Построение и исследование имитационных моделей
1. Обзор аналогов
Под системой массового обслуживания понимают
динамическую систему, предназначенную для эффективного обслуживания случайного
потока заявок при ограниченных ресурсах системы. Система массового обслуживания
состоит из некоторого числа обслуживающих единиц или каналов, работа которых
состоит в выполнении поступающих по этим каналам заявок. В таблице 1 приведены
примеры систем массового обслуживания.
Таблица 1 - Примеры СМО
|
СМО
|
Заявки
|
Каналы
|
|
Автозаправочная
станция
|
Автомобили
|
Колонки
|
|
Магазин
самообслуживания
|
Покупатели
|
Кассы
|
|
Производственный
конвейер по обработке деталей
|
Детали,
узлы
|
Станки,
склады
|
|
Телефонная
станция
|
Абоненты
|
Телефонистки
|
|
Автобусный
маршрут перевозки пассажиров
|
Пассажиры
|
Автобусы
|
. Выбор входных распределений
и построение генераторов
.1 Выбор входных распределений
Для создания системы нам необходимо выбрать
законы для двух входных распределений - времени поступления требований и
времени обработки требований. Оба этих потока являются простейшими потоками,
так как обладают следующими свойствами:
Стационарность: вероятность появления
определенного числа событий в некотором интервале не зависит от начала отсчета,
а зависит только от длины интервала.
Отсутствие последствий: для любых
неперекрывающихся участков времени число событий, попадающих на один из них, не
зависит от числа событий, попадающих на другие.
Ординарность: вероятность попадания на
элементарный участок
двух или более
событий пренебрежимо мала по сравнению с вероятностью попадания одного события.
Интервалы постоянства функции, являющейся
простейшим потоком, подчинены экспоненциальному закону.
Таким образом, при моделировании мы генерируем
две экспоненциально распределенные псевдослучайные последовательности с
заданными средними значениями
и
.
2.2 Построение генераторов
Чтобы смоделировать экспоненциально
распределенную случайную величину сначала генерируется стандартно равномерно
распределенная случайная величина
,
которая затем преобразуется в величину с экспоненциальным законом распределения
согласно формуле 1:
(1)
где математическое ожидание равно
.
Для генерации равномерно распределенной
случайной величины
будем использовать
линейный конгруэнтный генератор мультипликативного типа:
(2)
где a
и m - константы.
2.3 Проверка генераторов
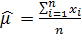
.3.1 Оценки средних значений
Оценка математического ожидания случайных
величин X вычисляется по
формуле 3:
(3)
где n
- число элементов в последовательности.
Для случайных величин A
и S оценки
математического ожидания соответственно равны:
(A)
= 20.4376
(S)
= 59.5722
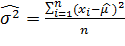
Оценка дисперсии случайной величины X
вычисляется по формуле 4:
(4)
Для случайных величин A
и S оценки дисперсии
соответственно равны:
(A)
= 451.9016
(S)
= 3709.4
На рисунках 1 и 2 представлены графики
зависимости последующего значения от предыдущего для генераторов A и S
соответственно.
Рисунок 1 - Зависимость (Ai, Ai+1)
Рисунок 2 - Зависимость (Si, Si+1)
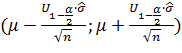
2.3.2 Интервальные оценки
Для математического ожидания доверительный
интервал определяется формулой 5:
(5)
где n - число элементов,
-
квантиль стандартного нормального закона распределения (равен 1,96 для
доверительной вероятности 0,95),
(
- оценка дисперсии).
Доверительные интервалы для оценки
математического ожидания случайных величин A
и S равны
соответственно:
(19.12; 21.7552),
(А)
= 20 попадает в доверительный интервал.
(55.7973; 63.3471),
(S)
= 60 попадает в доверительный интервал.
2.3.3 Метод гистограмм
На рисунках 3 и 4 изображены гистограммы
плотностей распределения генераторов A
и S.
Рисунок 3 - Функция плотности
распределения генератора А
Рисунок 4 - Функция плотности
распределения генератора S
По этим гистограммам видно, что случайные
величины A и S распределены по экспоненциальному закону.
На рисунках 5 и 6 представлены графики функций
распределения величин A
и S.
Рисунок 5 - Функция распределения
случайной величины А
Рисунок 6 - Функция распределения
случайной величины S
имитационный генератор визуализация
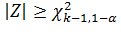
2.3.3 Метод хи-квадрат
Выдвигаем гипотезу о том, что случайные величины
A и S
распределены экспоненциально с математическим ожиданием 20 и 60 соответственно.
Проверку этой гипотезы осуществим с помощью метода c2
.
Для этого разобьем ось на 20 интервалов,
вероятность попадания значения в каждый из которых приблизительно одинакова.
Границы этих интервалов для величин A
и S будут
рассчитываться по формулам 6 и 7 соответственно:
(6)
(7)
Статистическая функция вычисляется по формуле 8:
(8)
Где ni - это
частота попадания в k -й интервал, pi -
вероятность попадания, которая вычисляется по формуле 9:
(9)
Если
,
то гипотеза принимается, если
, гипотеза
отвергается. Для k = 19 и α = 0.05, критерий
c2
= 30,1435.
В результате были получены следующие значения ZA=13,32
и ZS=20,60. Обе
гипотезы принимаются. Таблица с данными расчетов для метода c2
представлена
в приложении А.
. Логика работы и интерфейс
системы
.1 Логика работы системы
Логика работы системы представлена в виде
блок-схемы на рисунке 7.
Рисунок 7 - Логика работы системы
Пункт «Модификация очереди в соответствии с
наступившим системным событием» вынесен в отдельную блок-схему, которая
представлена на рисунке 8.
Рисунок 8 - Модификация очереди
.2 Интерфейс системы
Основные элементы интерфейса:
Поля для ввода входных параметров (по
умолчанию в них поставлены значения, указанные в техническом задании):
количество требований, количество устройств (по умолчанию 4), емкость
накопителя (по умолчанию 36), среднее время поступления требований (по
умолчанию 20), среднее время обработки требований (по умолчанию 60), начальные
значения генераторов.
Результаты моделирования: коэффициент
использования системы, среднее время ожидания заявки в очереди, среднее время
пребывания заявки в системе, среднее по времени число требований в очереди,
среднее по времени число требований в системе, абсолютная пропускная
способность, относительная пропускная способность.
Кнопки для отображения графиков.
Поле для визуализации.
Кнопка запуска программы.
Интерфейс программы представлен на рисунке 9.
Рисунок 9 - Интерфейс программы
4. Планирование и проведение
экспериментов
.1 Статистический анализ выходных
данных моделирования
Для вычисления количества экспериментов для
каждой точки факторного плана было проведено 10 экспериментов со значениями по
умолчанию (количество устройств - 4, среднее время поступления требований - 20,
среднее время обработки требований - 60, емкость накопителя - 36). Для каждого
из выходных параметров количество экспериментов рассчитывается по формуле 10:
(10)
где n - число экспериментов,
-
квантиль стандартного нормального закона распределения (
=1,96),
-
дисперсия каждого параметра на 10 выходных значениях,
-
5% от математического ожидания каждого параметра на 10 выходных значениях.
Таким образом было выбрано максимальное из полученных значений - 38.Результаты
предварительных экспериментов представлены в таблице 2. Результаты 38 прогонов
системы со значениями по умолчанию представлены в приложении Б.
Таблица 2 - Результаты
предварительных экспериментов
|
№
|
A(1)
|
S(1)
|
p
|
Tq
|
Ts
|
Nq
|
Ns
|
Ca
|
|
1
|
46382
|
94215
|
0,723
|
24,693
|
84,265
|
1,175
|
4,149
|
0,049
|
|
2
|
254789
|
251463
|
0,726
|
23,070
|
84,742
|
1,099
|
4,064
|
0,047
|
|
3
|
345675
|
852356
|
0,759
|
23,860
|
84,034
|
1,197
|
4,279
|
0,050
|
|
4
|
7834352
|
980765
|
0,767
|
27,445
|
87,460
|
1,372
|
4,479
|
0,051
|
|
5
|
7834591
|
368153900
|
0,710
|
20,135
|
77,412
|
0,991
|
3,894
|
0,050
|
|
6
|
161345210
|
45043002
|
0,730
|
26,348
|
84,271
|
1,335
|
4,315
|
0,050
|
|
7
|
25469370
|
17835507
|
0,763
|
29,586
|
87,846
|
1,535
|
4,636
|
0,052
|
|
8
|
675536
|
174853
|
0,732
|
32,542
|
93,428
|
1,552
|
5,534
|
0,048
|
|
9
|
62315
|
4873590
|
0,701
|
31,725
|
92,663
|
1,425
|
4,289
|
0,046
|
|
10
|
39605133
|
1703521
|
0,744
|
32,094
|
91,491
|
1,611
|
4,662
|
0,050
|
|
Среднее
значение:
|
0,735
|
27,150
|
86,761
|
1,329
|
4,430
|
0,049
|
|
|
Число
экспериментов:
|
1,411
|
37,952
|
4,869
|
37,829
|
16,291
|
2,365
|
|
В таблице используются следующие обозначения.
A(1) и S(1) - начальные значения генераторов A и S соответственно, p - коэффициент
использования системы, Tq - среднее время ожидания в очереди, Ts - среднее
время пребывания в системе, Nq - среднее число требований в очереди, Ns -
среднее число требований в системе, Ca - абсолютная пропускная способность.
Проанализировав данные таблицы 2, делаем вывод,
что коэффициент использования системы не очень высок, а значит планирование
последующих экспериментов будет направлено на его увеличение и, по возможности,
уменьшение параметров Tq
и Ts.
4.2 Построение факторного плана
В построенной системе массового обслуживания
факторами являются:
количество устройств;
емкость накопителя;
среднее время поступления требований;
среднее время обработки требований.
Отклики:
коэффициент использования системы;
среднее время ожидания заявки в очереди;
среднее время пребывания заявки в
системе;
среднее по времени число требований в
очереди;
среднее по времени число требований в
системе ;
абсолютная пропускная способность;
относительная пропускная способность.
Значения факторов приведены в таблице 3.
Таблица 3 - Значения факторов
|
№
|
Фактор
|
-1
|
+1
|
|
1
|
Количество
устройств (s)
|
3
|
6
|
|
2
|
Емкость
накопителя (l)
|
32
|
40
|
|
3
|
Среднее
время поступления требований ( )
|
15
|
25
|
|
4
|
Среднее
время обработки требований ( )
|
50
|
70
|
Построенный полный факторный план 24
с результатами откликов и расчетом экономической оценки представлен в таблице
4.
Таблица 4 - Факторный план
|
Факторы
|
Отклики
|
|
|
№
|
s
|
l
|
ma
|
ms
|
p
|
Tq
|
Ts
|
Nq
|
Ns
|
Ca
|
Cr
|
Экономическая
оценка, руб
|
|
1
|
-1
|
-1
|
-1
|
-1
|
0,984
|
338,928
|
388.8144
|
22,961
|
5,379
|
0,059
|
0,947
|
51417059,28
|
|
2
|
+1
|
-1
|
-1
|
-1
|
0,535
|
2,470
|
52,114
|
3,416
|
3,842
|
0,065
|
1,000
|
24333526,19
|
|
3
|
-1
|
+1
|
-1
|
-1
|
0,984
|
384,085
|
433,740
|
25,753
|
7,416
|
0,059
|
0,957
|
56578057,02
|
|
4
|
+1
|
+1
|
-1
|
-1
|
0,535
|
2,470
|
52,114
|
3,416
|
3,939
|
0,065
|
1,000
|
24333912
|
|
5
|
-1
|
-1
|
+1
|
-1
|
0,643
|
20,193
|
69,837
|
2,863
|
2,041
|
0,039
|
1,000
|
14298337,61
|
|
6
|
+1
|
-1
|
+1
|
-1
|
0,322
|
0,076
|
49,720
|
2,037
|
0,039
|
1,000
|
21913365,06
|
|
7
|
-1
|
+1
|
+1
|
-1
|
0,484
|
3,464
|
53,107
|
2,224
|
2,108
|
0,039
|
1,000
|
13119570,6
|
|
8
|
+1
|
+1
|
+1
|
-1
|
0,322
|
0,076
|
49,720
|
2,115
|
2,023
|
0,039
|
1,000
|
21925309,01
|
|
9
|
-1
|
-1
|
-1
|
+1
|
0,987
|
635,423
|
702,893
|
30,755
|
7,038
|
0,044
|
0,713
|
65815496,51
|
|
10
|
+1
|
-1
|
-1
|
+1
|
0,744
|
18,145
|
87,646
|
5,644
|
5,396
|
0,064
|
1,000
|
28452411,78
|
|
11
|
-1
|
+1
|
-1
|
+1
|
0,986
|
842,613
|
913,831
|
37,913
|
12,213
|
0,042
|
0,679
|
79052057,99
|
|
12
|
+1
|
+1
|
-1
|
+1
|
0,744
|
18,145
|
87,646
|
5,644
|
5,659
|
0,064
|
1,000
|
28453463,72
|
|
13
|
-1
|
-1
|
+1
|
+1
|
0,892
|
153,295
|
222,796
|
8,579
|
2,965
|
0,039
|
1,000
|
24854889,01
|
|
14
|
+1
|
-1
|
+1
|
+1
|
0,450
|
1,420
|
70,921
|
2,862
|
2,584
|
0,039
|
1,000
|
23305851,78
|
|
15
|
-1
|
+1
|
+1
|
+1
|
0,892
|
153,295
|
222,796
|
8,579
|
3,130
|
0,039
|
1,000
|
24855545,76
|
|
16
|
+1
|
+1
|
+1
|
+1
|
0,450
|
1,420
|
70,921
|
2,819
|
2,586
|
0,039
|
1,000
|
23226666,95
|
Приведенные в таблице значения экономической
оценки были получены по формуле 11:
(11)
где
=
0.15 (руб/год)/руб - нормативный коэффициент экономической эффективности
капитальных вложений, с1 - цена одного устройства, c2
и c3
- годовые текущие затраты на обслуживание работающего и бездействующего
устройства, c4
- потери от невыполнения одного требования, c5
- приведенные затраты на содержание одного требования, T = 2.5×107
с - годовой фонд времени работы системы.
5. Обработка и анализ выходных
данных моделирования
.1 Расчет эффектов
Главные эффекты факторов вычисляются по формулам
12:
где R1,
R2, R3, R4, R5, R6, R7,
R8, R9, R10, R11, R12, R13,
R14, R15, R16 - отклики
системы
(12)
Эффекты взаимодействия двух факторов вычисляются
по формулам 13:
(13)
Эффекты взаимодействия трех факторов вычисляются
по формулам 14:
(14)
Эффект взаимодействия четырех факторов
вычисляется по формуле 15:
(15)
Значения эффектов, вычисленные по формулам 12 -
15 представлены в таблице 5.
Таблица 5 - Эффекты факторов
|
p
|
Tq
|
Ts
|
Nq
|
Ns
|
Ca
|
Cr
|
|
e1
|
-0,34
|
-310,88
|
-310,88
|
-13,95
|
-1,78
|
0,01
|
0,09
|
|
e2
|
-0,02
|
29,45
|
29,89
|
1,16
|
0,97
|
0,00
|
0,00
|
|
e3
|
-0,26
|
-238,63
|
-238,62
|
-12,92
|
-3,93
|
-0,02
|
0,09
|
|
e4
|
0,17
|
134,00
|
153,79
|
4,74
|
1,60
|
0,00
|
-0,06
|
|
e12
|
0,02
|
-29,45
|
-29,89
|
-1,17
|
-0,89
|
0,00
|
0,00
|
|
e13
|
0,00
|
229,07
|
229,06
|
10,87
|
1,52
|
-0,01
|
-0,09
|
|
e14
|
0,00
|
-125,49
|
-125,42
|
-3,26
|
-0,50
|
0,00
|
0,06
|
|
e23
|
-0,02
|
-33,63
|
-34,07
|
-1,33
|
-0,92
|
0,00
|
0,00
|
|
e24
|
0,02
|
22,35
|
22,84
|
0,62
|
0,43
|
0,00
|
-0,01
|
|
e34
|
0,06
|
-62,59
|
-62,52
|
-1,36
|
-0,83
|
0,00
|
0,06
|
|
e123
|
0,02
|
33,63
|
34,07
|
1,32
|
0,83
|
0,00
|
0,00
|
|
e124
|
-0,02
|
-22,35
|
-22,84
|
-0,63
|
-0,38
|
0,00
|
0,01
|
|
e134
|
-0,10
|
55,43
|
55,36
|
0,61
|
0,29
|
0,00
|
-0,06
|
|
e234
|
0,02
|
-18,16
|
-18,66
|
-0,47
|
-0,40
|
0,00
|
0,01
|
|
e1234
|
-0,02
|
18,16
|
18,66
|
0,46
|
0,36
|
0,00
|
-0,01
|
5.2 Построение уравнений регрессии
Общий вид уравнения регрессии представлен в
формуле 16:
(16)
где A0,
A1, A2, A3, A4, A12, A13,
A14, A23, A24, A34, A123,
A124, A134, A234, A1234, - коэффициенты
уравнения
регрессии.
Значения
коэффициентов уравнения регрессии представлены в таблице 6.
Таблица 6 - Коэффициенты уравнений
регрессии
|
p
|
Tq
|
Ts
|
Nq
|
Ns
|
Ca
|
Cr
|
|
a0
|
1,81E+00
|
5,07E+02
|
6,28E+02
|
-1,86E+02
|
1,79E+01
|
-3,50E+00
|
2,01E+00
|
|
a1
|
-2,01E-01
|
2,94E+01
|
2,27E+01
|
6,62E+00
|
-4,64E-01
|
1,27E-01
|
-5,56E-02
|
|
a2
|
1,29E-01
|
-1,66E+02
|
-1,67E+02
|
-2,99E+00
|
-1,94E+00
|
5,36E-03
|
1,47E-01
|
|
a3
|
-1,59E-02
|
5,39E+00
|
4,10E+00
|
1,19E+00
|
1,97E-02
|
1,55E-02
|
-1,01E-02
|
|
a4
|
-4,64E-04
|
-3,26E+00
|
-2,83E+00
|
1,08E+00
|
-9,46E-02
|
2,14E-02
|
-1,00E-02
|
|
a12
|
-2,75E-02
|
4,63E+00
|
2,77E+00
|
3,70E+00
|
-1,21E-01
|
6,21E-02
|
-3,41E-02
|
|
a13
|
8,90E-04
|
-3,42E+00
|
3,26E-01
|
-5,67E-02
|
7,17E-03
|
-5,48E-04
|
|
a14
|
4,04E-04
|
-2,08E-01
|
-2,00E-01
|
-2,13E-02
|
4,72E-03
|
-5,40E-04
|
8,36E-04
|
|
a23
|
-2,78E-03
|
-1,93E-01
|
-3,34E-01
|
3,21E-01
|
-2,11E-02
|
5,96E-03
|
-2,73E-03
|
|
a24
|
-7,16E-04
|
1,50E+00
|
1,48E+00
|
4,27E-02
|
2,30E-02
|
1,43E-04
|
-7,95E-04
|
|
a34
|
1,99E-05
|
-3,58E-02
|
-3,19E-02
|
-3,94E-03
|
-2,86E-04
|
-5,23E-05
|
9,70E-05
|
|
a123
|
6,26E-04
|
4,95E-01
|
5,64E-01
|
-1,28E-01
|
1,27E-02
|
-2,42E-03
|
7,01E-04
|
|
a124
|
1,66E-04
|
-8,56E-02
|
-7,02E-02
|
-2,79E-02
|
-6,00E-04
|
-4,39E-04
|
2,02E-04
|
|
a134
|
5,66E-07
|
2,27E-02
|
2,39E-02
|
-2,75E-03
|
3,60E-04
|
-5,54E-05
|
-5,13E-07
|
|
a234
|
1,69E-05
|
-3,52E-03
|
-2,21E-03
|
-2,59E-03
|
1,68E-05
|
-4,41E-05
|
1,69E-05
|
|
a1234
|
-3,98E-06
|
-2,62E-03
|
-3,13E-03
|
9,16E-04
|
-6,76E-05
|
1,68E-05
|
-4,49E-06
|
По уравнениям регрессии с указанными
коэффициентами были получены следящие значения откликов для исходных данных по
умолчанию: p = 0,74; Tq
= 28,2; Ts = 89,6; Nq
= 1,43; Ns = 4,33; Ca
= 0,049; Cr = 0,95.
Для проверки адекватности уравнений регрессии и
значимости их коэффициентов используем метод малых приращений. Изменим значения
каждого из факторов на 1% и проследим за процентным изменением значения
отклика. Результаты метода малых приращений представлены в таблице 7.
Таблица 7 - Метод малых приращений
|
Δs,
%
|
Δl,
%
|
ΔMa,
%
|
ΔMs,
%
|
Δp,
%
|
ΔTq,
%
|
ΔTs,%
|
ΔNq,%
|
ΔNs,%
|
ΔCa,%
|
ΔCr,%
|
|
0
|
0
|
0
|
0
|
0,000
|
0,000
|
0,000
|
0,000
|
0,000
|
0,000
|
0,000
|
|
1
|
0
|
0
|
0
|
1,087
|
19,104
|
1,952
|
-1,354
|
1,785
|
-2,122
|
-0,089
|
|
-1
|
0
|
0
|
0
|
-1,087
|
-19,104
|
-1,952
|
1,354
|
-1,785
|
2,122
|
0,089
|
|
0
|
1
|
0
|
0
|
0,053
|
1,562
|
0,197
|
-1,836
|
0,149
|
-1,750
|
0,036
|
|
0
|
-1
|
0
|
0
|
-0,053
|
-1,562
|
-0,197
|
1,836
|
-0,149
|
1,750
|
-0,036
|
|
0
|
0
|
1
|
0
|
1,013
|
12,084
|
1,263
|
-1,924
|
2,140
|
-2,220
|
-0,009
|
|
0
|
0
|
-1
|
0
|
-1,013
|
-12,084
|
-1,263
|
1,924
|
-2,140
|
2,220
|
0,009
|
|
0
|
0
|
0
|
1
|
-0,628
|
1,992
|
-0,597
|
-5,319
|
-0,343
|
-5,073
|
0,241
|
|
0
|
0
|
0
|
-1
|
0,628
|
-1,992
|
0,597
|
5,319
|
0,343
|
5,073
|
-0,241
|
По данным таблицы 7 видно, что наименее значимым
фактором является емкость накопителя.
6. Рекомендации по
использованию результатов моделирования
При исследовании созданной имитационной модели
системы массового обслуживания были получены следующие данные об ее характеристиках.
Коэффициент использования системы - 74%, среднее время ожидания в очереди 5,73
секунды, среднее время нахождения в системе 183,92 секунды, среднее число
требований в очереди 0,097, среднее число требований в системе 3,92, абсолютная
пропускная способность 0,017 требований в секунду, относительная пропускная
способность 1, экономическая оценка системы 687180,62 руб.
Исходя из этих данных, можно сделать вывод о
недогруженности и недостаточной эффективности системы.
После анализа входных данных системы и
экономической оценки возможных вариантов были выбраны два наиболее оптимальных
варианта построения системы, характеристики которых представлены в таблице 8.
Таблица 8 - Оптимальные варианты
системы
|
№
|
S
|
l
|
Ma
|
Ms
|
p
|
Tq
|
Ts
|
Nq
|
Ns
|
Ca
|
Cr
|
Экономическая
оценка, руб
|
|
1
|
3
|
32
|
15
|
50
|
0,643
|
20,193
|
69,837
|
2,863
|
2,041
|
0,039
|
1,000
|
14298337,61
|
|
2
|
3
|
40
|
25
|
50
|
0,484
|
3,464
|
53,107
|
2,224
|
2,108
|
0,039
|
1,000
|
13119570,60
|
Оба этих варианта являются экономически более
выгодными, чем исходная система. Однако вариант №2 при сохранении достаточно
высокого коэффициента использования, хоть и имеет большее среднее время
ожидания в очереди, обладает весьма высокой относительной пропускной
способностью, имеет большую емкость накопителя и меньшую экономическую оценку.
Таким образом, оптимальной является система с 3 устройствами, емкостью
накопителя 40, средним временем появления требования, равным 25 секундам, и
средним временем обработки требования, равным 50 секундам. Результаты прогонов
оптимальной системы представлены в приложении В.
Заключение
В ходе выполнения данной курсовой работы была
построена имитационная модель системы массового обслуживания с дисциплиной
обслуживания FIFO,
варьируемыми входными факторами (число устройств, емкость накопителя, среднее
время поступления и обработки требований) и возможностью визуализации процесса
функционирования системы.
Также был проведен анализ выходных параметров
при заданных значениях факторов (4 входных устройства, 36 позиций в накопителе,
среднее время поступления требований - 20 секунд, среднее время обработки
требований - 60 секунд) и рассчитаны оптимальные варианты для повышения
эффективности такой системы.
Список использованных источников
1 Кельтон
В., Лоу А. Имитационное моделирование. Классика CS. 3-ие изд. - СПб.: Питер;
Киев: Издательская группа BHV, 2004. - 847 с.
Советов
Б.Я., Яковлев С.А. Моделирование систем. 4-е изд. - М.: Высшая школа, 2005.
-343 с.
Приложения
Приложение 1
Данные расчетов метода хи-квадрат
В таблице А.1 приведены границы двадцати
интервалов, количество чисел в каждом интервале (nia
и nis),
вероятность попадания в каждый интервал (pia
и pis) и
вычислено значение статистики метода (суммы значений Zia
и Zis).
Таблица А. 1
|
№
|
Интервалы
A
|
Интервалы
S
|
nia
|
nis
|
pia
|
pis
|
Zia
|
Zis
|
|
0
|
0,00
|
0,00
|
53
|
49,00
|
0,05
|
0,05
|
0,18
|
0,02
|
|
1
|
1,03
|
3,08
|
47
|
38,00
|
0,05
|
0,05
|
0,18
|
2,88
|
|
2
|
2,11
|
6,32
|
46
|
42,00
|
0,05
|
0,05
|
0,32
|
1,28
|
|
3
|
3,25
|
9,75
|
52
|
63,00
|
0,05
|
0,05
|
0,08
|
3,38
|
|
4
|
4,46
|
13,39
|
62
|
44,00
|
0,05
|
0,05
|
2,88
|
0,72
|
|
5
|
5,75
|
17,26
|
58
|
57,00
|
0,05
|
0,05
|
1,28
|
0,98
|
|
6
|
7,13
|
21,40
|
55
|
56,00
|
0,05
|
0,05
|
0,50
|
0,72
|
|
7
|
8,62
|
25,85
|
38
|
52,00
|
0,05
|
0,05
|
2,88
|
0,08
|
|
8
|
10,22
|
30,65
|
47
|
44,00
|
0,05
|
0,05
|
0,18
|
0,72
|
|
9
|
11,96
|
35,87
|
49
|
56,00
|
0,05
|
0,05
|
0,02
|
0,72
|
|
10
|
13,86
|
41,59
|
47
|
58,00
|
0,05
|
0,18
|
1,28
|
|
11
|
15,97
|
47,91
|
48
|
48,00
|
0,05
|
0,05
|
0,08
|
0,08
|
|
12
|
18,33
|
54,98
|
39
|
60,00
|
0,05
|
0,05
|
2,42
|
2,00
|
|
13
|
21,00
|
62,99
|
49
|
58,00
|
0,05
|
0,05
|
0,02
|
1,28
|
|
14
|
24,08
|
72,24
|
45
|
46,00
|
0,05
|
0,05
|
0,50
|
0,32
|
|
15
|
27,73
|
83,18
|
54
|
44,00
|
0,05
|
0,05
|
0,32
|
0,72
|
|
16
|
32,19
|
96,57
|
53
|
47,00
|
0,05
|
0,05
|
0,18
|
0,18
|
|
17
|
37,94
|
113,83
|
54
|
38,00
|
0,05
|
0,05
|
0,32
|
2,88
|
|
18
|
46,05
|
138,16
|
48
|
47,00
|
0,05
|
0,05
|
0,08
|
0,18
|
|
19
|
59,91
|
179,74
|
56
|
53,00
|
0,05
|
0,05
|
0,72
|
0,18
|
|
20
|
inf
|
inf
|
|
|
|
|
13,32
|
20,60
|
Приложение 2
В таблице Б.1 представлены результаты 38
прогонов системы с параметрами по умолчанию, и вычислены средние значения
характеристик системы, которые и были использованы для экономической оценки.
Таблица Б.1
|
Прогон
|
A(1)
|
S(1)
|
p
|
Tq
|
Ts
|
Nq
|
Ns
|
Ca
|
Cr
|
|
1
|
392383406
|
370049510
|
0.8068
|
39.3184
|
100.2626
|
2.0469
|
5.3125
|
0.0530
|
1
|
|
2
|
130952435
|
189893642
|
0.7298
|
19.1587
|
76.1276
|
0.9882
|
3.9533
|
0.0512
|
1
|
|
3
|
296851250
|
145290521
|
0.7199
|
17.6453
|
75.8166
|
0.8649
|
3.7847
|
0.0495
|
1
|
|
4
|
532218505
|
122771621
|
0.7328
|
28.6962
|
85.8565
|
1.4817
|
4.4618
|
0.0513
|
1
|
|
5
|
142412058
|
107607528
|
0.7592
|
19.9614
|
81.1238
|
0.9837
|
4.1003
|
0.0496
|
1
|
|
6
|
143510471
|
274647030
|
0.7398
|
28.5228
|
89.6792
|
1.3889
|
4.4161
|
0.0484
|
1
|
|
7
|
196106443
|
582061606
|
0.7667
|
36.0280
|
97.5415
|
1.7965
|
4.9159
|
0.0499
|
1
|
|
8
|
271185539
|
116500819
|
0.8048
|
42.3671
|
104.5676
|
2.2172
|
5.5112
|
0.0518
|
1
|
|
9
|
570400782
|
617594204
|
0.7151
|
25.8162
|
82.3826
|
1.3069
|
4.2335
|
0.0506
|
1
|
|
10
|
276646084
|
70045116
|
0.7422
|
16.6945
|
74.0894
|
0.8634
|
3.8831
|
0.0517
|
1
|
|
11
|
162673666
|
257640649
|
0.7346
|
29.4245
|
91.4077
|
1.3902
|
4.3980
|
0.0474
|
1
|
|
12
|
374998699
|
165287802
|
0.7250
|
23.0163
|
83.0902
|
1.1068
|
4.0768
|
0.0483
|
1
|
|
13
|
380008180
|
448321991
|
0.7658
|
27.2404
|
88.6065
|
1.3532
|
4.4700
|
0.0499
|
1
|
|
14
|
139780275
|
74015393
|
0.6967
|
27.3240
|
85.5143
|
1.3286
|
4.1826
|
0.0479
|
1
|
|
15
|
187012609
|
200945096
|
0.7694
|
31.5171
|
90.5910
|
1.6476
|
4.7785
|
0.0521
|
1
|
|
16
|
267377766
|
320133557
|
0.7548
|
21.2408
|
80.5369
|
1.0929
|
4.1749
|
0.0509
|
1
|
|
17
|
53905740
|
165458306
|
0.7050
|
19.6050
|
74.7028
|
0.9968
|
3.8738
|
0.0512
|
1
|
|
18
|
504927591
|
18419295
|
0.7908
|
46.1629
|
106.0257
|
2.4107
|
5.6228
|
0.0528
|
1
|
|
19
|
585512511
|
460371375
|
0.7348
|
51.9565
|
112.4586
|
2.5340
|
5.5343
|
0.0486
|
1
|
|
20
|
307999561
|
364679067
|
0.7082
|
21.7450
|
81.3934
|
1.0357
|
3.9525
|
0.0475
|
1
|
|
21
|
149574082
|
289239955
|
0.7584
|
33.4663
|
96.0164
|
1.6432
|
4.7433
|
0.0485
|
1
|
|
22
|
607092508
|
344684462
|
0.7335
|
30.3486
|
91.2097
|
1.4536
|
4.4396
|
0.0482
|
1
|
|
23
|
328503191
|
145987842
|
0.7454
|
25.0217
|
84.6918
|
1.2650
|
4.3061
|
0.0500
|
1
|
|
24
|
308181590
|
393382528
|
0.7476
|
25.9342
|
87.2383
|
1.2527
|
4.3052
|
0.0488
|
1
|
|
25
|
428099891
|
249316978
|
0.7111
|
24.0180
|
80.6580
|
1.2099
|
4.1047
|
1
|
|
26
|
231617372
|
622784352
|
0.7625
|
27.2819
|
88.2138
|
1.3521
|
4.4855
|
0.0501
|
1
|
|
27
|
23789073
|
557974520
|
0.6827
|
18.1106
|
74.0842
|
0.8885
|
3.6573
|
0.0488
|
1
|
|
28
|
575699500
|
501882480
|
0.7271
|
14.0133
|
73.3094
|
0.6937
|
3.6932
|
0.0490
|
1
|
|
29
|
62224274
|
165073124
|
0.7328
|
32.8382
|
92.1424
|
1.6374
|
4.6048
|
0.0494
|
1
|
|
30
|
211395544
|
428473323
|
0.7216
|
26.2624
|
84.4909
|
1.2797
|
4.2342
|
0.0496
|
1
|
|
31
|
86077638
|
454632978
|
0.8010
|
40.9905
|
99.8268
|
2.2349
|
5.4662
|
0.0545
|
1
|
|
32
|
67298409
|
412102493
|
0.7542
|
25.1790
|
83.9028
|
1.2772
|
4.3688
|
0.0514
|
1
|
|
33
|
311507491
|
491083057
|
0.7593
|
28.7475
|
88.1045
|
1.4689
|
4.5741
|
0.0512
|
1
|
|
34
|
450730785
|
569669308
|
0.7501
|
31.2439
|
90.6017
|
1.6003
|
4.6130
|
0.0506
|
1
|
|
35
|
515399816
|
501029945
|
0.7245
|
17.7221
|
77.8271
|
0.8445
|
3.8232
|
0.0482
|
1
|
|
36
|
406152387
|
238660217
|
0.7275
|
29.4431
|
89.3203
|
1.4560
|
4.4279
|
0.0486
|
1
|
|
37
|
511587871
|
335871947
|
0.7994
|
50.2052
|
111.8971
|
2.5860
|
5.8318
|
0.0518
|
1
|
|
38
|
221084343
|
591909040
|
0.7258
|
18.1726
|
78.8421
|
0.8606
|
3.7799
|
0.0479
|
1
|
На рисунках Б.1 - Б.5 представлены графики для
одного из прогонов.
Рисунок Б. 1 - Коэффициент
использования системы
Рисунок Б. 2 - Число требований в
очереди
Рисунок Б. 3 - Число требований в
системе
Рисунок Б. 4 - Среднее по времени
число требований в очереди
Рисунок Б. 5 - Среднее по времени
число требований в системе
Приложение 3
В таблице B.1
представлены результаты 38 прогонов системы с оптимальными параметрами, и
вычислены средние значения характеристик системы, которые были использованы для
экономической оценки.
Таблица В. 1
|
Прогон
|
A(1)
|
S(1)
|
p
|
Tq
|
Ts
|
Nq
|
Ns
|
Ca
|
Cr
|
|
1
|
210248637
|
365755363
|
0.6783
|
18.2975
|
69.4917
|
0.7336
|
2.8488
|
0.0397
|
1
|
|
2
|
523247461
|
438957531
|
0.6822
|
30.6574
|
82.3447
|
1.2252
|
3.3602
|
0.0396
|
1
|
|
3
|
163831366
|
426804183
|
0.6340
|
17.0480
|
65.6939
|
0.6690
|
2.6811
|
0.0391
|
1
|
|
4
|
181441695
|
166396550
|
0.6745
|
14.9245
|
66.4160
|
0.6190
|
2.7173
|
0.0393
|
1
|
|
5
|
327677872
|
48382486
|
0.6692
|
23.0518
|
72.7722
|
0.9221
|
3.0323
|
0.0404
|
1
|
|
6
|
35202616
|
163091988
|
0.7288
|
34.2129
|
85.4797
|
1.4510
|
3.7023
|
0.0426
|
1
|
|
7
|
277312655
|
179204492
|
0.6319
|
20.2676
|
68.9290
|
0.7747
|
2.7700
|
0.0390
|
1
|
|
8
|
427868113
|
598576979
|
0.6688
|
29.0151
|
78.4949
|
1.1794
|
3.2696
|
0.0405
|
1
|
|
9
|
487870343
|
400996596
|
0.6340
|
16.8713
|
64.4189
|
0.6862
|
2.6961
|
0.0400
|
1
|
|
10
|
475027628
|
470763327
|
0.6125
|
12.8343
|
60.9236
|
0.4902
|
2.4269
|
0.0382
|
1
|
|
11
|
369410608
|
487303805
|
0.6785
|
20.3750
|
69.9572
|
0.8452
|
2.9690
|
0.0411
|
1
|
|
12
|
247408905
|
381550690
|
0.6638
|
28.7172
|
80.5574
|
1.1272
|
3.2215
|
0.0384
|
1
|
|
13
|
155971791
|
182931862
|
0.6229
|
19.7481
|
68.1180
|
0.7717
|
2.7476
|
0.0386
|
1
|
|
14
|
12186496
|
218930130
|
0.6373
|
16.5471
|
65.8349
|
0.6587
|
2.6596
|
0.0388
|
1
|
|
15
|
89382373
|
259415026
|
0.6608
|
19.5029
|
70.8096
|
0.7414
|
2.8224
|
0.0386
|
1
|
|
16
|
96488168
|
522574072
|
0.6506
|
21.7383
|
72.3439
|
0.8432
|
2.9177
|
0.0386
|
1
|
|
17
|
517294287
|
143162078
|
0.6374
|
15.3585
|
63.3155
|
0.6025
|
2.5921
|
0.0399
|
1
|
|
18
|
67411550
|
417787465
|
0.7003
|
26.6227
|
78.6439
|
1.0664
|
3.2282
|
0.0404
|
1
|
|
19
|
601726611
|
513468866
|
0.6779
|
17.0301
|
66.4642
|
0.6825
|
2.7954
|
0.0411
|
1
|
|
20
|
392873635
|
206927495
|
0.6689
|
20.3257
|
0.8156
|
2.9111
|
0.0400
|
1
|
|
21
|
174841699
|
273813804
|
0.6659
|
22.8570
|
72.3890
|
0.9070
|
2.9782
|
0.0403
|
1
|
|
22
|
220812305
|
553304297
|
0.6782
|
22.8592
|
73.8236
|
0.9115
|
3.0304
|
0.0399
|
1
|
|
23
|
3879547
|
439013750
|
0.7306
|
44.9269
|
96.7069
|
1.9117
|
4.1468
|
0.0423
|
1
|
|
24
|
213101466
|
192249512
|
0.6929
|
30.1034
|
80.9491
|
1.2550
|
3.3824
|
0.0409
|
1
|
|
25
|
408536768
|
580653783
|
0.7035
|
26.5417
|
78.7641
|
1.0534
|
3.2481
|
0.0404
|
1
|
|
26
|
562958003
|
628581977
|
0.6772
|
25.0748
|
74.9566
|
1.0120
|
3.1552
|
0.0407
|
1
|
|
27
|
45943091
|
81706398
|
0.6766
|
22.1035
|
73.5977
|
0.8597
|
2.9660
|
0.0394
|
1
|
|
28
|
618741366
|
56885131
|
0.6618
|
23.7420
|
72.2707
|
0.9574
|
3.0250
|
0.0409
|
1
|
|
29
|
432526983
|
585582268
|
0.6961
|
20.8385
|
71.5756
|
0.8717
|
3.0452
|
0.0412
|
1
|
|
30
|
89395370
|
557500266
|
0.6502
|
14.7719
|
64.7811
|
0.5671
|
2.6213
|
0.0390
|
1
|
|
31
|
12457151
|
216015488
|
0.6992
|
28.3473
|
81.0957
|
1.1199
|
3.3022
|
0.0398
|
1
|
|
32
|
150218630
|
620629780
|
0.6832
|
22.8126
|
75.2126
|
0.9056
|
3.0462
|
0.0391
|
1
|
|
33
|
533661468
|
500828343
|
0.6872
|
20.7695
|
71.2749
|
0.8452
|
2.9998
|
0.0408
|
1
|
|
34
|
567499297
|
491746823
|
0.6385
|
19.3285
|
66.7094
|
0.7717
|
2.8117
|
0.0404
|
1
|
|
35
|
309604829
|
281516540
|
0.6621
|
20.5090
|
69.9324
|
0.8331
|
2.9287
|
0.0402
|
1
|
|
36
|
306858352
|
104571131
|
0.6420
|
23.8614
|
72.0739
|
0.9543
|
2.9781
|
0.0399
|
1
|
|
37
|
227343441
|
555171898
|
0.6865
|
26.4534
|
77.2467
|
1.0560
|
3.1879
|
0.0405
|
1
|
|
38
|
469209853
|
262715807
|
0.6519
|
18.7458
|
68.2551
|
0.7608
|
2.8026
|
0.0395
|
1
|
На рисунках В.1 -
В.5 представлены графики для одного из прогонов.
Рисунок В. 1 - Коэффициент
использования системы
Рисунок В. 2 - Число требований в
очереди
Рисунок В. 3 - Число требований в
системе
Рисунок В. 4 - Среднее по времени
число требований в очереди
Рисунок В. 5 - Среднее по времени
число требований в системе