка математического аппарата распознавания контуров

В связи с решением задачи распознавания контуров следует рассмотреть возможность и полезность применения искусственных нейронных сетей, а также метод контурного анализа.

Искусственная нейронная сеть (ИНС, нейронная сеть) представляет собой набор нейронов, соединенных между собой . Как правило, передаточные функции всех нейронов в нейронной сети фиксированы, а веса являются параметрами нейронной сети и могут изменяться. Несмотря на большое разнообразие вариантов нейронных сетей все они имеют общие черты. Так все они, также как и мозг человека, состоят из большого числа однотипных элементов - нейронов, которые имитируют нейроны головного мозга, связанных между собой. На рисунке 5 показана схема нейрона.

Рисунок 5 - Схема нейрона

Искусственный нейрон, так же как и живой, состоит из синапсов, связывающих входы нейрона с ядром, которое осуществляет обработку входных сигналов и аксона, который связывает нейрон с нейронами следующего слоя. Каждый синапс имеет вес, который определяет насколько соответствующий вход нейрона влияет на его состояние. Состояние S нейрона в общем случае определяется по формуле

S=  i,                                      (1)

где n - число входов нейрона; i- значение i-го входа нейрона;i - вес i-го синапса.

Затем определяется значение аксона Y нейрона по формуле

Y = f(S),                                          (2)

где f (S) - некоторая функция, которая называется активационной.

В данном случае входным вектором для нейронной сети будет являться вектор значений пикселей картинки. Однако, применение нейронных сетей в данном проекте будет нецелесообразно по следующим причинам.

Во-первых, разрешение кадра с камеры достаточно большое - 360*480 точек, и на этом кадре может одновременно располагаться множество контуров, в то время как большинство нейронных сетей ориентируются на распознавание конкретного одиночного образа. Выходом в данной ситуации могла бы быть подача отдельных фрагментов кадра на вход сети, но при этом образы могут быть разных размеров, и неизвестно, какого размера фрагменты должны подаваться на вход сети, а значит неизвестно, какое количество входов должна иметь нейронная сеть. Количество всех вариантов фрагментов разных размеров и с разными положением начальных пикселей будет очень большим, что потребует больших вычислений.

Во-вторых, большое влияние на распознавание образов с помощью нейронной сети оказывает сдвиг образа относительно центра фрагмента, изменение его масштаба, а также поворот образа. Для всех вариантов размера и положения образа придётся формировать обучающие примеры для нейросети.

В-третьих, в данном проекте стоит задача распознавания лишь внешних контуров объектов, то есть их формы, без учёта внутренней структуры объекта. Потому что распознавание внутренней структуры объекта делает применение искусственных нейронных сетей нецелесообразным, так как будет выполняться лишняя работа по распознаванию всего образа, а значит и будут выполняться ненужные вычисления.

Контурный анализ (КА) позволяет описывать, хранить, сравнивать и производить поиск объектов, представленных в виде своих внешних очертаний - контуров [].

Предполагается, что контур содержит всю необходимую информацию о форме объекта. Внутренние точки объекта во внимание не принимаются. Это ограничивает область применимости алгоритмов КА, но рассмотрение только контуров позволяет перейти от двумерного пространства изображения - к пространству контуров, и тем самым снизить вычислительную и алгоритмическую сложность.

КА позволяет эффективно решать основные проблемы распознавания образов - перенос, поворот и изменение масштаба изображения объекта. Методы КА инвариантны к этим преобразованиям.

Немаловажным является и то, что для программной реализации контурного анализа подходит открытая для доступа библиотека OpenCV. Эту библиотеку полезно использовать для решения данной задачи, так как она содержит готовые функции по поиску, определению размеров и координат контуров.

2.1 Разработка метода контурного анализа

Контур - это граница объекта, совокупность точек (пикселей), отделяющих объект от фона.

В системах компьютерного зрения используется несколько способов кодирования контура - наиболее известны код Фримена, двумерное кодирование, полигональное кодирование. Но все эти способы кодирования не используются в КА.

Вместо этого, в КА контур кодируется последовательностью, состоящей из комплексных чисел. На контуре фиксируется точка, которая называется начальной точкой. Затем, контур обходится (допустим - по часовой стрелке), и каждый вектор смещения записывается комплексным числом a+ib, где a - смещение точки по оси X, а b - смещение по оси Y. Смещение берется относительно предыдущей точки, как показано на рисунке 6.

Рисунок 6 - Пример определения контура

Каждый вектор контура называется элементарным вектором (ЭВ). А сама последовательность комплекснозначных чисел - вектор-контуром (ВК). Таким образом, вектор-контур Г длины k можно обозначить как

                                  (3)

где y0, y1, …, yk-1, - элементарные вектора вектор-контура Г.

В КА используется именно комплекснозначное кодирование, потому что операция скалярного произведения для векторов и для комплексных чисел - различны. Операции над контуром именно как над вектором комплексных чисел обладает необходимыми математическими свойствами, по сравнению с другими способами кодирования. Именно это обстоятельство и дает преимущество методам КА.

Свойства контуров:

·  сумма ЭВ замкнутого контура равна нулю, поскольку элементарные векторы приводят в начальную точку, а значит их сумма равна нуль-вектору;

·        контур-вектор не зависит от параллельного переноса исходного изображения; поскольку контур кодируется относительно начальной точки, то этот способ кодирования инвариантен сдвигу исходного контура;

·        поворот изображения на определенный угол равносилен повороту каждого ЭВ контура на тот же угол;

·        изменение начальной точки ведет к циклическому сдвигу ВК; поскольку ЭВ кодируются относительно предыдущей точки, то понятно, что при изменении начальной точки последовательность ЭВ будет та же самая, но первым ЭВ будет тот, который начинается в начальной точке;

·        изменение масштаба исходного изображения можно рассматривать как умножение каждого ЭВ контура на масштабный коэффициент.

Скалярным произведением контуров Г и N называется такое комплексное число

 (4)

где k - размерность ВК;

γn - n-й элементарный вектор контура Г;

νn - n-й ЭВ контура N;

n, νn) - скалярное произведение комплексных чисел, вычисляемое как

   (5)

где а - вещественная часть первого комплексного множителя,

b - мнимая часть первого комплексного множителя,

с - вещественная часть второго комплексного множителя,

d - мнимая часть второго комплексного множителя,

i - мнимая единица.

В КА допускается скалярное произведение только ВК одинаковой размерности. То есть число элементарных векторов в контурах должно совпадать.

Результатом скалярного произведения векторов является действительное число. А результатом произведения комплексных чисел - комплексное число.

Действительная часть скалярного произведения комплексных чисел совпадает со скалярным произведением соответствующих векторов. То есть комплексное произведение включает в себя векторное скалярное произведение.

Физический смысл и свойства скалярного произведения. В линейной алгебре скалярное произведение равно произведению длин векторов на косинус угла между ними. Это значит, что два перпендикулярных вектора всегда будут иметь нулевое скалярное произведение, коллинеарные же вектора - напротив, будут давать максимальное значение скалярного произведения.

Эти свойства произведения позволяют использовать его как определенную меру близости векторов. Чем оно больше - тем меньше угол между векторами, тем «ближе» они друг к другу. Для перпендикулярных векторов - оно опускается до нуля, и далее становится отрицательным для векторов, направленных в разные стороны. Скалярное произведение (4) также обладает похожими свойствами.

Далее вводится еще одно понятие - нормированное скалярное произведение (НСП)

 (6)

где |Г| и |N| - нормы(длины) контуров, вычисляемые как

 . (7)

НСП в пространстве комплексных чисел, также является комплексным числом. При этом, единица - это максимально возможное значение модуля НСП (это следует из неравенства Коши-Буняковского: |ab|≤|a||b|), и она достигается только если

, (8)

где μ - произвольное комплексное число.

Физический смысл умножения комплексных чисел следующий. При умножении комплексных чисел, их модули (длины) перемножаются, а аргументы(углы) - складываются. Значит контур μN это тот же контур N, но повернутый и промасштабированный, как показано в таблице 1. Масштаб и поворот определяется комплексным числом μ.

Модуль НСП достигает максимального значение - единицы, только если контур Г является тем же контуром N, но повернутым на некоторый угол и промасштабированный на определенный коэффициент.

Для примера рассмотрено скалярное умножение контура самого на себя, но повернутого на определенный угол.

Так, если посчитать НСП вектора самого на себя, то мы получим НСП=1, если повернуть контур на 90 градусов, получается НСП=0+i, поворот на 180 градусов даст НСП=-1. При этом, действительная часть НСП будет давать косинус угла между контурами, а модуль НСП всегда будет равна единице.

Таблица 1 - Свойства нормированного скалярного произведения векторов


Аналогично, если умножить ВК на некоторый действительный коэффициент, то получится НСП=1 (это несложно увидеть из формулы (4)).

Итак, модуль нормированного скалярного произведения контуров даст единицу только в том случае, если эти два контура равны с точностью до поворота и масштаба. В противном случае, модуль НСП будет строго меньше единицы. Это центральный вывод КА. Фактически, модуль НСП является инвариантом по переносу, вращению и масштабированию контуров. Если есть два одинаковых контура, то их НСП всегда даст единицу, не зависимо от того, где контуры находятся, каков их угол поворота и масштаб. Аналогично, если контуры различны, то их НСП будет строго меньше единицы, и также независимо от места, вращения и масштаба.

Модуль дает меру сходства контуров, а аргумент НСП (равный atan(b/a)) - дает угол поворота контуров относительно друг друга. НСП является чрезвычайно полезной формулой для поиска похожих между собой контуров. К сожалению, есть одно обстоятельство не позволяющее использовать его напрямую. И это обстоятельство - выбор начальной точки.

Дело в том, что равенство (7) достигается только если начальные точки контуров - совпадают. Если же контуры одинаковы, но отсчет ЭВ начинается с другой начальной точки, то модуль НСП таких контуров не будет равен единице.

Вводится понятие взаимокорреляционной функции (ВКФ) τ(m) двух контуров

, (9)

где N(m) - контур, полученный из N путем циклического сдвига его ЭВ на m элементов.

Для примера, если N=(n1, n2, n3, n4), то N(1)=(n2, n3, n4, n1), N(2)=(n3, n4, n1, n2) и так далее.

Значения взаимокорреляционной функции показывают, насколько похожи контуры Г и N, если сдвинуть начальную точку N на m позиций.

ВКФ определена на всем множестве целых чисел, но поскольку циклический сдвиг на k приводит нас к исходному контуру, то ВКФ является периодической, с периодом k. Поэтому нас будет интересовать значения этой функции только в пределах от 0 до k-1.

Находится величина τmax, имеющая максимальный модуль среди значений ВКФ

. (10)

Из определений НСП и ВКФ, понятно, что τmax является мерой похожести двух контуров, инвариантной переносу, масштабированию, вращению и сдвигу начальной точки.

При этом, модуль |τmax| показывает степень похожести контуров, и достигает единицы для одинаковых контуров, а аргумент arg(τmax) дает угол поворота одного контура, относительно другого.

Вводится еще одно понятие - автокорреляционной функции (АКФ) υ(m). Автокорреляционная функция является ВКФ для которой N=Г. По сути - это скалярное произведение контура самого на себя при различных сдвигах начальной точки

. (11)

Далее представлены некоторые свойства АКФ.

Свойство 1 - АКФ не зависит от выбора начальной точки контура. Действительно, посмотрим на определение скалярного произведения (4). Как видим, изменение начальной точки приведет просто к изменению порядка суммируемых элементов и не приведет изменению суммы. Этот вывод не столь очевиден, но если вдуматься в смысл АКФ, то он ясен.

Свойство 2 - модуль АКФ симметричен относительно центрального отсчета k/2. Поскольку АКФ является суммой попарных произведений ЭВ контура, то каждая пара встретится два раза на интервале от 0 до k.

Пример - Дано N=(n1, n2, n3, n4). Значения АКФ для разных m описываются следующим образом.

АКФ(0)=(n1,n1)+(n2,n2)+(n3,n3)+(n4,n4)

АКФ(1)=(n1,n2)+(n2,n3)+(n3,n4)+(n4,n1)

АКФ(2)=(n1,n3)+(n2,n4)+(n3,n1)+(n4,n2)

АКФ(3)=(n1,n4)+(n2,n1)+(n3,n2)+(n4,n3)

АКФ(4)=(n1,n1)+(n2,n2)+(n3,n3)+(n4,n4)

Следует обратить внимание на то, что слагаемые в АКФ(1) те же самые, что и в АКФ(3), с точностью до перестановки множителей. А вспомнив, что для комплексных чисел (a, b)=(b, a)*, получаем что АКФ(1)=АКФ(3)*, где * - знак сопряженного комплексного числа.

А поскольку |a*|=|a|, то получается что модули АКФ(1) и АКФ(3) - совпадают.

Аналогично, совпадают модули АКФ(0) и АКФ(4).

Далее везде под АКФ понимается только часть функции на интервале от 0 до k/2, поскольку остальная часть функции - симметрична первой части.

Свойство 3 - если контур имеет какую-либо симметрию относительно поворота, то аналогичную симметрию имеет его АКФ. Для примера на рисунке 7 приведены графики АКФ для некоторых контуров.

Рисунок 7 - Графики АКФ для некоторых контуров

На рисунке 7 модуль АКФ изображен чёрным цветом (АКФ изображена только для интервала от 0 до k/2).

Все контуры, кроме последнего, изображённые на рисунке 9, имеют симметрию к повороту, что приводит к симметрии АКФ. Последний же контур такой симметрии не имеет, и график его АКФ - не симметричен.

АКФ контура в определенном смысле можно считать характеристикой формы контура. Так, формы, близкие к кругу имеют равномерные значения модуля АКФ (на рисунке 9 для круга). Сильно вытянутые в одном направлении формы - имеют провал в центральной части АКФ (рисунок 9 для прямоугольника). Формы, переходящие в самих себя при повороте, имеют максимум АКФ в соответствующем месте (рисунок 9 для АКФ квадрата).

Свойство 4 - нормированная АКФ не зависит от масштаба, положения, вращения и выбора начальной точки контура. Это следует из свойств НСП.

2.2 Эквализация контуров

Методы КА подразумевают одинаковую длину контуров. В реальном же изображении контуры имеют произвольную длину. Поэтому, для поиска и сравнения контуров, все они должны быть приведены к единой длине. Этот процесс называется эквализацией. Далее рассматривается простой и быстрый способ эквализации, который, помимо приведения к единой длине, производит сглаживание контура методом скользящего среднего.

Сначала фиксируется k - длина ВК, которая будет использоваться в системе распознавания. Затем, для каждого исходного контура Г создаётся вектор-контур N длиной k. Далее возможно два варианта - либо исходный контур имеет большее число ЭВ, чем k, либо меньшее число, чем k.

Если исходный контур больше необходимого, то перебираются все его ЭВ, и считаются элементы N как сумма всех ЭВ следующим образом (C++)

Complex newVector[newCount];              (int i = 0; i < Count; i++)[i * newCount / Count] += oldVector[i];.

Этот алгоритм достаточно грубый, особенно для длин немногим больших k, однако он вполне применим на практике. Выбор значения k определяется спецификой прикладной области. С одной стороны, большая длина k означает большие затраты на вычисления. С другой стороны - малые значения k несут меньше информации, и точность распознавания снижается, а распознавание шума - увеличивается.

Опытным путем установлено, что при малых значениях k (менее 30) резко повышается число шумовых распознаваний (распознавание как символов шума или других несимвольных элементов изображения), снижается число верных распознаваний, и увеличивается число ложных распознаваний. Таким образом, значение k=30 является оптимальным для данной системы распознаваний.

Можно выявить, что увеличение длины контура, после определенного уровня вовсе не приводит к улучшению качества распознавания. Это связано с тем, что в описанном методе, эквализация проводится одновременно со сглаживанием контуров. При больших значениях длины, сглаживание становится все более мелкомасштабным, и контур становится слишком детализированным, и следовательно, более отличным от шаблонных контуров.

3. Разработка программного обеспечения системы технического зрения

.1 Структура системы технического зрения

На рисунке 8 представлена структурная схема системы технического зрения.

Рисунок 8 - Структурная схема системы технического зрения

Веб-камера установлена так, чтобы видеть рабочую область сверху. Располагать камеру имеет смысл так, чтобы её поле зрения охватывало ту область, до которой манипулятор может дотянуться. ЭВМ обрабатывает изображение, которое передается с веб-камеры посредством интерфейса USB. Результатом обработки являются преобразованные координаты идентифицированного объекта, которые передаются управляющему контроллеру. Координаты сохраняются в энергозависимой памяти и используются для формирования управляющих сигналов для сервоприводов. Управление манипулятором доступно также в ручном режиме с помощью отдельной клавиатуры. Управляющие сигналы отклоняют сервоприводы так, чтобы захват манипулятора установился над указанным объектом. Сжатие захвата производится в ручном режиме. Для управления клешнёй используется контроллер ATMega32a [1, 2, 3, 4].

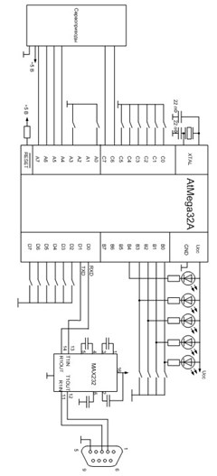
3.2 Функциональная схема устройства управления манипулятором

Функциональная схема устройства управления манипулятором представлена на рисунке 9.

В состав устройства управления манипулятором входят:

·        управляющий микроконтроллер AtMega32A;

·  интегральная схема MAX232, преобразующая сигналы последовательного порта RS-232 в сигналы, пригодные для использования в цифровых схемах на базе ТТЛ;

·        разъем последовательного порта типа DB9;

·        блок клавиш;

·        блок индикаторов;

·        генератор тактовых импульсов.

Отклонение сервоприводов регулируется управляющими сигналами через порты ввода-вывода. Блок клавиш подсоединен к портам, которые настроены как входы, диоды - на выходы. Порты, к которым одновременно присоединены и кнопки и диоды могут быть настроены как входы или как выходы в зависимости от текущего состояния. Микроконтроллер имеет на борту универсальный последовательный интерфейс - UART. По структуре это обычный асинхронный последовательный протокол, то есть передающая сторона по очереди выдает в линию 0 и 1, а принимающая отслеживает их и запоминает. Синхронизация идет по времени - приемник и передатчик заранее настроены, на какой частоте будет идти обмен. Если скорость передатчика и приёмника не будут совпадать, то передачи может не быть вообще, либо будут считаны не те данные. Протокол реализован аппаратно. По такому же протоколу работает COM порт компьютера, разница лишь в разнице напряжений, поэтому для связи используется схема MAX232.


3.3 Схема взаимосвязей программы

Схема взаимосвязей программы представлена на рисунке 10.

Рисунок 10 - Схема взаимосвязей программы

Блок интерфейса пользователя позволяет задавать команды управления манипулятором, управлять шаблонами, а также настройками камеры.

Блок управления камерой содержит функции начальной настройки камеры, получения изображения и его предварительной обработки.

Блок выполнения контурного анализа отвечает за нахождение контуров, их классификации и определения их пространственного положения.

Блок расчета координат принимает координаты, полученные в результате КА, и переводит их в координаты сервоприводов. Также координаты могут быть получены непосредственно от пользователя.

Блок подстройки манипулятора выполняет минимизацию погрешностей координат, полученных в результате расчетов.

Блок передачи координат сервоприводов выполняет настройку интерфейса между ЭВМ и управляющим контроллером, а также передачу данных.

Блок добавления шаблонов позволяет сформировать новые шаблоны и сохранить их для дальнейшей работы.

Блок добавления команд представляет собой конструктор пользовательских команд.

Блок выполнения команд дешифрирует команды программы, заданной пользователем и отвечает за дальнейшее их выполнение.

Блок управления сервоприводами, выполняемый непосредственно контроллером, отвечает за принятие координат и формирование управляющих сигналов сервоприводов.

3.4 Разработка схемы работы программы

Схема работы программы представлена на рисунке 11.

Работа программы начинается с отображения пользовательского меню. При запуске программы производится чтение из файла шаблонов контуров. Далее пользователь осуществляет выбор пункта меню.

В блоке 4 выполняется инициализация com-порта, связывающего компьютер с управляющим контроллером. После чего отправляются координаты начальных положений сервоприводов манипулятора.

В блоке 5 выполняется запуск подпрограммы обработки кадров, в которой происходит получение изображения с камеры (блок 28), его обработка (блок 29), поиск маркеров (блок 30), вывод изображений на экран (исходное, бинаризированное, изображение с маркерами) (блок 31). Данная последовательность действий происходит циклически, параллельно с работой программы.

В блоке 6 выполняется калибровка камеры по исходному положению маркеров манипулятора, а также нахождение координат левого верхнего угла кадра относительно центра манипулятора (нулевого сервопривода).

В блоке 7 пользователь задаёт значения параметров цветовой модели, используемой для бинаризации исходного изображения.

В блоке 8 вводятся исходные данные для команд, а в блоке 9 формируются команды, добавляемые в пользовательскую программу. В блоке 10 производится удаление текущей команды из пользовательской программы.

В блоке 11 происходит декодирование команды.

При выполнении команды «Найти» происходит получение бинаризированного изображения с камеры (блок 12), выполнение контурного анализа (блок 13) и вывод списка найденных контуров (блок 14).

При выполнении команд «Взять» или «Переместить» производится вычисление координат сервоприводов (блок 15) на основе исходных данных команды (для команды «Переместить») или на основе координат центра контура, полученных в результате контурного анализа. Далее координаты сервоприводов передаются в управляющий контроллер (блок 16). После этого происходит ожидание смены положения сервоприводов (блок 17), получение координат новой позиции маркеров (блок 18), по которым вычисляется отклонение манипулятора от заданной цели.

Рисунок 11 - Схема работы программы

Если отклонение превышает пределы допустимой погрешности, производится подстройка координат манипулятора (блок 19), иначе подстройка координат не выполняется. Для команды «Взять» выполняется передача координат для захвата объекта (блок 20) и удаление контура из списка (блок 21).

При выполнении команды «Отпустить» происходит передача координат на разжатие щупа (блок 22).

При выполнении команды «Очистить список» происходит удаление всех контуров из списка найденных (блок 23).

При выполнении команд сортировки происходит сортировка списка найденных контуров по заданным параметрам (блоки 24-27).

3.5 Выбор цветовой модели представления изображения для распознавания

Для распознавания контуров объектов, находящихся в рабочей области используется картинка с USB веб-камеры. Картинка с камеры представлена в цветовой модели RGB, то есть цвет каждого пикселя изображения закодирован с помощью трёх чисел - составляющих красного, зелёного и голубого цветов.

Для распознавания контуров с использованием цветовой модели RGB предлагается следующая последовательность действий. Картинка представляется с помощью градаций серого цвета, и пиксели, имеющие оттенок серого более определённого порога, окрашиваются в белый цвет, а все остальные - в чёрный. С помощью метода контурного анализа распознаются контуры.

Таким же образом предполагается выполнять распознавание маркеров, находящихся на пальцах щупа робота. Маркеры имеют ярко-зелёный цвет и для их выделения на картинке следует определить порог всех составляющих цвета (красный, зелёный и голубой). Далее, используя условие превышения порогов, пиксели, принадлежащие контурам маркеров закрашиваются белым (на отдельной копии кадра), а все остальные точки изображения - чёрным.

Такая модель представления цветов имеет следующие важные недостатки.

Большое влияние теней и слабой освещённости на эффективность распознавания. То есть при малейшем изменении освещённости некоторые пиксели изображения не будут распознаваться как часть контура, либо к контуру будут относиться и те пиксели, которые не являются частью его. Ещё более сложным является выделение маркеров, так как при малейшем затемнении оттенок зелёного станет другим, который не будет удовлетворять условию отсеивания, то есть существует большая вероятность ненахождения маркеров.

Три координаты задания цветового тона. Довольно сложно задать нужный цветовой тон, тем более цветовой диапазон, так как цветовой тон задают три координаты. Приходится искать их сочетание для определения тона.

Исходя из этих двух недостатков, решено рассмотреть существующие модели представления цвета и выбрать наиболее подходящую. Но для начала следует рассмотреть, что такое цвет.

Общие сведедния о цвете. Цвет имеет как психофизиологическую, так и психофизическую природу. Восприятие цвета зависит от физических свойств света, т. е. электромагнитной энергии, от его взаимодействия с физическими веществами, а также от их интерпретации зрительной системой человека. Эта проблема чрезвычайно широка, сложна и интересна. Следует рассмотре ть наиболее важные понятия, основы связанных с цветом физических явлений, систем представления цвета и преобразований между ними. Зрительная система человека воспринимает электромагнитную энергию с длинами волн от 400 до 700 нм как видимый свет (1 нм= 10-9 м), как показано на рисунке 12

Рисунок 12 - Видимый свет

Свет принимается либо непосредственно от источника, например электрической лампочки, либо косвенно при отражении от поверхности объекта или преломлении в нем. Источник или объект является ахроматическим, если наблюдаемый свет содержит все видимые длины волн в приблизительно равных количествах. Ахроматический источник кажется белым, а отраженный или преломленный ахроматический свет - белым, черным или серым. Белыми выглядят объекты, ахроматически отражающие более 80% света белого источника, а черными - менее 3%. Промежуточные значения дают различные оттенки серого. Интенсивность отраженного света удобно рассматривать в диапазоне от 0 до 1, где 0 соответствует черному, 1 - белому, а промежуточные значения - серому цвету.

Хотя трудно определить различие между светлотой и яркостью, светлота обычно считается свойством несветящихся или отражающих объектов и изменяется от черного до белого, а яркость является свойством самосветящихся или излучающих объектов и изменяется в диапазоне от низкой до высокой. Светлота или яркость объекта зависит от относительной чувствительности глаза к разным длинам волн. Из рисунка 13 видно, что при дневном свете чувствительность глаза максимальна при длине волны порядка 550 нм, а на краях видимого диапазона спектра она резко падает.

Рисунок 13 - Относительная чувствительность глаза

Кривая на рисунке 13 называется функцией спектральной чувствительности глаза. Это мера световой энергии или интенсивности с учетом свойств глаза. Если воспринимаемый свет содержит длины волн в произвольных неравных количествах, то он называется хроматическим.

Если длины волн сконцентрированы у верхнего края видимого спектра, то свет кажется красным или красноватым, т. е. доминирующая длина волны лежит в красной области видимого спектра. Если длины волн сконцентрированы в нижней части видимого спектра то свет кажется синим или голубоватым, т. е. доминирующая длина волны лежит в синей части спектра. Однако сама по себе электромагнитная энергия определенной длины волны не имеет никакого цвета. Ощущение цвета возникает в результате преобразования физических явлений в глазу и мозге человека. Цвет объекта зависит от распределения длин волн источника света и от физических свойств объекта. Объект кажется цветным, если он отражает или пропускает свет лишь в узком диапазоне длин волн и поглощает все остальные. При взаимодействии цветов падающего и отраженного или пропущенного света могут получиться самые неожиданные результаты. Например, при отражении зеленого света от белого объекта и свет, и объект кажутся зелеными, а если зеленым светом освещается красный объект, то он будет черным, так как от него свет вообще не отражается.

Психофизиологическое представление света определяется цветовым тоном, насыщенностью и светлотой. Цветовой тон позволяет различать цвета, а насыщенность - определять степень ослабления (разбавления) данного цвета белым цветом. У чистого цвета она равна 100% и уменьшается по мере добавления белого. Насыщенность ахроматического цвета составляет 0%, а его светлота равна интенсивности этого света.

Психофизическими эквивалентами цветового тона, насыщенности исветлоты являются доминирующая длина волны, чистота и яркость. Электромагнитная энергия одной длины волны в видимом спектре дает монохроматический цвет.

Обычно встречаются не чистые монохроматические цвета, а их смеси. В основе трехкомпонентной теории света служит предположение о том, что в центральной части сетчатки находятся три типа чувствительных к цвету колбочек. Первый воспринимает длины волн, лежащие в середине видимого спектра, т. е. зеленый цвет; второй - длины волн у верхнего края видимого спектра, т. е. красный цвет; третий - короткие волны нижней части спектра, т. е. синий. Относительная чувствительность глаза, как показано на рисунке 12 максимальна для зеленого цвета и минимальна для синего. Если на все три типа колбочек воздействует одинаковый уровень энергетической яркости (энергия в единицу времени), то свет кажется белым.

Естественный белый свет содержит все длины волн видимого спектра; однако ощущение белого света можно получить, смешивая любые три цвета, если ни один из них не является линейной комбинацией двух других. Это возможно благодаря физиологическим особенностям глаза, содержащего три типа колбочек. Такие три цвета называются основными

Цветовая модель- это способ воспроизведения цветовых ощущений. Например, модель RGB - это описание трех лучей определенного спектрального состава (красного (R), зеленого (G), синего (B)). Цветовая модель CMYK работает на основе четырех составляющих - голубого, пурпурного, желтого и черного красителей (чернила принтера, печатные краски). Кроме цветовой модели существует понятие цветовой координатной системы. Будем считать, что цветовая координатная система подразумевает наличие стандартизованных цветовых координат, а значения переменных цветовой модели не имеют ничего общего с координатами.- самая естественная модель кодировки цвета, построена на трёх основных цветах, которые воспринимают разные виды колбочек. Каждый из цветов R-Красный, G-Зеленый и B-Синий имеют один из 256 уровней интенсивности. Эту модель еще называют аддитивной, потому что с увеличением яркости отдельных цветов результирующий цвет тоже становится ярче. На рисунке 14 показано, как смешиваются цвета, например, красный + зеленый, дает желтый, а красный + синий, даст фиолетовый.

Рисунок 14- Смешение цветов в RGB

При равной интенсивности всех трех цветов, получаются градации серого, при максимальной яркости - белый, при отсутствии - черный. С точки зрения редактирования изображения на экране компьютера, эта цветовая модель является наиболее удобной, так как обеспечивает доступ ко всем 16 миллионам цветов, которые могут быть выведены на экран. Недостатком модели RGB является то, что не все цвета созданные в этом режиме могут быть выведены на печать.

Другая модель, которая используется в компьютерной графике, -модель HSV. Растровые форматы не используют модель HSV для хранения изображений, так как она содержит всего 3 миллиона цветов.

В модели HSV цвет разлагается на три составляющие:

·  hue - цветовой тон, (например, красный, зелёный или сине-голубой), варьируется в пределах 0-360°, каждое значение соответствует одному цвету, например, 0 - это красный цвет, 45 - оттенок оранжевого и 55 - оттенок желтого. Иногда приводится к диапазону 0-100 или 0-1;

·        saturation - насыщенность. Это соотношение основного тона и равного ему по яркости бесцветно серого. Максимально насыщенный цвет не содержит серого вообще. Чем меньше насыщенность цвета, тем он нейтральней, тем труднее однозначно охарактеризовать его. Чем больше этот параметр, тем «чище» цвет, поэтому этот параметр иногда называют чистотой цвета. Обычно варьируется в пределах 0-100% (0 означает отсутствие цвета, т.е. оттенок серого в диапазоне между черным и белым; 100 - насыщенный цвет) или 0-1.

·        value (значение цвета) - это общая яркость цвета. Минимальное значение этого параметра превращает любой цвет в черный. Изменяется от 0 до100% (0 - это черный; 100 - может быть белый или более или менее насыщенный цвет).

Графическое представление данной цветовой модели представлено на рисунке 15. технический зрение математический прототип

Рисунок 15 - Графическое представление цветовой модели HSV

Преимущества модели HSV над RGB в том, что оттенок цвета (цветовой тон) задаётся только одной координатой - hue, что позволяет легче отсеивать только нужные цвета с картинки. Кроме того, с помощью координат saturation и value можно минимизировать или полностью исключить влияние слабой освещённости, затемнения или теней в рабочей области камеры. Цветовая модель HSL, также известная, как HLS или HSI, представляет собой следующее:

·  HUE - тип цвета(такой как красный, синий или желтый). - Изменяется от 0 to 360°, каждое значение соответствует одному цвету, например, 0 - это красный цвет, 45 - оттенок оранжевого и55 - оттенок желтого.

·        SATURATION - насыщенность, вариации цвета в зависимости от яркости. - Изменяется от 0 до100% (от центра оси L черный-белый).

·        LIGHTNESS (а также Luminance, или Luminosity, или Intensity) - светлота. Изменяется от 0 до100% (от черного к белому).

Этой модели соответствуют следующие графические интерпретации, приведённые на рисунке 16.

Рисунок 16 - Цветовая модель HSL

Цветовая модель HLS (цветовой тон, светлота, насыщенность) в виде двойного шестигранного конуса является расширением одиночного конуса HSV. Так как модель HLS применяется для самосветящихся предметов, светлота здесь обозначает яркость. В модели HLS цветовой куб RGB проецируется так, что получается двойной шестигранный конус со светлотой по оси от 0 (черный) в одной вершине до 1 (белый) во второй (рисунок 15). Как и в модели HSV, насыщенность определяется радиальным расстоянием от центральной оси. Полностью насыщенные основные цвета и их дополнения получаются при S = 1.

Цветовая модель CMYK, также известная как CMJN, состоит из четырех составляющих:

·  CYAN (голубой) - изменяется в диапазоне от 0 до100%;

·        MAGENTA (пурпурный) - изменяется в диапазоне от 0 до100%;

·        YELLOW (желтый) - изменяется в диапазоне от 0 до100%;

·        BLACK (черный) - изменяется в диапазоне от 0 до100%. в отличие от RGB является субтрактивной моделью, то есть на бумаге, максимальная яркость дает черный цвет, а отсутствие- белый, в этом их принципиальное различие. Раскладывается она тоже по-другому, на С (Cyan - голубой), M (Magenta - пурпурный), Y (Yellow - желтый) и B (blacK - черный).

На рисунке 17 показано, как смешиваются цвета в этой модели. Голубой + пурпурный дают глубокий синий цвет, пурпурный + желтый, дают ярко-красный, желтый + голубой - зеленый. Голубой, пурпурный и желтый образуют грязно-коричневый цвет. Черный делает любой цвет более темным, отсутствие красителя дает белый.

Рисунок 17 - Смешение цветов в модели CMYK

Интересная особенность этой модели в том, что, не смотря на то, что количество каналов у CMYK целых четыре, и каждый из них содержит 256 градаций яркости, цветовое пространство CMYK уже, чем у RGB.

Типографские краски не могут передать все цвета RGB, поэтому визуально насыщенность CMYK ниже, чем у RGB.

Собственно, для получения полной палитры требуется 3 цвета: С (Cyan - голубой), M (Magenta - пурпурный), Y (Yellow - желтый). Черный (Black) используется для усиления черного, из-за недостаточно качественного представления чёрного цвета с помощью трёх составляющих, а также из-за дешевизны чёрных чернил по сравнению с цветными и для усиления теней на рисунке.

Модель YUV или YCbCr определяет цветовое пространство втерминах компонент яркость/цветность.

·  Y, яркостная компонента, или интенсивность. Изменяется в диапазоне от 0 до100%.

·        U и V (Сb и Сr) составляющие цветности (синяя и красная соответственно). Определяется в зависимости от используемой версии YUV (YCbCr).

Большая часть визуальной информации, к которой наиболее чувствительны глаза человека, состоит из высокочастотных, полутоновых компонентов яркости (Y) цветового пространства YUV (YCbCr). Две других составляющих цветности (U и V или Сb и Сr) содержат высокочастотную цветовую информацию, к которой глаз человека менее чувствителен.

Модель YUV (YCbCr) используется в видеостандартах PAL, NTSC и SECAM.

Графическое представление модели приведено на рисунке 18:

Рисунок 18 - Цветовая модельYUV

Система CIE XYZ была создана в1931 г. в Англии, где состоялось заседание Международной комиссии по освещению (МКО) (Commission International de l'Eclairage), на котором обсуждались международные стандарты определения и измерения цветов. В качестве стандарта был выбран двумерный цветовой график МКО (CIE) 1931г. и набор из трех функций реакции глаза, позволяющий исключить отрицательные величины и более удобный для обработки. Основные цвета системы МКО (CIE) получены из стандартных функций реакции глаза, график которой приведён на рисунке 19.

Рисунок 19 - Стандартный колориметрический наблюдатель МКО (CIE) 1931 г.

Гипотетические основные цвета системы МКО обозначаются X, У, Z. На самом деле они не существуют, так как без отрицательной части они не могут соответствовать реальному физическому свету. Треугольник XYZ был выбран так, чтобы в него входил весь видимый спектр. Координаты цветности системы МКО (CIE) x, y, z таковы:

x=  , y=  , z=  и х + у +z = 1.         (12)

При проекции треугольника XYZ на плоскость ху получается цветовой график МКО (CIE). Координаты цветности х и у представляют собой относительные количества трех основных цветов XYZ, требуемые для составления любого цвета. Однако они не задают яркость (интенсивность) результирующего цвета. Яркость определяется координатой Y, а X и Z подбираются в соответствующем масштабе. При таком соглашении (х, у, Y) определяют как цветность, так и яркость.

Обратное преобразование координат цветности в координаты цвета XYZ имеет вид:

X= x  , Y= Y , Z= (1 - x - y )                (13)

Комиссия решила ориентировать треугольник XYZ таким образом, чтобы равные количества гипотетических основных цветов XYZ в сумме давали белый.

Таким образом, система CIE XYZ - это:

·  X, которую можно сравнить с красной - изменяется от 0 до 0,9505

·        Y, которую можно сравнить с зеленой - изменяется от 0 до 1,0

·        Z, которую можно сравнить с синей - изменяется от 0 до 1,089

Система CIE XYZ может быть представлена так, как показано на рисунке 20.

Рисунок 20 - Цветовая система CIE XYZ

Модель YIQ. Для того чтобы использовать модель RGB как стандарт в цветном телевидении, сигнал должен лежать в полосе от 0 до 6 МГц и быть совместимым со стандартным черно-белым телевидением. В1953 г. Национальный комитет по телевизионным системам (NTSC) принял в качестве стандарта цветовую модель YIQ, основанную на системе МКО (CIE) XYZ. Из-за ограничений на ширину полосы пропускания яркость определяется одной координатой Y. Сигнал Y занимает основную часть полосы частот (0-4 МГц), причем в нем пропорции красного, зеленого и синего основных цветов NTSC выбраны так, что он соответствует кривой спектральной чувствительности глаза. В сигнале Y содержится информация о яркости, поэтому в черно-белом телевидении используется только эта координата. В качестве опорного белого цвета в системе NTSC раньше использовался стандартный источник С МКО (CIE). Сейчас же для этой цели обычно применяется стандартный источник D6500 МКО (CIE).

Различие между ними невелико. Для того чтобы передавать цвет, т. е. тон и насыщенность, при помощи более узкой полосы частот, учитываются некоторые особенности зрительного восприятия. В частности, чем меньше предмет, тем хуже различаются его цвет, а объекты, меньшие определенного размера, кажутся черно-белыми. Если же объект меньше некоторого минимального предела, то его цвет вообще не воспринимается. В модели YIQ информация о тоне и насыщенности цвета представляется с помощью линейных комбинаций разностей красного, зеленого и синего цветов и значения Y. Координата цвета I (синфазный сигнал) соответствует цветам от оранжевого до голубого, т. е. "теплым" тонам, Q (интегрированный сигнал) - от зеленого до пурпурного, т. е. всем остальным. Координата I занимает полосу частот примерно 1,5 МГц, a Q - только 0,6 МГц.

Следует также рассмотреть модель Манселла. Цилиндрическое представление используется также в цветовой модели Манселла, основанной на наборе образцов цвета. Модель Манселла - это стандарт восприятия. В этой модели цвет определяется цветовым тоном, насыщенностью (чистотой) и светлотой (количеством света). На центральной оси цилиндра находятся значения интенсивности от черного на нижней грани до белого - на верхней. При увеличении радиального расстояния от оси возрастает насыщенность, или чистота, цвета. Цветовой тон определяется углом, как показано на рисунке 21.

Рисунок 21 - Концептуальное представление модели цветов Манселла

Главное преимущество модели Манселла, благодаря которому она широко применяется в промышленности, состоит в том, что одинаковые приращения насыщенности, тона и интенсивности вызывают ощущения одинаковых изменений при восприятии. В цилиндре есть незаполненные места. Существует преобразование субъективного представления цвета в модели Манселла в основные цвета системы МКО (CIE). Есть возможность пользоваться цветами Манселла при выводе на цветной дисплей. При этом основные цвета МКО служили промежуточным стандартным цветовым пространством: сначала координаты Манселла преобразуются к основным цветам системы МКО (CIE) XYZ, а затем переводятся в координаты RGB для цветного монитора. Этим способом получили некоторые цвета Манселла, которые раньше были известны только как экстраполяция существующих образцов. Отсюда видно практическое значение стандартного цветового пространства МКО (CIE). В машинной графике оно особенно важно при создании или моделировании красок для репродукций на основе существующих промышленных красителей.

Далее приведена цветовая истема CIE L*a*b*. Преимущества цветового режима Lab заключается в том, что он дает доступ как к цветам RGB, так и к цветовой палитре CMYK. Это режим работы для профессионалов, некоторые авторы советуют работать именно с ним, проблема здесь заключается в том, что он немного сложен для восприятия, но если его освоить, то это даст вам преимущество в работе с web и полиграфией. Lab заполняет пробел, существующий между RGB и CMYK. Например, цветовая модель RBG хорошо воспроизводит цвета в диапазоне от синего до зеленого, но страдает от недостатка желтых и оранжевых оттенков. Оттенков, отсутствующих в модели CMYK, тоже достаточно много. Модель Lab лишена этих недостатков. И состоит из следующих составляющих.

·  L*, яркость;

·        a*, содержит цвета в диапазоне от темно-зеленого, через серый, до ярко-розового;

·        b*, содержит цвета от светло-синего до ярко желтого.

Звездочки означают вариант пересчета, выбранный CIE, т.к. систем Lab было создано несколько. Модель Lab призвана разрешить проблему множественности подходов к цветному репродуцированию, вызванную использованием различных типов мониторов и выводных устройств. Эта модель задумана как аппаратно-независимая. Иными словами, она воссоздает одни и те же цвета независимо от особенностей устройства (монитора, принтера или компьютера), которое используется для создания или вывода изображений. Графическое представление модели Lab приведено на рисунке 22.

Рисунок 22 - Цветовая модель Lab

Цветовая модель Lab используется в Photoshop, где при переводе изображения из RGB в CMYK применяется алгоритм, в котором промежуточной стадией этой трансформации является Lab. При этом достаточно часто после конвертации графических данных в цветовое пространство типа LAB отбрасывается часть информации о цвете (в зависимости от конкретной реализации алгоритма).

3.6 Выбор оптимальной цветовой модели

В результате обзора существующих цветовых моделей можно сделать выбор в пользу определённой модели (системы) представления цвета. Исходя из специфики задачи - преобразования изображения с камеры, можно сказать, что цветовая модель CMYK не подходит для данной задачи, так как она создана для печати цветов на бумаге, кроме того в ней все 4 составляющих отвечают за цветовой тон, и будет трудно задавать цвета картинки, подлежащие отсеиванию, а тем более трудно задать диапазоны нужных цветов. Цветовая система CIE XYZ создана для представления и кодирования всего диапазона цветов, которые способен воспринять человеческий глаз и имеет достаточно сложное представление, из-за чего постоянно придётся преобразовывать гипотетические основные цвета в координаты цветности системы и обратно.

Цветовые модели YUV и YIQ созданы для использования в видеостандартах, и цветовые составляющие выбраны соответствующим образом, что может оказаться неудобным для кодирования цветов в данной задаче.

Цветовая модель Lab является довольно универсальной, и может задавать цветовые оттенки как RGB так и CMYK, является аппаратно-независимой, но в данной задаче не требуется выводить картинки с камеры на печать, а значит можно пользоваться более простыми цветовыми моделями.

Модель RGB, в которой получается изображение с камеры, хоть и способна представить все 16 миллионов цветов, которые может показать монитор, является неудобной в смысле кодирования цвета, так как для задания цветового тона используются все три координаты, и это также создаст трудности при задании диапазона цветов, подлежащего отсеиванию. Кроме этого довольно трудно минимизировать влияние слабой освещённости или теней в рабочей области камеры, меняя все 3 компоненты цвета.

Остаётся ещё три цветовых модели, сходных по набору составляющих, кодирующих цвет - это HSV, HSL и модель Манселла. В них для задания цветового тона используется всего одна координата, что позволяет легче отсеивать только нужные цвета с картинки. Кроме того, с помощью координат saturation и value можно минимизировать или полностью исключить влияние слабой освещённости, затемнения или теней в рабочей области камеры. Хотя модели HSL представляет более широкий диапазон, чем HSV и модель Манселла, решено использовать модель HSV, так как три миллиона цветов, которые с помощью её можно представить вполне достаточно для нахождения контуров и минимизации влияния слабой освещённости и теней.

3.7 Способ преобразования кадра из модели RGB в модель HSV

В ходе преобразования цвета из модели RGB в модель HSV получаются значения составляющих в следующих диапазонах: Н - цветовой тон - от 0 до 360°, где 0° - красный тон; S - насыщенность - от 0 до 255; где 0 означает отсутствие цвета, то есть оттенок серого в диапазоне между чёрным и белым; V - значение (яркость) - от 0 до 255, где 0 - это чёрный, а 255 - белый или более или менее насыщенный цвет.

Способ перевода RGB в HSV состоит из следующих вычислений.

Дано: МAX - функция определения максимума среди трех составляющих R,G и B; MIN - функция определения минимума среди трех составляющих R,G и B.

Составляющая hue вычисляется следующим образом

не определяется,                             если MAX=MIN

* (G - B)/(MAX - MIN) + 0, если MAX=R и G>=B

H =   60 * (G - B)/(MAX - MIN) + 360,   если MAX=R и G<B

60 * (B - R)/(MAX - MIN) + 360,   если MAX=G

* (R - G)/(MAX - MIN) + 360,        если MAX=B.     (14)

На главной форме программы решено расположить два бегунка для задания нижней и верхней границы цветового тона, а также есть возможность задания нижних и верхних границ насыщенности и яркости. Это сделано для более лёгкой настройки системы технического зрения для работы в конкретных световых условиях. Оператор во время настройки системы с помощью приведённых инструментов задаст такие значения тона, насыщенности и яркости, при которых будут наиболее чётко видны маркеры на пальцах щупа или объекты. Введено ограничение на цвет объектов: объекты должны быть одного цвета, отличного от цвета фона.

При использовании HSV более нет надобности использовать чистый светлый фон рабочей области. Главное, чтобы фон не отражал бликов, что может затруднить выделение объектов и нахождение контуров.

На рисунке 23 показано, какие элементы добавлены на экранную форму после добавления в систему цветовой модели HSV. Как видно из рисунка, на форме присутствует два бегунка для задания нижней и верхней границы цветового тона, а также есть возможность задания нижних и верхних границ насыщенности и яркости. Это сделано для более лёгкой настройки системы технического зрения для работы в конкретных световых условиях. Оператор во время настройки системы с помощью приведённых инструментов задаст такие значения тона, насыщенности и яркости, при которых будут наиболее чётко видны маркеры на пальцах щупа или объекты. Введено ограничение на цвет объектов: объекты должны быть одного цвета, отличного от цвета фона.

Рисунок 23 - Главная форма программы после добавления элементов управления цветовой моделью HSV

3.8 Алгоритм выделения контуров на изображении с камеры

Алгоритм выделения замкнутых контуров на бинаризированном изображении с камеры приведён на рисунке 24.

Для поиска контуров на бинаризированном изображении предварительно необходимо найти все граничные точки (блоки 1-3), то есть точки, принадлежащие объекту, но имеющие хотя бы одну соседнюю точку, принадлежащую фону. Это и будет означать, что такая точка находится на краю контура, изображённого на бинарном изображении белым цветом.

После нахождения граничных точек выбирается первая по порядку в качестве начальной точки нового контура. Далее определяется, если эта точка начальная, то для неё резервируется одна из соседних граничных точек (блок 6) для того, чтобы через эту резервную точку в итоге можно было прийти снова в начальную, найдя замкнутый контур. Если этого не сделать, то все соседние точки, кроме одной повлекут создание дочерних контуров и найденные контуры могут повторяться.

Далее определяется, есть ли у текущей точки соседние граничные кроме резервной (для начальной) или предыдущей (если точка не является начальной). И если таких точек нет, контур не считается замкнутым и отбрасывается, а из списка граничных точек выбирается следующая, она является начальной для вновь создающегося контура (блок 5).

Если у текущей точки всё же есть соседние граничные точки, то определяется сколько их: если такая всего одна, то она добавляется в текущий контур (блок 7), иначе одна из соседних граничных точек добавляется в текущий контур (блок 8), а для всех остальных соседних точек создаётся отдельная копия текущего контура (дочерние контуры с начальной точкой текущего контура) и эти точки добавляются в вновь созданные контуры (блок 9). Кроме этого создаются дочерние контура с начальными точками в соседних текущей точки (блок 10) для того, чтобы на изображении выделялись все контуры, в том числе и вложенные. Осуществляется переход на вновь добавленную точку текущего контура (блок 11). Определяется, была ли эта точка начальной для данного контура, то есть замкнулся ли контур. Если это так, то получен замкнутый контур, он добавляется в список замкнутых контуров (блок 12), иначе для этой новой текущей точки повторяется анализ (блоки 6-11).

После нахождения замкнутого контура выбирается следующий недорассмотренный незамкнутый контур, если такие есть, выбирается его последняя точка в качестве текущей (блок 13). Если таких контуров нет, определяется, есть ли ещё нерассмотренные граничные точки, и если есть, то следующая такая точка становится началом нового контура и далее анализируется (блоки 6-11). Иначе все замкнутые контуры найдены. Уже над ними выполняется контурный анализ.

Рисунок 24 - Блок-схема алгоритма выделения замкнутых контуров

3.9 Описание алгоритма выполнения контурного анализа

Алгоритм выполнения контурного анализа представлен на рисунке 25.

Рисунок 25 - Алгоритм выполнения контурного анализа

На полученном бинаризованном изображении выполняется поиск замкнутых контуров объектов и добавление их в список. Затем список фильтруется по определенным параметрам (длина, радиус описанной окружнасти и т.д.) Для оставшихся объектов выполняется преобразование цепного кода Фримена в векторную форму для возможности дальнейшей обработки. Так как длина контуров разная и отличается от шаблонов, для дальнейшего сравнения необходимо выполнить эквализацию контуров. Предварительный отбор производится при сравнении АКФ контуров с АКФ шаблонов. Если совпадение найдено, то выполняется скалярное произведение векторов, по которым можно определить степень сходства и ориентацию объекта. Так же вычисляются координаты центра объекта на изображении. Распознанные объекты помещаются в список для дальнейшей манипуляции ими, а не распознанные не выводятся оператору-пользователю.

3.10 Разработка инструмента добавления шаблонов контуров в систему

Экранная форма с инструментами добавления новых шаблонов контуров в систему приведена на рисунках 26, 27.

Рисунок 26 - Экранная форма с инструментами добавления шаблона.

При нажатии кнопки «Добавить шаблон» на главной форме появляется строка для ввода названия нового контура, а также открывается окно (рисунок 27) для того, чтобы пользователь мог с помощью компьютерной мыши нарисовать контур -шаблон, с которым впоследствии будут сравниваться все контуры, найденные в кадре web-камеры. При нажатии кнопки «Добавить» новый шаблон дозаписывается в бинарный файл для хранения шаблонов. При нажатии кнопки «Отмена» нарисованный шаблон не сохраняется и окно ввода шаблона закрывается; строка для ввода имени шаблона и кнопки «Добавить» и «Отмена» убираются с главной формы программы.

Рисунок 27 - Окно задания нового шаблона

В данном разделе был разработан математический аппарат программного обеспечения системы технического зрения для распознавания контуров объектов, приведены алгоритмы выделения контуров и контурного анализа. Также проведён обзор существующих моделей представления цвета и выбрана наиболее подходящая для поставленной задачи. Показано, как производится добавление новых шаблонов контуров в систему.

4. Безопасность жизнедеятельности

Проблема безопасности человека в процессе его жизнедеятельности с развитием науки и техники становится всё более актуальной. Это происходит из-за взаимного влияния человека и окружающей среды друг на друга. Каждый год происходит множество чрезвычайных ситуаций, как экологического, так и техногенного характера. Растёт число людей, страдающих заболеваниями, в том числе и хроническими, в результате пагубного влияния окружающий среды, воздействия опасных и вредных факторов.

Для изучения и решения этой проблемы существует специальная наука - безопасность жизнедеятельности (БЖД) - наука о комфортном и безопасном взаимодействии человека и окружающей среды. Целью данной науки является защита человека от воздействия техногенных, антропогенных и природных факторов, а так же создания комфортных условий жизни и деятельности человека.

БЖД решает четыре основные задачи:

·  идентификация (распознавание) опасностей их параметров и характеристик;

·   разработка мероприятий предупреждающих воздействие опасностей на человека;

·  ликвидация последствий;

·        создание комфортных условий.

Раздел БЖД, изучающий обеспечение безопасности человека в производственной деятельности - охрана труда. Охрана труда (ОТ) - это совокупность законодательных актов и соответствующих им социально-экономических, технических, гигиенических и организационных мероприятий, обеспечивающих безопасность сохранности здоровья и работоспособность человека в процессе труда.

В современном мире всё большее число людей, как на производстве, так и в офисах, вынуждены систематически работать с вычислительной техникой, которая отрицательно воздействует на здоровье обслуживающего персонала. Поэтому в целях сохранения здоровья людей немаловажным является обеспечение безопасности в рабочем помещении при работе с ЭВМ. Правильная организация условий работы с компьютером позволяет значительно снизить утомляемость пользователя, а значит и сохранить производительность его труда.

В этой сфере сейчас в России действуют два основных государственных стандарта: [5], содержащий общие эргономические требования и требования безопасности к средствам отображения информации индивидуального пользования, и [6], содержащий методы измерений и оценки эргономических параметров и параметров безопасности средств отображения информации индивидуального пользования. На их основе Госсанэпиднадзор России разработал и с 01.01.2003 ввел в действие обязательные санитарные правила и нормы - [7], где содержатся гигиенические требования к персональным электронно-вычислительным машинам (персональным компьютерам, ПК) и организации работы. На сегодняшний день это основной нормативный документ по безопасной работе на компьютере.

Санитарные правила и нормы [8] содержат санитарно-гигиенические требования к ПЭВМ вообще и к дисплеям в частности, требования к помещениям, где эксплуатируются ПЭВМ, к микроклимату, акустическим шумам и вибрациям, освещению, организации и оборудованию рабочих мест с видеодисплейными терминалами (ВДТ) и ПК как для взрослых пользователей, так и для детей.

Другой важной сферой обеспечения безопасности человека является обращение с твёрдыми бытовыми отходами (ТБО), которые загрязняют окружающую среду и также вредят здоровью людей. В современном российском законодательстве существует достаточно много нормативных документов, регулирующих обращение с ТБО, среди них Федеральные законы об отходах производства и потребления [9], об охране атмосферного воздуха [10], о санитарно-эпидемиологическом благополучии населения [11], Земельный кодекс [12], санитарные правила и нормы [13], в которых содержатся гигиенические требования к размещению и обезвреживанию отходов производства и потребления, санитарные правила и нормы [14], где описаны гигиенические требования к устройству и содержанию полигонов для твердых бытовых отходов, правила и нормы технической эксплуатации жилищного фонда [15], утвержденные Постановлением Росстроя, санитарные правила и нормы [16], где приведены требования по содержанию территорий населенных мест, [17] и другие нормативные акты.

4.1 Требования к ВДТ и ПЭВМ, к помещениям для их эксплуатации, к микроклимату, шуму, вибрации и освещению

Согласно [7], визуальные эргономические параметры ВДТ и ПЭВМ, их конструкция и дизайн относятся к параметрам безопасности, то есть их неправильный выбор может так же повредить здоровью пользователей, как и плохая освещённость, шум, вибрации. Следовательно, ВДТ должны сертифицироваться в том числе и по этим параметрам. Установлено, что корпусы ПЭВМ должны иметь матовую поверхность, окрас в спокойный мягкий цвет с коэффициентом отражения 0,4 - 0,6 и не иметь блестящих деталей, способных создавать блики. Допустимые визуальные параметры устройств отображения информации (ВДТ) представлены в таблице 2.

Таблица 2 - Допустимые визуальные параметры ВДТ

Параметры

Допустимые значения

Яркость белого поля 

Не менее 35 кд/кв.м

Неравномерность яркости рабочего поля 

Не более ± 20 %

Контрастность (для монохромного режима) 

3:1

Временная нестабильность изображения (непреднамереное изменение во времени яркости изображения экрана дисплея)

Не должна фиксироваться

Пространственная нестабильность изображения (непреднамеренное изменнение положения фрагментов изображения экрана) 

Не более 2*10L-4L, где L - расстояние наблюдения


Перечень продукции и контролируемых гигиенических параметров вредных и опасных факторов представлены в таблице 3.

Таблица 3 - Перечень продукции и контролируемых гигиенических параметров вредных и опасных факторов

Вид продукции

Контролируемые гигиенические параметры

Машины вычислительные электронные цифровые, машины вычислительные электронные цифровые персональные (включая портативные ЭВМ)

Уровни электромагнитных полей (ЭМП), акустического шума, концентрация вредных веществ в воздухе, визуальные показатели ВДТ, мягкое рентгеновское излучение*

Устройства периферийные: принтеры, сканеры, модемы, сетевые устройства, блоки бесперебойного питания

Уровни ЭМП, акустического шума, концентрация вредных веществ в воздухе

Устройства отображения информации (видеодисплейные терминалы)

Уровни ЭМП, визуальные показатели, концентрация вредных веществ в воздухе, мягкое рентгеновское излучение*

Автоматы игровые с использованием ПЭВМ

Уровни ЭМП, акустического шума, концентрация вредных веществ в воздухе, визуальные показатели ВДТ, мягкое рентгеновское излучение*

* Контроль мягкого рентгеновского излучения осуществляется только для видеодисплейных терминалов с использованием электронно-лучевых трубок.


Для дисплеев на ЭЛТ частота обновления изображения должна быть не менее 75 Гц при всех режимах разрешения экрана, гарантируемых нормативной документацией на конкретный тип дисплея и не менее 60 Гц для дисплеев на плоских дискретных экранах (жидкокристаллических, плазменных и т.п.).

Яркость и контрастность ВДТ должны иметь возможность регулироваться.

Мощность экспозиционной дозы мягкого рентгеновского излучения в любой точке на расстоянии 0,05 м от экрана и корпуса ВДТ (на электроннолучевой трубке) не должна превышать 1 мкЗв/час (100 мкР/час).

Концентрации вредных веществ, которые выделяются ПЭВМ в воздух помещений, не должны превышать предельно допустимых концентраций (ПДК), установленных для атмосферного воздуха.

Требования к помещениям. Помещения для эксплуатации ПЭВМ должны освещаться как естественно так и искусственно. Без естественного освещения эксплуатация ПЭВМ допускается только при наличии положительного санитарно-эпидемиологического заключения, выданного в установленном порядке. Освещение, и естественное, и искусственное, должно соответствовать требованиям действующей на данный момент нормативной документации. Окна в помещениях, где эксплуатируется вычислительная техника, должны быть ориентированы преимущественно на север и северо-восток.

Оконные проемы должны быть оборудованы следующими регулируемыми устройствами: жалюзи, занавеси, внешние козырьки и др.

ПЭВМ не должны размещаться в цокольных и подвальных этажах зданий, где находятся образовательные и культурно-развлекательные учреждения для детей и подростков. Площадь на одно рабочее место пользователей ПЭВМ с ВДТ на базе электроннолучевой трубки (ЭЛТ) должна составлять не менее 6 м2, в помещениях культурно-развлекательных учреждений и с ВДТ на базе плоских дискретных экранов (жидкокристаллические, плазменные) - 4,5 м2. При использовании ПВЭМ с ВДТ на базе ЭЛТ (без вспомогательных устройств - принтер, сканер и др.), отвечающих требованиям международных стандартов безопасности компьютеров, с продолжительностью работы менее 4-х часов в день допускается минимальная площадь 4,5 м2 на одно рабочее место пользователя (взрослого и учащегося высшего профессионального образования).

Отделка интерьера помещений для ПЭВМ должна производиться с помощью диффузно-отражающих материалов с коэффициентами отражения 0,7 - 0,8 (для потолка); 0,5 - 0,6 (для стен); 0,3 - 0,5 (для пола). Для отделки помещения возможно использование полимерных материалов, но только при наличии санитарно-эпидемиологического заключения.

В помещениях, в которых находятся рабочие места с ПЭВМ, должно быть предусмотрено защитное заземление (зануление) согласно требованиям эксплуатации.

Также рабочие места с ПЭВМ не должны находиться около силовых кабелей и вводов, высоковольтных трансформаторов и другого технологического оборудования, способного создать помехи в работе ПЭВМ.

4.1.1 Требования к микроклимату следующие

Если в помещении работа с ПЭВМ является вспомогательной, то температура, относительная влажность и скорость движения воздуха на рабочих местах должны соответствовать действующим санитарным нормам микроклимата производственных помещений. Если же работа с ПЭВМ в данном помещении является основной (например, диспетчерские, посты управления и др.) и влечёт нервно-эмоциональное напряжение пользователя (оператора), то должны обеспечиваться оптимальные параметры микроклимата для категории работ 1а и 1б в соответствии с действующими санитарно-эпидемиологическими нормативами микроклимата производственных помещений. Ежедневно в помещениях, оборудованных ПЭВМ, должна проводиться влажная уборка, а также после каждого часа работы с ПЭВМ помещение должно проветриваться.

В образовательных и культурно-развлекательных учреждениях для детей и подростков, в помещениях, где установлены ПЭВМ, должны обеспечиваться параметры микроклимата приведённые в таблице 4.

Таблица 4 - Оптимальные параметры микроклимата во всех типах учебных и дошкольных помещений с использованием ПЭВМ

Температура, Сº

Относительная влажность, %

Абсолютная влажность, %

Скорость движения воздуха, м/с

19

62

10

Менее 0,1

20

58

10

Менее 0,1

21

55

10

Менее 0,1


Уровни положительных и отрицательных аэроионов в воздухе помещений, где расположены ПЭВМ, должны соответствовать действующим санитарно-эпидемиологическим нормативам. В производственных помещениях, в которых работа с использованием ПЭВМ является вспомогательной, содержание вредных химических веществ в воздухе не должно превышать предельно допустимых концентраций вредных веществ в воздухе рабочей зоны также в соответствии с действующими гигиеническими нормативами.

Содержание вредных химических веществ в воздухе помещений, предназначенных для использования ПЭВМ во всех типах образовательных учреждений, не должно превышать предельно допустимых среднесуточных концентраций для атмосферного воздуха в соответствии с действующими санитарно-эпидемиологическими нормативами.

4.1.2 Требования к уровням шума и вибрации на рабочих местах, оборудованных ПЭВМ следующие

При выполнении основных или вспомогательных работ в производственных помещениях с использованием ПЭВМ уровни шума на рабочих местах не должны превышать предельно допустимых значений, установленных для данных видов работ в соответствии с действующими санитарно-эпидемиологическими нормативами. Также, в соответствии с этими нормативами уровень вибрации не должен превышать допустимых значений вибрации для рабочих мест (категория 3, тип "в").

В помещениях всех образовательных и культурно-развлекательных учреждений для детей и подростков, где расположены ПЭВМ, уровни шума не должны превышать допустимых значений, установленных для жилых и общественных зданий.

В помещениях образовательных и культурно-развлекательных учреждений, где используются ПЭВМ, уровень вибрации не должен превышать допустимых значений для жилых и общественных зданий. Также эти значения не должны превышаться для уровней шума в подобных учреждениях для детей и подростков.

Шумящее оборудование (печатающие устройства, серверы и т.п.), уровни шума которого превышают нормативные, должно быть размещено отдельно, вне помещений с ПЭВМ.

В данном пункте описаны требования к освещению рабочих мест, оборудованных персональными компьютерами. Рабочие столы с ПЭВМ нужно размещать так, чтобы видеодисплейные терминалы были ориентированы боковой стороной к световым проемам и естественный свет падал преимущественно слева.

Искусственное освещение, применяемое в помещениях с ПЭВМ должно быть равномерным, а в производственных и административно-общественных помещениях, где на рабочих местах осуществляется преимущественно работа с документами, нужно применять комбинированное освещение, то есть к общему освещению добавляются светильники местного освещения, используемые для освещения документов на рабочих столах. Таким образом, освещенность на поверхности стола в зоне размещения рабочего документа должна быть 300 - 500 лк. На поверхности экрана освещение не должно создавать бликов и её освещенность не должна быть более 300 лк.

Должны ограничиваться прямая блёсткость, то есть от источников освещения и отражённая (экран, стол, клавиатура). Яркость светящихся поверхностей (окна, светильники), находящихся в поле зрения должна быть не более 200 кд/м2. Яркость бликов на экране ПЭВМ должна быть не более 40 кд/м2, а яркость потолка - не более 200 200 кд/м2. Это достигается за счёт правильного выбора типов светильников и расположения рабочих мест по отношению к источникам естественного и искусственного освещения.

Светильники местного освещения должны иметь не просвечивающий отражатель с защитным углом не менее 40 градусов.

Также ограничивается неравномерность распределения яркости в поле зрения пользователя ПЭВМ, при этом соотношение яркости между рабочими поверхностями должно быть не более 5:1, а между рабочими поверхностями и поверхностями стен и оборудования - не более10:1.

Существуют также показатели ослеплённости и дискомфорта. Показатель ослепленности для источников общего искусственного освещения в производственных помещениях с ПЭВМ должен быть не более 20, а показатель дискомфорта в административно-общественных помещениях - не более 40, в дошкольных и учебных помещениях не более 15.

В качестве источников света при искусственном освещении следует применять преимущественно люминесцентные лампы типа ЛБ и компактные люминесцентные лампы (КЛЛ). Для отраженного освещения в производственных и административно-общественных помещениях допускается применение металлогалогенных ламп. В светильниках местного освещения допускается применение ламп накаливания, в том числе галогенные.

Применение светильников без рассеивателей и экранирующих решеток не допускается.

При использовании люминесцентных светильников общее освещение следует выполнять в виде сплошных или прерывистых линий светильников, расположенных сбоку от рабочих мест, параллельно линии зрения пользователя при рядном расположении видеодисплейных терминалов. При периметральном расположении компьютеров линии светильников должны располагаться локализовано над рабочим столом ближе к его переднему краю, обращенному к пользователю-оператору.

Для обеспечения нормируемых значений освещенности в помещениях для использования ПЭВМ следует проводить чистку стекол оконных рам и светильников не реже двух раз в год и проводить своевременную замену перегоревших ламп.

В системах искусственного освещения в течение времени эксплуатации происходит снижение освещенности в результате:

·  спада светового потока ламп вследствие их старения;

·  выхода из строя ламп в течение срока эксплуатации;

·  загрязнения оптической системы светильников;

·        загрязнения светопропускающих поверхностей источников света;

·        спада КПД светильников вследствие старения светоотражающих материалов.

В системах естественного освещения с течением времени происходит снижение освещенности в результате:

·  загрязнения светопропускающих поверхностей светоограждающих конструкций;

·  снижения коэффициентов пропускания.

Для учета снижения освещенности в процессе эксплуатации систем освещения вводится коэффициент запаса (Кз). Он зависит от содержания пыли и состояния среды в помещениях, частоты чисток светильников или остекления светопроемов, сменности работ на предприятии и принимает значения от 1,2 до 2.0. Коэффициент запаса для осветительных установок общего освещения в помещениях с ПЭВМ должен равняться 1,4.

Световой поток разрядных источников света при питании током промышленной частоты пульсирует с частотой 100 Гц. Пульсация светового потока зрительно не воспринимается, так как частота пульсации превышает критическую частоту слияния мельканий, но неблагоприятно влияет на биоэлектрическую активность мозга, вызывая повышенную утомляемость. Отрицательное воздействие пульсации возрастает с увеличением ее глубины, появляется напряжение на глазах, усталость, трудность сосредоточения на сложной работе, головная боль.

В качестве количественной характеристики пульсации освещенности в отечественных нормах принят коэффициент пульсации (Кп)

Кп = 100*(Eмакс - Eмин) / 2 Eср ,                            (17)

где Емакс и Емин - максимальное и минимальное значения освещенности за период ее колебания, лк;

Еср - среднее значение освещенности за этот же период, лк.

В помещениях, где используются ПЭВМ, коэффициент пульсации должен быть не более 5%.

4.2 Организация системы экологически безопасного обращения с твёрдыми бытовыми отходами

Согласно «Концепции обращения с твердыми бытовыми отходами в Российской Федерации» (МДС 13-8.2000), которую можно считать базовым документом, определяющим государственную политику в области управления ТБО, в России сложилась система обезвреживания ТБО, основанная на захоронении подавляющего большинства отходов (около 98 %) на полигонах и неорганизованных свалках. Положение усугубляется тем, что из-за отсутствия раздельного сбора ТБО в общий контейнер, а нередко рядом с ним, вместе с бумагой, полимерной, стеклянной и металлической тарой, пищевыми отходами выбрасываются лекарства с просроченным сроком годности, разбитые ртутьсодержащие термометры и люминесцентные лампы, тара с остатками ядохимикатов, лаков, красок и т.д. Все это под видом малоопасных ТБО вывозится на свалки, которые чаще всего устраивают в выработанных карьерах, оврагах, заболоченных местах вблизи населенных пунктов, что недопустимо с эколого-гигиенических позиций. Нередко их называют полигонами, однако они не отвечают требованиям, предъявляемым к сооружениям по захоронению отходов.

Сточные воды, вытекающие с полигонов в результате воздействия природных осадков и процессов в ТБО, содержат много крайне токсичных органических и неорганических веществ. Неконтролируемые процессы на свалках приводят к формированию болезнетворной микрофлоры, также усугубляющей опасность сточных вод, которая при отсутствии необходимой гидроизоляции попадает в почву, проникает в подземные воды и по водостокам - в открытые водоемы, отравляя источники водоснабжения. Токсичность сточных вод приводит к уничтожению окружающей свалки растительности и отравлению почв.

Кроме этого со свалок в атмосферу постоянно поступают газообразные продукты распада ТБО - метан, аммиак и др. Они часто являются причиной пожаров на свалках. Эти пожары загрязняют атмосферу. Кроме того, метан является газом, способствующим разрушению озонного слоя.

Всё вышесказанное говорит о крайней экологической опасности неорганизованных свалок даже для тех, кто не входит в непосредственный контакт с отходами. В результате распространения загрязнений по воде и воздуху у жителей, проживающих вблизи со свалками, отмечается повышенная заболеваемость и смертность, рождение детей с уродствами.

Однако, перед тем как попасть на свалки и полигоны (законные или незаконные), твёрдые бытовые отходы должны быть правильно собраны и вывезены с населённых территорий. Регулирование в сфере рациональной системы сбора, временного хранения, регулярного вывоза твердых (а также жидких) бытовых отходов и уборки территорий производится на основании Санитарных правил и норм 42-128-4690-88 "Санитарные правила содержания территорий населенных мест".

Согласно данному нормативному документу, объектами очистки являются: территории домовладений, уличные и микрорайонные проезды, объекты культурно-бытового назначения, территории различных предприятий, учреждений и организаций, парки, скверы, площади, места общественного пользования, места отдыха. Следует считать специфическими объектами очистки медицинские учреждения, особенно инфекционные, кожно-венерологические, туберкулезные больницы и отделения, ветеринарные объекты, пляжи в виду повышенного эпидемического риска и опасности для здоровья населения.

Сбор твёрдых бытовых отходов должен проводиться следующим образом. При временном хранении отходов в дворовых сборниках должна быть исключена возможность их загнивания и разложения. Поэтому срок хранения в холодное время года (при температуре -5° и ниже) должен быть не более трех суток, в теплое время (при плюсовой температуре свыше +5°) не более одних суток (ежедневный вывоз).

Для сбора твердых бытовых отходов применяются в благоустроенном жилищном фонде стандартные металлические контейнеры. В домовладениях, не имеющих канализации, допускается применение деревянных или металлических мусоросборников. Площадки для установки контейнеров должны быть удалены от жилых домов, детских учреждений, спортивных площадок и от мест отдыха населения на расстояние не менее 20 м, но не более 100 м. Размер площадок должен быть рассчитан на установку необходимого числа контейнеров, но не более 5.

Похожие работы на - Разработка программного обеспечения системы технического зрения для робота-манипулятора

 

Не нашли материал для своей работы?
Поможем написать уникальную работу
Без плагиата!
Без нейросетей!