Инженерно-геодезические изыскания при линейном строительстве

  • Вид работы:
    Реферат
  • Предмет:
    Геология
  • Язык:
    Русский
    ,
    Формат файла:
    MS Word
    91,68 Кб
  • Опубликовано:
    2013-12-05
Вы можете узнать стоимость помощи в написании студенческой работы.
Помощь в написании работы, которую точно примут!

Инженерно-геодезические изыскания при линейном строительстве

Министерство образования и науки РФ

ФГБОУ ВПО «Восточно-Сибирский государственный университет

технологий и управления»

Кафедра промышленное и гражданское строительство








Реферат на тему:

"Инженерно-геодезические изыскания для линейного строительства"


Выполнил: ст-т АДиА, 2012 г.н.

Н.А. Григорьева

Проверил: Д.М. Пермяков






Улан-Удэ

Содержание

1. Общие сведения

2.      Камеральное трассирование

.        Полевое трассирование

.        Нивелирование и съёмочные работы

.        Привязочные работы

.        Отчётные материалы

Список использованной литературы

1. Общие сведения

Подробное изучение местности в выбранном для строительства районе с проведением съёмочных и трассировочных работ, развитием геодезической сети, привязкой и нанесением на карты геологических выработок, гидрометрических створов и других данных представляют собой инженерно-геодезические изыскания для линейного строительства.

Комплекс инженерно-геодезических работ по изысканию трассы, отвечающей всем требованиям технических условий и дающей наибольший экономический эффект, называется трассированием.

Трассой называется ось проектируемого линейного сооружения, обозначенная на местности или нанесённая на топографическую карту. Основными элементами трассы являются план (проекция трассы на горизонтальную плоскость) и продольный профиль (вертикальный разрез по проектируемой линии).

В плане трасса имеет прямые участки разного направления, сопряжённые между собой горизонтальными кривыми постоянного и переменного радиусов кривизны.

В продольном профиле трасса представляет собой линии различного уклона, при необходимости соединяемые между собой вертикальными круговыми кривыми.

Различают трассирование по высотным параметрам (самотёчные трубопроводы и каналы), когда основное внимание уделяется обеспечению допустимых уклонов трассы, и по азимутальным параметрам (напорные трубопроводы, линии связи и электропередачи), когда основная задача состоит в проложении наиболее короткой, экономически выгодной трассы, а уклоны практически не влияют на её проектирование.

Железные и автомобильные дороги, судоходные каналы, при проектировании которых важно выдерживать необходимые уклоны и заданное сопряжение в плане прямых участков и закруглений, являются наиболее сложными объектами. Их трассируют по смешанным высотно-азимутальным параметрам. В таблице 1 приведены виды и характеристики трасс по топографическим условиям.

Таблица 1. Классификация трасс по топографическим условиям

Вид трассы

Характеристика трассы

Местоположение трассы

Равнинная

Пересекает малое число водотоков, имеет кратчайшее направление в плане

На равнинах и плоских водоразделах со слабовыраженным микрорельефом

Долинная

Пересекает большое количество водотоков при спокойном рельефе

На одной из подпойменных террас

Водораздельная

В плане трасса сложна, но объёмы земляных работ небольшие, мало искусственных сооружений

По наиболее высоким отметкам местности

Косогорная

Может быть спроектирована с плавным уклоном, но весьма извилиста в плане. Встречаются осыпи, обвалы, селевые потоки.

На склонах больших долин и гор

Поперечно-водораздельная

В плане близка к прямой, в профиле часто встречаются затяжные предельные уклоны, приходится строить сложные переходы. Наиболее дорогостоящая трасса.

На пересечении долин и водоразделов.


В процессе изысканий трасс решаются две основные задачи:

-       Сбор необходимых геодезических, топографических и других материалов и данных для составления проекта трассы и всех сооружений на ней;

-       Выбор оптимального варианта трассы, расположенной в максимально благоприятных условиях, на строительство и эксплуатацию которой потребуется минимум затрат.

2. Камеральное трассирование

Трассирование - решение технико-экономической задачи по выбору оптимальной трассы между опорными точками на участке местности или его модели при заданном уравнении поверхности земли f(x, y, H) = 0, инженерно-геологических, гидрологических, природоохранных и других условиях.

В результате камерального трассирования получают план трассы (проекцию трассы на горизонтальную плоскость) и продольный профиль (вертикальный разрез по оси трассы).

На плане трасса состоит из прямых участков, сопряженных между собой круговыми кривыми (рис. 1).

Рисунок 1 - Трасса в плане

В продольном профиле трасса состоит из линий поперечного уклона при необходимом соединении между собой вертикальными круговыми кривыми (рис.2).

Рисунок 2 - Продольный профиль трассы

При проектировании стремятся проложить наиболее короткий вариант трассы между заданными точками начала и конца трассы и с уклонами, не превышающими предельные значения для данной категории дорог.

В зависимости от условий местности камеральное трассирование выполняют способом попыток или способом построения линий с заданными уклонами.

Способ попыток применяют в основном для равнинной местности. По намеченной по карте трассе составляют продольный профиль с проектной красной линией. Анализируя профиль, выявляют места, в которых трассу целесообразно сместить вправо или влево, чтобы отметки местности ближе подходили к проектным отметкам. Эти участки трассы вновь трассируют и составляют улучшенный вариант трассы.

Расположение трассы в равнинной местности определяется контуром препятствий, т.е. расположением населенных пунктов, препятствующих проложению трассы. Если средний уклон местности меньше допустимого, то в высотном отношении трассу ведут вольной кривой, на встречающихся препятствиях делаются углы поворота для обхода его.

Для проектирования более коротких трасс придерживаются следующих условий:

-       трассирование выполняют напрямую - от препятствия к препятствию, т.е. выбирают углы поворота против препятствий и располагают препятствие внутри угла поворота;

-       угол поворота трассы стремятся иметь не более 30 градусов, т.к. такие углы незначительно удлиняют трассу;

-       радиус кривых выбирают по возможности большим;

-       при пересечении оврагов к тальвегу не спускаются, а переходят сразу на другую сторону, засекая одноименные горизонтали;

-       в местах, где расстояние между горизонталями больше, чем проектная величина заложения, направление выбирают свободно;

-       пересечение рек, магистралей выполняют под углом 90 градусов;

-       необходимо обходить крупные населенные пункты, территории горных разработок, лесные массивы, c/х угодья и т.д.

В отличие от проектирования на равнинной местности, направление трассы в горной или резко пересеченной местности определяется ее рельефом, т.к. уклоны в данном случае значительно превосходят уклоны трассы.

-       вычисляют величину заложения между горизонталями для заданного уклона:

,

где h - высота сечения рельефа;

-       если трассу провести по линии нулевых работ , то достаточно раствором циркуля, равным а из начальной точки трассы засекать ближайшие горизонтали в направлении к конечной точки трассы до тех пор, пока не прейдете к конечной точке трассы (рис. 3):

Рисунок 3 - “Ход раствором циркуля”

В результате таких построений получится очень много углов поворота, что приводит к потребности спрямить трассу.

Пусть l - длина трассы фактическая, l’ - длина, рассчитанная по допустимому уклону (максимальная длина трассы ), тогда:


В зависимости от удлинения различают следующие виды трасс:

а) извилина, т.е. S - образная трасса (рис. 4):

Рисунок 4

б) заход трассы в боковую долину (рис. 5):

Рисунок 5

в) петля (рис. 6):

Рисунок 6

г) спираль (рис. 7):

Рисунок 7 - Виды трасс

На спрямленной трассе по измеренным углам поворота и выбранным радиусам закруглений размечают главные точки кривых (вписывают кривые) и прямые вставки, разбивают пикетаж, по горизонталям определяют “черные” отметки пикетажа и характерных точек перегиба местности. Составляют продольный профиль трассы, затем проводят проектную линию трассы (красную) и в местах, где получены большие объемы земляных работ, трассу корректируют.

Принципиальную схему возможного направления трассы значительного протяжения намечают на картах масштабов 1:500 000 - 1:100 000, прокладывая геодезическую линию между конечными и опорными пунктами. Затем на картах масштаба 1:50 000 или 1:25 000 устанавливают фиксированные точки (станции железных дорог, населённые пункты, промышленные предприятия и т.д.), определяющие положения трассы при обходе или пересечении контурных и высотных препятствий.

Опорные пункты трассы (начальный, конечный и промежуточный) указывают в задании на изыскание. Группируя опорные пункты и фиксированные точки в наиболее целесообразных комбинациях, соединяют их прямыми и получают варианты трассы.

Условия обхода или пересечения препятствий требуют проработки на карте вариантов плана трассы, а в сложных местах - и продольного профиля. В таблице 2 приведены материалы для камерального трассирования.

Таблица 2. Материалы для камерального трассирования

Масштаб плана или карты

Сечение рельефа через, м

Назначение материала

Использование материала на стадиях проектирования

1:500 000

40-20

Определение общего направления трассы. ориентирование опорных и фиксированных пунктов. Разработка вариантов

Технико-экономическое обоснование (ТЭО) и технический проект (ТП)

1:200 000

20-10



1:100 000

10-5



1:50 000

10-5

Составление ситуационных планов. трассирование вариантов.

То же

1:25 000

5-2,5



1:10 000

5-2

Трассирование линий различного протяжения

Технический проект (ТП)

1:5 00

2-1

Трассирование в сложных условиях

Технический проект (ТП) и рабочие чертежи (РЧ)

1:2 000

2-1

Составление генеральных планов и трассирование в особо сложных условиях

То же

1:1 000

1-0,5

Составление генеральных планов

Рабочие чертежи (РЧ)


3. Полевое трассирование

трассирование камеральный топографический

В результате камерального трассирования по картам отбирают конкурирующие варианты линии для полевого обследования, в процессе которого устанавливают окончательное положение трассы. Полевое обследование на стадии технического проекта осуществляется с оптимальным сочетанием наземных и аэрофотосъемочных работ. При наличии планов крупных масштабов обследование трасс короткого протяжения выполняют наземными методами.

При изменениях трасс значительного протяжения в случае отсутствия карт и планов необходимых масштабов выполняют аэровизуальное обследование трасс и маршрутную аэрофотосъёмку. На стадии разработки технического проекта и рабочих чертей осуществляют сложный комплекс работ.

Технический проект. По намеченным вариантам трассы проводят наземную или аэровизуальную рекогносцировку, а при необходимости прокладывают магистральные ходы. Определяют наиболее рациональное положение трассы, представляют обзорную карту масштаба 1:100 000, по каждому варианту - план трассы на карте масштаба 1:25 000 или крупнее и подробный продольный профиль трассы.

Рабочие чертежи. Вынос на местность и закрепление в натуре трассы, утверждённой в техническом проекте (определяют в натуре положение углов поворота и выполняют трассировочные работы: вешение линий, измерение углов и сторон хода, разбивку пикетажа и поперечников, нивелирование, закрепление трассы, а также крупномасштабную съёмку переходов, пересечений, примыканий, мест со сложным рельефом и т.д.).

К пикетажу привязывают все геологические выработки, точки геофизической разведки и гидрометрических измерений.

Полевое трассирование начинают с рекогносцировки, при котором изучают состояние геодезической основы и полосы трассы. Затем переносят камеральный проект в натуру. В первую очередь методом полярных координат, линейных засечек и т. п. определяют и закрепляют на местности углы поворота трассы, используя для этого плановые геодезические сети и твердые контуры, имеющиеся на карте и местности вблизи углов поворота.

Следующий этап - и провешивание прямолинейных участков между углами поворота трассы (вехи устанавливают через 100-150 м) и детальное обследование, в результате которого учитывают все особенности местности, по которой будет проходить дорога, и находят оптимальный вариант трассы.

Следующий этап - измерение углов поворота трассы и расстояния между их вершинами. Углы поворота трассы Ө, Ө' (рис. 8) - горизонтальные углы между старыми и новыми направлениями трассы. Ө - правый, а Ө'- левый углы поворота, индексом i обозначают номер вершины на рисунке 8, а

Рис. 8. Схема трассы линейного сооружения (о) и главные точки и элементы кривой (б)

Углы β1,β2 измеряют так же, как и в теодолитном ходе, среднеквадратическая ошибка измерения угла не должна превышать 0,5'.

Расстояния между вершинами трассы измеряют стальной мерной лентой или дальномером с относительной ошибкой 1:2000. Поправки за наклон линии вводят при углах наклона v > 2°. Трассу с измеренными расстояниями и углами и привязанную к пунктам геодезической основы называют магистралью, ее можно рассматривать как теодолитный ход, позволяющий определять дирекционные углы и координаты вершин.

При измерении сторон от начала магистрали откладывают отрезки длиной 100 м горизонтального проложения, концы отрезков закрепляют пикетами (колышек длиной 15-25 см забивают вровень с землей, рядом забивают сторожок длиной 40-50 см, выступающий над землей на 15-20 см, на сторожке подписывают номер пикетной точки, например ПК 15, это соответствует расстоянию 1500 м от начала магистрали).

Кроме пикетных точек на магистрали отмечают характерные точки рельефа, контуров и вершин углов поворота трассы, называемые плюсовыми, их положение определяют от ближайших предыдущих пикетов, например, точка ПК 15 + 17,0 расположена на расстоянии 17,0 м по магистрали от ПК 15. При Углах наклона v > 2° к отложенному расстоянию D прибавляют поправку


На поворотах трассы между прямолинейными участками разбивают сопрягающие кривые, чаще всего дуги окружностей. Радиус закругления зависит категории дороги. Имеется пять категорий автомобильных дорог, радиусы закруглений для которых равны 1000, 600,400, 250,125 м соответственно.

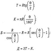
На рис. 8, б дуга окружности ABC с центром в точке 0 и радиусом R вписана в угол поворота трассы. Кривые и прямые касаются в точке A - начале кривой (НК) и в точке С - конце кривой (КК). Биссектриса ОВугля пересекает кривую в точке В - середине кривой (СК). Точки НК, СК, КК называют главными точками круговой кривой. Расстояние от вершины угла до точки касания называют тангенсом (Т), расстояние ABC между точками касания по кривой называют длиной кривой (К) и расстояние от вершины углами середины кривой называют биссектрисой (Б); разность Δ = 2Т - К называют домером (D). Значения Т, К, Б, D называют главными элементами (параметрами) кривой, их значения зависят от радиуса R и угла поворота Ө. На рисунке 8,б

(1)

Пикетажное наименование главных точек кривой вычисляют по формулам контроль:

ПК(НК) = ПК (ВУ) - Т; (2)

ПК (КК) = ПК (НК) + К;

ПК (СК) = ПК (НК) + К/2

контроль:

ПК (КК) = ПК(ВУ) + Т - Д;

ПК (СК) = ПК(КК) - К/2

Вычисление пикетажных наименований главных точек кривой выполняет до сантиметров.

На местности при малых значениях тангенса для нахождения НК и КК от вершины угла по обе стороны по трассе откладывают тангенс кривой Т. СК находят, отложив от вершины угла по его биссектрисе величину Б. При больших тангенсах НК и КК находят, отложив от ближайших к ним пикетов расстояния, равные разностям пикетажа выносимой в натуру точки и ближайшего пикета. Например, если ПК(НК) = 7 + 24,17, то от ПК7 откладывают по трассе 24,17 м и получают положение НК.

Отложив от ВУ значение Г, получают КК. Зная пикетажное наименование ПК(КК), вычисленное по второй и четвертой формулам (2), положение следующего пикета находят, отложив от КК разность пикетажного наименования следующего пикета и ПК(КК). Например, ПК(КК) = 9 + 37,42 м. ПК10 получают, отложив от КК отрезок d'= 100,00 - 37,42 м = 62,58 м.

Для получения сведений о рельефе в поперечном трассе направлении строят поперечные профили длиной 15-30 м. На таких профилях вправо и влево от трассы намечают характерные точки рельефа, а при их отсутствии фиксируют точки через 5-10 м. Поперечные профили должны отражать особенности рельефа в полосе трассы; при углах наклона 10° и больше поперечные профили строят на каждом пикете и плюсовых точках. Все сведения о пикетаже отражают в пикетажном журнале.

На участках со сложными геологическими условиями, в местах перехода через препятствие, на площадках под строительство придорожных сооружений и т. п. создают планы в масштабе 1:500, 1:1000.

. Нивелирование и съёмочные работы

Нивелирование трассы. По пикетным точкам и поперечникам, а также по установленным вдоль трассы постоянным и временным реперам выполняют техническое нивелирование. По трассе техническое нивелирование проводят, как правило, двумя нивелирами. Первым прибором нивелируют все пикетные и плюсовые точки, геологические выработки, постоянные и временные реперы. Вторым прибором нивелируют только реперы, связующие точки, а также поперечники. Километровые пикеты и реперы обязательно берут как связующие точки, а также поперечники. километровые пикеты и реперы обязательно берут как связующие точки.

Одиночное нивелирование допускается только на небольших трассах или её вариантах длиной не более 50 км, когда ход опирается на реперы или нивелирные точки основной трассы. Такое нивелирование ведут по двусторонним рейкам.

Съёмочные работы. При полевом трассировании выполняют топографическую съёмку отдельных участков и площадок в крупном масштабе (1:500 - 1:2000). Съёмке подлежат переходы через водотоки, горные ущелья и перевалы, места пересечений существующих магистралей, участки со сложным геологическим строением, площадки под станции и различные службы, водосборные бассейны и др.

В равнинной и залесенной местности топографическую съёмку проводят по поперечникам.

Таблица 3. Методы топографических съёмок по трассе

Метод съёмки

Характер местности

Планово-высотная основа

Нивелирование поперечников

Равнинная и залесенная

Точки трассы, магистральные теодолитные оды и сеть поперечников

Тахеометрическая

Сильно пересечённая открытая и горная

Замкнутые теодолитные ходы и микротриангуляция

Фототеодолитная

Труднодоступные высокие обрывистые склоны и берега водотоков, прижимы

Магистральный ход, базисные точки и контрольные пункты

Мензульная

Незастроенная открытая со сложной ситуацией

Аналитическая сеть, опирающаяся на трассу

Тахеометрическая и нивелирование

То же, небольшие равнинные площадки

Теодолитные ходы

Теодолитная сочетании с мензульной или нивелированием

Застроенная территория

То же


5. Привязочные работы

Для вычисления координат вершин углов поворота и абсолютных отметок точек, а также для контроля работ трассу большого протяжения привязывают в начале, в конце и через определённые промежутки к пунктам триангуляции или полигонометрии и к реперам или маркам нивелирной сети. Точность привязочных работ должна быть не ниже точности проложения трассы.

При удалении геодезических пунктов от трассы до 3 км привязку следует производить не реже чем через каждые 25 км трассы, при удалении пунктов 3-10 км - через 50 км.

Если геодезические пункты значительно удалены от трассы или совсем отсутствуют, то астрономическими методами или с помощью гидротеодолита через некоторые расстояния определяют азимут стороны трассы. Между этими азимутами увязывают углы магистрали с учётом поправки на сближение меридианов, что в значительной мере уменьшает поперечный сдвиг трассы. Азимуты следует определять через 30-35 сторон хода.

Высотную привязку к пунктам нивелирной сети следует выполнять не реже чем через 60 км.

6. Отчётные материалы

По окончании полевых и камеральных работ на стадии технического проекта составляют техническую документацию, в которую входят пояснительная записка и приложения к ней (графические и текстовые).

В пояснительную записку входят: задание на изыскания, история вопроса, обоснование изысканий объекта, сведения о геодезической и топографической изученности, состав полевого подразделения, инструменты и оборудование, техника безопасности; краткая характеристика природных условий района строительства (общая часть). Затем в пояснительной записке помещают материалы по трассированию линий: методику и объёмы выполненных полевых и камеральных работ, точность измерений, опорные и промежуточные пункты, общую характеристику и обоснование направления трассы, и вариантов, выбор варианта, выводы и рекомендации; описание и обоснование укладки трассы, пересекаемые водотоки, особенности пересекаемых естественных и искусственных препятствий и участков, сложных для строительства; характеристику строительных площадок.

За материалами по трассированию линий следуют материалы аэроизысканий: применение аэрометодов, методика и объёмы выполненных работ; организация аэроизысканий, технические условия и задание на лётно-съёмочные работы; выполнение аэрозалётов, план-задание на лётно-съёмочные работы; выполнение аэрозалётов планово-высотная основа, привязка опознаков; камеральное и полевое дешифрование, стереофотограмметрические работы, развитие сетей пространственной фототриангуляции, методы уравнивания сетей, создание фотосхем и фотопланов, перечень полученной документации; трассирование по аэрофотоматериалам, вынос проекта трассы на местность.

Заканчивается пояснительная записка материалами сдачи на местности предварительной трассы и знаков закрепления представителю заказчика, актами о приёмке и объёмах выполненных работ.

Графические приложения содержат: обзорные карты и ситуационные планы масштабов 1:500 000 - 1:25 000; план трассы и прилегающей полосы с расположением строительных площадок и коммуникаций масштабов 1:25 000 - 1:10 000; то же для горных районов в тех же масштабах; планы подъездных дорог и коммуникаций масштаба 1:5 000 (для ЛЭП не надо); планы отдельных участков масштабов 1:2 000 - 1:500; планы болот и оврагов, пересекаемых трассой, масштаба 1:2000; сводный план бассейнов отдельных водотоков масштаба 1:5000; генеральные планы переходов средних рек масштабов 1:5000 - 1:2000 и детальные планы масштаба 1:1000: то же для больших рек масштабов 1:10000 - 1:5000 и 1:2000; планы вариантов переходов в тех же масштабах; детальные планы участков с трудными условиями рельефа, стеснённых мест и др. масштабов 1:5000 - 1:1000; планы (эскизы) привязок углов поворота масштаба 1:500; схемы планово-высотной основы и привязок масштаба 1:2000; продольные профили трассы и отдельно вариантов (горизонтальный масштаб 1:10000, вертикальных - 1:1000), то же, с масштабами 1:5000 и 1:500; поперечные профили характерных мест масштабов 1:100 и 1:200.

Текстовым приложением к отчёту являются комплект ведомостей координат вершин углов поворота, знаков закрепления трасс и площадок, реперов на трассе и площадках, привязок разведочных выработок по трассе и другие материалы (акты, протоколы), полный перечень которых определяется соответствующими ведомственными нормативными документами.

Отчёты об изысканиях для рабочих чертежей касаются только тех вопросов, по которым проводились контрольные или дополнительные работы.

В текстовые приложения по трассированию линий входят: обоснование направлений, улучшающих местные варианты трассы; результаты работ, выполненных при окончательной укладке трассы, утверждённой в техническом проекте; уточнение местоположения строительных площадок, мест пересечений, обходов и пр., согласно техническому проекту. В качестве приложений даются планы и профили уточнённых мест в соответствии с требованиями технического проекта.

В отчёты об одностадийных изысканиях, как правило, не включают материалы по контрольным работам и трассированию дополнительных вариантов, поскольку в результате этих изменений представляются материалы по согласованному и окончательному направлению линии, закреплённому на местности.

Список использованной литературы

1.          Абрамов С.П., Залеский Т.А. и др. Инженерные изыскания в строительстве. - М.: Стройиздат, 1982

2.      Маслов Н.Н., Котов М.Ф. Инженерная геология. -М. Стройиздат 1971.

.        Разумов О.С. Инженерная геодезия в строительстве. - М.: Высш. школа, 1984

.        <http://www.drillings.ru/izisklinsooruzh?razdel=1&object=1>

Похожие работы на - Инженерно-геодезические изыскания при линейном строительстве

 

Не нашли материал для своей работы?
Поможем написать уникальную работу
Без плагиата!
Без нейросетей!