Разработка универсального станка для резки, биговки и перфорации бумаги
Содержание
Реферат
Введение
. Обзор
существующего оборудования оперативной полиграфии для резки, бигования и
перфорации
1.1 Резальный станок для бумаги. Описание и
технические характеристики
1.1.1
Особенности эксплуатации дисковых резальных станков
.1.2 Виды
дисковых резальных станков
.2
Особенности оборудования и процесса бигования листовой продукции
.2.1 Виды
устройств для бигования
.3
Оборудование и технология перфорации
.3.1 Область
применения
.4 Основные
технические требования при разработке универсального станка для резки, биговки
и перфорации
. Разработка
настольного станка для полистной резки, биговки и перфорации. (Обоснование и
выбор материалов, расчет углов заточки ножей)
.1 Дисковые
ножи
.1.1
Перфорационный нож и основные характеристики
.1.2 Нож для
резки. Основные характеристики
.1.3
Биговочный нож. Основные характеристики
.2
Прогнозирование работоспособности режущего инструмента на основе оценки
напряженного состояния поверхностного слоя обрабатываемого материала
2.3 Выбор ножа для бумагорезальной машины
.4
Сравненительные показатели стойкости ножей различных классов
2.5 Сравнение
экономичности ножей для обрезки бумаги
2.6 Указания
для точильщиков ножей
2.7
Рекомендации для выбора правильного угла резания ножа
2.8
Характерные явления при дефектах заточки
2.9
Сохранность и уход за ножом
2.10 Выбор
марзана для бумагорезальной машины
. Расчет
(оценка) экономической эффективности разработки и внедрения настольного станка
для резки, биговки и перфорации листовой продукции
3.1
Технико-экономический анализ и оценка показателей экономической эффективности
проекта
. Охрана
труда и техника безопасности при эксплуатации настольного станка для полистной
резки, биговки и перфорации бумаги
.1 Выявление
опасных и вредных производственных факторов при работе на резальном
оборудовании
.2
Воздействие опасных и вредных факторов на организм человека, и на окружающую
среду
.2.1 Обеспечение микроклимата на рабочем
месте
.2.2 Освещение рабочего места
.2.3 Шум и защита от него
.2.4 Химические факторы
4.2.5
Психофизиологические факторы
4.3 Сравнение
вредных факторов с допустимыми факторами. Вывод о необходимости защитных мер
.4 Описание
предлагаемых устройств, методов и средств борьбы с выявленными вредными и
опасными факторами
.4.1
Требования к системам освещения в помещении цехов
.4.2
Требования к естественному освещению
.4.3 Защита
от шума
.5 Основные
правила пожарной безопасности
Заключение
Список
использованной литературы
Реферат
Пояснительная записка содержит: 71страницу, 3 чертежа формата А3 и 1
чертеж формата А4, 28 рисунков, 14 таблиц, 22 источника.
Ключевые слова: универсальный станок, станок для резки, биговка,
перфорация, дисковый нож, перфорация, картридж, каретка, направляющая.
Выпускная квалификационная работа содержит:
· краткие характеристики различных типов станков для резки,
биговки и перфорации;
· расчетно-пояснительную записку;
· чертежи.
Настоящая работа посвящена разработке станка для резки, биговки и
перфорации. После проведеных иследований, были выбраны оптимальные параметры и
технические характеристики оборудования. Подсчитана экономическая эффективность
разработки настольного станка для резки, бигования и перфорации листовой
продукции.
Современная оперативная полиграфия нуждается в простых, не дорогих
станках способных выполнять несколько операций. Универсальный станок относится
к таким видам оборудования. На нем можно выполнять резку, биговку и перфорацию.
И все это осуществляется посредством сменных картриджей с разными видами
дисковых ножей.
Введение
Анализируя состояние дел в полиграфии можно сделать вывод, что
обеспечение заказами в крупных типографиях с каждым годом становится все
сложнее и сложнее. Заказчикам все чаще нужны небольшие тиражи в самые сжатые
сроки, вплоть до эксклюзивных - единичных и это специфика отрасли в условиях
мирового кризиса. Большие типографии не берутся за мелкие заказы из-за их
нерентабельности. С этой проблемой легко справляются небольшие типографии
оперативной полиграфии.
Что такое предприятие оперативной полиграфии? Это типография способная за
короткое время и с высоким качеством напечатать любой ваш заказ от одного
экземпляра. Наиболее популярные виды заказов это изготовление листовок,
плакатов, буклетов и визиток. Для обеспечения полного цикла печати в таких
типографиях должно быть не дорогое и способное выполнить полный объем работ
оборудование. Печать обеспечивается цифрой печатной машиной, а отделочные
процессы целой группой небольших станков для резки, биговки, тиснения,
перфорации, ламинирования, переплета идр.
На сегодняшний день существует огромное количество станков для резки,
биговки и перфорации. Задача на курсовое проектирование - разработать
универсальный станок для послепечатной обработки, где будет можно использовать
три вида операций: резки, биговки и перфорации. Такой станок можно будет
использовать не только в оперативной полиграфии, но и в офисах или просто в
домашних условиях для финишной обработки листовой бумаги. Станок будет
абсолютно безопасен при эксплуатации, так как все ножи будут находиться в
специальных защитных картриджах.
.
Обзор существующего оборудования оперативной полиграфии для резки, бигования и
перфорации
1.1 Резальный станок для бумаги. Описание и технические характеристики
Что такое резальный станок для бумаги? Это устройство для быстрого и
ровного разрезания бумаги в стопах различной толщины. Станок позволяет ровно
разрезать лист бумаги для качественного применения их в дальнейших отделочных
операциях.
На
сегодняшний день существуют несколько фирм выпускающие эту продукцию, такие
как: Steiger <#"655854.files/image001.gif">
Рисунок 1 - Резальный станок Ideal 1031
Таблица 1 - Технические характеристики
|
Формат
|
А3
|
|
Длина реза (мм)
|
430
|
|
Высота стопы (листы)
|
6
|
|
Прижим
|
Автоматический
|
|
Габариты (ДхШхВ)
|
576х201х61
|
|
Вес (кг)
|
0,9
|
Роликовый резальный станок Steiger R 48 (рисунок 2). Используется
для обрезки фото формата А6-А3. Имеет надежную конструкцию - основание,
выполненное из толстой стали. Самозатачивающийся дисковый нож, контрнож
длительной эксплуатации. Поверхность изготовлена из гуммированного пластика.
Рабочий стол с антибликовым покрытием, прижим - автоматический. Защита от
лезвия - безопасная режущая головка. Параметры резального станка Steiger R 48
представлены в таблице 2.
Рисунок 2 - Роликовый резальный станок Steiger R 48
Таблица 2 - Технические характеристики
|
ФорматА6-А3
|
|
|
Длина реза (мм)
|
480
|
|
Высота стопы (листы)
|
20
|
|
Прижим
|
Автоматический
|
|
Габариты (ДхШ)
|
656 х315
|
|
Вес (кг)
|
4,0
|
Роликовый
резальный станок Fellowes
PROTON A3 (рисунок 3). Резальный дисковый станок Proton A3 идеален
для работы с небольшим количеством материалов. Длина реза 455мм, стопа 1мм (10
листов 80г/м2). Инновационная система сменных/заменяемых картриджей - SafeCut™ Картридж.
Помещенное в пластиковый картридж лезвие гарантирует полную безопасность для
пользователя. Картридж освобождает лезвие только в момент резки. Основание со
специальными слотами для хранения запасных или сменных картриджей.
Комплектуется 1 ножом для прямой резки. Специальный механизм фиксирует режущий
картридж на конечной позиции, что облегчает процесс транспортировки.
Параметры резального станка Fellowes Proton A3представлены в таблице 3 [21].
Рисунок 3 - Роликовый резальный станок Fellowes PROTON A3
Таблица 3 - Технические характеристики
|
Формат
|
А3
|
|
Длина реза (мм)
|
455
|
|
Высота стопы (листы)
|
10
|
|
Прижим
|
Ручной
|
|
Габариты (ДхШхВ)
|
625х220х80
|
|
Вес (кг)
|
1,6
|
Резальный станок Gladwork 3216 (рисунок 4). Металлический роликовый резак
для бумаг применяется для разрезки бумаги различных сортов, фотографий, пленок,
обложек брошюр. Параметры резального станка Gladwork 3216представлены в таблице
4.
<#"655854.files/image005.gif">
Рисунок 5 - Cyklos GPM 315
Таблица 5 - Технические характеристики
|
Макс. рабочая ширина (мм)
|
315
|
|
Макс. плотность бумаги
(г/м2 )
|
400
|
|
Угол биговки (С)
|
0 - 90° градусов
|
|
Ширина бига (мм)
|
1,2 / 1,8
|
|
Макс. рабочая ширина (мм)
|
315
|
|
Габариты (мм)
|
500x380x95
|
|
Вес (кг)
|
11,5
|
Биговщик Cyklos KSL 435 (рисунок 6). Параметры станка Cyklos KSL 435
представлены в таблице 6.
Рисунок 6 - Cyklos KSL 435
Таблица 6 - Технические характеристики
|
Макс. рабочая ширина (мм)
|
435
|
|
Макс. плотность бумаги
(г/м2 )
|
400
|
|
Угол биговки (С)
|
45° и 90° градусов
|
|
Ширина бига (мм)
|
1,2 / 1,8
|
|
Макс. рабочая ширина (мм)
|
315
|
|
Габариты (мм)
|
505 x 505 x 95
|
|
Вес (кг)
|
13,5
|
Биговщик Fastbind C400 (рисунок 7) - ручная биговальная машина. Эта
дешевая биговальная машина сверхпрочна, проста в эксплуатации и имеет большую
мощность. Могут быть отбигованы бумажные материалы толщиной до 1,3 мм и длиной
до 400 мм. FastbindC400 может изготавливать до четырех бигов без какого-либо
регулирования. Уникальная конструкция рукоятки и внутренней механики означает,
что работа машины не зависит от усилий оператора. Независимо от величины стопы
материалов, рукоятка поднимает и бигует листы легко и последовательно. Две
ступенчатые линейки позволяют выполнять четыре бига без перенастройки машины.
Толщина используемого материала до 2 мм, длина бига 400 мм. Область применения:
офисы и начинающие копировальные центры. Ручная биговальная машина Fastbind
C400 идеально подходит для использования с термоклеевыми машинами. Аппарат
позволяет выполнять четыре бига без перенастройки машины. Параметры станка
Fastbind C400 представлены в таблице 7 [22].
Рисунок 7 - Fastbind C400
Таблица 7 - Технические характеристики
|
Макс. рабочая ширина (мм)
|
55-325
|
|
Макс. плотность бумаги
(г/м2 )
|
320
|
|
Бигование
|
Ручное
|
|
Ширина бига (мм)
|
Не ограничена
|
|
Макс. рабочая ширина (мм)
|
315
|
|
Габариты (мм)
|
54х61х12
|
|
Вес (кг)
|
11
|
1.3 Оборудование и технология перфорации
Перфорацией в полиграфическом производстве называют процесс пробивания
(просечки) близко расположенных друг к другу отверстий одинакового диаметра и
правильной формы на листе или ином запечатываемом материале. Представьте на
бумаге ряд отверстий - они могут быть круглыми или квадратными - расположенных
в линию. Вот это и есть перфорация.
.3.1 Область применения
Чаще всего перфорация применяется при изготовлении:
· отрывных календарей;
· почтовых марок;
· отрывных купонов;
· блокнотов;
· открыток;
· самокопирующихся бланков;
· некоторых видах брошюр;
· и другой полиграфической продукции.
Линия перфорации может быть как горизонтальной, так и вертикальной. Все
зависит от пожеланий заказчика.
1.4 Основные технические требования при разработке универсального станка
для резки, биговки и перфорации
Разрабатываемый станок должен иметь настольное исполнение, небольшие
размеры, сменные дисковые ножи для перфорации, резки и бигования. Основные
требования предстапвлены в таблице 8.
Таблица 8 - Основные технические требования
|
Формат
|
А3
|
|
Количество листов
|
10 (80г/м2)
|
|
Картриджи
|
SafeCut™ (3-х видов)
|
|
Матерьял ножей
|
9ХС
|
|
HR
|
58
|
|
Угол заточки
|
19 радусов
|
.
Разработка настольного станка для полистной резки, биговки и перфорации.
(Обоснование и выбор материалов, расчет углов заточки ножей)
.1 Дисковые ножи
Дисковые ножи - одни из главных его деталей. Дисковым ножом
называется нож дисковой формы, выполненный из металла высокой прочности, с
отверстием в центре под крепление. Они могут быть различных габаритов и из
разных материалов. В основном это быстрорежущие и инструментальные стали, таки
как 6ХС, 9ХС, 9ХФ, ХВГ, ШХ15. Он имеет по периметру режущую кромку.
Режущая кромка у дисковых ножей может быть выполнена:
· с двусторонней заточкой - нож затачивается с двух сторон. При
этом углы заточки могут быть различны, и в зависимости от них, режущая кромка
может смещаться как к одной, так и к другой плоскости ножа;
· с односторонней заточкой - нож заточен с одной стороны,
режущая кромка на одной из плоскостей ножа;
· с заточкой под прямым углом к боковым плоскостям ножа - нож
режет гранью. Такие изделия, как правило, используются в паре с контр ножом;
· с фигурной заточкой - в соответствии с условиями работы ножа.
Отверстие в центре дискового ножа предназначено для посадки на ось
вращения. Оно может быть выполнено как с пазами, так и с выступами, а ширина
его кромки может варьироваться, (к примеру, быть толще режущей кромки ножа).
Правильный выбор угла заточки, вида режущей кромки и материала позволит в
разы увеличить ресурс ножа и даже обрабатывать более плотные и твердые
материалы.
Безусловно, дисковые ножи проектируются исходя из специфики
обрабатываемого ими материала, но все они должны обладать минимальным сопротивлением
резанию и максимальным сопротивлением износу.
.1.1 Перфорационный нож и основные характеристики
Расчет перфорационного ножа (рисунок 8).
d= 28
(мм) - диаметр
a= 6,
3(мм) - длинна зуба
b= 1
(мм) - длинна пробела
n= 12
- количество зубьев и пробелов
Длина
окружности определяется по формуле:
L=2 3,14 14=88
Проверка:
Сумма длин зуба и пробелов должно равняеться 88 (мм)
Рисунок 8 - Перфорационный нож
Расчет усилий для высечки.
Максимальное значение давления дискового ножа на поверхность бумаги:
a = 6, 3(мм) - длинна
зуба
-
максимальное усилие (рисунок 9)
Параметры
перфорационного ножа представлены в таблице 9

Рисунок
9 - Усилия перфорационного ножа
Таблица
9 - Технические характеристики
|
Диаметр (мм)
|
28
|
|
Окружность (мм)
|
88
|
|
Толщина (мм)
|
1
|
|
Высота стопы (листы)
|
10
|
|
Угол заточки (градусы)
|
19
|
|
Количество зубьев
|
12
|
|
Длинна зуба (мм)
|
6,3
|
|
Сталь
|
9ХС
|
|
Твердость
|
54-58
|
2.1.2 Нож для резки. Основные характеристики
Характеристика и параметры ножа представлены в таблице 10.
Таблица 10 - Технические характеристики
|
Диаметр (мм)28
|
|
|
Окружность (мм)
|
88
|
|
Толщина (мм)
|
1
|
|
Высота стопы (листы)
|
10
|
|
Угол заточки (градусы)
|
19
|
|
Сталь
|
9ХС
|
|
Твердость
|
54-58
|
.1.3 Биговочный нож. Основные характеристики
Параметры ножа для бигования листовой продукции представлены в таблице
11.
Таблица 11 - Технические характеристики
|
Диаметр (мм)28
|
|
|
Окружность (мм)
|
88
|
|
Толщина (мм)
|
1
|
|
Высота стопы (листы)
|
5
|
|
Угол заточки (градусы)
|
0
|
|
Сталь
|
9ХС
|
|
Твердость
|
54-58
|
.2 Прогнозирование работоспособности режущего инструмента на основе
оценки напряженного состояния поверхностного слоя обрабатываемого материала
Рассмотрены вопросы прогнозирования работоспособности режущего
инструмента для различных технологических процессов механической обработки
резанием на основе диагностики по акустическому сигналу и теоретических
исследований напряженного состояния поверхностного слоя обрабатываемого
материала.
До настоящего времени механическая обработка материалов резанием остается
одной из важнейших операций формообразования в технологических процессах.
Повышение производительности, гибкости, надежности и экономичности при
обеспечении качества и точности получаемых изделий в настоящее время связано с
научно обоснованным выбором оптимальных инструментальных материалов,
геометрических параметров инструментов и режимов резания, внедрением систем
контроля над состоянием инструмента, в частности, методов вибродиагностики. Для
эффективного решения данной задачи необходимо знание явлений, происходящих при
взаимодействии инструмента с обрабатываемым материалом.
Физические явления, протекающие в зоне резания, являются источником
упругих волн различной интенсивности и частоты, вызывающих акустическое
излучение. Протекание волновых процессов в сплошных средах определяется большим
числом факторов: макро- и микрогеометрией инструмента, физико-механическими
свойствами материалов, динамическими характеристиками технологической системы,
внешними условиями нагружения и применения различных сред и др. Изменение хотя
бы одного из этих факторов приводит к изменению характеристик акустического
сигнала, его интенсивности и частотного спектра.
При этом износ режущего инструмента при механической обработке
существенно влияет на распределение контактного давления в поверхностном слое
обрабатываемого материала [1] и соответственно на волновые процессы.
Моей целью является изучение схемы линейно-деформируемого полупространства
при вдавливании в упругую полуплоскость наклонного штампа с закругленной
кромкой для объяснения напряженного состояния поверхностного слоя изделия при
изнашивании режущего инструмента и дальнейшего прогнозирования его
работоспособности на основе данных акустического сигнала.
При традиционных способах механической обработки резанием инструмент
всегда имеет радиус округления режущей кромки ρ (рисунок 10), величина которого
зависит от свойств инструментального материала и технологии подготовки рабочих
поверхностей. Характер нагружения определяет форму и размер предполагаемого
очага разрушения (заштрихованная область на рисунке 10), т.е. зоны, в которой
действующие напряжения близки к величине временного сопротивления
обрабатываемого материала. Точка B показана
как координата возможного зародыша трещины вязкого разрушения, разделяющей
обрабатываемый материал на стружку и поверхностный слой детали. Обычно она
находится выше теоретической линии среза АА. Величина ∆h материала,
которая поднимается скругленной частью режущей кромки, связана с радиусом
округления ρ соотношением ∆h(0,3…0,5) ρ
Рисунок 10 - Схема формирования поверхностного слоя детали
при резании со скругленной режущей кромкой [2]
При резании полиграфических материалов, в том числе и композиционных,
процессу разделения листов предшествует напряженное состояние зоны резания,
создаваемое внедрившимся в стопу и движущимся (сабельный или другой вид
движения) режущим клином инструмента - ножа с радиусом кривизны вершины R
(рисунок 11).
Рисунок 11 - Схема взаимодействия бумагорезального ножа с обрабатываемым
полиграфическим материалом: Р - усилие резания; R-радиус кривизны вершины
лезвия; β-угол остроты лезвия
Листы материала в начальной стадии процесса резания под действием кромки
лезвия подвергаются деформациям сжатия и растяжения. При достижении контактных
напряжений начинается процесс их разделения. Одновременно наблюдается разрыв
химических связей между волокнами целлюлозы [2].
При этом происходит не только разделение волокон, в которые вдавилось
лезвие ножа, но и разъединение волокон, еще не соприкасавшихся с ножом.
Последнее явление условно можно назвать образованием "опережающей
трещины". При опускании нож скошенной гранью давит на кромку очередного
листа, деформирует его и отодвигает отрезанную часть стопы.
В первом приближении взаимодействие режущей кромки инструмента с
обрабатываемым материалом может быть рассмотрено как контактная задача
вдавливания в упругую полуплоскость наклонного штампа с закругленной кромкой
(рисунок 12) [3].
Рисунок 12 - Схема вдавливания наклонного штампа в упругую полуплоскость.
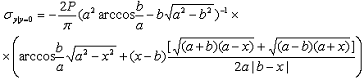
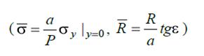
а - размер зоны контакта, ε - угол наклона штампа, R - радиус режущей кромки, b - переход
прямолинейной образующей штампа в криволинейную (округлую); С - точка, где
действуют максимальные контактные напряжения, P - сила вдавливания
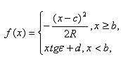
Уравнение контура y = f(x)
штампа в области контакта имеет следующий вид
(1)
где

Нормальные напряжения в области контакта определяются по формуле [4].
(2)
(3)
Вдавливающая сила Р, относящиеся к единице длинны вдоль оси Oz, выражается следующем зависимостью:
(4)
где G - модуль сдвига; а v-коэффициент
Пуассона.
Эпюра напряжений, возникающих на площадке контакта наклонного штампа с
упругой полуплоскостью, показана на рисунке 13. Параметры площадки контакта
приведены в таблице 12. Из рисунка 13 следует, что по мере округления штампа
(увеличения радиуса R) величина напряжения уменьшается и его максимум (точка С)
приближается к центру площадки контакта. При увеличении радиуса, стремящейся к
нулю, напряжения стремятся к бесконечности (пунктир на рисунке 13). Характер изменения
максимальной величины эпюры (точка C, рисунок 13) по мере роста радиуса R
показан на рисунке 14. Соответственно уменьшается и осредненное контактное
напряжение.
Рисунок 13 - Безразмерные эпюры нормальных напряжений в области контакта
Таблица 12 - Параметры площадки контакта наклонного штампа в упругую
плоскость
Данные теоретические положения были проверены экспериментально.
В ходе экспериментов определялся характер изменения с течением времени
уровня акустического сигнала, генерируемого двумя отличающимися
технологическими процессами - процессом резания бумаги (рисунок 15) и процессом
фрезерования (рисунок 16). Резание бумаги проводилось на машине модели БР-82, а
фрезерование осуществлялось на станке модели 6Р13 (n =800 об/мин; D=29,7 мм, v=31 м/мин; S= 5 мм/мин; t = 3 мм).
Рисунок 14- Изменение максимума эпюры напряжений (точка С, рисунок 13) в
зависимости от увеличения радиуса R
Рисунок 15 - Изменение с течением времени уровня акустического сигнала,
генерируемого процессом резания полиграфического материала (полиграфический
материал писчая бумага, инструментальный материал - сталь ХВГ)
Рисунок 16 - Изменение с течением времени уровня акустического сигнала,
генерируемого процессом фрезерования (обрабатываемый материал - сталь 45,
инструментальный материал - сталь Р6М5)
Экспериментальные данные показывают, что по мере износа ножа уровень
акустического сигнала генерируемого процессом резания бумаги, уменьшается, что
подтверждает теоретические положения. Прогнозируемая наработка ножа до
перезаточки в обоих опытах, примерно, одинакова и составляет 42 и 48 суток,
соответственно, что совпадает с фактической.
Экспериментальные данные при фрезеровании показали, что, так же как и с
бумагорезальным ножом, по мере износа фрезы уровень акустического сигнала,
генерируемого в процессе фрезерования, уменьшается. Прогнозы по наработке фрезы
до снятия её на перезаточку в обоих экспериментах совпали с фактической
наработкой фрезы до её перезаточки. При этом в первом опыте степень износа
составляла 0,95, а во втором - 0,29 Аналогичной обработке были подвергнуты
результаты исследования износа токарного резца при чистовом точении стали
12Х18Н10Т на режимах: n = 1000 об/мин, t=0,08 мм, S=0,08 мм/об, приведенные на
рисунке 17. Особенностью этих опытов было то, что длительность точения
измерялась длинной обработанной поверхности в мм.
Рисунок 17 - Изменение уровня акустического сигнала, генерируемого в
процессе точения, в зависимости от длины обработанной поверхности
(инструментальный материал - твердый сплав Т15К6)
Результаты обработки показывают, что к концу эксперимента резец достиг
недопустимого состояния, длина обработанной поверхности до снятия резца на
перезаточку составляла 18- 45 мм, а степень износа при длине обработанной
поверхности 500 мм составляла 4,5.
Приведенные в статье результаты расчетов и экспериментальные данные для
различных инструментов показали, что по мере увеличения их износа уменьшается
величина контактного напряжения, соответственно снижается уровень акустического
сигнала, генерируемого процессом механической обработки различных материалов.
Разработанная на основе этого явления аналитическая зависимость позволяет
прогнозировать момент наработки инструмента до снятия его на перезаточку, а
также оценивать степень его износа.
Экспериментально установлено, что наибольший разброс амплитуд
акустического сигнала соответствует периоду приработки инструмента. Далее
разброс уменьшается, но интенсивность сигналов мало меняется с ростом износа.
Это объясняется тем, что процессы, противоречиво влияющие на изменение
характеристик акустического излучения, на данном этапе компенсируют друг друга.
При критическом износе инструмента интенсивность акустического сигнала и его
дисперсия начинают резко возрастать.
Дальнейшие исследования будут направлены на создание системы
неразрушающего контроля над техническим состоянием режущего инструмента и
прогнозирования наработки его на отказ при использовании на автоматизированных
станочных комплексах механической обработки резанием [5].
2.3 Выбор ножа для
бумагорезальной машины
Российский рынок полиграфической продукции на сегодняшний день
стремительно развивается. Типографии все больше и больше заинтересованы в
выпуске высококачественной продукции, для производства которой необходимо
использовать качественное полиграфическое оборудование, и в частности,
послепечатное оборудование, неотъемлемой частью которого является
бумагорезальный нож.
Довольно стремительно на российском рынке послепечатного оборудования
появляются новые бумагорезальные машины, как известных, так и абсолютно новых
брендов. На сегодняшний день в мире насчитывается более 50 производителей
режущего инструмента. Из них можно выделить одну из старейших и известнейших
компаний - компанию IKS Klingelnberg. На протяжении ста лет компания занимает
лидирующие позиции в производстве ножей для бумагорезальных машин. Практически
каждый производитель бумагорезального оборудования использует ножи IKS Klingelnberg.
На российском рынке ножи IKS Klingelnberg активно представлены уже более
10 лет. С уверенностью можно сказать, что в каждой второй типографии на
бумагорезальной машине установлен нож IKS. Ножи IKS Klingelnberg можно
встретить, как и на одноножевых, так и на трехножевых резальных машинах, а
также на ВШРА.
Ножи для бумагорезальных машин изготавливаются из четырех основных типов
сталей:
Инструментальной стали (Durapid);
хромистой стали (Chromalit - 12% Chrom);
быстрорежущей стали HSS (Duritan - 18%W);
твердого сплава (Incomet Supreme).ножи выполнены из инструментальной
стали (рисунок 18). С помощью современной технологии мягкий материал тела ножа
комбинируется с легированной вставкой.
Термическая обработка в специальных закалочных установках гарантирует получение
хорошей микроструктуры и взвешенное соотношение между твердостью и прочностью.
Это самый простой тип ножа. Такой нож имеет не высокую цену, но и срок
службы данного ножа тоже не велик. Ножи из инструментальной стали просты в
обслуживании и заточке. Они отлично себя зарекомендовали в типографиях с
небольшим объемом работы и в регионах, где имеются проблемы с заточкой ножей.
Рисунок 18 - нож Durapid
Chromalit ножи выполнены из высоколегированной хромистой стали (рисунок
19). Chromalit применяют только для ножей, которые работают в паре (в частности
в ВШРА). За счет вязкости стали, такие ножи могут долго сохранять свои режущие
свойства. В одноножевых и трехножевых резальных машинах такие ножи не
используются. Заточка ножей из хромистой стали имеет свои особенности, и
требует использование хорошего абразивного материала и выбора правильных
режимов.
Рисунок 19 - нож Chromalit
Duritan ножи имеют вставку из быстрорежущей стали (рисунок 20). За счет
более высокого легирования стальной вставки показатели срока службы в три -
пять раз превышают показатели срока службы ножей из инструментальной стали. Это
наиболее распространенные на сегодняшний день ножи. Они устанавливаются на
новые резальные машины Polar, Perfecta, Wohlenberg и др. И, несмотря, на более
высокую цену по сравнению с инструментальной сталью такие ножи не требуют
частой заточки и служат в три раза дольше. Таким образом, duritan ножи
обеспечивают лучшее соотношение цена/качество. Затачивать такие ножи надо
импортным абразивом при правильно выбранном режиме.
Рисунок 20 - нож Duritan
Incomet Supreme ножи имеют вставку из твердого сплава (рисунок 21). Это
современные ножи, имеющие мельчайшую структуру. При правильном обращении и
применении ножи этого класса превосходят по стойкости обычные стальные ножи
почти в 20 раз. Данные ножи обеспечивают идеальный точный рез.
Однако при использовании таких ножей требуется особая осторожность и
аккуратность, так как возможно повреждение лезвия ножа. Новый класс ножей из
стали incomet supreme отличается более высокой износостойкостью и применяется в
типографиях с большим объемом производства и когда требуется обеспечить высокое
качество выполняемых работ.
Заточку таких ножей необходимо производить в специализированных заточных
центрах. Это дорогие ножи, но при правильном их использовании и обслуживании,
они служат гораздо дольше ножей из других типов стали.
Рисунок 21 - нож Incomet Supreme
2.4 Сравненительные показатели стойкости ножей различных классов
Каждый нож обладает определёнными характеристиками: вязкостью,
износостойкостью и способностью к заточке (рисунок 22).
· Вязкость - способность материала сопротивляться воздействию
высокого давления и нагруженности изгибом.
· Износостойкость - способность лезвия, при высоких нагрузках,
оставаться острым.
· Способность к заточке - возможность перетачивать и править
ножи в условиях применения подходящих методов и инструментов.
Рисунок 22 - показателей бумагорезальных ножей
Таким образом, в зависимости от специфики деятельности производства,
интенсивности работ типографии выбирают бумагорезальные ножи той или иной
стали. В независимости от того, ножи из какой стали выберет типография, она
получит качественный производственный инструмент от компании IKS для своей бумагорезальной
машины.
Совершенно естественно, что в процессе работы ножи изнашиваются. Для
данного процесса характерно постепенное уменьшение ширины ножа, происходящее
вследствие истирания его лезвия. Процесс постепенного истирания частиц лезвия,
приводящий к изменению микрогеометрии режущей части ножа, принято называть его
затуплением. Тупой нож не режет, а рвет, выдирает волокна листов бумаги.
Поверхность резания становится неровной, шероховатой, усилие резания
значительно возрастает, увеличивается потребная мощность, машина испытывает
большие перегрузки. Все это приводит к необходимости заточить нож. В
большинстве случаев смена затупившегося ножа обусловлена ухудшением качества и
точности резания, что и является критерием затупления ножей. Учитывая все перечисленные
выше факторы, можно смело утверждать, что профессиональная заточка инструмента
является залогом производства качественной печатной продукции.
Таким образом, правильный выбор ножа, его качественная заточка и
тщательная доводка в сочетании с применением надлежащего марзана и грамотная их
совместная эксплуатация являются серьезной предпосылкой для получения
качественной продукции при использовании резального оборудования.
2.5 Сравнение экономичности ножей для обрезки бумаги
С развитием современных металлообрабатывающих станков предписание
соответствующих инструментов, в общем случае, идет в ногу с этим развитием.
Достаточно указать инструменты из твердых сплавов и керамики для токарной
обработки, сверления и фрезерной обработки. Высокие рабочие скорости станков с
ЧПУ с короткими перемещениями салазок делают высокопроизводительные инструменты
настойчиво логичными и необходимыми. Помимо того, в ходе рационализации и на
фоне экономических проблем в конкурентном соревновании все в большинстве
случаев внимания уделяется теме стоимости инструментов и простоев станков при
смене инструментов [19].
Бумагорезальные машины для четырехсторонней резки (резальные машины) или
трехножевые резальные автоматы (машины для трехсторонней обрезки) являются
станками. Машины ведущих изготовителей в нынешнее время оснащаются устройствами
ЧПУ для обеспечения возможности резки по программе крупноформатных выходных
листов до определенного конечного формата. При этом устройства ЧПУ обеспечивают
достижимость точного и весьма быстрого исполнения цикла машины с большим
количеством производственных операций при минимально возможном отходе материала [12].
Обработчики бумаги, в частности, типографии и переплетно-брошюровочные
предприятия очень часть являются в нынешнее время высокотехнологическими
производственными предприятиями.
После введения в практику твердосплавного ножа для резки бумаги сильно
вырос интерес к экономическому использованию долговечных инструментов в области
обработки бумаги. Прогресс производства твердых сплавов позволяет между тем
выполнять также малые углы фасок, какие до сих пор были возможны только для
ножей из инструментальной стали.[17]
В последние годы посредством улучшения технологии изготовления и
использования инструментов опасность поломки тонкого лезвия гораздо снизился, и
твердосплавный нож занимает свое прочное положение. Несомненно, имеются
исключения, которые здесь и незамедлительно рассматриваться не будут. Условием
применения твердосплавных ножей является существование современных резальных
машин с жестким корпусом, беззазорным перемещением подвижных органов,
соответствующими подкладными планками для резки, взвешенными значениями
давления прижима и т.д. Техническое содержание твердосплавных ножей в свою
очередь требует других условий, а собственно наличия современных заточных
станков с возможностью выбора подходящих режимов подачи и осцилляции
(колебательных движений инструмента), в том числе использования алмазных
абразивных кругов, в определенных обстоятельствах в режиме глубокой заточки [15].
Логика современных машин безоговорочно голосует за использование
высокопроизводительного ножа. Так называемый "нож из шведской стали"
таковым не является. Из-за высокой степени легирования твердость таких ножей
остается ограниченной. Ножи из инструментальной стали являются
"all-round"-ножами (ножами разностороннего назначения) средней
стойкости, продуктивность которых по сравнению с высоколегированными ножами или
твердосплавными ножами по своей природе находится на явно более низком уровне.
Реальностью же является то, что ножи из инструментальной стали
распространены самым широким образом. Для этого имеются важные причины:
. Универсальная применимость при беспроблемном техническом обслуживании
ножей во всех странах при всех условиях (заточка);
. в прошлом стандартная оснастка изготовителей станков, которые также при
использовании в незнакомых условиях должны были обеспечить свободную от рисков
эксплуатацию станков;
. навык пользователей и заточников к испытанному стандартному продукту [13].
2.6 Указания для точильщиков ножей
1. Необходимо чтобы заточной станок обязательно обладал достаточной
жесткостью и массой для гашения неизбежных вибраций. Ни в коем случае не
допускается отжим поперечины для крепления ножа под давлением при заточке и
веса ножа.
Поперечина должна быть абсолютно ровной и находиться в плоскопараллельном
положении относительно плоскости заточки. Добротность колебательной системы
заточного станка легко проверить: -если возникший осадок от заточки после
сжатия интенсивно отжимается (как стальная стружка), станок хороший. Но если он
сохраняет сжатую форму, станок вибрирует или непригоден абразивный материал.
При этом имеется опасность пережога затачиваемой поверхности.
. Подача ножа - или каретки заточной бабки должна быть легкой, без
перекосов и толчков при переключении (постоянная скорость подачи).
. Крупная, отчетливая шкала на поперечине для крепления ножа должна
обеспечивать возможность прямого считывания угла фаски. Ножи должны быть
закреплены посредством приспособления для зажима надежно и параллельно
относительно затачиваемой поверхности. Нож должен закрепляться фаской вверх.
Направление вращения абразивного круга выбирается для стандартных ножей и
ножей из быстрорежущей стали так, чтобы производилось стачивание из ножа. Если
заточка производится против лезвия ножа, имеется опасность образования
зазубрин, которые вызывают выкрашивающиеся абразивных зерен из круга. Такие
тонкие зазубрины замечают только при правке. Для твердосплавных ножей выбирают
направление вращения в противоположном направлении (против лезвия ножа).
При заточке следует обращать особое внимание на обильный подвод
охлаждающей жидкости. Лучше всего обеспечивать подвод жидкости через вал
двигателя или снаружи целенаправленно на зону заточки.
.
Абразивный шпиндель должен иметь регулируемую опору или опору с автоматическим
предохранением от осевого сдвига, так как осевой зазор опасен при использовании
чашечных абразивных кругов или кольцевых абразивных колец.
Чашечные абразивные круги или кольцевые абразивные кольца должны быть
сбалансированы и иметь концентричное вращение. При невыполнении этого условия
возникают боковые биения и сотрясения.
. Всегда должна выполняться подача абразивной головки, а не стола ножа.
Исключением является случай, когда выполняется плоскопараллельное перемещение единственным
элементом. Должна иметься возможность автоматического ограничения подачи и ее
изменения по величине.
. Органы управления должны находиться рядом вместе в пределах удобной
досягаемости для оператора, который со своего рабочего места должен держать под
контролем зону заточки.
. Насос охлаждающей жидкости должен в любое время выдавать сильную
замкнутую струю на зону заточки. Резервуар охлаждающей жидкости должен иметь
достаточную емкость и оснащен фильтрующей установкой для удаления осадка от
заточки, прежде чем жидкость вновь будет подана к рабочей зоне.
Механизм правки должен быть прочно встроен в станок, так как он необходим
для острения абразивных кругов в случае загрязнения и для правки рабочих
поверхностей абразивного круга.
При правильном выборе абразивные круги в процессе заточки должны сами
освобождаться от грязи без необходимости выполнения правки.
. Абразивные круги.
Чрезвычайно богатый выбор абразивных кругов с различными параметрами
зернистости, твердости и связок приводит в замешательство.
Для этого некоторые указания по правильному выбору:
· Зернистость в соответствии с DIN 69100 от 8 до 800, т.е. от
грубой до очень тонкой. Для ножей машин, однако, используются только средние
значения примерно от 36 до 60, при этом круг с зернистостью 60 уже почти
полирует;
· твердость в соответствии с DIN 69100 включает знаки от A до
Z, при этом для ножей для машин рассматриваются только мягкие ступени, а
именно, ступени от H до K;
· структура в соответствии с международным стандартом
обозначается числом. Чем выше число, тем меньше расстояние от зерна к зерну.
Следовательно, маленькие числа не пригодны. Предпочитают "открытую"
структуру, так как она меньше склонна к смазыванию;
· связки в соответствии с DIN 69100 обозначаются сокращениями.
Вот наиболее употребительные:
Керамическая связка - Ke;
Синтетическая смола - Ba;
Резина - Gu;
Магнезит - Mg;
Природная смола - Nh.
Для ножей бумагорезальных машин наиболее подходящей связкой является
синтетическая смола (Ba);
· наиболее часто применяемыми абразивными материалами в
соответствии с DIN 69100 являются:
Стандартный корунд - NK;
Электрокорунд повышенной чистоты - HK;
Электрокорунд высшего качества (белый корунд) - EK;
Карбокорунд темный - SiCg.
Для ножей бумагорезальных машин используется только корунд (NK, HK, EK).
При неправильном выборе абразивных кругов имеется опасность повреждения
ножей. Прочность посадки зерна в связке допускается только в такой степени,
чтобы оно выкрашивалось раньше момента, когда зерно станет совершенно тупым.
Тупые абразивные зерна имеют полирующее действие, при этом выделяется большое
количество тепла. Здесь важным является также расстояние между зернами. Нож
может выдержать интенсивное развитие тепла при локальном нагреве, как это имеет
место при заточке, тем меньше, чем выше он легирован.
Пористость абразивных кругов является решающим для "смазывания"
фактором. Тонкие стальные или еще хуже железные частички забивают поры, если
они слишком малые. В результате, абразивная поверхность становится
"жирной" и гладкой и оказывает затем такое же действие, что и твердая
связка.
. Охлаждающая жидкость. Охлаждение чистой водой не рекомендуется, так как
в этом случае деталь и машина быстрее ржавеют. Главной целью охлаждения
является защита рабочей зоны от чрезмерного нагрева и очистка камня перед
соприкосновением с зоной заточки от мелких частиц грязи. Эта задача выполняется
более эффективно, если в воду добавляется специальная охлаждающая жидкость.
Кроме того, она защищает нож и машину от ржавчины, без необходимости
смазки или заклеивания. Хорошие охлаждающие масла образуют с водой молочную или
прозрачную эмульсию. Они не связывают грязь и не смазывают камень. Охлаждающая
жидкость должна подаваться на камень перед зоной заточки в виде обильной струи.
Капельное охлаждение является неэффективным!
. Чистота. Охлаждение, хороший станок и правильное применение абразивных
кругов не дают пользы, если нож, станок и охлаждающая жидкость не
поддерживаются в чистом состоянии. Если станок и резервуар охлаждающей жидкости
настолько заполнены осадком от заточки, что насос транспортирует к зоне заточки
с охлаждающей жидкостью грязь и мелкие стальные опилки, заточка выполняется не
чисто, и происходит быстрая смазка камня, также и в случае использования
хороших абразивных кругов.
. Внимательность при обслуживании машины, несмотря на хорошее
оборудование, является чрезвычайно необходимой.
Если останов насоса охлаждающей жидкости или затупление абразивного круга
своевременно не замечаются, происходит пережог ножа, и он становится
непригодным. Одинаковая опасность может встретиться при чрезмерном стачивании
ножа, т.е. прекращается подача на глубину и круг часто, без того чтобы
находиться в режиме резания, проводится вдоль затачиваемого материала. Такие
пережженные ножи не всегда распознаются и случается, что становятся
непригодными только после второй или третьей переточки, т.е. ножи
выкрашиваются.
При заточке следует обращать особое внимание на то, чтобы абразивный круг
подводился к ножу осторожно, переключение стола станка производилось вне зоны
заточки, и камень никогда не останавливался на одном месте зоны заточки, чтобы,
следовательно, заточка производилась непрерывно. Переточка ножа может
рассматриваться в качестве законченной, если все сколы устранены, поверхность
заточки имеет равномерный серебряный блеск и на обратной стороне лезвия
наблюдается тонкий узор в виде бородки.
Если затачивают больше, это бесполезно и сокращает срок службы ножа.
Поэтому особенно важным является непрерывный контроль процесса заточки для
исключения появления перечисленных дефектов. Подача абразивного круга на
глубину никогда не должна производиться (для стандартных ножей из быстрорежущей
стали) вне зоны заточки, так как иначе абразивный камень повреждается, и первый
участок зоны заточки становится шероховатым. Для твердосплавных ножей подача
производится, в общем случае, вне зоны заточки.
. Выхаживание означает - движение подачи без подачи на глубину.
Правильное выхаживание дает гладкую поверхность фаски ножа. При большей
поверхности или более твердом абразивном камне - короткое время выхаживания.
Если после завершения этого процесса показываются риски, выхаживание
производилось неправильно или использовался неправильный абразивный камень.
2.7 Рекомендации для выбора правильного
угла резания ножа
Угол резания ножа зависит от свойств разрезаемого материала. В качестве
основного правила можно указать:
мягкий разрезаемый материал - острый угол резания;
твердый разрезаемый материал - тупой угол резания.
Углы заточки ножей, находятся в пределах от 17° до 28°, представлены в
таблице 13.
Таблица 13 - Углы заточки ножей
|
Материал
|
Предфаска
|
Фаска
|
|
Бумага
|
Бумага для художественной
печати
|
24°
|
|
|
Словарная бумага
|
22°
|
22°
|
|
Бюварная (промокательная)
бумага
|
19°
|
|
|
Копировальная бумага
|
19°
|
|
|
Ценные бумаги, денежные
знаки
|
22°
|
|
|
Гуммированная бумага
|
24°
|
22°
|
|
Этикетки
|
24°
|
22°
|
|
Металлизированная бумага
|
24°
|
22°
|
|
NCR-бумага
|
19°
|
|
|
Пергаментная бумага
|
24°
|
22°
|
|
Фотобумага
|
24°
|
|
|
Тонкая бумага (шелковка)
|
19°
|
|
|
Калька
|
24°
|
|
|
Бумага из синтетического
волокна
|
26°
|
|
|
Папка / Картон
|
Картон Bistol
|
23°
|
21°
|
|
Картон для папок
|
22°
|
|
|
Газетно-макулатурный картон
|
22°
|
|
|
Мягкий подкладочный картон
|
22°
|
|
|
Наслойный Картон
|
22°
|
|
|
Твёрдый картон
|
25°
|
|
|
Кожевенный картон
|
22°
|
24°
|
|
Манильский картон
|
24°
|
|
|
Картон для папок
|
22°
|
|
|
Картон для почтовых
открыток
|
22°
|
|
|
Соломенный картон
|
22°
|
|
|
Трёхслойный картон
|
22°
|
24°
|
|
Пластмасса
|
Ацетатная плёнка
|
25°
|
|
|
Астралоновая плёнка
|
24°
|
|
|
Целлофан
|
24°
|
22°
|
|
Полиэтиленовая плёнка
|
25°
|
|
|
Полистирол
|
26-27°
|
24°
|
|
ПВХ (мягкий)
|
22°
|
|
|
ПВХ (твёрдый)
|
24°
|
22°
|
|
Напольные плиты из ПВХ
|
20°
|
22°
|
|
Целлулоидная плёнка
|
22°
|
|
|
Прочее
|
Асбест
|
19°
|
|
|
Уплотнительный материал
|
22°
|
|
|
Плиты Faster
|
24°
|
|
|
Шпон
|
19°
|
|
|
Fils
|
19°
|
22°
|
|
Резина (мягкая)
|
17°
|
|
|
Резина (средней твёрдости)
|
19°
|
|
|
Резина (твёрдая)
|
22°
|
|
|
Ткань кевлар
|
22°
|
24°
|
|
Пробка
|
19°
|
|
|
Кожа
|
23°
|
|
|
Печатные платы
|
24°
|
26°
|
|
Металлическая фольга
|
19°
|
|
|
Наждачное полотно
|
22°
|
|
|
фанерная плита (макс. 3 мм)
|
19°
|
|
|
Текстильная ткань
|
19°
|
|
2.8 Характерные явления при дефектах заточки
1. Если при заточке шум не равномерный и образование искр происходит не с
одинаковой интенсивностью, нож закреплен не параллельно плоскости заточки.
. Если при закреплении в заточном станке замечают, что лезвие ножа
выступает на концах, либо пружинит крепежная поперечина в середине, либо
изношены направляющие каретки.
За счет этого лезвие затачивается с вогнутой формой, в результате,
позднее нож устанавливается в резальной машине не ровно по всей длине
относительной подкладной планки, вследствие чего в середине рез не выполняется.
. Если нож вблизи лезвия имеет коричневый или синий отлив, произошел
перегрев - "пережог" ножа. Причины этого явления:
слишком большая подача на глубину;
слишком большая подача перемещения;
неподходящий абразивный материал, смазанный или тупой абразивный круг;
слишком скудный подвод охлаждающей жидкости.
Для таких ножей начальную зону следует заточить грубым и открытым
абразивным камнем и, в заключение, выполнить чистовую заточку при нормальных
условиях.
. Более опасными, так как это не так легко обнаруживается, являются
пресловутые коричнево-желтые пятна на фаске от заточки. Они также
свидетельствуют о том, что при заточке ножа возникла слишком высокая
температура.
Причинами этого дефекта являются чаще всего:
слишком твердые абразивные круги;
тупые абразивные круги;
смазанные абразивные круги;
загрязненная охлаждающая жидкость, или неправильное
"стачивание" (выхаживание).
Цвет таких пятен указывает на температуру от 200 до 300°C (и выше). При
этом примечательно, что пятна имеют круглую или овальную форму размером меньше
горошин или бобов.
Достаточно одного единственного прохода заточки открытым абразивным
камнем, чтобы этот цвет исчез. Но дефект остается в ноже.
Для исключения сколов лезвия при последующем использовании, нож также
должные быть заточен открытым мягким абразивным камнем, до тех пор, пока не будут
без остатка устранены трещины напряжения.
2.9 Сохранность и уход за ножом
1. Нож должен храниться в специальном ящике или корпусе:
для предотвращения несчастного случая;
для защиты ножа от повреждений лезвия.
. При замене ножа, никогда не разрешается класть его на стол машины без
подкладки, из картона или дерева.
. Следите за тем, чтобы плоскости ножа и ножедержателя не имели
неровностей и были свободны от загрязнений.
. Отверстия с резьбой в ноже и болты для прикрепления ножа следует
держать всегда в хорошем состоянии, так как они гарантируют точное и прочное
положение ножа.
. При установке, болты только слегка вворачиваться, чтобы при последующей
затяжке они не повредились.
. После того как нож прочно привинчен, стол машины свободен от
инструментов, его можно регулировать в машине.
. В нижнем положении нож так выравнивается, чтобы он стоял строго
параллельно столу машины, как раз касался марзана.
Марзан перед этим переворачивают или заменяют.
2.10 Выбор марзана для бумагорезальной
машины
В настоящее время на российском рынке полиграфических материалов
представлено очень много компаний, которые поставляют и продают марзаны для
бумагорезальных машин. Предлагаются марзаны абсолютно разного качества и разной
расцветки. Можно встретить марзаны белого, серого, синего, красного, желтого,
зеленого, черного цвета. Какие марзаны выбрать для оптимального использования
на бумагорезальной машине? На этот вопрос я постараюсь ответить.
Марзаны являются важной составной частью всей системы резки
бумагорезальных машин. В типографиях не всегда удается правильно подобрать
марзан необходимого качества. Однако тщательный выбор марзана может существенно
улучшить производственный процесс, снизить простои машин и продлить срок службы
ножей.
От марзана требуются определенная вязкость и упругость. Ни в коем случае
не допускается, чтобы они были слишком твердыми, так как возможно выкрашивание
чувствительного лезвия ножа. Так же марзаны не должны быть ломкими, так как нож
при первом погружении должен оставить сохраняющуюся канавку. Следующими важными
свойствами являются точность размеров и плоскопараллельность марзана. Точность
размеров обеспечивает безупречный зажим марзана в пазу стола. То есть марзан не
будет двигаться в процессе резки. Для надежной фиксации тонких марзанов толщиной
4 и 4,5 мм их специально изготовляют волнообразной формы. Плоскопараллельность
необходима для точной регулировки ножа по высоте. Если марзан будет иметь по
всей длине разную толщину, последний лист бумаги будет резаться не целиком.
В настоящее время марзаны для бумагорезальных машин могут изготавливать
более чем из 10 различных материалов. Но наибольшее распространение получили
марзаны, выполненные из ПВХ, Полипропилена и Нейлона. Остановимся на каждом
материале подробнее.
Марзаны из ПВХ (Поливинилхлорид). Имеют твердость по Шору 80-82 единицы.
Такие марзаны, как правило, бывают красного цвета и их рекомендуют использовать
в одноножевых и трехножевых резальных машинах только с ножами из
инструментальной стали. Существенным недостатком таких марзанов является их
возможное выкрашивание в процессе резки. Такие марзаны склонны к быстрому
разбиванию и требуют частой замены.
Марзаны из Полипропилена. Имеют твердость по Шору 74-76 единиц. Такие
марзаны наиболее распространенны и пригодны для всех классов ножей. Их
используют и при работе с ножами из инструментальной стали, ножами со вставкой
из быстрорежущей стали (HSS) и ножами со вставкой из твердого сплава (TCT). Эти
марзаны не разбиваются, имеют долгий срок службы и могут быть окрашены в разные
цвета. Часто встречаются марзаны из полипропилена синего, серого, красного и
желтого цвета. Некоторые производители бумагорезальных ножей, продают марзаны,
окрашенные в их корпоративные цвета (синий или желтый). Марзаны из
полипропилена обладают оптимальным соотношение цена/качество.
Марзаны из Нейлона. Имеют твердость по Шору 82-85 единиц. Такие марзаны
отлично зарекомендовали себя в работе с ножами со вставкой из быстрорежущей
стали (HSS) и ножами со вставкой из твердого сплава (TCT). Марзаны из нейлона
обладают самыми лучшими характеристиками. Такие марзаны бывают, как правило,
белого или желтого цвета. Пожалуй, единственным недостатком марзанов из нейлона
является - цена. Она в 1,5-2 раза выше, чем на марзаны из ПВХ и Полипропилена.
Итак, подводя итог можно дать следующие рекомендации для правильного
выбора марзана для бумагорезальной машины:
. покупайте марзаны у проверенных поставщиков и производителей. Вы
будите, уверены, что Ваш марзан будет иметь точные размеры и
плоскопараллельность;
. при выборе марзана ориентируйтесь не на цвет марзана, а на тот
материал, из которого он сделан. Марзаны из разных материалов могут
окрашиваться в одинаковые цвета и могут быть произведены разными заводами;
. для всех типов ножей самым оптимальными являются марзаны из
полипропилена. Соотношение цена/качество таких марзанов лучшее. Для ножей из
инструментальной стали можно так же использовать марзаны из ПВХ ( но возможно
выкрашивание марзана при резке). Для типографий, в которых применяются
одновременно ножи со вставкой HSS и ножи со вставкой из твердого сплава лучшим
решением будут марзаны из нейлона;
. прислушайтесь к мнению оператора резальной машины. Он подскажет, какой
марзан ему больше нравиться.
. Расчет (оценка) экономической эффективности разработки и
внедрения настольного станка для резки, биговки и перфорации листовой продукции
3.1 Технико-экономический анализ и оценка показателей
экономической эффективности проекта
Оценка экономической состоятельности оборудования для
подготовки бумаги к печати основана на расчете критериев эффективности.
Основные критерии эффективности следующие:
· чистый приведённый доход (NPV);
· период окупаемости (PP);
· индекс прибыльности (PI).[22]
Все эти показатели мы будем расчитывать с помощью программы Project Expert (рисунок 23). Дата начала проекта - 01.03.2012.
Продолжительность проекта - 3 года. Основная
валюта - "Рубль" Ставка рефинансирования 8%, значение инфляции 7%.
Рисунок 23 - Программа Project Expert
Для того чтобы показать экономическую эффективность нашего
оборудования с помощью программы Project Expert, составляем календарный план (рисунок 24), и
сравним экономические показатели при работе с устройством и без него.
В календарном плане имеется два этапа: документация и сборка
оборудования. Здесь мы учитываем материальные затраты на каждый этап и
количество затраченного времени. Описывая количество ресурсов, их тип и
стоимость, мы получаем общее количество издержек на каждый этап отдельно
После того как все этапы учтены и скорректированы, направляем
собранное оборудование на производство. В нашем случае мы учитываем 4 типа
производства:
· визитки;
· листовки;
· брошюры;
· конверты.
Рисунок 24 - Календарный план
В производстве, мы вычисляем сумму издержек на производимый
продукт (рисунок 25). Зная список материалов и комплектующих для данного
производства, а также зная расход материала, затрачиваемого на единицу
продукта, получаем суммарные прямые издержки.
Рисунок 25 - Производство
Далее, рассматриваем план сбыта (рисунок 26). Здесь мы
устанавливаем окончательную цену на производимые продукты. И расписываем объём
продаж на 3 года (по месяцам).
Рисунок 26 - План сбыта
В окне "эффективность инвестиций" получаем нужные нам показатели (рисунок 27) [11].
Отображённые цифры показывают нам работу оперативной
полиграфии с внедрением нашего оборудования, учитывая все затраты указанные в
календарном плане.
Дополнительно к этому при внедрении нашего универсального
станка на производства приведет к сокращению парка оборудовании на предприятии,
что способствует к сокращается затраты на персонал и время на его обучение. Так
же универсальный станок очень прост в использовании и позволяет выполнять несколько
операций на одном месте.
Рисунок 27 - Эфективность инвестиций с оборудованием
Теперь корректируем данные по оборудованию в графе
календарный план и по персоналу, получаем показатели работы оперативной
полиграфии без внедрения нашего оборудования (рисунок 28).
Рисунок 28 - эффективность инвестиций без оборудования
Сравним цифры и посчитаем разницу:
где NPV - чистый приведённый доход оборудования;
NPV1 -чистый приведённый доход работы оперативной
полиграфии с внедрением оборудования;
NPV2 - чистый приведённый доход работы оперативной
полиграфии без оборудования [16].
NPV = 522287-453599=68688 руб.
ARR = ARR1 - ARR2
где ARR - средняя норма рентабельности проекта;
ARR = 96,70 - 87,92 = 8,78%
Полученные показатели доказывают нам экономическую
эффективность проекта [14].
4. Охрана труда и техника безопасности при эксплуатации настольного
станка для полистной резки, биговки и перфорации бумаги
Универсальный станок для резки биговки и перфорации идеален для работы с
небольшим количеством материалов и предназначен для финишной обработки
запечатываемых листов. Длина реза позволяет выполнять работу с форматами от А6
до А3, со стапой до 10 листов. Попадание рук в рабочую зону исключено
конструктивно, так как все ножи будут находиться в специальных защитных
картриджах. Станок хорошо подойдет для не больших типографий и офисов.
4.1 Выявление опасных и вредных производственных факторов при работе
на резальном оборудовании
При разработке и эксплотации станка должны соблюдаться комфортных условий
труда. Для конструирования станков используют обычные, конструкционные
материалы, не приносящие вред человеку. Запрещается использовать оборудование
не поназначению.
4.2 Воздействие опасных и вредных факторов на организм человека, и на
окружающую среду
Условия труда - это составляющие внешней среды (факторы среды),
окружающей работника. В общем случае факторы среды образуют три группы:
· физические;
· химические;
· психофизиологические
С позиции безопасности труда различают допустимый уровень этих факторов,
который устанавливается специальными нормами.
Факторы среды оказывают влияние на работоспособность человека и состояние
его здоровья. Целью научной организации труда является снижение степени
опасного влияния условий труда на человеческий организм и создание удобных и
комфортных условий. Решение этих вопросов связано с установлением контроля за
регулировкой условий труда, а также с разработкой и реализацией мер защиты от
неблагоприятного и вредного воздействия внешней среды.
К физическим факторам внешней среды относят:
· микроклимат;
· производственный шум и вибрации;
· освещенность и окраску помещений, средств и предметов труда.
4.2.1 Обеспечение микроклимата на рабочем месте
В помещениях предусматривается система отопления. Она должна обеспечить
достаточное, постоянное и равномерное нагревание воздуха в помещениях в
холодный период года. Система отопления рассчитывается на возмещение потерь
теплоты через конструкции здания, на нагрев проникающего в помещение холодного
воздуха и поступающих материалов и оборудования.
Для обеспечения установленных норм микроклиматических параметров и
чистоты воздуха в цехах и других помещениях применяют вентиляцию. В помещении
необходимо обеспечить приток свежего воздуха количество, которого определяется
технико-экономическим расчетом и выбором схемы системы вентиляции.
4.2.2 Освещение рабочего места
К современному производственному освещению, предъявляются высокие
требования как гигиенического, так и технико-экономического характера.
Правильно спроектированное и выполненное освещение обеспечивает высокий уровень
работоспособности, оказывает положительное психологическое воздействие на
сотрудников, способствует повышению производительности труда.
4.2.3 Шум и защита от него
Станок, в основном, предназначен для работ в офисе. Чаще всего в таких
местах человек чувствует себя комфортно, но есть несколько факторов, которые
смогут помешать нормальной работе. Один из этих фактором это шум. Шум - это
хаотичное смешение звуков, отрицательно действующее на нервную систему. По
временной характеристике он классифицируется как постоянный и непостоянный
(меняющийся больше чем на 5 дБ). По характеру распространения в помещении
различают два вида: воздушный и структурный. В первом случае - это звуки,
передающиеся посредством колебаний воздуха. Например, звук радио, телевизора,
телефонный звонок. Второй вид еще называют ударным. Шум изначально возникает
при механическом воздействии, т.е. непосредственном контакте предметов, и
только потом распространяется по воздуху: печатающая клавиатуры, стук ручки по
столу, удары в стену или вибрация в зданиях, вызванная работой насосов, лифтов,
вентиляторов.
Согласно санитарным нормам СН 2.2.4/2.1.8.562-96, предельно допустимый
уровень звука для человека равен 80 дБ, а комфортный уровень значительно ниже -
45 дБ. Например, шепот - это всего 20 дБ, а разговор - уже 60-70 дБ. Крик или
пение сравнимы с гулом транспорта в час пик - 80-90 дБ, а играющее тихо радио -
40-50 дБ. В небольшом торговом зале шум стоит на уровне 50-60 дБ, в помещении с
непрерывно печатающими клавиатурами - 70-80 дБ. Болевой же предел человеческого
слуха - 120-130 дБ.
Станок также может быть установлен в цехах. Шум в цехах производят все
движущиеся аппараты: сборочные роботы, станки, передвижные лаборатории,
электрокары. Практически каждый прибор оборудован системой охлаждения, которая
тоже создает шум. С физиологической точки зрения шум рассматривают как звук,
мешающий сосредоточиться настройщику или сборщику на выполнении работы и
негативно влияющий на здоровье человека.
Действие шума не ограничивается воздействием только на органы слуха.
Через нервные волокна шум передается в центральную и вегетативную нервные
системы, а через них воздействует на внутренние органы, приводя к значительным
изменениям в функциональном состоянии организма. Все это приводит к
значительному снижению производительности труда, росту количества ошибок в
работе. Воздействие шума на вегетативную нервную систему проявляется даже при
небольших уровнях звука 40-70 дБ, что приводит к нарушению периферического
кровообращения, за счет сужения капилляров кожного покрова и слизистых
оболочек.
4.2.4 Химические факторы
К химические факторам внешней среды относят:
· химические вещества, которые пребывают в разном агрегатном
состоянии (твердом, газообразном, жидком)
· элементы, которые различными путями проникают в организм
человека (через органы дыхания, желудочно-кишечный тракт, через кожные покровы
и слизистые оболочки)
· вредные
вещества (токсичные, наркотические, раздражающие, удушающие, сенсибилизующие,
канцерогенные, мутагенные
<http://ru.wikipedia.org/wiki/%D0%9C%D1%83%D1%82%D0%B0%D0%B3%D0%B5%D0%BD>,
тератогенные и др., влияющие на репродуктивную функцию).
4.2.5 Психофизиологические факторы
Нервно-психические перегрузки (умственные перегрузки, перегрузки
анализаторов, монотонность труда, эмоциональные перегрузки).
.3 Сравнение вредных факторов с допустимыми факторами. Вывод о
необходимости защитных мер
В таблице 14 указаны факторы, влияющие на трудоспособность персонала и на
состояние окружающей среды. Также приведена необходимость защитных мер от этих
факторов, с описанием средств борьбы [10].
Таблица 14 - Факторы, влияющие на трудоспособность персонала
|
Фактор
|
Характеристика фактора
|
Необходимость защитных мер.
Описание средств борьбы с выявленными опасностями
|
|
Кондиционирование воздуха
|
Автоматическое поддержание
заданного микроклимата
|
Периодический контроль за
микроклиматом.
|
|
Вентиляция
|
Местная вентиляция.
|
Установка вентиляторов на
всей рабочей территории.
|
|
Освещение
|
Равномерность
|
Расчет освещения рабочих
мест, эффективное расположение осветительных приборов и рациональное
использование естественного освещения. Освещение должно быть комфортным и
достаточным. Не вызывать утомления.
|
|
Мерцание
|
Мерцание освещения должно
быть не заметным для работников.
|
Снижение пульсации
люминесцентных ламп до допустимых значений <10%.
|
4.4 Описание предлагаемых устройств, методов и средств борьбы с
выявленными вредными и опасными факторами
4.4.1 Требования к системам освещения в помещении
цехов
Требования к системам освещения в помещении цехов:
· соответствие уровня освещенности рабочих мест характеру
выполняемой зрительной работы;
· достаточно равномерное распределение яркости на рабочих
поверхностях и в окружаемом пространстве;
· отсутствие резких теней, прямой и отраженной блескости;
· постоянство освещенности во времени;
· оптимальная направленность излучаемого осветительными
приборами светового потока;
· долговечность, экономичность, электробезопасность и пожаробезопасность,
эстетичность, удобство и простота эксплуатации.
4.4.2 Требования к естественному освещению
В цехах, как правило, применяют одностороннее боковое естественное
освещение. Причем светопроемы с целью уменьшения солнечной инсоляции устраивают
с северной, северо-восточной или северо-западной ориентацией. В тех случаях,
когда естественного освещения недостаточно, устраивают совмещенное освещение.
.4.3 Защита от шума
Наиболее рациональной мерой является уменьшение шума в источнике или же
изменение направленности излучения. Однако это требует конструкторской
переделки шумоизлучающего узла или механизма в целом, что для приборов цеха не
приемлемо.
Шум от источников аэродинамического шума можно уменьшить применением
виброизолирующих прокладок, устанавливаемых между основанием прибора и опорной
поверхностью. В качестве прокладок используют резину, войлок, пробку, различной
конструкции амортизаторы.
Настольные приборы должны быть установлены на мягкие коврики из
синтетических материалов, а под ножки столов, на которых они установлены,
прокладки из мягкой резины, войлока толщиной 6-8 мм. Крепление прокладок
возможно путем приклейки их к опорным частям. Замена прокладок из резины
производится через 4-5 лет, из войлока - 2-2,5 года.
.5 Основные правила пожарной безопасности
Курение допускается только в специально отведённых для этого местах. В
остальных помещениях типографии курить строго запрещано;
Знать местонахождение огнетушителя;
Знать места расположения пожарной сигнализации;
Знать пути эвакуации при пожаре и место сбора на улице;
Не допускать скапливания смазочных веществ, грязи и обрывков бумаги;
Соблюдать правила хранения и работы с бумагой и горючими материалами.
Заключение
В выпускной квалификационной работе стояла задача разработки и расчета
основных узлов универсального станка для резки, биговки и перфорации. Была
проведена работа по выбору и расчету основных деталей и узлов универсального
станка, так же был выбран основной материал и твердость дисковых ножей.
Проведена оценка экономической эффективности данного проекта.
Разработанный станок хорошо подойдет для многих не больших типографий,
где нет возможности держать весь парк оборудования по после печатной обработке.
Станок является универсальным и способным выполнять несколько операций. Станок
прост в обращении и не требует специальных знаний и умений, что является его
основным достоинством.
полиграфия станок послепечатный бумага
Монографическая
литература
. Воронцов
А.Л. Разработка новой теории резания. Введение. / А.Л. Воронцов, Н.М.
Султан-Заде, А.Ю. Албагачиев.: Вестник машиностроения, 2008 - 57-67с.
. Джонсон К.
Механика контактного взаимодействия / К. Джонсон.: Изд-во Мир, 1989 - 510с.
. Острик В.И.
Метод Винера-Хопфа в контактных задачах теории упругости / В.И. Острик, А.Ф.
Улитко.
― Киев: Изд-во
Наука, 2006 - 328с.
4. МГТУ им. Н. Э. Баумана
<http://elibrary.ru/org_items.asp?orgsid=665>. Журнал "Вестник
машиностроения <http://elibrary.ru/contents.asp?issueid=923019>".
Изд-во Научно-техническое издательство "Машиностроение"
<http://elibrary.ru/publisher_titles.asp?publishid=765>,2008 - 66-71с.
. Митрофанов В.П. Печатное
оборудование / Митрофанов В.П., Тюрин А.А., Бирбраер Е.Г., Штоляков В.И.:
Изд-во МГУП, 1999 - 303с.
. Одинокова Е. В.
Проектирование полиграфических машин / Одинокова Е. В., Куликов Г. Б.,
Герценштейн И. Ш.: Изд-во МГУП, 2003 - 208с.
7. Акулич И.
Л. Маркетинг. Учебное пособие. / И. Л. Акулич, В. В. Тарелко - М.: Изд-во
Современная школа, 2007 - 304с.
. Ансофф И.
Стратегический менеджмент. Классическое издание. / И. Ансофф - С-пб.: Изд-во
Питер, 2009 - 344с.
. Березин И.
Маркетинговый анализ. Рынок. Фирма. Товар. Продвижение. / И. Березин - М.:
Изд-во Вершина, 2007 - 480с.
. Вахрушина
М.А. Управленческий анализ. / М. А. Вахрушина - М.: Изд-во Омега -Л, 2008-
400с.
. Гапоненко
А. Л. Стратегическое управление. Учебник. / А. Л. Гапоненко, А. П. Панкрухин -
М.: Изд-во Омега - Л, 2008-464с.
. Грант Р. М.
Современный стратегический анализ. / Р. М. Грант - С-пб.: Изд-во Питер,
2008-560с.
. Долгов А.И.
Стратегический менеджмент. Учебное пособие / А. И. Долгов, Е. А. Прокопенко -
М.: Изд-во Флинта, 2008-280с.
. Дурович А.
П. Маркетинговые исследования. Учебное пособие. / А. П. Дурович - Минск: Изд-во
ТетраСистемс, 2009 - 432с.
. Завьялов П.
С. Маркетинг в схемах, рисунках, таблицах. Учебник. / П. С. Завьялов - М.:
изд-во Инфра-М, 2007- 496с.
. Иванова Е.
И. Оценка конкурентоспособности предприятия. Учебное пособие. / Е. И. Иванова -
Ростов н/Д.:Феникс, 2008- 304с.
. Котлер Ф.
Основы маркетинга: Краткий курс./ Ф. Котлер. - М.: Росинтер, 2008-656с.
. Сухов В.Д.
Основы маркетинга. Практикум./ В. Д. Сухов - М.: Изд-во Академия, 2008-224с.
. Токарев
Б.Е. Маркетинговые исследования: учебник для ВУЗов. / Б. Е. Токарев - М.:
Изд-во Экономист, 2007. - 620 с.
. Уваров В.
В. Стратегический менеджмент из прошлого к будущему. / В. В. Уваров - М.:
Изд-во ДиС, 2008-208с.
Описание
электронных ресурсов
21. <http://www.eqbank.ru>
22. <http://www.printmash.ru>