Вскрытие реки Енисей

  • Вид работы:
    Курсовая работа (т)
  • Предмет:
    Геология
  • Язык:
    Русский
    ,
    Формат файла:
    MS Word
    586,27 Кб
  • Опубликовано:
    2013-10-29
Вы можете узнать стоимость помощи в написании студенческой работы.
Помощь в написании работы, которую точно примут!

Вскрытие реки Енисей

Введение
 

Енисей - крупнейшая река России, расположенная в пределах Восточной Сибири. По годовому объему стока эта река стоит на первом месте в России. По площади бассейн этой реки занимает седьмое место в мире и второе в стране (после бассейна Оби). По длине Енисей уступает только Оби и Лене. Его принято делить на три части: Верхний Енисей - от места слияния до Красноярского водохранилища (длина около 600 км.), Средний Енисей - до устья Ангары (около 750 км.), Нижний Енисей - до впадения в Енисейский залив Карского моря (2130 км).

Ширина реки увеличивается сразу же за слиянием до 2-2,5 км., зато течение становится более медленным, в русле появляются острова. Левый берег преимущественно низменный, а вдоль правого до самого устья Подкаменной Тунгуски тянется Енисейский кряж. Но иногда гнейсовые утесы сжимают реку с обеих сторон, как, например, у села Абалаково. Главные притоки Енисея на этом отрезке: справа - Большой Пит, слева - Сым, Дубчес. Слева впадает небольшая река Кас, с которой связана история строительства в конце прошлого века Обь - Енисейского канала.

Вскоре за селом Ворогово, расположенном в устье реки Дубчес, начинается самый трудный для судовождения участок на Нижнем Енисее - Осиновый порог. Сначала река разветвляется на множество проток, с большими и малыми островами, часть из которых в “большую воду” скрывается из глаз. Сам порог образуется двумя каменистыми грядами.

Скорость течения увеличивается до 8-10 км. В час, а глубина межень - всего 2 - 2,5 метра. Район Осинового порога - одно из самых красивых мест Нижнего Енисея.

За устьем Подкаменной Тунгуски берега реки становятся малолюдными, села встречаются реже. По-прежнему правый берег выше и гористее. Это подходят отроги Средне - Сибирского плоскогорья. Ширина реки до устья Нижней Тунгуски два-три км., глубина преимущественно 10 - 15 метров. Главные притоки на этом участке, справа - Бахта, слева - Елогуй.

После впадения Нижней Тунгуски Енисей расширяется до трех - пяти км., а на островных участках - и до семи- двенадцати км. Вскоре слева впадает Турухан, а затем справа - Курейка.

В русле Нижнего Енисея много крупных островов, некоторые достигают 15 - 20 км. в длину (Большой Шаровский, Большой Лазоревский, Девясинский, Кабацкий и др.). Остров Леонтьевский ниже Дудинки считается границей таежной растительности. Енисей делает много крутых поворотов, но сохраняет основное направление на север.

Главное питание река получает от таяния снегов, оно составляет около 40% в верхнем и среднем течении и до 50% - в нижнем течении. 30 - 40% приходится на дождевое питание, 15 - 20% - на подземное.

Весеннее половодье на Верхнем и Среднем Енисее обычно начинается в конце апреля - начале мая, а на Нижнем Енисее - на 15 - 30 дней позже. Половодье обычно длится 2,5 - 3,5 месяца, причем уровни воды во время больших половодий на Верхнем Енисее повышаются на 5 - 10 метров, на Среднем - на 10 - 15 метров, и на Нижнем - на 15 - 20 метров. Нижний Енисей на верхнем своем участке замерзает в начале ноября, а ниже Игарки - даже в конце октября. Вскрытие реки проходит здесь в конце мая - начале июня, ледостав длится 180 - 200 дней (на нижнем участке 200 - 300 дней). Весенний ледоход часто сопровождается заторами льда. Летние температуры воды колеблются от 16 до 25.

Енисей имеет важнейшее значение для хозяйственной жизни края. Около 30 миллионов кВт составляют энергетические ресурсы реки. Пока они не используются даже наполовину, хотя Саянская и Красноярская ГЭС относятся к числу крупнейших в мире. Енисей - ведущая меридиальная транспортная артерия края. Ежегодно по реке перевозится более 13 млн. тонн грузов, множество пассажиров. Особенно велика транспортная роль реки для севера края. Там же используются рыбные богатства реки. Наконец, Енисей обеспечивает многие промышленные предприятия, села и города Красноярского края.

В период весеннего половодья в бассейне Верхнего Енисея зачастую бывают наводнения, которые, как правило, обусловлены снеговыми и дождевыми водами.

Предусмотреть эти стихийные явления крайне трудно, так как действует сложная система взаимодействия множества факторов, связанных с метеорологическими условиями процесса вскрытия, что лишает возможности точно предвидеть высоту подъёма уровня воды с большой заблаговременностью.

В то же время для народного хозяйства важно заблаговременное предупреждение об опасном явлении - подъёме уровня и выхода воды на пойму.

Цель курсовой работы заключается в разработки прогнозов сроков вскрытия воды в бассейне Енисея, в частности на его левом берегу Нижн. Енисея у станции Енисейск - Караул.

Для достижения поставленной цели решаются следующие задачи: изучение физико-географических характеристик бассейна реки Нижнего Енисея, описание гидрографической сети водосбора, ознакомление с видами заторов льда, подготовка электронной базы многолетних гидрометеорологических данных по рассматриваемому бассейну, изучение и получение регрессионных зависимостей между сроками вскрытия реки и различными гидрометеорологическими факторами (температура воздуха, снегонакопление, и т.д.), измеренными на метеорологических станциях и постах.

При выполнении курсовой работы были использованы: карты, атласы, климатические справочники, водные кадастры по данной территории и другая научно - исследовательская литература, предоставленная Среднесибирским УГМС. Весь расчет производился с помощью стандартных пакетов обработки информации «Microsoft Excel» и «Statistica».

1. Особенности физико-географических условий и гидрологического режима в бассейне Нижнего Енисея

 

.1 Административное и географическое положение района


Левый берег Нижнего Енисея охватывает 15 гидрологических постов. Город Енисейск - административный центр одноименного района Красноярского края, расположен на левом берегу Енисея, в 8 км южнее устья р.Кемь. Население города 19,2 тыс.человек. В Енисейском районе находится сельский населенный пункт Назимово с числом жителей 303 человека. Село Ярцево расположено в среднем течении реки Енисей между двумя крупными левыми притоками - реками Кас и Сым. Население села составляет около 2000 человек. Село Ворогово находится на острове. Остров омывает р.Шар. Ширина Енисея в районе Ворогово - 3 км. Климат резко- континентальный. Зимой дорога по замерзшим речкам (зимник). Проживает 2000 человек. Деревня Подкаменная Тунгуска относится уже к Туруханскому району. Численность постоянного населения деревни около 80 человек. Далее следует Бахта -село в Туруханском районе, с населением 265 человек. Село Верхнеимбатск - численность населения составляет 549 человек. Село Селиваниха относится к Туруханскому сельсовету Туруханского района. Постоянное население села 115 человек. Село Курейка расположено напротив впадения р.Курейки в Енисей, в 168 км южнее Игарки. Население 133 человека. Игарка - город расположен на берегу Игарской протоки Енисея в 1330 км к северу от Красноярска. В городе проживает 6,7 тысяч человек. Находится город за полярным кругом, в зоне распространения вечной мерзлоты. Сейчас это порт, доступный для морских судов из Енисейского залива. Посёлок Потапово находится в 96 км от города Дудинки, в нем проживает 335 человек. Дудинка - административный центр Таймырского Долгано-ненецкого муниципального района Красноярского края. Расположен на правом берегу реки Енисей в месте впадения в него притока Дудинка. В нем проживает около 24 тысяч человек.

Караул - сельское поселение Таймырского района Красноярского края. Население состоит из ненцев (60%) и русских, и в общем составляет 883 человека. Климат суровый, даже летом заморозки являются обычным явлением.

Енисей - важнейший водный путь Красноярского края. Регулярное судоходство ведется на протяжении 3013 км. Основные грузопотоки идут от Красноярска до Дудинки. Основные притоки: Ангара, П.Тунгуска, Н.Тунгуска, Курейка, Турухан. Главные порты и пристани: Красноярск, Туруханск, Игарка. Грузоперевозки водным транспортом осуществляются Енисейским пароходством практически на всем судоходном участке Енисея. Суда пароходства работают от верховьев Енисея на юге до Дудинки и Карского моря на Севере. Кроме того, Енисейское пароходство осуществляет грузоперевозки на притоках Енисея - П.Тунгуска и Н.Тунгуска. Общая протяженность речных и судоходных путей в зоне работы Енисейского речного пароходства составляет около 7000 км.

Истоки некоторых малых притоков Нижнего Енисея находятся на территории Тюменской области.

Центральная часть п-ова занята горами Бырранга, круто обрывающимися на юге к Северо - Сибирской низменности. Долина Енисея, имеющая почти меридиальное направление, отделяет меньшую по площади пониженную и в значительной степени заболоченную восточную часть Западно - Сибирской низменности от Среднесибирского плоскогорья. Большая часть площади края расположена в пределах распространения многолетней мерзлоты. Главная река - Енисей; ее самые большие притоки - Ангара, Подкаменная Тунгуска, и Нижняя Тунгуска, Курейка - впадает справа. На большей части территории господствуют таежные леса из лиственницы; к югу от Подкаменной Тунгуски к ней примешиваются сосна, ель и пихта. В северной части края господствует мохово - лишайниковая и кустарниковая тундра. Основную часть составляют русские; проживают здесь также украинцы, татары, хакасы (на юге); на севере - немцы, эвенки, саха, нганасаны и др.

.2 Рельеф и геологическое строение

Обширные пространства изучаемой территории характеризуются весьма сложным рельефом, отличающимся большим разнообразием своих форм. На крайнем севера и крайнем юге этой территории находятся горы, центральная область ее занята Среднесибирским плоскогорьем, к которому с запада примыкает Западно - Сибирская низменность; ее восточная окраина входит в пределы бассейна Енисея. Большую по площади часть описываемой территории занимает Средне - сибирское плоскогорье, простирающееся в меридиональном направлении более чем на 1500 км, а с запада на восток - по всей ширине бассейна Енисея.

Граничащая с ним на западе Западно - Сибирская низменность вытянута вдоль левого берега Енисея в виде сравнительно узкой полосы от северо - западных отрогов Восточного Саяна до берегов Карского моря. Северная оконечность Среднесибирского плоскогорья, представленная горами Путорана, круто обрывается к Северо - Сибирской низменности, которая в свою очередь на севере ограничена крутыми уступами гор Бырранга - самым большим горным массивом на п-ове Таймыр. На крайнем севере этого п-ова располагается узкая приморская полоса моренно - морских абразионно - аккумулятивных низменностей и равнин.

Существенное влияние на формирование стока и распределение его по времени и по территории оказывает геологическое строение речных водосборов. Изучаемая территория имеет весьма сложное геологическое строение. Здесь широкое развитие получили разновозрастные геолого - структурные комплексы, отличающиеся между собой в морфологическом отношении и по своему литологическому составу, а также по степени тектонической нарушенности и положению базиса эрозии.

Основными необходимо считать здесь следующие геологические структуры: Таймырскую складчатую область, Енисейско - Ленинский прогиб, Сибирскую платформу, Енисейский кряж, Рыбинскую впадину, Западно - Сибирскую платформу и Саяно - Алтайскую горноскладчатую область, состоящую средне- и высокогорных сооружений Кузнецкого Алатау, Восточного и Западного Саяна, гор Сангелен и Танну - Ола и межгорных впадин.

.3      Почвы и растительность

Почвы в пределах исследуемой территории столь же разнообразны, как и условия, их образования.

На почвообразовательный процесс почв, как и на эволюцию растительного покрова, большое влияние оказывает многие факторы: континентальность климата, экспозиция склонов гор и их крутизна, наличие многолетних мерзлых грунтов и многое другое. Все это в целом определяется и характер почв, их распространение, режим и т.д.

Крайний север Таймырского п-ова расположен в арктической зоне. Здесь выделяется Северо - Таймырская провинция и горная провинция Бырранга. В первой из них распространены почвообразующие породы ледникового происхождения. Под травяно - моховой и кустарников - моховой растительностью сформировались полигональные, арктические дерновые и арктические глеевые почвы. Большое влияние на почвообразовательные процессы оказывает наличие многолетнемерзлого грунта, который является практически водонепроницаемым. Здесь встречаются также арктические глеево - дерновые, дерновые карбонатовые и дерновые аллювиально - гумусовые почвы. Наиболее затруднен процесс почвообразования в горной провинции Бырранга, где распространены горные арктические фрагментарные (скелетные) почвы, характеризующиеся различными стадиями развития. Они располагаются по крутым склонам гор и подвергаются активным процессам физического выветривания.

В понижениях, где велико поверхностное увлажнение и за зиму образуется мощный снежный покров, развиты торфяные почвы. Среди каменистых россыпей, в сочетании с горными арктическими почвами, встречаются арктические дерновые и арктические полигональные почвы.

Субарктическая зона тундровых почв делится на Западно - Сибирскую и Северо - Сибирскую провинции.

В Северо - Сибирской провинции преобладают почвообразующие породы - суглинистые и глинистые, морского и ледникового происхождения.

В Северной части зоны в пределах обеих провинций распространены болотные, перегнойно - глеево - глеевые почвы, а в южной ее части - глеево подзолистые. В долинах рек развиты пойменные дерновые почвы.

В пределах рассматриваемой территории растительный покров предоставлен в широком зональном аспекте, а в горных областях он характеризуется и вертикальной поясностью. Зона арктических пустынь представлена на островах Ледовитого океана и в отдельных районах п-ова Таймыр, в частности в горах Бырранга. Типичными для этой зоны являются ледяные поля и голые скалы, у подножия которых в защищенных местах располагаются небольшие участки, занятые мхами и скудной растительностью (кладоний, отдельные представители цветковых, накипные лишайники).

1.4 Многолетняя мерзлота


Большая часть рассматриваемого района лежит в области распространения многолетней мерзлоты. Вечная мерзлота ограничивает дренаж почвы, препятствует вымыванию минеральных солей, снижает грунтовое питание реки, а низкие температуры замедляют разложение и минерализацию органических веществ, создавая тем самым особые условия для насыщения воды солями. Воды Енисея отличаются чрезвычайно низкой минерализацией, не превышающей в летний период 100мг/л. Для сравнения скажем, что в реках европейской части страны она выше в 4-5 раз.

В бассейне реки Енисей выделяют пять районов распространения мерзлотных почв.

Первый район характеризуется сезонно-мерзлыми грунтами, многолетняя мерзлота здесь отсутствует. Среднегодовая температура воздуха здесь положительна и не снижается ниже -1, -5 градусов. Этому типу в пределах района соответствует Тувинская котловина, районы среднего течения р. Малый Енисей.

Характерной чертой второго района является распространение многолетней мерзлоты с преобладанием таликов. Мощность слоя мерзлого грунта колеблется от 35 до 60 метров. Сезонное оттаивание грунта происходит на глубину 1,5 - 2,5 метров. Такой тип широко распространен на всей юго-восточной части хребта Восточного Саяна. Район включает верховья р. Малый Енисей.

Третий район характеризуется вкраплением многолетних мерзлых пород среди талого грунта. В степных районах такие острова мерзлого грунта приурочены к межгорным котловинам. Встречаются они среди болотных массивов и пойменных лугов, обычно под моховой подстилкой. Толща мерзлого грунта не превышает 15 метров. Местами на оголенных водоразделах Саянской горной страны слой островной мерзлоты достигает 100 - 200 метров. Этот тип занимает остальную часть бассейна.

Четвертый район характеризуется многолетней мерзлотой с отдельными таликами. Протаивание грунта с супесчаной луговой почвой может распространяться на глубину 1,5 - 2,5 м, на приречных пойменных террасах - до 5 м, у торфяников - на 0,4 - 0,6 м, в районе тундры - на 0,3 - 0,5 м.

Пятый район характеризуется зоной сплошной мерзлоты. В районах распространения сплошной многолетней мерзлоты и мерзлоты с отдельными таликами встречаются льды в виде жил, линз, гнезд и прослоек. Такие льды занимают 30 - 40% объема породы. Местами в береговых разрезах речных русел обнажаются слои льда, мощность слоя которых достигает нескольких метров.

.5      Промерзание и оттаивание грунта

Промерзание грунта происходит за счет отдачи тепла с поверхности грунта в виде длинноволновой радиации.

При избыточном увлажнении в условиях многолетней мерзлоты на оттаивание грунта расходуется около 45 ккал/см2. Глубина сезонного промерзания грунта может довольно резко меняться в зависимости от экспозиции склона, лесистости, увлажненности грунта.

Промерзание грунта на крайнем севере начинается с сентября, в степных районах - в конце октября - начале ноября. В течение зимы промерзание грунта происходит на глубину 150 - 300 см.

Оттаивание грунта в степных районах начинается в апреле; в северной части территории у Туруханска и севернее, - в мае - июне.

Полное оттаивание мерзлого грунта обычно заканчивается после прохождения весеннего половодья (в апреле - июне), но в отдельные годы это явление приурочено к моменту прохождения пика половодья. Самое раннее оттаивание грунта на полную глубину в степных районах наблюдалось во второй декаде апреля, позднее - третья декада июня. В южной части таежной зоны оттаивание начинается в начале мая.

.6 Климат территории

Основные черты климата в пределах изучаемой территории и отдельных ее частей определяются главнейшими факторами: радиационным режимом, своеобразной циркуляцией атмосферы над данным районом, расположенным в центральной области евразиатского материка, влиянием Северного Ледовитого океана и его морей, а также характером рельефа. Климат описываемый территории отличается резко выраженной континентальностью; зимы здесь суровы, а летние сезоны непродолжительны. Случаются годы, когда в южной части бассейна Енисея в июне и даже в августе наблюдаются заморозки. Суточная амплитуда колебания температуры воздуха достигает 10-20, иногда 30.

Над изучаемой территорией перенос воздушных масс обычно осуществляется в направлении с запада на восток, однако временами наблюдаются выходы циклонов с юга или юго-запада, обусловливающие обильные осадки. Осенью, наоборот чаще вторгаются воздушные массы, приходящие с севера,- со стороны Баренцевого и Карского морей. Зимой, особенно в декабре - феврале, циклоническая деятельность проявляется слабо, т.к. в это время обычно развивается антициклогенез. Увеличение циклоничности наблюдается лишь в северной части края, где располагается борическая ложбина, простирающаяся от Исландского минимума. Зимой циклоны чаще всего проходят по побережью Карского моря. Вблизи полярного круга наибольшая их повторяемость отмечается преимущественно осенью и в начале зимы, что обуславливает повышенные осадки, сумма которых местами достигает в октябре максимальной годовой величины. Южнее Туруханска годовой максимум осадков постепенно сдвигается с осени на август (Подкаменная Тунгуска, Енисейск), а южнее р.Ангары - на июль и август.

На изучаемой территории, вытянутой в меридиональном направлении более чем на 30, хорошо проявляется зональность в смене ландшафтов, а наличие гор высотой более 1000 м обусловливает вертикальную поясность климатических условий.

.6.1 Атмосферная циркуляция

Атмосферная циркуляция является одним из основных климатообразующих факторов. Ею определяется преобладание переноса (адвекции) воздушных масс с их различными физическими свойствами или преобладание стационарных синоптических положений, способствующих процессу трансформации воздуха под влиянием местных физико-географических условий.

На территорию Восточной Сибири, находящуюся в большом удалении от Атлантического океана и огражденную от Тихого океана рядом горных хребтов, в нижние слои почти не поступает ни атлантический, ни тихоокеанский воздух. Однако поступление этих масс воздуха в более высокие слои тропосферы имеет большое значение главным образом для формирования режима облачности и осадков в определенное время года.

Большие горизонтальные и вертикальная протяженности, а также сложность орографии бассейна определили формирование на его территории локальных гидроклиматических процессов. Высокие горные хребты Восточного Алтая нарушает зональную и меридиональную циркуляцию во внутригорных районах бассейна. Вытянутость этой территории с запада на восток создает благоприятные условия для вторичного насыщения влагой трансформированных западных воздушных потоков. Открытость территории с севера способствует проникновению арктического воздуха. Относительно благоприятны условия и для поступления воздушных масс с Казахстана и юга Западной Сибири.

Высокие горные хребты, простирающиеся в широтном и меридиональном направлениях на северной и западной окраинах исследуемого бассейна, являются существенным препятствием для проникновения основных влагоносных воздушных масс в глубинные районы, что отрицательно сказывается на их атмосферном увлажнении. Внутригорные центральные и особенно южные районы получают осадков значительно меньше северного окраинного (наветренного) района. Средние величины стока в реках северной окраины бассейна в 2,0-2,5 раза больше его значений в южных внутригорных территориях бассейна.

Процесс снегонакопления в бассейне реки во многом зависит от характера атмосферной циркуляции в зимний период года. Перенос воздушных масс над умеренными широтами северного полушария происходит с запада на восток. Поступление влажных воздушных масс с Атлантики в более высокие слои тропосферы над территорией Восточной Сибири имеет большое значение в формировании режима облачности и осадков над рассматриваемой территорией.

Условия циркуляции атмосферы над Восточной Сибирью существенно меняются в зависимости от сезона.

Зимой основным барическим образованием у поверхности земли является мощный сибирский антициклон с обширным гребнем. Формирование сибирского антициклона начинается уже с сентября. В октябре он охватывает весь материк, причем появляется два отрога высокого давления, имеющие большое климатообразующее значение. Отрог высокого давления, простирающийся от Байкала на северо-восток до о.Врангеля, разделяет Восточную Сибирь на две области с различной системой ветров.

Зимний антициклон является весьма устойчивым барическим образованием. По данным Э. А. Исаева, повторяемость антициклонов на юге Восточной Сибири составляет 26 дней в месяц, повторяемость же циклонов зимой доходит до минимума.

Основными источниками, питающими систему сибирского антициклона, являются антициклоны и ядра высокого давления, вторгающиеся на территорию Восточной Сибири по полярным и ультраполярным осям вдоль западной периферии восточных ложбин, а также антициклоны, входящие в систему этого максимума с запада и юго-запада.

В сибирском антициклоне формируется воздух, характеризующийся очень низкими температурами в приземном слое, чрезвычайной устойчивостью, мощными приземными инверсиями и малой влажностью. Характерными для этих воздушных масс являются также мощные радиационные туманы.

1.6.2 Температура воздуха

Многолетняя средняя годовая температура воздуха в бассейне почти везде отрицательная: в северных районах -12, -15.

Зима на севере суровая, продолжительная, с сильными ветрами и метелями. Она начинается во второй половине сентября и продолжается 8 - 10 месяцев. В центральной части территории зима тоже холодная, длится 6 - 7 месяцев; южнее бассейна Ангары она менее сурова: начинается в конце октября - первых числах ноября и продолжается 5 - 5,5 месяца.

Зимой почти повсеместно наблюдается инверсия температур; градиент повышения температуры с высотой колеблется от 0,5 до 1,2 град/100м.

В наиболее холодном месяце (январе) средняя месячная температура воздуха изменяется в зависимости от высоты водосборов и характера рельефа от -36 до -15. В связи с преобладающей в зимнее время антициклональной погодой, в бассейнах Нижней Тунгуски и Подкаменной Тунгуски наблюдаются сильные морозы; средние месячные температуры воздуха в январе достигают -38. Устойчивые морозы держаться с февраля по март.

Наиболее теплым месяцем является июль. На побережье Карского моря средняя июльская температура на мысе Челюскин равна 1,5.

К югу температура быстро растет, на каждый градус широты она повышается на 1,3 - 1,4. Южнее г. Игарки этот рост замедляется и градиент уменьшается до 0,3 - 0,4, причем температура повышается с 15 до 19.

Для характеристики процессов весеннего снеготаяния и условий формирования водного режима большое значение имеют сроки перехода средней суточной температуры воздуха через - 5, 0 и 5.

.6.3 Осадки

Наиболее увлажненной является центральная, наиболее возвышенная часть бассейна Енисея, где более всего проявляется циклоническая деятельность как летом, так и зимой.

Наибольшее количество осадков выпадает в июле, а на крайнем севере в августе.

Средняя многолетняя величина их изменяется по территории от 35 - 50 до 200 мм.

Наименьшее количество влаги выпадает зимой - в январе - феврале, когда над территорией Сибири формируется антициклон.

В зависимости от широты и высоты места изменяется начало, конец и продолжительность холодного и теплого периодов года. Холодный период на севере длится с сентября по май, теплый - с июня по сентябрь, а на юге, в степных районах, холодный период охватывает время с ноября по март, а теплый - с апреля по октябрь. На преобладающей части территории в теплое время года осадков выпадает больше, чем в холодный период.

К востоку от енисейского кряжа и плато Путорана, на Среднесибирском плоскогорье, количество осадков уменьшается, составляя в долинах рек в среднем 400 - 500 мм. На западных склонах Верхне - Тунгусской возвышенности, в истоках Северной и Южной Чуни, Подкаменной и Нижней Тунгуски, сумма осадков возрастает до 700 - 800 мм.

К северу и к югу от зоны наибольшего увлажнения количество осадков уменьшается. Уменьшение осадков к северу обусловлено общим понижением количества влаги, содержащейся в атмосфере, а уменьшение в южном направлении - повышением температуры воздуха и дефицитом влажности, что особенно характерно для межгорных котловин.

Распределение по территории наблюденных суточных максимальных осадков в основном повторяет распределение их среднего количества.

В многолетнем ходе наибольших суточных осадков отмечается цикличность с повторяемостью максимумов через 2 - 4 года, а наиболее выдающихся - через 10 лет.

Интенсивность дождей по территории возрастает в направлении с севера на юг.

Максимальная интенсивность дождя местами достигала 5 - 9 мм/мин. Средняя продолжительность ливней колеблется по территории от 300 до 720 мм.

.6.4 Снежный покров

Процесс снегонакопления в бассейне реки во многом зависит от характера атмосферной циркуляции в зимний период года. Перенос воздушных масс над умеренными широтами северного полушария происходит с запада на восток. Поступление влажных воздушных масс с Атлантики в более высокие слои тропосферы над территорией Восточной Сибири имеет большое значение в формировании режима облачности и осадков над рассматриваемой территорией.

Запасы воды в снежном покрове изменяются по территории в зависимости от высоты, экспозиции склона и “экранирующего” эффекта соседних хребтов. Наибольшие запасы снега накапливаются на периферии горной страны, на склонах, обращенных к преобладающему направлению переноса воздушных масс. Горный комплекс Саян характеризуется достаточным и значительным увлажнением. Более всего твердых осадков выпадает на западных склонах Восточного Саяна, которые расположены на пути основного переноса воздушных масс.

Продолжительность залегания устойчивого снежного покрова колеблется от 140 до 320 дней. На островах Карского моря и в горах Бырранга он держится 280 - 320 дней. Наименьшее число суток с устойчивым снежным покровом (менее 140 -160 дней) характерно для пониженных участков тувинской котловины и для Абаканских степей.

Устойчивый снежный покров начинает разрушаться после наступления дневных положительных температур. На большей части территории данный процесс заканчивается после перехода температур через 0С и установления устойчивых положительных температур, так, например, в Минусинской котловине этот срок приурочен к началу апреля, в пределах Канской и Красноярской лесостепи - ко второй декаде апреля, в горах Западного Саяна и Восточного Саяна и на Среднесибирском плоскогорье - к концу мая - началу июня.

В некоторые годы разрушение снежного покрова может проходить на 10 - 25 дней ранее или позднее средних сроков. Наибольшая высота снежного покрова чаще всего наблюдается перед началом снеготаяния - в феврале - марте, а на побережье Карского моря - в апреле. Средняя высота слоя снега колеблется в значительных пределах - от 5 - 10 см в районе Абаканских степей до 100 см у Туруханска; а в горах Путорана, на Енисейском кряже, в Западном Саяне и Восточном Саяне толща слоя снега достигает 150 - 200 см.

Максимальные снегозапасы в степных районах обычно формируются в феврале, в лесостепных - в марте, на территории Среднесибирского плоскогорья - в конце марта - начале апреля, на п-ове Таймыр - в конце апреля - мае.

Наиболее ранние и поздние сроки отклоняются от средних на 1 -1,5 месяца.

Величина запасов воды в снежном покрове колеблется в очень больших пределах - от 20 - 40 мм на территории сухих степных районов до 400 - 500 мм на высотах Саян, Енисейского кряжа и Путорана.

Продолжительность процесса снеготаяния, исчисляемая от даты начала таяния до даты схода снежного покрова, колеблется от 10 - 14 дней в степных районах до 22 - 38 суток на остальной территории.

Средняя интенсивность таяния снега в степных районах составляет 3 - 5 мм/сутки, на территории Среднесибирского плоскогорья и в горах 6 - 9 мм/сутки. Максимальная интенсивность снеготаяния на открытой местности в пределах Среднесибирского плоскогорья в среднем составляет 4 - 5 мм/час; в отдельные годы она колеблется от 2 - 3 мм/ час при малых снегозапасах и до 8 - 12,5 мм/час при больших снегозапасах.

В 1959 г., когда сформировалось весьма высокое весеннее половодье в бассейнах рек Нижней Тунгуски и Подкаменной Тунгуски, средняя интенсивность снеготаяния по территории была около 7 мм/час с колебанием от 6 до 12 мм/час. Наибольшая интенсивность таяния отмечалась тогда в нижней части бассейна Подкаменной Тунгуски.

вскрытие нижний енисей ледяной

2. Вскрытие реки Енисей


.1 Условие формирования ледового покрова реки Енисей

С наступлением периода положительных температур начинается таяние льда и поступление воды в реки за счет поверхностного стока. Вследствие таяния снега появляется вода поверх льда сначала у берегов, затем снег на всем ледяном покрове пропитывается постепенно скапливающейся водой. Таяние льда наиболее интенсивно происходит вдоль берегов как за счет поступления талых вод с бассейна, так и в результате того, что почва нагревается быстрее. Вследствие подъема уровня воды лед несколько вспучивается. Вдоль берегов образуется понижение, по которому течет вода и размывает ледяной покров. Образующиеся при этом полосы воды, свободные ото льда, называются закраинами.

При дальнейшем подъеме уровня основной ледяной покров отрывается от берегового льда. Ледяной покров лежит на воде и не скреплен с берегами. Береговой лед остается под водой. Закраины расширяются и углубляются. Вода на ледяном покрове остается отдельными пятнами, в местах расположения которых через некоторое время обычно появляются промоины. Процесс разрушения ледяного покрова завершается быстрее на перекатах, где лед тоньше, чем на плёсах. Разрушение ледяного покрова на перекатах создает условия для перемещения ледяных полей с плёсов вниз по течению. Возникают так называемые подвижки льда.

Иногда на реке наблюдается несколько подвижек. Дальнейшее увеличение расхода воды и одновременное уменьшение прочности ледяного покрова под влиянием воздействия солнечных лучей, теплого воздуха и дождей приводят к тому, что ледяной покров разрушается и льдины под влиянием течения приходят в движение. Начинается весенний ледоход. Хотя лед в период весеннего ледохода и обладает меньшей прочностью, чем в период осеннего ледохода, но так как в движение приходят большие его массы и при больших скоростях течения, воздействие весеннего ледохода на русло реки и имеющиеся сооружения оказывается в ряде случаев более значительным, чем в период осеннего ледохода. На многих реках весенний ледоход сопровождается образованием заторов.

Затор(Льда) - нагромождение льдин в русле реки, вызывающее стеснение живого сечения и подъем уровня воды. Образуется преимущественно во время весеннего ледохода, осенние и зимние заторы наблюдаются редко.

.2 Характер и направленность вскрытия реки

Процесс вскрытия рек рассматриваемой территории в основном происходит в результате теплового и механического факторов, причем второй является следствием первого. Вскрытие рек представляет собой один из сложнейших физических процессов. Обычно вскрытию предшествует подготовительный период, длительность которого исчисляется промежутком времени от даты перехода температуры воздуха через 0С к устойчивым положительным температурам до начала вскрытия реки, которое обычно наиболее четко проявляется в активной своей фазе - начале весеннего ледохода. Для верхнего течения реки Енисей, где в процессе вскрытия где основную роль играет тепловой фактор, приводимые данные о продолжительности подготовительного периода соответствуют физическим закономерностям данного процесса. Что касается нижнего течения Енисея, то бросается в глаза несоответствие между продолжительностью подготовительного периода и сроком наступления самого явления. Подготовительный период для этой части Енисея кажется неправдоподобно коротким. Объяснение этого явления заключается в том, что в процессе вскрытия реки решающую роль здесь играет уже не тепловой, а механический фактор. При этом нужно учитывать одно обстоятельство, что на участок нижнего течения Енисея приходят воды, которые уже успели нагреться до 4 - 5С в южных широтах; они способствуют таянию льда и ослаблению прочности ледяного покрова, что несколько помогает процессу вскрытия реки под воздействием механического фактора. Существенное значение при вскрытии Енисея в нижнем течении имеют заторы льда, являющиеся результатом сложного взаимодействия силы потока и сопротивления льда.

Одним из первых признаков приближающегося вскрытия рек является появление на льду талой воды (вода на льду), которая образуется вскоре после перехода температуры воздуха через 0С к устойчивым положительным ее значениям. В начале таяния снега вода просачивается через оставшийся его слой, частично пропитывает его, достигает поверхности льда и начинает постепенно разрушать его. Талые воды, количество которых увеличивается, заполняют углубления на льду и далее стекают по уклону в виде потоков, все более усиливающихся от поступления новых масс воды (вода поверх льда). Текущая по льду вода производит разрушительную работу. Часть ее проникает под лед, часть продолжает скатываться по желобу, образовавшемуся в результате прогиба и оседания льда, а часть течет вдоль берегов, образуя промоины и закраины. Постепенно увеличиваясь в размерах, промоины, соединяясь с закраинами, образуют разводья - участки, свободные от льда. Разводья возникают также и в результате подвижек льда в моменты, предшествующие вскрытию рек.

Вода, проникая под ледяной покров, повышает уровень в реке, от этого лед вспучивается, приподнимается, разрушается. Процесс разрушения льда наиболее интенсивно протекает на перекатах и быстротоках благодаря более значительным здесь скоростям течения воды и заметному к этому времени повышению уровня воды. Все это в конце концов приводит к тому, что масса льда отрывается от берегов и всплывает (лед подняло). Далее процесс разрушения принимает более активный характер: ледяные поля смещаются, разламываются, большие льдины в свою очередь дробятся на мелкие.

Наиболее характерным признаком близкого вскрытия реки является подвижка льда. Подвижка льда, как правило, происходит при уже начавшемся подъеме воды в реках. Высота этого подъема может быть различной, что зависит от целого ряда причин - интенсивности таяния снега и льда, количества талых вод, поступивших в русло реки, и т.д. Подвижка льда, наблюдающаяся задолго до вскрытия реки и наступления ледохода, - редкое явление. Оно отмечается в период ранней временной оттепели, сменившейся резко выраженной волной похолодания.

После нескольких подвижек лед уже утрачивает свою прочность. Когда же водность потока увеличивается настолько, что лед может транспортироваться по руслу, происходит вскрытие и начинается весенний ледоход.

2.3 Факторы, влияющие на вскрытие реки

.3.1 Состояние ледяного покрова перед вскрытием

Осенние ледяные образования не отличаются многообразием своих форм. Как правило, они представлены в виде сала и заберегов. В период штормов повсеместно появляются ледяные наплески. Забереги обычно имеют небольшую ширину (1-5 м) вплоть до момента установления ледостава.

В период замерзания основных рек ( Енисей, Абакан, Туба) в верхнюю часть водохранилища наряду с переохлажденными водами поступает значительное количество ледяного материала. Переохлажденные воды рек вытесняют более теплые воды водохранилища и способствуют образованию здесь ледяного покрова. Поступающая шуга скапливается в зоне подпора, уплотняется и смерзается. Ледостав в верхней части устанавливается в среднем 24 ноября.

В пределах водохранилища процесс замерзания начинается и заканчивается не одновременно. К моменту перехода температуры воздуха через 0С температура поверхностного слоя воды по длине водохранилища различается более чем на 10С.

Первым из ледяных образований на акватории водохранилища появляется сало, сначала оно располагается пятнами, затем образует значительные по площади поля. При слабом ветре и отсутствии тумана они соединяются и одновременно на большом пространстве образуется ледяной покров. Начальная толщина при этом составляет 1-3 мм.

При более низкой температуре воздуха , слабом ветре и тумане происходит образование перемычек поперек водохранилища. На поверхности льда образуется иней. Над незамерзшей акватории сохраняется туман.

После образования ледяного покрова в верхней части водохранилища, ледообразование распространяется на середину и заканчивается на приплотинном участке.

Характер поверхности ледяного покрова на Красноярском водохранилище зависит от условий его замерзания. В основном, поверхность льда бывает ровной, а ледяной покров сплошным. Однако, в районах нагона битого льда в период замерзания происходит нагромождение льдин и ледяной покров в этих местах бывает торосистым. Такой характер поверхности льда наблюдается в местах образования ледяных перемычек и у начала сужений.

Ледяной покров в течение всей зимы, и только у плотины ГЭС с повышением температуры воздуха образуется полынья, которая с дальнейшим потеплением начинает увеличиваться. Причем полынья образуется всегда у правого берега, где толщина льда обычно меньше, чем на середине и у левого берега.

.3.2 Температура воздуха в весенний период

Сроки начала и продолжительность процессов ледообразования, замерзания, ледостава и вскрытия на акватории Красноярского водохранилища определяются особенностью его термического режима, условиями теплообмена воды с атмосферой, морфологическими и гидравлическими особенностями.

Интенсивное выхолаживание водной массы начинается, в среднем, с третьей декады октября, когда наблюдается устойчивый переход средних суточных температур воздуха через 0С.

Таблица 1. Средние даты перехода температуры воздуха через 0С

Станция

Весна

Осень

Красноярск

08.04

23.10

Приморск

10.04

24.10

Лебяжье

08.04

26.20

Хакасская

04.04

20.10

Минусинск

03.04

22.10


В верхней части водохранилища температура воздуха переходит через 0С в среднем 20 октября, а в конце первой - начале второй декад ноября появляются первые ледяные образования.

Возведение гидроэлектростанций, особенно высоконапорных, значительно изменяет термический режим реки ниже плотины, то это приводит к существенному изменению процессов ледообразования на ней. Увеличение зимних расходов в 2-3 раза по сравнению с бытовыми условиями усугубляет воздействие положительной температуры воды.

Сочетание повышенных по сравнению с естественными условиями расходов и температуры воды обуславливает не только наличие незамерзающей полыньи , но и существенные подъемы уровня воды на кромке ледяного покрова. Следствием этого является частое подтопление ряда населенных пунктов и некоторых хозяйственных объектов.

В естественных условиях температура воды Енисея у Красноярска приближалась к 0С в начале ноября, а 15 ноября устанавливался ледяной покров. Сейчас в ноябре в нижний бьеф поступает вода из водохранилища с температурой 10-6С, а в середине декабря -4С, в январе -3,8-3,2С, в феврале - около 3С. Замерзание Енисея происходит посредством образования ледяных перемычек, повышения уровня воды, уменьшения уклонов на кромке льда и как следствие смерзания поступающего с верхних участков реки ледяного материала (шуги).

Скорость наступления кромки ледостава зависит от температуры воздуха, а в условиях зарегулирования еще и от расходов воды в период замерзания.

Ледяная перемычка практически ежегодно образуется у Осиновского Порога, от нее идет продвижение кромки льда вверх по реке. В зарегулированных условиях значительно изменились сроки наступления основных ледяных образований. Установление ледяного покрова на рассматриваемом участке происходит позднее, чем в бытовых условиях: у Ярцево на 12 дней (25 ноября), у Енисейска на 22 дня (13 декабря), у Казачинского на 39 дней (2 января), причем здесь один год ледяной покров не устанавливался. (Табл. 3)

Таблица 2. Средние сроки наступления ледовых явлений

Пункт

Шугоход

Ледостав

Очищение


Быт. режим

При зарегулировании

Быт. режим

При зарегулировании

Быт. режим

При зарегул-и

Красноярск

31.10

-

15.11

-

05.05

-

Казачинское

31.10

03.12

25.11

02.01

06.05

09.04

Енисейск

25.10

24.10

21.11

13.12

21.05

20.05

Назимово

25.10

29.10

16.11

04.12

18.05

18.05

Ярцево

24.10

24.10

13.11

25.11

18.05

20.05

Ворогово

20.10

18.10

09.11

19.11

23.05

23.05

Подкаменная Тунгуска

21.10

19.10

17.11

19.11

25.05

26.05


Ранее в естественных условиях Енисей в месте слияния с Ангарой замерзал первым, затем - устьевой участок Ангары длиной 40 км, т.е. ледяной покров Енисея играл роль ледяной перемычки для Ангары. Сейчас в результате значительно более позднего установления ледостава на Енисее ледяной покров на нижнем участке Ангары тоже устанавливается позднее по сравнению с бытовыми условиями. Из-за этого на участке Енисея ниже впадения Ангары возросла продолжительность шугохода.

Как видно из таблицы 3, величина отклонения средних сроков начала ледостава увеличивается по мере приближения к плотине Красноярской ГЭС и у Красноярска не только ледяного покрова, но и ледовых явлений практически не наблюдается.

При установлении ледостава на Енисее движение кромки ледяного покрова продолжается до тех пор, пока достаточное количество ледяного покрова продолжается до тех пор, пока достаточное количество ледяного материала поступает с верхних участков. При сокращении длины шугообразующего участка наступает равновесие и местоположение кромки льда стабилизируется.

При нарушении баланса энергии под воздействием температурных возмущений или изменений теплопритока с водой происходят ответные реакции и в зависимости от увеличения или уменьшения прихода тепла происходит либо отступление, либо продвижение вверх кромки ледяного покрова. Повторяющиеся колебания приводят к неоднократному срыву кромки льда, поступлению ледяного материала под ледяной покров, увеличению стеснения русла и как следствие - к значительным подъемам уровней воды. Так, в зарегулированных условиях максимальные зимние уровни воды при установлении ледостава возросли в 2-3 раза. (табл.4)

Таблица 3.Максимальные уровни воды в начальный период ледостава

Бытовые условия

При зарегулировании

Средний

Наибольший

Средний

Наибольший

Казачинское

167

230

605

736

Енисейск

398

491

754

1029

Назимово

194

285

520

756

Ярцево

441

552

700

1015

Ворогово

325

382

423

499

Осиновский Порог

303

463

437

515

Подкаменная Тунгуска

670

898

970

1126

Вскрытие Енисея происходит под воздействием термического и механического разрушения ледяного покрова. Как правило Енисей на участке от плотины до Енисейска при регулировании стока очищается раньше, чем при бытовых условиях. (табл.3). Основным фактором здесь является температура воды, которая в апреле у плотины составляет около 2С , чего ранее никогда не наблюдалось. Уменьшение альбедо с 0,3-0,5 для тающего снега и льда до 0,06-0,08 для водной поверхности увеличивает поступление солнечной радиации в воду в несколько раз. Эта энергия тратится на таяния льда снизу, что в конечном счете приводит к беззаторному вскрытию Енисея на значительном по протяженности участке реки, до 700 км.

Из вышеизложенного ясно, что наибольшие отрицательные воздействия на природу и режим в нижнем бьефе Красноярской ГЭС приходятся на период замерзания Енисея, или первую половину зимы, когда наблюдаются значительные зажорно-заторные подъемы уровней воды.

.4 Весенние заторы льда на реках

По характеру образования заторы могут быть разделены на затор у верхней кромки льда и затор торошения. Затор у верхней кромки льда возникает на участках с мощным ледяным покровом, где во время вскрытия усилие потока оказывается недостаточным для взлома льда. Это могут быть участки ледяных перемычек, сформировавшихся осенью, ледостав на водохранилище в зоне выклинивания подпора, зашугованные участки реки и т.п. Такие заторы возникают на реках, текущих с юга на север и вскрывающихся в основном за счет механических факторов. Мощность этих заторов велика, а подпор от них может распространяться на 100 км и более. В зоне выклинивания водохранилищ эти заторы могут вызвать подъем уровня, близкий к максимальному до зарегулирования. На участке образования такого затора можно выделить: 1) зону ледостава, или очага затора , - это зона взлома или подвижек льда, представляющая собой сдвинутые вниз по течению ледяные поля, ниже которых может сохраняться еще не взломанный лед (замок затора); 2) зону затора - участок реки, занятый взломанным льдом; здесь выделяется голова затора -нагромождение взломанного спрессованного битого льда, имеющего большую мощность и стесняющего живое сечение реки; на берегах реки громоздятся навалы льда; 3) хвост затора - верхняя часть участка с редким ледоходом и с подъемом уровня за счет подпора затора торошения отличается от затора у верхней кромки льда тем, что он образуется при ледоходе на участках с меньшей транспортирующей способностью русла при остановке крупнобитого льда в сужениях русла, протоках между островами и др. Механизм образования затора до конца не выяснен. По-видимому, это не просто механическая закупорка русла льдом. В заторах происходит смерзание льда, вызываемое запасом холода, который накапливается внутри толстого ледяного покрова. Этому способствует и переохлаждение воды в реке во время ледохода, часто встречающееся при весенних похолоданиях. На заторных участках крупных рек сосредоточивается от 50 до 200 млн.м3льда. При сильных заторах уровень воды в реке поднимается на 5 - 10 м, при средних заторах - на 3 -5 м и слабых - до 3 м. Ликвидация затора может произойти либо за счет его прорыва, что сопровождается часто катастрофическим сбросом воды и льда, либо постепенного его перемещения на участки с большей площадью живого сечения и последующей ликвидации за счет размыва и таяния. Явление заторообразования широко распространено на реках России. Заторы вызывают затопления больших территорий, задерживают транспортное использование рек, прорывы затора разрушают гидротехнические сооружения, что приносит значительный ущерб народному хозяйству.

Борьба с затором сводится к мероприятиям, направленным на предупреждение их образования (разрушение льда ледоколами, ледорезными машинами или взрывами. Некоторые способы борьбы с затором неэффективны, а такие как подрывы и бомбометание дают даже отрицательный эффект - уплотняют затор, приводят к гибели рыбы и разрушению сооружений.

В различные периоды ледоход осуществляется с разной интенсивностью, характеристикой которой может быть принято отношение суммарной площади льдин, плывущих на участке реки, к площади этого участка.

Отмеченные выше общие черты процесса вскрытия характерны для непромерзающих рек. На промерзающих реках поступающая вода как за счет местного таяния, так и вследствие притока с бассейна образует поток, текущий поверх ледяного покрова. Ледяной покров, разрушаясь, всплывает отдельными льдинами и полями. При этом процесс таяния льдин на небольших реках может иметь весьма затяжной характер. Продолжительность зимнего периода, зависящая прежде всего от климатических условий района, в котором протекает река, может быть представлена в виде карты изохрон, т. е. линий, соединяющих пункты с одинаковыми датами наступления и окончания ледовых явлений на реках

3       Разработка методики долгосрочного прогноза срока вскрытия Нижнего Енисея


.1 Сбор исходных данных

В качестве потенциальных предикторов уравнения регрессии для прогноза сроков вскрытия р. Нижний Енисей была использована электронная база гидрометеорологических данных. Из гидрометеорологических предикторов отметим следующие: толщина льда и высота снега на льду, среднесуточная температура воздуха за n количество дней до (включая дату вскрытия) и после вскрытия вышележащего поста за m количество дней, дата вскрытия реки Н.Енисей на конкретном посту, а так же скорость вскрытия вышележащего участка.

В разработку методики прогноза на участке г. Енисейск - П.Тунгуска было решено включить период с 1970 по 2008 год, так как именно с 1972 года Усть-Илимская ГЭС работает на полную мощность. А на участке Бахта - Караул решено было взять период с 1960 года по 2008, так как в данный период имеется достаточное количество совместных наблюдений. В расчетах использованы данные 15 опорных пунктов в следующем порядке: г. Енисейск, с. Назимово, с. Ярцево, с. Ворогово, п. Осиновый порог, д. Подкаменная Тунгуска, д. Бахта, с. Верхнеимбатск, с. Верещагино, с. Селиваниха, с. Курейка, г. Игарка, с. Потапово, г. Дудинка, и с. Караул.

Дата вскрытия реки Н.Енисей в каждом гидрологическом посту выбиралась из справочника «Ежегодные данные и режиме и ресурсах поверхностных вод суши» (Гидрологический Ежегодник). По таблице «Ледовые явления», за дату вскрытия реки Н.Енисей принимался первый день с ледоходом. Начиная с 1970 и с 1960 года соответственно по 2008 год были забиты в Excel данные о сроках вскрытия реки на каждом из 15 постов.

С помощью Ежегодника так же были оформлены и добавлены в базу данных данные о толщине льда и высоте снега на льду на конец марта, конец апреля - для каждого поста индивидуально. Выбраны ранние даты вскрытия на постах за весь период от 1970 (1960) года по 2008, например, пост Назимово ранняя дата вскрытия - 14 апреля, значит данные о толщине льда и высоте снега на льду брали на конец марта- за 31 марта. Соответственно получилось так: от Назимово до Верещагино за 31 марта, от Селиванихи до Караула за 31 апреля.

Из ТМ1 - таблица метеорологическая, выбраны данные о температуре воздуха. ТМ1 - архивный документ, но данные с 1997 года имелись в электронном виде. Температура воздуха измеряется на метеостанциях. Температурный режим в районе метеостанций является репрезентативным для различных участков р. Енисей (прил. 1). Например, участок Енисейск - Назимово, температура воздуха для этого участка отражена в наблюдениях на метеостанции Енисейск, ранняя дата вскрытия в п.Енисейск- 16 марта, и поздняя дата вскрытия в Назимово 11 мая. Соответственно среднесуточную температуру для этого участка набираем за период 10 марта-17 мая. Аналогично и с остальными участками. В качестве предиктора мы выбирали из полученной базы среднюю температуру за период заблаговременности (не более 10 дней). То есть получилось два предиктора: среднесуточная температура воздуха за n количество дней до вскрытия вышележащего поста (включая дату вскрытия) и среднесуточная температура воздуха за m количество дней после вскрытия вышележащего поста. Метеорологическая информация с 15-ти опорных пунктов была сформирована в единую базу данных.

.2 Проверка на однородность сроков вскрытия

Для более качественного прогноза любой характеристики необходимо пользоваться как можно большим количеством испытаний её в различных условиях формирования. Тем самым в прогнозе будут учтены различные варианты совместных событий, обуславливающих количественно и качественно прогнозируемую величину. Однако простое увеличение длины ряда, используемого при разработке методики, может и не привести к улучшению результатов. Известно, что природные процессы в природе своей цикличны, меняются с различными скоростями, и тем самым есть вероятность, что условия формирования исследуемой величины не одинаковы во всем её временном ряду. Поэтому при использовании временных рядов в разработке методики необходимо проводить анализ на однородность величины в течение всего используемого ряда.

Анализ на однородность сроков вскрытия реки Енисей проводился в статистическом пакете “STATISTICA 6.0” при помощи критерия Стьюдента. Из теории вероятности известно, что это параметрический критерий, требующий, чтобы ряд состоял из случайных величин, был однороден по дисперсии и распределен по нормальному закону распределения.

Анализ ряда на однородность по среднему был проведен при помощи критерия Стьюдента. Видно, что значение вычисленного уровня значимости критерия Стьюдента меньше критического, следовательно, ряд неоднороден по среднему. Проверка на однородность по дисперсии по критерию Фишера, наравне с двумя другими критериями - Левена и Брауна-Форсайта, показала, что рассчитанные уровни значимости выше критического (0.05), следовательно, гипотезу об однородности исследуемого ряда по дисперсии можно принять. Уровень значимости его эмпирического значения также выше критического, что говорит об однородности ряда по дисперсии, одного из главных условий применимости критерия Стьюдента.

После проверки на однородность сроков вскрытия воды р. Нижний Енисей разрабатывается методика краткосрочного прогноза вскрытия реки. В основу разработки прогностического уравнения сроков вскрытия воды на р. Нижний Енисей положен анализ условия формирования ледовых явлений, а также установления ледостава. Этот анализ позволяет обосновать исходные предикторы и статистический метод множественной линейной регрессии.

Для разработки методик прогноза сроков вскрытия используется метод множественной регрессии. Расчеты выполнялись с помощью пакетов Microsoft Excel и Statistiсa.

.3 Особенности разработки методики (Statistica 6.0)

Для разработки методик прогноза сроков вскрытия используется метод множественной регрессии. Расчеты выполнялись с помощью пакетов Microsoft Excel и Statistiсa 6.0.

Однородность рядов гидрологических наблюдений является важным условием возможности построения кривой обеспеченности. Если ряд наблюдений распределен по нормальному закону, то для проверки ряда на однородность по среднему используется параметрический критерий Стьюдента, а на однородность по дисперсии - критерий Фишера.

Однородность ряда по среднему с помощью критерия Стьюдента можно проверить в модуле Вasic Statistics/Tables.

Однако, если данные "низкого качества", то есть состоят из выборок малого объема с переменными, про распределение которых мало что или вообще ничего неизвестно, то критерий Стьюдента применять нельзя. Непараметрические методы как раз и разработаны для тех ситуаций, достаточно часто возникающих на практике, когда исследователь ничего не знает о параметрах исследуемого ряда (отсюда и название методов - непараметрические).

.4 Разработка уравнения и анализ полученных результатов

При составлении уравнений учитывается прогноз сроков вскрытия на разные даты, с определённой заблаговременностью.

Мы составили 14 точечных диаграмм, которые отражают связь сроков вскрытия нижележащего поста от дат вскрытия вышележащего поста.

На графиках отчетливо видно, что связь не функциональна, наблюдается значительный разброс относительно среднего значения.

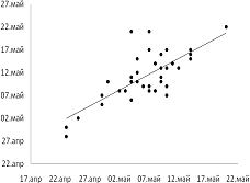
В целях гидрологических прогнозов связь должна быть более тесной. Возьмём участок г. Енисейск - с. Назимово. Ось X- дата вскрытия реки Енисей на посту Енисейск, Y- на посту Назимово.

Рисунок 1. Диаграмма - Назимово от Енисейска

На графике видно, что расхождение точек велико. При одном сроке вскрытия Енисейска 29 марта в 1981 году Енисей в районе Назимово вскрылся через 15 дней, а в 1983 году разница составила 31 день. Анализируя данные с 1970 года, видно, что разница может быть от 9 до 36 суток. Такая же ситуация и с остальными участками, ведь на вскрытие реки влияет множество различных факторов. Составим линейные уравнения по нашим диаграммам, посмотрим, как зависит срок вскрытия нижележащего поста от вышележащего на каждом участке. Дату вскрытия каждого поста возьмём от 1 марта.

Таблица 4. Линейные уравнения зависимости даты вскрытия нижележащего поста от вышележащего поста

Гидрологический пост

Уравнение

Коэффициент корреляции, R

1.Назимово

Дназ=0,61Ден +33,2

0,82

2.Ярцево

Дярц=0,73Дназ +23,0

0,84

3.Ворогово

Двор=0,69Дярц+25,2

0,74

4.Осинов.Порог

Дос.пор=0,95Двор+6,06

0,85

5.П.Тунгуска

Дп.тунг=0,98Дос.пор - 0,3

0,96

6.Бахта

Дбах=0,98Дп.тунг+4,8

0,94

7.Верхнеимбатск

Дв.имб=1,04Дбах-2,2

0,98

8.Верещагино

Двер=0,976Дв.имб+5,9

0,92

9.Селиваниха

Дсел=0,92Двер-7,8

0,96

10.Курейка

Дкур=0,87Дсел+13,3

0,92

11.Игарка

Дигар=0,81Дкур+22,1

0,87

12.Потапово

Дпотап=0,86Дигар+16,3

0,89

13.Дудинка

Ддуд=0,85Дпотап+16,5

0,92

14.Караул

Дкар=0,9Ддуд +14,7

0,90


Для того, чтобы снизить разброс точек относительно линейной зависимости, в разработку уравнений прогноза сроков вскрытия добавлены дополнительные метеорологические и гидрологические факторы из созданной электронной базы данных.

В таблице 6 представлены полученные на данном этапе разработки уравнения прогнозов сроков вскрытия.

Таблица 5. Уравнение регрессии для каждого участка поста

Гидрологический пост

Уравнение

Коэффициент корреляции, R

1.Назимово

Дназ=0,71Ден - 0,59Т5после - 2,26

0,91

2.Ярцево

Дярц=0,86Дназ - 0,346Т2после - 0,249Т3до+16,85

0,92

3.Ворогово

Двор=0,72Дярц-0,35Т3до+26,19

0,86

4.Осинов.Порог

Дос.пор=1,16Двор-0,06ТЛ-0,18Т2после-2,98

0,97

5.П.Тунгуска

Дп.тунг=0,98Дос.пор - 0,3

0,96

6.Бахта

0,95

7.Верхнеимбатск

Дв.имб=1,086Дбах-0,05ТЛ-0,8

0,98

8.Верещагино

Двер=0,976Дв.имб+5,9

0,92

9.Селиваниха

Дсел=0,92Двер-7,8

0,96

10.Курейка

Дкур=0,87Дсел+13,3

0,92

11.Игарка

Дигар=0,996Дкур-0,35Т3до+8,498

0,92

12.Потапово

Дпотап=0,88Дигар-0,16Т2после+16,17

0,92

13.Дудинка

Ддуд=0,85Дпотап+16,5

0,92

14.Караул

Дкар=0,84Ддуд -0,253Т3до+ 0,037ТЛ +16,03

0,92

Предикторы:

Д - дата вскрытия р.Н.Енисей на конкретном участке поста.

Т5после - среднесуточная температура воздуха за 5 дней после вскрытия п.Енисейск.

Т6до - среднесуточная температура воздуха за 6 дней до вскрытия п.Енисейск, включая дату вскрытия п.Енисейск.

Т2после - среднесуточная температура воздуха за 2 дня после вскрытия нижележащего поста.

Т3до - среднесуточная температура воздуха за 3 дня до вскрытия нижележащего поста, включая дату вскрытия этого поста.

ТЛ - толщина льда.

ВС - высота снега на льду.

С - скорость вскрытия вышележащего участка.

Сравнивая таблицу 5 с таблицей 6, отчетливо видно, что R- коэффициент корреляции значительно увеличился при добавлении других факторов в уравнения. В среднем он составляет 0,94. Максимальное значение, которое он может принимать +1. Значительный разброс точек на графиках сузился и приблизился к среднему значению.

Данные о толщине льда, датах вскрытия вышележащего поста, среднесуточных температурах являются главными значимыми факторами в уравнениях. Остальные же факторы - высота снега на льду и скорость вскрытия вышележащего участка лишь определяют условия, в которых будет происходить вскрытие реки Н.Енисей.

Заключение

В настоящем исследовании разработана и проведена частичная методика краткосрочного прогнозирования сроков вскрытия р. Нижний Енисей.

Для нахождения прогнозного уравнения для каждого участка использовался метод множественной линейной корреляции, который позволяет определять относительное влияние на сроки вскрытия каждого гидрометеорологического фактора и измерять полный эффект с помощью различных показателей. Можно также оценить значимость связи между зависимой и каждой независимой переменной и получить "лучшее" расчётное уравнение.

Изначально было выбрано 6 основных гидрометеорологических факторов. Но в результате расчетов, и исходя из условия, что t-статистика (характеристика ошибки нахождения коэффициентов регрессии) должна быть больше ± 2,0, было получено 14 прогнозных регрессионных уравнений для каждого участка, которые, в общем, включают в себя четыре предиктора. К предикторам уравнений относятся - среднесуточные температуры воздуха до и после вскрытия нижележащего поста, толщина льда, дата вскрытия вышележащего поста. Коэффициент множественной корреляции R полученных уравнений равен в среднем 0,94.

Проанализировав наши регрессионные уравнения, видно, что для пяти из них наши факторы явились не значимыми, то есть не влияют на дату вскрытия нижележащего пункта. Для таких постов как: Подкаменная Тунгуска, Верещагино, Селиваниха, Курейка, Дудинка. Разработка прогноза будет продолжена, и будут включены другие гидрометеорологические факторы, которые могут значительно повлиять на вскрытие.

Список используемой литературы

1. Соломенцев Н.А., Львов А.М., Симиренко С.Л., Чекмарев В.А. Гидрология Суши: Учебное пособие для вузов и для работников Гидрометслужбы.- 2-е издание переработанное и дополненное.- Л.: Гидрометеоиздат., 1961.-432с.

. Быков В.Д., Васильев А.В. Гидрометрия: Учебник для студентов вузов, обучающихся по спец. «Гидрология суши».- изд.4-е, переработанное и дополненное.-Л.: Гидрометиздат., 1977.-448с.

. Лелявский С. Введение в Речную Гидравлику: Учеб.пособие, перевод с англ. Федорова Н.Н., под ред. Егиазарова И.В.-Л.:Гидрометиздат., 1961.-233с.

. Космаков И.В. Термический и ледовый режим в верхних и нижних бьефах высоконапорных гидроэлектростанций на Енисее. - Красноярск: изд-во «КЛАРЕТИАНУМ», 2001.-144с.

. Природные ресурсы Сибири: современное состояние и проблемы природопользования. -Новосибирск: Наука, 2010.-223с.

Приложение 1

Список метеорологических станций, тяготеющих к выделенным участкам р. Енисей:

Участок реки Енисей

Метеостанция

Енисейск - Назимово

Енисейск

Назимово - Ярцево

Назимово

Ярцево - Ворогово

Ярцево

Ворогово - Осиный порог

Ворогово

Осиный порог - Подкаменная Тунгуска

Ворогово

Подкаменная Тунгуска - Бахта

Подкаменная Тунгуска

Бахта - Верхнеимбатск

Подкаменная Тунгуска

Верхнеимбатск - Верещагино

Бахта

Верещагино - Селиваниха

Верхнеимбатск

Селиваниха - Курейка

Курейка - Игарка

Туруханка

Игарка - Потапово

Игарка

Потапово - Дудинка

Дудинка

Дудинка - Караул

Дудинка


Приложение 2

Точечные диаграммы - зависимости сроков вскрытия нижележащего поста от вышележащего поста.

Назимово от Енисейска Ярцево от Назимово

 

Ворогово от Ярцево Осиный порог от Ворогово

 

Подк. Тунгуска от Осин. Порога Бахта от Подкаменной Тунгуски

 

Верхнеимбатск от Бахты Верещагино от Вехнеимбатска

 

Селиваниха от Верещагино Курейка от Селиванихи

 

Игарка от Курейки Потапово от Игарки


Дудинка от Потапово Караул от Дудинки


Похожие работы на - Вскрытие реки Енисей

 

Не нашли материал для своей работы?
Поможем написать уникальную работу
Без плагиата!
Без нейросетей!