Анализ разработки Вишанского нефтяного месторождения и рекомендации по увеличению эффективности (Припятский прогиб)
РЕФЕРАТ
Ключевые слова: месторождение, геологическое
строение, залежь, нефть, каротаж, горизонт, коллектор, глинистость,
нефтенасыщенность, пористость, пробная эксплуатация, гидродинамические
исследования, запасы нефти, режим работы, скважина, каротаж, межсолевые
отложения, пласт-коллектор, разработка месторождения, анализ разработки
Целью дипломной работы является:
а) определение исходных геолого-физических
данных;
б) установление технических показателей при той
или иной системе разработки пласта путем использования гидродинамических
расчетов;
в) выбор наиболее рационального варианта
разработки на основе сопоставления геолого-технических и экономических
показателей;
г) анализ мероприятий по улучшению состояния
разработки;
д) анализ технологий применяемых для
интенсификации притока и их классификация;
е) анализ методов контроля за разработкой
месторождения.
Объекты исследования: анализ состояния
разработки Вишанского месторождения.
Методы исследования: методы, выполняемые с целью
изучения геологического разреза скважин (ГИС) и контроля за разработкой
месторождения (дебитометрия, локация муфт, влагометрия, термометрия).
Задачами дипломной работы являются: изучение
геологии Вишанского месторождения; изучение методик геофизических исследований
скважин и аппаратуры, анализ состояния разработки и пробной эксплуатации,
рассмотрение мероприятий по улучшению состояния и методов контроля за
разработкой.
Выводы: разработка Вишанского нефтяного
месторождения осуществляется в соответствии с утверждённым проектом; мероприятия,
направленные на улучшения состояния разработки месторождения, отвечают
технологическим показателям; методы контроля за разработкой месторождения;
рассмотренные в дипломной работе обеспечивают эффективную добычу нефти,
растворённого газа и пластовой воды.
СПИСОК УСЛОВНЫХ СОКРАЩЕНИЙ
АК - акустический каротаж;
БелНИПИ - Белорусский научноисследовательский
институт;
БК - боковой каротаж;
ВНК - водонефтяной контакт;
ВНР - водонефтераздел;
ГИС - геофизическая интерпретация скважины;
ГК - гамма-каротаж;
ГКО - грязевая или глинокислотная обработка;
ГПП - гидропескоструйная перфорация;
ГРП - гидравлический разрыв пласта;
ГТН - геолого-технический наряд;
ГФР - геофизические работы;
ИНК - импульсный нейтронный каротаж;
КВ - кавернометрия;
КИП - контрольно-измерительный прибор;
НГДУ - нефтегазодобывающее управление;
НГК - нейтронный гамма-каротаж;
НКТ - насосно-компрессорные трубы;
ОЗЦ - ожидание затвердения цемента;
ПКС - перфорация кумулятивными снарядами;
СКВ - солянокислая ванна;
скв. - скважина;
СКО - солянокислотная обработка;
у.е. - условные единицы;
ШГН - штанговый глубинный насос;
ЭЦН - погружной цетробежный элетронасос.
ВВЕДЕНИЕ
Темой дипломной работы является: «Анализ
разработки Вишанского нефтяного месторождения и рекомендации по увеличению эффективности
(Припятский прогиб)».
В настоящее время в Припятском прогибе открыто
66 месторождений нефти, включающие 208 залежей. В 2004 году добыча нефти велась
на 44 месторождениях (94 залежах), из которых 28 находились в промышленной
разработке, 16 - в пробной эксплуатации. Всего с начала разработки добыто около
112 млн. усл.ед. нефти.
Остаточные извлекаемые запасы составляют 58,9
млн. усл.ед.
Наиболее крупные месторождения (Осташковичское,
Речицкое, Вишанское, Южно-Сосновское, Южно-Осташковичское) вступили в
завершающую стадию разработки, когда при высокой степени освоения запасов
(68-86%) неуклонно нарастает обводненность, падают темпы отбора, возрастают
потери за счет выработки запасов. В результате почти половина остаточных
извлекаемых запасов (28,2 млн. усл.ед.) переходят в категорию
трудноизвлекаемых, что предполагает невозможность их рентабельной добычи при
современных технологиях.
Вишанское нефтяное месторождение открыто в 1967
году трестом “Белнефтегазразведка”. Приурочено к западной части Речицко-Вишанской
зоны приразломных поднятий Припятского прогиба и находится на территории
Октябрьского и Светлогорского районов Гомельской области Республики Беларусь.
Целью курсовой работы является: а) определение
исходных геолого-физических данных; б) установление технических показателей при
той или иной системе разработки пласта путем использования гидродинамических
расчетов; в) оценка экономической эффективности различных вариантов разработки;
г) выбор наиболее рационального варианта разработки на основе сопоставления
геолого-технических и экономических показателей.
Под разработкой нефтяного месторождения
понимается управление процессом движения нефти и газа в пласте к
эксплуатационным скважинам путем определенного порядка размещения их на площади
и ввода в эксплуатацию, установления и поддержания их режима работы и
регулирования баланса пластовой энергии.
Основными элементами в системе разработки
каждого эксплуатационного объекта (залежи) являются схема размещения
эксплуатационных скважин на площади и их количество.
Важным фактором в системе разработки каждого
нефтяного месторождения является темп отбора нефти, определяемый суммарной
добычей нефти из месторождения за определенный промежуток времени.
В контроле за разработкой выделяют три основных
направления: изучение процесса выработки запасов залежей нефти, оценка
эффективности применения различных методов повышения коэффициента
нефтеизвлечения, диагностика состояния нефтяных пластов и скважин.
Месторождение состоит из семи залежей - западной
и восточной межсолевых, воронежской, речицкой, семилукской, саргаевской и
ланской.
Поисковая скважина №2 пробуренная в декабре 1967
года и промышленный приток нефти при совместном опробовании ИП воронежских -
семилукских отложений. В дальнейшем была доказана промышленная нефтеносность
каждого из этих горизонтов, а также получены притоки нефти из саргаевских
отложений.
С апреля 1970 г. месторождение находится в
разработке. Запасы нефти и растворенного газа воронежской, семилукской и
саргаевской залежей в составили количество в 31030 тыс. у.е. балансовых и 11282
тыс. у.е. извлекаемых.
Дипломная работа состоит из глав, где
рассматриваются общегеологические вопросы, такие как геологическая
характеристика месторождения, комплекс методов ГИС и интерпретация их
результатов: определение эффективных толщин, коэффициентов пористости,
нефтенасыщенности и глинистости.
Значительное внимание в работе уделено вопросам
обоснование подсчетных параметров и самому подсчету запасов нефти и газа.
Работа венчается охраной труда и окружающей среды.
1. ОБЩИЕ СВЕДЕНИЯ О МЕСТОРОЖДЕНИИ
Вишанское нефтяное месторождение расположено на
территории Октябрьского и Светлогорского районов Гомельской области Республики
Беларусь.
Ближайшими промышленными центрами являются г.
Светлогорск, расположенный в 30 км к северо-востоку, г. Мозырь - 63 км южнее,
г. Речица - 75 км юго-восточнее и г. Гомель - в 109 км на юго-восток.
В пяти км северо-западнее месторождения проходит
железная дорога г.г. Октябрьский - Бобруйск, а в 16 км юго-восточнее - Жлобин -
Калинковичи. Хорошо развита сеть шоссейных дорог. Вблизи проходит нефтепровод
“Дружба”.
В орографическом отношении Вишанское нефтяное
месторождение расположено в восточной части Полесской низменности,
представляющей собой заболоченную, залесенную равнину с хорошо развитой речной
сетью. Непосредственно на территории месторождения протекают реки Тремля и Виша
- притоки Припяти.
Климат района умеренно-континентальный, влажный.
Среднегодовая температура воздуха +7о С. Среднегодовое количество осадков 600
мм.
В экономическом отношении район в основном
сельскохозяйственный. Промышленность развита в городах, где имеются предприятия
пищевой, мебельной, текстильной, химической промышленности и др.
На Вишанской структуре с 1950 г. осуществлялся
комплекс детальных сейсмических исследований. По их данным в 1962-1964 г.г.
пробурена параметрическая скв. 1, полностью вскрывшая весь осадочный комплекс
пород и кристаллический фундамент на 6,1 м.
Структурно-поисковое бурение на Вишанской
площади не проводилось.
К глубокому разведочному бурению Вишанская
структура подготовлена комплексом геофизических исследований МОВ и КМПВ,
проводившихся по 1966 г.
В декабре 1967 г. при совместном опробовании
воронежских-семилукских отложений испытателем пластов в процессе бурения скв. 2
впервые на Вишанской площади был получен промышленный приток нефти.
Поисково-разводочные работы осуществлялись
Мозырской КРБ и Речицкой НРЭГБ треста “Белнефтегазразведка” Управления Геологии
при СМ БССР.
К настоящему времени в пределах Вишанской
площади пробурено 96 скважин. Опробования и испытания скважин проводились
конторой испытания разведочных скважин (КИРС). Промыслово-геофизическое
обслуживание скважин обеспечивается Гомельской Прмыслово-геофизической
экспедицией (г. Мозырь) и Речицкой промыслово-геофизической партией (г.
Речица).
Впервые запасы нефти в отложениях верхнего
девона Вишанского месторождения (воронежская, семилукско-бурегская и
саргаевская залежи) были подсчитаны Тематической партией треста
“Белнефтегазразведка” и утверждены ГКЗ 26 мая 1971 г. ( протокол № 6260) по
состоянию на 1.09.70 г. в количествах 49942,5 тыс. у.е. - балансовых и 31415,4
тыс у.е. извлекаемых.
В 1977 г. объединением “Белоруснефть” был
представлен в ГКЗ пересчет запасов Вишанского месторождения по состоянию на
1.09.76 г. на основе данных доразведки и разработки. Но комиссия воздержалась
от переутверждения запасов нефти всвязи с отсутствием достаточно надежных
геолого-промысловых данных, необходимых для уточнения величин параметров
подсчета (протокол № 7874 от 8 июля 1977 г.).
В 1982 г. ГКЗ утверждает запасы нефти Вишанского
месторождения, пересчитанные “УкрГИПРОНИИнефть” по состоянию на 1.01.82 г. в
количестве 31030 тыс. у.е. начальных балансовых и 11282 тыс. у.е. -
извлекаемых. Остаточные балансовые и извлекаемые запасы утверждены соответственно
в количестве 23637 тыс. у.е. и 3889 тыс. у.е. (воронежская, семилукская и
саргаевская залежи).
С 1983 г. подсолевая залежь Вишанского
месторождения (здесь и далее по тексту отчета залежи воронежского, семилукского
и саргаевского горизонтов представляются как единый объект разработки)
разрабатывается в соответствии с “Проектом разработки…”, который составлен на
основе запасов нефти, утвержденных ГКЗ в 1982 г. и рассчитан до 2001г.
В 1990 г. на баланс ПО “Белоруснефть” были
приняты оперативно подсчитанные запасы нефти западной межсолевой залежи
Вишанского месторождения в количестве 3184 тыс. у.е. начальных балансовых и 732
тыс. у.е. извлекаемых, а также запасы ланской залежи - 2743 тыс. у.е. начальных
балансовых и 658 тыс. у.е. извлекаемых.
В 1996 г. - приняты на баланс оперативные запасы
нефти восточной межсолевой залежи в количествк 6178 тыс. у.е. начальных
балансовах и 1421 тыс. у.е. начальных извлекаемых.
В 1993 г. институтом “БелНИПИнефть” составлен
проект пробной эксплуатации межсолевой и ланской залежей Вишанского
месторождения, рассчитанный до 1998 г.
В настоящее время месторождение разрабатывается
в соответствии с “Программой добычи нефти по месторождениям ПО “Белоруснефть”
на 2000-2003 г.г. Вишанское месторождение”.
2. ГЕОЛОГИЧЕСКОЕ СТРОЕНИЕ РАЙОНА И
МЕСТОРОЖДЕНИЯ
.1 Стратиграфия
В геологическом строении Вишанского
месторождения принимают участие архейско-протерозойские породы кристаллического
фундамента и мощная осадочная толща верхнепротерозойских, палеозойских,
мезозойских и кайнозойских пород.
В настоящем разделе учтен накопившийся с 1980 г.
материал, не внесший, однако, существенных изменений в представление о
геологическом строении района и месторождения.
Кристаллический фундамент вскрыт несколькими
скважинами. Представлен гранитами мелко- и средне кристаллическими темно-серыми
с красноватым оттенком.
Максимальная вскрытая толщина 134,7 м (скв. 7).
Глубина залегания фундамента 3474,0-3831,0 м.
В осадочном чехле относительно региональных
соленосных отложений выделяется ряд толщ: подсолевая терригенная, подсолевая
карбонатная, нижняя соленосная, межсолевая, верхнесоленосные (галитовая и
глинисто-галитовая) и надсолевая.
Подсолевая терригенная толща включает отложения
верхнепротерозойской эратемы (PR2) и девонской системы палеозойской эратемы
(PZ) в составе витебско-пярнуского, наровского, старооскольского и ланского
горизонтов (D12vtb+pr, nr, D22st, D13ln). Залегают отложения несогласно на
поверхности кристаллического фундамента. Литологически представлены песчаниками
от крупнозернистых до мелкозернистых с прослоями глин и мергелей, аргиллитами,
глинами, алевролитами.
Окраска пород темно-серая, зеленовато-серая.
Толщина терригенной толщи 534,8 м (скв.1) - 208
м (скв. 6).
Ланские отложения в пределах Вишанской структуры
являются промышленно нефтеносными.
Подсолевая карбонатная толща в составе
саргаевского, семилукского, речицкого, воронежского и кустовницких слоев
евлановского горизонтов согласно залегает на поверхности ланских отложений
подсолевой терригенной толщи. К этой части разреза во всем Припятском прогибе
приурочены промышленные скопления нефти. На Вишанской площади нефтеносными
являются воронежский, семилукский и саргаевский горизонты.
Отложения саргаевского горизонта (D13 sr)
залегают согласно на ланских. Нижняя часть разреза преимущественно глинистая.
Сложена доломитами плотными, глинистыми, кавернозными и трещиноватыми, часто
ангидритизированными; встречаются глинистые известняки, ангидриты, а также
тонкие прослои доломитовых мергелей и глин. Вверху залегают породы с преобладанием
карбонатной составляющей - это доломиты, доломитизированные известняки,
известковистые доломиты. По порам, кавернам и трещинам сильно
доломитизированных известняков и доломитолв - примазки и капельные выпоты
нефти.
Средняя толщина отложений 41,6 м.
Семилукские отложения (D13sm) в основании
разреза сложены карбонатными и глинисто-карбонатными породами. Это в основном
доломиты, изредка доломитизированные известняки и известковистые доломиты с
тонкими невыдержанными прослоями доломитовых глин и мергелей. Вверху разреза
залегают более чистые вторичные доломиты местами с линзовидными прослоями
глинистых пород. По порам, кавернам и трещинам - битуминозное вещество, пирит,
ангидрит, нефть, иногда каменная соль. Отмечены стилолитовые швы, выполненные
черным глинистым веществом. Верхняя часть семилукских отложений эродирована.
Семилукский горизонт является основным
нефтеносным горизонтом Вишанского месторождения.Толщина отложений 25,7 м в
среднем.
Отложения речицкого горизонта (D13rch) залегают
несогласно на семилукских отложениях и представлены доломитами, доломитовыми
мергелями и глинами серыми с маломощными прослоями глинистых или
доломитизированных известняков, доломитов и ангидритов.
Средняя толщина горизонта 5,9 м.
Воронежский горизонт (D13vr) сложен преимущественно
доломитами, реже доломитизированными известняками серых тонов, мелко- и
тонкозернистыми, массивными, крепкими, участками кавернозными, трещиноватыми,
со стилолитами. Трещины и каверны заполнены нефтью или ангидритом, пиритом,
каменной солью, глинистым материалом.
Толщина горизонта в среднем 29 м.
Завершают разрез подсолевой карбонатной толщи
кустовницкие слои евлановского горизонта (D13ev,kst). Отложения являются
“переходной” пачкой между подсолевой и нижнесоленосной толщами. Литологически
представлены чередующимися глинами, ангидритами, глинистыми известняками,
доломитами.
Толщина кустовницких слоев 50 м в среднем.
Нижнесоленосная толща представлена евлановским
(анисимовские слои) и ливенским горизонтами (D13lv+ev,an). В основном это
каменная соль с многочисленными несолевыми прослоями известняков, ангидритов,
доломитов. В основании толщи - переслаивающиеся глинистые,
карбонатно-сульфатные и терригенные породы с прослоями каменной соли.
Нижняя соленосная толща имеет повсеместное
распространение, толщина изменяется от 6 м до 334 м.
Межсолевая толща в составе домановичского,
задонского, елецкого и петриковского горизонтов залегает на ливенских
отложениях.
Домановичский горизонт (D13dm) представлен
темно-серыми мергелями с прослоями известняков, ангидритов, глин.
Отложения задонского горизонта (D23zd)
несогласно залегают на домановичских. Представлены преимущественно
известняками, доломитами с незначительными прослоями мергелей и глин. Породы
крепкие, пористые, кавернозные, трещиноватые, с признаками нефти. По трещинам
встречается кальцит и доломит.
Породы елецкого горизонта (D23el) несогласно
залегают на задонских и представлены доломитами, известняками серыми с
прослоями ангидритов.
Петриковские отложения (D23ptr) несогласно
залегают на поверхности елецких и завершают разрез межсолевой толщи,
Литологически представлены известняками доломитистыми, мергелями глинистыми.
На Вишанском месторождении межсолевые отложения
нефтеносны.
Средняя толщина межсолевых отложений 250 м.
Галитовая и глинисто-галитовая верхнесоленосные
толщи включают отложения лебедянского, оресского, стрешинского и нижние слои
полесского горизонтов и несогласно перекрывают межсолевые отложения. Иногда
этот комплекс пород залегает на поверхности нижней соли.
Внизу в толще каменной соли встречается мелкие
несолевые прослои мергеля, известняка, ангидрита, доломита, глины. В верхней
части преобладают глинисто-карбонатные породы с прослоями каменной соли.
Надсолевая толща сложена верхнеполесскими
отложениями, отложениями каменноугольной и пермской систем палеозойской
эратемы,триасовой, юрской, меловой, палеогеновой, неогеновой и антропогеновой
систем кайнозойской эратемы. Представлена карбонатно-глинистыми и терригенными
породами: глинами, мергелями, песчаниками, алевролитами, реже известняками и
доломитами; писчим мелом с обуглившимися растительными остатками; ледниковыми и
водноледниковыми образованиями: песками, песчано-гравийными отложениями,
супесями, суглинками, торфом.
Общая средняя толщина надсолевых отложений 655
м.
2.2 Тектоника
В тектоническом отношении Вишанское
месторождение приурочено к одноименной
структуре, расположенной в пределах
Речицко-Вишанской зоны приразломных поднятий
Северной структурно-тектонической зоны
Припятского прогиба.
Речицко-Вишанская зона приразломных поднятий
ограничена с юга региональным разломом субширотного простирания.
Формирование кристаллического фундамента
Припятского прогиба относится к герцинскому этапу складчатости. В связи с
ограниченным количеством данных строение фундамента в пределах Вишанской структуры
(вскрыт лишь в шести скважинах: 1,4,6,7,8) изучено слабо. Предположительно
имеет сложное блоково-ступенчатое строение с субширотными зонами разломов,
характерных для всех структур данной структурно-тектонической зоны.
Толща осадочных пород Вишанской структуры, как и
всей Речицко-Вишанской зоны, по своему строению разделяется на три крупных
структурных комплекса (яруса): нижний, средний и верхний.
Нижний комплекс соответствует платформенному
этапу развития Припятского прогиба и включает в себя подсолевые,
нижнесоленосные и межсолевые отложения. Структурный план его в основном
совпадает со строением поверхности фундамента и имеет преимущественно
моноклинально-блоковые формы залегания с малоамплитудными разрывными
нарушениями.
На юге и юго-западе Вишанская структура
осложнена Речицким региональным разломом, представляющим собой зону сбросов
различной амплитуды от нескольких десятков метров до 800 м. То есть, между
южной опущенной и северной приподнятой частью структуры прослеживается зона
мелких блоков, образованная сетью продольных, а также поперечных
малоамплитудных нарушений. Падение плоскостей сбрасывателей около 75-800.
Ступенчато-сбросовая зона Речицкого
регионального разлома в пределах Вишанской структуры подтверждается бурением
ряда скважин - 4, 6, 8, 19, 43, 56, 65, 73.
В морфологическом плане нижний структурный ярус
Вишанской структуры представляет собой моноклиналь, погружающуюся в север -
северо - восточном направлении под углом 6-80, простирание пород запад - юго -
западное по азимуту 1100.
Средний структурный комплекс, соответствующий
авлакогеновому этапу развития Птипятского прогиба, слагают нижняя соленосная,
межсолевая, верхняя соленосная и надсолевая толщи, а также каменноугольные
отложения. В формировании пород комплекса большая роль принадлежит соляной
тектонике. Поэтому они в значительной степени дислоцированы. В ряде мест в
пределах Вишанской площади локальные соляные структуры образуют поднятия.
Структурные планы нижней соленосной и межсолевой
толщ значительно отличаются от строения поверхности подсолевых отложений.
Проявление соляного тектогенеза привело к образованию в ливенской соли в
приразломной и надразломной зонах слабовыраженных поднятий, проявившихся
увеличением толщины ливенской толщи. Далее на северо-восток нижнесоленосные
отложения повторяют строение поверхности подсолевых отложений.
Верхний структурный комплекс состоит из
пермских, триасовых, юрских, меловых и кайнозойских отложений. Первоначальное
залегание пород верхнего яруса мало нарушено. Тектонические движения этого
этапа - позднеплатформенного - не вызвали изменений в горизонтальном залегании
пород.
3. ГЕОЛОГО-ГЕОФИЗИЧЕСКАЯ
ХАРАКТЕРИСТИКА МЕСТОРОЖДЕНИЯ
Промышленная нефтеносность Вишанского
месторождения связана с карбонатными коллекторами елецко-задонского, воронежского,
семилукского и саргаевского горизонтов и терригенным коллектором ланского
горизонта.
Вишанское месторождение открыто в 1967 году при
опробовании скважин 2 и 5 отложений подсолевого комплекса девона, в 1970 году
введено в пробную эксплуатацию, в 1971 году в промышленную разработку. В 1983
году составлен проект разработки подсолевой залежи Вишанского месторождения, и,
с тех пор, разработка осуществлялась в соответствии с проектом. В настоящее
время залежь разрабатывается в соответствии с Программой добычи нефти на 2000 -
2003 годы.
Нефтеносность отложений межсолевого комплекса и
ланского горизонта установлена в 1990 году.
С 1983 года на месторождении пробурена 31
скважина, из них:
26 на подсолевые залежи (3 вторыми стволами)
на межсолевую залежь.
Бурение новых скважин позволило уточнить
геологическое строение и значения подсчетных параметров по межсолевой и
подсолевой залежам.
В 2001 году в “ БелНИПИнефть” был проведен
пересчет запасов по подсолевым залежам нефти и подсчет запасов нефти межсолевых
(западной и восточной) и ланской залежей.
3.1 Геологоразведочные работы
Вишанская площадь разведана и подготовлена
сейсмическими исследованиями под глубокое разведочное бурение в 1966 году.
Подробно весь дальнейший комплекс работ по поискам, разведке, а также
эксплуатационному бурению описан в отчете по пересчету запасов на 1.01.80 г.
Следует только отметить, что в 1974 и 1975 г.г. в результате опробования
елецко-задонских отложений в скв.75,76 и 77 были получены притоки нефти.
С января 1980 г. на нынешнюю дату пересчета на
месторождении пробурены 24 скважины, из них 20 (№№ 101,105-119,121,123,126,127)
эксплуатационных и 4 (№№ 200-203) разведочных.
Общий метраж разведочного бурения составил 11374
м. Все перечисленные разведочные скважины находятся в эксплуатационном фонде. С
отбором керна пройдено 398,4 м, что составляет 3,5% общей проходки. Линейный
выход керна по разведочным скважинам составил 318,3 м или 79,9% от проходки с
отбором керна. В эксплуатационных скважинах 106,115,121,123 и 126 также
отбирался керн.
Доразведка Вишанского месторождения и
эксплуатационное бурение за отчетный период подтвердили нефтеносность
межсолевых отложений и выявили ланскую залежь нефти.
В 1990 г. пересмотрев сейсмические материалы,
результаты интерпретации ГИС, Тематической партией объединения “Белоруснефть”
были подсчитаны запасы западной межсолевой залежи по категории С2, а после
бурения в этом же году скв. 200, в которой получен приток нефти 28,8
м3/сут.,запасы по межсолевой залежи были переведены в категорию С1.
В 1990 году была углублена эксплуатационная
скв.109 с целью доразведки ланского горизонта. В результате в колонне получен
приток нефти 33 м3/сут.
Бурение в этом же году скв. 108 и 118
подтвердило нефтеносность этого горизонта.
На баланс были приняты запасы ланской залежи по
промышленной категории С1.
Аналогично с целью доразведки и подтверждения
нефтеносности восточной межсолевой залежи, запасы нефти которой числились на
Госбалансе с 1994 г., в 1996 г. были испытаны межсолевые отложения в скв. 44, в
результате чего получен приток нефти в колонне 4 м3/сут. Это позволило
перевести запасы в промышленную категорию С1.
3.2 Характеристика толщин,
коллекторских свойств продуктивных горизонтов и их неоднородности
Залежи нефти Вишанского месторождения приурочены
к межсолевым отложениям елецкого и задонского горизонтов и подсолевым
отложениям воронежского, семилукского, саргаевского и ланского горизонтов.
Нефтевмещающими породами межсолевых,
воронежской, семилукской и саргаевской залежей служат доломиты и известняки
слобоглинистые, пористо-кавернозные, трещиноватые. Нефтяной коллектор в ланском
горизонте представлен кварцевыми песчаниками.
Определение характера насыщения, фильтрационнных
и емкостных свойств проводилось геофизическими и гидродинамическими методами
исследования скважин, а также лабораторными исследованиями керна.
Лабораторные исследования керна включали
определения полной пористости по Мельчеру, открытой - по Преображенскому.
Открытая и полная емкости кавернозных образцов определялись по методу Котяхова,
карбонатность - методом Щербины, проницаемость по газу определялась на приборе
ГК-5.
В результате лабораторных исследований на 277
образцах полная пористость межсолевых продуктивных отложений составляет 6,59%,
открытая - 5,96%. Объем закрытой пористости равен 0,63%.
По данным 114 определений, выполненных на одних
и тех же образцах, полная пористость пород воронежского горизонта составляет
3,37%, открытая - 1,92%. Объем закрытой пористости равен 1,45%.
Полная пористость семилукских отложений по
результатам 91 определения равна 3,11%, открытая - 1,48% и закрытая - 1,63%.
На основании 232 измерений значения названных
выше параметров для пород саргаевского горизонта, соответственно, равны 3,24%,
1,42% и 1,82%.
Ланские песчаники (n=25) характеризуются
наибольшей полной пористостью 12,9% при открытой пористости 11,5%. В ланских
песчаниках при расчете открытой пористости закрытая пористость не учитывалась.
Емкостная характеристика пород по методу
Котяхова определена на 51 образце керна, отобранного из межсолевых отложений, 4
образцах из воронежских отложений, 28 образцах из семилукских отложений, и на 3
образцах из саргаевских отложений Вишанского месторождения. Исходя из
определений открытой емкости кавернозных образцов, получены средние значения
этого параметра: каверн и пор - 7,5%, 5,3%; 8,0% и 3,7%, каверн - 4,2%, 1,4%;
3,9% и 1,1%, пор - 3,3%, 3,9%, 4,1% и 2,6%, для межсолевых воронежских,
семилукских и саргаевских отложений, соответственно.
Основную емкость пород-коллекторов в межсолевых
отложениях Вишанского месторождения составляют каверны выщелачивания и поры. В
открытой емкости коллекторов воронежского горизонта преобладают поры. Во всех
коллекторах имеются также трещины. Таким образом, тип коллектора принимается
для межсолевых отложений каверново-порово-трещинный, для воронежских отложений
- порово-каверново-трещинный.
В емкости коллекторов семилукских отложений
преобладают каверны, на этом основании принят каверново-порово-трещинный тип
коллектора.
Прямым исследованиям емкостных характеристик
карбонатных пород саргаевского горизонта методом Котяхова подверглись лишь 3
образца керна. Так как состав карбонатных отложений и условия формирования
коллекторов саргаевского и семилукского горизонтов очень схожи, то для
саргаевской залежи принят каверново-порово-трещинный тип коллектора.
На 517 образцах керна, отобранного из
карбонатных пород межсолевых отложений Вишанского месторождения, выполнены
определения проницаемости. 145 образцов оказались непроницаемыми. Проницаемость
остальных образцов меняется от 0,01 до 910фм2, при средней величине 5,8фм2. На
94 образцах керна, отобранного из карбонатных пород воронежских отложений,
выполнены определения проницаемости. 25 образцов оказались непроницаемыми.
Проницаемость остальных образцов меняется от 0,01 до 29,2фм2, при средней величине
1,2фм2.
По семилукскому горизонту определения
проницаемости выполнены на 26 образцах керна, среди которых 9 образцов
непроницаемые.
По саргаевскому горизонту определения
проницаемости выполнены на 146 образцах керна, среди которых 74 образца непроницаемые.
По ланскому горизонту определения проницаемости
выполнены лишь на 7 образцах керна, среди которых нет непроницаемых.
На основании результатов исследований образцов
можно сделать вывод, что исследованные образцы являются, в основном,
непроницаемыми и малопроницаемыми.
Коллекторами в межсолевых отложениях являются
доломиты, реже доломитизированные известняки. Доломиты скрытокристаллические и
мелкозернистые, массивные, местами с включениями белого ангидрита,
трещиноватые, пористые и кавернозные, каверны обычно мелкие размером 0,5-1мм до
3мм, иногда до 10-30мм. Иногда каверны заполнены жидкой нефтью. Трещины
разноориентированные, шириной 0,5-1,5мм, иногда до 4мм.
Известняки доломитизированные от микро-до
крупнокристаллических, крепкие, массивные, плотные, иногда кавернозно-поровые,
слабо трещиноватые, трещины почти горизонтальные, шириной до 1мм. Каверны полые
размером до 3мм. По кавернам, порам и трещинам наблюдаются выпоты вязкой
темно-коричневой нефти.
Нефтенасыщенные толщины пластов-коллекторов западной
межсолевой залежи колеблются в пределах от 30,0м (скв.77) до 87,7м (скв.126),
восточной межсолевой залежи - в пределах от 1,4м (скв.45) до 47,3м (скв.115).
Максимальные нефтенасыщенные толщины по межсолевым залежам приурочены к
центральным частям залежей.
По данным геофизических исследований для
межсолевых залежей нефтенасыщенные толщины определялись как средневзвешенные по
площадям и равны: для западной залежи 36м, для восточной - 14м. Коэффициенты
открытой пористости и нефтенасыщенности определялись для залежей как
средневзвешенные величины по эффективным толщинам и их значения равны для
западного блока: пористость - 9%, нефтенасыщенность - 78%, для восточного
блока: пористость - 9%, нефтенасыщенность - 66%.
Коллекторами в воронежском горизонте служат
доломиты, реже доломитизированные известняки. Доломиты мелко- и тонкозернистые,
массивные, крепкие, участками кавернозные, трещиноватые, со стилолитами.
Трещины и каверны иногда заполнены нефтью или ангидритом, пиритом, каменной
солью, глинистым материалом.
Пласты-коллекторы воронежского горизонта на
значительной части залежи замещены непроницаемыми заглинизированными породами.
Зоны замещения пластов-коллекторов расположены на западе и востоке залежи, в то
время как в центральной части встречены наиболее продуктивные пласты,
обладающие максимальной нефтенасыщенной толщиной в скв.118 - 29,5м, в скв.107 -
27,5м.
Для воронежской залежи по данным ГИС принята
средневзвешенная нефтенасыщенная толщина 7м, коэффициент открытой пористости -
6%, коэффициент нефтенасыщенности - 80%.
Коллекторы семилукского горизонта представлены
преимущественно вторичными доломитами разнозернистыми, крепкими, залегающими в
верхней части разреза. Участками в доломитах отмечается большое количество
макро- и микротрещин, пор и каверн. Каверны и трещины заполнены солью,
ангидритом и нефтью. Нижняя часть разреза семилукского горизонта сложена в
основном доломитами, доломитизированными известняками и известковистыми
доломитами с тонкими невыдержанными прослоями доломитовых глин и мергелей. По
разрезу коллектора приурочены к азерецким и верхнебуйновичским слоям.
Пласты-коллекторы семилукского горизонта
являются наиболее однородными и имеют повсеместное распространение по площади
залежи. Нефтенасыщенная толщина коллекторов колеблется от 3,4м (скв.70) до
28,2м (скв.114). Максимальные нефтенасыщенные толщины встречены на западе и в
центральной части залежи.
Для семилукской залежи по данным геофизических
исследований нефтенасыщенная толщина определялась как средневзвешенная по
площади и равна 17м, пористость - 8%, нефтенасыщенность - 74%.
Коллекторы саргаевского горизонта представлены
преимущественно доломитами, а также неравномерно доломитизированными
известняками и известковистыми доломитами, пористыми, кавернозными и
трещиноватыми. Коллекторы, в основном, приурочены к верхней, карбонатной части
разреза саргаевского горизонта. Нижняя часть разреза отличается более высоким
содержанием глинистого вещества и сульфатов, но и в ней имеются пласты-
коллекторы.
В отложениях саргаевского горизонта почти во
всех (кроме 33, 34, 54 и 70) скважинах встречены пласты-коллекторы толщиной от
2,8м (скв.5) до 40,3м (скв.107). Максимальные нефтенасыщенные толщины
распространены в центральной части залежи.
Для саргаевской залежи нефтенасыщенная толщина
по данным ГИС равна 13,0м, пористость - 5%, нефтенасыщенность - 73%.
Коллекторами в отложениях ланского горизонта
являются песчаники кварцевые, массивные, мелкозернистые, крепкие, иногда
слюдистые. Они преобладают в базальной части горизонта, где переслаиваются с
алевролитами. Нефтенасыщенная толщина пластов-коллекторов колеблется от 3,0м
(скв.117) до 15,6м (скв.118). Максимальные нефтенасыщенные толщины приурочены к
центральной части залежи.
4. ГЕОФИЗИЧЕСКИЕ ИССЛЕДОВАНИЯ
СКВАЖИН, МЕТОДИКА И РЕЗУЛЬТАТЫ ИНТЕРПРЕТАЦИИ ПОЛУЧЕННЫХ ДАННЫХ
.1 Краткая характеристика условий
проведения геофизических исследований в скважинах
После предыдущего подсчета запасов нефти в
контуре нефтеносности залежей Вишанского месторождения было пробурено 24
скважины. Вскрытие интервалов продуктивных подсолевых отложений в скважинах
106, 107, 109, 111, 114, 119, 121 производилось на слабоминерализованном
глинистом растворе, в скважине 101 - на непроводящей электрический ток
промывочной жидкости БИЭР. Во всех остальных вновь пробуренных скважинах межсолевые
и подсолевые продуктивные горизонты вскрыты на высокоминерализовынном буровом
растворе.
Высокоминерализованный буровой раствор состоит
из монтмориллонитового (25-30 процентов) глинопорошка и галита в фильтрате
удельного веса 1.24-1.28 г/см3. В качестве химреагентов, добавляемых в раствор,
используют модифицированный крахмал (0.5-1.5 процента), ССБ (3-5 процентов),
пеногаситель МАС-200 (0.02 процента) или Т-80 (5-10 процентов) и нефть (до 10
процентов) с утяжелителем (барит).
Состав слабоминерализованного раствора
отличается от вышеописанного меньшим количеством галита в фильтрате.
Непроводяший буровой инвертный эмульсионный
раствор (БИЭР), состоит из раствора галита плотностью 1.18 г/см3 (до 50 %) и
дизтоплива (41-42 %). В качестве химреагентов в раствор добавляют СМАД (до 3
%), ИКБ-2 (до 4 %), высокодисперсный мел (до 4 %), иногда эмультал (1-4 %) или
украмин (до 4 %), глинопорошок (до 0.5 %).
Удельное электрическое сопротивление бурового
раствора, использовавшегося при проходке межсолевых отложений, при температуре
180С меняется от 0.078 Омм до 0.45 Омм. Плотность растворов составляет
1.31-1.40 г/см3, вязкость - 25-60 сек, водоотдача - 8 см3/30 мин. В пластовых
условиях удельное электрическое сопротивление промывочной жидкости варьирует от
0.04 Омм до 0.60 Омм.
Удельное электрическое сопротивление бурового
раствора, использовавшегося при проходке подсолевых отложений, при температуре
180С меняется от 0.038 Омм до 1.42 Омм. Плотность растворов составляет
1.03-1.33 г/см3, вязкость - 15-220 сек, водоотдача - 4 см3/30 мин. В пластовых
условиях величина удельного электрического сопротивления находится в пределах
от 0.02 Омм до 0.70 Омм.
Пластовые воды межсолевых и подсолевых
продуктивных отложений относятся к хлоркальциевому типу и представляют собой рассолы
хлоридно-кальциево-натриевого состава. По данным химических анализов проб
пластовых вод межсолевых отложений их минерализация (t=200С) меняется от 342.5
до 362.0 г/л, удельное электрическое сопротивление в пластовых условиях
находится в пределах от 0.017 Омм до 0.019 Омм и остается постоянным по разрезу
и площади. Средняя величина его составляет 0.019 Омм.
Минерализация пластовых вод подсолевых
продуктивных отложений (t=200С) меняется от 343.7 до 397.4 г/л. Удельное
электрическое сопротивление в пластовых условиях меняется в пределах от 0.016
Омм до 0.019 Омм и остается постоянным по разрезу и площади. Для подсчета
принято его среднее значение 0.017 Омм.
Для оценки пластовой температуры использовались
результаты замеров геотермического градиента в скважинах 45 и 60, которые
расположены в центральной части месторождения. Так как измерения температуры в
этих скважинах выполнены до глубины 2800 м, для более глубоко залегающих
отложений температура определялась путем экстраполяции по линейному закону (рис.
4.1). Оценки пластовой температуры, полученные с помощью приведенной
зависимости, использовались для определения удельного электрического
сопротивления фильтрата бурового раствора и пластовых вод в условиях залегания.
Геотермический градиент в пределах Вишанского месторождения остается
практически неизменным и составляет примерно 1.7 оС/100 м для межсолевых и
подсолевых отложений. В зависимости от глубины залегания температура
продуктивных межсолевых отложений изменяется в пределах залежи от 54.20С (скв.
200) до 57.5 0С (скв.94), а подсолевых - от 58.10С (скв. 45, 108, 110) до 65.3
0С (скв.95).
Рис. 4.1
4.2 Комплекс, методика и качество
геофизических исследований скважин
Поисковое бурение на Вишанском месторождении
начато в 1967 году скважиной № 2.После предыдущего подсчета запасов были
пробурены скважины 101, 105, 106, 107, 108, 109, 110, 111, 112, 113, 114, 115,
116, 117, 118, 119, 121, 123, 126, 127, 200, 201, 202, 203.
Продуктивные межсолевые и подсолевые отложения
вскрывались, в основном, на высокоминерализованном буровом растворе.
Комплекс для исследования скважин, бурящихся на
высокоминерализованном растворе, включает боковой, микробоковой, акустический,
радиоактивный (ГК, НГК) каротажи, кавернометрию и инклинометрию.
При необходимости уточнения характера насыщения
и засолонения пород в качестве дополнительного проводился импульсный
нейтрон-нейтронный метод по тепловым нейтронам (ИННКт). В опытном порядке по
отдельным скважинам были выполнены нейтрон-нейтронный метод по надтепловым
(ННКнт) и тепловым (ННКт) нейтронам, компенсационный нейтронный (КНК) и
плотностной гамма-гамма каротаж (ГГК). Газовый каротаж, термометрия,
профилеметрия, метод потенциалов собственной поляризации (ПС), индукционный
каротаж, метод фазокорреляционных диаграмм (ФКД) и отбор образцов проведен по
скважинам выборочно. Контроль цементирования (АКЦ, ОЦК) - во всех скважинах.
Скважинные условия Вишанского месторождения
являются типичными для Припятского прогиба, поэтому геофизические исследования
проводились по общепринятой методике.
В надсолевых отложениях исследования
осуществляются перед спуском колонны обсадных труб методом БК, ГК, НГК, АК,
кавернометрии и инклинометрии. Масштаб глубин I : 500.
Соленосные толщи исследуются вышеперечисленными
методами в масштабе глубин I: 500 через 500-600 м проходки. При наличии в
разрезе карбонатных пластов указанные исследования дублируются в масштабе
глубин I:200.
В межсолевых и подсолевых карбонатных
отложениях, к которым приурочены основные продуктивные на нефть горизонты в
Припятском прогибе, интервалы разреза исследуются через 150-200 м проходки
методами БК, ГК, НГК, АК, кавернометрии в масштабе глубин I: 500.
Детальные исследования в масштабе 1 : 200
включают БК, МБК, ГК, НГК, АК (по скорости и затуханию), резистивиметрию и
кавернометрию.
В каждой скважине измеряется кривизна
инклинометром через каждые 300 м проходки, точки замеров - через 25 м.
Обязательный комплекс исследований в продуктивных интервалах осуществляется в
минимальный срок после их вскрытия.
В перспективных интервалах разреза,
прокаротированных ранее в несколько приемов, после их полного вскрытия
проводятся все виды перечисленных выше исследований единым замером с
обязательным перекрытием пластов каменной соли или карбонатных пород при
каротаже терригенных отложений.
При исследовании скважин, бурящихся на
высокоминерализованных растворах, боковой каротаж в модификации
трехэлектродного (БК-3) входит в обязательный комплекс, начиная с 1979 года.
Кривая сопротивлений (ρэ)
регистрировалась в масштабе 1-250 Омм/см и в логарифмическом масштабе с модулем
4 см при скорости записи 2000 - 2500 м/час. Измерения осуществлялись
аппаратурой АБКТ, К-3 и Э-1.
Этот вид исследований в условиях Припятского
прогиба является основным методом определения удельного электрического
сопротивления пород и связанного с ним параметра пласта - нефтенасыщенности.
Ограничения метода состоят в занижении сопротивления пластов каменных солей,
ангидритов и плотных карбонатов, обусловленные конструктивными особенностями аппаратуры.
Кроме этого, метод не позволяет определить удельное электрическое сопротивление
пласта при глубоком (более 4,5 м) проникновении в него фильтрата бурового
раствора.
Боковой микрокаротаж производился при детальных
исследованиях продуктивных горизонтов. Кривые сопротивлений регистрировались в
масштабах I-25 Омм на I см при скорости записи до I000 м/час. Измерения
осуществлялись аппаратурой МБК, КМБК, МБКУ.
Диаграммы МБК в комплексе с БК-3 используются
при благоприятных условиях лишь для качественного выделения продуктивных
пластов. Что же касается количественных определений, то для этой цели данные
МБК не применялись, так как сопротивления плотных пластов значительно превышают
верхний разрешающий предел (150- 200 Омм) регистрирующей аппаратуры.
Индукционный каротаж проводился для детальных
исследований продуктивных интервалов, вскрытых на непроводящей электрический
ток промывочной жидкости (БИЭР). В обязательный комплекс включен с июля 1978
года. Измерения выполнены аппаратурой АИК-5. Кривые удельной электрической
проводимости регистрировались в масштабах 0.01; 0.05; 0.025 Сим/м при скорости
1500 м/час. Диаграммы ИК в комплексе с другими методами используются для
качественной интерпретации. Это связано с тем, что удельное электрическое
сопротивление подавляющего большинства нефтенасыщенных пластов находится в
пределах от нескольких сотен до тысяч Омметров. В то же время из-за низкой
разрешающей способности аппаратуры в пластах с удельным электрическим
сопротивлением более 50 Омм метод для количественных определений не применим.
Гамма-каротаж является одним из основных видов
исследований. Кривые естественной радиоактивности регистрировались масштабах
0.5 -1.5 мкР/час на 1см. Скорость записи 400 м/час. Постоянная интегрирующей
ячейки равна 3 секундам. Измерения производились аппаратурой ДРСТ 2-3, СРК.
Индикаторами излучения служат сцинтилляционные счетчики с кристаллами йодистого
натрия, активированного таллием NaI(Тl), размерами 40х40 мм.
Приборы эталонируются в соответствии с
требованиями «Технической инструкции». Качество диаграмм и разрешающая
способность метода позволяют использовать кривые ГК для корреляции и
литологического расчленения разрезов, а также определения глинистости пластов.
Нейтронный гамма-каротаж является основным
методом, используемым для определения пористости пород. Размер зонда 60 см.
Кривые НГК регистрировались в масштабах 0.1- 0.2 ст.ед. на 1 см. Скорость
записи 400 м/час. Постоянная интегрирующей ячейки равна 3 секундам. Измерения
проводились аппаратурой ДРСТ 2-3, СРК. Индикаторами излучения служат
сцинтилляционные счетчики NaI(Тl) с размером кристалла 40х40 мм. В качестве
излучателей нейтронов использовались плутониево-бериллиевые источники мощностью
от 4.62х106 до 5.03х106 n/сек. Поскольку нейтронный гамма-каротаж является
одним из основных методов, используемых для определения пористости, то к этому
методу предъявляются высокие требования в отношении качества и стандартизации.
Эталонирование канала НГК осуществляется в, так
называемых, «гетерогенных средах» (В. Иванкин, 1968).
В качестве «гетерогенных сред» применяется
устройство, состоящее из трех тонкостенных металлических цилиндров разного
размера. Цилиндры вставлены друг в друга, имеют общую ось и образуют два
цилиндрических слоя. Цилиндр с наименьшим диаметром является «скважиной»
эталонировочного устройства. Непосредственно за ним следует полый цилиндр,
содержащий воздух. Последний в комбинации с заполненным водой большим цилиндром
имитирует низкопористый пласт. Большой цилиндр (бак), заполненный водой, служит
моделью высокопористого пласта.
Значение НГК (имп/мин), замеренное в заполненном
водой большом цилиндре, принимается за первую стандартную единицу, а за вторую
- замеренное в пределах двойного цилиндрического слоя, первым из которых
является воздух. Значения, полученные в результате описанной эталонировки для
конкретного прибора с определенным источником нейтронов, используются при
установке масштабов диаграмм в стандартных единицах. Качество диаграмм и
разрешающая способность метода позволяют использовать кривые НГК для корреляции
и литологического расчленения разрезов скважин. Кроме того, в условиях
Припятского прогиба НГК является основным методом, применяемым для определнния
пористости пластов и выделения эффективных толщин.
Импульсный нейтрон-нейтронный каротаж применяется,
начиная с июля 1978 года. Измерения выполнены аппаратурой ИГН при скорости
регистрации до 120 м/час. Размер зонда 30 см. Масштаб записи кривых 75-9600
имп/мин/см, Тзад. = 600-1200 мкс, То = 300 мкс. В связи с отсутствием
отработанной методики исследований и несовершенством измерительной аппаратуры,
в настоящее время количественная интерпретация данных ИННК (определение
коэффициентов пористости и нефтенасыщенности) не проводится.
Акустический каротаж по скорости и затуханию
включен в комплекс с 1979 года и проводится во всех скважинах. Диаграммы
акустического каротажа, зарегистрированные до 1979 года, при интерпретации
данных ГИС нами не использовались из-за низкого качества.
Исследования выполняются посредством аппаратуры
USBA, СПАК. Размеры зонда И20.5И11.5П, И10.5И2 0.85П. В процессе измерений
регистрируется интервальное время прохождения волны от излучателей к приемнику
(Т1 и Т2), интервальное время прохождения волн между излучателями (DT),
амплитуды первых вступлений от двух излучателей ( А1 и А2) и логарифмы
отношений этих амплитуд (a). Масштаб записи кривых Т1 и Т2 -
10 мкс/см, DT = 10 мкс/см, А1 и А2 - 0.5; 1.0; 1.5; 2.5; 5
В/см; a-2.5
(дб /м)/см. Скорость записи 400- 2000 м/час.
Эталонирование аппаратуры проводилось в
соответствии с требованиями «Технической инструкции». Данные исследований
акустического каротажа используются для литологического расчленения разреза,
выделения пластов-коллекторов и определения объема их емкостного пространства.
Кавернометрия в скважинах проводится с целью
измерения диаметра скважин и контроля за их техническим состоянием.
Кавернограммы регистрируются в масштабах 1 : 2.5 см/см. Скорость записи
1500-2000 м/час.
В качестве измерительных приборов использовались
каверномеры типа СКП-1, СКО, СКИ. Приборы градуируются в соответствии с
требованиями «Технической инструкции...».
Кавернограммы используются для контроля за
техническим состоянием стволов скважин, корреляции разрезов, литологического
расчленения пород и при количественной интерпретации данных других
геофизических методов.
Качество геофизических исследований в скважинах
оценивалось Речицкой ПГК и геологической службой треста «Западнефтегеофизика»
согласно соответствующим инструктивным документам.
Кроме этого, в процессе обработки данных ГИС для
определения подсчетных параметров проводилась повторная проверка качества
геофизических материалов. Достоверность параметров, измеренных различными
геофизическими методами, определялась, главным образом, по данным повторных
записей соответствующих кривых.
В результате проверок установлено, что диаграммы
бокового каротажа хорошего качества. Расхождение в значениях кажущегося
сопротивления (к) не превышает 5 процентов.
Для оценки качества материалов МБК надежных
критериев нет. Но, если руководствоваться лишь степенью сопоставимости
повторных замеров, то качество диаграмм МБК следует считать удовлетворительным.
Однако это можно утверждать только в отношении участков разреза,
характеризующихся удельным электрическим сопротивлением не более 150 - 200 Омм
(верхний предел разрешающей способности измерительной аппаратуры). Поскольку
электрические сопротивления плотных и нефтенасыщенных пластов превышают этот
предел и кривая МБК напротив них не дифференцирована, то для оценки
нефтенасыщенности пластов этот метод не применялся.
Кривые гамма-каротажа, в основном, хорошего
качества. Расхождение значений естественной радиоактивности не превышает 5
процентов. Качество диаграмм НГК оценивалось путем сравнения записей масштабов
1:200 и 1: 500, а также по данным повторных замеров. Диаграммы, в основном,
хорошего качества. Расхождение в показаниях не превышает 5 процентов.
Материалы акустического каротажа оценивались
также путем сопоставления повторных измерений и по величинам интервального
времени против пластов каменной соли, ангидритов и в колоннах. Качество
диаграмм преимущественно удовлетворительное. Расхождения в показаниях находятся
в допустимых по инструкции пределах.
Кавернограммы преимущественно хорошего качества.
Погрешность измерения диаметров скважин не превышает 1.5 см.
4.3 Физические свойства коллекторов
Интерпретация данных ГИС базируется на
результатах изучения физических свойств пород по керну. С этой целью керн
отобран из продуктивных межсолевых и подсолевых отложений в скважинах 1, 2,
3,4, 5, 6, 7, 8, 9, 10, 11, 12, 13, 15, 16, 17, 21, 22, 23, 27, 29, 30, 32, 36,
37, 44, 46, 48, 52, 53, 58, 63, 64, 67, 73, 75- 77, 81, 94, 115, 121, 123, 200,
201, 202, 203.
В лабораторных условиях изучался комплекс
физических свойств, включавший в себя определение объемной и минералогической
плотности, полной пористости - по А.Ф Мельчеру, открытой - по И.А.
Преображенскому, полной и открытой емкости кавернозных образцов - по Ф.И.
Котяхову, карбонатности - методом В.Н. Щербины, остаточной водонасыщенности -
методом центрифугирования, проницаемости по газу - на приборе ГК-5.
Перед визуальным изучением керна ставилась
задача определения форм и размеров форменных образований и создаваемых ими
пустот, характера их заполнения, а также вещественного состава.
В разрезе Вишанского месторождения в межсолевых и
подсолевых отложениях выявлено 7 нефтяных залежей - две межсолевых (западная и
восточная), воронежская, речицкая, семилукская, саргаевская и ланская.
Нефтевмещающими породами межсолевых,
воронежской, речицкой, семилукской и саргаевской залежей служат характерные для
Припятского прогиба доломиты и известняки слабоглинистые, пористо-кавернозные,
трещиноватые. Коллекторы ланского горизонта представлены кварцевыми
песчаниками.
Преобладающим типом коллекторов межсолевых,
семилукской и саргаевской залежей является каверново-порово-трещинный,
воронежской и речицкой залежей - порово-каверново-трещинный, а ланской залежи -
поровый.
Для изучения физических свойств коллекторов были
проанализированы результаты лабораторных исследований образцов керна,
отобранных из продуктивных частей разрезов скважин, расположенных в пределах
залежей.
Измерение абсолютной и открытой пористости на
образцах керна показывает следующее.
По данным 277 определений (n=277), выполненных
на одних и техже образцах, полная пористость (Кпп) межсолевых продуктивных
отложений составляет 6.59 %, открытая (Кпо) - 5.96 %. Объем закрытой пористости
(Кпз) равен 0.63 %.
В результате лабораторных исследований на 114
образцах полная пористость (Кпп) пород воронежского горизонта составляет 3.37
%, открытая (Кпо) - 1.92 %. Объем закрытой пористости (КпЗ) равен 1.45 %.
Абсолютная пористость семилукских отложений по
результатам 91 определения равна 3.11 %, открытая - 1.48 % и закрытая - 1.63 %.
На основании 232 измерений значения названных
выше параметров для пород саргаевского горизонта, соответственно, равны 3.24,
1.42 и 1.82 %.
Ланские песчаники (n=25) характеризуются
наибольшей полной пористостью 12.9 % при открытой пористости 11.5 %. В связи с
близостью указанных величин и межзерновой природой емкости песчаников, разница
между полной и открытой пористостью объясняется различием в методике их
определения., Таким образом, в ланских песчаниках при расчете открытой
пористости закрытая пористость не учитывалась.
Указанные значения закрытой (Кпз) пористости
использовались при расчете открытой емкости межсолевых и подсолевых
продуктивных пластов.
Сопоставление содержания нерастворимого остатка
(Сно) с величинами полной пористости (Кпп) образцов с карбонатностью,
превышающей 80 %, приведено на рис. 4.2а, 4.2б и указывает на отсутствие связи
между названными параметрами для продуктивных карбонатных отложений.
Для пород-неколлекторов наблюдается тенденция
прямолинейной связи между содержанием Сно и Кпп. На рисунке .3а видно, что при
Сно = 100 % значение полной пористости пород-неколлекторов межсолевых отложений
составляет 14.3 %.
Это значение полной пористости может быть
принято за величину содержания гигроскопической воды (Wгиг) в глинистой фракции
межсолевых пород.
Аналогично, значение полной пористости
пород-неколлекторов подсолевых (воронежских, семилукских, саргаевских)
отложений при Сно = 100 % составляет 13.9 %. Следовательно, значение полной
пористости, равное 13.9 %, может быть принято за величину содержания
гигроскопической воды (Wгиг) в глинистой фракции пород подсолевых горизонтов.
В связи с невысокими коэффициентами корреляции
зависимостей Кпп = f(Сно), составленных для глинистых и плотных разностей
карбонатных пород межсолевых и подсолевых отложений, соответственно равными
0.69 и 0.72, для подтверждения полученной величины содержания гигроскопической
воды в глинистой фракции нами проведен следующий аналитический расчет.
Абсолютная пористость непроницаемых глинистых разностей карбонатных пород
(глинистых доломитов и известняков, мергелей) обусловлена, в основном,
содержанием в них гигроскопической воды, связанной с имеющимися в этой породе
глинистыми минералами.
Сопоставление содержания нерастворимого остатка
(Сно) с полной пористостью (Кпп) карбонатных пород межсолевых (а) и подсолевых
(б) отложений.
Рис. 4.2
Зависимость между полной пористостью (Кпп) и
карбонатностью (С) глинистых и плотных разностей межсолевых (а) и подсолевых
(б) карбонатных пород.
а)
б)
Рис. 4.3
На основании результатов анализа вещественного
состава образцов определено содержание нерастворимого остатка (Сно) и глинистых
минералов (Кгл). Переход от Сно к Кгл осуществлен по формуле Кгл = 0.9 Сно. В
результате пересчета на 100-процентную глинистость определена абсолютная
пористость каждого образца, т.е. содержание гигроскопической воды.
Нефтегазонасыщенность (Кн) коллекторов
межсолевых, воронежской, речицкой, семилукской и саргаевской залежей
определялась по коэффициенту увеличения удельного электрического сопротивления
пласта (КнРН), по балансу пористости (КнБП) и по остаточной водонасыщенности
(КнОВ), а ланской залежи - только первым из перечисленных выше методов.
В расчетах нефтенасыщенности по коэффициенту
увеличения сопротивления (Рн) для всех залежей использована соответствующая
гидрофильным коллекторам порового типа квадратичная зависимость Рн = 1/Кв2,
многократно апробированная ГКЗ СССР при подсчете запасов нефтяных залежей
Припятского прогиба (рис. 4.4). Применение этой зависмости вызвано тем, что
вода в нефтенасыщенных пластах сосредоточена в порах блоковой части породы,
т.е. коллекторы в данном случае проводят электрический ток как коллекторы
порового типа.
Рис. 4.4
Значения электрических сопротивлений нефтяных
пластов межсолевых залежей, при условии 100-процентного насыщения пластовой
водой, рассчитаны по зависимости МИНХиГП для межсолевых карбонатных коллекторов
(m = 2.18). Емкость пустот, занятых связанной водой в нефтенасыщенных пластах,
находим по зависимости МИНХиГП для карбонатных коллекторов порового типа с
учетом давления Pп = 1/Kоп 1.88+0.002/Кпо.
Значения электрических сопротивлений нефтяных
пластов подсолевых карбонатных залежей, при условии 100-процентного насыщения
пластовой водой, рассчитаны по зависимостям Л.И.Орлова для подсолевых
карбонатных коллекторов порово-каверново-трещинного типа (для воронежского и
речицкого горизонтов, m = 2.17) и каверно-порово-трещинного типа (для
семилукского и саргаевского горизонтов, m=2.54), (рис. 4.6). Емкость пустот,
занятых связанной водой в нефтенасыщенных пластах, находим по зависимости
Л.И.Орлова для карбонатных коллекторов порового типа с учетом давления Pп =
1/Kоп 2.17+0.006/Кпо.
Значения электрических сопротивлений нефтяных
пластов ланской залежи, при условии 100-процентного насыщения пластовой водой,
и величины емкости пустот, занятых связанной водой в нефтенасыщенных пластах,
рассчитаны по зависимости для терригенных коллекторов порового типа (m = 2),
(рис. 4.7).
Определение коэффициента нефтегазонасыщенности
продуктивных пластов по методу остаточной водонасыщенности основывается на
наличии эмпирической связи между открытой пористостью и остаточной
водонасыщенностью Ков = f(Кпо). В соответствии с преобладающим составом коллекторов
использовалась зависимость, полученная для доломитов.
Водородосодержание (WSS) пород
межсолевых и подсолевых продуктивных отложений по всем скважинам рассчитано по
обобщенным для карбонатных и терригенных пород Припятского прогиба зависимостям
Ingg.=f(Wее), построенным тематическими партиями объединения Белоруснефть и
Западнефтегеофизика.
Рис. 4.5
Рис. 4.6
4.4 Эффективные толщины
В разрезах продуктивных карбонатных отложений
межсолевых (западной и восточной), воронежской, речицкой, семилукской,
саргаевской и ланской залежей Вишанского месторождения эффективные толщины
выделены на основе значений пористости (Кпо) и объемной глинистости (Кгл),
определенных геофизическими методами, в сопоставлении с результатами испытания
скважин. Критериями для выделения эффективных толщин послужили предельные
величины пористости и объемной глинистости, установленные с помощью
дискриминантного анализа, которому подвергались значения упомянутых выше
параметров. Дискриминантные функции, с помощью которых выделяли эффективные
толщины в разрезе продуктивных отложений, находились в результате обработки на
персональном компьютере обучающих выборок значений пористости (Кпо) и объемной
глинистости (Кгл).
Выборки значений пористости и глинистости,
свойственные приточным и неприточным интервалам, составлялись на основе
результатов испытания скважин. Значения пористости и глинистости по интервалам,
давшим приток, объединялись в приточные выборки.
Составление обучающих выборок указанных выше
параметров производилось отдельно для межсолевых и воронежских отложений. Для
семилукских и саргаевских отложений составлялась единая выборка.
Из-за недостаточного количества данных для
формирования неприточных выборок в подсолевых отложениях Вишанского
месторождения нами использованы данные: для воронежского горизонта - по скв. 68
и 88 Речицким и 78 Осташковичской, для семилукского и саргаевского - по скв.
19, 28 Восточно-Первомайским, скв. 34 Барсуковской, 81 Осташковичской, скв. 179
Речицкой.
При составлении выборок учитывалось, что в
состав приточных интервалов наряду с коллекторами, как правило, попадают
плотные и глинистые пласты, значения пористости и глинистости которых не должны
входить в состав приточных выборок.
Для отбраковки упомянутых выше параметров
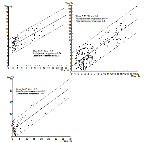
подобных пластов использовались зависимости Wå
= f(Wсв), составленные по заведомо не давшим притока интервалам (рис. 4.8) и
описываемые уравнениями следующего вида:
для межсолевых отложений Wå
= 5.3 + 0.37Wсв (1)
для воронежских отложений Wå
= 1.6 + 0.75Wсв (2)
для семилукских и саргаевских отложений Wå
= 2.7 + 0.46Wсв, (3),
где Wå - суммарное водородосодержание
породы, Wсв - содержание связанной воды.
Зависимость WΣ от
содержания Wсв для карбонатных пород-неколлекторов
Вишанского месторождения:
а) - межсолевых, б) - воронежских, в) -
семилукских и саргаевских
Рис. 4.7
Для уравнений (1), (2) и (3) рассчитаны
девяностопятипроцентные доверительные интервалы, соответствующие удвоенному
стандартному отклонению s (рис. 4.8). По межсолевым и
подсолевым карбонатным отложениям Вишанского месторождения зависимости подтверждаются
наличием корреляционной связи между величинами нерастворимого остатка (Сно) и
полной пористостью (Кпп) по керну непроницаемых образцов (см. рис. 4.2, 4.3).
При формировании приточных выборок из интервалов, давших притоки флюидов, на
основании уравнений (1-3) исключались плотные и глинистые разности. Пласты,
суммарное водородосодержание (Wå) которых
превышало:
.3 + 0.37Wсв + 2s - для
межсолевых отложений,
.6 + 0.75Wсв + 2s - для
воронежских отложений,
.7 + 0.46Wсв +2s - для
семилукских и саргаевских отложений,
рассматривались как коллекторы, а характерные
для них значения пористости и объемной глинистости включались в приточную
выборку.
В неприточную выборку включались величины
пористости и объемной глинистости всех пластов, принадлежащих к интервалам, не
давшим притока.
Составленные подобным образом обучающие выборки
для неприточных и приточных интервалов, обрабатывались по программе
дискриминантного анализа с целью получения линейной дискриминантной функции.
В результате получены следующие уравнения этой
функции для определения предельных значений пористости и глинистости с целью
выделения эффективных толщин в разрезе карбонатных отложений (рис. 4.9):
для межсолевых Кпо = 3.77 + 0.196 Кгл, (4)
для воронежских Кпо = 3.76 + 0.023 Кгл, (5)
для семилукских и саргаевских Кпо = 3.13 + 0.004
Кгл. (6)
Пласты, пористость которых превышает предельное
значение, а глинистость не превышает 20 %, отнесены к коллекторам. Их толщины
отнесены к эффективным.
В связи с одинаковыми условиями формирования и
петрофизическими свойствами коллекторов речицкого и воронежского горизонтов,
для выделения эффективных толщин в речицком горизонте ипользовалась
дискриминантная функция (5), полученная для воронежского горизонта.
Разделение пластов карбонатных отложений Вишанского
месторождения на коллекторы и неколлекторы по значениям пористости (Кпо) и
глинистости (Кгл) с использованием дискриминантной функции:

Рис. 4.8
4.5 Коэффициент пористости
Интерпретация кривых ГИС и расчет подсчетных
параметров пласта, в том числе и пористости, производились нами на персональном
компьютере в системе VISCOM по специально разработанным графам, реализирующим
апробированную при подсчете запасов методику в виде последовательно работающих
программ (разработки фирмы КОМТЕКО). В на стоящее время реализованы три графа,
интерпретирующие данные различных комплексов ГИС с использованием полученных в
результате анализа данных по керну петрофизических параметров, в рамках которых
пористость определяется по следующим методам:
полный (НГК и АК);
по НГК;
по АК.
В связи с тем, что геофизические исследования в
скважинах производились в период с 1965 г. по настоящее время, исходные данные
для определения пористости очень разнородны. В скважинах 75, 76, 77, 78, 92,
94, 95, 96, 101, 102, 105, 106, 107, 108, 109, 110, 111, 112, 113, 114, 115,
116, 117, 118, 119, 121, 123, 126, 127, 200, 201, 202, 203 измерния НГК
выполнены аппаратурой, проэталонированной в стандартных единицах; в скважинах
2, 3, 5, 9, 10, 13, 15, 17, 19, 26, 30, 32, 33, 34, 35, 36, 38, 39, 41, 42, 44,
45, 46, 47, 48, 50, 51, 52, 53, 54, 55, 56, 57, 58, 59, 60, 61, 62, 63, 64, 66,
67, 68, 69, 70, 71, 72, 74, 80, 81, 83 - в условных единицах. В скважинах 36,
42, 46, 47, 48, 51, 52, 53, 54, 55, 59, 60, 61, 62, 64, 67, 68, 69, 70, 71, 72,
74, 75, 77, 81, 83, 92, 94 (межсолевой интервал), 95, 96 кривые DT
не соответствуют метрологическим стандартам, так как акустический каротаж до
1979 г. выполнялся в отдельных скважинах в порядке эксперимента. или
отсутствуют. В скважинах 2, 3, 5, 9, 10, 13, 15, 17, 19, 26, 30, 32, 33, 34,
35, 38, 41, 44, 45, 50, 56, 57, 58, 63, 66, 76, 78, 80, 94 (подсолевой
интервал) акустический каротаж не проводился.
Для определения водородосодержания продуктивных
пород во всех скважинах применялась обобщенная зависимость Ing,
ст.ед. = f(Кп), составленная тематической партией объединения
«Западнефтегеофизика». Для кривых НГК, зарегистрированных в условных единицах,
с помощью метода двух опорных пластов строились индивидуальные зависимости Ing,
усл.ед. = f(Кп).
Для этого кривая НГК в условных единицах
сравнивалась с кривой НГК в стандартных единицах, зарегистрированной в
ближайшей скважине. На обеих кривых идентифицировались одни и те же опорные
пласты и снимались соответствующие им пластовые отсчеты в условных и
стандартных единицах.
В качестве опорных пластов использовались пласты
глин петриковского, домановичского, евлановского и ланского горизонтов,
характеризующиеся пониженными значениями НГК (In1у.е. и In1с.е.,
соответственно), и пласты ангидритов и плотных известняков или доломитов,
характеризующиеся повышенными значениями НГК (In2у.е. и In2с.е.,
соответственно).
Как известно, в общем виде зависимость Ing
= f(Кп) аппроксимируется линейной функцией в полулогарифмических координатах:
= А ln(Кп) + В.
Если обозначить такие зависимости для условных и
стандартных единиц как
у.е. = c ln(Кп) + d и In с.е. = а ln(Кп)
+ b,
то зависимость для условных единиц будет
однозначно определена коэффициентами с и d.
Эти коэффициенты связаны с коэффициентами а и b
зависимости для стандартных единиц и отсчетами в опорных пластах следующим
образом:
с = а(In1у.е.
- In2у.е.)/(In1с.е.-
In2с.е.);
d = In1у.е.-
c(In1с.е-
b)/a.
Полученные таким образом индивидуальные
зависимости In у.е. = c ln(Кп) + d использовались для определения
водородосодержания.
В скважинах, в которых кривые DT
акустического каротажа не соответствуют метрологическим стандартам или
отсутствуют, определение открытой пористости пластов производилось с помощью
графа без АК, только по данным радиоактивного каротажа (ГК, НГК). Для этого
использовалась программа DWRWNG: внесение поправки за гамма-фон, инерционность
аппаратуры и толщину пласта в пластовые отсчеты ГК и НГК, определение
суммарного водородосодержания (кажущейся пористости) Кп,n и внесение в него
поправки за диаметр скважины. Выделение пластов по комплексу каротажных кривых
и получение пластовых отсчетов производилось предварительно в автоматическом
режиме с последующим редактированием в интерактивном режиме.
Определение кажущейся пористости Кп,n
производилось по обобщенной зависимости
g, ст.ед. = f(Кп)
составленной тематической партией объединения
«Западнефтегеофизика», с учетом содержания доломита в продуктивных отложениях,
либо по индивидуальной зависимости
Ing,
усл.ед.
= f(Кп)
Расчет полной пористости выполнялся по формуле
Кпп = Кп,n - КглWкр, где Кгл - глинистость; Wкр - объемное содержание
кристаллизационной воды в глинистой фракции породы, составляющее для межсолевых
и подсолевых отложений 12.8 и 13.2 %, соответственно. Значение объемной
глинистости Кгл определяется по линейной зависимости I = f(Кгл), построенной
индивидуально для каждой скважины.
В скважинах, в которых кривые DT
акустического каротажа соответствуют метрологическим стандартам, определение
открытой пористости пластов производилось с помощью полного графа. Следует
отметить, что кривые НГК в этих скважинах регистрировались в стандартных
единицах. Для этого также использовалась программа DWRWNG - определение
суммарного водородосодержания Кп,n по обобщенной зависимости для известняков Ing,
ст.ед. = f(Кп) с учетом диаметра скважины, составленной тематической партией
объединения «Западнефтегеофизика».
После получения величин водородосодержания включалась
в работу программа RWSWPX - определение вещественного состава и пористости
пород. Алгоритм этой программы излагается в отчете тематической партии 14/81 ПО
“Западнефтегеофизика”. Суть его заключается в следующем. В качестве модели
породы принимается среда из четырех компонент: кальцита, доломита, глины и пор,
заполненных пластовой жидкостью. Доли их в единице объема породы соответственно
составляют Vдол, Vкал, Кгл, Кп эф (эффективная пористость). Значение объемной
глинистости Кгл определяется по линейной зависимости I = f(Кгл), построенной
индивидуально для каждой скважины. Для определения доли остальных компонент
решается система из трех уравнений:
где:
Кз дол, Кз кал - коэффициенты замещения величины
пористости по НГК для доломита и кальцита, соответственно; Кз дол = 0.025; Кз
кал = 0;гл - содержание связанной воды в глинах, Wгл = Wкр + Wгиг; гиг -
содержание гигроскопичекой воды в глинах (для межсолевых и подсолевых отложений
14.2 и 13.8 %, соответственно).дол, Tкал, Tгл, Tж - интервальное время пробега
продольной волны, соответственно, в доломите, кальците, глине, пластовой
жидкости; Tдол = 140 мкс/м, Tкал = 155, Tгл = 290 мкс/м, Tж = 550 мкс/м.
Полученное решение системы (*) затем
анализируется. Рассматриваются следующие три возможных случая.
Если получено физически приемлемое решение Vдол
> 0 и Vкал > 0, то считается верной и величина коэффициента эффективной
пористости Кп эф.
Если получено физически неприемлемое
решение Vдол < 0, то считается, что скелет состоит из кальцита и искомая
величина эффективной пористости Кп эф = Кп,n - Wгл.Кгл, т.е. из кажущейся
пористости по НГК, определенной по зависимости In = f(Wее) для
известняков вычитается влияние связанной воды, содержащейся в глине.
Если получено физически неприемлемое
решение Vкал < 0, то считается, что скелет состоит из доломита и искомая
величина эффективной пористости
Кп эф = Кп,n - Wгл.Кгл - Кз дол,
т.е. из кажущейся пористости по НГК,
определенной по зависимости In = f(Wее) для известняков вычитается влияние
связанной воды (Wгл), содержащейся в глине, и влияние литологического отличия
доломита (Кз дол) от известняка на показания НГК.
После определения Кп эф вычисляется коэффициент
полной пористости
Кпп = Кп эф + Кгл.Wгиг,
где Wгиг - объемное содержание гигроскопической
воды в глинистой фракции, составляющее для межсолевых и подсолевых отложений
Вишанского месторождения 14.2 и 13.8 %, соответственно.
Затем в обоих графах вычислялась открытая
пористость Кпо = Кпп - Кпз, где Кпз - закрытая пористость.
Объем закрытых пор (Кпз) рассчитан по данным
исследований керна и составил 0.63 % для межсолевых, 1.45 % для воронежских и
речицких, 1.63 % для семилукских и 1.82 % для саргаевских отложений. В
терригенных коллекторах ланского горизонта закрытая пористость отсутствует.
Для расчета пористости терригенных ланских
отложений использовались описанные выше графы со следующими изменениями. Для
определения водородосодержания по НГК использовались соответствующие
зависимости Ing, ст.ед. = f(Кп) для песчаник. Для определения
вещественного состава и пористости пород с помощью программы RWSWPX в модели
породы скелет считался состоящим из кварца и кальцита. Соответственно в системе
(*) задавались Кз кал = 0.025; Кз кв = 0; Tкв = 164 мкс/м.
Результаты определения полной и открытой
пористости по описанным выше алгоритмам приведены в соответствующих текстовых
приложениях книг IV-VII.
Контроль полученных определений емкости
осуществлен по данным акустического каротажа. Пористость по АК определена по
уравнению среднего времени.
На основании изучения скорости прохождения
ультразвуковых волн в скелете породы и в пластовой воде получено следующее
уравнение для определения полной пористости продуктивных пород, представленных
доломитом:
Кпп = (DDT - 140).
По данному уравнению рассчитаны
значения полной пористости пластов по ряду скважин с наиболее характерным для
карбонатов межсолевых и подсолевых отложений разрезом. Затем, после учета
закрытой пористости, были получены значения открытой пористости Кпо по АК.
Рис. 4.9
Рис. 4.10
Рис. 4.11
Рис. 4.12
4.6 Коэффициент
нефтегазонасыщенности
Нефтегазонасыщенность карбонатных
пластов-коллекторов продуктивных горизонтов определена тремя методами - по
коэффициенту увеличения сопротивления (КнРН), по балансу пористости (КнБП) и
остаточной водонасыщенности (КнОВ). Для терригенных коллекторов ланского
горизонта расчет коэффициентов нефтенасыщенности производился только по
коэффициенту увеличения сопротивления. Основным является метод определения
нефтенасыщенности по коэффициенту увеличения сопротивления, остальные методы
применялись в качестве контрольных.
В скважинах, пробуренных на непроводящей
электрический ток промывочной жидкости (БИЭР), значения коэффициентов
нефтегазонасыщенности взяты как средневзвешенные по площади соответствующих
залежей.
Расчет коэффициента нефтенасыщенности по
коэффициенту увеличения сопротивления основывается на экспериментально
установленной связи между этим коэффициентом и водонасыщенностью коллектора.
Электрическое сопротивление нефтенасыщенных пластов нп получали в
результате интерпретации БК. Электрическое сопротивление нефтенасыщенных
пластов при условии их 100-процентного водонасыщения вп для межсолевых
карбонатных коллекторов рассчитаны по зависимости
Рп = 1/(Кпо)m МИНХиГП,
где m - структурный показатель породы, (m =
2.18). Для карбонатных коллекторов воронежского и речицкого горизонтов
сопротивление водонасыщенного пласта вп определялось по зависимости Л.И. Орлова
с показателем m = 2.17, для карбонатных коллекторов семилукского и саргаевского
горизонтов - m = 2.54 (рис.4.6), для терригенных коллекторов ланского горизонта
- m = 2 (рис. 4.7). Рп - параметр пористости или относительное сопротивление,
Рп = вп/в;
В - известное удельное электрическое
сопротивление пластовой воды.
После этого рассчитывался коэффициент увеличения
сопротивления (Рн), показывающий во сколько раз увеличивается удельное
электрическое сопротивление пласта при насыщении его нефтью вместо пластовой
воды,
Рн = нп/вп,
где нп - удельное электрическое сопротивление
пласта с нефтью. Зная величину параметра насыщения (Рн), с помощью квадратичной
зависимости Рн = 1/Кв2 (рис. 4.4), как наиболее достоверной для карбонатных
коллекторов Припятского, определялся коэффициент водонасыщенности (Кв) пласта.
Суть метода баланса пористости состоит в
следующем. Если для расчета относительного сопротивления (Рп) воспользоваться
значением сопротивления нефтенасыщенного пласта (нп) вместо водонасыщенного
(вп), и используя зависимость Рп = f(Кпо), можно определить емкость пустот,
занятых связанной водой в нефтенасыщенном пласте. Полную емкость
нефтенасыщенного коллектора мы определяем по НГК. Разность двух этих величин
дает объем пустот, заполненных нефтью. Отношение полученной разности к емкости
пласта, определенной по НГК, представляют собой коэффициент нефтенасыщенности.
Расчет осуществляется по следующей формуле
Кн = (КпНГК - КпБК)/КпНГК,
где: КпНГК - пористость, определенная по НГК;
КпБК - объем пор, занятых остаточной водой, определенный по БК.
Емкость, занятая водой в нефтенасыщенных
карбонатных пластах межсолевых залежей, рассчитывалась с использованием
зависимости МИНХиГП для карбонатных коллекторов порового типа с учетом давления
Рп = 1/(Кпо)1.88+0.002/Кпо
Емкость, занятая водой в нефтенасыщенных
карбонатных пластах подсолевых залежей, рассчитывалась с использованием
зависимости Л.И. Орлова для карбонатных коллекторов порового типа с учетом
давления
Рп = 1/(Кпо)2.17+0.006/Кпо
Целесообразность применения зависимостей для
поровых коллекторов объясняется тем, что более крупные вторичные пустоты
(каверны, трещины) нефтенасыщенного гидрофильного коллектора практически
полностью насыщены нефтью, а его электрическое сопротивление определяется
объемом водонасыщенных более мелких пор. Поэтому нефтенасыщенный пласт со смешанной
емкостью по его влиянию на величину электрического сопротивления можно
рассматривать как пористый.
В качестве контрольного метода, позволяющего
оценить нефтегазонасыщенность карбонатных коллекторов, использовался метод,
базирующийся на наличии связи между открытой пористостью и остаточной
водонасыщенностью
Ков = f(Кпо)
Сравнение значений коэффициента
нефтегазонасыщенности, рассчитанных разными методами, показывает, что среднее
относительное отклонение по скважинам не превышает 3.8 % для межсолевых
отложений; для подсолевых: 9.7 % - для воронежского, 4.2 % - для семилукского,
4.2 % - для саргаевского.
4.7 Коэффициент глинистости
Глинистость определялась по данным
радиометрии (ГК, НГК) и акустического каротажа (DDТ). В основу определения
глинистости положено наличие корреляционных связей между суммарным
водородосодержанием (Wее) карбонатных и терригенных пород-неколлекторов и
показаниями геофизических методов Ingg, Igg, DDT.
Для каждой скважины вначале по
показаниям НГК и АК в нескольких пластах-неколлекторах определяется
глинистость, а затем по соответствующим пластовым отсчетам Igg строится так
называемый график глинистости - линейная зависимость
= аКгл + b,
которая затем и используется для
определения глинистости всех остальных пластов в этой скважине. Следует
подчеркнуть, что такая аппроксимация вполне оправдана, т.к. точные определения
объемной глинистости нас интересуют в пределах от 0 до 25 %.
Для определения объемной глинистости
(Кгл) по комплексу методов акустического и нейтронного гамма-каротажа
использовались палетки, составленные тематической партией треста
"Западнефтегеофизика" в результате статистических сопоставлений
содержания нерастворимого остатка (Сно) в породах с показаниями геофизических
методов для различных диаметров скважины. Для скважин, в которых кривые НГК
зарегистрированы в условных единицах, пластовые отсчеты НГК предварительно
переводились в стандартные единицы на основе индивидуальных зависимостей Ing, усл.ед. = f(Кп), полученных
с помощью метода двух опорных пластов. Для скважин, в которых отсутствует или
не соответствует метрологическим требованиям АК, для определения объемной
глинистости использовались те же палетки, только значение Кгл снималось по
линии, соответствующей вещественному составу коллекторов. В качестве значений
I, соответствующих нулевой глинистости, принимались показания гамма-каротажа
против мощных пластов галита или ангидрита для карбонатного разреза и против
пластов «чистого» кварцевого песчаника для терригенного разреза.
На основании этих данных по каждой
скважине отдельно для межсолевого, подсолевых карбонатного и терригенного
разрезов составлялись индивидуальные линейные зависимости
= f(Кгл).
Переход от нерастворимого остатка
(Сно) к объемной глинистости осуществлялся по формуле
Кгл @ 0.9 Сно.
При расчете открытой и полной
пористости предусматривается учет поправки за содержание кристаллизационной
воды в глинистой фракции. Для установления указанной величины проведено
изучение с привлечением материалов ГИС (НГК и АК) водородосодержания ланских
глин, обладающих наибольшей стабильностью глинистой составляющей по разрезу и
площади Припятского прогиба.
Содержание гигроскопической воды
(Wгиг) установлено на основании аналитического пересчета на 100 процентную
глинистость полной пористости образцов керна пород-неколлекторов межсолевых и
подсолевых отложений Вишанского месторождения, а также статистического
сопоставления значений полной пористости (Кпп) и нерастворимого остатка (Сно),
измеренных на этих образцах, и составляет для межсолевых и подсолевых отложений
14.2 и 13.8 %, соответственно.
Объемное содержание
кристаллизационной воды (Wкр) определено как разность между полным
водородосодержанием глинистой фракции (Wсв) и содержанием гигроскопической воды
(Wгиг) и составляет для межсолевых и подсолевых отложений 12.8 и 13.2 %,
соответственно. Переход от объемной глинистости к водородосодержанию глинистой
фракции в необходимых случаях осуществляется по формуле Wгл = 0.27 Кгл.
Рис. 4.13
Рис. 4.14
Рис. 4.15
Рис. 4.16
5. АНАЛИЗ ТЕХНОЛОГИЙ, ПРИМЕНЯЕМЫХ В
НГДУ “РЕЧИЦАНЕФТЬ” ДЛЯ ИНТЕНСИФИКАЦИИ ПРИТОКА, И ИХ КЛАССИФИКАЦИЯ
В процессе разработки нефтяных и газовых
месторождений, как правило, дебит эксплуатационных скважин падает, а
поглотительная способность нагнетательных скважин снижается. Иногда дебит вновь
вводимых в эксплуатацию скважин оказывается намного ниже расчетного.
Производительность нефтяных и газовых скважин, а
также поглотительная способность нагнетательных зависит от многих факторов и
особенно от проницаемости пород, слагающих продуктивный пласт.
Плотные слабо проницаемые коллекторы значительно
ухудшают приток нефти и газа к забоям эксплуатационных скважин, а в
нагнетательных резко снижают их поглотительную способность.
Снижается естественная проницаемость пород, и
вследствие несовершенства вскрытия продуктивного пласта в процессе бурения
призабойные зоны скважин часто загрязняются отфильтровавшимися глинистым
раствором, что приводит к закупорке пор пласта и снижению его проницаемости.
При вскрытии пласта промывочными жидкостями,
приготовленными на водной основе, проникающая в пласт вода также снижает
естественную проницаемость коллекторов.
В процессе эксплуатации нефтяных и газовых
скважин проницаемость пород в призабойной зоне может ухудшаться из-за закупорки
пор отложениями парафина, глинистыми частицами и смолистыми веществами.
В нагнетательных скважинах призабойная зона
загрязняется различными механическими примесями, присутствующими в закачиваемой
воде (ил, глина, окислы железа и т.д.).
Для облегчения притока нефти и газа к забоям
эксплуатационных скважин и поглощения воды нагнетательными скважинами применяют
методы искусственного воздействия на породы призабойной зоны с целью увеличения
их проницаемости. Иногда бывает достаточно удалить со стенок поровых каналов
пласта в призабойной зоне частицы парафина, смолистых и глинистых веществ, и
производительность скважин резко возрастает.
В большинстве же случаев приходится искусственно
увеличивать число поровых каналов на забое и удлинять их протяженность, т.е.
повышать трещиноватость пород продуктивного пласта.
По характеру воздействия на призабойную зону
скважин методы увеличения проницаемости пород могут быть условно разбиты на
химические, механические, тепловые и физические. Для получения хороших
результатов часто эти методы применяют в сочетании друг с другом или
последовательно.
Выбор метода воздействия на призабойную зону
определяется особенностями строения продуктивных пластов, составом пород и
другими пластовыми условиями. Так, например, химические методы, и в частности
солянокислотная обработка пласта, дают хорошие результаты в слабопроницаемых
карбонатных породах. Применяют обработку кислотой скважин, продуктивные пласты
которых сложены сцементированными песчаниками, содержащими карбонатные
вещества.
Применение химических методов воздействия на
продуктивные пласты основано на происходящих реакциях взаимодействия закачиваемых
химических веществ, в основном различных кислот, с некоторыми породами, которые
растворяются, тем самым увеличивая размеры поровых каналов и повышая пластовую
проницаемость.
На сегодняшний день стандарт регламентирует
следующие методы интенсификации притока:
Солянокислотная ванна (СКВ);
Солянокислотная обработка (СКО);
Направленная и нефтекислотная обработка (НСКО);
Кислотная обработка с ПАВ или пенокислотная
обработка (СКОП);
Грязевая или глинокислотная обработка (ГКО);
Кислотные ванны с последующей кислотной
обработкой (СКВ+СКО);
Сульфаминокислотная обработка;
Циклическое воздействие на пласт с помощью
струйных насосов;
Рассмотрим наиболее распространенные методы
химического воздействия на призабойную зону скважины и пласт.
СКВ. Этот вид обработки наиболее простой и
предназначен для очистки забоя и стенок скважины от загрязняющих веществ -
цементной и глинистой корки, смолистых веществ, парафина, отложений продуктов
коррозии.
СКО. Наиболее распространенным видом являются
обычные солянокислотные обработки. Этот процесс ведется с обязательным
задавливанием кислоты в пласт.
Перед проведением кислотной обработки в скважине
проводят ГДИ: определяют коэффициент продуктивности, статический и динамический
уровни, забойное и пластовое давления. Скважину до обработки тщательно очищают
от песка, грязи, парафина и продуктов коррозии, то есть делают СКВ.
СКОП. При обычных кислотных обработках
закачиваемая в скважину соляная кислота проникает в одни и те же
высокопроницаемые интервалы призабойной зоны пласта. При этом эффективность
кислотных обработок с увеличением их числа на данной скважине значительно
снижается.
На многих нефтяных месторождениях для повышения
производительности скважин, эксплуатирующих карбонатные коллектора, проводят
пенокислотную обработку. Сущность этого метода заключается в том, что в
призабойную зону пласта вводят не обычный раствор кислоты, а аэрированный
раствор поверхностно - активных веществ в соляной кислоте, т.е. смесь кислоты,
ПАВ и воздуха (или газа).
Кислотной пеной можно обрабатывать продуктивные
пласты, сложенные не только карбонатными породами, но и песчаниками с высоким
содержанием карбонатного цемента. Применение кислотных пен имеет ряд
преимуществ по сравнению с обычной кислотной обработкой.
Пенокислотная обработка позволяет увеличить
глубину проникновения активной кислоты в пласт, так как замедляется растворение
карбонатного материала в кислотной пене. При освоении скважины за счет снижения
поверхностного натяжения на границе раздела нефть - нейтрализованный кислотный
раствор и за счет расширения пузырьков воздуха в призабойной зоне происходит
более полная очистка поровых каналов от продуктов реакции кислоты с породой
пласта.
ГКО. Грязевыми кислотами (или глинокислотами)
называют смесь соляной НСI и фтористо-водородпой (плавиковой) кислот HF.
Грязевую кислоту применяют для обработки
эксплуатационных и нагнетательных скважин, продуктивные горизонты которых
сложены песчаниками или песчано-глинистыми породами, а также для удаления
глинистой корки со стенок скважины. Эту кислоту нельзя применять для обработки
карбонатных пород или сильно карбонизированных песчаников, так как образуется
слизистый осадок фтористого кальция СаF2, который способен закупоривать поровые
каналы.
Особенностью грязевой кислоты является ее
способность растворять глинистые частицы и в некотором количестве даже
кварцевый песок. Одновременно после обработки скважин грязевой кислотой глины
теряют способность к разбуханию и понижению, таким образом, проницаемости.
Механические методы обработки применяются в
пластах, сложенных плотными породами. Основными механическими методами
интенсификации притока являются: гидравлический разрыв пласта или ГРП и
торпедирование.
Гидравлический разрыв пласта, примененный в НГДУ
“Речицанефть” в 1997 году по пяти скважинам, положительного эффекта не дал.
Сущность метода гидравлического разрыва пласта с
применением расклинивающего реагента заключается в том, что на забое скважины
создаются высокие давления, превышающие в 1,5-2 раза пластовое давление, в
результате чего пласт расслаивается и нем образуются трещины. Для
предупреждения смыкания образовавшихся в пласте трещин и сохранения их в
раскрытом состоянии после снижения давления ниже давления разрыва в
образовавшиеся трещины нагнетают вместе с жидкостью отсортированный крупнозернистый
кварцевый песок.
При гидрокислотном разрыве пласта жидкостью
разрыва является соляная кислота.
Тепловые методы воздействия применяются для
удаления парафина и смол, осевших на стенках поровых каналов.
Сущность тепловых методов в том, что скважину
промывают горячей нефтью или применяю термокислотную обработку, при которой в
скважину вводят вещество, которое при соприкосновении с соляной кислотой
вступает с ней в химическую реакцию. При этом выделяется большое количество
тепла.
Наиболее активным веществом, выделяющим большое
количество тепла, является металлический магний. Этот метод применялся НГДУ
“Речицанефть” в восьмидесятые годы.
Так же эксплуатационные скважины обрабатывают
паром с передвижных парогенераторов или стационарных паровых установок. На скважины
так же проводится электротепловая обработка при помощи специальных самоходных
установок.
Физические методы в основном используются для
удаления из призабойной зоны скважины остаточной воды и твердых мелкодисперсных
частиц, в результате чего увеличивается проницаемость пород для нефти. Сюда
относятся все промывки с применением ПАВ и других добавок.
6. МЕТОДЫ КОНТРОЛЯ ЗА РАЗРАБОТКОЙ
НЕФТЯНЫХ МЕСТОРОЖДЕНИЙ
Прогресс в нефтедобывающей промышленности связан
с применением все более сложных систем разработки нефтяных месторождений,
основанных на заводнении и других способах воздействия на пласт. Высокая
эффективность таких систем, имеющих целью повышение нефтеотдачи пласта и темпов
разработки месторождений, достигается регулированием процесса добычи нефти. Такое
регулирование в свою очередь немыслимо без соответствующего контроля за
разработкой месторождений, основанного на применении различных
промыслово-геофизических методов исследования скважин. Требования
нефтепромысловой практики и науки стимулировали быстрое развитие
промыслово-геофизических методов контроля.
Контроль за разработкой нефтяных месторождений
промыслово-геофизическими методами в последние годы развился в крупное
самостоятельное направление промысловой геофизики со своей специфической методикой
исследований, комплексом методов, аппаратурой и оборудованием. Усилиями
научно-исследовательских, конструкторских и производственных организаций были
созданы новые методы и аппаратура, позволяющие решать ряд задач по контролю за
разработкой нефтяных месторождений. Широкое применение получили методы ядерной
геофизики, в том числе наиболее эффективный из них - импульсный нейтронный
каротаж (ИНК). Принципиально новыми являются способы изучения действующих
скважин через лифтовые трубы и по межтрубному пространству малогабаритными
приборами нейтронного каротажа, гамма-плотномерами, механическими и
термоэлектрическими дебитомерами, высокочувствительными термометрами, а также
методы меченого вещества. Важное значение приобретают многократные повторные
измерения, требующие специальной методики и привязки по глубине.
Под промыслово-геофизическими методами контроля
за разработкой нефтяных месторождений подразумеваются все виды
промыслово-геофизических исследований скважин в пределах эксплуатируемой
нефтяной залежи. Они включают исследования как ранее пробуренных и в первую
очередь действующих скважин, так и бурящихся резервных, дополнительных и
оценочных скважин. В этих, а также в контрольных скважинах с открытым забоем
измерения выполняются в открытом стволе. Комплекс и методика проведения таких
измерений мало отличаются от применяющихся в разведочных скважинах, но при
решении задач контроля за разработкой нефтяных месторождение требования к
режимам, точности и детальности измерений существенно выше.
6.1 Дебитометрия
Дебитометрия является одним из основных методов
изучения эксплуатационных характеристик пласта. При контроле за разработкой
нефтяных месторождений применяются две модификации метода: механическая и
термокондуктивная дебитометрия. Обе модификации метода входят в полный комплекс
исследований действующих скважин.
. Измерения механическими
дебитомерами-расходомерами производят для следующих целей:
а) выделение интервалов притока или приемистости
в действующих скважинах;
б) выявление перетока между перфорированными
пластами по стволу скважины после ее остановки;
в) распределение общего (суммарного) дебита или
расхода по отдельным пластам, разделенным неперфорированными интервалами;
г) получение профиля притока или приемистости
пласта по его отдельным интервалам.
Из механических дебитомеров-расходомеров на
практике применяются в основном приборы с датчиками турбинного типа - свободно
вращающейся вертушки. Скорость вращения вертушки пропорциональна объемному
расходу смеси.
Если среда, заполняющая ствол скважины,
многокомпонентна (нефть и вода), по данным резистивиметрии устанавливается
водо-нефтяной раздел. На термодебитограмме ему обычно соответствует скачок
температуры (положительное приращение температуры).
6.2 Локация муфт и перфорированных
интервалов
Метод применяется для определения положения
муфтовых соединений колонны, точной привязки по глубине показаний других
приборов к положению муфтовых соединений, взаимной привязки показаний
нескольких приборов, глубины спуска лифтовых труб, положения забоя, а также для
уточнения интервала перфорации в благоприятных условиях.
Локаторы муфт используются в качестве приставок
в термометрах и приборах для исследования состава и дебита смеси в стволе
скважины.
Запись диаграмм при локации муфт осуществляется
при подъеме прибора. Скорость перемещения локатора определяется скоростью
каротажа основного прибора.
Для определения глубины нахождения
искусственного забоя производится контрольная запись, включающая отбивку забоя
и 2 - 3 муфтовых соединений. Отрыв от забоя отмечается началом колебаний блика
гальванометра.
Колебания блика при остановке прибора на забое
указывают на возможное наличие утечки.
При локации интервала перфорации необходимо
провести 2-3 записи с одинаковой скоростью перемещения прибора (200- 300 м/ч).
Скорость подъема прибора и порядок извлечения
его из скважины обусловлены требованиями, предъявляемыми к основным приборам.
Масштаб записи не должен отличаться от
требуемого более чем на 20%. Смещение нуля не должно превышать 1 см на 50 м
записи. Большое смещение нуля указывает на наличие утечки.
Запись, выполненная для определения положения
муфтовых соединений, признается браком, если кривая по своей форме и
характерным пикам не позволяет выделять муфтовые соединения. Амплитуда сигнала
от муфт должна более чем в два раза превышать уровень помех (флуктуации).
Две-три диаграммы (основная и контрольные),
записанные для уточнения интервала перфорации, должны повторяться по
конфигурации. Большая часть характерных пик должна отмечаться на диаграммах и
совпадать по глубинам. В противном случае запись бракуется. Совпадение амплитуд
сигнала по величине не обязательно.
Для уточнения интервала перфорации две диаграммы
в оригинале накладываются одна на другую на светокопировальном столе и
совмещаются по муфтам и нулевым линиям.
Отмечаются все «пики», повторяющиеся и
превышающие не менее чем в 1,5 раза уровень помех. Интервал их расположения
является возможным интервалом перфорации.
Рис. 6.1 - Пример качественной записи локатором
муфт
6.3 Влагометрия (диэлькометрия)
Использование диэлькометричсской влагометрии для
исследования состава скважинной смеси основано на зависимости показаний метода
от ее диэлектрической проницаемости. Глубинные диэлькометрические влагомеры
представляют собой LC-генераторы, в колебательный контур которых включен
измерительный конденсатор проточного типа.
Существуют две разновидности глубинных
влагомеров, имеющие различные методические возможности,- пакерные и беспакерные
(рис. 6.2).
Рис. 6.2 - Схематическая конструкция пакерных
(а) и беспакерных (б) влагомеров: 1 - измерительный преобразователь; 2 -
центральная обкладка датчика; 3 - труба измерительная; 4 - пакер; 5 - обсадная
колонна
В беспакерном приборе через датчик проходит
только часть смеси, движущейся по колонне. Показания беспакерного влагомера
зависят от распределения степени обводненности продукции по сечению колонны и
условий обтекания датчика прибора компонентами смеси. Беспакерные влагомеры
служат в основном для определения содержания воды в турбулентном потоке
гидрофобной смеси (выше ВНР в скважине), когда водонефтяную смесь с некоторым
приближением можно рассматривать как гомогенную среду и изменением
обводненности продукции по сечению колонны можно пренебречь.
В пакерном влагомере через датчик пропускается
вся движущаяся по колонне смесь нефти с водой. Это позволяет фиксировать
притоки нефти в гидрофильную смесь, не выделяемые по данным беспакерного
влагомера. Установка пакера приводит к существенному увеличению скорости
движения смеси в измерительной камере прибора, что позволяет получать более
достоверные сведения об обводненности продукции, особенно в низкодебитных
скважинах (ниже 100 М3/сут). Однако пакерные приборы вследствие внесения
дополнительных гидравлических сопротивлений потоку могут в случае нарушения
целостности цементного камня в интервале перфорации исказить реальный профиль
притока.
6.4 Резистивиметрия
Резистивиметрия основана на использовании
электрических свойств водонефтяной смеси в стволе скважины: удельного
электрического сопротивления или проводимости.
Существуют две модификации резистивиметров:
а) бесконтактные индукционные резистивиметры,
предназначенные для измерения удельной проводимости;
б) одноэлектродные резистивиметры на постоянном
токе для измерения удельного сопротивления.
Резистивиметрия является основным методом для
различения двух типов смеси в скважине - гидрофильной (нефть в воде) и
гидрофобной (вода в нефти). Это обусловлено существенным различием
электрических свойств этих смесей. Гидрофильная смесь имеет удельное
сопротивление (проводимость), близкое к воде, гидрофобная смесь - близкое к
нефти.
Индукционная резистивиметрия основана на
измерении электропроводности жидкостного «объемного» витка связи методом
вихревых токов. Индукционный датчик проточно-погружного типа содержит две
тороидальные катушки, одна из которых возбуждает в исследуемой среде токи
высокой частоты (100 кГц), а вторая принимает сигналы, пропорциональные
удельной проводимости среды. Объемный виток связи создается цилиндрической
колонкой жидкости, находящейся в измерительном канале датчика, и внешним
объемом жидкости, омывающей датчик.
Индукционная резистивиметрия при исследовании
действующих эксплуатационных скважин применяется для решения следующих задач:
а) определения местоположения ВНР в скважине
(границ перехода смеси из гидрофильной в гидрофобную);
б) установления структуры потока гидрофильной
смеси с различным содержанием нефти;
в) выделения в гидрофильной среде мест
поступления в колонну воды с различной степенью минерализации.
Достоинство индукционной резистивиметрии -
возможность индикации слабых притоков нефти при большом содержании воды в
колонне и высокая чувствительность к изменению минерализации воды.
Одноэлектродные рсзистивиметры на постоянном токе
в действующих нефтяных скважинах используются лишь для установления типа
движущейся в скважине смеси: гидрофильная или гидрофобная. Резкое различие
удельных сопротивлений смесей этих двух типов позволяет проводить качественные
измерения без тарировки прибора и определения истинных величин удельных
сопротивлений.
Достоинством метода является простота схемы
измерений, позволяющая комплексировать токовой резистивиметр в одном приборе с
другими датчиками для исследования действующих скважин.
6.5 Термометрия
Термометрия является одним из основных методов в
полном комплексе исследований скважин при контроле за разработкой нефтяных
месторождений. Данные термометрии используются при решении практически всех
задач контроля.
В перфорированных пластах термометрия применяется
для выделения интервалов притока (приемистости), определения отдающих
(поглощающих) пластов и установления интервалов обводнения. В неперфорированных
пластах термометрия служит для прослеживания местоположения температурного
фронта закачиваемых вод.
При контроле технического состояния скважин
термометрия используется для выявления затрубных циркуляций и определения мест
негерметичности обсадной колонны и лифтовых труб.
Для выбора оптимального режима работы
технологического оборудования данные термометрии могут быть использованы для
определения глубины и интервалов разгазирования нефти и установления уровня
жидкости в скважине.
К достоинствам термометрии скважин относятся:
а) возможность исследования объектов, перекрытых
лифтовыми трубами;
б) возможность получения информации о работе
пласта, недоступного для исследования в действующей скважине (например, в
скважинах, эксплуатирующихся с помощью электропогружных центробежных насосов,
при высоких устьевых давлениях и т. п.), по измерениям, выполненным в
остановленной скважине, после ее глушения и извлечения технологического
оборудования;
в) выявление слабо работающих перфорированных
пластов, когда другие промысловые методы не эффективны;
г) выявление интервалов обводнения независимо от
минерализации воды, обводняющей пласт;
д) возможность более точной отбивки подошвы
нижнего отдающего (поглощающего) интервала в действующей скважине по сравнению
с методами, исследующими состав и дебит смеси.
Исследования с целью выявления мест
негерметичности обсадной колонны и лифтовых труб проводятся в работающей
скважине в два этапа. На первом этапе выполняются исследования общего вида.
Записывается основная термограмма в относительно большом интервале ствола
скважины. Ориентировочно определяются возможные места негерметичности по
характерным искажениям термограммы. На втором этапе в выделенных интервалах
проводятся детальные исследования (записываются основная и контрольные
диаграммы), по которым уточняется положение мест негерметичности.
Выявление затрубной циркуляции между
неперфорированными пластами относится к исследованиям общего вида. Измерения
проводятся в длительно простаивающих и остановленных скважинах, находящихся в
режиме теплового равновесия с окружающими породами. Записывается основная
диаграмма в интервале исследуемых пластов и прилегающих к ним перемычках. В
остановленных скважинах время наступления теплового равновесия определяется по
стабилизации температуры в перемычках, расположенных над интервалом
исследования и ниже него, затрубная циркуляция в которых маловероятна. На
каждом месторождении это время может быть установлено экспериментально по
кривым восстановления температуры в остановленной скважине, полученным путем
периодической регистрации температуры на фиксированной глубине или по серии
температурных кривых.
Исследования с целью выделения интервалов
притока (приемистости) относятся к детальному виду. В действующей скважине
производится запись основной и контрольной термограмм в интервале исследуемых
пластов и перемычках между ними. Интервал исследований должен включать участки
ствола мощностью несколько десятков метров (20-30 м), расположенные над
интервалом перфорации и ниже него. При небольшом зумпфе измерения проводятся до
забоя скважины. В фонтанирующих скважинах программа работ должна предусматривать
измерения в лифтовых трубах (интервал не менее 20 м) для определения
местоположения воронки лифтовых труб, являющейся дополнительным репером
привязки термограмм по глубине. Следует отметить, что интервалы приемистости на
термограммах действующих нагнетательных скважин отмечаются лишь в благоприятных
случаях (высокая удельная приемистость интервала на фоне низкой суммарной
приемистости скважины, небольшое время работы скважины, интервалы приемистости
расположены на достаточно большом удалении друг от друга). Поэтому исследования
в действующих нагнетательных скважинах проводятся в основном для выделения
нижней границы интервала приемистости и установления затрубной циркуляции в
нижележащий пласт, не вскрытый перфорацией.
Для выделения отдающих (поглощающих) пластов
проводятся детальные исследования в действующей (по программе п. 3), а после
наступления теплового равновесия в остановленной скважине. Оптимальное время
остановки скважины выбирается на основании опыта работ на месторождении по
исследованию стабилизации температуры в кровле (для эксплуатационной скважины)
или подошве (для нагнетательной скважины) перфорированного интервала. При
отсутствии таких сведений измерения проводятся через сутки после остановки
скважины. Записывается основная И контрольная термограммы. Исследуются интервал
перфорации, ближайшие неперфорированные пласты и примыкающие к ним перемычки.
При выявлении затрубной циркуляции между
перфорированным и нижележащим неперфорированным пластами исследования в
остановленной скважине проводятся в том случае, когда задача выявления
затрубной циркуляции по измерениям в действующей скважине однозначно не
решается. Программа работ в этом случае предусматривает проведение измерений в
остановленной на короткое время (3-4 ч) скважине. Измерения в остановленной на
длительное время скважине после наступления режима теплового равновесия
проводятся лишь в случае, когда исследования в остановленной на короткое время
скважине не дают однозначного результата.
При проведении исследований в остановленной
эксплуатационной скважине с целью выявления затрубной циркуляции снизу величина
зумпфа должна быть такой, чтобы на термограмме действующей скважины надежно
фиксировалась минимальная температура против перемычки, расположенной ниже
интервала перфорации. В нагнетательной скважине для исследований должны быть
доступны пласт, расположенный ниже интервала перфорации, и подстилающая его
перемычка.
6.5.1 Обработка и интерпретация
термограмм
Распределение естественной температуры пород по
глубине характеризуется геотермой - температурной кривой, записанной в
простаивающей скважине, удаленной от мест закачки и отбора флюида. Обработка
геотермы заключается в разбивке термограммы на отдельные прямолинейные участки,
соответствующие интервалам с постоянным геотермическим градиентом. Границы этих
интервалов выделяются по отклонениям геотермы от прямолинейного участка на
величину, превышающую допустимую погрешность измерения.
В выделенных интервалах определяются градиенты
по формуле
Г = Т2 - Т1 / h2 - h1,
где T1, T2 - температуры на глубинах h1 и h2,
соответствующих границам выделенных по термограмме интервалов.
Полученные данные сводятся в таблицу и
представляются в виде графиков (рис. 6.3).
Геотерма принимается за базисную температурную
кривую. Сопоставление термограмм скважин с геотермой позволяет по расхождению
между ними выделять интервалы нарушения теплового равновесия, вызванного
процессами, происходящими в пласте и стволе скважины, и по характерным отличиям
судить о причине нарушения теплового равновесия.
Рис. 6.3 - Обработка геотермы: 1 -
геотермический градиент: 2 - фактическая термограмма; 3 - схематизированная
термограмма
Обработка материалов исследований включает
нанесение на одну диаграммную бумагу геотермы и термограммы скважины, при этом
производится совмещение температурных кривых ниже объекта исследований в
интервалах отсутствия нарушения естественного теплового поля. Выделяются
интервалы расхождения указанных температурных кривых в пределах изучаемого
объекта. На термограмме отмечаются характерные точки и даются их отклонения от
геотермы. При отсутствии геотермы по данной скважине используется типовая
геотерма для данного месторождения. (В наклонных скважинах типовая геотерма
перестраивается с учетом угла наклона данной скважины.)
Сравнение геотермы с термограммами, полученными
в остановленных и простаивающих скважинах, находящихся в режиме теплового
равновесия с окружающими породами, позволяет решать следующие промысловые
задачи:
а) контролировать прохождение температурного
фронта нагнетаемых вод по измерениям в контрольных и пьезометрических
скважинах;
б) устанавливать факт перетока флюида из пласта
в пласт, выделять интервалы затрубной циркуляции и выявлять пласт-источник
перетока в неперфорированных участках ствола скважины;
в) определять отдающие интервалы в
эксплуатационной и интервалы поглощения в нагнетательной скважине.
Из-за различия температуры нагнетаемой воды и
пластовой процесс вытеснения нефти водой сопровождается изменением температуры
пласта. Обычно температура нагнетаемых вод ниже пластовой, поэтому обводненный
пласт устанавливается по отрицательным аномалиям при сравнении термограммы с
геотермой. При контроле прохождения температурного фронта нагнетаемых вод в
интервале расхождения указанных температурных кривых на термограмме выделяется
точка минимальной температуры и указывается ее отклонение от геотермы ∆T.
Параллельно геотерме на расстоянии ∆Т/2 проводится вспомогательная линия.
Точки пересечения ее с термограммой определяют границы интервала прохождения
температурного фронта нагнетаемых вод. Обводненный пласт в интервале
прохождения температурного фронта выявляется по положению точки минимальной
температуры М (рис. 4) с учетом величины погрешности записи термограммы.
Рис. 6.4
6.5.2 Комплексная аппаратура,
применяемая ПО «Белоруснефть» для контроля за разработкой месторождений
Комплексная скважинная аппаратура АГАТ-К9-36
Назначение - термогидродинамические исследования
действующих скважин в процессе контроля за разработкой нефтегазовых
месторождений.
Условия применения: в составе компьютеризованной
каротажной станции, снабженной одножильным бронированным кабелем длиной не
более 4,5 км при температуре скважины от 5 до 120ºС
и давлении не более 60 и 80 МПа. Диаметр скважинного прибора 36 мм.
Решаемые задачи
Исследование эксплуатационных характеристик
скважины:
определение отдающих и поглощающих интервалов;
определение профиля притока и приемистости;
определение давления;
определение температурного режима;
определение интервалов обводнения;
определение интервалов негерметичности обсадной
колонны, НКТ и затрубного пространства.
Контроль за разработкой технического
оборудования:
определение глубины установки оборудования;
определение уровня жидкости;
определение нахождения НКТ и пакеров.
Изучение гидродинамических характеристик
пластов:
определение коэффициента продуктивности;
определение гидропроводности и газопроводности.
Состав скважинного прибора
Комплексный скважинный прибор содержит 9
различных датчиков и состоит из 5 базовых модулей: базового модуля, модуля ГК,
модуля расходомера, модуля индукционного резистивиметра и модуля
высокочувствительного расходомера со складывающейся турбинкой. Базовый модуль
содержит датчики давления, температуры, влажности, термоиндикации потока,
гидроакустический датчик и локатор муфт. Основные технические характеристики
аппарата АГАТ-К9-36 приведены в таблице 6.1.
Таблица 6.1 - Основные технические
характеристики аппарата АГАТ-К9-36
|
Характеристики
|
Пределы
измерения
|
Погрешность
|
|
Температура
|
5-120ºC
|
1ºC
|
|
Порог
чувствительности термометра
|
0,005ºС
|
|
|
Инерционность
термометра
|
1с
|
|
|
Давление
|
1-60
МПа
|
0,5%
|
|
Порог
чувствительности манометра
|
0,005
МПа
|
|
|
Расход
модуля малого диаметра модуля большого диаметра
|
2-100
м3/ч 0,2-60 м3/ч
|
5%
5%
|
|
Влагосодержание
|
0-60%
|
6%
|
|
Резистивиметр
|
0,02-30
См/м
|
5%
|
|
Термоиндикация
притока
|
0,1-10
м3/ч
|
|
|
Скорость
счета ГК макс
|
500
имп/с
|
15%
|
|
Амплитуда
выходного сигнала локатора муфт
|
15
мВ
|
|
|
Гидроакустический
датчик
|
20Гц-20
кГц
|
|
|
Длина
комплексного прибора
|
3900
мм
|
|
Прибор может применяться как в колонне при
работе через НКТ, так и в открытом стволе при решении специальных задач по
определению приемистости пород коллекторов. Примером этому являются
исследования по скважине 99 Восточно-Первомайского месторождения. Работы
проводились при закачке технической воды на поглощение и запись на точке при
положении прибора в башмаке колонны в течении 10 часов. Закачено 35 м/куб
жидкости в течении двух часов, сделаны записи расходомера на разных скоростях
во время закачки и замеры после стравливания давления. По кривой расходометрии
и термометрии нижняя граница принимающего интервала отбивается на глубине 4250
м, лучшая приемистость в интервале (4245- 4250)м, в меньшей степени принимает
интервал (4235-4245)м. По записи на стоянке видно, что первоначальная репрессия
на пласт составила 105 атмосфер, поглощение шло достаточно интенсивно, частота
вращения вертушки расходомера значительна. Показания влагомера и резистивиметра
меняются слабо, далее за счет нагрева скважинной жидкости проводимость ее
увеличивается, по времени этот период занимает 180 минут. В последующее время
проводимость и влагосодержание жидкости падают, вероятно, вследствии выделения
газа в ствол скважины.
Комплексная скважинная аппаратура ТАГИС.38
Назначение
измерение температуры и давления рабочей
скважины;
измерения мощности экспозиционной дозы
гамма-излучения горных пород (индикации изменения мощности - для варианта
привязки);
определения мест нарушений и обсадной колонне и
НКТ, мест перетока жидкости и газа через эти нарушения;
определение положения муфтовых соединений
обсадной колонны и НКТ, интервалов перфорации и привязки контролируемых
параметров по глубине;
контроля положения элементов технологического
оборудования, например: глубины спуска НКТ, положения искусственного забоя и
т.п.;
определения профиля притока, источника
обводнения и исследования качественного состава жидкости в стволе скважины;
изменение расхода жидкости в стволе скважины;
определение временных зависимостей
восстановления давления и дебита (временные замеры на точке);
контроля технического состояния и определения
профиля приемистости в нагнетательных скважинах;
определение интервалов заколонных перетоков;
Технические характеристики:
. Канал измерения температуры
рабочий диапазон измерения температуры 5-120
ºС
диапазон измерения 20-120
ºС
. Канал измерения давления:
рабочий диапазон 0-40 МПа;
диапазон измерения 1 - 40 МПа;
. Канал ГК:
рабочий диапазон 0-100 мкР/ч;
диапазон измерения 5-50 мкР/ч;
. Канал индикации изменения удельной
электрической проводимости:
рабочий диапазон индикации 0,1 - 50 См/м;
. Канал индикации изменения содержания воды и
нефти:
рабочий диапазон 0 - 100%
. Канал индикации изменения притока (оттока)
жидкости:
рабочий диапазон 0,08 - 12 м3/ч;
. Диаметр прибора 38 мм;
. Длина прибора 1690 мм;
7. НЕФТЕГАЗОНОСНОСТЬ МЕСТОРОЖДЕНИЯ
Вишанское месторождение относится к
Речицко-Вишанской зоне нефтегазонакопления Припятского прогиба. Промышленная
нефтеносность связана с карбонатными коллекторами елецко-задонского,
воронежского, речицкого, семилукского, саргаевского горизонтов и терригенным
коллектором ланского горизонта.
По состоянию на 1.01.2001 г. на Вишанской
площади пробурены 1 параметрическая, 4 поисковых, 18 разведочных и 75
зксплуатационных скважин. Нефтеносность установлена при бурении на кернах, по
таким признакам, как выпоты нефти на свежем изломе, в трещинах и кавернах,
нефтяной запах; по промыслово-геофизическим данным; по результатам опробований
пластоиспытателями и испытаний в колонне.
Западная межсолевая залежь
Вскрыта 10 скважинами. Межсолевые отложения
опробованы в 9 из них. В колонне притоки нефти получены в скв.
75,76,126,127,200,202 дебитами от незначительного в скв.75 до 62 м3/сут. в
скв.127. В открытом стволе скв.58 и 77 получены притоки разгазированного бурового
раствора.
Коллекторами нефти служат доломиты, реже
доломитизированные известняки. Породы массивные, трещиноватые, пористые,
кавернозные. Тип коллектора каверново-порово-трещинный. Залежь массивная,
ограниченная тектонически, зоной отсутствия межсолевых отложений и контуром
нефтеносности (-2426 м ).
Размеры залежи: 3,1 км х 1,2 км х 0,09 км.
Нефтенасыщенные толщины, выделенные по ГИС,
изменяются от 30,0 м в скв.77 до 87,7 м в скв.126. Пористость выделенных
пластов-коллекторов изменяется от 0,064 (скв.77) до 0,112 (скв.94),
нефтенасыщенность - от 0,724 (скв.101) до 0,832 (скв.126). Режим залежи
упруго-замкнутый.
Восточная межсолевая залежь
Залежь выявлена в 1994 г. в результате бурения
скв. 203, и на сегодня вскрыта 17 скважинами (в контуре нефтеносности). Елецко-задонские
отложения опробованы в 12 из них. Притоки нефти в колонне получены в скв.
44,81,115 и 203. Максимальный начальный дебит начала добычи по данной залежи
17,3 т/сут. из скв. 115. В скв 10 в колонне получен слабый приток пластовой
воды. Скв. 96 недоосвоена.
В открытом стволе в скв.5,116 получены притоки
пластовой воды дебитом 465 м3/сут. (скв.5); в скв.123 - приток нефти; в скв.121
приток не получен.
Коллекторами нефти служат доломиты и
доломитизированные известняки крепкие, массивные, плотные. Тип коллектора
каверново-порово-трещинный. Залежь массивная, ограниченная зоной отсутствия
межсолевых отложений и контуром нефтеносности (-2360 м).
Размеры залежи 5,4 км х 1,4 км х 0,07 км.
Нефтенасыщенные толщины, выделенные по ГИС, изменяются от 1,4 м (скв.45) до
47,3 м (скв.115). Пористость коллекторов колеблется в пределах 0,051 (в скв.45)
- 0,103 (скв.44,115); нефтенасыщенность - от 0,563 (скв.10) до 0,704 (скв.59).
Режим залежи упруго-замкнутый.
Воронежская залежь
Залежь воронежского горизонта в контуре
нефтеносности вскрыта 76 скважинами.
Раздельно в колонне горизонт испытан в скв. 2,
3, 9, 11, 13,17,33,46, 48, 51, 52, 56, 57, 59, 60, 61, 63, 66, 67, 68, 77, 80,
83, 96, 101, 102, 107, 112,115,116,119,123.
Фонтанные притоки безводной нефти зафиксированы
в скв. 2,3,61 с дебитами соответственно 46,6; 80,0 и 147 т/сут. В
скв.9,13,33,46,48,51,52,56,57,59,60,63,68,77,80,83,96,101, 102,107,115,119 и
123 с помощью ЭЦН получены нефть или нефть с пластовой водой с дебитами от 0.03
до 284 т/сут. при обводненности от следов до 99%. В скв.11 получена пластовая
вода, в 116 - вода с пленкой нефти. В скв. 66 нет приемистости.
Пластоиспытателем в процессе бурения воронежские
отложения испытаны в скв.
2,3,9,10,17,19,81,92,96,101,102,112,113,114,118,121,123. Из них притоки не
получены в скв. 17,19,92,112,113,114,123. Притоки нефти получены в скв.
9,10,81,96,102,121 дебитами соответственно 1,2 м3/сут., 90 м3/сут.,21
м3/сут.,66 м3/сут.,175 м3/сут. и 57,6 м3/сут. В скв.2 и 118 получили
разгазированный раствор; скв.3 на поверхности дала буровой раствор с пленками
нефти; скв. 101 - буровой раствор с пленками нефти дебитом 7,3 м3/сут.
Коллекторами в воронежском горизонте служат
доломиты, реже доломитизированные известняки. По площади распределены
неравномерно, в ряде скважин вообще отсутствует (скв.
30.33,34,41,47,55,58,95,105,111,113). Тип коллектора
порово-каверново-трещинный.
Залежь пластовая, сводовая, ограниченная
тектонически, участками литологически, а также контуром нефтеносности (-2860
м).
Размеры залежи 18,9 км х 2,7 км х 0,4 км.
Нефтенасыщенные толщины изменяются от 0,8 м (скв.78) до 29,5 м (скв.118).
Пористость - от 0,040 (скв.2) до 0,125 (скв.117), нефтенасыщенность - от 0,654
(скв.76) до 0,890 (скв.96).
Речицкая залежь
В данном отчете впервые речицкая залежь рассматривается
как самостоятельный объект подсчета.
Испытания речицкого горизонта проводились лишь
совместно с другими подсолевыми горизонтами. Наличие или отсутствие речицких
коллекторов в таких скважинах подтверждается ГИС. Результат перфорации колонны
скв. 67 в интервале 2960-2974 м (-2697-2709 м) свидетельствует о нефтеносности
речицких отложений Вишанского месторождения - получен приток нефти 73,6 т/сут.
В книге III текст. прил. дана полная
характеристика эффективных нефтенасыщенных толщин, пористости и нефтенасыщенности
речицких отложений.
Коллекторами нефти в речицком горизонте являются
доломиты, реже доломитизированные известняки.
Тип коллектора порово-каверново-трещинный
Залежь речицкого горизонта представляет собой
несколько эффективных полей, площадь которых в сумме составляет 12765 тыс. м2,
максимальная высота 321 м.
Семилукская залежь
Залежь семилукского горизонта вскрыта теми же
скважинами, что и воронежская, кроме 115,116,119,121,123.
Раздельно в колонне отложения испытаны в скв.
5,9,17,36,67,78,80,81,94,95,106. В скв.5 и 9 получены фонтанные притоки
безводной нефти дебитами 107 и 82 м3/сут. соответственно. В скв. 78,80,81,94,95
и 106 с помощью ЭЦН получены притоки нефти (скв. 81) и нефти с водой.
Максимальная обводненность продукции в скважине 80 - 97%. В скв. 17 получена
пластовая вода с пленкой и сгустками очень вязкой нефти. Скв.36 и 67 испытаны
на приемистость: скв.36 введена под нагнетание в семилукский горизонт с
приемистостью 500 м3/сут.; в скв.67 приемистость отсутствует.
Пластоиспытателем в процессе бурения семилукские
отложения опробованы в скв.10,11,19,101 и 102. В скв. 10 получен приток нефти
дебитом 22 м3/сут.; в скв. 11,19 приток не получен; в скв. 101 - пластовая вода
с нефтью дебитом 358 м3/сут.; в скв. 109 - техническая вода.
Наличие коллекторов в семилукском горизонте в
случаях совместных испытаний с другими горизонтами подтверждено ГИС.
Коллекторами нефти в семилукском горизонте
являются преимущественно доломиты, в незначительном количестве известняки. Тип
коллектора каверново-порово-трещинный. Залежь пластовая, сводовая, ограниченная
тектонически, участок скв.109 - литологически, а также единым для подсолевых
залежей контуром нефтеносности (-2860 м).
Размеры залежи: 18,5 км х 2,5 км х 0,3 км.
Нефтенасыщенные толщины изменяются от 3,4 м
(скв.70) до 29,6 м (скв.94). Пористость - от 0,036 (скв.26) до 0,149 (скв.48),
нефтенасыщенность - от 0,630 (скв.110) до 0,906 (скв.41). В скв. 109 коллектор
отсутствует.
Саргаевская залежь
Залежь саргаевского горизонта вскрыта в контуре
нефтеносности теми же скважинами, что и семилукская.
Раздельно в колонне саргаевские отложения
испытаны в скв. 10,13,17,36,45,52,60,
62,67,71,72,74,76,78,80,81,92,94,101,102,105,106,107,113,114. Безводная нефть
получена в скв.10,13,62,67,76,92,94,107,114; наибольший замеренный дебит в
скв.76 - 198 т/сут. В скв.17,72,78,81,101 и 106 получены притоки нефти с водой
(обводненность незначительная). Скв. 52,60,102,105,113 дали воду с пленкой
нефти. В скв. 45,71 и 74 притоков не получено. В скв. 36 в саргаевских
отложениях нет приемистости.
Пластоиспытателем саргаевские отложения испытаны
в скв. 9,10,13,15,42,67,92 и 102. В скв. 9,13,15,67 и 92 получены притоки
нефти; в скв.10 - под ЗПК пленка нефти, в скв.42 - буровой раствор с нефтью, в
скв. 102 - техническая вода.
При совместных испытаниях саргаевских отложений
с отложениями других горизонтов наличие или отсутствие коллектора
подтверждается ГИС.
Коллекторами нефти в саргаевском горизонте
служат доломиты, доломитизированные известняки и известковистые доломиты. Тип
коллектора каверново-порово-трещинный. Залежь пластовая, сводовая, ограниченная
тектонически, участками литологически, а также контуром нефтеносности (-2860
м).
Размеры залежи 18,2 км х 2,4 км х 0,3 км.
Нефтенасыщенные толщины изменяются от 2,8 м
(скв. 5) до 40,3 м (скв.107). Пористость - от 0,36 в скв.30,109 до 0,91 в скв.
102; нефтенасыщенность - от 0,585 (скв.63) до (0,896 (скв. 113). В скв.
33,34,54 и 70 коллектор отсутствует.
На дату пересчета все подсолевые залежи,
эксплуатируемые как единый объект разработки, работают на искусственном
водонапорном режиме.
Ланская залежь
Нефтеносность ланского горизонта установлена в
1990 г. скважиной 109 - в колонне был получен приток нефти дебитом 33 м3/сут.
Раздельных испытаний ланских отложений больше не проводилось ни ИП, ни в
колонне. Были испытания совместные со старооскольскими в колонне скв. 108, 201,
и в скв.39, где интервал испытания охватил все подсолевые залежи. Во всех
случаях получена нефть. В скв. 106 и 108 в открытом стволе получена нефть,
также при совместных опробованиях.
Коллекторами нефти в ланском горизонте являются
песчаники. Тип коллектора поровый.
Залежь пластовая, сводовая, ограниченная
тектонически, литологически, а также контуром нефтеносности (-2694 м).
Размеры залежи: 6,9 км х 0,1-0,5 км х 0,1 км.
Нефтенасыщенные толщины, выделенные по ГИС,
изменяются от 4,2 м (скв.117) до 17,0 м (скв.118). Пористость - 0,12 (скв.117)
- 0,20 (скв.106); нефтенасыщенность 0,815 (скв117) - 0,888 (скв.106).
Режим залежи упруго-замкнутый.
Обоснование ВНК
На основании всей имеющейся информации положение
ВНК по залежам определено следующим образом:
по западной межсолевой залежи на отметке -2426 м
- по нижним дырам интервала перфорации, давшего нефть в колонне скв. 202;
по восточной межсолевой залежи на отметке - 2360
м, соответствующей положению нижних дыр перфорации интервала, давшего нефть в
колонне скв. 203.
Для подсолевых залежей Вишанского месторождения
утвержден единый ВНК на абс. отметке -2860 м. Авторами настоящего отчета
сохраняется условно принятая отметка ВНК, обоснованная в предыдущем отчете по
подсчету запасов, так как новых данных для ее переинтерпретации нет.
8. СОСТАВ И СВОЙСТВА НЕФТИ И
РАСТВОРЕННОГО ГАЗА ОЦЕНКА ПРОМЫШЛЕННОГО ЗНАЧЕНИЯ ИХ КОМПОНЕНТОВ
Изучение физико-химических свойств нефти и
растворенного газа Вишанского месторождения проводилось лабораториями УГ при СМ
БССР, КТП треста “Черниговнефтегазразведка”, УКРНИИПНД, УКРНИИГАЗ,
БелНИПИнефть.
При однократном разгазировании исследованы 23
глубинных пробы (8 - по воронежскому горизонту, 3 - по семилукскому, 2 - по
саргаевскому, 2 - по ланскому и 8 - по межсолевым отложениям), при
дифференциальном разгазировании - 12 (6 - с воронежского горизонта, 1 - с
семилукского, 4 - с саргаевского и 1 - из межсолевых отложений), 7 проб при
ступенчатом разгазировании (4 - воронежские, 1 - ланская и 2 - межсолевые) и 56
поверхностных.
Качество проб удовлетворительное. Для каждого
исследования отбирались 1-3 пробоотборника и устанавливалась их идентичность.
Пробы пластовой нефти отбирались в период с 1968 г. по 1995 гг. Условия отбора:
глубина 1400-2500 м, пластовая температура - 53-60оС, пластовое давление -
26,4-30,1 МПа.
Для изучения свойств нефти в пластовых условиях
пробы отбирались глубинным пробоотборником. Для изучения поверхностных нефтей
пробы отбирались при испытании пластов пластоиспытателем, глубинным
пробоотборником, при промывке скважины, на устье, желонкой с уровня.
Воронежская залежь
При однократном разгазировании исследовано 8
глубинных проб из скважин 2, 3, 5 и 10. Сравнение параметров говорит об
идентичности нефтей в этих скважинах. Пластовая нефть характеризуется
следующими основными параметрами:
давление насыщения по исследованным пробам
колеблется от 9,26 МПа до 11,88 МПа и в среднем по залежи составляет 10,7 МПа;
плотность пластовой нефти, определенная при
давлении 20,0 Мпа, изменяется от 0,671 г/см3 до 0,784 г/см3, в среднем по
залежи равна 0,744 г/см3, при давлении насыщения 10,7 МПа - 0,736 г/см3;
плотность дегазированной до стандартных условий нефти меняется от 0,842 г/см3
до 0,891 г/см3 при среднем значении - 0,863 г/см3;
газонасыщенность колеблется от 75,4 м3/т до
133,1 м3/т и в среднем м составляет 101,02 м3/т;
объемный коэффициент при давлении 20,0 МПа
изменяется от 1,24 до 1,44, среднее значение равно 1,30, при давлении насыщения
соответственно 1,25 - 1,45 и 1,32;
вязкость при давлении 20,0 МПа в среднем равна
2,16. мПа*с, интервал колебания 1,40 мПа*с-- 2,83 мПа*с.
коэффициент сжимаемости при снижении давления с
20,0 МПа до давления насыщения равен 12,38*10-41/МПа.
Растворенный в нефти газ изучен по 8 пробам
нефти (табл.8.2), отобранным из скважин 2, 3, 5, 10. Газ содержит в среднем
56,92 %мол. - метана; 18.10 %мол.- этана; 13,33 %мол. - пропана; 6,82 %мол.-
бутанов; 2,66 %мол. - пентанов. Молекулярный вес газа 27,43, плотность - 1,1397
кг/м3.
При дифференциальном разгазировании исследовано
5 глубинных проб из скважин 2, 3, 10. Первая ступень сепарации от 9,6 МПа
(скв.3) до 8,82 МПа (скв.2, 3, 10). Газовый фактор колеблется в пределах 71,9
м3/т (скв.2 пр.2) до 118 м3/т (скв.3 пр.2), средний газовый фактор по залежи
равен 93,85 м3/т. Объемный коэффициент нефти при 20,0 МПа составил 1,25,
плотность дегазированной нефти - 0,851 кг/м3. Содержание метана равно 56,02
%мол., этана - 20,26 %мол., пропана - 13,11 %мол., бутанов - 6,46 %мол.
При ступенчатом разгазировании исследовано 4
пробы из скважин 2, 3, 5 (табл.8.4). Первая ступень сепарации - 1,6 МПа.
Газовый фактор составил 71,5 м3/т при интервале колебания от 53,8 м3/т (скв.5)
до 97 м3/т (скв.3), плотность дегазированной нефти - 0,8476 кг/м3, объемный коэффициент
нефти в пластовых условиях - 1,649, при давлении насыщения - 1,691, согласно
единственному замеру, произведенному при исследовании пробы в скв.2. Содержание
метана в пробах равно 66,09 %мол., этана - 18,14 %мол., пропана - 9,86 %мол.,
бутанов - 3,42 %мол.
Физико-химические свойства поверхностных проб
изучены по 18 пробам, отобранным из скважин: 2, 3, 9, 10, 15, 60, 81, 107, 121.
Плотность сепарированной нефти в среднем по
залежи составила 0,8497 г/см3, вязкость при 20 0С - 38,58 мкм2 /с, при 500С -
7,2 мкм2 /с; содержание серы - 0,54 %мол., асфальтенов - 4,11 %мол., смол -
13,01 %мол., парафина - 5,74 %мол. Выход легких фракций (до 3000С) достигает
44,3 % объемных.
Содержание гелия в растворенном газе в пластовых
условиях равно нулю.
Нефть воронежского горизонта по углеводородному
составу относится к метановому типу, малосернистая, смолистая, парафиновая,
маловязкая, легкая.
Семилукская залежь
Основные физико-химические свойства нефти,
полученные при однократном разгазировании 3 проб, отобранных из скважин 5 и 9,
характеризуются следующими параметрами:
давление насыщения колеблется от 7,8 МПа до
12,00 МПа и в среднем значение составляет 9,45 МПа;
плотность пластовой нефти при давлении 20,0 МПа
равна 0,763 г/см3, единственное определение в скважине 9 при давлении насыщения
- 0,767 г/см3, интервал колебания составил 0,75 г/см3 - 0,793 г/см3. Плотность
дегазированной нефти в стандартных условиях изменяется от 0,846 г/см3 до 0,889
г/см3 при среднем значении - 0,862 г/см3;
объемный коэффициент при давлении 20,0 МПа -
1,25 (скв.9), при давлении насыщения - 1,26;
газовый фактор варьирует в пределах 87,1 м3/т -
103,0 м3/т и в среднем по залежи равен 95,05 м3/т;
вязкость нефти при давлении 20,0 МПа изменяется
от 6,60 мПа*с до 1,87 мПа*с и в среднем по залежи составляет 4,24 мПа*с;
коэффициент сжимаемости при снижении давления с
20,0 МПа до давления насыщения равен 11,5*10-41/МПа.
При дифференциальном разгазировании изучена 1
проба из скважины 9. Первая ступень сепарации - 5,88 МПа. Средний газовый
фактор равен 80,2 м3/т, плотность сепарированной нефти - 0,852 г/см3, объемный
коэффициент при давлении 20,0 МПа - 1,225, при давлении насыщения - 1,267.
Содержание метана составляет 69,41 %мол., этана - 18,81 %мол., пропана - 7,49
%мол., бутанов - 2,48 %мол.
Поверхностные пробы изучались по 10 образцам из
5, 10, 95 скважин. Плотность нефти равна 0,8827 г/см3, вязкость при 200С -
71,28 мкм2*с, при 500С - 7,6 мкм2*с,
содержание серы достигает 0,0,9 %мол., смол - 19,7 %мол., парафина - 6,08 %мол.
Выход легких фракций до 3000С - 41,0 %объемных.
Гелий в растворенном газе не обнаружен.
Содержание редких металлов (ванадий, никель,
железо и т.д.) не определялось.
Нефть семилукского горизонта средняя, сернистая,
высокосмолистая, высокопарафиновая, маловязкая, относится к метановому типу.
Саргаевская залежь
При однократном разгазировании изучена по двум
глубинным пробам (скв.13, 15) и характеризуется следующими основными
параметрами:
давление насыщения в среднем по залежи равно
10,96 МПа;
плотность пластовой нефти, определенная при
давлении 20,0 МПа, составляет 0,739 г/см3, при давлении насыщения - 0,730
г/см3, сепарированной - 0,860 г/см3;
газонасыщенность - 104,6 м3/т
объемный коэффициент при давлении 20,0 МПа равен
1,32, при давлении насыщения - 1,33;
вязкость при давлении в 20,0 МПа - 1,86 мПа*с.
коэффициент сжимаемости при снижении давления с
20,0 МПа до давления насыщения равен 12,95*10-41/МПа.
Рстворимый в нефти газ состоит в среднем из
57,76 %мол. метана, 17,72 %мол. - этана; 13,37 %мол. - пропана; 6,97 %мол. -
,бутанов. Молекулярный вес газа - 27,28, плотность - 1,1334 кг/м3.
Изучение свойств нефти при дифференциальном
разгазировании осуществлялось на 4 пробах из 2 скважин (13, 15). Первая ступень
сепарации - 8,82 - 9,29 МПа. Средний газовый фактор равен 101,5 м3/т, плотность
сепарированной нефти - 0,851 г/см3, объемный коэффициент равен 1,258 при 20,0
МПа. Содержание метана достигает 55,92 %мол., этана - 20,07 %мол., пропана -
13,57 %мол., бутанов - 6,81 %мол.
Физико-химические свойства поверхностных нефтей
изучены на 14 пробах, отобранных из скважин:3, 9, 13, 15, 62, 67, 78, 106 и
характеризуются следующими параметрами:
плотность сепарированной нефти изменяется от
0,8294 г/см3 до 0,8638 г/см3 и в среднем по залежи составляет 0,8478 г/см3;
вязкость при 200С колеблется от 18,2 мкм2*с до
52,57 мкм2*с при среднем значении - 35,69мкм2*с; при 500С соответственно - 4,95
мкм2*с - 10,69 мкм2*с и 6,99 мкм2*с;
содержание серы в среднем по залежи равно 0,58
%мас., смол - 12,15 % мас., парафина - 6,22 % мас. Выход светлых фракцй - 42,5
% объемных.
Гелий в растворенном газе не обнаружен.
Содержание металлов не определялось.
Нефть саргаевской залежи относится к метановому
типу, сернистая, смолистая, высокопарафиновая, легкая.
Ланская залежь
Характеристика физико-химических свойств нефти
дана по одной пробе ступенчатого разгазирования, двум пробам однократного
разгазирования и четырем поверхностным.
Пластовая нефть, исследованная при однократном
разгазировании характеризуется следующими осредненными основными параметрами:
давление насыщения - 3,08 МПа;
плотность пластовой нефти, определенной при
давлении 29,4 МПа - 0,876 г/см3, при давлении насыщения - 0,850 г/см3,
плотность дегазированной нефти -0,898 г/см3;
газонасыщенность - 20,65 м3/т;
объемный коэффициент составляет - 1,056;
коэффициент сжимаемости при изменении давления
4,8 - 29,4 равен 11,62*10-4 1/МПа;
Растворенный в нефти газ состоит на 32,15 %мол.
метана, 19,17 %мол. этана, 23,15 %мол. пропана, 13,81 %мол. бутанов. Плотность
газа - 1,4859 кг/м3, молекулярный вес газа - 35,76.
Основные параметры нефти, полученные при
ступенчатом разгазировании (скв.118) следующие: первая ступень сепарации - 0,6
МПа; газовый фактор равен 17,2 м3/т; содержание метана в нефти - 38,2 %мол.,
этана - 21,05 %мол., пропана - 23,83 %мол., бутанов - 7,81 %мол.
Основные параметры поверхностной нефти (скв.109,
118, 201): средняя плотность нефти составляет 0,8806 г/см3, вязкость при 500С -
30,8 мкм2*с, содержание серы - 0,68 %мас., смол - 19,74 %мас., парафина - 5,21
%мас. Выход легких фракций до 3000С - 35 %объемных.
Нефть средняя, сернистая, высокосмолистая,
парафиновая и относится к типу метановых.
Западная межсолевая залежь
Для исследования при однократном разгазировании
отобрано и исследовано 5 глубинных проб из скважин 127 и 200. Пластовая нефть
характеризуется следующими основными параметрами:
давление насыщения по исследованным пробам
колеблется от 1,98 МПа (скв.127) до 4,17 МПа (скв.200) и в среднем по залежи
составляет 3,64 МПа;
среднее значение плотности пластовой нефти,
определенной при давлении 29,4 МПа, равно 0,862 кг/м3, при нач.пл.Р=33,4 МПа - 0,8658
кг/м3 при давлении насыщения - 0,8375 кг/м3. Плотность сепарированной до
стандартных условий нефти меняется от 0,8847 г/см3 (скв.127) до 0,923 г/см3
(скв.200) при среднем значении - 0,899 г/см3;
газонасыщенность колеблется от 16,40 м3/т
(скв.127) до 26,7 м3/т (скв.200) и в среднем составляет 22,05 м3/т;
объемный коэффициент при давлении насыщения от
2,96 МПа до 4,17 МПа изменяется от 1,088 до 1,124; при Р= 29,41 МПа - от 1,060
до 1,107. Его значение для начального пластового давления определено графически
и составляет 1.077.
средняя вязкость нефти также определена с учетом
построения зависимости изменения вязкости от давления и соответственно равна
3,49 мкм2*с при давлении 33,41 МПа и 2,69 мкм2*с при Рн=3,64 МПа.
Растворенный в нефти газ изучен по 4 пробам
нефти, отобранным из скважин 127 и 200. Газ содержит в среднем 38,20 %мол. -
метана; 23,75 %мол.- этана; 19,53 %мол. - пропана; 11,06 %мол.- бутанов.
Молекулярный вес газа 32,66, плотность - 1,3571 кг/м3.
При дифференциальном разгазировании пробы западной
залежи не исследовались, при ступенчатом разгазировании изучена 1 проба из
скважины 200 (табл.8.4). Первая ступень сепарации равна 0,6 МПа. Газовый фактор
- 17,8 м3/т. Содержание метана в пробе равно 42,11 %мол.; этана - 32,33мол;
пропана - 17,42 %мол.; бутанов - 4,58 %мол..
Физико-химические свойства поверхностных нефтей
изучены по 8 пробам, отобранным из скважин: 76, 126, 127, 200, 202.
Плотность сепарированной нефти в среднем по
залежи составила 0,9184 г/см3, вязкость при 500С - 47,19 мкм2 /с; содержание
серы - 1,098 %мол., смол - 16,52 %мол., парафина - 5,12 %мол. Выход легких
фракций (до 3000С) достигает 30,2 % объемных.
Содержание гелия в растворенном газе в пластовых
условиях равно нулю. Нефть западной межсолевой залежи сернистая, высокосмолистая,
парафиновая, маловязкая, тяжелая.
Восточная межсолевая залежь
Исследовано 3 глубинных пробы из скважины 203.
Пластовая нефть характеризуется следующими основными параметрами:
давление насыщения по исследованным пробам
колеблется от 3,36 МПа до 3,42 МПа и в среднем составляет 3,39 МПа;
среднее значение удельного веса пластовой нефти,
определенное
при нач.пл.Р=31,9 МПа - 0,846 кг/см3, при
давлении насыщения - 0,8154 кг/см3. Плотность сепарированной до стандартных
условий нефти - 0,8896 кг/см3;
газонасыщенность - 26,18 м3/т;
объемный коэффициент - 1,097 при Р=26,4 МПа, при
нач.пл.Р=31,9 МПа - 1,088 (рис.8.5), при давлении насыщения - 1,129;
вязкость нефти равна 8,45 мПа*с при начальном
пластовом давлении, при давлении насыщения - 6,35 мПа*с;
Растворенный в нефти газ также изучен по 3
пробам, отобранным из скважины 203. Газ содержит в среднем 40,52 %мол. -
метана, 15,82 %мол. - этана, 23,84 %мол. - пропана, 12,82 %мол - бутанов.
Молекулярный вес газа - 33,51, плотность - 1,3924 кг/м3.
Физико-химические свойства поверхностных нефтей
изучены по 2 пробам, отобранным из скважин 115 и 203. Плотность сепарированной
нефти составила 0,8832 г/см3, вязкость при 200С - 28,19 мкм2*с, при 500С -
47,19 мкм2*с; содержание серы - 0,57 %мас., смол - 13,52 %мас., парафина - 4,21
%мас. Выход легких фракций - 30,5 % объемных.
Нефть восточной залежи сернистая, смолистая,
средневязкая, парафиновая, легкая.
9. МЕРОПРИЯТИЯ ПО ОХРАНЕ ОКРУЖАЮЩЕЙ
СРЕДЫ И ТЕХНИКА БЕЗОПАСНОСТИ
нефтяной месторождение тектоника
дебитометрия
В связи со спецификой технологических процессов
и физико-техническими свойствами нефтей и газов, нефтегазодобывающая
промышленность оказывает отрицательное воздействие на окружающую среду, что
обусловливает необходимость проведения комплекса природоохранных мероприятий в процессе
поисков, разведки и разработки нефтяных месторождений.
При проведении разработки необходимо учитывать
тесную связь его с состоянием природных ресурсов окружающей местности. Поэтому
в процессе разработки должны быть обеспечены:
применение наиболее рациональных и эффективных
методов добычи, предусматривающих полное при данных геологических и
технико-экономических условиях извлечение нефти и газа, недопущение
сверхнормативных потерь этих ископаемых;
безопасное ведение всех работ и сохранение
природной среды, т. е. соблюдение установленного порядка пользования недрами;
недопущение порчи запасов, т. е. охрана
месторождения от затопления, обводнения, пожаров и других факторов, снижающих
качество полезных ископаемых и промышленной ценности месторождения.
При добыче нефти Вишанского месторождения
основными производственными процессами являются:
эксплуатация скважин,
сбор, внутрипромысловый транспорт и промышленная
подготовка нефти.
Основными объектами, подверженными интенсивному
разрушению во времени, являются эксплуатационные колонны и НКТ скважин,
оборудование и сооружения системы сточных вод, нефтепроводы, резервуары и
аппаратура подготовки нефти и воды.
Для защиты от коррозии предусматриваются
следующие меры:
предотвращение смешивания сероводородсодержащих
нефтей, вод и газов с продукцией, не содержащей его;
предотвращение попадания в добываемую нефть,
нефтяной газ и сточные воды кислорода;
снижение коррозионной агрессивности среды с
помощью использования различных антикоррозийных покрытий и ингибиторов, обеспечение
герметичности всего ствола скважин, надежное цементирование.
Основные мероприятия при разработке Вишанского
месторождения:
. Разработка месторождения должна осуществляться
в строгом соответствии с проектом.
. Добывающие скважины должны эксплуатироваться в
соответствии с технологическим режимом и нормами отбора.
. На месторождении необходимо обеспечить сбор и
полное использование попутно добываемого вместе с нефтью газа. Потери не должны
превышать норм, установленных проектом ПДВ.
. Систематически проводить профилактический
ремонт промыслового оборудования, трубопроводов и запорной аппаратуры для
своевременного устранения утечек нефти и газа.
. Широко использовать антикоррозийные покрытия.
Не допускать попадания в призабойную зону нагнетательных скважин
сульфатовосстанавливающих бактерий. В случае их обнаружения проводить
бактерицидную обработку закачиваемой в пласт воды.
. Постоянно поддерживать в хорошем состоянии
обваловку вокруг добывающих скважин с целью предупреждения разлива нефти в
случаях аварий.
. Немедленно устранять последствия аварий при
порывах нефте-, газо- и продуктопроводов, используя для этих целей гуминовые
сорбенты типа “Белнафтасорб” и биологические препараты.
. При выборе площадок для бурения и трасс
промысловых коммуникаций наряду с капитальными вложениями учитывать ущерб,
нанесенный землепользователям.
Земельные участки, нарушенные при прокладке
коммуникаций, по окончании строительства приводить в состояние, пригодное для
использования в сельском хозяйстве по прямому назначению.
. Соблюдать водоохранные мероприятия в отношении
рек и других водоемов народнохозяйственного значения.
Контроль за выполнением правил, положений,
инструкций, норм по охране природы возложен на Госпрматомнадзор и органы
Министерства природных ресурсов и охраны окружающей среды РБ
Предписания указанных организаций обязательны
для всех предприятий, осуществляющих поисковые, разведочные и эксплуатационные
работы. Ответственность за охрану недр и окружающей среды несет руководитель
предприятия.
Существует свод правил безопасности в
нефтегазодобывающей промышленности, утвержденных Госпроматомнадзором Республики
Беларусь (ныне действующий от 26.11.93 г.). Специфика отрасли предполагает
разделение мер по охране труда в соответствии с этапами производства.
Так, на стадии строительно-монтажных работ
необходимо соблюдение правил безопасности при монтаже, демонтаже, ремонте
сооружений и оборудования, при передвижении буровых установок, вышек и блоков
бурового оборудования. Электро- и газосварочные работы должны производиться в
соответствии с нормами и правилами пожарной безопасности. При прокладке
трубопроводов производятся земляные и изоляционные работы, требующие также
соблюдения мер безопасности.
На этапе строительства нефтяных и газовых
скважин все работы ведутся в строгом соответствии с рабочим проектом, в котором
предусматриваются меры безопасности по вводу буровых установок в эксплуатацию,
по эксплуатации бурового оборудования, при производстве спускоподъемных
операций, по креплению скважин, испытанию колонн на герметичность, при освоении
и испытании скважин после бурения.
Ряд специфических мер безопасности предусмотрен
на этапе добычи нефти и газа. В первую очередь объекты добычи нефти и газа
должны быть классифицированы по категориям взрывопожароопасности. Проект
обустройства нефтяного и газового месторождения должен пройти независимую
экспертизу и обеспечить современную технологию и защиту обслуживающего
персонала от последствий аварий. Особое внимание должно уделяться технике
безопасности при фонтанной эксплуатации скважин, а также при механической
эксплуатации скважин (штанговыми, центробежными и др. насосами), при испытании
и исследовании скважинс использованием различной аппаратуры. Особая специфика
мер безопасности при эксплуатации нагнетательных скважин, когда
эксплуатационная система находится под высокими давлениями нагнетания.
Депарафинизация скважин, труб и оборудования производятся с применением пара
высоких температур, химических растворителей парафина, что требует повышенной
осторожности. Мероприятия по повышению нефтеотдачи пластов и интенсификации
добычи нефти проводятся с применением кислот, химреагентов, газа, пара, горячей
нефти, нефтепродуктов, ПАВ - все эти и другие агенты требуют повышенной
осторожности и защиты при работе с ними.
В работе каждой эксплуатационной скважины есть
перид текущего и капитального ремонта, во время которых совершается множество
спуско-подъемных операций, чистка и промывка стволов скважин. Все виды
ремонтных работ также проводятся в соответствии с нормами безопасности.
При сборе и подготовке нефти и газа персонал,
обслуживающий установки, обязан контролировать все параметры технологического
процесса, поскольку работать приходится с высокими давлениями, температурой и
т.д.
Особое внимание в нефтегазодобывающей отрасли
уделяется технике безопасности при производстве геофизических работ.
Геофизические исследования в нефтяных и газовых скважинах на стадии их
строительства, освоения, испытания, эксплуатации и ремонта должны выполняться с
учетом Единых правил безопасности при взрывных работах, Норм радиационной
безопасности, Основных санитарных правил работы с радиактивными веществами и
другими источниками ионизирующих излучений.
В ПО “Белоруснефть” служба по охране труда ведет
строгий контроль за соблюдением мер безопасности в каждом производственном
подразделении. За несоблюдение требований инструкций, правил, положений и др.
нормативных документов по созданию безопасных условий труда ответственность
несут должностные лица, технический персонал, служащие, рабочие в порядке, установленном
Правилами внутреннего трудового распорядка и Уголовным кодексом Республики
Беларусь.
ЗАКЛЮЧЕНИЕ
Темой дипломной работы является: «Анализ
разработки Вишанского нефтяного месторождения и рекомендации по увеличению
эффективности (Припятский прогиб)».
Цель работы сводится к созданию анализа
разработки Вишанского месторождении.
Для выделения нефтенасыщенных горизонтов в
скважинах применялся комплекс ГИС, предусмотренный для соответствующих условий
вскрытия продуктивных горизонтов и включает следующие геофизические
исследования: БК, АК, РК (ГК, НГК), КВ. Скважинные условия Вишанского
месторождения являются типичными для Припятского прогиба, поэтому ГИС
проводились по общепринятой для этой нефтеносной области методике.
Промышленно-нефтеносными коллекторами Вишанского
месторождения являются карбонатные и терригенные коллектора межсолевых
отложений. Притоки нефти получены из отложений семилукского, воронежского и
ланского горизонтов.
СПИСОК ИСПОЛЬЗУЕМЫХ ИСТОЧНИКОВ
1. Айзберг
Р.Е., Гарецкий Р.Г., Кислик В.З., Окушко В.Б. О дисимметрии пространственного
развития Припятского прогиба//Докл. АНБ. 1976. Т. 20, № 2. 154-157 с.
2. Айзберг
Р.Е., Гарецкий Р.Г., Клушин С.В., Левков Э.А. Глубинное строение и геодинамика
Припятского палеорифта и его обрамления//Тр. Геол. Ин-та АН СССР. 1987, № 425.
200-208 с.
. Анализ
и обобщение геолого-геофизических материалов с учетом новых данных бурения по
северной части Припятского прогиба: Отчет тематической партии № 14 (33/75) /
Отв. исполнит. И.Д. Кудрявец, А.В. Дзюбенко. - Ст. Колодищи, 1975.
. Аникиев
К.А. Аномально-высокие пластовые давления в нефтяных и газовых месторождениях.
- Л. Недра, 1964.- 168 с.
. Артюшков
Е.В. Геодинамика.- М.: Наука, 1979.-327 с.
. Бека
К., Высоцкий И. Геология нефти и газа. М., Недра, 1976.
. Белоусов
В.В. Основные вопросы геотектоники.- М.: Госгеолтехиздат, 1954.- 606 с.
. Боганик
В.Н.. Жемжурова З.Н., Медведев А.И. Создание средств для интегрированной
обработки данных ГИС, сейсморазведки, гидродинамики и керна - М., 1993. - 123
с.: ил. - Рус. Место хранения Росгеолфонд.
. Бондаренко
Б.В. Структура кристаллического фундамента Припятского прогиба. Реферат. 1974,
87 с.
. Брусенцов
А.Н., Гаркуша И.Г., Кудравец И.Д., Прохоров С.Ф. Некоторые черты тектонического
строения Припятского прогиба по данным геофизических исследований. Реферат.
1975, 101 с.
. Буровые
растворы. Стандарт предприятия. СТП 39-25-2000. - Гомель, 2001. - 68 с.
. Габриэлянц
Г.А. Геология нефтяных и газовых месторождений. М.: Недра, 1984., - 285 с.
. Геология
Беларуси / А. С. Махнач, Р.Г. Гарецкий, А.В. Матвеев и др. - Мн.: Институт
геологических наук НАН Беларуси, 2001, 805 с.
. Геология
и гидрогеология Припятского прогиба. Под ред. д-ра геол. минерал. наук П.А.
Киселёва. Минск 1963. 192 с.
. Геология
нефтяных месторождений Белоруссии. Под ред. д-ра геол. минерал. наук проф. С.П.
Максимова. М.: Недра, 1972 г. 230 с.
. Голубцов
В.К. Кедо Г.И., Линник Л.С., Кручек С.А., Демиденко Э.К., Некрята Н.С.,
Авхимович В.И. О геологическом строении северной и южной прибортовых зон
Припятской впадины (девонские и каменноугольные отложения) // Новые данные по
стратиграфии осадочной толщи Белоруссии. Мн.: БелНИГРИ, 1975. с. 56-125.
. Горелик
З.А. История тектонического развития Припятского прогиба. Реферат. 1974, 112 с.
. “Геологические
основы поисков, разведки и разработки нефтяных и газовых месторождений”. - М.:
Недра , 1986. И.Г. Пермяков, Е.Н. Шевцов , 321 с.
. Губкин
И.В. Учение о нефти. 3-е изд. М., Наука, 1975, 254 с.
. Гуторов
Ю.А., Гареева С.Р., Салалова А.Р. 20Программа автоматической интерпретации на
ПЭВМ каротажных материалов и ПК полученных комплексной аппаратурой
акустического контроля технического состояния обсаженных скважин / Н.-н. и
проектно-конструктивный институт геофизических исследований геологических
скважин. - Октябрьский, 1994. - 17 с.
. Гуторов
Ю.А., Моисеев Ю.Н., Гэресва С.Р. Разработать программно-методическое
обеспечение для аппаратуры АКЦ-НВ-48 по обработке интерпретации волновых картин
на ПЭВМ с целью повышения эффективности оценки состояния цементирования
обсаженных скважин / Н.-н. и проектно-конструктивный институт геофизических
исследований геологических скважин. - Октябрьский, 1994. - 17 с. : ил. -
Библногр.: 5 назв. - Рус. - Деп. н ВИНИТИ
. Дьяконов
Д.И., Монтьев Е.И., Кузнецов Г.С. Общий курс геофизических исследований
скважин. - М.: Недра, 1977., - 542 с.
. Ерёменко
Н.А. Геология нефти и газа. 2-е изд. М., Недра, 1968, 239 с.
. Жданов
М.А. Нефтепромысловая геология и подсчёт запасов нефти и газа. - М.: Недра,
1981., - 54 с.
. Знаменский
В.В., Жданов М.С., Петров Л.П. Геофизические методы разведки и исследования
скважин. - М.: Недра, 1981., - 431 с.
. Иванова
М.М, Дементьев А.Ф., Чоловский И.П. Нефтепромысловая геология и геологические
основы разработки месторождений нефти и газа. М.: Недра, 1985. - 422 с.
. Инженерно-технологические
услуги по обоснованию добычи нефти на месторождениях РУП “ПО “Белоруснефть”.
Перспективная программа создания, реконструкции и совершенствования системы ППД
на месторождениях РУП “ПО “Белоруснефть” (по состоянию на 01.01.2006 г.): Отчет
о НИР (заключительный). Этап 1-4 / БелНИПИнефть; Руководитель договора Н.К.
Карташ: Договор № 44.2005; Инв. № 1753.
. Инструкция
о содержании, оформлении и порядке представления в ГКЗ СССР материалов по
подсчёту запасов нефти и горючих газов. - М.: ГКЗ СССР, 1984., - 40 с.
. Инструкция
по применению классификаций запасов месторождений, перспективных и прогнозных
ресурсов нефти и горючих газов. - М.: ГКЗ СССР,1984., - 16 с.
. История
геологических наук в Белорусской ССР. Мн.: Наука и техника, 1978, 272 с.
. Каналин
В.Г., Ованесов М.Г., ШугринВ.П. «Нефтегазопромысловая геология и
гидрогеология».- М.: Недра, 1985., - 128 с.
. Карабанов
А. К. Неотектоники Беларуси, Автореферат. Мн.: 2002,180 с.
. Классификация
запасов месторождений, перспективных и прогнозных ресурсов нефти и горючих
газов. - М.: ГКЗ СССР,1984., - 8 с.
. Кривко
Н.Н., Шароварин В.Д., Широков В.Н. Промыслово-геофизическая аппаратура и
оборудование: Учебное пособие для вузов.- М.: Недра, 1981.-290с.
. Кузнецов
Ю.Н. Изучение осадочной толщи и кристаллического фундамента Белоруссии. Мн.,
1984, 250 с.
. Куровец
И.М.. Лизун С.А. Методы вибромиктрокаротажа нефтегазоносных разрезов //
Междунар. геофиз. конф. н выст..-ЕАГО, Москва, 16-20 авт., 1993; Сб. реф. М 2.
- М. 1993. - С. 56-57. - Рус
. Латышова
М.Г., Вандельштейн Б.Ю., Туров В.П.. Обработка и интерпретация материалов ГИС.
- М.: Недра, 1990., - 150 с.
. Ленский
В.А., Карташев А,Ф.; Алгоритмы и точность изучения поляризации
плоскополяризованных волн при трехкомпонентных сейсмических наблюдениях в
скважинах. Н.-и. и проектно-конструктивный институт геофизических исследований
геологических скважин. - Октябрьский. 1994. - 13 с.
. Ляхов
А.А. Голосуем за достойный труд / Доклад генерального директора РУП “ПО
“Белоруснефть” Ляхова А.А. на конференции трудового коллектива // Нефтяник,
2005. - № 7-8, С.2
. Мартьянов
Н.Е. Энергия земли.- Новосибирск, 1968. - 84с.
. Масюков
В.В., Припятская впадина. Оценка параметров нефтенасыщенных пластов по
каротажу. - М.: Недра, 1974., - 257 с.
. Никуленко
Т.Н. Олимпиева, В.Ф. Юроца (РУП “БелГЕО”), М.А. Рынский (БелНИПИнефть) //
Поиски и освоение нефтяных ресурсов Республики Беларусь: Сборник научных
трудов: В 2 ч. - Гомель, 2004. - Вып. 5. - Ч. 1. - 310 с.
. Пермяков
И.Г., Шевцов Е.Н. Геологические основы поисков, разведки и разработки нефтяных
и газовых месторождений. - М.: Недра, 1986., - 321 с.
. Подсчет
малоэффективных запасов нефти месторождений ПО “Белоруснефть”: Отчет о НИР (в
двух книгах и одной папке) / БелНИПИнефть; Руководитель договора А.А.
Пахольчук; Отв. исполнит. А.Л. Цукарева, Т.Л. Никифорова. - Гомель, 1996. - 166
с.
. Полезные
ископаемые Беларуси // Под ред. Л.З. Хомича.- Мн.: Адукацыя i выхаванне.-
2002.- 456 с.
. Положение
по подготовке, оформлению и представлению к защите дипломных работ (проектов).
ГГУ. Гомель. 2002
. “Проблемы
освоения ресурсов нефти и газа Беларуси и пути их решения” - Гомель, 2003. -
472 с.
. Справочник
по геологии нефти и газа. Под ред. Н.А. Еременко., Недра, 1984., - 480 с.
. Справочник
по инженерной геологии // Под ред. М.В. Чуринова.- М.: Недра, 1968.- 540 с.
. Спутник
нефтепромыслового геолога. Справочник/Под ред. Чоловского и, - М.: Недра, 1989,
376 с.
. Техническая
инструкция по проведению геофизических исследований в скважинах. - М.: Недра,
1985., - 183 с.
. Цалко
П.Б., Мартынцив О.Ф., Пахольчук А.А. Карбонатные коллекторы нефтяных залежей
Припятского прогиба. - Мн., 1986.,- 180 с.
. Шлезингер
А.Е. К проблеме строения Припятского прогиба. Реферат. 1974, 96 с.