Разработка методики расчета неопределенности метода определения воздухопроницаемости льняных тканей
МИНИСТЕРСТВО ОБРАЗОВАНИЯ РЕСПУБЛИКИ
БЕЛАРУСЬ
Учреждение образования «БЕЛОРУССКИЙ
ГОСУДАРСТВЕННЫЙ ТЕХНОЛОГИЧЕСКИЙ УНИВЕРСИТЕТ»
Факультет ТОВ Кафедра ФХМСП
Специальность 1-54 01 03
Специализация 1-54 01 03 01
«Сертификация промышленных товаров»
КУРСОВАЯ РАБОТА
по дисциплине «Организация и
технология испытаний»
тема «Разработка методики расчета
неопределенности метода определения воздухопроницаемости льняных тканей»
Исполнитель: Лукьянчик В.В.
студент 4 курса группы 12
Руководитель: Стасевич О.В.
Минск 2012
Реферат
ИСПЫТАНИЕ, МЕТОДИКА ИЗМЕРЕНИЙ, ВОЗДУХОПРОНИЦАЕМОСТЬ, ЛЬНЯНАЯ ТКАНЬ,
НЕОПРЕДЕЛЕННОСТЬ, БЮДЖЕТ
Целью данной курсовой работы является разработка методики расчёта
неопределённостей измерений и применение её на практике для метода определения
воздухопроницаемости льняных тканей.
В работе описаны методика выполнения измерений, теоретические основы
расчета неопределенности, а также на основании всех этих данных разработана
методика расчета неопределенности метода определения воздухопроницаемости
льняных тканей.
Содержание
неопределенность
измерение ткань
Введение
. Методика выполнения измерений
.1 Сущность метода
.2 Аппаратура
.3 Образцы
.4 Методика испытания
.5 Обработка результатов
. Теоретические основы расчета неопределенности
.1 Понятие и классификация неопределенностей
.2 Оценивание неопределенностей
. Разработка методики расчета неопределенности измерений
. Пример расчета неопределенности
Заключение
Список использованной литературы
ПРИЛОЖЕНИЕ А
ПРИЛОЖЕНИЕ Б
Введение
При
составлении отчета о результате измерения физической величины необходимо дать
какое-либо количественное указание о качестве результата так, чтобы те, кто
используют этот результат, могли бы оценить его надежность. Без такого указания
результаты измерения нельзя сличить как друг с другом, так и со справочными
значениями, данными в специфике или стандарте. Поэтому необходимо наличие
простой в применении, понятной и общепризнанной методики для характеристики
качества результата измерения, то есть для оценки и выражения его
неопределенности.
Понятие
«неопределенности», как определяемого в количественном отношении атрибута,
является относительно новым в истории измерения, хотя термины «погрешность» и
«анализ погрешностей» давно уже используются в практике науки об измерениях или
метрологии. Сейчас общепризнанно, что, когда все известные или предполагаемые
компоненты погрешности оценены и внесены соответствующие поправки, все еще
остается неопределенность относительно истинности указанного результата, то
есть сомнение в том, насколько точно результат измерения представляет значение
измеряемой величины. Идеальный метод для оценки и выражения неопределенности
измерения должен предоставлять возможность указать интервал, в пределах
которого находится большая часть распределения значений, которые обоснованно
могут быть приписаны измеряемой величине, в частности, интервал с вероятностью
охвата или уровнем доверия, который реально соответствует требуемому.
1. Методика
выполнения измерений
.1 Сущность
метода
Сущность метода определения воздухопроницаемости заключается в измерении
объема воздушного потока, проходящего перпендикулярно через заданную площадь
поверхностно-точечной пробы за определенный промежуток времени.
.2 Аппаратура
) Круглый держатель точечной пробы с отверстиями, который позволяет
выполнять испытание на поверхности площадью 5, 20, 50 или 100 см2 с допустимым
отклонением ±0,5 %;
) Зажимное приспособление, которое надежно крепит точечную пробу без ее
повреждения;
) Кольцеобразное защитное приспособление, позволяющее избежать утечки
воздуха и применяемое в качестве дополнительного устройства к зажимному
приспособлению;
) Устройство для создания потока воздуха при постоянной температуре и
влажности, позволяющее регулировать скорость потока воздуха через точечную
пробу;
) Расходомер (счетчик объема) или «измерительное отверстие» для оценки
объема воздушного потока в кубических дециметрах с точностью ±2 %;
) Секундомер электрический с пределом измерений до 10 мин. с погрешностью
измерения ±0,02 с.
1.3 Образцы
Воздухопроницаемость определяют на точечных пробах, отобранных в десяти
разных местах, расположенных по диагонали. Для тканей, контролируемых по
каждому куску, испытания проводят на каждой отобранной точечной пробе в пяти
местах в шахматном порядке (рисунок 1):
Рисунок 1 - Схема продувки образца ткани
.4 Методика
испытания
Точечную пробу закрепляют в круглом держателе, расправляя ее так, чтобы
устранить морщины, если они имеются, не нарушая плоскостность ткани. В
испытываемой области не должно быть кромок ткани, складок или заломов.
Включают вытяжной вентилятор для создания воздушного потока через
испытываемую точечную пробу и постепенно регулируют скорость потока. После
достижения равновесных условий включают секундомер и не ранее чем через одну
минуту записывают значение воздушного потока.
.5 Обработка
результатов
По результатам измерений рассчитывают значение воздухопроницаемости R,
дм3/(см2∙с), по [1] с. 3:
где q - среднее арифметическое значение
воздушного потока, дм3;
А - испытываемая площадь точечной пробы, м2;
t -
среднее арифметическое значение времени проведения испытания, с.
Результат подсчитывают с погрешностью до 0,1 дм3/(см2∙с) и
округляют до 1,0 дм3/(см2∙с).
2.
Теоретические основы расчета неопределенности
.1 Понятие и
классификация неопределенностей
Неопределенность
(измерения) - это параметр, связанный с результатом измерения и характеризующий
разброс значений, которые с достаточным основанием могут быть приписаны измеряемой
величине.
На практике существует много возможных источников неопределенности при
измерении, включая:
неполное определение измеряемой величины;
несовершенную реализацию определения измеряемой величины;
нерепрезентативную выборку - измеренный образец может не представлять
определяемую измеряемую величину;
субъективная систематическая погрешность оператора при снятии показаний
аналоговых приборов;
конечная разрешающая способность прибора или порог чувствительности;
неточные значения констант и других параметров, полученных из внешних
источников и используемых в алгоритме обработки данных;
изменения в повторных наблюдениях измеряемой величины при явно одинаковых
условиях и др.
Составляющие неопределенностей группируются в две группы:
) тип А - оценки неопределенностей получают на основе ряда
экспериментальных данных;
) тип В - оценки неопределенностей получают на основе любой другой
нестатистической информации.
К описанию неопределенностей применяется статистический подход независимо
от способа их оценивания (при этом считается, что все поправки на
систематические погрешности (эффекты) уже введены). В качестве неопределенности
измерения обычно оценивают расширенную неопределенность, а для промежуточных
величин, на основе которых получают результат измерения, вычисляют стандартные
неопределенности.
Стандартная неопределенность - неопределенность результата измерений,
выраженная как стандартное отклонение.
Расширенная неопределенность - величина, определяющая интервал вокруг
результата измерений, в пределах которого, можно ожидать, находится большая
часть распределения значений, которые с достаточным основанием могли бы быть
приписаны измеряемой величине.
Суммарная стандартная неопределенность - стандартная неопределенность
результата измерений, когда результат получают из значений ряда других величин,
равная положительному квадратному корню суммы членов, причем члены являются
дисперсиями или ковариациями этих других величин, взвешенными в соответствии с
тем, как результат измерений изменяется в зависимости от изменения этих
величин.
2.2
Оценивание неопределенностей
Неопределённость должна оцениваться во всех случаях, за исключением
качественного анализа. В то же время стандарты указывают, что в некоторых
случаях представление в протоколах испытаний сведений об оцененной
неопределённости не является обязательным для лаборатории.
Для оценки неопределённости необходимо использовать «Руководство по
выражению неопределённости в измерениях». Согласно ему неопределённость
рассчитывается как сумма неопределённостей всех этапов выполнения измерения.
Другими словами, необходимо теоретически или экспериментально оценить все
составляющие неопределённости и просуммировать их по определенным правилам.
Такой подход, будучи едва ли не единственно возможным при оценке неопределённости
эталонов высших разрядов, малопригоден для рутинных измерений, для которых
обычно метрологические характеристики оцениваются в ходе аттестации методики.
Выделяют 4 основных этапа оценки неопределённостей:
Этап 1. Описание измеряемой величины. Точно сформулировать то, что именно
измеряется, включая соотношение между измеряемой величиной и параметрами
(например, измеряемыми величинами, константами, значениями эталонов для
градуировки и т.д.), от которых она зависит. Там, где это возможно, вводятся
поправки на известные систематические эффекты. Такая описательная информация
обычно приводится в соответствующем документе на методику или ином документе.
Этап 3. Количественное описание составляющих неопределённости. Определить
или оценить значение неопределённости, присущей каждому выявленному
потенциальному источнику. Зачастую можно оценить или определить единый вклад в
неопределённость, связанный с несколькими источниками. Также важно рассмотреть,
в достаточной ли мере имеющиеся данные учитывают все источники
неопределённости, и тщательно спланировать дополнительные эксперименты, и
исследования, необходимые для обеспечения адекватного учёта всех источников
неопределённости.
Этап 4. Вычисление суммарной неопределённости. Информация, полученная на
этапе 3, состоит из ряда количественно описанных вкладов в общую
неопределённость, связанных либо с отдельными источниками, либо с суммарными
эффектами нескольких источников. Эти вклады следует выразить в виде стандартных
отклонений и просуммировать для получения суммарной стандартной
неопределённости в соответствии с имеющимися правилами. Для получения
расширенной неопределённости следует использовать соответствующий коэффициент
охвата.
В общем случае общий порядок оценивания неопределённостей можно
представить в виде последовательностей:
1) Составление модели неопределённости (математическое моделирование
процесса измерения);
) Определение оценок x1, x2, … xm-1, xm входных величин X1, X2, … Xm-1,
Xm, внесение поправок на известные систематические эффекты, возникающие в
процессе измерения;
) Определение оценки y результата расчета измерения выходной величины Y.
) Определение стандартных неопределённостей u(xj) входных величин X1,
X2, … Xm-1, Xm;
) Определение коэффициентов чувствительности cj;
) Вычисление вклада стандартной неопределённости uj(y) каждой входной
величины Xj в суммарную стандартную неопределенность u(y) выходной величины Y;
) Вычисление попарной корреляции оценок xj и xk входных величин Xj и Xk;
) Вычисление суммарной стандартной неопределённости u(y) выходной
величины Y;
) Вычисление коэффициента охвата k;
10) Вычисление расширенной неопределённости U;
11) Запись полного результата измерения выходной величины Y;
Рассмотрим данные этапы более подробно:
1) Модель выражает зависимость между входными величинами и выходной:
Y = f (X1, Х2, … Хm-1, Хm),
где Y - выходная величина, X1, X2, … Xm-1, Xm - входные величины: 1-я,
2-я, … (m-1)-я и m-я соответственно;
f - некая функциональная зависимость, между выходной величиной Y и
входными величинами X1, X2, … Xm-1, Xm.
В качестве входных величин в модель, кроме измеряемых величин, входят
переменные, численные значения и неопределённости которых известны из внешних
источников, а также поправки к результату измерений на известные
систематические эффекты, основные и дополнительные погрешности примененных СИТ
и т.д.. Модель не применяется в случае прямых измерений. Иными словами, это
есть не что иное, как новая интерпретация старого доброго уравнения косвенных
измерений. (Прямые измерения - это измерения, при которых искомое значение
физической величины получают непосредственно из опыта. Косвенные измерения -
это измерения, при которых искомую величину определяют на основании известной
зависимости между этой величиной и величинами, подвергаемыми прямым измерениям,
т.е. измеряют не собственно определяемую величину, а другие, функционально с
ней связанные).
2) Определение оценок x1, x2, … xm-1, xm входных величин X1, X2, … Xm-1,
Xm представляет собой нахождение их численных значений либо путем однократных
(многократных) измерений, либо с использованием иных источников.
При многократных измерениях под численным значением j-й входной величины
Xj понимают среднее арифметическое значение:

, (2)
где
nj- количество единичных наблюдений j-й входной величины Xj;- порядковый номер
единичного наблюдения j-й входной величины Xj; xji - численное значение
(результат) i-го единичного наблюдения j-й входной величины Xj.
В
полученные значения вносятся поправки на известные систематические эффекты. Эти
же поправки вносятся и в модель в качестве входных величин, поэтому они сами по
себе являются источниками неопределённости.
3) Оценку результата измерения получаем подстановкой в модель
соответствующих оценок входных величин, но только после внесения поправок на
все известные источники неопределённости, имеющие систематические характер:
y = f (x1, х2, … хm-1, хm),
где y - оценка результата измерения, x1, x2, … xm-1;
xm - оценки входных величин X1, X2, … Xm-1, Xm соответственно.
4) Стандартные неопределённости u(xj) входных величин X1, X2, … Xm-1, Xm
определяют, как уже говорилось выше, либо с помощью статистических методов
(стандартная неопределённость типа А), либо иными методами (стандартная
неопределённость типа В).
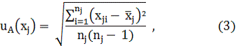
Стандартная
неопределённость типа А uА(xj) j-й входной величины Xj выражается в виде СКО от
среднеарифметического значения 
j-й
входной величины Xj, вычисленной по [4] с. 21:
где
nj - количество единичных наблюдений j-й входной величины Xj;
i
- порядковый номер единичного наблюдения j-й входной величины; Xj, xji -
численное значение (результат) i-го единичного наблюдения j-й входной величины
Xj.
Стандартная
неопределённость типа В uВ(xj) j-й входной величины Xj, в случае, когда она
является неисключенной систематической погрешностью, вычисляется по [4] с. 26:
где
θj - границы неисключенной систематической погрешности
j-й входной величины Xj;
αj - коэффициент, соответствующий принятому для данной j-й входной
величины Xj закону распределения (нормального, равномерного, треугольного) внутри
границ ±θj.
Для
равномерного распределения αj = 
, а для
нормального αj = 2 (при вероятности 0,95).
Стандартная
неопределённость типа В, как уже говорилось, зависит от закона распределения.
При условии неполноты сведений о возможных значениях j-й входной величины Xj,
чаще всего допускают, что они распределяются по равномерному (прямоугольному)
закону в заданных границах относительно оценки xj этой самой величины Xj. При
этом стандартная неопределённость типа В представляет собой оценку СКО.
5) Коэффициент чувствительности cj показывает, насколько оценка y
выходной величины Y изменяется при изменении оценки xj j-й входной величины Xj.
При прямых измерениях все коэффициенты чувствительности равны 1.
6) Вклад стандартной неопределённости uj(y) j-й входной величины Xj в
суммарную стандартную неопределённость u(y) измеряемой величины Y определяют по
[4] с. 36:

, (5)
где
cj - коэффициент чувствительности j-й входной величины Xj, u(xj) - стандартная
неопределённость j-й входной величины Xj.
7) Попарная корреляция (или статистическая зависимость) оценок x1, x2, …
xm-1, xm соответствующих входных величин X1, X2, … Xm-1, Xm выражается с
помощью коэффициентов корреляции.
Коэффициент корреляции rjk оценок xj и xk j-й и k-й входных величин Xj и
Xk соответственно выражает их статистическую зависимость, является безразмерной
величиной и находится в пределах от -1 до 1 включительно. При rjk = 0
корреляция отсутствует. При зависимости обеих оценок xj и xk входных величин Xj
и Xk только от одной переменной коэффициент корреляции rjk =1 или rjk = -1.
Корреляция присутствует либо при одновременном наблюдении j-й и k-й
входных величин Xj и Xk в одном и том же процессе измерения, либо при
зависимости обеих входных величин Xj и Xk от одних и тех же независимых между
собой переменных.
8) Суммарная стандартная неопределённость u(y) (неопределённость
измерений) измеряемой величины Y, в случае отсутствия корреляции между оценками
x1, x2, … xm-1, xm входных величин X1, X2, … Xm-1, Xm, определяется по [4] с.
39:

(6)
где
uj(y) - вклад стандартной неопределённости j-й входной величины Xj в суммарную
стандартную неопределённость u(y) выходной величины Y;(xj) - стандартная
неопределённость j-й входной величины Xj;- количество оценок x1, x2, … xm-1, xm
входных величин X1, X2, … Xm-1, Xm;- коэффициент чувствительности j-й входной величины
Xj;- порядковый номер вклада стандартной неопределённости j-й входной величины
Xj.
При наличии корреляции между оценками xj и xk соответствующих входных
величинам Xj и Xk суммарная стандартная неопределенность u(y) выходной величины
Y определяется по [4] с. 40:
где uj(y) - вклад стандартной неопределённости j-й входной величины Xj в
суммарную стандартную неопределённость u(y) выходной величины Y;(xj) -
стандартная неопределённость j-й входной величины Xj;(xk) - стандартная
неопределённость k-й входной величины Xk;-количество оценок x1, x2, … xm-1, xm
входных величин X1, X2, … Xm-1, Xm;- коэффициент корреляции оценок xj и xk j-й
и k-й входных величин Xj и Xk;- коэффициент чувствительности j-й входной
величины Xj;- коэффициент чувствительности k-й входной величины Xk, j -
порядковый номер расчетных характеристик j-й входной величины Xj;- порядковый
номер расчетных характеристик k-й входной величины Xk.
9) Коэффициент охвата k - представляет собой множитель, на который
умножают стандартную суммарную неопределённость u(y) измеряемой величины Y с
целью получения расширенной неопределённости измерения U.
Часто на практике для упрощения вычисления неопределённости результатов
измерений делают предположение о нормальности закона распределения возможных
значений измеряемой величины Y и полагают, что k=2 при p=0,95 или k=3 при
p=0,99. Если же предполагают равномерность закона распределения, то k=1,65 при
p=0,95 или k=1,71 при p=0,99.
В общем виде коэффициент охвата k вычисляется исходя из законов
распределения входных величин X1, X2, … Xm-1, Xm и с учетом чисел степеней
свободы vj для каждой j-й входной величины Xj.
При проведении многократных измерений и оценке стандартной
неопределённости типа А число степеней свободы вычисляется по формуле:

(8)
где
nj - количество единичных наблюдений j-й входной величины Xj.
При
оценке стандартной неопределённости типа В число степеней свободы равно
бесконечности.
10) Расширенную неопределённость измерения Up получают путём умножения
суммарной стандартной неопределённости u(y) измеряемой величины Y на
коэффициент охвата k по [4] с. 42:

, (9)
) Полный результат измерения должен содержать в себе оценку значения y
выходной величины Y и значение расширенной неопределённости измерения U с
указанием доли p ожидаемых значений, которые могли бы быть обосновано ей
(выходной величине) приписаны:

(10)
Данная
запись буквально означает следующее: большая доля (95%) ожидаемых значений,
которые могли бы быть обосновано приписаны к измеренной нами величине Y,
находятся в интервале от (y - U) до (y + U).
При
этом надо иметь в виду, что нахождение измеренной величины Y внутри интервала
имеет некую вероятность, меньшую единицы, и, следовательно, попадание Y вне
заданного интервала не исключено, хотя и маловероятно.
3. Разработка
методики расчета неопределенности измерений
Методика расчета неопределенности включает в себя следующие разделы:
) Назначение методики - указывается ТНПА на метод испытаний, также
раскрывается суть метода;
) Постановка измерительной задачи - приводится перечень используемого
оборудования, материалов и реактивов, необходимых для анализа;
) Результаты измерений - приводится форма представления результатов
анализа;
) Анализ входных величин - выполняется анализ входных величин согласно
модели измерения. Вычисляются стандартные неопределенности каждой входной
величины, которые зависят от интервала, в котором находится значения входной
величины, типа неопределенности и вида распределения;
) Анализ корреляций - анализ корреляции входных величин;
) Коэффициенты чувствительности - производится вычисление коэффициентов
чувствительности, если это необходимо;
) Расчет суммарной неопределенности - приводится формула для расчета
суммарной неопределенности;
) Расчет расширенной неопределенности - рассчитывается расширенная
неопределенность как произведение стандартной неопределенности и коэффициента
охвата, значение которого зависит от вида распределения
) Полный результат измерения - представляется полный результат измерений
с учетом стандартной неопределенности.
Пример методики расчёта неопределённостей измерений приведен в приложении
А.
4. Пример расчета неопределенности
Результаты испытаний представлены в таблице 4.1
Таблица 4.1
|
№ измерения
|
qi, дм3
|
ti, с
|
|
1
|
158,08
|
66,93
|
|
2
|
159,21
|
68,18
|
|
3
|
157,85
|
67,14
|
|
4
|
158,17
|
67,82
|
|
5
|
157,34
|
66,81
|
|
Среднее
|
158,13
|
67,38
|
Площадь точечной пробы: А=0,005 м2.
Рассчитаем воздухопроницаемость R, дм3/(см2∙с), по формуле (1):
Рассчитаем стандартные неопределенности входных величин:
Среднее значение воздушного потока, q:
u1(q) =
=1,83 дм3
- Среднее значение времени проведения испытания, t:
u1(t) =
=0,012 с
Площадь
точечной пробы, А:
u(А) =
= 1,44∙10-5 м2
Коэффициенты
чувствительности:
Суммарная неопределенность:
Расширенная неопределенность:
U = k · Uc(R) =
2∙5,96 = 11,93 ≈ 12 
(при P=0,95
k=2)
Результат
измерения:
(469±12)
при P=0,95
Бюджет
неопределённости приведен в Приложении Б.
Заключение
Для
того, чтобы разработать методику расчета неопределенности измерений были
описаны методика выполнения измерений, теоретические основы расчета
неопределенности; была составлена модель измерения, сделан подробный анализ
входных величин, определены все источники неопределённостей и их вклад в общий
результат, а затем на основании всех этих данных разработана методика расчета
неопределенности метода определения воздухопроницаемости льняных тканей.
Таким
образом, расширенная неопределённость при доверительной вероятности Р=0,95
составила 12 
(2,56 %)
,исходя из чего можно сделать вывод, что данный метод позволяет достаточно точно
определить воздухопроницаемость льняных тканей.
Список
использованной литературы
1. ГОСТ ИСО 9237-2002 Материалы текстильные. Метод
определения воздухопроницаемости.
. Количественное описание неопределённости в
аналитических измерениях. Руководство ЕВРАХИМ/СИТАК. Второе издание.
Санкт-Петербург, 2002.
. Ламоткин С.А., Егорова З.Е., Заяц Н.И. Основы
стандартизации, сертификации, метрологии. - Мн.: БГТУ, 2005.
. Походун А.И. Экспериментальные методы исследований.
Погрешности и неопределенности измерений. Учебное пособие. Санкт-Петербург,
2006.
. Руководство по выражению неопределенности измерения.
Санкт-Петербург, 2002.
ПРИЛОЖЕНИЕ А
Методика расчёта неопределённости измерения метода определения
воздухопроницаемости льняных тканей по ГОСТ ИСО 9237-2002
Назначение методики
Настоящий документ устанавливает методику расчёта неопределённости метода
определения воздухопроницаемости льняных тканей по ГОСТ ИСО 9237-2002.
Сущность метода определения воздухопроницаемости заключается в измерении
объема воздушного потока, проходящего перпендикулярно через заданную площадь
поверхно-точечной пробы за определенный промежуток времени.
Используемое оборудование:
) Круглый держатель точечной пробы с отверстиями, который позволяет
выполнять испытание на поверхности площадью 5, 20, 50 или 100 см2 с допустимым
отклонением ±0,5 %;
) Зажимное приспособление, которое надежно крепит точечную пробу без ее
повреждения;
) Кольцеобразное защитное приспособление, позволяющее избежать утечки
воздуха и применяемое в качестве дополнительного устройства к зажимному
приспособлению;
) Устройство для создания потока воздуха при постоянной температуре и
влажности, позволяющее регулировать скорость потока воздуха через точечную
пробу;
) Расходомер (счетчик объема) или «измерительное отверстие» для оценки
объема воздушного потока в кубических дециметрах с точностью ±2 %;
) Секундомер электрический с пределом измерений до 10 мин. с погрешностью
измерения ±0,02 с.
Модель измерения
Модель измерения описывается формулой:
где q - среднее арифметическое значение
воздушного потока, дм3;
А - испытываемая площадь точечной пробы, м2;
t -
среднее арифметическое значение времени проведения испытания, с.
Величины, которые необходимо проанализировать представлены в таблице А1.
Таблица А1
|
Влияющие величины
|
Обозначение
|
Единицы измерения
|
|
среднее значение воздушного
потока
|
q
|
дм3
|
|
площадь точечной пробы
|
A
|
м2
|
|
среднее значение времени
проведения испытания
|
t
|
с
|
Зависимость измеряемой величины от источников неопределённости в виде
диаграммы «причина-следствие» представлена на рисунке А1:
Рисунок А1 - Диаграмма «причина - следствие»
Результаты измерений
Результатом измерения является значение, рассчитанное по формуле (1).
Результат подсчитывают с погрешностью до 0,1 дм3/(см2∙с) и
округляют до 1,0 дм3/(см2∙с).
5 Анализ входных величин
Анализ входных величин представлен в таблице А2.
Таблица А2
Входная величина: q 1)
Погрешность устройства подачи воздуха: Тип неопределенности: В; Вид
распределения: прямоугольное; Оценочное значение: q; Интервал, в
котором находится значение входной величины: ± 2 %; Стандартная
неопределенность: u1(q) =
дм3
) Сходимость:
Входная величина: t 1)
Погрешность секундомера: Тип неопределенности: В; Вид распределения:
прямоугольное; Оценочное значение: t; Интервал, в котором находится
значение входной величины: ± 0,02 с; Стандартная неопределенность: u1(t) =
с
|
2) Сходимость: Тип
неопределенности: А; Вид распределения: нормальное; Оценочное значение: t;
Стандартная неопределенность:
|
|
|
Окончание таблицы А2
|
|
Входная величина: А
|
Погрешность держателя
точечной пробы: Тип неопределенности: В; Вид распределения: прямоугольное;
Оценочное значение: А; Интервал, в котором находится значение входной
величины: ± 0,5%; Стандартная неопределенность: u(А) = м2
|
Анализ корреляций
Входные величины некоррелированные. Следовательно, коэффициент корреляции
примем равным 1.
Коэффициенты чувствительности
Расчет суммарной неопределенности
Суммарная неопределенность рассчитывается следующим образом:
Расчет расширенной неопределенности
Коэффициент охвата k для
выбранного уровня доверия Р=95 % равен 2. Расширенная неопределённость
рассчитывается по формуле:
U = k · Uc(R)
Полный результат измерения
Полный результат измерения представляется в виде:
(R ± U) 
при
Р=0,95
ПРИЛОЖЕНИЕ Б
Бюджет неопределенности
|
Величина Хi
|
Единицы измерения
|
Значение оценки, хi
|
Интервал, ±
|
Тип неопределенности
|
Распределение вероятностей
|
Стандартная
неопределённость, u(xi)
|
Коэффициент
чувствительности, Сi
|
Вклад неопределённости, ui(y)
|
|
Среднее значение воздушного
потока, q
|
дм3
|
158,13
|
3,20
|
А В
|
нормальное прямоугольное
|
1,85 дм3
|
2,97
|
5,49
|
84,9
|
|
Среднее значение времени
проведения испытания, t
|
с
|
67,38
|
0,75
|
А В
|
нормальное прямоугольное
|
0,27 с
|
-6,97
|
1,88
|
10,0
|
|
Площадь точечной пробы, А
|
м2
|
0,005
|
2,5∙10-5
|
А
|
нормальное
|
1,44∙10-5 м2
|
|
1,35
|
5,1
|
Расширенная
неопределённость: 
________

Полный
результат измерения: (_______±_______) 