Производство консервированных огурцов с зеленью в заливке производительностью 3000 единиц в сутки
Производство
консервированных огурцов с зеленью в заливке производительностью 3000 единиц в
сутки
.
Обоснование необходимости строительства завода или реконструкции действующего
предприятия
Сначала определяем роль и место проектируемого предприятия,
обеспечение производства продуктами питания, обосновывает мощность завода,
ассортимент выпускаемой продукции и выбор района, характеризует возможности
производственного кооперирования и влияние проектируемого предприятия на
развитие других отраслей.
Затем приводятся приближенные расчеты капитальных затрат и
сроков строительства, ожидаемый эффект капиталовложений и основных
технико-экономических показателей предприятия.
Необходимо учесть: географические координаты,
почвенно-климатические условия, сырьевую зону, кооперирование, местные
строительные материалы, электроснабжение, пароснабжение, горячее водоснабжение,
топливо, канализацию, транспортные связи, обеспечение рабочей силой.
Выбор строительной площадки, как правило, выпадает на земли,
непригодные для сельскохозяйственного использования, в необходимом отдалении от
жилых кварталов, промышленных предприятий, складов, огнеопасных и взрывчатых
вещества, аэродромов.
Предприятие «Шуя кооппродукт» находится в промышленной зоне
города. Осуществляется бесперебойная подача электричества, воды, пара, имеются
удобные транспортные пути, канализация, вентилируемые склады, квалифицируемый
персонал.
В сутки на предприятии в среднем производится 3000 банок
консервированных огурцов с зеленью в заливке, объемом 3 кг.
Годовая мощность отдельных цехов определяется
производительностью и количеством производственных линий. Для определения
годовой мощности сменную мощность по каждому виду продукции умножают на годовой
фонд рабочего времени и полученные результаты суммируют.
По производственной мощности завода делят на 3 группы:
1 группа - малой мощности - производительность до 10 тыс
т/год (муб);
2 группа - средней мощности - до 20 тыс т/ год (муб);
3 группа - большой мощности - 20-40 тыс т/ год (муб).
Предприятие «Шуя кооппродукт» имеет широкий ассортимент и
производит продукции около 20 тысяч тонн в год, и относится к предприятиям
средней мощности.
В настоящее время потребность в консервированных овощах с
каждым годом растет, это можно объяснить следующими факторами:
. рост благосостояния потребителей предоставляет возможность
не тратить время на создание домашних заготовок, а приобрести готовые консервы,
произведенные промышленным способом;
. ускоряющийся ритм повседневной жизни, особенно ощутимый в
крупных городах, не оставляет времени для приготовления домашних заготовок;
. рост занятости женщин - основных создателей домашних
овощных консервов приводит к ситуации, когда потребители вынуждены прибегать к
иной альтернативе, покупая плодоовощную консервацию в магазинах.
Консервированная овощная продукция подвержена влиянию фактора
сезонности.
Пик потребления консервированных овощей и фруктов приходится
на декабрь-февраль, а также на традиционные «зимние праздники», когда объем
продаж может увеличиваться в 10 раз по сравнению с предыдущим периодом.
Климатические особенности различных регионов страны также
накладывают свой отпечаток на характер национального потребления - там, где
выращивание овощей затруднено или невозможно (дефицитный регион) показатель
потребления консервированных овощей является максимальным, - например, в
Урало-Сибирском регионе.
Возрастной фактор оказывает влияние на характер потребления
консервированной продукции: молодежь, как более открытая к инновациям часть
населения, стремится попробовать новые вкусы, а также наиболее активно
потребляют ее в целях экономии времени.
На предприятии в срочной реконструкции нуждается закаточная
машина Б4-КЗК-75. Альтернатива этому оборудованию рассмотрена в специальной
разработке. Ассортимент производимой продукции обширный: повидло,
консервированные овощи, салаты, лечо, томатная паста, первые блюда.
Перспективным направлением на предприятии будет линия по
производству консервированных фруктов, а именно производство плодово-ягодных
компотов и пюре. Преимущество реконструкции в том, что в приобретении нового
оборудования нет необходимости. Для сохранения цвета и инактивации ферментов
при выработке компотов проводят бланширование с помощью бланширователя, который
установлен на предприятии. Для приготовления сахарного сиропа можно
использовать плиту Крапивина. Для укупоривания банок можно использовать
предложенную в специальной разработке закаточную машину Б4-КЗК-84. Для
стерилизации банок подойдет автоклав вертикальный. Для этикетировки -
этикетировочный автомат ЭР-2. Данная реконструкция позволит увеличить
ассортимент предприятия, и при минимальных затратах на новое сырье увеличить
прибыль. Произведенная реконструкция имеет ряд других преимуществ, а именно: 1)
отсутствие необходимости освоения нового района или площадки строительства; 2)
возможность использования существующих зданий, инженерных сооружений и
коммуникаций; 3) сокращение продолжительности сметной стоимости строительства
за счет меньшего объема работ; 4) наличие коллектива квалифицированных
работников; 5) сокращение сроков ввода в действие и освоения производственных
мощностей.
2. Аналитический обзор литературы
.1 Современные тенденции в консервно-овощной
отрасли
Инновации относятся к пищевой промышленности, в частности к
производству консервированных овощей и плодов. Способ предусматривает мойку,
инспектирование и калибровку по размеру свежих огурцов, закладку огурцов в
тару. Приготовление рассола и заливку огурцов рассолом при массовом соотношении
огурцов 55-65% и рассола 35-45%, хранение не менее 10-12 суток с получением
полуфабриката. Далее полуфабрикат промывают, инспектируют, фасуют в банки со
специями, заливают маринадом, укупоривают, стерилизуют и отправляют на
хранение. Рассол для заливки свежих огурцов готовят из 9,5-10% раствора
поваренной соли, 8,0-9,0% раствора уксусной кислоты и 0,1-0,2% раствора хлорида
кальция. Далее полуфабрикат промывают холодной водой в соотношении 1:2 и
выдерживают не менее 14 часов до остаточной концентрации соли 1,0-2,5% и
кислоты 1,0-2,0%. Это позволяет получить сохранность полуфабриката при
неконтролируемых условиях в течение 18 месяцев, при этом максимально
сохраняются вкусовые качества огурцов и кроме того значительно сокращается
расход воды на промывание. Предлагаемое изобретение предусматривает заготовку
полуфабриката в один этап с оптимальным сочетанием в готовом продукте уксусной
кислоты и соли. Выбранное соотношение ингредиентов заливки полностью
гарантирует сохранность полуфабриката, предотвращает процесс молочно-кислого
брожения, который, как известно, отрицательно сказывается как на внешнем виде
огурцов (осветление окраски и размягчение мякоти и кожуры), так и на вкусовых
качествах (огурцы приобретают ярко выраженный кислый вкус). Также необходимо
отметить, что наряду с технологичностью процесса производство экономично, не
требует значительных площадей для предварительного хранения, связанного с
этапностью производства. Комбинированное использование в гораздо меньших
количествах хлорида натрия и уксусной кислоты с добавлением хлорида кальция при
хранении огурцов минимально воздействует на первоначальную структуру свежих
овощей, позволяя при этом сохранить хрустящие свойства. Кроме того,
полуфабрикат с такими концентрациями соли и кислоты может быть использован как
при производстве маринованных, так и консервированных огурцов. Одним из главных
преимуществ комбинированного использования уксусной кислоты и соли является то,
что задаваемые параметры уксусной кислоты и соли в полуфабрикате позволяет
проводить промывание огурцов без использования проточной воды, при однократном
замачивании в холодной воде в соотношении огурцов к воде 1:2 по массе, что
позволяет достичь стабильного остаточного содержания кислоты и соли после
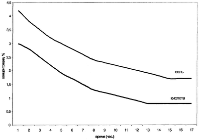
замачивания (рисунок 2.1).
Рисунок 2.1 - Соотношение концентраций соли и кислоты со временем
выдерживания полуфабриката
Изобретение относится к пищевой промышленности, в частности к
производству консервированных плодов и овощей. В настоящее время существуют
различные технологические способы приготовления огурцов длительного хранения в
период, когда основной поток свежих огурцов закончен, и предприятия
вырабатывают готовые консервы из заготовок полуфабриката, предназначенного для
использования в так называемый межсезонный период. Известен способ
приготовления огурцов длительного хранения, предусматривающий укладку огурцов и
специй в тару, предпочтительно бочки с полиэтиленовыми вкладками, приготовление
рассола из свежей огуречной закваски, полученной из свежих плодов огурца, с
внесением хлористого кальция до получения рассола с жесткостью 150-200° и рН
4,0-5,0, заливку огурцов рассолом, выдержку для молочно-кислого брожения,
укупорку и установку ее на хранение (Авторское свидетельство SU 1309943,
опубликовано 15.05.1987). Недостатками данного способа являются использование
для засолки определенного вида тары, а использование закваски требует наличия
дополнительного оборудования и времени на ее изготовление.
Известен способ приготовления маринованных огурцов,
предусматривающий инспекцию и мойку свежих огурцов, сортировку по размерам,
закладывание в тару и заливку 10% раствором соли до поверхности, после чего
накладывают гнет. После 3-5 дней выдержки с поверхности удаляют пленку и в
рассол добавляют 1% соли. При появлении пленки снова добавляют 1% соли и так в
течение 5 недель, в конце каждой недели добавляют по 1% соли. До достижения
крепости рассола 12-13%. Далее процент добавляемой соли снижают до 0,5% в
неделю и доводят крепость рассола до 15%. При этом не реже одного раза в неделю
контролируют содержание молочной кислоты и соли. Готовность полуфабриката
определяют визуально. Огурцы считаются просоленными, если окраска изменилась на
темно-коричнево-зеленую и в разломе огурцов отсутствуют белые пятна и
прозрачная мякоть. Далее полуфабрикат инспектируют, сортируют, проводят обессоливание
путем вымачивания в проточной воде или 4-5-кратной смене чистой свежей воды до
содержания соли в овощах 1-3%, для чего требуется от 8 до 24 часов. Оставшуюся
в овощах соль учитывают и соответственно уменьшают количество соли в рецептуре
маринадной заливки. (Справочник по производству консервов, т. 4, М.: Пищевая
промышленность, 1974, стр. 233, 234, 244). Недостатками этого способа является
длительный контролируемый технологический процесс при получении полуфабриката с
поэтапным внесением соли, в результате которого происходит молочно-кислое
брожение с образованием молочной кислоты порядка 0,6-0,7%. Огурцы приобретают
темно-коричнево-зеленую окраску. На восстановление полуфабриката требуется
большой объем воды и занимает он около суток. При этом получаемый полуфабрикат
может использоваться только для приготовления маринованных огурцов.
Наиболее близким аналогом является способ приготовления
маринованных огурцов, в котором свежие огурцы заливают 3,5-3,8% водным
раствором уксусной кислоты, выдерживают 8-10 часов, после чего раствор уксусной
кислоты сливают и доводят до концентрации 5,2-5,5% и снова заливают полученным
растровом огурцы. В этом растворе огурцы выдерживают 12-14 часов. Затем раствор
снова сливают и разбавляют водой до содержания уксусной кислоты 4,8-5,0%, после
чего огурцы заливают полученным раствором, стерилизуют и хранят не менее 30
суток. Затем полученный полуфабрикат промывают проточной холодной водой до
содержания в плодах уксусной кислоты 1,6-1,8%. Затем к готовому полуфабрикату добавляют
специи, готовят маринад, заливают им огурцы, стерилизуют и хранят не менее 15
суток. (Патент РФ 2239325, опубликован 10.11.2004). Недостатками способа
являются большие трудозатраты, связанные с поэтапным то увеличением, то
уменьшением концентрации уксусной кислоты. Что же касается процесса
обязательной термической обработки (стерилизации) полуфабриката, то в
результате повторной стерилизации при изготовлении маринованных огурцов
происходит значительная потеря качества готового продукта. Кроме того, для
восстановления полуфабриката, полученного известными способами, требуется
большое количество воды, т. к. процесс промывания осуществляется в проточной
воде.
Проведенный анализ уровня техники показал, что известные способы
получения полуфабриката огурцов предназначены для выработки огурцов с высоким
содержанием кислоты в готовом продукте.
Современные тенденции рынка ставят перед предприятиями следующие
задачи, а именно: разработка способа производства огурцов более длительного
хранения и расширение ассортимента готового продукта повышенного качества.
Технология производства огурцов длительного хранения в
соответствии с настоящим изобретением предусматривает следующие этапы: 1)
предварительно готовят полуфабрикат. Для этого свежие огурцы моют, инспектируют
и калибруют по размерам. 2) Затем фасуют в предварительно подготовленную тару,
заливают рассолом в массовом соотношении огурцы 55-65% и рассол 35-45% и
хранят. 3) Полученный полуфабрикат промывают холодной водой в емкости не менее
1000 л путем однократного залива огурцов холодной водой в соотношении 1:2 и
выдерживают не менее 14 часов. 4) Затем огурцы инспектируют, фасуют в банки со
специями, заливают маринадом в соответствии с конечными требованиями к готовому
продукту, укупоривают, стерилизуют и направляют на хранение и реализацию.
Таким образом, предлагаемые способы приготовления огурцов
длительного хранения позволяют получить полуфабрикат огурцов с высокими
органолептическими показателями, при этом значительно уменьшить расход воды,
ровно как и потери кислоты и соли из-за их меньшего процентного содержания в
полуфабрикате, исключить процесс молочно-кислого брожения и снизить
трудозатраты на производство. В настоящее время ведутся работы по изысканию
оптимальных режимов и новых, более совершенных способов стерилизации во
избежание переваривания продукта. Так, некоторые виды продукции, вырабатываемые
из высококислотного сырья, консервируют методом горячего разлива без
последующей стерилизации в автоклавах. Для этого продукт подогревают до
температуры 90-97ºС, тотчас
же расфасовывают в простерилизованные банки и немедленно герметизируют.
2.2 Обоснование выбора способа производства
Консервирование основано на прекращение биохимических процессов в
плодах и овощах, подавлении фитопатогенной микрофлоры и изоляции продукта от
внешней среды, т.е. от вторичного занесения микрофлоры, контакта с кислородом
воздуха, а также светом.
Основная задача консервирования свести уровень активности воды до
минимального уровня, что лишает вредные микроорганизмы среды обитания для
дальнейшего развития и порчи продукта.
К физическим методам относят:
) тепловую стерилизацию - основной промышленный метод
консервирования;
) создание высокой концентрации сахара, соли, высушивания,
осмотического давления;
) стерилизацию замораживанием при низкой отрицательной
температуре;
) стерилизацию облучением - ультрафиолетовым, высокочастотным и
другими лучами;
) стерилизацию при помощи обеспложивающих фильтров.
К микробиологическим методам, основанным на накоплении молочной
кислоты и спирта, относят: квашение и соление, мочение плодов и овощей,
виноделие.
К химическим методам, основанным на применении антисептиков
относят: сульфитацию, применение бензойной и сорбиновой.
Плоды и овощи, содержащие много влаги, и такие пищевые вещества,
как сахара, органические кислоты, азотистые вещества, витамины, пектиновые
вещества, являются хорошей питательной средой для микробов. Проникая в плоды и
овощи, микроорганизмы начинают быстро размножаться и потреблять пищевые
вещества. В процессе размножения и питания микробы разлагают ценные вещества
растительного сырья с образованием спирта, кислот, а также ряда дурнопахнущих и
ядовитых соединений, приводя к гибели плодов и овощей, делая их непригодными
для употребления в пищу.
Суммарную реакцию спиртового брожения можно написать так:
С6Н1206 + 602 6С02
+ 6Н20,
при этом выделяется 2820 кДж теплоты
Таким образом, ценный компонент - сахар превращается в спирт,
являющийся ядом для растительной клетки, и диоксид углерода, выделяющийся в
газообразном состоянии и рассеивающийся в окружающей среде. При этом пищевая
ценность растительного сырья снижается. Брожение, прокисание, гниение являются
микробиологическими процессами. Иногда плоды и овощи или изготовленные из них
продукты могут испортиться и в отсутствие микроорганизмов в силу различных
биохимических процессов, протекающих в самих продуктах или в сырье. Эти
биохимические процессы совершаются при наличии биологических катализаторов
белковой природы - ферментов. Примером такого процесса, вызванного действием
ферментов, является дыхание.
Проблема консервирования, сохранения плодов, овощей и
продуктов их переработки сводится к регулированию жизненных процессов, лежащих
в основе появления порчи. При этом имеются в виду как и биологические процессы,
протекающие в сырье, так и жизнедеятельность микробов. Изменяя условия среды,
воздействуя на него или на микроорганизмы теми или иными физическими и
химическими факторами, можно добиться уничтожения или подавления жизни
возбудителя порчи (микроорганизма) и сохранения жизни сырья. Можно прекратить
все жизненные процессы в сырье, не ухудшая его пищевых качеств и устранив
возбудителя порчи, сохранить сырье как пищевой продукт и т.д. Исходя из того,
что проблема консервирования есть проблема биологическая, принято
классифицировать все существующие способы консервирования по принципу
воздействия на жизнь возбудителя или объекта порчи, разделяя их на три основные
группы:
) Основанные на принципе биоза (греческий корень «био» -
жизнь), т.е. поддержания жизненных процессов в сырье и использования его
естественного иммунитета - невосприимчивости к действию микроорганизмов. На
принципе биоза основано кратковременное сохранение плодов и овощей в свежем
виде на сырьевых площадках консервных заводов перед поступлением в порядке
очередности прибывших партий сырья на переработку. Осуществляется система мер,
направленных на поддержание нормальных жизненных процессов в растительном сырье
и некоторое ограничение их интенсивности без какой-либо специальной обработки.
) Основанные на принципе анабиоза, т.е. на замедлении,
подавлении жизнедеятельности микроорганизмов и растительного сырья при помощи
различных физических, химических, физико-химических и биохимических факторов.
При этом микроорганизмы всегда приводятся в анабиотическое состояние. Жизненные
же процессы в сырье, как правило, прекращаются совсем. На этом принципе основан
ряд методов консервирования. Наибольшее промышленное значение имеет применение
искусственного холода. Жизнь клетки замирает, не прекращаясь совсем, и клетки
впадают в состояние анабиоза. Если сырье поместить в условия нормальной
температуры хранения, то все происшедшие изменения в нем становятся обратимыми.
Этот метод дает возможность сохранить сырье при минимальном изменении его
натуральных свойств в течение многих суток и даже недель, т.е. гораздо дольше,
чем принцип биоза.
) Основанные на принципе абиоза, отсутствия жизни, т.е. на
полном прекращении всех жизненных процессов как в сырье, так и в
микроорганизмах.
Хранение в замороженном виде. Этот метод заключается в том,
что сырье или пищевой продукт охлаждают до температуры значительно более
низкой, чем соответствующая температура замерзания, а затем в таком виде
хранят. Замороженные пищевые продукты и сырье можно сохранять в течение многих
месяцев, т.е. значительно дольше, чем при хранении в охлажденном состоянии. Это
объясняется не только чисто количественной разницей в температурных условиях
этих процессов, но и тем, что в замороженных пищевых продуктах большая часть
влаги превращена в твердое состояние. При выборе температуры замораживания
руководствуются соображением о необходимости превратить в твердое состояние
подавляющее количество имеющейся в растительном сырье влаги. Это количество
можно определить, пользуясь следующим, хотя и приблизительным, правилом; в
соответствии с которым после достижения температуры замерзания дальнейшее
понижение температуры вдвое приводит к вымерзанию половинного количества
имеющейся влаги.
Так, например, если точка замерзания данного продукта
составляет минус 2 °С, то при понижении температуры до минус 4 °С вымерзнет 50%
имеющейся влаги. При дальнейшем понижении температуры вдвое, до минус 8 °С,
согласно этому правилу вымерзнет половинное количество оставшихся 50% влаги,
т.е. еще 25%, а всего к этому моменту в лед превратится 75% влаги. Произведя аналогичные
вычисления, получим, что при минус 16 °С количество вымерзшей влаги составит
87,5%, при минус 32 °С -93,8% и т.д. Можно принять, что в этом примере
подавляющее количество влаги превращается в твердое состояние уже при минус 16
°С и что поэтому вряд ли имеется смысл в дальнейшем понижении температуры.
Замораживание является одним из наиболее эффективных методов
консервирования пищевых продуктов, в частности плодов и овощей. Несмотря на
длительное воздействие холода, основные пищевые компоненты сырья не
претерпевают заметных изменений.
В качестве осмотически деятельных веществ для консервирования
пищевых продуктов применяют сахар и соль. Чтобы надежно сохранить таким образом
пищевые продукты, следует вызвать стойкий плазмолиз микробных клеток, а для
этого необходимы довольно высокие концентрации этих веществ: 60-70% сахара или
10-12% соли (в соответствии с их молекулярными массами, которые относятся между
собой, как 6:1). Консервирующее действие сахара используется при изготовлении
таких продуктов, как варенье, джем, повидло. Считают, что полная гарантия
долгосрочного хранения этих продуктов достигается только при верхнем пределе
концентрации сахара. При меньшей же концентрации (что на практике чаще всего и
бывает) консервирующее действие сахара приходится дополнять обработкой
фасованных в герметическую тару продуктов тепловой стерилизацией.
Консервирование с применением сахара и соли
Консервирование сырья или пищевых продуктов поваренной солью
практически не применяется, за исключением редкого варианта сохранения томатной
пасты, фасованной в негерметическую тару (бочки), в которую при этом добавляют
10% соли.
Консервирование продуктов под действием высоких
температур
В практике консервирования пастеризацией принято называть
процесс, который проводится при температуре до 100.° С и при котором погибают
неспорообразующие микроорганизмы. Для уничтожения спорообразующих
микроорганизмов применяется стерилизация при температуре свыше 100 °С.
Температура свыше 100 °С достигается под давлением в герметичном сосуде.
Подбор температуры тепловой обработки с целью обеспечения
длительной сохранности консервов зависит от химической природы, физического
состояния, общей обсемененности продукта перед стерилизацией, размеров тары.
Микроорганизмы, способные вызвать порчу продукта, имеющего активную кислотность
ниже рН 4,4, могут быть уничтожены при температуре до 100 °С. Обработка
продукта с рН более 4,4 проводится при высоких температурах и в течение
длительного времени, за которое продукт достигает полной кулинарной готовности.
Поэтому почти все консервы, прошедшие стерилизацию или пастеризацию, готовы к
употреблению.
Сушка. Микроорганизмы питаются осмотическим путем,
всасывая растворенные в воде питательные вещества. Поэтому все микробы для
своего существования и развития требуют определенного содержания воды в
окружающей среде. Минимум влажности, при котором возможно развитие бактерий,
составляет 25 -30%, а плесневые грибы требуют не менее 10-15% влаги. При
высушивании влажность овощей и плодов доводят до 8-25%, т.е. до уровня, который
препятствует развитию микроорганизмов. Сушка как метод консервирования пищевых
продуктов имеет много достоинств. Технология и применяемая аппаратура
отличаются относительной простотой. Масса и объем сырья в процессе сушки
уменьшаются в несколько раз, чем достигается большая экономия тары, площадей
для хранения и транспортных средств Сушеные продукты не слишком прихотливы к
условиям хранения, не нуждаются в герметической упаковке, не требуют особых
хранилищ. Многие виды сушеных плодов и овощей плохо набухают при варке,
остаются морщинистыми и жесткими. В настоящее время известны наиболее
усовершенствованные методы сушки. Один из таких методов - сублимационная сушка,
при которой сырье замораживается в атмосфере глубокого вакуума, в результате чего
при умеренном подводе теплоты влага возгоняется, переходит из твердого
агрегатного состояния в парообразное, минуя жидкую фазу. Высушенные
сублимационным методом пищевые вещества сохраняют первоначальный объем, цвет,
запах, вкус и биологическую ценность. В то же время сублимационные установки
сложны и энергозатраты в них велики.
При изготовлении маринадов подготовленные плоды или овощи
заливают раствором уксусной кислоты, содержащим сахар и соль (бывают маринады и
на основе молочной кислоты). Основным консервирующим началом при этом является
уксусная кислота, содержание которой в различных маринадах колеблется от 0,6 до
1,2%. Эти небольшие концентрации уксусной кислоты не могут полностью
воспрепятствовать развитию плесеней, уксуснокислых бактерий и других
микроорганизмов, поэтому маринование само по себе не может сохранить продукт
надолго. Для увеличения срока хранения маринованные продукты фасуют в
герметически укупориваемую тару и пастеризуют (или хранят при пониженной
температуре). При этом изменяется сам принцип консервирования, который в таком
случае сводится уже не к анабиозу микробов, вызванному действием кислоты, а к
биозу - уничтожению микробов с помощью высокой температуры.
Квашением принято называть такой процесс обработки овощей и
плодов, при котором в результате действия молочнокислых бактерий, имеющихся в
сырье или внесенных извне в виде чистой культуры, сахар сбраживается в молочную
кислоту по схеме С6Н1206 -> - 2СН3 • СНОН х х СООН. Накапливаясь в процессе
брожения, молочная кислота предохраняет продукт от порчи. Таким образом, в
отличие от маринования консервирующее начало не вносится в пищевой продукт
извне, а создается в самом сырье в результате молочнокислого брожения. Таким
образом, в отличие от спиртования консервирующее начало не вносится извне, а
образуется в пищевом продукте на основе биохимического процесса - спиртового
брожения.
Все указанные методы консервирования в той или иной степени
применяются в переработке овощной продукции. Продукция овощеводства
представляет собой незаменимый источник важнейших физиологически активных
веществ: витаминов, полифенолов, а также минеральных веществ необходимых для
нормальной жизнедеятельности человека. Однако в условиях, обычных для периода
массового созревания и уборки, овощи могут сохраняться недолго. Длительно же их
можно сохранить только в специальных хранилищах, при определённой для каждого
вида продукции пониженной температуре или переработанными различными способами.
На предприятии ООО «Шуя Кооппродукт» используется физический
метод консервирования, а именно тепловая стерилизация. Одно из важнейших
преимуществ этой технологии - сравнительная несложность и доступность не только
для крупных предприятий, но и для предприятий средней и даже небольшой
мощности. Произведенный по данной технологии продукт пользуется большим успехом
у потребителей. Данный перерабатывающий завод оснащен необходимым
технологическим оборудованием, имеет комплексные технологические линии.
Выпускаемая или готовая консервная продукция по своему составу и качеству
отвечает стандартам.
3.1 Ассортимент и характеристика выпускаемой
продукции
Краткая характеристика выпускаемой продукции
Огурец обыкновенный - однолетнее травянистое растение
семейства тыквенные, вид рода огурец. В его плодах 95-97% воды и
ничтожно малое количество белков, жиров и углеводов. Оставшиеся 3% включают
каротин, витамины PP, C и B, а также макро- и микроэлементы. В том числе огурец
содержит много калия. Огурцы богаты сложными органическими веществами, которые
играют важную роль в обмене веществ. Эти вещества способствуют усвоению других
продуктов питания и улучшают пищеварение. Огурцы - источник таких соединений
йода, которые легко и безболезненно усваиваются организмом человека.
Исследованиями установлено, что люди, систематически
употребляющие свежие огурцы, меньше подвержены заболеваниям щитовидной железы и
сосудистой системы. В огурцах, как и в других овощах, много клетчатки.
Клетчатка не усваивается организмом человека, но она регулирует работу
кишечника и выводит из организма излишки холестерина. Также огурец активно
используют в медицине и косметике. Существует множество сортов и гибридов
огурцов, отличающихся по форме, размерам, окраске и другим биологическим
особенностям.
Выделяются раннеспелые сорта, среди них лучшими считаются
муромские огурцы, пригодные для гряд и парников, очень плодовитые; поспевают
раньше других, зато довольно скоро прекращают своё плодоносие (от всходов до
первого сбора плодов проходит 32-44 дня). Среднеспелые сорта зреют 45-50 дней.
Наиболее известный из них «Нежинский». Позднеспелые сорта созревают более 50
дней, например, «Победитель». Широкое распространение получили гибриды огурцов
- они имеют высокую урожайность. Среди гибридов выделяют партенокарпические -
гибриды (которые способны образовывать плоды без опыления) и пчелоопыляемые.
Овощные консервы подразделяются на
следующие основные группы:
· Натуральные консервы
· Маринованные и квашенные
· Обеденные
· Концентрированные томатопродукты
· Закусочные
· Для диетического питания
· Консервированное детское питание
· Соки
Консервы натуральные - это целые или резаные
овощи, залитые слабым раствором соли (1,5 - 3%) и сахара или пюре без
предварительной кулинарной обработки и стерилизованные в герметичной таре.
Готовый продукт в максимальной степени сохраняет исходные свойства сырья, в том
числе и биологически активные вещества. В натуральном виде консервируют зеленый
горошек, сахарную кукурузу, стручковую фасоль, свеклу, морковь, цветную и
брюссельскую капусту, кольраби, шпинат, щавель, перец, тыкву, кабачки,
патиссоны, грибы, томаты и огурцы. Используют для приготовления первых и вторых
блюд, салатов, холодных закусок.
Консервы маринованные и квашеные - овощи в маринаде с
содержанием уксуса или уксусной кислоты. Основным сырьем для маринадов служат огурцы,
патиссоны, томаты, цветная капуста, перец, капуста белокочанная, лук, чеснок,
свекла, фасоль стручковая. Наибольшим спросом пользуются огурцы
консервированные и грибы маринованные.
Концентрированные томатопродукты готовят из протертой,
освобожденной от кожицы и семян уваренной томатной массы. В зависимости от
концентрации сухих веществ выпускают томатное пюре (15 и 20% сухих веществ),
несоленую томатную пасту (30, 35 и 40%) и соленую (27, 32 и 37.
Консервы закусочные вырабатывают из овощей,
подвергнутых кулинарной обработке: обжариванию, фаршировке и т.п. Они полностью
готовы в пищу и отличаются высоким содержанием жира.
Консервы обеденные как и натуральные, являются
полуфабрикатами для быстрого приготовления (3-5 мин) первых и вторых блюд.
Основным сырьем для них служат капуста свежая и квашеная, картофель, лук,
солёные огурцы, пюре из шпината и щавеля, грибы, жир (животный и растительный),
вспомогательным - томат-паста, мука, сметана, молоко, сахар, соль, пряности и
др.
Консервы для диетического питания вырабатывают по
специальным рецептурам и предназначаются для больных. В России выпускают
следующий ассортимент консервов: овощные пюре из зеленого горошка, моркови,
тыквы; овощные пюре с добавлением других компонентов (пюре из тыквы с рисом,
суп-пюре томатный); овоще-мясные (пюре из печени с картофелем).
Круглогодовое обеспечение населения страны качественной
плодоовощной продукцией - важная народнохозяйственная задача. Потребление
плодов и овощей растёт с каждым годом, расширяется их сортимент, улучшается
качество. Однако равномерное поступление плодоовощной продукции по сезонам года
возможно лишь в условиях хорошо налаженной системы её длительного хранения в
свежем виде, а также при консервировании.
Правильное построение и организация консервирования возможны
только с учётом технологических особенностей сырья, которые в свою очередь во
многом зависят от сорта и сортовой агротехники выращивания.
Ассортимент выпускаемой продукции
|
|
Томатная
паста Содержание сухих
веществ 25%. Изготовлена по ГОСТ 3343-89. Состав: томатная паста, вода
питьевая. Пищевая ценность 100 г. продукта: углеводы - 15,8 г. Энергетическая
ценность: 79 Ккал. Условия хранения: при t от 0 до 25 0С
относительной влажности не более 75%, в помещениях, защищенных от попадания
прямых солнечных лучей. Срок годности 2 года. Масса нетто: 250г, 500г, 540г,
1000 г.
|
|
|
Соусы
томатные в ассортименте: шашлычный, краснодарский, острый. Изготовлены по ГОСТ Р 50903-96. В
состав входят: продукты томатные концентрированные, сахар, соль, уксус,
чеснок, специи, зелень, вода. Пищевая ценность 100 г. продукта: углеводы -
15-25 г. Энергетическая ценность: 73-98 Ккал. Условия хранения: при t от 0 до
+25 0С относительной влажности не более 75%, в помещениях,
защищенных от попадания прямых солнечных лучей. Срок годности 2 года. Масса
нетто: 300г, 500г.
|
|
|
Повидло
яблочное. Стерилизованное и нестерилизованное. Сорт 1. Изготовлено по ГОСТ Р 51934-2002 из
свежих яблок и сахара. Пищевая ценность 100 г.: углеводы - 61 г.
Энергетическая ценность: 224 Ккал. Условия хранения: при t от 0° до +25° С,
при относительной влажности не более 75-80%. Срок годности в стеклянной таре
2 года. Масса нетто: 600 г. По желанию заказчика возможна различная
расфасовка в стеклянную банку до 3000 г., а также в ПЭТ-ведра.
|
|
|
Повидло
«Арома» в ассортименте: с ароматом вишни, с ароматом земляники, с ароматом
персика, с ароматом груши, с ароматом абрикоса. Стерилизованное. Изготовлено по ТУ 9163-262-01597945-04.
В состав входят яблочное пюре, сахар, ароматизаторы, идентичные натуральным,
пищевые красители. Пищевая ценность 100 г.: углеводы - 52 г. Энергетическая
ценность: 208 Ккал. Условия хранения: при t от 0° до +25° С, при
относительной влажности не более 75-80%. Срок годности в стеклянной таре 2
года. Масса нетто: 600 г. По желанию заказчика возможна различная расфасовка.
|
|
|
Огурцы
маринованные. Сорт 1.
Изготовлены по ГОСТ Р 52477-2005. Состав: огурцы свежие (не менее 55% от
массы нетто), маринад: вода, соль, сахар, уксусная кислота 70%, пряности.
Пищевая ценность 100 г.: углеводы - 3 г. Витамины: В1 - 0,02 мг, РР - 0,11
мг, С - 5,5 мг. Энергетическая ценность: 12 Ккал. Условия хранения: при t от
0° до +25° С, при относительной влажности не более 75%. Срок годности: 2
года. Масса нетто: 650г, 950г, 1800 г., 3000г.
|
|
|
Томаты
маринованные красные, бурые. Сорт 1. Изготовлены по ГОСТ Р 52477-2005. Состав: томаты свежие красные
и бурые (не менее 55% от массы нетто), маринад: вода, соль, сахар, уксусная кислота
70%, пряности. Пищевая ценность 100 г.: углеводы - 3,5 г. Витамины: В-каротин
- 0,66 мг, В1 -0,03 мг, РР - 0,3 мг, С - 14 мг. Энергетическая ценность: 14
Ккал. Условия хранения: при t от 0° до +25° С, при относительной влажности не
более 75%. Срок годности: 2 года. Масса нетто: 650г, 950г, 1800 г., 3000г.
|
|
|
Ассорти
(овощи маринованные). Сорт 1. Изготовлены по ГОСТ Р 52477-2005. Состав: огурцы свежие, томаты
свежие (не менее 50% от массы нетто), маринад: вода, соль, сахар, уксусная
кислота 70%, чеснок, пряности. Пищевая ценность 100 г.: углеводы - 3 г.
Витамины: РР - 0,2 мг, С - 5 мг. Энергетическая ценность: 12 Ккал. Условия
хранения: при t от 0° до +25° С, при относительной влажности не более 75%.
Масса нетто: 950г, 1800 г., 3000г. Срок годности: 2 года.
|
|
|
Томаты
консервированные с зеленью. Сорт 1. Изготовлены по ГОСТ 7231-90. Состав: томаты свежие (не менее
50% от массы нетто), вода, соль, уксусная кислота, чеснок, зелень, пряности.
Пищевая ценность 100 г.: углеводы - 1,3 г. Витамины: К - 160 мг, Са - 17 мг,
Мg - 12 мг РР - 16 мг, Fe - 0,5 мг. Энергетическая ценность: 6 Ккал. Условия
хранения: при t от 0° до +25° С, при относительной влажности не более 75%.
Масса нетто: 3000 г. Срок годности: 2 года.
|
|
|
Огурцы
консервированные. Сорт 1.
Изготовлены по ГОСТ 20144-74. Состав: огурцы свежие (не менее 50% от массы
нетто), вода, соль, уксусная кислота, чеснок, зелень, пряности. Пищевая
ценность 100 г.: углеводы - 3 г. Витамины: РР - 0,2 мг, С - 5 мг.
Энергетическая ценность: 12 Ккал. Условия хранения: при t от 0° до +25° С,
при относительной влажности не более 75%. Масса нетто: 3000 г. Срок годности:
2 года.
|
|
|
Солянка овощная
из свежей капусты.
Изготовлена по ГОСТ 18224-72. В состав входят: капуста свежая, томаты
соленые, масло растительное, томатная паста, лимонная кислота, пряности.
Условия хранения: при t от 0° до +25° С, при относительной влажности не более
75%. Пищевая ценность 100 г. продукта: жиры - 10,5 г, белки - 3,3 г, углеводы
- 6,6 г. Витамины: В-каротин - 0,2 мг, В1 - 0,03 мг, В2 - 0,12 мг, РР - 1,4
мг, С - 13,3 мг. Энергетическая ценность: 134 Ккал. Срок годности: 2 года.
Масса нетто: 500 г.
|
|
|
Морковь и
свекла гарнирные.
Изготовлены по ТУ - 10.03.768-89. В состав входят морковь свежая или свекла
свежая соответственно (не менее 55% от массы нетто), заливка: соль, сахар,
лимонная кислота. Пищевая ценность 100 г.: углеводы - 6,2 г. Витамины:
В-каротин - 5,4 мг, В1 -0,03 мг, Р - 0,6 мг, С - 4,0 мг. Энергетическая
ценность: 29 Ккал. Условия хранения: при t от 0° до +25° С, при относительной
влажности не более 75%. Срок годности: 2 года.
|
|
|
Первые обеденные
блюда в ассортименте: борщ со свежей капустой, щи из свежей капусты,
рассольник, свекольник
Изготовлены по ГОСТ 18224-72 из свежих овощей с добавлением растительного
масла, томатной пасты, лимонной кислоты и пряностей. Условия хранения: при t
от 0° до +25° С, при относительной влажности не более 75%. Пищевая ценность
100 г. продукта: жиры - 10,5 г, белки - 3,3 г, углеводы - 6,6 г. Витамины:
В-каротин - 0,2 мг, В1 - 0,03 мг, В2 - 0,12 мг, РР - 1,4 мг, С - 13,3 мг.
Энергетическая ценность: 134 Ккал. Срок годности: 2 года. Масса нетто: 500 г.
|
3.2 Выбор сырьевой базы и энергоносителей
Широко распространенным ассортиментом являются консервы
«Огурцы маринованные с зеленью в заливке» и близкие к ним по показателям
готового продукта и по технологии изготовления «Огурцы консервированные».
Качество огурцов консервированных и маринованных более, чем
каких-либо других консервированных продуктов, зависит от качества поступаемого
на переработку сырья и в первую очередь от технологических показателей того или
иного сорта.
Для производства консервов рекомендуются скороспелые сорта:
Гривский, Конкурент, Парад, Кустовой; сорта среднераннего срока созревания:
гибрид Великолепный, гибрид Успех; сорта среднего срока созревания:
Бирючекутский, Должик, Зеленоплодный, Рустем, Росинка; сорта среднепозднего
срока созревания: Витязь, Дружба, Нежинский местный, Нежинский и Донской -
сорта позднего срока созревания.
Непригодны для консервирования салатные сорта и огурцы,
выращиваемые в защищенном и полузащищенном грунте. В готовом продукте
консистенция у таких огурцов мягкая, с пустотами, кожица грубая. На предприятии
«Шуя Кооппродукт» осуществляются поставки огурцов позднего срока созревания, а
именно Нежинский и Донской, выращенные в Белоруссии.
Пряности, а именно: листья хрена, укроп, плоды перца
стручкового, укроп свежий, перец черный предприятие закупает у населения.
Вода питьевая, для производства заливки поступает из
скважины, которая находиться на территории предприятия.
Лимонную кислоту предприятие закупает у Белгородского завода
Цитробел.
Все сырье, поступающие на предприятие, должно соответствовать
требованиям ГОСТ, ОСТ, ТУ и других руководящих документов и подвергаться
контролю по показателям качества и соответствии с Положением о производственных
лабораториях и объемом работы лаборатории по анализу сырья.
Соль поваренная пищевая. Показатели качества
данного сорта соли приведены в таблице 3.1.
Таблица 3.1 - Показатели качества поваренной соли
|
Наименование
показателя
|
Норма для
первого сорта
|
|
Цвет
|
Белые или
бесцветные кристаллы
|
|
Вкус
|
Соленый
|
|
Запах
|
Без запаха
|
|
Массовая доля
хлористого натрия,% в пересчете на с.в., не более
|
97,7
|
|
Массовая доля
нерастворимых в воде веществ,% в пересчете на с.в., не более
|
0,85
|
3,5
|
Поваренную соль доставляют на хлебозавод в мешках. На
предприятии её хранят так же в мешках.
Вода питьевая. Вода, применяемая для приготовления
теста, должна отвечать требованиям, предъявленным к питьевой воде, подаваемой
централизованными системами водоснабжения, подающими воду одновременно для
хозяйственно-питьевых и технических целей, и устанавливает гигиенические
требования и контроль за качеством питьевой воды.
Питьевая вода должна быть безопасна в эпидемическом
отношении, безвредна по химическому составу и иметь благоприятные органолептические
свойства. Качество воды определяют её составом и составом при поступлении в
водопроводную сеть, в точках водоразбора наружной и внутренней водопроводной
сети.
На каждый вид безопасности и чистоты утверждены нормативы
предельно допустимых концентраций (ПДК). Безопасность воды в эпидемиологическом
отношении определяется соответствующими нормативами по микробиологическим и
паразитологическим показателям.
В воде регламентируются следующие ПДК, представленные в
таблице 3.2.
Таблица 3.2 - Показатели ПДК воды питьевой
|
Наименование
показателя
|
Норма
показателя
|
|
Общая
минерализация
|
Не более 1000
мг/л
|
|
Фенольный
индекс
|
Не более 0,25
мг/л
|
|
Железо
|
Не более 0,3 мг/л
|
|
Хлориды
|
Не более 350 мг/л
|
|
Цветность
|
Не более 20
градусов
|
|
Общая жесткость
|
Не более 7 мг -
экв/л
|
Систематический контроль за качество воды осуществляют органы
санитарного надзора министерства здравоохранения. При возникновении сомнений в
качестве воды в каждом отдельном случае предприятие ставит об этом в
известность органы саннадзора.
Лимонная кислота.
Таблица 3.3 - Показатели качества лимонной кислоты
|
Наименование
показателя
|
Норма
|
|
Внешний вид и
цвет
|
Бесцветный
кристаллы или белый порошок без комков
|
|
Вкус
|
Кислый, без
постороннего вкуса. Раствор кислоты концентрации 20 г./дм³
в дистиллированной воде не
должен иметь запаха
|
|
Структура
|
Сыпучая и
сухая, на ощупь не липкая без посторонних примесей
|
|
Массовая доля
лимонной кислоты в пересчете на моногидрат,% Не менее Не более
|
99,5 101,0
|
Производственно-энергетические ресурсы
На территории комбината расположены три артезианские
скважины, которые полностью обеспечивают водоснабжение производства. Воды на
водозаборе ООО «Шуя кооппродукт» - пресные, гидрокарбонатные, мягкие, с очень
низким уровнем жесткости, слабощелочные. Вода из скважины №1 является основой
для промышленного розлива воды под название «Шуйская молодильная», а также
используется в производстве безалкогольных напитков и плодоовощных консервов.
.3 Обоснование состава композиции. Правила
взаимозаменяемости сырья
Для изготовления огурцов с зеленью в заливке применяют
следующие виды сырья:
· Огурцы свежие по ГОСТ 1726-85
· Плоды перца стручкового по ГОСТ 14260-89
· Листья хрена по РСТ УССР 1920-82
· Укроп свежий ОСТ 10235-99
· Кислоту лимонную моногидрат пищевую по
ГОСТ 908-79
· Соль поваренную пищевую по ГОСТ 51574-2000
· Перец черный по ГОСТ 29050-91
· Вода питьевая, отвечающая всем нормам и
правилам СанПин 2.1.4.1074-2001., ГОСТ Р 51232-98
· Лук репчатый свежий ГОСТ Р 51783-2001
· Свежая петрушка по ГОСТ 17308-88
Сырьё, материалы, используемые в производстве консервов по
показателям безопасности должны соответствовать требованиям установленным
нормативными и правовыми актами РФ.
Допускается: Использование другого отечественного и
импортного сырья и материалов с характеристиками не ниже указанных,
разрешенного в установленном порядке.
Огурцы приготовленные для консервирования должны отвечать
следующим условиям: длина не более 110 мм, диаметр не более 50 мм, с
недоразвитыми семенами, хорошим вкусом, плотной консистенцией, неогрубевшей кожицей.
Перец стручковый горький - плоды целые, в технической или потребительской
степени зрелости, одного размера.
Листья хрена - нарезанные на кусочки не более 20 мм.
Зелень и пряности-листья или веточки свежие, здоровые,
незагрязненные, растения без корешков, зеленые.
В ходе производства консервированных огурцов с зеленью в
заливке допускается заменять лимонную кислоту на уксусную при отсутствии
лимонной кислоты на складе.
Также при отсутствии петрушки ее можно заменить другой
зеленью, к примеру укропом или тмином.
Обоснование состава консервированных огурцов с
зеленью в заливке.
Из всех видов овощей огурцы имеют самую низкую питательную
ценность. Пищевая ценность представлена в таблице 3.4. Они содержат много воды
(95%), мало сахаров (2,5%) и незначительное количество белков (0,8%), витамина
С (10 мг%).
Таблица 3.4 - Пищевая и энергетическая
ценность 100 г. консервов «Огурцы консервированные»
|
Наименование
консервов
|
Вода,%
|
Белки,%
|
Углеводы,%
|
Минеральные
вещества, мг%
|
Витамины, мг%
|
Энергетическая
ценность, ккал
|
|
|
|
|
Na
|
K
|
|
Ca
|
Mg
|
РР
|
С
|
В2
|
|
|
|
|
|
|
|
|
|
|
|
|
|
|
12
|
|
Огурцы
консервированные
|
93,8
|
2,8
|
0,6
|
1161
|
210
|
|
25
|
10
|
0,2
|
0,2
|
5
|
0,02
|
|
Лимонная кислота является широко применяемой вкусовой
добавкой, она обладает более мягким и приятным вкусом, чем другие пищевые кислоты,
благодаря чему находит самое широкое применение в пищевой промышленности. Она
так же обладает способностью увеличивать срок годности пищевых продуктов.
Основными потребителями лимонной кислоты являются производители кондитерских
изделий, а также производители алкогольных и безалкогольных напитков, шипучих
напитков. Лимонная кислота является самым популярным подкислителем на данное
время, которая не только придает продукту кисловатый вкус, но и является
антиокислителем и синергистом антиокислителей. Специалисты предполагают, что
лимонная кислота содержится почти в половине многих пищевых продуктов. Поэтому
по масштабу производства лимонная кислота считается наиболее важным элементом
микробного синтеза. Лимонная кислота не только придает продукту приятный кислый
вкус, но и играет важную роль в обмене веществ. В качестве пряностей применяют
главным образом ароматическую зелень (укроп, петрушку), которая придаст
специфический вкус соленым продуктам. В состав пряностей входят также лук и
листья хрена, обладающие, кроме вкусовых достоинств, и консервирующими
бактерицидными свойствами. Для остроты вкуса добавляют красный горький перец,
лавровый лист, а также нарезанный колечками репчатый лук. Листья хрена
способствуют созданию хрустящей, плотной консистенции у соленых продуктов, а
отчасти придают им характерный привкус. В плодах перца черного содержатся
пиперидин, эфирное масло, крахмал, белок, витамины. Перец черный обладает
бактерицидным и потогонным свойствами. Он способствует выведению из организма
вредных веществ.
.4 Теоретические основы технологических процессов
Технологические особенности производства консервов из
различных видов плодов и овощей весьма разнообразны. Различия в производстве
касаются в первую очередь характера и последовательности обработки сырья.
Вместе с тем ряд операций носит общий характер, в частности подготовка сырья и
сушка, замораживание и другие способы обработки мало различаются.
Теоретические основы консервирования
Слово «консервирование» произошло от латинского слова
conserve, которое означает «сохранение». Эффективность консервантов зависит от
химической природы, концентрации от pH среды. Применение консервантов недопустимо при
нарушении производственной гигиены, получения продуктов в антисанитарных
условиях.
Таблица 3.5 - Консерванты применяемые для овощной продукции
|
Группа
продуктов
|
Нитраты,
нитриты
|
Диоксид серы
|
Сахароза
|
Гексаметилентетрамин
|
Уксусная
кислота
|
Бензойная
кислота
|
|
Овощная
продукция
|
__
|
+
|
(+)
|
__
|
++
|
++
|
Примечание: Консервант применяется часто ++; + применяется
реже; (+) применяется в исключительных случаях; - консервант не применяется.
Консерванты часто применяются в сочетании с физическими
способами консервирования (нагревание, сушка, низкие температуры, облучение и
т.д.).
Основные
вещества, применяемые для консервирования
Вода. Сырье для консервирования содержит 70-95% воды,
в которой растворены многочисленные сложные вещества. Вода же является
реакционной средой в живых клетках, в которой происходят сложные химические
процессы. Здесь с одной стороны идут реакции синтеза, при которых возникают
только сложные вещества, а с другой - разложения, от них растения получают
часть необходимой энергии. В собранных овощах большое значение приобретают
процессы разложения, их следствием бывают нежелательные изменения растительного
вещества.
Определенная степень влажности является необходимым условием
для развития микробов, она же бывает главной причиной порчи продуктов.
Существенное снижение содержания воды в продуктах или ее связывание будет
означать замедление химических процессов, ухудшающих качество продуктов, а
также снижение активности микроорганизмов. Некоторые способы консервирования,
например, сушка, выпаривание, частичная консервация сахаром и замораживанием
основаны как раз на снижении содержания воды в продуктах, возможности ее
связывания.
Лимонная кислота (Е 330) имеет искусственное
происхождение и очень низкий уровень опасности (не оказывает значительного
негативного влияния на здоровье). В пищевой промышленности используется как
регулятор кислотности, консервант.
При обозначении добавки Е330 на упаковках
продуктов также могут использоваться следующие названия: лимонная кислота,
кислота лимонная, Е330, Е-330, Е 330, лимонная кислота, кислота лимонная,
citric acid, E-330, E 330, кислота лимона
Действие лимонной кислоты и её солей
основано на их способности связывать металлы с образованием хелатных
соединений. Лимонная кислота обладает приятным, мягким вкусом. Это слабая
трехслойная кислота, представляющая собой вещество кристаллической структуры,
обладающее белым цветом и хорошо растворимое в воде и этиловом спирте и
малорастворимое в диэтиловом эфире. Молекулярная формула - C6H8O7
(Рисунок 3.1). Эфиры и соли лимонной кислоты носят название цитратов.
Лимонная кислота является участником
метаболических процессов, которые дают организму две трети необходимой энергии.
Такая серия реакций носит название - цикл трикарбоновых кислот или цикл Кребса.
Сама кислота, как и её соли (цитрат натрия, цитрат калия, цитрат кальция),
широко используется как вкусовая добавка, регулятор кислотности и консервант в
пищевой промышленности.
Рисунок 3.1 - Молекулярная формула
лимонной кислоты
Пова́ренная соль (хлорид натрия, NaCl; употребляются также
названия «хлористый натрий», «столовая соль», «каменная соль», «пищевая соль»
или просто «соль») - пищевой продукт. В молотом виде представляет собой мелкие
кристаллы белого цвета. Поваренная соль природного происхождения практически
всегда имеет примеси других минеральных солей, которые могут придавать ей оттенки
разных цветов (как правило, серого). Производится в разных видах: очищенная и
неочищенная (каменная соль), крупного и мелкого помола, чистая и йодированная,
морская. Поваренная соль обладает слабыми антисептическими свойствами; 10-15%
содержание соли предотвращает развитие гнилостных бактерий,[1] что
служит причиной её широкого применения в качестве консерванта пищи.
Вещества, содержащиеся в сырье.
Сахариды. Главным энергетическим звеном фруктов и овощей
являются сахариды, которые содержатся в их веществе в количестве от 0,5 до 25%.
Сахариды являются продуктом фотосинтеза, химического процесса, при котором они
возникают из углекислого газа и воды в присутствии хлорофилла и энергетическом
содействии солнечного света. В пестрой гамме простых сахаридов, содержащихся в
сырье для консервирования, лучше всего бывают представлены моносахариды
(простые сахара): глюкоза (виноградный сахар), фруктоза (фруктовый сахар) и
дисахарид сахароза, получаемый из молекулы глюкозы и фруктозы. При обработке
сырья и складирования продукции он участвует вместе с аминокислотами в так
называемом неферментативном потемнении из-за возникновения окрашенных в
коричневый цвет продуктов и, соответственно, снижения качества продуктов.
Интенсивность этого процесса повышается при нагревании, изменении температуры в
области от 65 до 95 °С, с более низким уровнем кислотности и относительно сухой
средой. При высших концентрациях, достигаемых сгущением вещества или добавкой
сахара, повышенное осмотическое давление сахарной среды делает продукты негодными
для микробов, тем самым сахар оказывает консервирующее действие. Кроме того, он
ограничивает проникновение кислорода к продуктам и тем самым замедляет
окисление их составных частей, таких, как витамины, красители и ароматические
вещества. Что касается сахаридов, так называемых полисахаридов, то они
содержатся в консервированных продуктах преимущественно в виде крахмала и
волокон целлюлозы. Крахмал состоит из молекул глюкозы и в отличие от сахара в
воде не растворяется. Очень часто встречается в овощах, между тем как во
фруктах появляется, главным образом, в незрелой стадии, а при созревании
переходит в сахар. Целлюлоза содержится в консервированных продуктах наряду с
другими растительными веществами и является основным волокнистым богатством
растений. Целлюлоза играет выдающуюся роль в пищеварении, оказывает
значительное содействие продвижению пищи по кишечному тракту.
Белки. Белки и их составные части - аминокислоты
содержатся в консервированных продуктах в небольших количествах, около 1 -
3,5%. Однако некоторые растения имеют высокое содержание этих веществ,
например, зеленый горошек (6,3%), брюссельская капуста (5,5%) и чеснок (5,6%).
Биологическое значение белка очень велико. Химически белки представляют собой
сложные азотистые соединения, необходимые для строительства тканей и жизненных
функций живых организмов. Дневная потребность в белках для взрослого человека
составляет 80-100 г. Биохимическое и технологическое значение белков в том, что
они соединяются с ферментами, ускоряющими химические реакции как в живых
растительных клетках, так и в убранном сырье. В консервированных полуфабрикатах
и продуктах аминокислоты участвуют вместе с сахаром, как указано выше, в не
ферментативном потемнении.
Жиры. Жиры представляют собой нерастворимые в воде
эфиры глицерина и жирных кислот. Мякоть фруктов и овощей содержит их от 0,5 до
1,5%, больше жиров содержится в семенах, где накапливаются резервные вещества.
Важным качеством жиров является их склонность к окислению, при котором
происходит снижение качества продукта. Ввиду низкого содержания жиров в
консервируемых продуктах, угроза этого процесса полностью исключается. Так,
например, может окислиться масло в семенах помидоров при длительном воздействии
нагрева, что приведет к ухудшению их вкусовых качеств.
Растительные пигменты. Пигменты, содержащиеся
в растениях, представляют собой очень разнородные химические вещества. Кроме
своей явной функции, т.е. придания фруктам и овощам разнообразной и
привлекательной окраски, некоторые из них играют и важную биохимическую роль.
Так, зеленый растительный пигмент - хлорофилл обуславливает своим присутствием
уже ранее упомянутый фотосинтез. Во время тепловой обработки овощного сырья
хлорофилл подвергается очень быстрым химическим изменениям и продукт
приобретает оливковую окраску. Реакция ускоряется при повышении температуры и
кислотности среды и происходит, например, при стерилизации и хранении огурцов,
зеленого горошка, фасоли и т.п.
Ароматические вещества. Характерный вкус и
запах придает фруктам и овощам широкая палитра химически разнородных веществ,
присутствующих в них в очень малых концентрациях. Среди ароматических веществ
овощей встречаются острые вещества в таких продуктах, как лук, чеснок, хрен,
редька, горчица и т.п. Некоторые из этих соединений, в основном содержащих
серу, принадлежат к так называемым фитоцидам, которые являются в сущности
растительными антибиотиками, вредными для некоторых микробов.
Витамины. Витамины являются веществами различного
химического строения, которые в незаметных концентрациях производят в живых
организмах значительное действие. Являются для человека совершенно
незаменимыми, и так как человеческий организм не может сам их синтезировать, он
должен их принимать в продуктах - или в готовой форме или как провитамины. То
обстоятельство, что большая часть веществ чувствительна к окислению, к
воздействию высокой температуры и к выщелачиванию, обязывает нас вовремя и
очень бережно обрабатывать продукты для консервирования. Витамины
подразделяются на растворимые в масляных растворах, к ним относятся витамины A,
D, Е и К, и на растворимые в воде - витамины группы В и витамин С.
Ферменты. Ферменты - это такие вещества, которые
катализируют биохимические реакции как в живых организмах, так и в собранном
урожае. Ферменты складываются из белковых частей и функциональных групп. Для
оптимального функционирования одних ферментов требуется достаточное содержание
воды, для других ферментов обязательная реакционная среда - кислая,
нейтральная, щелочная - и соответствующий нагрев. Большинство ферментативных реакций
идут при температуре около 45 °С. Все ферменты имеют высшую температуру -
обычно выше 60 °С - при которой денатурируют белки. При температурах ниже точки
замерзания ингибируют.
Ферменты которые находятся в сырье для консервирования:
ферменты класса оксиредуктаз (L-аскорбиназа, пероксидаза, фенолоксидаза и
другие), которые во фруктах и овощах катализируют (ускоряют)
окислительно-восстановительные реакции. В сырье, собранном для консервирования,
дыхательные процессы не прекращаются, а находятся в равновесии, что не дает
происходить явным изменениям вещества. Но любое механическое мероприятие,
например, резание, чистка, измельчение, помол материала приводят к
дезорганизации ферментативной системы, разрушению витамина С и других веществ и
вследствие окисления некоторых органических материалов приводят к окрашиванию в
коричневый цвет.
Технологические основы процесса производства
консервированных огурцов с зеленью в заливке
) Мойка и сортировка сырья.
При мойке сырье освобождается от всевозможных загрязнений и частично
уменьшается количество микроорганизмов. Отмытое сырье сортируют по качеству
(освобождают от загнивших, перезрелых, недозрелых, поврежденных болезнями и
вредителями экземпляров), эти операции проводятся вручную. Огурцы калибруют.
Сырье, однородное по размеру и качеству, облегчает последующие технологические
операции, повышает качество готового продукта, снижает потери и отходы.
2) Бланширование.
Цель бланшировки: сохранить натуральный цвет предохранить от
потемнения продукт, повысить проницаемость тканей для сахара, соли и других
веществ, используемых при производстве консервов; удалить воздух, содержащийся
в тканях, и этим предотвратить разрушение кислородом витамина С, каротина,
коррозию жести. При бланшировке благодаря частичному гидролизу протопектина
ткани плодов и овощей размягчаются, что облегчает их пропитывание и позволяет
уложить плоды и овощи в банки более плотно и без повреждений.
3) Порционирование и расфасовка.
Подготовленные плоды и овощи порционируют и расфасовывают в
банки в соответствии с технологическими инструкциями и рецептурами. Расфасовку
овощей проводят вручную, для этого на фасовочном транспортере имеются рабочие
столики, где работают фасовщицы. Фасование огурцов и маринадной заливки ведут в
стеклобанки вместимостью 3 литра вручную, с равномерной дозировкой маринадной
заливки. Подготовленные стеклобанки движутся по рабочему транспортеру.
Фасовщицы берут с транспортера порожнюю банку на рабочий столик. Затем вниз
банки укладывают зелень, лук, листья хрена и специи, затем огурцы, по массе
нетто не менее 50% от общей массы нетто для данной вместимости банки, и
заливают маринадной заливкой. При данной операции должны быть обеспечены:
положенная масса нетто готового продукта, соотношение отдельных компонентов,
предусмотренных рецептурой, надлежащий внешний вид.
4) Укупорка банок.
Банки перед наполнением их продукцией тщательно моют и сушат.
Стеклянную тару герметически укупоривают (обкаткой, обжимом или резьбовым
методом) крышками СКО из белой или черной лакированной жести, алюминия, с
резиновыми кольцами на закаточных машинах при атмосферном давлении или под
вакуумом с целью удаления воздуха, в том числе кислорода, содержащегося в
тканях плодов и овощей. Кислород, оставшийся в банке, вызывает коррозию жести,
окисление витамина С, каротина, дубильных веществ и способствует развитию
аэробных микроорганизмов. Для удаления кислорода поступают следующим образом:
наполняют банки горячим продуктом, оставляют в них минимальное не заполненное
продуктом пространство, закупоривают банки на вакуум-укупорочных машинах.
5) Стерилизация.
Назначение стерилизации - уничтожение как вегетативных, так и
споровых форм микроорганизмов. Она проводится в автоклавах при температуре 100 ºС и более. Режим стерилизации (уровень температуры и
продолжительность нагревания) зависит от многих факторов: вида продукта и его
состояния (плотная масса, залитая жидкостью), размера банок, материала, из
которого изготовлены банки (жесть, стекло), обсемененности продукта
микроорганизмами, кислотности среды (уровня рН).
Величина рН в консервированном продукте зависит от степени
диссоциации кислот, которая неодинакова в разных консервах. В консервах с рН
меньше 4,5 обычно не развиваются микробы ботулизма в отличие от консервов с
более высоким значением рН. При благоприятных условиях в консервах могут
развиваться плесневые грибы и дрожжи, а неспорообразующие бактерии - даже в
среде с рН 2,8. Вот почему для режима тепловой обработки рН среды имеет важное
значение: консервы с рН больше 4,5 стерилизуют при температуре 110-120 ºС. Овощные консервы в большинстве случаев имеют рН больше 4,5.
6) Охлаждение.
После стерилизации консервы охлаждают водой в тех же
автоклавах, где стерилизуют банки, или в особых ваннах при температуре 40-50 ºC. Затем банки выгружают из автоклавных сеток и просматривают на
транспортере моечно-сушильного агрегата.
7) Маркировка тары.
3.5 Обоснование выбора технологического
оборудования
Рассмотрим оборудование, необходимое для производства
консервированных огурцов с зеленью в заливке.
Несмотря на принимаемые отдельными предприятиями меры по
дооснащению производства новым оборудованием и замене изношенного, объем этой
работы в отрасли крайне незначителен.
Основная причина этого - ограниченность финансовых ресурсов.
В итоге в данной отрасли износ оборудования достиг 65%, многие машины и целые
поточно-механизированные линии изношены полностью или морально устарели, не
обеспечивают необходимых режимов производства. Положение со временем
усугубляется, и проблема требует незамедлительного решения.
Необходимо также сократить количество операций с применением
ручного труда. Обновление и пополнение парка технологического оборудования
возможно за счет привлечения собственных средств предприятия при наличии
государственной поддержки.
Моечная машина
Машины для мойки овощей
Для подготовки плодоовощной продукции
используются различные виды моечных машин. Машины для мойки овощей можно
разделить на машины щёточно-барабанного типа, барабанного типа, машины
вентиляторного типа и щёточные моечные машины.
Щёточно-барабанные машины для мойки овощей
могут легко справляться даже с крупногабаритной продукцией. В таких машинах
можно мыть такие овощи, как тыква или арбузы. Кроме этого машина способна мыть
все сорта корнеплодов, фруктов и плодов, которые имеют твёрдую структуру. В
таких машинах может устанавливаться различное количество щёток в зависимости от
технологического процесса. Производительность такой машины составляет от 500 кг
до нескольких тонн плодоовощной продукции в час.
Барабанные моечные машины для овощей - это
универсальное моечное оборудование для различных видов овощей. Такие машины
могут мыть овощи твёрдой и мягкой структуры. Барабанные машины для мойки овощей
можно использовать в качестве грунтоотделителя при подготовке корнеплодов. Это
достаточно надёжные машины с высокой производительностью.
Вентиляторные моечные машины для овощей
выполняет мойку за счёт выполнения вспенивания рабочей жидкости. Такие машины
встраиваются в комплексные производственные линии. В комплектацию машины
включён загрузочный транспортёр и конвейер. Расход воды во время мойки
продукции зависит от индивидуальных показателей продукции, а также условий
технологического процесса. В таких машинах можно мыть мелкие ягоды и крупные
овощи. Данные машины, простые в обслуживании, имеют высокую надёжность и
качество мойки.
Щёточные машины могут мыть яблоки, огурцы
и другую плодоовощную продукцию с похожей структурой. Данные моечные машины для
овощей и фруктов используются на консервных заводах. Комплектуется оборудование
загрузочным транспортёром и рабочим конвейером.
На предприятии имеется моечная машина Т1-КУМ-1. В данном
проекте для промывки огурцов целесообразно оставить данную моечную машину из-за
следующих преимуществ:
1) Машина Т1-КУМ-1 снабжена нагнетателем воздуха, что
позволяет мыть овощи и плоды как с мягкой, так и с
твердой оболочкой.
2) Машина КУМ-1 может быть укомплектована как роликовым так и
пластинчатым транспортерным полотнам для работы на мелком продукте. На машине
может быть поставлено любое из них в зависимости от выбора продукта, или в
случае поломки в качестве альтернативной замены.
) При работе машины плоды поступают в моечное пространство
ванны непрерывно. Для более интенсивной мойки загрязненного продукта в моечной
ванне машины Т1 - КУМ-1 создается бурление посредством подводимого от
нагнетателя сжатого воздуха.
) Вымытый продукт из моечного пространства перемещается
наклонным транспортером, в верхней части которого (перед выгрузкой) он
ополаскивается водой из душевого устройства. Выгрузка продукта производится
через лоток, регулируемый по высоте. Величина слоя продукта, поступающего на
транспортерное полотно, в машине Т1 - КУМ- 1 регулируется заслонкой.
) Для первоначального наполнения ванны водой на ее боковой
стенке предусмотрен патрубок с вентилем. Вода, поступающая в ванну через
ополаскивающий душ, удаляется через сливную щель. В процессе работы машин вода
в ванне может периодически обновляться путем слива грязной воды через спускной
кран. Чистка ванны производится через грязевой люк и боковые окна. При
обработке сильно загрязненных овощей и плодов можно увеличить время их
пребывания в зоне отмывки путем периодических остановок транспортера.
) Машина проста в обслуживании, надежна в использовании.
) Высокое качество промывки огурцов.
Бланширователь
Бланшированием плодоовощного сырья называется кратковременная
тепловая обработка при определенном температурном режиме в воде, паром или в
водных растворах солей, сахара, органических кислот, щелочей. Бланширование
является очень важной предварительной операцией, от которой в значительной мере
зависят качество продукта п потери в производстве. В переводе на русский язык
бланширование означает отбеливание (от французского слова blanchir -
отбеливать).
Наиболее широко используются в промышленности как водяные,
так и паровые ленточные бланширователи. Для бланширования зеленого горошка,
капусты, моркови, картофеля применяются ковшовые бланширователи типа. Ленточный
бланширователь имеет транспортирующее устройство, которое состоит из двух
цепей, являющихся тяговым органом, и ленты - несущего органа, укрепленного на
этих цепях. Бланширование продукта происходит на ленте, расположенной в
металлической ванне с водой (раствором соли, кислоты) либо проходящей через
закрытую камеру, заполненную паром.
В бланширователе ленточный транспортер может быть размещен в
ванне, заполненной водой. К цепям ленты прикреплены планки для удержания
продукта при подъеме его в место выгрузки. Четыре трубки барботера установлены
в ванне между рабочей и холостой ветвями транспортера; в них подается пар
давлением до 0,4 МПа. При выгрузке продукт охлаждается водой. При бланшировании
продуктов в растворах солей или кислот вместо барботеров устанавливают
змеевики, в которые подается пар.
На предприятии установлен ленточный бланширователь, который
был недавно приобретен и установлен в цех. Покупка бланширователя значительно
улучшилось качество продукта. Огурцы приобрели более упругую консистенцию,
появился хруст, исчезла полость внутри огурца.
Ленточный бланширователь, установленный в цеху не нуждается в
замене.
Машина для приготовления заливки
На предприятии используется для приготовления заливки плита
Крапивина. Это универсальная машина, которая может использоваться как для
приготовления томатной пасты, лечо и других заготовок, так и для приготовления
соков и сокосодержащих напитков. Паровая плита Крапивина также предназначена
для обжарки и пассерования овощей, варки варенья, джема, повидла. Характерной
особенностью паровой плиты является равномерность нагрева всей поверхности,
обеспечиваемая конструкцией нагревательных полутруб, приваренных параллельно к
днищу ванны, установленной на стойках и подшипниках. Трубки вварены в
коллекторы и между собой сварены встык. Пар подается в греющую камеру через
паровой вентиль. Так как плита приспособлена не только для обжаривания овощей,
но и для варки варенья (когда после кипения массу необходимо быстро охладить),
предусмотрен вентиль, служащий для подачи воды. Оба вентиля снабжены обратными
клапанами. Конструкция плиты позволяет обжаривать овощи тонким слоем в
небольшом количестве растительного или животного жира.
Эта многофункциональность незаменима на малом предприятии с
широким ассортиментом продукции. Машина легко и быстро моется, проста в
эксплуатации, надежна.
Плита Крапивина не нуждается в замене.
Закаточная машина
Для герметизации наполненных продуктом банок в линиях высокой
производительности используют автоматические закаточные машины различных марок,
в том числе и Б4-КЗК-75. Стеклянные обкатные банки укупоривают на автоматах или
полуавтоматах различных систем. Принцип их работы состоит в том, что
вращающийся ролик машины прижимает край крышки к горлу банки. Паровакуумную
закаточную машину АЗМ-ЗП производительностью 70 банок в 1 мин используют для
укупорки банок вместимостью от 200 до 1000 см³. Машина закаточная
ЗК1-1-125 (Б4-КЗК-75-04) предназначена тля укупорки наполненных стеклянных
банок вместимостью 1000…3000 см³. Производительность 63
банки в 1 мин. Полуавтоматическую закаточную машину ЗК4-3-16 (Б4-КЗК-77)
производительностью 12, 16 и 20 банок в 1 мин применяют для укупорки стеклянных
банок вместимостью 200…3000 см³. Имеются закаточные
машины и других систем, в том числе и для укупорки бутылок.
Закаточная машина Б4-КЗК-75 произведенная в 1983 году
непригодна для дальнейшего использования на предприятии. Её необходимо в
ближайшее время заменить на более новое и более мощное оборудование, так как данная
закаточная машина регулярно выходит из строя, останавливая производственный
процесс, неплотно укупоривает банки, что создает благоприятную среду для
бактерий. Много единиц продукта утилизируется из-за бомбажа.
В настоящее время существует большое количество новейшего и
полностью автоматизированного оборудования для укупорки банок, но из-за
финансовых проблем предприятие не в состоянии приобрести данные аппараты.
Поэтому при выборе замены закаточной машины я опиралась на финансовые
возможности предприятия в специальной разработке предложила закаточную машину
Б4-КЗК-84. Автоматическая закаточная машина Б4-КЗК - 84 является вертикальным
роторным автоматом непрерывного действия. На машине выполняются следующие
операции: прием банок; выдача крышек из магазина и маркировка их; подача банок
с крышками к ротору механизма предварительного закатывания (клинчеру);
установка банок в патроны клинчера, клинчерование (негерметичное соединение
банки с крышкой); передача банок к вакуумирующему устройству, вакуумирование;
подача банок к закаточному ротору и закатывание; снятие с патрона и выдача на
отводящий транспортер. Применение специальной разработки поможет увеличить
производительность цеха, улучшить качество выпускаемой продукции.
Автоклав
Автоклавы (стерилизаторы периодического действия)
предназначены для стерилизации (тепловой обработки при температуре свыше 100
°С) пищевых продуктов, расфасованных в стеклянные или жестяные банки.
Конструкция и основные параметры промышленного автоклава
разнообразны, ёмкость от нескольких десятков см³
до сотен м³, предназначаются для работы под давлением до 150 МПа (1500 кгс/см²) при температуре до 500 °C.
В пищевой промышленности используются вертикальные и
горизонтальные автоклавы широкого спектра разновидностей, размеров и принципов
действия. Например, в горизонтальных автоклавах для пищевой промышленности
может создаваться необходимое противодавление по отношению к каждой отдельно
взятой упаковке с продуктом, что позволяет проводить стерилизацию продуктов не
только в жесткой таре (стеклобанка, жестебанка), но и в мягкой и полужесткой
упаковке.
На предприятии используется вертикальный автоклав.
Вертикальный автоклав состоит из корпуса, крышки, корзин,
штуцера для подключения регулятора, арматуры для соединения с магистралями
пара, воды, воздуха и для пуска конденсата. Крышка имеет уравновешивающее
устройство, облегчающее ее открывание и закрывание. Наполненные банками корзины
устанавливаются в автоклаве одна на другую, после чего крышка закрывается.
Сосуд заполняется водой, а через барботер подается пар. Воздушным компрессором
создается и поддерживается в системе постоянное давление. По истечении времени
необходимого для стерилизации, пар и горячая вода постепенно вытесняются из
аппарата поступающей холодной водой. После охлаждения корзины с банками
выгружаются из аппарата.
Вертикальный автоклав не нуждается в замене так как он
исправно работает, удовлетворяет всем требованиям предприятия. Он надежен,
прост в обслуживании. Также имеется возможность загружать продукт в различной
таре, что также очень удобно для предприятия с широким ассортиментом.
Этикетировочные машины
Завершающие процессы при производстве консервов -
этикетирование (наклеивание этикеток на поверхности банок), упаковка и укладка
тары с готовой продукцией.
Этикетировочные машины предназначены для наклеивания этикеток
на жестяную и стеклянную консервную тару. Эти машины классифицируют по ряду
признаков:
характеру перемещения тары - карусельные, линейные;
способу наклеивания этикетки - с рычажным
этикетопереносчиком, без него, с вакуум-барабанным этикетопереносчиком;
устройству, транспортирующему тару к месту наклеивания
этикеток, - цепные с водилом, шнековые.
Карусельные этикетировочные машины характеризуются невысокой
производительностью, но обеспечивают высокое качество наклеивания одной или
нескольких этикеток. Поэтому на предприятии используют этикетировочную машину
линейного типа.
В линейных этикетировочных машинах тара перемещается в
горизонтальном положении, а этикетки наклеиваются на цилиндрическую поверхность
банки. Техническая характеристика линейной этикетировочной машины:
производительность 9000 банок в час; размер банки - диаметр 72…110 мм, высота
32…110 мм; скорость движения ремня 1,88 м/с; мощность электродвигателя 1 кВт;
габаритные размеры 2446x560x1200 мм; масса 214 кг.
В этикетировочных машинах для стеклянной тары банки движутся
по прямой линии, этикетки отделяются от стопки вакуум-захватами, смазываются
клеем и наклеиваются на проходящую банку. На предприятии используется именно
такой тип этикетировочной машины марки ЭР-2.
Этикетировочный автомат ЭР-2 предназначен для нанесения
этикеток размером от 95 х 30 до 50 х 135 мм на цилиндрическую поверхность
стеклянной тары вместимостью 0,5…3 л.
Пластинчатый транспортер автомата перемещает вертикально
стоящую банку к дистанционному питающему шнеку. Опрокинутая или разбитая банка
к питающему шнеку не поступает, так как срабатывает блокирующее устройство и
машина останавливается. С помощью щупа, приводимого в действие проходящей мимо
питающего шнека банкой, обеспечивается присоединение вакуумного захватывающего
устройства к соответствующему сегменту вращающегося цилиндра для этикеток.
Этикетки удерживаются на цилиндре посредством вакуума до тех пор, пока они не
будут нанесены на банку. Для предотвращения прилипания этикеток к ролику
клеевого механизма служит объемный вилочный механизм. Как только банка минует
щуп, этикетка извлекается из магазина. При перемещении на вращающемся цилиндре
этикетка проходит мимо датирующего механизма и щупа, следящего за наличием
этикетки и включающего механизм для нанесения клея. Последний наносит на
этикетку горизонтальные полоски клея. Подача клея регулируется скребком.
Соприкасающаяся с вращающимся цилиндром банка приводится во вращение, во время
которого на нее накатывается этикетка. В момент накатывания этикетки банка
опирается на накладку из губчатой резины. После накатки этикетки банка,
продолжая вращаться, проходит между полосой губчатой резины и ремнем. Оклеенные
этикетками банки поступают на стол.
Производительность этикетировочного автомата 120 банок в
минуту; габаритные размеры 2715x905x1170 мм; масса 935 кг.
Этикетировочная машина ЭР-2 не нуждается в замене на новое
оборудование, так как она работает без сбоев, имеет достаточно высокую
производительность, проста в обслуживании.
3.6 Описание технологической схемы производства и
оборудования
) Приемка сырья. Мастер цеха вместе с лаборантом
просматривают поступившую на склад новую партию огурцов и делают выборку.
Визуально делают выводы о пригодности сырья к производству.
) Сортировка. Отбраковываются плоды значительной толщины и
неправильной формы. Данный процесс проводится вручную рабочими предприятия.
Главная цель данной стадии - Сортировка плодов на два сорта по диаметру - менее
и более 20 мм; на 3 сорта по длине - 70, 70-90, 90-110 мм; удаление дефектных
экземпляров. В итоге мы получаем сортированный по диаметру и длине продукт.
) Мойка. Плоды отмывают в проточной воде с помощью моечной
машины Т1-КУМ-Главная задача операции - очистка плодов от загрязнений. В итоге
после проведения данной стадии мы получаем чистый, отделенный от остатков земли
и других загрязнений продукт.
) Бланширование. Плоды выдерживают 3 - 5 мин в воде при
температуре 60С с помощью ленточного бланширователя. Процесс проводится в
горячей воде с добавлением NaCl. Цель операции - инактивирование окислительных
ферментов, повышение эластичности мякоти, сохранность натурального цвета
огурцов, предотвращение потемнения плода, удаление воздуха из тканей,
предотвращение разрушения кислородом витамина С. В конце операции получаем
плотные и хрустящие огурцы.
) Водяное охлаждение. Огурцы выдерживают 1-2 мин в прохладной
воде. Эту операцию применяют во избежание разваривания огурцов после выдержки.
) Приготовление маринадной заливки. Готовят заливку из воды с
добавлением соли на плите Крапивина в течение 10 мин. Затем добавляют водную
вытяжку из пряностей и лимонную кислоту. Цель данной стадии - придание продукту
вкуса, свойственного маринадам. В итоге поучается маринадная заливка.
) Фасовка. Подготовленные огурцы рабочие плотно укладывают в
стеклянные банки, на дно которых кладут зелень и пряности и заливают горячей
заливкой (85 °С).После чего ставят на пластинчатый транспортер и накрывают
крышкой. Цель: Укладывание продуктов в тару для дальнейшего консервирования и
приготовление тары к закупориванию. В конце стадии получаем полуготовый
продукт.
) Укупорка или герметизация. Банки укупоривают крышками с
помощью закаточной машины Б4-КЗК-75. Цель: предохранение продукта от попадания
наружного воздуха и микроорганизмов. В конце операции получаем укупоренные
маринованные огурцы.
) Стерилизация. Процесс ведут при температуре 90-100 °С в
течение 5-20 минут в вертикальном автоклаве. Цель процесса: уничтожение как
вегетативных так и споровых микроорганизмов, обеспечение длительной сохранности
продукта. В итоге получаем готовый продукт со сроком хранения 2 года.
) Этикетировка. Процесс нанесения этикетки, даты и сроков
годности на банку.
Цель: передать информацию о продукте потребителю. В итоге
получаем продукт готовый к отправке в розничные торговые сети.
Техническая характеристика оборудования.
1. Сортировочный стол. Назначение: Для сортировки сырья
до и после мойки. Характеристика: Длина-1200 мм, ширина - 1000 мм, высота - 800
мм. Деревянный.
2. Моечная машина Т1-КУМ-1. Назначение: Для мойки
огурцов. Характеристика: длина -2250 мм, ширина - 850 мм, высота -900 мм.

3. Бланширователь ленточный. Назначение: Для бланшировки
огурцов. Характеристика: длина - 3000 мм, ширина - 1000 мм, высота -750 мм. Из
нержавеющего материала. Ванна разделена перегородкой на две части: для
бланшировки и охлаждения.
Рисунок 3.4 - Бланширователь ленточный
Плита Крапивина. (Рисунок 3.5). Назначение: для приготовления
заливки. Характерной особенностью паровой плиты является равномерность нагрева
всей поверхности, обеспечиваемая конструкцией нагревательных полутруб, приваренных
параллельно к днищу ванны, установленной на стойках и подшипниках.
4. Трубки вварены в коллекторы и между собой сварены
встык. Пар подается в греющую камеру через паровой вентиль. Так как плита
приспособлена не только для обжаривания овощей, но и для варки варенья (когда
после кипения массу необходимо быстро охладить), предусмотрен вентиль, служащий
для подачи воды. Оба вентиля снабжены обратными клапанами.
Рисунок 3.5 - Плита Крапивина
. Автоклав вертикальный. Назначение: для стерилизации всех
видов консервов в укупоренной стеклянной таре. Тип, марка, завод изготовитель:
СР-2К. Ростовский опытный завод продовольственного машиностроения.
Характеристика: Емкость - 150 литров. Количество корзин-2 шт.
Давление 3 атм. Габариты: Длина -2260 мм, ширина - 1250 мм,
высота - 2340 мм. Масса автоклава 1160 кг.
. Закаточная машина. Оборудование под названием закаточная
машина предназначена для герметичного (в обычной, паровакуумной или вакуумной
среде) укупоривания, в автоматическом режиме, заполненных продуктом круглых
(фигурных) металлических или стеклянных банок. Область применения -
устанавливается в линиях изготовления консервов.
На предприятии «Шуя Кооппродукт» используется закаточная
машина Б4-КЗК 75. Показатели закаточной машины представлены в таблице 3.5.
Таблица 3.5 - Показатели закаточной машины Б4-КЗК-75
|
Показатели
|
Б4-КЗК-75
|
|
Номинальная
производительность банок в минуту
|
95
|
|
Дополнительная
производительность банок в минуту
|
80,100,160
|
|
Размер
обрабатываемой тары (мм): диаметр и высота
|
60-105 60-165
|
|
Установленная
мощность, кВт
|
2,2
|
|
Габариты(мм):
длина, ширина, высота
|
2010; 1060;
2060
|
|
Масса, кг
|
1555
|
Основными частями автоматической закаточной машины являются:
станина, транспортер, механизм подачи крышек с магазином, маркером и
направляющей крышек, механизм закатывания, привод с коробкой скоростей,
выбросная звезда, плита, на которой установлен пульт управления. Станина
упирается на стойки. Пластинчатый транспортер и шнек входят в состав механизма
приема банок. Поступающая по транспортеру тара шнеком выставляется на равное
расстояние друг от друга и передается по механизму подачи. Над транспортером по
длине его проходят направляющие, положение которых в зависимости от высоты и
диаметра банки может регулироваться, как и положение шнека. Корпус механизма
приема крепиться на стенке привода механизма подачи. Привод транспортера и
шнека осуществляется от главного вала машины через систему зубчатых
цилиндрических и конических передач.
. Этикетировочный автомат ЭР-2
Этикетировочный автомат ЭР-2 предназначен для нанесения
этикеток. Пластинчатый транспортер автомата перемещает вертикально стоящую
банку к дистанционному питающему шнеку. Опрокинутая или разбитая банка к
питающему шнеку не поступает, так как срабатывает блокирующее устройство и
машина останавливается. С помощью щупа, приводимого в действие проходящей мимо
питающего шнека банкой, обеспечивается присоединение вакуумного захватывающего
устройства к соответствующему сегменту вращающегося цилиндра для этикеток.
Этикетки удерживаются на цилиндре посредством вакуума до тех пор, пока они не
будут нанесены на банку.
Для предотвращения прилипания этикеток к ролику клеевого
механизма служит объемный вилочный механизм. Как только банка минует щуп,
этикетка извлекается из магазина.
При перемещении на вращающемся цилиндре этикетка проходит
мимо датирующего механизма и щупа, следящего за наличием этикетки и включающего
механизм для нанесения клея. Последний наносит на этикетку горизонтальные
полоски клея. Подача клея регулируется скребком. Соприкасающаяся с вращающимся
цилиндром банка приводится во вращение, во время которого на нее накатывается
этикетка. В момент накатывания этикетки банка опирается на накладку из губчатой
резины. После накатки этикетки банка, продолжая вращаться, проходит между
полосой губчатой резины и ремнем. Оклеенные этикетками банки поступают на стол.
Производительность этикетировочного автомата 120 банок в
минуту; габаритные размеры 2715x905x1170 мм; масса 935 кг.
Упаковка, маркировка,
хранение и транспортирование огурцов консервированных.
Консервы для розничной торговой сети
фасуют в стеклянные банки по ГОСТ 5771, укупоренные лакированными крышками. По
заказу потребителя консервы фасуют в банки вместимостью 3 дм³.
Консервы для экспорта фасуют в стеклянные
банки по ГОСТ 5717 из бесцветного стекла с венчиком горловины типа II и III и
металлические банки по ГОСТ 5981 вместимостью до 1 дм³. Внутренняя поверхность металлических банок и крышек должна иметь
двухслойное покрытие, обеспечивающее сохранность продукции в течение сроков
хранения.
Упаковка, маркировка, транспортирование и
хранение производятся по ГОСТ 13799, а для консервов, поставляемых на экспорт и
по заказу - наряду внешнеторгового объединения.
Если тара не литографирована, то на неё
наклеивают этикетки с указанием наименования консервов,
предприятия-изготовителя, его товарного знака, подчинённости,
нормативно-технической документации по качеству, массы нетто или объёма, сорта,
условий и сроков хранения. Маркировка наносится на крышки банок путём выдавливания
знаков, или несмывающейся красок. Условные обозначения наносят в две или три
строки.
На лакированные крышки металлических банок
последовательно наносят условные обозначения, указывающие ассортиментный номер
продукции (три цифры), номер смены или бригады (одна - две цифры), число (две
цифры), месяц (две цифры) и год выработки (последние две цифры года), индекс
системы, номер предприятия-изготовителя (одна - две цифры).
На крышки стеклянной тары наносят
обозначения, указывающие только номер смены или бригады, число, месяц и год
выработки, иногда номер предприятия-изготовителя. Маркировка консервов для
экспорта должна наноситься литографическим способом на лакированной этикетке
или непосредственно на банке или крышке и содержать:
наименование консервов;
наименование составных частей консервов;
массу нетто и массу огурцов, г;
наименование внешнеторгового объединения и
надпись «Сделано в … (наименование страны-изготовителя)».
Надписи должны быть указаны на русском и
(или) иностранном языках в соответствии с требованиями заказа-наряда
внешнеторгового объединения.
Товаросопроводительная документация при
поставке консервов для экспорта должны быть оформлена в соответствии с
требованиями заказа-наряда внешнеторговой организации.
Плодоовощные консервы следует хранить при
температуре от 0 до 15 - 20 °C, не допуская замерзания. При высоких
температурах протекают реакции, ухудшающие цвет, вкус консервов. Относительная
влажность воздуха должна быть около 75%.
Срок хранения консервов - 2 года со дня
изготовления.
Заключение
Пищевую и перерабатывающую промышленность Шуйского района
представляет ООО «Шуя кооппродукт», которое создано на базе ООО «Шуйские
консервы». Данное предприятие специализируется на производстве, заготовке,
переработке и сбыте сельскохозяйственной продукции. В 2007 году предприятие
стало Дипломантом в конкурсе программы «100 лучших товаров России 2007 года», а
также было удостоено награждением медалями за качество продукции на выставке
ВВЦ «Золотая осень 2007 г.». В планах предприятия установка новейшего
оборудования и вложение денежных средств в сельское хозяйство с целью получения
высококачественного сырья, увеличения технологических мощностей, расширения
ассортимента и улучшения качества выпускаемой продукции. Большое внимание на
предприятии уделяется качеству выпускаемой продукции.
Вся продукция изготавливается по традиционным технологиям из
натурального сырья и пользуется большим спросом в Москве, Нижнем Новгороде,
Ярославле, Костроме и многих других городах России. В квалификационной работе
рассмотрены следующие темы: обоснование необходимости реконструкции
действующего предприятия, современные тенденции в развитии отрасли
консервирования овощей, обоснование выбора способа производства, ассортимент и
характеристика выпускаемой продукции, обоснование состава композиции,
теоретические основы технологических процессов, обоснование выбора
технологического оборудования, описание технологической схемы производства и
оборудования, контроль производства и качества продукции, дефекты изделия и
способы их устранения. Расчетная содержит следующие расчеты: материальный
расчет, расчет производственной рецептуры, расчет единиц оборудования,
теплоэнергетические расчеты. В разделе «Охрана труда» рассмотрены общие меры по
безопасности рабочих на предприятии. Также внесены предложения по улучшению
условий труда персонала предприятия. В разделе «Охрана окружающей среды»
описано общее состояние территории предприятия, а также рассмотрен комплекс
мер, принимаемый для защиты и улучшения состояния окружающей среды. Консервирование
овощей очень актуальное направление в пищевой промышленности.На
консервированную продукцию и в частности на консервированные огурцы с каждым
годом увеличивается спрос, это связано с многими бытовыми и экономическими
факторами.
Применив предложенную в дипломе специальную разработку
предприятие увеличит технологические мощности консервного цеха, что позволит
вырабатывать продукцию в достаточно большом ассортименте, и лучшего качества.
Список источников
1.
Дьяченко В.С. Овощи и их питательная ценность. М.: Россельхозиздат, 1979.
.
Калошин А.И. Охрана труда. М.: Агропромиздат 1991.
.
Орлова Ж.И. Все об овощах. Н.: Пищевая промышленность, 1978.
.
Флауменбаум Б.Л. Основы консервирования пищевых продуктов. М.: Легкая и пищевая
промышленность, 1982.
.
Флауменбаум Б.Л. Теоретическая основа стерилизации консервов. Киев, 1960.
.
Ястребов С.М. Технологические расчеты по консервированию пищевых продуктов. М.:
Легкая и пищевая промышленность, 1981.
.
Грживо В.С., Локшин Я.Ю. Коррозия консервной жестяной тары. М.: ЦИНТИПищепром, 1962.
.
Назарова А.И., Фан-Юнг А.Ф. Технология плодоовощных консервов. М.: Легкая и пищевая
промышленность, 1981.
.
Широков Е.П., Полегаев В.И. Хранение и переработка плодов и овощей. М.: ВО Агропромиздат, 1989.
.
Шкрабак В.С., Козлаускас Г.К. Охрана труда. М.: ВО Агропромиздат, 1989.
.
Гореньков Э.С., Горенькова А.Н., Усачева Г.Г. Технология консервирования. ВО
Агропромиздат, 1987.
.
Ильченко С.Т., Марх А.Т., Фан-Юнг А.Ф. Технология и технохимический контроль
консервирования. М.: Пищевая промышленность, 1974.
.
ГОСТ 8756.4-70 Продукты пищевые концентрированные. Метод определения содержания
минеральных примесей.
14. ГОСТ 20144-74 Огурцы консервированные. Технические
условия.
. ГОСТ 8756.1-79 Продукты пищевые концентрированные. Методы
определения органолептических показателей, массы нетто или объёма и массовой
доли составных частей.
. ГОСТ 25555.0-82. Продукты переработки плодов и овощей.
Методы определения титруемой кислотности.
. ГОСТ 26313-84 Продукты переработки плодов и овощей. Правила
приёмки, методы отбора проб.
. ГОСТ 1726-85. Огурцы свежие.
. СанПиН 2.3.2.560-96. Гигиенические требования к качеству и
безопасности продовольственного сырья и пищевых продуктов.
завод консервный производство огурец