Разработка координатно-шлифовального станка для обработки различных деталей
Введение
Металлорежущие станки (МРС) являются основным
видом заводского оборудования, предназначенным для производства современных
машин, приборов, инструментов и других изделий. МРС являются наиболее
разнообразными машинами по размерам, конструктивному оформлению, техническим
характеристикам и принципам действия. При их создании используются все
достижения машино- и приборостроения, электротехники и электроники, автоматики
и информатики. Поэтому количество и качество металлорежущих станков, их
техническая оснащенность в значительной степени характеризуют производственную
мощь страны.
Процесс конструирования является первым этапом
создания станка. Следующим этапом является технологическая подготовка
производства, а затем этап изготовления деталей и сборки отдельных узлов и
всего станка. Принятие правильных решений, что является важнейшим элементом
конструирования, требует от конструктора учета большого числа взаимосвязанных
факторов не только технического порядка. На самых различных этапах
проектирования станка проявляются факторы, относящиеся к разнообразным отраслям
знаний. Станкостроение - базовая отрасль машиностроения. Металлообрабатывающее
направление определяет производственно-технический и экономический потенциал
машиностроительного комплекса. Станки, машины и оснастка, производимые
станкостроением, составляют примерно 60% активной части
промышленно-производственных фондов машиностроения.
На сегодняшний день в мире производится очень
много металлообрабатывающего оборудования, оно более совершенно, чем оборудование,
которое используется на заводах. Поэтому актуально разрабатывать новые модели
оборудования, которые будут удовлетворять всем требованиям и по приемлемой
цене.
В данном курсовом проекте представлены этапы
разработки координатно-шлифовального станка. Для достижения цели проекта
необходимо выполнить технологическую, конструкторскую и исследовательскую
части.
шлифовальный станок резание
1. Бизнес-план НТП
.1 Общие сведения о проекте
Наименование проекта: разработка координатно-
шлифовального станка для обработки различных деталей.
Краткое название организации: ТМС СибГАУ гр.Т-61
.2 Резюме
.2.1 Реферат бизнес-плана
Назначение научно-технического продукта (НТП) -
модуль для изготовления деталей любых отраслей промышленности.
Краткое описание НТП: модуль построенный
стабилизированных принципов резания, позволяет получать поверхность по 6
квалитету.
Основные технические параметры: размеры стола
260х340, Габариты агрегата в пределах 3050х2100х2400, общая мощность привода 3
кВт.
Краткий перечень работ при создании НТП6
оформление заявки на патент, разработка конструкторско-технологической
документации на изготовление промышленного образца с выполнением расчётов на
прочность и жёсткость, надёжность. Оформление заказов на изготовление.
Разработка технологических процессов изготовления оригинальных деталей
агрегата. Изготовление деталей, сборочные операции, механизмов резания и
подачи, настройки всей продукции. Контрольные и приёмо-сдаточные испытания.
Запрашиваемый объём финансирования 1.000 000 .
руб
Срок окупаемости 2-3 года.
.2.2 Научно-технический раздел по проекту
Первичные исследования выполнены на установках
базового предприятия и станочной конструкции СибГАУ показали возможность
получения данных поверхностей по 6 квалитету точности не уступающих точности
зарубежных аналогов. Отработаны режимы резания и конструкция режущего
инструмента. Теоретические проработки выполнены для создания серийного модуля.
.3 Описание продукта
.3.1 Описание НТП
Назначение НТП: координатно-шлифовальный станок
для производства изделий машиностроения: производство средств производства
(технологическое оборудование), производство изделий.
Оценка создаваемого НТП: НТП как создаваемое
целое, представляющее улучшенную технологию изготовления деталей в
мелкосерийном производстве с использованием ресурсосберегающих способов резания
металлов новое качество в разработке представляет вся система
стабилизированного резания.
.3.2 Возможные области применения
Координатно-шлифовальный станок предназначен для
производства деталей гражданских и военных машин, а также металлообрабатывающей
промышленности.
.3.3 Перспективы совершенствования продукта
Направление совершенствования потребительских
свойств состоит в уменьшении шероховатости обработанной поверхности за счёт
увеличения частоты вращения шпинделя. Гарантийное обслуживание обеспечивается
разработчиком по авторскому надзору, сроки достижения улучшений 18 месяцев
после сдачи в эксплуатацию первого координатно - шлифовального станка.
1.4 Оценка рынка сбыта
.4.1 Форма реализации НТП
Реализация в виде товарного изделия.
.4.2 Анализ рынка
Потенциальные покупатели - металлообрабатывающие
производства.
Стратегия маркетинга: демонстрация промышленной
установки рассылка проспектов, формирование информации и помещение сети Internet.
При проработке рынка сбыта использована информация с реферативных журналов и
патентов.
.5 Организационный план производства НТП.
.5.1 Состояние работ по проекту
Имеется техдокументация для опытного образца,
степень технологической проработки: имеется по режимам резания, мощность
приводов, жёсткости.
.5.2 Организация производства НТП
Перечень основных технических процессов
изготовления НТП: заготовительная, механообработки, гальванические, сборочные,
монтажные, регулировочные, настроечные, контрольные, покрасочные.
.6 Правовая охрана
Правовая охрана НТП: Раскрытие результатов НИР
не производилось, выставки и публикации не проводились, охранные документы не
оформлялись.
2. Состояние разработанного вопроса
.1 Патентный поиск
Таблица 1 Порядок проведения патентных
исследований ГОСТ 15.011-82.
|
Виды
работ по патентным исследованиям
|
Формирование
плана исследований
|
Н
и Р
|
Разработка
объекта
|
Серийное
производство
|
|
Прогноз
развития техники, перспективы планирования
|
Обоснование
заявки на разработку техники планирования
|
Разработка
ТЗ
|
Выбор
направления НиР
|
Теор.
и эксперимент. НиР
|
Обобщение
и оценка результатов НиР
|
Разработка
ТЗ
|
Разработка
проектной документации
|
Разработка
раб. Документации и испытание опытных образцов
|
Постановка
на производство
|
Аттестация
продукции
|
Экспорт,
продажа лицензий
|
Снять
с производства
|
|
1.Исследование
технического уровня
|
+
|
+
|
+
|
+
|
+
|
+
|
+
|
+
|
+
|
+
|
+
|
+
|
+
|
|
2.
Анализ научно-технической деятельности фирм
|
+
|
|
|
+
|
|
+
|
+
|
+
|
+
|
|
|
+
|
|
|
3.
Анализ тенденций развития вида техники
|
+
|
+
|
+
|
|
|
+
|
+
|
|
|
|
+
|
|
|
|
4.
Анализ патентно-лицензионной деятельности фирм
|
|
|
|
|
|
|
|
|
|
|
|
|
|
|
5.
Технико-экономический анализ изобретений
|
|
|
|
|
+
|
|
|
|
|
|
|
|
|
|
6.
Исследование новизны разработан. объекта
|
|
|
|
|
+
|
|
|
+
|
|
|
|
+
|
|
|
7.
обоснование правовой защиты. Продажа лицензий.
|
|
|
|
+
|
|
|
+
|
|
|
|
+
|
|
|
Внутришлифовальный станок
с
ЧПУ.
Internal grinder - Meccanica Nova Corporation, booth B 7345.
На выставке IMTS
2006 года (в США) фирма Meccnica
Nova Corporation
экспонировала станок модели 2G
- Junior Novamatic
, оснащённый системой CNC
Nova Digital,
послеоперационным измерителем и акустической контрольно - измерительной
системой. Фирма специализирована на изготовлении многооперационных станков с CNC
управлением, предназначающихся для наружного и внутреннего шлифования, в том
числе и изделий аэрокосмической и автомобилестроительной отраслей.
Координатно - шлифовальный станок с ЧПУ. Jig
grinder. Manuf. Eng (USA)
Фирма Moore Tool Co . Inc (USA) выпускает
станок Н-500 CPWZ оснащённый
координатной системой CNC. Окружность выполняется с
точностью до 0,00025мм, линейная точность 0,0012мм. Машина эффективна при
изготовлении пресс-форм и штампов, а также, изделий оптико-электрической
техники. Обрабатывает отверстия до 127мм при частотах вращения шпинделя до
175000
,используя СОЖ. Реализуются
одновременно с ЧПУ по 4 осям, применяются УЧПУ GE 180i-MB CNC на основе
персонального компьютера (ПК).
Прецизионный
координатно-шлифовальный станок с ЧПУ. Moor Tool
Claims break though in ultra- precision grinding.
Фирма Moore Tool Co Разработала
станок, который при испытаниях обеспечил допуск по круглости до 0,25мкм и
точность позиционного шлифования до 1,25мкм. Указывается, что точность станка в
3раза превосходит показатели конкурентов. При испытаниях обрабатываемой втулки
из стали(в том числе и нержавеющей) и твёрдых сплавов которые используются в
формах миниатюрных электрических аппаратов и медицинских приборов использованы
алмазные круги на полимерной связке с числом оборотов 40000
с подачей СОЖ на водной основе.
Управление осуществляется системой GE Fanyc 180i -MB на базе ПК.
Внутришлифовальный станок MIG 60.
Станок выпущен фирмой FAG c
модифицированной конструкционной и цифровой системой регулирования привода и
кулачковой системой для ручного управления. Для изделий из КНБ применяется
устройство с единичным алмазом или другим устройством, например, например
фасонный ролик. При этом достигнута высокая эксплуатационная гибкость станка,
позволяющая использовать фасонные круги или круги прямого профиля. Такими
кругами можно шлифовать д длительность цикла может составлять всего 4 секунды.
Значительно снижены затраты времени на смену круга. Система управления - Siemens. Диаметр
обрабатываемо отверстия 15- 62мм, ширина 7 - 40мм.
.2 Карта анализа аналогов и выбор
прототипов станка
Для того чтобы станок обладал
высокими техническими характеристиками, необходимо, чтобы его показатели
качества (индекс точности, радиальное биение шпинделя, виброскорость и др.) находились
в требуемых пределах в течении всего периода эксплуатации и обеспечивали
изготовление продукции заданной точности. Поэтому необходимо оценить начальные
(статические) показатели качества станков.
В данной таблице рассмотрены технические
характеристики таких станков, как: универсальные 3К225В, 3К227В, 3К229В,
предназначенные для шлифования цилиндрических, конических, глухих и сквозных
отверстий. Станки имеют торцешлифовальный шпиндель, позволяющий шлифовать
наружный торец детали за один установ с обработкой отверстия. Передняя бабка
может поворачиваться на угол 45° для шлифования конических поверхностей.
Таблица 2 Карта анализа аналогов шлифовальных
станков для профилирования инструмента
|
Параметры
|
Модели
станков
|
|
3К225В;
3К225А
|
3К227В;
3К227А
|
3К229В
|
3283S
|
5SM
|
32К84СФ4
|
|
1.Наибольший
диаметр: устанавливаемой заготовки устанавливаемой заготовки в кожухе
|
200
100
|
400
250
|
800
630
|
|
220 280
|
630
400
|
|
2.Наибольшая
длина: устанавливаемой заготовки при наибольшем диаметре отверстия шлифования
|
50
-
|
125
125
|
320
320
|
|
|
|
|
3.Диаметр
шлифуемых отверстий
|
3-25
|
5-150
|
100-400
|
3-220
|
3-150
|
|
|
4.Наибольший
ход стола
|
320
|
450
|
800
|
250
|
500
|
630
|
|
5.Наибольший
угол поворота бабки заготовки,º
|
45
|
45
|
30
наим.
|
|
45
|
16
|
|
6.Наибольшие
диаметр и высота шлифовального круга
|
25×25
|
80×50
|
200×63
|
|
220
|
300×50
|
|
7.Скорость
движения стола, м/мин: При правке шлифовального круга При шлифовании При
быстром продольном подводе и отводе
|
0,1-2
1-7 10
|
0,1-2
1-7 10
|
0,1-2
1-7 10
|
|
|
1-6000
|
|
8.
Мощность электродвигателя привода шлифовального круга, кВт
|
0.76
(бабки заготовки)
|
4
|
7.5
|
0.5
|
6.5
|
5
|
|
9.Габаритные
размеры (с приставным оборудованием): Длина Ширина Высота
|
2225 1775 1530
|
2815 1900 1750
|
4630 2405 2000
|
1600
1580 2340
|
4000
2250 2750
|
4380
2945 3160
|
|
10.Масса
(с приставным оборудованием), кг
|
2800
|
4300
|
8600
|
3850
|
4200
|
4450
|
|
11.Наибольшее
наладочное поперечное перемещение: шлифовальной бабки: вперед (от рабочего)
назад (на рабочего) бабки заготовки: вперед (от рабочего) назад (на рабочего)
|
- - 100 20
|
50 10 120 30
|
100 10 100 10
|
|
|
|
|
12.Частота
вращения шпинделя, об/мин: Внутришлифовального Бабки заготовки
Торцешлифовального приспособления
|
20000-100000
280-2000 11500
|
9000;
12000; 18000; 22000 60-120
|
3500;4500;
6000 40-240
|
12000-96000
|
9000-45000
|
6000-96000
|
|
|
|
|
|
|
|
|
|
|
|
Прецизионный координатно-шлифовальный станок
модели 32К84СФ4 - современная программно-управляемая машина для изготовления
изделий средних размеров из твердых сплавов, высоколегированных, термически
обработанных сталей и других материалов, для которых обработка лезвийным режущим
инструментом не обеспечивает выполнение требований высокой точности
геометрической формы обрабатываемых поверхностей и соответствующего профиля
микронеровностей поверхностного слоя изделий, определяющего показателя
эксплуатационных свойств износостойкости, контактной жесткости, усталостной
прочности, герметичности соединений и других. А также в таблице рассмотрены
технические характеристики станков 5SM
и 3283S.
В качестве прототипа для проектируемого стола
используем станок 5SM.
На данный станок возможно установить шлифовальную турбину Т25, которая
позволяет получить от станка n=225000
об/мин. У других станков нет этой возможности. Такое число оборотов шпинделя
позволяет вести обработку отверстий с малыми диаметрам и, где скорость резания
гораздо меньше, чем у деталей с большим диаметром обработки.
3. Технологическая часть
.1 Определение класса точности станка
Требуемый класс точности МРС для обработки
детали с заданной точностью определяется на основании расчета и анализа. Первый
параметр R рассчитывают по
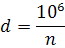
данным рабочего чертежа по наиболее точному размеру и качеству поверхности.
Данный станок может осуществлять чистовое шлифование по 6-му квалитету.
=ES - EI=6 - 0=6 мкм
Сравниваем полученное значение Rр с
табличным, ближайшим для соответствующего класс точности станка - А
(повышенной).
Таблица 3
|
Rтабл
|
А
|
Р(х)
|
Ктс
|
кл.
бал.
|
|
Н
|
0,05
|
0,36
|
0,85
|
1
|
4
|
|
П
|
0,025
|
0,32
|
0,9
|
1,5
|
3
|
|
В
|
0,0125
|
0,25
|
0,99
|
2
|
½
|
|
А
|
0,0063
|
0,2
|
0,999
|
2
|
½
|
|
С
|
0,0032
|
0,6
|
0,9999
|
2
|
½
|
3.2 Расчёт режимов резания
Находим мощность резания:
Принимаем N=3 КВт [ 2]
.3 Расчёт ресурса точности станка
где С - коэффициент, выбирается по
нормативам ППР - планово- предупредительного ремонта, С=16800.
Ком - коэффициент
обрабатываемости материала, 0.75-1.0, Ком=0,8;
Кми - коэффициент МРИ,
0.8-1.0;
Ктс - коэффициент класса
точности МРС (Н - 1, П - 1.5, В, А, С - 2);
Ккс = 1;
Кв - коэффициент возраста
до 10 лет, Кв =2;
Ку - коэффициент года
выпуска, Ку =1;

- число ремонтов, 
=2.
.4 Расчёт времени безотказной работы
станка
где 
- ресурс точности станка;
Р(х) - вероятность безотказной
работы станка, Р(х) = 0,85 - для станков нормальной точности ( см. табл. 3)
t - время
безотказной работы станка.
-0,1629=-t/9072.
Тогда: 
.5 Расчёт радиального биения
шпинделя
где: 
начальное биение, 
t - время безотказной работы станка, 
- ресурс точности станка.
.6 Станочный конфигуратор
В силу сложности кинематических и
динамических процессов, происходящих в технологическом оборудовании,
целесообразно системный анализ проводить в сочетании различных элементов и
параметров упругой системы станка. Первичная проработка начинается со
структурной схемы технологического процесса изготовления детали и изделия на
основе типовых станочных конфигураторов. Станочные конфигураторы строятся с
учётом матрицы транзитивности.
Задача при проектировании решается с
учётом производственной, технологической потребности, изложенной в техническом
задании, посредством изменения параметров и формирования конструкции станка с
лучшими показателями качества .
Внутри станочного конфигуратора
расположен ромб с характеристиками: обозначения модели станка (внутри ромба, в
центре); мощности привода МГД (вне ромба, внизу); мощности привода механизма
подачи (вне ромба, вверху); диапазон частот вращения шпинделя (внутри ромба,
справа); диапазон скоростей подач (внутри ромба, слева).
Модель геометрической точности МРС
формируется по действующим стандартам на нормы геометрической точности с
количеством параметров, необходимых для реализации задачи. Базовыми стандартами
являются ГОСТ 8-82, ГОСТ 7035-82, ГОСТ 7599-82. В этом же модуле находятся
значения параметров жёсткости и виброкомпоненты. Верхним обрамлением модуля
является условие обозначения точности установки станка на фундамент по уровню.
Модуль параметрической точности МРС
даёт представление о значениях шероховатости и допуска на размер
изготавливаемой детали. Отношении допуска формы и расположения поверхностей к
допуску размера детали, соотношении геоме5трической точности параметров станка
к допуску размера.
Два нижних модуля отражают
технологическую точность станка: левый даёт представления о параметрах заготовки,
правый - описывает технологическую точность станка, выполняющего данную
операцию. Всё 4 модуля связаны между собой [1].
Рис 1. Станочный конфигуратор.
4. Конструкторская часть
.1 Описание станка
Представленный на чертеже
Т3.МРС.10.10.00.00.000.ВО, станок установлен на ножки (6 шт), которые крепятся
к днищу станины. В верхней части станины установлен стол, с закреплённой на нём
деталью. Справа от станины, на уровне стола, находится пульт управления
станком, который вынесен на державке. Справа и слева на станине установлены
стойки. В верхней части установлена траверса, на которой закреплён шпиндельный
узел. На узле имеются маховики и нониусы, для ручной подачи инструмента. Также
в верхней части находится маслораспылитель. Далее воздух, смешанный с маслом
подаётся к шлифовальной турбине, где приводит её в движение. Одновременно с
этим производится смазка шпиндельного узла.
Станок построен на прямоугольной
системе координат, причём для определения положения точки по этому
ориентировочному принципу, необходимы 3 размера. Для локализации точки
служащими данными являются меры длины будут условно избраны 3 перпендикулярных,
одно к другому направления, обозначенные как оси X,Y,Z. Их общая
точка пересечения будет нулевой точкой системы, которая называется «начало
координат». На оси Х положительным принято правое направление и отрицательным -
левое. Аналогично на 2-х других осях. 3 шкалы 700мм длины (на основании
станка), 500 мм длины (на подвижной траверсе) и 500 мм длины (на вертикальной
стойке) позволяют миллиметровый промер при трёх различных движениях по оси X,Y,Z. Отсчёт
одного деления на большом делительном барабане соответствует 1/100 мм. На обоих
нониусах с 10 делениями каждый, без труда считывается 1/1000 мм. Всякая установка
должна предприниматься всегда в направлении чисел на масштабах и на делительных
барабанах.
4.2 Описание пневмосхемы станка
Подача воздуха в Т3.МРС.10.10 осуществляется
через главное присоединение (1), воздух, проходя через обратный клапан попадает
в фильтр очистки воздуха(11) и в случае закрытия запорного клапана (24),
который перекрывает подачу воздуха к аппарату шлифования пазов(23) , воздух
проходит через клапана 12 и 13, манометр 14, и распределитель 15, приводит в
действие шлифовальную турбину(21) и шлифовальный двигатель (22). Оставшийся
воздух уравновешивает поперечные салазки.
.3 Выбор материала и расчёт шпинделя турбины
Для шпинделей станков нормальной точности
применяют конструкционные стали 45, 50, 40Х с поверхностной закалкой (обычно
закалка с нагревом ТВЧ) до твёрдости 48-56HRCэ.
Шпиндели сложной формы изготавливают из сталей 50Х, 40ХГР и применяют объёмную
закалку до HRCэ
56-60.
Для шпинделя разработанного станка принимаем
конструкционную легированную хромистую сталь 40Х с поверхностной закалкой до
твёрдости 48 - 56 HRCэ.
Размеры шпинделя под подшипники определим исходя
из числа оборотов, по следующей формуле:
По ГОСТ 2323-76 принимаем ближайший
диаметр 10мм.
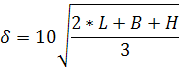
4.4 Определение толщины стенки
корпуса
Толщину стенок базовых литых деталей
выбирают исходя из технологических требований и по соображениям необходимой
жёсткости. При выборе толщины стенки следует иметь в виду, что с увеличением
толщины стенки жёсткость и масса конструкции увеличиваются примерно в равной
мере. Между тем увеличение габаритных размеров гораздо сильнее повышает
жесткость, чем увеличение толщины стенки, поэтому в большинстве случаев
целесообразно выбирать толщину стенок минимально допустимой, по соображениям
литейной технологии, а необходимую жёсткость обеспечивать подбором габаритных
размеров и целесообразной формой.
Проёмы и окна также снижают
жёсткость базовых деталей, особенно их крутильную жёсткость. [3]
Для ориентировочного выбора толщины
стенки можно использовать формулу:
где: L,B,H -
габаритные размеры станины в метрах, причём L- наибольший
из них
Аналогично можно определит толщину
стенки корпуса турбины:

2,5мм
Следует отметить, что рассчитанная
толщина должна быть минимальной и при необходимости её можно увеличить.
.5 Описание сборочного чертежа турбины
Шлифовальная турбина состоит из
корпуса(2), соединённого с фланцем(3) при помощи винтов (11). Корпус на 20мм
входит в приспособление. Внутри корпуса установлены: колпак (6), упорная втулка
(7), и крыльчатка (8), которая накручена на шпиндель. Воздух через отверстие в
корпусе и колпаке раскручивает крыльчатку, соединённую со шпинделем (5), и
упирающуюся в во втулку.
Шпиндель вращается в паре
подшипников (1), между которыми установлены распорные кольца (9), для
предотвращения смещения подшипников. Подшипниковый узел снизу закрыт крышкой
(4), которая с помощью винтов (10) прикреплена к фланцу. Шлифовальную головку
устанавливают в отверстие в шпинделе и чтобы избежать проворота головки
поджимают специальным крепёжным винтом (12).
.6 Нахождение эксцентриситета
В соответствии с ГОСТом 1940-1 2007
определяется допустимый остаточный удельный дисбаланс, в зависимости от класса
точности станка. Для станков нормального класса точности балансировки
принимается не ниже G6,3, а для станков повышенного
класса точности - не более G2,5. Для прецизионного класса - G1 и G0,4. [1]
Находим допустимый остаточный
удельный дисбаланс: [приложение 1]
4.7 Техника безопасности
Безопасность достигается:
. Соответствием станка паспорту и
руководству по эксплуатации;
. Актом сдачи в эксплуатацию,
технически исправным состоянием всех механизмов, систем управления,
конструкции;
. Уровнем разряда оператора не ниже
среднего;
. Соблюдением типовых отраслевых
норм безопасности при выполнении операции;
. Надёжной затяжкой всех резьбовых
соединений и крепёжных элементов.
. Регламентной регулировкой
подшипниковых поверхностей, тормозных устройств;
. Наличием сертификата соответствия
требованиям безопасности государственных стандартов России.
5. Конструкторская часть
При функциональном анализе
конкурентоспособности технологического оборудования используется система
показателей, построенных по фасетному методу квалификации, при котором заданное
множество делится на 3 группы по существенным признакам классификации. В
качестве признаков классификации принимаются выполняемые действия,
контролируемые признаки, объект контроля и конструктивный элемент. При
разработке объектов производства необходимо учитывать мировые показатели
качества (точность, надёжность, производительность, удобство обслуживания,
безопасность), а также показатели качества машин 9надёжность, энергоёмкость,
эргономика, технологичность).
Исследование технического состояния
эксплуатируемых и новизны вновь созданы конструкций лучше всего выполнять на
основе методики исследования технического уровня разработок. Необходимо
определить дескрипторы и их численные значения, адекватно описывающие
составляющие геометрической, технологической и параметрической точности,
особенно для станков зарубежных фирм. Для создания матрицы 10х10 с 3- мя
таблицами, заложенной в основу анализа, требуется выявить 10 параметров для
всех анализируемых станков.[1]
Матрица весовых коэффициентов
заполняется на основе парных сравнений, начиная с первой строки таблицы. При этом
наилучший вариант оценивают баллом 2, лучший - 1, удовлетворительный - 0.
Определение единичных оценок уровня выполняется по моделирующим алгоритмам
сравнения.[1]
Таблица 4
|
Гипотетическая
модель
|
950
|
750
|
300
|
225
|
3,5
|
4000
|
2500
|
3000
|
19
|
10
|
|
Величина
показателя
|
Аналоги,
выявленные при контрольной проверке
|
S55-400
|
860
|
1500
|
350
|
80
|
4,5
|
4100
|
2600
|
3000
|
28
|
10
|
|
|
MICRA MAT
60S C
|
750
|
800
|
400
|
120
|
6200
|
3900
|
3400
|
21
|
12
|
|
|
MICRA MAT
60S
|
750
|
800
|
400
|
120
|
5,5
|
6200
|
3900
|
3400
|
16
|
12
|
|
|
Нsm-400
|
600
|
400
|
350
|
120
|
5
|
4000
|
2700
|
3200
|
17
|
5,3
|
|
|
2E470А
|
560
|
300
|
220
|
96
|
0,5
|
1600
|
1580
|
2310
|
20
|
3,85
|
|
Аналоги,
выявленные разработчиком
|
3283С
|
2240
|
2500
|
320
|
2
|
2,3
|
6050
|
4060
|
4610
|
31
|
33
|
|
|
2Б460А
|
1600
|
2000
|
320
|
2
|
2,3
|
4665
|
3440
|
4170
|
32
|
17
|
|
|
2455
|
900
|
800
|
250
|
2
|
4,5
|
2910
|
2240
|
2680
|
13
|
3,4
|
|
|
2Е440
|
710
|
320
|
250
|
2
|
4,5
|
2440
|
2195
|
2385
|
19
|
3,4
|
|
Разработанный
проект
|
Т3.МРС.10.10.
|
900
|
650
|
150
|
144
|
3
|
2100
|
2400
|
3050
|
23
|
4,2
|
|
Дескриптор
(данные РЭ и П)
|
ШИРИНА
СТОЛА,ММ
|
МАССА
ЗАГОТОВКИ, КГ
|
MAX D
ШЛИФ-Х ОТВЕРСТИЙ, ММ
|
MAX ЧАСТОТА ВРАЩ
ШПИНДЕЛЯ ТЫС, ОБ/МИН
|
Р
ПРИВОДА мгд
|
ДЛИНА
|
ШИРИНА
|
ВЫСОТА
|
СТОИМОСТЬ
1 КГ
|
МАССА
СТАНКА
|
Таблица 5 Матрица весовых коэффициентов
проектного решения
|
№
|
Дескриптор
|
1
|
2
|
3
|
4
|
5
|
6
|
7
|
8
|
9
|
10
|
Всего
|
Весовой
коэффициент
|
|
1
|
Ширина
стола
|
1
|
1
|
1
|
2
|
2
|
0
|
0
|
1
|
1
|
1
|
10
|
0.2222
|
|
2
|
Масса
заготовки,
|
1
|
0
|
1
|
2
|
2
|
0
|
0
|
1
|
1
|
2
|
11
|
0,2444
|
|
3
|
Max d, шлиф. отв
|
0
|
1
|
1
|
2
|
2
|
0
|
1
|
2
|
2
|
1
|
12
|
0,2888
|
|
4
|
Max частота шпинделя
|
1
|
0
|
0
|
0
|
0
|
1
|
1
|
1
|
1
|
1
|
6
|
0,1333
|
|
5
|
Р
привода
|
1
|
1
|
1
|
2
|
2
|
2
|
0
|
0
|
0
|
1
|
10
|
0,2222
|
|
6
|
Длина
|
2
|
2
|
2
|
1
|
0
|
2
|
1
|
0
|
0
|
2
|
12
|
0,2888
|
|
7
|
Ширина
|
1
|
1
|
1
|
0
|
0
|
1
|
1
|
0
|
0
|
1
|
6
|
0,1333
|
|
8
|
Высота
|
1
|
2
|
2
|
0
|
0
|
2
|
1
|
1
|
1
|
1
|
11
|
0,2444
|
|
9
|
Стоимость
1 кг
|
1
|
1
|
2
|
0
|
0
|
1
|
1
|
1
|
1
|
0
|
8
|
0,1777
|
|
10
|
Масса
станка
|
1
|
0
|
1
|
0
|
1
|
1
|
2
|
2
|
1
|
1
|
10
|
0,2222
|
Весовой коэффициент:
w=
где n -
количество показателей ранг матрицы;
коэффициент уровня:
|u|=
Где r - новая
разработка, g -
гносеологическая модель;
Усреднённый и усреднённый показатели
уровня:
Р=
; 
Таблица 6
|
W
|
0,2222
|
0,2444
|
0,2888
|
0,1333
|
0,2222
|
0,2888
|
0,1333
|
0,2444
|
0,1777
|
0,2222
|
|
Величина
показателя
|
Аналоги,
выявленные при контрольной проверке
|
S55-400
|
0,021
|
0,2222
|
0,0296
|
0,0693
|
0,0859
|
0,1444
|
0,0266
|
0
|
0,0842
|
0,0444
|
|
|
MICRA MAT
60S C
|
0,0468
|
0,0127
|
0,0592
|
0,126
|
0,0622
|
0,1588
|
0,0693
|
0,0325
|
0,028
|
0,0444
|
|
|
MICRA
MAT 60S
|
0,0468
|
0,0127
|
0,0592
|
0,126
|
0,0622
|
0,1588
|
0,00693
|
0,0325
|
0,028
|
0,0444
|
|
|
Нsm-400
|
0.,00818
|
0,1037
|
0,0296
|
0,1224
|
0,0622
|
0
|
0,0106
|
0,0106
|
0,0187
|
0,0444
|
|
|
2E470А
|
0,0912
|
0,0127
|
0,0474
|
0,1904
|
0,0764
|
0,1733
|
0,049
|
0,0501
|
0,0093
|
0,1088
|
|
Аналоги,
выявленные разработчиком
|
3283С
|
0,3017
|
0,5183
|
0,0118
|
0,146
|
0,1321
|
0,148
|
0,0831
|
0,1311
|
0,1216
|
0,1366
|
0,152
|
0,3703
|
0,0118
|
0,146
|
0,1321
|
0,048
|
0,0418
|
0,0953
|
0,1216
|
0,2888
|
|
|
2455
|
0,0116
|
0.,0148
|
0,0296
|
0,0637
|
0,1321
|
0,0787
|
0,0138
|
0,026
|
0,1216
|
0,1555
|
|
|
2Е440
|
0,0561
|
0,0127
|
0,0296
|
0,0637
|
0,1321
|
0,1126
|
0,0163
|
0,0501
|
0,0093
|
0,1466
|
|
Разработанный
проект
|
Т3.МРС.10.10.
|
0,0116
|
0,0296
|
0,0888
|
|
0,0479
|
0,0317
|
0,1371
|
0
|
0
|
0,0374
|
0,1289
|
|
Дескриптор
(данные РЭ и П)
|
ШИРИНА
СТОЛА,ММ
|
МАССА
ЗАГОТОВКИ, КГ
|
MAX D
ШЛИФ-Х ОТВЕРСТИЙ, ММ
|
MAX ЧАСТОТА ВРАЩ
ШПИНДЕЛЯ ТЫС, ОБ/МИН
|
Р
ПРИВОДА мгд
|
ДЛИНА
|
ШИРИНА
|
ВЫСОТА
|
СТОИМОСТЬ
1 КГ
|
МАССА
СТАНКА
|
|
|
|
|
|
|
|
|
|
|
|
|
|
|
Таблица 7 Таблица показателей совокупности
|
Совокупный
|
0,513
|
0,57
|
0,63
|
1,407
|
1,730
|
0,717
|
0,489
|
0,631
|
0,721
|
|
усреднённый
|
0,051
|
0,05
|
0,06
|
0,140
|
0,173
|
0,071
|
0,04
|
0,06
|
0,072
|
Заключение
На основе системного анализа разработана
конструкция и конструкторско-техническая документация, для постановки на
производство на конкурентной платформе. Расчеты подтверждают возможность
выполнения бизнес - плана. Работоспособность подтверждена расчетами на
прочность, жесткость. Ресурс по точности технологического оборудования - 9072
ч. Безопасность эксплуатации обеспечена конструкцией механизмов, сборкой по
чертежу, затяжкой всех крепежных и защитных элементов согласно государственному
стандарту и техническим условиям (ТУ), заземление выполнено по техническим
требованиям и ГОСТу, пусковая и защитная электроаппаратура выбрана по
рекомендациям и ГОСТ 7599. Станок обеспечивает детали изделий по 6 квалитету.
ТО отвечает российским и европейским требованиям.
Список литературы
1. Металлорежущие станки. Технология
оценки качества проектируемых станков: учеб. пособие / Ю.А. Филиппов, Е.В.
Раменская, Л.В.Ручкин, А.В. Скрипка; Сиб.гос. аэрокосмич. Ун-т. - Красноярск,
2009.-100с.
. Справочник технолога -
машиностроителя. В 2-х т. Т.1/ под ред. А.М. Дальского, А.Г. Косиловой, Р.К.
Мещерякова. А.Г. Суслова, ,- 5-е изд., перераб. и доп. - М.: Машиностроение -
1, 2001 г. 912с., ил.
. Пуш В.Э. Конструирование
металлорежущих станков. М., Машиностроение, 1977 390 ст. ил.
. Справочник технолога -
машиностроителя. В 2-х т.
Т.2/ под ред. А.М. Дальского, А.Г.
Суслова, А.Г. Косиловой, Р.К. Мещерякова. - 5-е изд., исправл. - М.:
Машиностроение - 1, 2003 г. 944с., ил.
. Пронников А.С. Металлорежущие
станки и автоматы. М.: Машиностроение, 1981.479с
. Технология машиностроения:
методические указания к выполнению курсового проекта для студентов
специальности 151001 «Технология машиностроения» всех форм обучения/ Н.А.
Амельченко, В.Д. Утенков, Л.С. Добрынина; Сиб. гос. Аэрокосмич. ун-т. -
Красноярск, 2007. -92с
. Металлорежущие станки и
промышленные роботы: Метод указания, контрольные задания и рабочая программа
для студентов заочной формы обучения спец. 120100 / Сост. : Ю.А. Филиппов, Л.В.
Ручкин, З.С. Дроздова, В.Д. Утенков; САА. Красноярск, 2002. 84с
. Тарзиманов В.А.»Проектирование
металлорежущих станков.- 3-изд., перераб. и доп. - М.: Машиностроение, 1980 -
288с., ил.
. Шероховатость поверхности: метод.
указания к выполнению практической работы по дисциплине «метрология,
стандартизация и сертификация» для студентов техн. спец. всех форм обучения/
сост.: Л.В. Зверинцева, Е.Б. Пшенко; Сиб. гос. аэрокосмич. ун-т. - Красноярск,
2008. - 56с.
Приложение 1
Параметрическая матрица транзитивности для
системного анализа технологического оборудования.
|
Оценочные
показатели
|
Класс
точности металлорежущих станков по ISO
230-2/ по ГОСТ 7599, ГОСТ 8-82
|
|
-/н
|
н/п
|
Р/В
|
SP/A
|
UP/C
|
|
1.+∆t
участка, С
|
10
|
5
|
2
|
1
|
0,5
|
|
2.
А= 0,60,320,250,20,16
|
|
|
|
|
|
|
3.R= 0,050,0250,01250,00630,0032
|
|
|
|
|
|
|
4. F=  -1-2-3-4-5
|
|
|
|
|
|
|
5.Квантиль
Т= 0-1-2-3-4
|
|
|
|
|
|
|
6.Виброскорость
, Ve, мм/с
|
7,2
|
4,5
|
2,8
|
1,7
|
1,1
|
|
7.Точность
ДОС: Микрометры Угловые секунды
|
10
3
|
5
3
|
2
1,5
|
1
1
|
0,5
0,3
|
|
8.
Установка по уровню: миллиметры на метр угловые секунды
|
0,1
20,7
|
0,04
8,3
|
0,02
4,14
|
0,02
4,14
|
0,01
2,07
|
|
9.
Модуль нагрузки
|
1
|
0,8
|
0,63
|
0,5
|
0,4
|
|
10.
Индекс жёсткости
|
1
|
1,25
|
1,56
|
1,95
|
2,15
|
|
11.
Статизм АЭП,% МГД Механизма подачи
|
5
1,2
|
4,5
1
|
4
0,8
|
3,5
0,6
|
2,5
0,5
|
|
12.Неравномерность
вращения, % МГД Механизма подачи
|
0,14
0,03
|
0,1
0,02
|
0,07
0,015
|
0,06
0,012
|
0,05
0,01
|
|
13.
Перепад скорости при ступенчатом регулировании, %
|
4,1
|
2,6
|
1,2
|
1,2
|
1,2
|
|
14.
Эксцентриситет центра инерции фундамента с МРС и центра массы подошвы
фундамента в сторону уклона, %
|
5
|
3
|
2
|
2
|
1
|
|
15.
Температура наружного кольца подшипника, С, не более
|
70
|
55
|
45
|
40
|
30
|
|
16.Класс
надёжности
|
0
|
1
|
2
|
3
|
4
|
|
17.
Вероятность безотказной работы
|
0,85
|
0,9
|
0,99
|
0,999
|
0,9999
|
|
18.
Радиальное биение, мкм
|
16
|
10
|
6
|
4
|
2
|
|
19.
Класс балансировки
|
4
|
3
|
2
|
1-2
|
1
|
Приложение 2
Допустимый остаточный удельный дисбаланс eper,
г∙мм/кг
Рабочая частота вращения n,
мин-1
Рис. 2.1. Допустимый остаточный удельный
дисбаланс для разных классов точности G и рабочих частот вращения n
(Белым цветом выделена область параметров,
наиболее часто используемых на практике)