Основные виды вычислительных процессов
ФЕДЕРАЛЬНОЕ
АГЕНТСТВО ПО ОБРАЗОВАНИЮ
ИНСТИТУТ
СОВРЕМЕННЫХ ТЕХНОЛОГИЙ И ЭКОНОМИКИ
Факультет
современных технологий
КАФЕДРА ВТ и
ИТ
Контрольная
работа
по
дисциплине «Информатика»
Вариант № 4
Выполнил (а): Студент факультета ЗО
и ОЗ
Договорная форма обучения
Специальности: 230105;
№ группы ______11МЗ01_______
Проверила: Ст. преподаватель
Василенко П.А.
Краснодар,
2013
1. Основные виды вычислительных
процессов
Алгоритмом называется точное и понятное
предписаниe исполнителю совершить последовательность действий, направленных на
решение поставленной задачи. Слово «алгоритм» происходит от имени математика
Аль Хорезми, который сформулировал правила выполнения арифметических действий.
Первоначально под алгоритмом понимали только правила выполнения четырех
арифметических действий над числами. В дальнейшем это понятие стали
использовать вообще для обозначения последовательности действий, приводящих к
решению любой поставленной задачи. Говоря об алгоритме вычислительного
процесса, необходимо понимать, что объектами, к которым применялся алгоритм,
являются данные. Алгоритм решения вычислительной задачи представляет собой
совокупность правил преобразования исходных данных в результатные.
Основными свойствами алгоритма являются:
1. детерминированность (определенность).
Предполагает получение однозначного результата вычислительного процecca при
заданных исходных данных. Благодаря этому свойству процесс выполнения алгоритма
носит механический характер;
2. результативность. Указывает на наличие
таких исходных данных, для которых реализуемый по заданному алгоритму
вычислительный процесс должен через конечное число шагов остановиться и выдать
искомый результат;
. массовость. Это свойство предполагает,
что алгоритм должен быть пригоден для решения всех задач данного типа;
. дискретность. Означает расчлененность
определяемого алгоритмом вычислительного процесса на отдельные этапы,
возможность выполнения которых исполнителем (компьютером) не вызывает сомнений.
Алгоритм должен быть формализован по некоторым
правилам посредством конкретных изобразительных средств. К ним относятся
следующие способы записи алгоритмов: словесный, формульно-словесный,
графический, язык операторных схем, алгоритмический язык.
Наибольшее распространение благодаря своей
наглядности получил графический (блок-схемный) способ записи алгоритмов.
Блок-схемой
называется графическое изображение логической структуры алгоритма, в котором
каждый этап процесса обработки информации представляется в виде геометрических
символов (блоков), имеющих определенную конфигурацию в зависимости от характера
выполняемых операций. Перечень символов, их наименование, отображаемые ими
функции, форма и размеры определяются ГОСТами.
При всем многообразии алгоритмов решения задач в
них можно выделить три основных вида вычислительных процессов:
· линейный;
· ветвящийся;
· циклический.
Одним из свойств алгоритма является дискретность
- возможность расчленения процесса вычислений, предписанных алгоритмом, на
отдельные этапы, возможность выделения участков программы с определенной
структурой. Можно выделить и наглядно представить графически три простейшие
структуры:
o последовательность двух или
более операций;
o выбор направления;
o повторение.
Любой вычислительный процесс может быть
представлен как комбинация этих элементарных алгоритмических структур.
Соответственно, вычислительные процессы, выполняемые на ЭВМ по заданной
программе, можно разделить на три основных вида:
o линейные;
o ветвящиеся;
o циклические.
Линейный процесс
Линейным принято называть вычислительный
процесс, в котором операции выполняются последовательно, в порядке их записи.
Каждая операция является самостоятельной, независимой от каких-либо условий. На
схеме блоки, отображающие эти операции, располагаются в линейной
последовательности.
Линейные вычислительные процессы имеют место,
например, при вычислении арифметических выражений, когда имеются конкретные
числовые данные и над ними выполняются соответствующие условию задачи действия.
Рис.1. Линейные вычислительные процессы
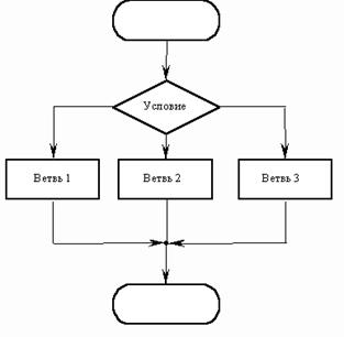
Вычислительный процесс называется ветвящимся,
если для его реализации предусмотрено несколько направлений (ветвей). Каждое
отдельное направление процесса обработки данных является отдельной ветвью
вычислений. Ветвление в программе - это выбор одной из нескольких
последовательностей команд при выполнении программы. Выбор направления зависит
от заранее определенного признака, который может относиться к исходным данным,
к промежуточным или конечным результатам. Признак характеризует свойство данных
и имеет два или более значений.
Ветвящийся процесс
Ветвящийся процесс (рис. 6.3), включающий в себя
две ветви, называется простым, более двух ветвей - сложным. Сложный ветвящийся
процесс можно представить с помощью простых ветвящихся процессов.
Направление ветвления выбирается логической
проверкой, в результате которой возможны два ответа: «да» - условие выполнено и
«нет» - условие не выполнено.
Следует иметь в виду, что, хотя на схеме
алгоритма должны быть показаны все возможные направления вычислений в
зависимости от выполнения определенного условия (или условий), при однократном
прохождении программы процесс реализуется только по одной ветви, а остальные
исключаются. Любая ветвь, по которой осуществляются вычисления, должна
приводить к завершению вычислительного процесса.
Рис. 2. Ветвящийся вычислительный процесс
Циклический процесс
Циклическими называются программы (рис.3),
содержащие циклы. Цикл - это многократно повторяемый участок программы.
Рис. 3. Циклические процессы
Цикл называется детерминированным, если число
повторений тела цикла заранее известно или определено. Цикл называется
итерационным, если число повторений тела цикла заранее неизвестно, а зависит от
значений параметров (некоторых переменных), участвующих в вычислениях.
2. Практические задания
Задание
1. Задачи по теме «Содержательный подход к измерению информации»
. В библиотеке 16 стеллажей. На каждом стеллаже
по 8 полок. Библиотекарь сказала Оле, что интересующая ее книга, находится на 3
стеллаже, на 2-ой сверху полке. Какое количество информации получила Оля?
Решение:
Решение. По формуле Хартли
Н=1оg 2 N = 1оg 2 (16*8)=1оg 2 128= 1оg 2 7 = 7
бит
Ответ: 7 бит
. В корзине 8 шаров. Все шары разного цвета.
Сколько информации несет сообщение о том, что из корзины достали красный шар?
Н=1оg 2 8 = 1оg 2 =1оg 2 23 = 3 битa
Ответ: 3 бита
Задание 2.
Задачи по теме "Позиционные системы счисления. Арифметические
операции"
. Перевести данное число из десятичной системы
счисления вдвоичную, восьмеричную и шестнадцатеричную системы счисления.
. Перевести данное число в десятичную систему
счисления.
. Сложить числа.
. Выполнить вычитание.
. Выполнить умножение.
Примечание.
В заданиях 3-5 проверять правильность вычислений переводом исходных данных и
результатов в десятичную систему счисления.

Ответ:
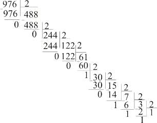
б) 976,625(10).
|
0,625 * 2 1,250
|
0,250
* 2 1,500
|
0,500
* 2 1,0
|
|
 
|
|
|
ОТВЕТ:
2. а)10000011001(2);
б) 1110001100,1(2);
в) 1053,2(8);
г) 1D6,88(16)
Сложим числа
723+976,625=1699,625
,0+1110001100,1=11110100101,1
+908,5=1957,5
,28+1D6,8816=1053,28+111010110,100010002=1053,28+726,428=2001,1628
555,25+470,5312510=1025,7812510
2001,628
,20-726,42=124,56
|
1 0 5 3, 2 * 7 2 6, 4 2 2 1 2 6 4 4 2 5 5 0 6
4 0 3 4 21 2 6 4 7 4 5 6 6
7
7 6 2 1 6 3 6 4
|
8-ричная
система исчислений
|
Выполним вычитание:
-976,625=-253,625
,0-1110001100,1=10001100,1
-908=140,5
Выполним умножение
*976,625=706099,875
Задание 3.
«Работа в M
SExcel 2007»
. Создайте таблицу в Microsoft Excel.
ЧП Фамилия И.О.
Расчет стоимости проданного товара
Дата 28.03.2009 Курс доллара30,01р.
|
Наименование
товара
|
Откуда
|
Датаизг.
|
Цена $
|
Цена, руб.
|
Кол-во
|
Стоимость, руб.
|
|
Стиральная машинаВеко
|
Россия
|
11.07.2009
|
176,30
|
?
|
3
|
?
|
|
Телевизор Sony 29"
|
Корея
|
04.08.2009
|
440,35
|
?
|
2
|
?
|
|
Телевизор LG 21"
|
Корея
|
10.01.2008
|
114,25
|
?
|
5
|
?
|
Россия
|
12.02.2008
|
430,00
|
?
|
3
|
?
|
|
Холодильник Samsung
|
Корея
|
19.12.2008
|
512,50
|
?
|
1
|
?
|
|
Пылесос Samsung
|
Корея
|
07.11.2008
|
69,50
|
?
|
6
|
?
|
|
Итогозадень
|
|
|
|
|
|
?
|
2. Переименуйте
Лист1, назовите его Данные.
3.
ПереименуйтеЛист2, назовите
Сортировка.
4.
ПереименуйтеЛист3, назовите
Фильтрация.
5. Вместо
Фамилия И.О. введите свои данные.
6. Вместо
символа «?» введите соответствующие формулы.
7. Скопируйте
таблицу с листа Данные на листы Сортировка, Фильтрация.
8. Постройте
диаграмму, отражающую данные о стоимости проданного товара каждого
наименования.
9. Добавьте
в таблицу строку Телевизор Samsung 21" Корея 11.04.2008 220$.
На листе Сортировка выполните сортировку по
убыванию цены в долларах.
На листе Фильтрация Выберите данные о товаре из
Кореи, поступившем в 2008 году.
Расчет стоимости проданного товара
Дата 28.03.2009 Курс доллара30,01р.
|
Наименовние
товара
|
Откуда
|
Дата
изг.
|
Цена
$
|
Цена,
руб
|
кол-во
|
стоимость
, руб
|
|
Стиральная
машина Веко
|
Россия
|
11.07.09
|
176,30
|
5
290,76р.
|
3
|
15
872,29р.
|
|
Телевизор
Sony,29
|
Корея
|
04.08.09
|
440,35
|
13
214,90р.
|
2
|
26
429,81р.
|
|
Телевизор
LG,21
|
Корея
|
10.01.08
|
114,25
|
3
428,64р.
|
5
|
17
143,21р.
|
|
Холодильник
LG
|
Россия
|
12.02.08
|
430,00
|
12
904,30р.
|
3
|
38
712,90р.
|
|
Холодильник
Samsung
|
19.12.08
|
512,50
|
15
380,13р.
|
1
|
15
380,13р.
|
|
Пылесос
Samsung
|
Корея
|
07.11.08
|
69,50
|
2
085,70р.
|
6
|
12
514,17р.
|
|
Итого
за день
|
|
|
|
|
|
126
052,50р.
|
ЧП Зинченко Л.А.
Расчет стоимости проданного товара
Дата 28.03.2009 Курс доллара30,01р.
|
Наименовние
товара
|
Откуда
|
Дата
изг.
|
Цена
$
|
Цена,
руб
|
кол-во
|
стоимость
, руб
|
|
Стиральная
машина Веко
|
Россия
|
11.07.09
|
176,30
|
5
290,76
|
3
|
15
872,29р.
|
|
Телевизор
Sony,29
|
Корея
|
04.08.09
|
440,35
|
13214,90
|
2
|
26
429,81р.
|
|
Телевизор
LG,21
|
Корея
|
10.01.08
|
114,25
|
3
428,64
|
5
|
17
143,21р.
|
|
Холодильник
LG
|
Россия
|
12.02.08
|
430,00
|
12904,30
|
3
|
38
712,90р.
|
|
Холодильник
Samsung
|
Корея
|
19.12.08
|
512,50
|
15380,13
|
1
|
15
380,13р.
|
|
Пылесос
Samsung
|
Корея
|
07.11.08
|
69,00
|
2
070,69
|
6
|
12
424,14р.
|
|
ТелевизорSamsung
|
Корея
|
11.04.08
|
220,00
|
1
|
2
070,69р.
|
|
Итого
за день
|
|
|
|
|
|
128
033,16р.
|
алгоритм вычислительный десятичный
счисление
Список рекомендуемой литературы
1. Безручко, В.Т. Практикум по курсу
«Информатика». Работа в Windows, Word, Excel [Текст] : учеб. пособие /В.Т.
Безручко - М. : Финансы и статистика, 2004. - 272с.
. Конев, Ф.Б. Информатика для
инженеров [Текст] : учеб.пособие / Ф.Б. Конев. - М. : Высш. шк., 2004. - 272 с.
. Макарова, Н.В. Информатика [Текст]
: учебник / подред. проф. Н.В. Макаровой. - Изд. 3-е, перераб. - М. :Финансы и
статистика, 2005. - 768 с.
. Могилёв, А. В. Информатика [Текст]
: учеб. пособие длястуд. пед. вузов / А.В. Могилёв, И.И. Пак, Е.К. Хеннер; под
ред. Е.К. Хеннер. - 2-е изд., стер. - М. : Академия,2003 - 816 с.
. Острейковский, В.А. Информатика
[Текст] : учеб. Длявузов. / В.А. Острейковский. - М. : Высш. шк., 2000. -246 с.
. Симонович, С.В. Информатика :
базовый курс [Текст] :учеб. для вузов. / под ред. С.В. Симоновича. - Изд. 2-е.
-СПб : Питер, 2004. - 640 с.
. Соболь, Б.В. Информатика [Текст] :
учебник / Б.В. Соболь, А.Б. Галин, Ю.В. Панов, Е.В. Рашидова, Н.Н. Садовой. -
Ростов н/Д : Феникс, 2005. - 448 с.
. Степанов, А.Н. Информатика [Текст]
: учеб. для вузов. /А.Н. Степанов. - Изд. 4-е. - СПб : Питер, 2006. - 684 с.
. Хомоненко, А.Д. Основы современных
компьютерных технологий [Текст] : учеб. пособие / под ред. проф. А.Д. Хомоненко
и др. - СПб. : КОРОНА принт, 1998. - 448 с.