Разработка проекта очистных работ для лавы

  • Вид работы:
    Курсовая работа (т)
  • Предмет:
    Другое
  • Язык:
    Русский
    ,
    Формат файла:
    MS Word
    192,12 Кб
  • Опубликовано:
    2013-10-14
Вы можете узнать стоимость помощи в написании студенческой работы.
Помощь в написании работы, которую точно примут!

Разработка проекта очистных работ для лавы

Содержание

1. Выбор и обоснование технологической схемы очистных работ

. Выемка полезного ископаемого в лаве

. Транспортирование добытого полезного ископаемого по лаве и перегрузка на транспортную подготовительную выработку

. Крепление призабойного пространства

. Крепление сопряжений

. Проветривание очистного забоя

. Организация работ

. Технико-экономические показатели

Заключение

Список литературы

1. Выбор и обоснование технологической схемы очистных работ


На сегодняшний день в длинных очистных выработках применяются следующие технологические схемы:

-  с комплексной механизацией очистных работ;

-       с механизированной выемкой и индивидуальной стоечной крепью;

-       с буровзрывной выемкой;

-       с выемкой отбойными молотками;

-       с гидравлической выемкой.

Нормативные документы ориентируют на применение технологических схем с комплексной механизацией очистных работ. Поэтому проверим возможность применения механизированного комбайнового комплекса в условиях заданной лавы:

При выборе механизированного комплекса следует учесть, что вынимаемая мощность, в данном случае, будет складываться из мощности угля и мощности ложной кровли:

, где

-мощность пласта угля, м;

-мощность ложной кровли, м.

=1,1 м;

=0,15 м;

1,1+0,15=1,25 м.

В условиях данной лавы возможно применение следующих комбайновых комплексов:

-  1КМ88;

-       2КМ87УМА;

-       1КМ87УМВ;

-       2КМ87УМВ.

Технические характеристики механизированных комплексов, указанных выше, приведены в таблице 1.

Таблица 1

Наименование показателя

Очистной механизированный комплекс


1КМ88

2КМ87УМА

1КМ87УМВ

2КМ87УМВ

Вынимаемая мощность пласта м, минимальная максимальная

1,00 1,30

1,25 1,95

1,05 1,38

1,25 1,95

Угол падения пласта (в град.) при работе по простиранию падению восстанию

15° 10° 10°

20° 10° 10°

20° 10° 10°

20° 10° 10°

Устойчивость непосредственной кровли

средняя

не ниже средней

Обрушаемость основной кровли

кроме труднообрушаемой

Шаг передвижки, м

0,63

Длина в поставке, м

170

Минимальное проходное сечение для воздуха, м2

1,50

1,93

1,51

1,93

Состав комплекса: Очистной комбайн Механизированная крепь Конвейер Маслостанция

1К101У, 2К52МУ, 1ГШ68 1М88 СП87ПМ СНУ9

1ГШ68 2М87УМА СП87ПМ СНУ9

1ГШ68Е, РКУ10 1М87УМВ СП87ПМ СНУ9

1ГШ68Е, РКУ13 2М87УМВ СП87ПМ СНУ9

Число маслостанций

1


Применение следующих очистных комбайнов, входящих в состав комплекса, возможно для условий проектируемой лавы:

-  2К52МУ (1, 2 типоразмеры);

-       1ГШ68 (1, 2 типоразмеры);

-       1ГШ68Е (1, 2 типоразмеры),

-       РКУ10 (1, 2, 3 типоразмер),

-       РКУ13 (1 типоразмеры),

Для окончательного выбора механизированного комплекса необходимо проверить крепь, входящую в состав комплекса, на возможность ее применения в проектируемой лаве.

Рассмотрим крепь 1М88, входящую в комплекс 1КМ88:

Технические характеристики механизированной крепи 1М88:

·  Предназначена для работы в составе комбайнового комплекса: 1КМ88;

·        Конструктивное исполнение: Однотипные секции агрегатированные с конвейером;

·        Характер работы крепи: поддерживающая;

·        Высота крепи:

o Минимальная: 0,71 м;

o   Максимальная: 1,38 м;

·  Шаг передвижки: 0,63 м;

·        Скорость передвижки крепи вдоль забоя лавы: 2,50 м/мин;

·        Количество стоек в секции: 2;

·        Количество рядов стоек: 2;

·        Расстояние от забоя:

o До первого ряда стоек: 2,30 м;

o   До последнего ряда: 3,40 м;

·  Начальный распор стойки: 402 кН;

·        Несущая способность стойки: 780 кН;

·        Давление крепи на почву: 2,90 МПа;

·        Длина по секции по перекрытию: 3,800 м;

·        Ширина секции по перекрытию: 0,920 м;

·        Шаг установки секций: 0,95 м;

·        Коэффициент затяжки кровли: 0,90;

·        Масса на 1 м длины лавы: 2,052 т.

Проверка возможности применения механизированной крепи 1М88 в условиях данной лавы:

Проверка возможности применения конкретного механизированного комплекса в условиях конкретной лавы заключается в проверочных расчетах по высоте механизированной крепи, по силовым нагрузкам на стойки крепи и по вдавливанию элементов крепи в породы кровли и почвы.

Проверка по высоте крепи:

Крепь по высоте удовлетворяет условиям конкретной лавы, если выполняются следующие условия:

³  и £, где

 и  - соответственно максимальная и минимальная высота механизированной крепи по технической характеристике, м. Определяются по [3];

 и  - соответственно максимальная и минимальная высота механизированной крепи, необходимая по условиям конкретной лавы, м.

Необходимая по условиям конкретной лавы максимальная и минимальная высота механизированной крепи определяется выражениями:

 = m - δ ∙ m ∙  и

 = m - δ ∙ m ∙ (+ ) - Θ , где

m - вынимаемая мощность пласта, м;

δ - коэффициент, учитывающий свойства пород основной кровли. Для легкообрушаемой основной кровли δ = 0,04, для кровли средней обрушаемости δ = 0,025, для труднообрушаемой - δ = 0,015;

 и  - соответственно расстояние от забоя до первой и до последней стоек секции механизированной крепи, м. Определяются по [3];

- подвигание забоя лавы между двумя передвижками крепи, м. При комбайновой выемке если передвижка секций производится в каждом цикле , если передвижка секций производится один раз в полтора цикла, , если передвижка секций производится один раз в два цикла, ; подвигание забоя лавы за цикл, м.

Θ - запас высоты на разгрузку секции крепи, необходимый для передвижки секции, м. Его значение принимается в пределах от 0,04 до 0,06 м.

 = 1.38 м;

 = 0.71 м;

m = 1,25 м;

δ = 0,025, т.к. непосредственная кровля средней обрушаемости;

 = 2,30 м;

 = 3,40 м;

0,63 м. Передвижка крепи осуществляется раз в один цикл;

Θ = 0,06 м;

 = m - δ ∙ m ∙  = 1,25 - 0,025∙1,25∙2,30=1,7 - 0,16 = 1,18 м;

 = m - δ ∙ m ∙ ( + ) - Θ = 1,25 - 0,025∙1,25∙(3,4 + 0,63) = 1,06 м;

 = 1,38 ³  = 1,18;

 = 0,71 £  = 1,06.

Крепь 1М88 подходит для использования в условиях данной лавы.

Проверка по силовым нагрузкам:

Проверка по силовым нагрузкам предусматривает:

проверку по нагрузкам на наиболее нагруженную стойку секции крепи;

проверку по нагрузке на стойку при выходе из строя всех остальных стоек секции механизированной крепи.

Проверка по нагрузкам на наиболее нагруженную стойку секции крепи:

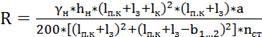
Крепь по нагрузкам от непосредственной кровли на наиболее нагруженную стойку секции удовлетворяет условиям конкретной лавы, если выполняется условие R £ Pс, где:

R - нагрузка от непосредственной кровли на наиболее нагруженную стойку секции механизированной крепи, МН;

Pс - несущая способность стойки крепи, МН. Определяется по [3].

Нагрузка от непосредственной кровли на наиболее нагруженную стойку секции механизированной крепи определяется:

при расположении стоек в секции в два параллельных забою лавы ряда

+, где

 - средний объемный вес пород непосредственной кровли, т/м3;

 - мощность пород непосредственной кровли, м;

 - длина консоли пород непосредственной кровли, зависающей позади секций механизированной крепи, м;

 - шаг установки секций (комплектов) крепи, м. Определяется по [3];

 - расстояние между первым (от забоя лавы) и вторым рядами стоек в секции механизированной крепи, м. Рассчитывается по данным, приведенным в [3];

 - количество стоек в одном ряду секции (комплекта) крепи. Рассчитывается по данным, приведенным в [3];

 - первоначальный распор стойки, МН. Определяется по [3].

Остальные обозначения в этих выражениях приведены выше.

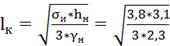
Длина консоли пород непосредственной кровли, зависающей позади секций механизированной крепи, устанавливается обычно исходя из имеющегося на шахте опыта разработки данного пласта. Если таких данных нет, то длина консоли пород непосредственной кровли, зависающей позади секций механизированной крепи, вычисляется по выражению

, где

 - предел сопротивления изгибу пород непосредственной кровли, МПа;

Pс = 0,78 МН;

 = 2,3 т/м3;

 = 3,1 м;

 = 0,63 м;

= 3,40 м;

 = 0,95 м;

 = 1,1 м;

 = 2;

 = 0,402 МН;

 = 3,8 МПа;

=1,31 м.

==0,56 МН.

R = 0,56 £ Pс =0,78 МН.

Крепь 1М88 подходит в условиях данной лавы по нагрузкам на наиболее нагруженную стойку крепи.

Проверка по нагрузке на стойку при выходе из строя всех остальных стоек секции механизированной крепи

Эта проверка выполняется только для механизированных крепей, секции которой имеют более одной стойки. Крепь по нагрузке на стойку секции при выходе из строя всех остальных стоек секции удовлетворяет условиям конкретной лавы, если выполняется условие: Rв £ Pс, где

Rв - нагрузка на стойку секции при выходе из строя всех остальных стоек секции механизированной крепи, МН;

Pс - несущая способность стойки крепи, МН. Определяется по [3].

Нагрузка на стойку секции при выходе из строя всех остальных стоек секции механизированной крепи определяется выражением

+,

где kи - коэффициент, учитывающий конструктивное исполнение механизированной крепи.

Значение коэффициента kи, учитывающего конструктивное исполнение механизированной крепи, принимается равным 1, так как крепь представлена однотипными секциями.

+0,402=0,46 МН.

Rв = 0,46 £ Pс = 0,78

Крепь 1М88 подходит в условиях данной лавы по нагрузке на 1 стойку, при выходе всех остальных стоек крепи.

Проверка по вдавливанию элементов крепи в породы кровли и почвы

Крепь по вдавливанию в породы кровли и почвы удовлетворяет условиям конкретной лавы, если

R ∙ nс / (a ∙ b) £ σк и

R ∙ Dп / Pс £ σп , где

R - нагрузка от непосредственной кровли на наиболее нагруженную стойку крепи, МН.;

nс - количество стоек в секции (комплекте). Определяется по [3];

а - шаг установки секций (комплектов), м. Определяется по [3];

b - длина секции по перекрытию, м. Определяется по [3];

Dп - давление крепи на почву лавы, МПа. Определяется по [3];

Pс - несущая способность стойки механизированной крепи, МН. Определяется по [3];

σк и σп - предел прочности на вдавливание в породы соответственно кровли и почвы, МПа.

nс = 2;

а = 0,95 м;

b = 3,8 м;

Dп = 2,9 МПа;

Pс = 0,78 МН;

σк = 4,2 МПа;

σп = 4,1 МПа;

R=0.56 МН.

,56 ∙ 2 / (0,95 ∙ 2) = 0,31 £ σк = 4,2 МПа;

,56∙ 2,9 / 0,78= 2,08 £ σп = 4,1 МПа.

Крепь 1М88 подходит по техническим характеристикам по всем параметрам для условий данной лавы.

Рассмотрим крепь 2М87УМА, входящую в комплекс 2КМ87УМА:

Технические характеристики механизированной крепи 2М87УМА

·  Предназначена для работы в составе комбайнового комплекса: 2КМ87УМА;

·        Конструктивное исполнение: Однотипные секции агрегатированные с конвейером;

·        Характер работы крепи: Поддерживающая;

·        Высота крепи:

o Минимальная: 1,00 м;

o   Максимальная: 1,95 м;

·  Шаг передвижки: 0,63 м;

·        Скорость передвижки крепи вдоль забоя лавы: 2,75 м/мин;

·        Количество стоек в секции: 2;

·        Количество рядов стоек: 2;

·        Расстояние от забоя:

o До первого ряда стоек: 2,30 м;

o   До второго ряда стоек: 3,40 м;

·  Начальный распор стойки: 402 кН;

·        Несущая способность стойки: 780 кН;

·        Давление крепи на почву: 2,90 МПа;

·        Длина по секции по перекрытию: 3,800 м;

·        Ширина секции по перекрытию: 0,920 м;

·        Шаг установки секций: 0,95 м;

·        Коэффициент затяжки кровли: 0,90;

·        Масса на 1 м длины лавы: 2,248 т.

Проверка возможности применения механизированной крепи 2М87УМА в условиях данной лавы:

Проверка возможности данной механизированной крепи проводилась по выше изложенной методике.

Проверка по высоте крепи:

 = 1,95 м;

 = 1,00 м;

m = 1,25 м;

δ = 0,025;

 = 2,30 м;

 = 3,40 м;

0,63 м. Передвижка крепи осуществляется раз в один цикл;

Θ = 0,06 м;

 = 1,18 м;

 = 1,06 м;

 = 1,95 ³  = 1,18 м;

 = 1,00 £  = 1,06 м;

Крепь 2М87УМА подходит для использования в условиях данной лавы.

Дальнейшая проверка крепи 2М87УМА полностью совпадает с проверкой крепи 1М88 по соответствующим показателям. Следовательно, механизированная крепь 2М87УМА подходит для использования в условиях проектируемой лавы.

Проверка возможности применения в данной лаве механизированных крепей типа 1М87УМВ и 2М87УМВ, входящих в комплексы 1КМ87УМВ и 2КМ87УМВ соответственно, не производилась, по причине отсутствия технических характеристик данных крепей.

Исходя из выше перечисленного, можно сделать вывод, что для работы в данной лаве однозначно подходят комплексы 1КМ88 и 2КМ87УМА. Окончательный выбор остановим на комплексе 2КМ87УМА.

 

2. Выемка полезного ископаемого в лаве


В составе механизированного комплекса будем использовать очистной узкозахватный комбайн 1ГШ68 (1 типоразмер), ниже приведены его технические характеристики:

·  Применяется в составе механизированного комплекса: 1КМ88, 2КМ87УМН, КМ87УМП, 2КМ87УМА, 1КМТ, 1МКМ, МК75, 1ОКП70, 2ОКП70, 1ОКП, 4ОКП70, 2ОКП, 2КМ81МЭ, КМ130;

·        Применение в лаве с со стоечной крепью: применяется;

·        Вынимаемая мощность пласта:

o Минимальная: 1,12 м;

o   Максимальная: 2,12 м;

·  Угол падения пласта при работе по:

o простиранию: до 35;

o   падению или восстанию: до 10;

·  Исполнительный орган: шнек;

·        Количество шнеков: 2;

·        Схема закрепления тяговой цепи при углах падения пласта

o До 20°: обычная;

o   Свыше 20°: полиспастная;

·  Ширина захвата: 0,63; 0,8 м;

·        Число электродвигателей: 2;

·        Мощность одного электродвигателя: 132 кВт;

·        Охлаждение двигателя: водяное;

·        Максимальная сопротивляемость полезного ископаемого резанью:400 кН/м;

·        Удельный расход энергии при сопротивлении угля резанью:

o 50 кН/м - 0,16 кВт.час/т;

o   100 кН/м - 0,21 кВт.час/т;

o   150 кН/м - 0,33 кВт.час/т;

o   200 кН/м - 0,47 кВт.час/т;

o   250 кН/м - 0,68 кВт.час/т;

o   300 кН/м - 0,94 кВт.час/т;

o   400 кН/м - 1,51 кВт.час/т;

·  Конструктивное исполнение: работает с рамы конвейера;

·        Тип конвейера: СП202, СП87ПМ, СУОКП, КИ3М;

·        Схема работы комбайна: любая;

·        Максимальная скорость подачи при закреплении тяговой цепи по:

o Обычной схеме: 3,5 м/мин;

o   Полиспастной схеме: 4,4 м/мин;

·  Маневровая скорость при закреплении тяговой цепи по:

o Обычной схеме: 4,4 м/мин;

o   Полиспастной схеме: 4,0 м/мин;

·  Масса комбайна: 16,2 т;

·        Потребность в нишах: не требуется;

·        Схема самозарубки: косыми заездами;

·        Габариты комбайна:

o Длина: 8267 мм;

o   Ширина корпуса: 1235 мм;

o   Высота от почвы пласта: 900 мм;

Узкозахватные комбайны, предназначенные для отработки пластов пологого и наклонного падения, могут работать по односторонней или челноковой схемам. Сущность односторонней схемы заключается в том, что комбайн отрывает полезное ископаемое от пласта и разрушает его, перемещаясь вдоль забоя лавы от откаточного штрека к вентиляционному штреку. В обратном направлении комбайн перегоняется вхолостую, т.е. не разрушая пласт полезного ископаемого. При челноковой схеме работы комбайн осуществляет выемку, перемещаясь вдоль забоя лавы в обоих направлениях.

При рабочем ходе комбайна не все полезное ископаемое грузится погрузочным органом комбайна на лавный скребковый конвейер, и часть полезного ископаемого остается на почве отрабатываемой полосы в виде просыпи. Кроме того, на почву отрабатываемой полосы могут выпадать куски из забоя лавы. Сказанное требует зачистки почвы отработанной полосы.

При односторонней схеме работы холостой перегон осуществляется с включенными исполнительными органами комбайна, что позволяет зачистить большую часть просыпи. Оставшаяся часть просыпи зачищается вручную. При челноковой же схеме работы комбайна всю просыпь приходится зачищать вручную, что значительно увеличивает объем ручной работы. Безусловно, это является существенным недостатком челноковой схемы.

На практике реально применяются обе схемы работы узкозахватных комбайнов в лаве. Выбор схемы работы комбайна определяется опасностью пласта по внезапным выбросам, конструкцией комбайна, позволяющей работать по той или иной схеме, технико-экономическими показателями очистного забоя, которые обеспечиваются комбайном.

Выбор остановим на односторонней схеме работы комбайна.

И при односторонней, и при челноковой схемах работы комбайна правила безопасности [7] требуют, чтобы при угле наклона лавы более 9° на вентиляционной выработке устанавливалась лебедка, от которой в лаву через блок протягивался канат, закрепляемый на комбайне. Этот канат является страховочным, исключающим произвольное скольжение комбайна по раме скребкового конвейера в случае обрыва механизма подачи комбайна. По мере подвигания лавы лебедка переносится на 30-50 м. Перенос лебедки осуществляется рабочими ремонтной смены, не входящими в состав бригады горнорабочих очистного забоя. В качестве лебедки будем использовать лебедку типа 3ЛП, ее технические характеристики приведены в [3].

Чтобы комбайн смог начать отработку новой полосы, необходимо предварительно исполнительные органы комбайна поместить в новую полосу. Это возможно двумя способами: либо с использованием заранее подготовленных в лаве ниш, либо самозарубкой. Начало отработки новой полосы, в нашем случае, будет осуществляться способом самозарубки косыми заездами, потому что выбранный комбайн 1ГШ68 не имеет потребности в нишах, и столбовая система разработки позволяет использовать способы самозарубки.

Очистной комбайн, имеющий два исполнительных органа, расположенных на противоположных концах корпуса, находится на непередвинуой части лавного конвейера около откаточного штрека. Для самозарубки косыми заездами демонтируются погрузочные щитки комбайна, оба исполнительных органа комбайна поднимаются к кровле пласта и комбайн, с включенными исполнительными органами, начинает движение в сторону откаточного штрека. Когда комбайн выйдет на изогнутую часть лавного скребкового конвейера, его исполнительные органы внедряются в пласт. Движение комбайна в направлении от откаточного штрека прекращается, когда комбайн полностью выйдет на передвинутую часть лавного скребкового конвейера. В результате у кровли пласта будет отработана переменной глубины (от ноля до полной ширины захвата комбайна) щель.

После этого непередвинутая часть лавного скребкового конвейера передвигается к забою лавы и комбайн, с включенными исполнительными органами, начинает движение в сторону штрека. Комбайн останавливается в 30-40 см от штрека, после чего задний (по ходу движения комбайна) исполнительный орган опускается к почве пласта. В результате около кровли пласта будет отработана щель глубиной, равной ширине захвата комбайна.

На этом самозарубка комбайна заканчивается, монтируются погрузочные щитки, и комбайн начинает отработку новой полосы, причем в первое время передний (по ходу движения комбайна) исполнительный орган работает вхолостую, а задний исполнительный орган отрабатывает оставшуюся пачку полезного ископаемого у почвы пласта. Оставшийся целик между штреком и отрабатываемой полосой шириной 30-40 см разрушается вручную.

Во время отработки полосы при подходе к подготовительной выработке окончание полосы осуществляется без использования ниши. При окончании работ в полосе в таком случае комбайн останавливается в 30-40 см от подготовительной выработки. При этом на почве пласта остается неотработанная пачка полезного ископаемого. Для отработки этой пачки передний исполнительный орган комбайна опускается к почве пласта, снимаются погрузочные щитки, и, двигаясь в направлении от подготовительной выработки, комбайн снимает оставшуюся часть пласта на почве. Целик между отработанной полосой и подготовительной выработкой разрушается вручную.

Для расчета времени работы комбайна за цикл нужно рассчитать скорость подачи комбайна.

Расчет скорости подачи и производительности узкозахватного очистного комбайна

Расчет скорости подачи комбайна 1ГШ68

Скорость подачи очистного узкозахватного комбайна (м/мин) рассчитывается по выражению:

, где

 - устойчивая мощность двигателей комбайна, кВт;

 -значение средневзвешенного по мощности объемного веса вынимаемых пород, т/м3;

 - значение средневзвешенных по мощности удельных затрат энергии на разрушение вынимаемых при фактической сопротивляемости резанью, кВт.час/т;

 - вынимаемая мощность пласта, м;

r - ширина захвата комбайна, м. Ширина захвата выпускаемых в настоящее время очистных комбайнов приводится в [3];

Устойчивая мощность электродвигателей комбайнов с водяным охлаждением составляет 0,9 ÷ 1,1 от общей мощности, установленных на комбайне двигателей, а комбайнов с воздушным охлаждением электродвигателей и с пневмодвигателями - 0,7 ÷ 0,9. Установленная мощность двигателей очистных комбайнов приведена в [3].

Значение  определяется по формуле:

, где

 - удельные затраты энергии на разрушение угля при фактической сопротивляемости угля резанью, кВт.час/т;

 - удельные затраты энергии на разрушение ложной кровли при фактической сопротивляемости угля резанью, кВт.час/т;

 - вынимаемая мощность пласта угля, м;

 - вынимаемая мощность ложной кровли, м;

Удельные затраты энергии на разрушение угля при фактической сопротивляемости угля резанью определяются:

, где

- фактическая сопротивляемость угля резанью, КН/м;

 - табличное значение сопротивляемости угля резанью ближайшее меньшее к фактической сопротивляемости резанью [3], КН/м;

 - табличное значение сопротивляемости угля резанью ближайшее большее к фактической сопротивляемости резанью [3], КН/м;

 - удельный расход энергии на разрушение угля при сопротивляемости угля резанью равной  [3], кВт.час/т;

 - удельный расход энергии на разрушение угля при сопротивляемости угля резанью равной  [3], кВт.час/т.

Удельные затраты энергии на разрушение ложной кровли при фактической сопротивляемости угля резанью определяются:

, где

- фактическая сопротивляемость ложной кровли резанью, КН/м;

- табличное значение сопротивляемости ложной кровли резанью ближайшее меньшее к фактической сопротивляемости резанью [3], КН/м;

 - табличное значение сопротивляемости ложной кровли резанью ближайшее большее к фактической сопротивляемости резанью [3], КН/м;

 - удельный расход энергии на разрушение ложной кровли при сопротивляемости угля резанью равной  [3], кВт.час/т;

 - удельный расход энергии на разрушение ложной кровли при сопротивляемости угля резанью равной  [3], кВт.час/т.

Значение  определяется по формуле:

, где

 - плотность (объемный вес) угля в массиве, т/м3;

- плотность (объемный вес) ложной кровли в массиве, т/м3.\

Устойчивая мощность электродвигателей комбайнов с водяным охлаждением составляет 0,9 ÷ 1,1 от общей мощности, установленных на комбайне двигателей, принимаем 1,1.

Pуст = 2 ∙ 1,1 ∙ 132 = 290,4 кВт;

 = 1,1 м;

0,15 м;

 0,63 м;

 = 1,35 т/м3;

2,1 т/м3;

220 кН/м;

 230 кН/м;

200 кН/м;

200 кН/м;

250 кН/м;

250 кН/м;

0,47 кВт.час/т;

0,47 кВт.час/т;

0,68 кВт.час/т;

0,68 кВт.час/т;

=0,554 кВт.час/т;

 кВт.час/т;

=0,559 кВт.час/т;

=1,44 т/м3;

7,63 м/мин.

Рассчитанная скорость подачи очистного комбайна должна быть проверена

по максимально возможной скорости передвижения машиниста комбайна по лаве;

по скорости крепления лавы.

Проверка скорости подачи комбайна по максимально допустимой скорости подачи

Рассчитанная скорость подачи очистного комбайна не может превышать максимально допустимую рабочую скорость комбайна по его технической характеристике, т.е. должно соблюдаться неравенство  £, где:

 - максимально допустимая рабочая скорость подачи комбайна по его технической характеристике [3], м/мин.

Если указанное неравенство не соблюдается, то принимается  =. При этом следует иметь в виду, что очистные узкозахватные комбайны для пологого и наклонного падения имеют плавную регулировку скорости подачи, что позволяет принимать любое значение скорости подачи в пределах допустимой.

 = 7,63 £  = 3,5 м/мин, т.к. неравенство не выполняется, то принимаем скорость подачи  = 3,5 м/мин.

Проверка скорости подачи комбайна по максимально возможной скорости передвижения машиниста

Суть проверки заключается в том, что скорость подачи комбайна не может превышать максимально возможную скорость передвижения машиниста комбайна по лаве (), т.е. должно выполняться неравенство .

Максимально возможная скорость передвижения машиниста комбайна при вынимаемой мощности 1,25 м-4,5 м/мин.

3,5 м/мин ≤=4,5 м/мин. Неравенство выполняется. Скорость подачи комбайна не превышает скорость передвижения машиниста комбайна.

Проверка скорости подачи комбайна по скорости крепления лавы механизированной крепью

Идея проверки состоит в том, что скорость подачи комбайна не должна превышать скорость крепления лавы () механизированной крепью, т.е. должно выполняться неравенство  £ .

Если указанное неравенство не соблюдается, то принимается  = .

Скорость крепления лавы механизированной крепью рассчитывается по выражению:

,где

 - скорость передвижки секций крепи в направлении вдоль забоя по технической характеристике крепи [3], м /мин;

 - коэффициент, учитывающий схему передвижки секций механизированной крепи. При передвижке секций по последовательной схеме, которая возможна при любой устойчивости непосредственной кровли,  = 1, а при передвижке секций через одну (применима только при породах непосредственной кровли не ниже средней устойчивости) = 2;

 - коэффициент, учитывающий угол падения пласта;

 - коэффициент, учитывающий свойства пласта и вмещающих пород.

Коэффициент, учитывающий угол падения пласта определяется:

при перемещении забоя лавы по простиранию при угле падения более 9°

 = 1 - 0,013*(α-9);

α - угол падения пласта, град.

Коэффициент, учитывающий свойства пласта и вмещающих пород определяется выражением:

, где

 - коэффициент, учитывающий недостаточную несущую способность почвы пласта;

 - коэффициент, учитывающий устойчивость пород непосредственной кровли;

 - коэффициент, учитывающий величину отжима угля.

Значения коэффициента, учитывающего устойчивость пород непосредственной кровли, принимаются:

для пород непосредственной кровли средней устойчивости и выше  = 1;

для слабоустойчивых пород непосредственной кровли  = 0,8;

для неустойчивых пород непосредственной кровли  = 0,6.

 = 2,75 м/мин;

 = 2;

 = 1 - 0,013*(α-9)=0,961;

α = 12°;

 = 1;

 = 1;

kот = 0,6;

=0,6;

2,75*0,961*2*0,6=3,17 м/мин.

 = 3,5 £  = 3,17 м/мин,

неравенство не выполняется, поэтому принимаем =3,17 м/мин.

Расчет производительности очистного комбайна

Производительность очистного комбайна (т/мин) по скорости подачи рассчитывается по выражению:

, где

 -значение средневзвешенного по мощности объемного веса вынимаемых пород, т/м3;

 - вынимаемая мощность пласта , м;

r - ширина захвата комбайна [3], м;

 - коэффициент, учитывающий использование ширины захвата. При подвигании лавы по простиранию или падению  = 1;

 - скорость подачи комбайна, м/мин;

1,44 т/м3;

r =0,63 м;

 =1;

 =3,17 м/мин;

1,25 м;

 =3,59 т/мин.

Таким образом, комбайн 1ГШ68 будет иметь скорость подачи 3,17 м/мин и производительность т/мин.

Работу комбайна обслуживают двое рабочих очистного забоя: ГРОЗ 6-го разряда (машинист комбайна 1ГШ68) и ГРОЗ 5-го разряда (помощник машиниста комбайна 1ГШ68). Машинист комбайна передвигается по лаве одновременно с комбайном, он непосредственно управляет работой комбайна. В частности, он контролирует и при необходимости корректирует ширину отрабатываемой полосы, полноту выемки пласта по мощности, не допускает прирезку пород кровли и почвы пласта. Помощник машиниста комбайна контролирует состояние кабеля, питающего комбайн, работу кабелеукладчика, состояние шлангов орошения, прохождение комбайном стыков рештаков конвейера и т.д.

При подходе к вентиляционной выработке выполняются концевые операции. Так как ниша отсутствует, то концевые операции заключаются в демонтаже погрузочного щитка, выполнения описанных выше маневров по доработке полосы, установке погрузочного щитка на комбайн. После окончания концевых операций начинается холостой перегон комбайна в направлении откаточной выработки. Холостой перегон комбайна осуществляется машинистом комбайна и помощником машиниста. Перегон осуществляется с включенными исполнительными органами, что обеспечивает погрузку 60-80% просыпи. Оставшаяся просыпь грузится на конвейер вручную.

При подходе к откаточной выработке выполняются концевые операции. Для односторонней схемы без ниш они заключаются в следующем: демонтаж с комбайна погрузочных щитков, в самозарубке комбайна и монтаже погрузочных щитков на комбайн.

На этом работа комбайна в одном цикле заканчивается. Таким образом, время работы комбайна за цикл при односторонней схеме:

,

где  - время отработки полосы комбайном;

 - время концевых операций около вентиляционной выработки

(определяется по табл. 2.1 [2]);

 - время перегона комбайна;

 - время концевых операций около откаточной выработки

(определяется по табл. 2.1 [2]).

Время отработки полосы комбайном:

.

Время перегона комбайна:

.

В приведенных выше выражениях приняты следующие обозначения:

 - продолжительность смены, мин;

 - длина лавы, м;

 - суммарная длина ниш в лаве, м;

 - вынимаемая мощность пласта , м;

 -значение средневзвешенного по мощности объемного веса вынимаемых пород, т/м3;

r - ширина захвата комбайна (ширина отрабатываемой полосы), м;

с - коэффициент, учитывающий потери отбитого полезного ископаемого, его значение принимается равным 0,97 -0,99;

 - поправочный коэффициент к норме выработки на выемку полезного ископаемого комбайном;

 - норма выработки на выемку полезного ископаемого комбайном, при продолжительности смены , т/смену;

 - коэффициент, учитывающий снижение скорости перегона комбайна по различным причинам, его значение принимается равным 0,6 - 0,8;

 - скорость перегона комбайна, м/мин.

 = 360 мин;

 = 170 м;

 = 0 м;

1,25 м;

1,44 т/м3;

r = 0,63 м;

с = 0,99;

= 0,95 (поправочный коэффициент при угле падения пласта 11°-15°);

 =569 т (при односторонней схеме работы);

 = 0,6;

 = 4,4 м/мин.

 = 127 мин;

 = 64 мин;

 =239 мин.

Трудозатраты на выемку полезного ископаемого комбайном за один цикл при односторонней схеме работы:

, где

 - трудозатраты на отработку полосы комбайном, чел. см;

- трудозатраты на концевые операции около вентиляционной выработки, чел. см; выработка лава очистной забой

- трудозатраты на перегон комбайна, чел. см;

- трудозатраты на концевые операции около откаточной выработки, чел.см.

;

;

;

;

В дополнение к приведенным ранее обозначениям в этих выражениях  и  - количество рабочих (включая машиниста комбайна и его помощника), занятых на концевых операциях соответственно около вентиляционной и откаточной выработок

= 0,7 чел. см.;

 = 0,2 чел.см.;

 = 0,4 чел.см.;

 = 0,2 чел.см.

 = 1,5 чел.см.

Во время холостого перегона комбайна осуществляется зачистка лавы, которая заключается в погрузке на конвейер просыпи полезного ископаемого, разрушенного комбайном, но не погруженного. Кроме того, этот процесс предполагает погрузку кусков полезного ископаемого, выпадающих из забоя лавы, и кусков породы, обрушающихся из кровли лавы. Так как основная часть (60-80%) грузится при холостом перегоне, то время зачистки вручную будет, следующим:

,

где  - коэффициент, учитывающий объем ручной зачистки лавы, его значение находится в пределах 0,2-0,4;

норма выработки на зачистку лавы при продолжительности смены , т/смену;

поправочный коэффициент к норме выработки на зачистку лавы;

количество рабочих очистного забоя, занятых на зачистке лавы.

;

;

.

Поскольку ручная зачистка лавы при односторонней схеме работы комбайна производится вслед за перегоном комбайна, время зачистки не может быть меньше времени перегона комбайна, в то же время, время зачистки не должно значительно превышать время перегона, чтобы не задерживать выполнение в лаве других процессов.

Из условия  можно определить количество горнорабочих очистного забоя, направляемых на зачистку лавы:

;

 = 0,98 ≈ 1 чел.

 мин.

Поскольку время ручной зачистки лавы не может превышать время перегона комбайна, то принимаем 64 мин.

Трудозатраты на зачистку лавы в расчете на один цикл:

;

= 0,2 чел.см.

3. Транспортирование добытого полезного ископаемого по лаве и перегрузка на транспортную подготовительную выработку


На пластах полого и наклонного падения транспортирование отбитого полезного ископаемого по лаве осуществляется скребковыми конвейерами. При выемке узкозахватными комбайнами в лавах используют неразборные передвижные изгибающиеся конвейеры, по раме которых перемещается комбайн вдоль забоя лавы. В условиях данной лавы используется механизированный комплекс, в состав которого входит скребковый конвейер: СП87ПМ. Использовать будем исполнение-33.

Технические характеристики скребкового конвейера СП87ПМ (исполнение-33):

·  Назначение: в составе механизированных комплексов 1КМ88, 2КМ87УМН, 1КМТ, 2КМТ, КМ87УМП, 2КМ87УМА, 1УКП, 1КМ87УМВ, 2КМ87УМВ;

·        Конструктивное назначение: передвижной изгибающийся двухцепной;

·        Угол падения пласта при работе по:

o Простиранию: до 35°;

o   Падению-восстанию: до 10°;

·  Длина в поставке: 170 м;

·        Скорость движения скребковой цепи: 1,12; 1,25; 1,4 м/с;

·        Производительность при скорости движения цепи:

o 1,12 м/с - 480 т/час;

o   1,25 м/с - 536 т/час;

o   1,40м/с - 600 т/час;

·  Количество цепей: 2;

·        Шаг скребков цепи: 1024 мм;

·        Количество электродвигателей: 2;

·        Мощность электродвигателя: 110 кВт;

·        Ширина става: 642 мм;

·        Высота става:

o Со стороны погрузки: 215 мм;

o   С завальной стороны: 215 мм;

·  Длина рештака: 1,9 м;

·        Масса: 49,8 т.

По мере отработки лавы в каждом цикле производится передвижка конвейера к забою. Передвижка конвейера производится гидродомкратами, установленными через 6-8 м в призабойном пространстве лавы. Гидродомкраты одним концом закреплены на ставе конвейера, а другим - упираются в основания секций механизированной крепи.

При односторонней схеме работы узкозахватного комбайна конвейер передвигается вслед за холостым перегоном комбайна и зачисткой лавы вручную.

Время передвижки конвейера за цикл рассчитывается по формуле

 ,

- продолжительность, мин;

 - длина лавы, м;

 - поправочный коэффициент к норме выработки на передвижку конвейера;

 - норма выработки на передвижку конвейера при продолжительности смены , м/смену;

- количество рабочих очистного забоя, занятых на передвижке конвейера.

 = 360 мин;

 = 170 м;

= 1;

 =496 м.

 .

Передвижка конвейера не может опережать зачистку лавы, но существенно отставать от зачистки тоже не должна, так как это будет тормозить выполнение других процессов в лаве. Таким образом, должно выполняться неравенство  = . Используя данное соотношение можно определить количество рабочих очистного забоя, которых надо задействовать на передвижке конвейера:

 чел.

Принимаем количество рабочих, занятых на передвижке 2 человека.

 мин.

Поскольку передвижка конвейера не может опережать зачистку лавы, то принимаем  = 64 мин.

Трудозатраты на передвижку конвейера в расчете на один цикл:

;

= 0,4 чел.см.

При столбовых системах разработки на пологом или наклонном падении пласта, когда откаточная подготовительная выработка (в данном случае конвейерный штрек) непосредственно примыкает к лаве, добытое полезное ископаемое с лавного скребкового конвейера СП87ПМ перегружается прямо на скребковый конвейер 1СР70М в откаточном штреке. По мере подвигания лавы перемещается и погрузочный пункт.

4. Крепление призабойного пространства


Крепление призабойного пространства осуществляется либо механизированной крепью, либо стоечной крепью. Так как уже выбран механизированный комплекс 2КМ87УМА, то используется входящая в него механизированная крепь 2М87УМА. Механизированная крепь гидрофицирована и работает на водно-масляной эмульсии. Питание крепей 2МТ осуществляется от маслостанций СНУ9, устанавливаемых в подготовительных выработках, обслуживающих данную лаву (конвейерный и вентиляционный штреки).

Механизированная крепь состоит из отдельных секций. Каждая секция состоит из основания, которым секция стоит на почве пласта; перекрытия, которое поддерживает кровлю и препятствует попаданию обрушенных пород в призабойное пространство; силовых элементов (стоек), воспринимающих нагрузку от опускающейся кровли. В секции крепи 2М87УМА 2 стойки, которые располагаются в 2 параллельных забою лавы ряда. Кроме перечисленного выше секции имеют элементы управления секцией и гидродомкраты передвижки.

По конструктивному исполнению и характеру работы механизированная крепь 2М87УМА является поддерживающего типа. Т.е. крепь предназначена для поддержания кровли пласта и восприятия нагрузок от опускающейся в призабойном пространстве кровли пласта, поэтому секции крепей этого типа имеют мощные силовые элементы, способные выдержать большие нагрузки. Крепь 2М87УМА проверена для условий данной лавы в пункте 1, и подходит для использования.

При столбовой системе разработки механизированная крепь устанавливается по всей длине призабойного пространства от одной подготовительной выработки, обслуживающей лаву, до другой.

При комбайновой выемке узкозахватными комбайнами как на пологом и наклонном падении, так и на крутонаклонном и крутом, расположение секций механизированной крепи линейное.

По мере подвигания лавы осуществляется передвижка секций механизированной крепи к забою лавы.

Передвижка секции механизированной крепи предполагает выполнение следующих операций:

-  Зачистка почвы пласта там, где будет передвигаться секция;

-       Снятие давления эмульсии в стойках секции (разгрузка секции);

-       Непосредственная передвижка секции;

-       Подача эмульсий в стойки передвинутой секции, в результате чего передвинутая секция распирается между кровлей и почвой пласта.

Правила безопасности запрещают одновременно передвигать две рядом стоящие секции, так как образуется довольно большая площадь обнажения кровли, что может привести к обрушению пород.

При выемке полезного ископаемого в лаве узкозахватными комбайнами на пологом и наклонном падении передвижка секций механизированной крепи, независимо от схем работы комбайна, производится во время работы рабочего хода комбайна с минимально возможным отставанием от комбайна. Шаг передвижки крепи равен подвиганию лавы за цикл, т.е. передвижка крепи производится в каждом цикле.

На пологом и наклонном падении при комбайновой выемке применяются две схемы передвижки: последовательная и через одну. В условиях данной лавы может применяться любая из возможных схем. Выбираем схему с передвижкой секций через одну, т.к. эта схема, при прочих равных условиях, позволяет практически вдвое увеличить скорость крепления призабойного пространства по сравнению с последовательной схемой.

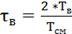
Время крепления призабойного пространства механизированной крепью определятся по формуле:

 ,

где Т - при комбайновой выемке, а также при струговой с линейным расположением секций и без разделения призабойного пространства на участки для крепления - время передвижки механизированной крепи на длине призабойного пространства, закрепленного механизированной крепью;

 - при комбайновой выемке - длина призабойного пространства, закрепленного механизированной крепью;

 - скорость крепления призабойного пространства, расчитанная выше;

 - коэффициент, учитывающий возможные задержки при передвижке крепи. Его значение принимается в пределах от 0,8 до 0,9;

 = 170 м;

 = 3,17 м/мин;

 = 0,8.

 = 67 мин.

Время крепления лавы механизированной крепью 67 мин. Т.к. передвижка секций механизированной крепи производится с минимально возможным отставанием от комбайна, то примем время передвижки секций крепи равным времени рабочего хода комбайна - 127 мин.

Трудозатраты на крепление лавы механизированной крепью:

, где

количество рабочих очистного забоя, занятых на креплении призабойного пространства механизированной крепью;

Передвижку секций осуществляют три горнорабочих очистного забоя.

= 1,1 чел.см.

5. Крепление сопряжений


При столбовых системах разработки сопряжения обязательно крепятся. Крепление сопряжений при столбовой системе осуществляется механизированной или стоечной крепью. В условиях данной лавы возможно применение и механизированной, и стоечной крепи сопряжения, так как для крепления лавы используется механизированная крепь. В механизированный комплекс 2М87УМА крепь сопряжения не входит. В таком случае, допускается использование крепи сопряжения из других комплексов. В условиях проектируемой лавы возможно использование механизированной крепи сопряжений 2КМ81СК.

Технические характеристики механизированной крепи сопряжения 2КМ81СК представлены в [3].

Механизированная крепь сопряжений состоит из двух секций, конструкция которых аналогична конструкции секций крепи призабойного пространства с той лишь разницей, что секции крепи сопряжений имеют более удлиненное перекрытие. Секции крепи сопряжений устанавливаются в подготовительных выработках, верхние перекрытия секций распираются под верхняки крепи подготовительной выработки.

По мере подвигания забоя лавы передвигается и крепь сопряжений. Передвижка крепи сопряжения последовательная. Сначала разгружается одна секция крепи сопряжения и передвигается, отталкиваясь от второй секции. После передвижки первой секции и ее распора на новом месте, разгружается и передвигается вторая секция крепи сопряжения, подтягиваясь к ранее передвинутой.

Передвижка секций механизированной крепи сопряжений осуществляется в каждом цикле, т.е. шаг передвижки крепи сопряжений равен подвиганию забоя лавы за цикл.

Время передвижки механизированной крепи сопряжения (мин) определяется по формуле:

,

где ппродолжительность рабочей смены, мин;

подвигание лавы за цикл, м;

поправочный коэффициент к норме выработки на крепление сопряжения (передвижку секций) механизированной крепью;

норма выработки на крепление сопряжений (передвижку секций) механизированной крепи при продолжительности смены , м;

количество рабочих очистного забоя, занятых на креплении сопряжений (передвижку секций) механизированной крепью.

360 мин;

0,63 м;

1;

 м;

2.

10 мин.

Трудозатраты на крепление сопряжений механизированной крепью (чел.см):

 чел.см.

6. Проветривание очистного забоя


Согласно правилам безопасности проветривание длинных очистных забоев (лав) должно осуществляться только за счет общешахтной депрессии. Свежая струя воздуха поступает в лаву по одной из подготовительных выработок, обслуживающих лаву, движется по призабойному пространству лавы и выходит на вторую подготовительную выработку, обслуживающую лаву, которая является вентиляционной.

На угольных месторождениях при разработке негоризонтальных пластов с перемещением забоя лавы по простиранию струя воздуха движется по восстанию пласта, т.е. снизу вверх по призабойному пространству. Это связано с тем, что метан - основной газ, выделяющийся при отработке угольных пластов, легче воздуха, поэтому движется снизу вверх. Воздушная струя, движущаяся по призабойному пространству также снизу вверх, способствует удалению метана из лавы.

Количество воздуха (м3/мин), необходимое для проветривания лавы, определяется по формуле:

, где

 - количество воздуха, необходимое по газовому фактору, м3/мин;

 - количество воздуха, необходимое по наибольшему числу людей, работающих в призабойном пространстве лавы, м3/мин;

- количество воздуха, необходимое для разбавления газов при взрывных работах в лаве, м3/мин.

Необходимое по газовому фактору количество воздуха для проветривания лавы (м3/мин)


где q - относительная газообильность лавы, м3/т;

 - суточная добыча из лавы, т;

с - предельно допустимое содержание газа в исходящей из лавы струе, %. Согласно правилам безопасности с =1%, если имеется возможность подсвежения исходящей струи на выходе из выемочного поля, и с = 0,75%, если такой возможности нет.

 - предельно допустимое содержание газа в струе воздуха, поступающей в лаву. По правилам безопасности  = 0,5%.

с = 1%;

 = 0,5%;

q = 6,2 м3/т;

, где

длина лавы, м;

суточная скорость подвигания лавы, м/сут;

 - вынимаемая мощность пласта угля, м;

- плотность (объемный вес) угля в массиве, т/м3;

коэффициент, учитывающий потери отбитого полезного ископаемого в лаве. Его значение принимается в пределах 0,97-0,99.

170 м;

2,835 м/сут;

0,99;

1,1 м;

1,35 т/м3;

708 т;

 = 610 м3/мин;

Количество воздуха, необходимое для проветривания лавы по наибольшему количеству людей, работающих в призабойном пространстве лавы:

,

где nл - наибольшее число людей, одновременно находящихся в призабойном пространстве лавы.

nл = 12 чел.;

 = 72 м3/мин;

Так как взрывных работ в лаве нет, то  = 0.

 = 610 м3/мин.

Для проветривания в лаве необходимо для проветривания 610 м3/мин.

Скорость движения воздуха по призабойному пространству лавы, призабойное пространство которой закреплено механизированной крепью:

,

где  =1,93 м2 - проходное для воздуха сечение механизированной крепи призабойного пространство лавы.

 = 5,3 м/с.

Рассчитанная скорость движения воздуха по призабойному пространству должна удовлетворять неравенству:

 ,

где  - минимальная допустимая скорость движения воздуха по призабойному пространству;

 - максимальная допустимая скорость движения воздуха по призабойному пространству.

 = 0,25 м/с - по правилам безопасности для газовых шахт;

 = 6 м/с.


Скорость движения воздуха по призабойному пространству  = 5,3 м/с удовлетворяет правила техники безопасности.

7. Организация работ


В очистных забоях принята циклическая организация работ. Её суть заключается в том, что одноименные процессы, выполняемые в очистном забое при добыче полезного ископаемого (в данном случае это - выемка полезного ископаемого, зачистка лавы, крепление призабойного пространства, передвижка конвейера, крепление сопряжений), периодически повторяются в определенной последовательности через одинаковые промежутки времени.

Расчетная продолжительность очистного цикла:

.

При расчете продолжительности следует учесть, что выемка и крепление лавы механизированной крепью совмещены во времени, крепление сопряжений производится во время концевых операций. Так же во времени совмещены операции: холостой перегон комбайна, ручная зачистка лавы и передвижка лавного скребкового конвейера. С учетом этих замечаний, расчетная продолжительность очистного цикла примет вид:

 ;

 = 239 мин.

Расчетное число циклов, выполняемых в очистном забое за сутки:

 ,

где  - время подготовительно-заключительных операций на смене. Обычно составляет 20-30 мин;

 - количество рабочих смен по добыче полезного ископаемого в очистном забое за сутки.

20 мин;

3.

 = 4,35 цикла.

Принимаем окончательное число циклов в очистном забое за сутки: nц = 4,5.

При принятом числе циклов за сутки в очистном забое время цикла (мин) составит:

 ;

 227 мин.

Организация работ в длинных очистных забоях наглядно представляется планограммой работ. Так как за сутки выполняется 4,5 циклов, то планограмма составляется на 2 суток. В лаве принята организация работ в четыре шестичасовые смены, из которых три смены - добычные и одна смена - ремонтно-подготовительная, в течение нее производится ревизия и ремонт оборудования и доставка необходимых материалов.

Каждая добычная смена начинается с подготовительных операций на смене, в течение которых производится осмотр забоя, контролируется состояние кровли, подготавливается необходимый для работы инструмент, проверяется наличие в достаточных количествах необходимых материалов и т.п. Каждая добычная смена заканчивается заключительными операциями на смене, которые заключаются в подготовке лавы к передаче рабочим следующей смены.

Цикл очистных работ в лаве начинается с выемки полезного ископаемого в лаве комбайном. Вслед за проходом комбайна производится передвижка секций механизированной крепи. После подхода комбайна к вентиляционному штреку выполняются концевые операции у вентиляционного штрека, включающие маневры комбайна по отработке оставшейся у почвы пачки полезного ископаемого и подготовку комбайна к перегону. Во время концевых операций около вентиляционного штрека осуществляется крепление сопряжений (передвижка секций) механизированной крепью. Перегон комбайна осуществляется с включенными исполнительными органами, что обеспечивает механизированную зачистку просыпи. Вслед за перегоном комбайна осуществляется ручная зачистка оставшейся просыпи и передвижка лавного конвейера. Цикл очистных работ в лаве заканчивается концевыми операциями около откаточного штрека, которые предусматривают подготовку комбайна к выемки новой полосы и самозарубку комбайна. А также крепление сопряжений около откаточной выработки.

Трудозатраты в лаве за цикл:

;

τц = 0,7 + 1,1 + 0,2 + 0,4 + 0,2 + 0,4 + 2·0,1+0,2 = 3,4 чел.см.

Трудозатраты в лаве за сутки:

;

 = 15,3 чел.см.

На основании рассчитанных трудозатрат в лаве за сутки принимается суточный численный состав рабочих очистного забоя

(Nгроз). Nгроз = 15 чел.

Неравенство соблюдается:


Таким образом, в смену будет выходить по 5 горнорабочих очистного забоя. Кроме рассмотренных работ, выполняемых в лаве, имеются еще работы, выполняемые рабочими, не входящими в состав бригады горнорабочих очистного забоя. Это такие работы, как: текущий мелкий ремонт оборудования в добычные смены, ревизия и ремонт оборудования в лаве в ремонтно-подготовительную смену (1 человек на 10-15 м, таким образом, на 170 м необходимо 12 человек).

Таблица 1

График выходов

№ п/п

Профессия

Количество выходов



за сутки

в т.ч. по сменам




1

2

3

4

1

ГРОЗ VI разряда

3

1

1

1

-

2

ГРОЗ V разряда

12

4

4

4

-

3

Деж. электрослесарь

3

1

1

1

-

4

Слесарь по ремонту

12

-

-

-

12


Всего

6

6

6

12


Рабочих, не входящих в состав бригады ГРОЗов, выполняющих указанные работы, относят к обслуживающим данную лаву. Таким образом, общее число рабочих, выходящих в лаву за сутки:

;

 = 30 чел.

8. Технико-экономические показатели


Технико-экономические показатели очистных работ в лаве позволяют оценить эффективность принятой в лаве технологической схемы, соответствие используемого оборудования условиям лавы, эффективность использования рабочих в лаве. Основными технико-экономическими показателям очистных работ являются себестоимость добычи полезного ископаемого в очистном забое и производительность труда.

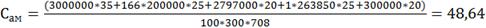
Себестоимость 1 т угля в очистном забое:

, где

 - себестоимость 1 т добытого полезного ископаемого по заработной плате рабочих;

 - себестоимость 1 т добытого полезного ископаемого по затратам на расходуемые в лаве материалы;

 - себестоимость 1 т добытого полезного ископаемого по затратам на электроэнергию, расходуемую в очистном забое;

 - себестоимость 1 т добытого полезного ископаемого по затратам на амортизацию очистного оборудования.

Себестоимость 1 т добытого полезного ископаемого по заработной плате рабочих:

, где

 - суточный фонд заработной платы рабочих в лаве;

 - суточная добыча из очистного забоя.

Суточный фонд заработной платы рабочих:

, где

ТVI - сменная тарифная ставка ГРОЗ VI разряда;

τVI - трудозатраты за сутки ГРОЗ VI разряда;

ТV - сменная тарифная ставка ГРОЗ V разряда;

τV - трудозатраты за сутки ГРОЗ V разряда;

Тдеж.слес. - сменная тарифная ставка дежурного слесаря;

τдеж.слес. - трудозатраты за сутки дежурного слесаря;

Тслес. - сменная тарифная ставка слесаря по ремонту;

τслес. - трудозатраты за сутки слесаря по ремонту;

kд - коэффициент доплат, учитывающий различного вида доплаты, включая районный коэффициент.

ТVI = 387 руб.

τVI = 3 чел.см.

ТV = 336 руб.

τV = 12 чел.см

Тдеж.слес. = 256 руб.

τдеж.слес. = 3 чел.см.

Тслес. = 256 руб.

τслес. = 12 чел.см.

kд =1,57 на подземных работах угольных шахт

Суточный фонд заработной платы рабочих:

 руб.

Суточная добыча очистного забоя:

 ,

где Lл - длина лавы;

- суточная скорость подвигания лавы;

m - вынимаемая мощность пласта;

γ - объемный вес полезного ископаемого в массиве;

со - коэффициент, учитывающий потери отбитого полезного ископаемого в лаве. Значение принимается в пределах 0,97-0,99.

Lл = 110 м;

 = 2,835 м/с;

m = 1,1 м;

γ = 1,35 т/м3;

со = 0,99;

 = 708 т/сут.

Себестоимость по 1 т по заработной плате рабочих:

 руб/т.

Себестоимость по затратам на материалы:

Взрывные работы в лаве не проводятся, поэтому расход ВВ и затраты на ВВ равны 0. Расход лесоматериалов в основных процессах очистных работ равен 0, следовательно и затраты равны 0.

Себестоимость по электроэнергии, расходуемой в очистном забое:

, где

С - стоимость 1кВт*ч электроэнергии;

Nдв i - суммарная мощность двигателя i-го очистного оборудования;

ti - время работы i-го оборудования за сутки;

Асут - суточная добыча из очистного забоя.

В очистном забое при выемке полезного ископаемого применяется следующее электрооборудование:

·  Очистной комбайн 1ГШ68 - 2 электродвигателя мощностью

Nдв1 = 132 кВт каждый;

·  Скребковый конвейер СП87ПМ - 2 электродвигателя мощностью

Nдв2 = 110 кВт каждый;

·  Маслостанция СНУ9 - 2 электродвигателя мощностью Nдв3 = 55 кВт каждый и 1 электродвигатель Nдв4=5,5 кВт;

·        Лебедка 3ЛП- электродвигатель мощностью Nдв5 = 30 кВт.

Время работы электрооборудования за сутки:

·  Очистной комбайн 1ГШ68 - 3 смены по 6 часов: t1 = 18 часов;

·        Скребковый конвейер СП87ПМ аналогично комбайну t2 =18 часов;

·        Маслостанция СНУ9 работает постоянно t3=24 часа.

·        Лебедка 3ЛП - 3 смены по 6 часов: t4 = 18 часов;

С=0,7169 руб/кВт∙ч;

Асут=708 т/сут.

 руб/т.

Себестоимость по амортизации очистного оборудования:

, где

Z i - стоимость единицы i-го оборудования;

Nам i - годовая норма амортизации очистного оборудования;

Nгод - количество рабочих дней в году;

Асут - суточная добыча из очистного забоя.

В очистном забое при выемке полезного ископаемого применяется следующее оборудование:

·  Очистной комбайн 1ГШ68 стоимостью Z1 = 3 млн.руб., годовая норма амортизации Nам1=35%;

·        Механизированная крепь 2М87УМА, каждая секция стоимостью

Z2 = 200000 руб. (166 шт.), годовая норма амортизации Nам2=25%

·  Скребковый конвейер СП87ПМ стоимостью Z3 = 2797000 руб., годовая норма амортизации Nам3=20%;

·        Маслостанция СНУ9 стоимостью Z4 = 263850 руб., годовая норма амортизации Nам4 =25%;

·        Лебедка 3ЛП стоимостью Z5 = 300000 руб., годовая норма амортизации Nам3=20%;

Nгод = 300 дней;

Асут =708 т/сут;

 руб/т

Себестоимость 1 т угля в очистном забое:

руб/т.

Производительность труда рабочих очистного забоя:

, где

Асут = 708 т/сут - суточная добыча из очистного забоя;

NГРОЗ = 15 чел. - суточная численность рабочих очистного забоя.

т/смену.

Производительность труда рабочих, работающих в лаве за сутки:

, где

Nобсл = 15 чел. - суточная численность рабочих, обслуживающих лаву, не входящих в бригаду ГРОЗ.

 т/выход.

Заключение


В соответствие с заданием разработан проект очистных работ для лавы. Для выемки полезного ископаемого используется очистной комбайн 1ГШ68Б, механизированная крепь 2М87УМА, скребковый конвейер СП87ПМ, маслостанция СНУ9. Проветривание лавы осуществляется посредством общешахтной депрессии. При выемке полезного ископаемого в лаве задействована бригада ГРОЗ, состоящая из 3 звеньев по 5 ГРОЗов. За сутки бригада успевает выполнить 4,5 цикла. Суточная добыча угля составляет 708 т. Производительность труда ГРОЗа 47,2 т/смену. Производительность труда рабочего 23,6 т/смену. Себестоимость одной тонны угля составляет 86,34 руб/т

Список литературы


1. Аман И.П. Программа и методические указания по выполнению курсового проекта по процессам очистных работ. - Пермь, 2006.

2.      Аман И.П. Процессы очистных работ: учебное пособие. - Пермь, 2012.

.        Аман И.П. Технические характеристики оборудования для длинных очистных забоев: справочное учебное пособие для выполнения практических работ и курсового проектирования.- Пермь, 1999.

.        Аман И.П. Проверка возможности применения конкретной механизированной крепи в условиях конкретной лавы: методические указания для студентов горных специальностей.- Пермь, 2006.

.        Аман И.П. Расчет скорости подачи и производительности узкозахватного очистного комбайна: методические указания для студентов горных специальностей.- Пермь, 2006.

.        Хорин В.Н. Машины и оборудование для угольных шахт - М.: Недра, 1987.

.        Правила безопасности угольных шахтах - М.: Недра, 2005.

Похожие работы на - Разработка проекта очистных работ для лавы

 

Не нашли материал для своей работы?
Поможем написать уникальную работу
Без плагиата!
Без нейросетей!