Анализ социально-экономического развития Владимирской области
Курсовая работа
Анализ
социально-экономического развития Владимирской области
Введение
Владимирская область расположена в центре Европейской части
России на юге Волжско-Окского междуречья. Граничит на западе и юго-западе с
Московской областью, на севере - с Ярославской и Ивановской, на юге - с
Рязанской, на востоке - с Нижегородской областью.
Объектом исследования в данной курсовой работе
является Владимирская область.
Предметом исследования является
социально-экономическое развитие указанного субъекта РФ.
К задачам данной работы относятся: описание региона, анализ
социального и экономического развития региона.
При выполнении работы были использованы методы анализа
статистической информации, синтеза, сравнения и сопоставления. Статистические данные
были взяты из сборника «Регионы России» за 2012 год и с официального сайта
Госкомстата.
1. Природные условия
.1
Географическое положение
Территория находится в центре
Восточно-Европейской равнины, основная часть территории - слабо всхолмлённая равнина
с общим понижением от Клинско-Дмитровской гряды (высоты до 271 м) на севере,
через Владимирское(Юрьево) Ополье (высота до 236 м), далее на юг к Мещерской
низмености (преобладающая высота 120 м) и на восток через Окско-Цнинский вал
(до 184 м) и Гороховецкий отрог (верхняя точка - 191 м) к Балахнинской
низменности (около 90 м) и устью Клязьмы (67 м). Благодаря резким склонам
возвышенностей регион обладает рекреационными (зимние виды спорта) ресурсами и
гидроаккумуляционными возможностями.
Основными минеральными ресурсами области
являются известняки, торф, строительные пески и камни, огнеупорные и кирпичные
глины. Запасы торфа в размере 59 млн тонн, основная их часть залегает в
пределах Мещёрской низменности. Общие залежи известняков составляют 30 млн тонн
и расположены в районе Окско-Цнинского вала, где их толщи достигают 130 метров
(Ковровский, Вязниковский, Судогодский, Селивановский районы).
Кварцевые пески - чистые, мелкие, почти
без примесей глинистых частиц ледникового происхождения имеют федеральное
значение, в больших количествах залегают в южных районах области
(Гусь-Хрустальный и Меленковский районы). Используются пески для производства
стекла и хрусталя. Также в области имеются фосфориты, железная руда, есть
небольшие залежи гипса, флюсовых материалов и металлургических доломитов
местного значения.
На территории области встречаются
естественные источники минеральных вод.
1.2
Геология. Полезные ископаемые
В регионе наравне встречаются:
. плодородные тёмноцветные карбонатные и
серые лесные - связанные с широколиственными лесами в Ополье, занимают 417,5
тыс. га или 14,3% общей площади (Суздальский и Юрьев-Польский районы, части
Александровского, Кольчугинского и Собинского районов)
. дерновые аллювиальные (пойменные) почвы
по берегам Оки и Клязьмы.
. дерново-подзолистые почвы,
сформировавшиеся под хвойными и смешанными лесами
. среднесуглинистого типа (Вязниковский,
Муромский, частично Ковровский, Камешковский, Гороховецкий, Селивановский,
Собинский, Киржачский, Александровский районы)
. супесчаного и песчаного типов
(Гусь-Хрустальный, Меленковский, Петушинский, Судогодский районы, южные части
Киржачского, Собинского, Муромского и Селивановского районов)
. подзолисто-болотные и болотные в
пределах мещёрской низменности и гороховецких болот
Отмечается недостаточная обеспеченность
почв бором и серой, 85-98% почв относятся к категории низкообеспеченных цинком.
Деградация земель наиболее распространена
в виде водной эрозии - около 175 тыс. га эродированных земель и около 700 тыс.
га - эрозионноопасных.
Область расположена в зоне смешанных
лесов. В настоящее время леса занимают около 55% территории области.
Преобладают сосновые леса - около 52% площади (в Мещёрской низменности, в
Заклязьменском бору и на Окско-Цнинском валу), мелколиственные леса (березняки
и осинники) занимают 35% лесов, зональные широколиственно-еловые леса в
моренных ландшафтах (на Клинско-Дмитровской гряде, на Гороховецком отроге)
около 9%, широколиственные леса в Ополье и на склонах коренных берегов Оки и
Клязьмы.
Важнейшим сырьевым запасом и природным
богатством Владимирской области являются хвойные и широколиственные леса.
Покрывают древесины - 209 млн мі, в том числе хвойных пород - 137,5 млн мі.
Расчётная лесосека области используется на 90%, ежегодно вырубается около 9
тыс. га леса для промышленных целей. Староосвоенные ландшафты Владимирского
Ополья издавна славились своими садовыми насаждениями: в XVII веке был выведен
зимостойкий сорт вишни Владимирская, с XIX века известна невежинская рябина.
Богата растительностью увлажнённая Мещёра,
здесь собирают малину, землянику, смородину, особенно много черники, брусники
калины и клюквы, многочисленные грибы и лекарственные растения (багульник
болотный, хвощ полевой, тысячелетник, зверобой, мята, крапива, ландыш и др.).
демографический экономический бюджет
трудовой
1.3 Климат
Климат области атлантико-континентальный. Морские воздушные
массы обусловливают сравнительно мягкую зиму с частыми оттепелями и
умеренно-тёплое, иногда прохладное лето. Средняя температура января −8… −11°C,
июля +16…+18°C. Абсолютный максимум температуры +37,8°C, абсолютный минимум −52°C.
Наиболее холодными являются восточные районы, наиболее тёплыми - юго-западные.
Количество осадков за год 600-700 мм. Наибольшее количество
осадков выпадает на возвышенностях, максимум - на Лемболовской. Минимальное
количество осадков выпадает на прибрежных низменностях. Наибольшее количество
осадков выпадает летом и осенью.
В зимний период осадки выпадают в основном в виде снега.
Постоянный снежный покров появляется во второй половине ноября - первой
половине декабря. Сходит снег во второй половине апреля.
Основной особенностью климата здесь является непостоянство
погоды, обусловленное частой сменой воздушных масс, которые, в зависимости от
района формирования, подразделяются на морские, континентальные и арктические.
Морские воздушные массы поступают с запада, юго-запада или северо-запада при
перемещении через северо-западные районы России атлантических циклонов. Циклоны
приносят пасмурную, ветреную погоду и осадки. Зимой они являются причиной
резких потеплений, а летом, наоборот, несут прохладу. С востока, юга или
юго-востока входит сухой континентальный воздух. В антициклонах,
сформировавшихся в этих воздушных массах, устанавливается малооблачная и сухая
погода, летом жаркая, а зимой холодная. С севера и северо-востока, главным
образом со стороны Карского моря, приходит сухой и всегда очень холодный
арктический воздух, формирующийся надо льдом. Вторжения арктических воздушных
масс сопровождаются наступлением ясной погоды и резким понижением температуры
воздуха. В областях повышенного давления, сформировавшихся в этих воздушных
массах, даже летом наблюдаются заморозки, а зимой - наиболее сильные морозы.
Разнообразие синоптических процессов и частая смена воздушных масс являются
причиной больших междусуточных колебаний метеопараметров. Перепады температуры
воздуха, обусловленные сменой воздушных масс, могут значительно превышать
амплитуду суточных колебаний и нередко достигают ± 20° и более.
По причине большой изменчивости погоды ото дня ко дню (а
иногда и в течение одних суток) северо-западный регион России, к которому
относится Ленинградская область, является одним из самых сложных для
прогнозирования. Особенностью Ленинградской области является неоднородность
погодных условий по территории, обусловленная большой протяженностью области с
запада на восток, разнообразием ландшафта и близостью крупных водоемов (Финский
залив, Ладожское и Онежское озера). Кроме резких изменений погоды, которые сами
по себе являются неблагоприятными факторами, на территории области наблюдаются
практически все опасные метеорологические явления: сильные ветры, в т.ч. шквалы
и смерчи, снегопады и метели, гололед, туман, сильные морозы и жара,
кратковременные интенсивные ливни и продолжительные дожди, грозы, град, лесные
пожары, засуха и наводнения.
1.4 Экосистема
Территория области расположена в зоне тайги в её средней (на
севере области) и южной подзонах (большая часть области). Отмечается переход от
хвойных лесов к смешанным на юге области. Леса занимают 55,5% территории
области. Лесные ресурсы сильно истощены. Коренные сосновые и особенно еловые
леса сохранились местами, главным образом на северо-западе и востоке области,
но в основном они замещены малоценными и малопродуктивными производными
мелколиственными лесами и мелколесьями (берёзы бородавчатая и пушистая, осина,
ольха серая). В сырых местах встречаются леса из ольхи чёрной. На участках с
плодородными почвами в составе лесов иногда встречаются широколиственные породы
- клён остролистный, липа мелколистная, дуб черешчатый, вязы шершавый и
гладкий, ясень обыкновенный, а в подлеске - лещина обыкновенная.
Преимущественно в западной и южной частях области изредка можно встретить даже
небольшие рощицы из широколиственных пород. В лесах области произрастают лекарственные
растения и ягоды: ландыш майский, толокнянка, чернка, брусника, клю ква,
малина, багульник, можжевельник, лапчатка прямостоящая.
Основным типом почв в области являются подзолистые, бедные
перегноем и отличающиеся значительной кислотностью. При этом на суглинках, в
низких местах с повышенным накоплением влаги, главным образом в еловых лесах,
образуются сильноподзолистые почвы с мощным верхним слоем. В более высоких
местах, менее благоприятных для накопления влаги, образуются среднеподзолистые
почвы. На супесях и песках, плохо удерживающих влагу, в сосняках встречаются
слабоподзолистые почвы. Там, где преобладает травяная растительность, - на
лесных вырубках, в редких смешанных или лиственных лесах - образовались
дерново-подзолистые почвы.
На территории Ижорской возвышенности, на породах, содержащих
известь, которая нейтрализует кислотность и предохраняет верхний слой почвы от
вымывания, сформировались дерново-карбонатные почвы. Это лучшие среди почв
области: они богаче других перегноем и минеральными веществами, имеют хорошо
выраженную комковатую структуру. Их также называют «северными чернозёмами».
В низинах и на плоских участках местности, при слабом стоке
(плохом дренаже) атмосферных вод, вызывающем их застой на поверхности, а иногда
при высоком уровне стояния грунтовых вод образуются торфянистые и болотистые
почвы. Они распространены в центральной части области, на востоке Карельского
перешейка, на побережье Финского залива, в Приладожье.
В некоторых местах на луговых террасах (по рекам Волхову,
Луге и другим), заливаемых водой в половодье, из речных наносово образуются
богатые перегноем аллювиальные почвы. Их площадь невелика.
Основными почвообразующими породами являются глины, суглинки,
пески и торф. Сельскохозяйственное использование почв области требует их
искусственного улучшения.
В области обитают главным образом лесные животные, среди
которых 68 видов млекопитающих. Основными из них являются белка, хорь, куница,
крот, заяц-беляк, заяц-русак, различные грызуны (полевая и лесная мыши, крыса и
другие). Реже встречаются волк, кабан, косуля, лисица, лось, медведь, рысь,
ласка, выдра, олень пятнистый, нерпа, бобр, тюлень, норка, енотовидная собака.
В области обитает около 300 видов птиц, основными являются
глухарь, куропатка белая, куропатка серая, рябчик, тетерев, утка местная, утка
пролётная, гусь, кулик. Некоторые лесные птицы (дятел, дрозд, синица, кукушка,
скворец) приносят пользу, истребляя вредных насекомых. Зимуют в области лишь
ворон, воробей, синица, снегирь, дятел; большинство же покидает области,
начиная с конца августа.
В водах области водится около 80 видов рыб. Из морских рыб
чаще встречаются салака, балтийская (ревельская) килька, треска, морская щука.
Из проходных рыб встречаются корюшка, лосось, кумжа, угорь. Среди пресноводных
рыб наибольшее значение имеет сиг, также встречаются окунь, судак, лещ, плотва,
снеток. В Красную книгу занесены: балтийская кольчатая нерпа, нерпа ладожская,
серый тюлень, беркут, змееяд, сапсан, скопа, орлан-белохвост.
Вывод: Владимирская область владеет достаточно крупными
запасами полезных ископаемых (однако нефтегазовыми ресурсами не обладает).
Основные запасы относятся к залежам бокситов, горючих сланцев, фосфоритов,
торфа и известняка. Подзолистые почвы региона не слишком благоприятны для
земледелия. Область богата водными ресурсами, обладает большими запасами
пресной воды. Выход на Финский залив и Ладожское озеро предполагают доступ к
продуктам рыбного промысла, а так же обуславливает наличие водных торговых
путей (которые являющихся наименее затратными). Большое значение имеет сеть
железнодорожных путей. Сырой климат, малое количество солнечных дней в году -
препятствуют развитию солнечной энергетики. Однако, прибрежные районы
благоприятны для развития ветроэнергетики. Богатые водные ресурсы позволяют
развивать гидроэнергетику, однако строительство действительно крупных ГЭС
невозможно.
2. Демографические показатели и уровень жизни
населения
.1
Численность постоянного населения в динамике
Далее приведены данные по численности населения Ленинградской
области за период с 2000 по 2011 годы в тысячах человек.
Таблица 3. Население РФ
|
Год
|
2000
|
2001
|
2002
|
2003
|
2004
|
2005
|
2006
|
2007
|
2008
|
2009
|
2010
|
2011
|
|
Население тыс.
чел.
|
1680
|
1672
|
1667
|
1674
|
1681
|
1685
|
1691
|
1693
|
1699
|
1705
|
1719
|
1734
|
|
Население РФ
|
148274
|
146304
|
145649
|
144964
|
144334
|
143801
|
143236
|
142863
|
142748
|
142737
|
142833
|
142865
|
2.2 Механический и естественный прирост населения
Для характеристик прироста и убыли населения использованы
коэффициенты прироста на тысячу человек.
Таблица 4. Коэффициент естественного прироста на 1000 человек
|
Год
|
1990
|
2000
|
2001
|
2002
|
2003
|
2004
|
2005
|
2006
|
2007
|
2008
|
2009
|
2010
|
2011
|
|
Коэф. Прир.
|
-1,5
|
-12,1
|
-12,7
|
-12,6
|
-13
|
-11,8
|
-12,3
|
-11
|
-9,5
|
-8,9
|
-7,5
|
-7
|
-6,1
|
Рисунок 3. Коэффициент естественного прироста на 1000 человек
демографический экономический бюджет
трудовой
По представленному графику видно, что естественный прирост
населения за обозначенный период остаётся в отрицательной зоне (смертность выше
рождаемости), однако с 2005 года демографическая ситуация в регионе начинает
улучшаться, хотя и не входят из отрицательной зоны. Резкое падение показателя
прироста в период с 1990 по 2000 годы обусловлено влиянием тяжёлого экономического
кризиса. Для большей наглядности рассмотрим показатели рождаемости и смертности
на 1000 человек населения в период с 1990 по 2011 годы.
Таблица 5. Показатели рождаемости и смертности
|
Число
родившихся на 1000 чел. населения
|
|
|
|
|
|
|
|
|
|
1990
|
2000
|
2001
|
2002
|
2003
|
04
|
05
|
06
|
07
|
08
|
09
|
10
|
11
|
|
11
|
6,7
|
7,2
|
7,8
|
8
|
8,2
|
7,6
|
7,7
|
8,1
|
8,4
|
8,8
|
8,8
|
8,6
|
|
Число умерших
на 1000 чел. населения
|
|
|
|
|
|
|
|
|
|
12,5
|
18,8
|
19,9
|
20,4
|
21
|
20
|
19,9
|
18,7
|
17,6
|
17,3
|
16,3
|
15,8
|
14,7
|
Рисунок 4. Показатели рождаемости и смертности
На представленном графике мы наблюдаем резкое увеличение
показателя смертности и уменьшение показателя рождаемости в 2000 году в связи с
кризисом. При этом, не смотря на планомерное падение смертности начиная с 2003
года, рождаемость сохраняет свой низкий уровень, показывая незначительное
улучшение.
Рассмотрим, что происходило в этот период в Ленинградской
области с механическим приростом населения (обусловленным миграционными
потоками). Для построения графика использован коэффициент механического
прироста населения на 10 тысяч человек.
Таблица 6. Коэффициент механического прироста
|
Год
|
1990
|
2000
|
2001
|
2002
|
2003
|
2004
|
2005
|
2006
|
2007
|
2008
|
2009
|
2010
|
2011
|
|
Коэф. Мех.
Прир.
|
63
|
83
|
81
|
93
|
167
|
167
|
146
|
145
|
104
|
126
|
110
|
150
|
149
|
Рисунок 5. Механический прирост населения
Глядя на график можно сказать, что увеличение притока
населения в Ленинградскую область наблюдается в периоды посткризисного
восстановления, когда люди стремились перебраться в более благоприятные районы.
С 2003 года наблюдается падение смертности, следовательно, приток может быть
связан с повышением уровня жизни в Ленинградской области и лучшему
трудоустройству. Можно посмотреть число выбывших и прибывших по Владимирской
области на 1000 человек населения.
Таблица 7. Миграционные потоки (на 1000 человек)
|
2005
|
2006
|
2007
|
2008
|
2009
|
2010
|
2011
|
|
Число прибывших
|
31,4
|
33
|
33,8
|
37,2
|
30,1
|
30,2
|
57,8
|
|
Число убывших
|
19,9
|
20,8
|
22,1
|
23,6
|
19,7
|
21,6
|
32
|
Рисунок 6. Миграционные потоки (на 1000 человек населения)
По графику видно увеличение числа
прибывших на 1000 человек населения в 2008 году и падение в 2009, что повторяет
тенденции предыдущего графика. Данные представленных на последнем рисунке
графиков не позволяют столь же чётко проследить тенденции прироста, как на
графике рисунка 5. Показатели значительно возрастают в 2011 в связи с новой
нормой учёта. С 2011 в учёт долгосрочной миграции включен лица с регистрацией
по месту пребывания на 9 месяцев и более.
2.3
Уровень жизни: среднедушевые доходы, структура доходов
Показатели 1990 года не рассматриваются из-за различий
денежной системы.
Таблица 8. Среднедушевые доходы в месяц (руб.)
|
Год
|
2000
|
2001
|
2002
|
2003
|
2004
|
2005
|
2006
|
2007
|
2008
|
2009
|
2010
|
2011
|
|
Лен. Область
|
1355
|
1869
|
2418
|
3040
|
4399
|
5687
|
8055
|
10201
|
11567
|
12538
|
14798
|
15932
|
|
РФ
|
2281
|
3062
|
3947
|
5167
|
6399
|
8088
|
10155
|
12540
|
14864
|
16895
|
18951
|
20755
|
Рисунок 7. Среднедушевые доходы в месяц (руб.)
Наблюдается планомерный рост среднедушевых доходов в
Ленинградской области в период с 2000 по 2011 годы. Данная тенденция является
логичным отражением инфляционных процессов. Ленинградская область находится на
47 месте по уровню среднедушевых доходов в РФ (для сравнения - Московская
область на 12). При этом на протяжении всего периода среднедушевые доходы
остаются на уровне ниже среднероссийского.
Рассмотрим структуру доходов населения в 2000, 2005, 2010 и
2011 годах.
Таблица 9. Структура доходов, %
|
Доходы от
предпринимательской деятельности
|
Оплата труда
|
|
|
|
|
Год
|
2000
|
2005
|
2010
|
2011
|
2000
|
2005
|
2010
|
2011
|
|
% от всех
доходов
|
8,6
|
9,7
|
6,5
|
7,6
|
55,8
|
52
|
46,2
|
47,3
|
Таблица 10. Структура доходов, %
|
Социальные
выплаты
|
Доходы от
собственности
|
|
Год
|
2000
|
2005
|
2010
|
2011
|
2000
|
2005
|
2010
|
2011
|
|
% от всех
доходов
|
18,6
|
17,1
|
21
|
21
|
3,3
|
1,5
|
2,4
|
3,1
|
Таблица 11. Структура доходов, %
|
Другие доходы
(включая «скрытые», от продажи валюты, денежные переводы и пр.)
|
|
2000
|
2005
|
2010
|
2011
|
|
13,7
|
19,7
|
23,9
|
21
|
Рисунок 8. Структура доходов, %
По графику прослеживается связь между доходами, полученными в
виде оплаты труда и категорией «другие доходы». В период с 2000 по 2010 год
оплата труда уменьшала свою долю в структуре доходов, замещаясь нетрудовыми
доходами. При этом, нетрудовые доходы в течении всего периода по своей доле
были схожи с социальными выплатами. Предпринимательская деятельность и доходы с
собственности находились на крайне низком уровне в сравнении с трудовыми
доходами, отчасти благодаря ведению теневой документации и укрытию информации о
доходах.
Уровень социальных выплат находится в зависимости от уровня
трудовых доходов и уровня доходов от предпринимательской деятельности. Так при
уменьшении количества людей, работающих или занимающихся бизнесом,
увеличивается доля социальных выплат, логично вытекающая из роста числа
безработных (кризис 2008 года).
Вывод: Численность населения Владимирской области
неуклонно растёт в период с 1990 по 2011 годы, сопровождаясь локальными
спадами, которые были вызваны последствиями кризисов. Данный рост в меньшей
мере вызван увеличением рождаемости, нежели миграционным приростом.
Относительно высокий уровень рождаемости 1990 года так и не был достигнут
вплоть до сегодняшних дней, а уровень смертности остаётся выше, чем в 1990,
сохраняя отрицательный знак естественного прироста населения. Пик миграционного
прироста приходится на период с 2003 по 2005 годы, и возможно, связан с
желанием переместится в более благоприятный район. Трудовые источники доходов
для жителей области являются основными.
3. Трудовые ресурсы
.1
Численность экономически активного населения
Таблица 12. Экономически активное население
|
2000
|
2001
|
2002
|
2003
|
2004
|
2005
|
2006
|
2007
|
2008
|
2009
|
2010
|
2011
|
|
Эконом.
активное население (тыс. чел.)
|
855
|
879
|
841
|
872
|
892
|
899
|
897
|
920
|
912
|
915
|
921
|
Рисунок 10. Доля экономически активного населения Влад области
Рисунок 11. Доля экономически активного населения РФ
Доли экономически активного населения в общей численности
населения (региона и страны) для РФ и Ленинградской области совпадают.
4.2
Численность занятых в экономике
Таблица 13. Численность занятых в экономике
|
1990
|
2000
|
2001
|
2002
|
2003
|
2004
|
2005
|
2006
|
2007
|
2008
|
2009
|
2010
|
2011
|
|
Занято в
экономике тыс. чел.
|
764,9
|
710,6
|
715,8
|
718,3
|
725,3
|
733,6
|
736,6
|
743,4
|
748,7
|
743,6
|
738,9
|
741,1
|
747,6
|
Рисунок 12. Численность занятых в экономике
Численность населения, занятого в экономике в Ленинградской
области имеет тенденции роста. Однако наблюдаются провалы, привязанные к
экономическим кризисам. Наиболее существенный провал связан с кризисом 1998
года. На 2011 год высокие показатели 1990 года так и не были достигнуты.
3.3
Численность безработных
|
2000
|
2001
|
2002
|
2003
|
2004
|
2005
|
2006
|
2007
|
2008
|
2009
|
2010
|
2011
|
|
Численность
безработных (тыс. чел.)
|
82
|
62
|
59
|
76
|
61
|
66
|
53
|
37
|
55
|
66
|
48
|
40
|
Рисунок 13. Численность безработных
Численность безработного населения в период с 2000 по 2011
год имела тенденции к снижению, при этом претерпевая постоянные флуктуации. На
фоне стабилизации экономики наиболее благоприятным периодом являются 2005-2007
годы, предшествовавшие новому росту безработицы и новому кризису.
Можно сравнить уровень безработицы Владимирской области со
средним по стране.
Таблица 14. Уровень безработицы %
|
2000
|
2004
|
2005
|
2006
|
2007
|
2008
|
2009
|
2010
|
2011
|
|
РФ
|
10,6
|
7,8
|
7,2
|
7,2
|
6,1
|
6,3
|
8,4
|
7,5
|
6,6
|
|
Лен область
|
9,6
|
6,8
|
7,4
|
5,9
|
4
|
6
|
7,2
|
5,2
|
4,4
|
Рисунок 14. Уровень безработицы, %
По графику мы видим, что на протяжении большей части
рассматриваемого периода уровень безработицы в Ленинградской области находился
на уровне ниже среднего по РФ.
3.4
Структура занятых по видам экономический деятельности
Таблица 15. Структура занятых по вида экономической деятельности
(тысяч человек)
|
Сельское
хозяйство, охота и лесное хозяйство; рыболовство, рыбоводство
|
Добыча полезных
ископаемых
|
Обрабатывающие
производства
|
Производство и
распределение электроэнергии, газа и воды
|
Строительство
|
Прочее
|
|
2011
|
2011
|
2011
|
2011
|
2011
|
2011
|
|
Распределение
занятых (тыс. чел.)
|
86,9
|
6,7
|
149,5
|
28
|
81,6
|
128,6
|
В графе «прочее» учтены: оптовая и розничная торговля; ремонт
автотранспортных средств, мотоциклов, бытовых изделий и предметов личного
пользования.
Рисунок 16. Структура занятых по видам экономической деятельности
(тысяч человек)
В силу отсутствия значительных запасов полезных ископаемых, в
области добычи занята наименьшая часть экономически активного населения. Далее
следует производство и распределение электроэнергии, газа и воды. Регион не
является лидером в данных отраслях, это так же накладывает свой отпечаток на
долю занятости. Несмотря на неблагоприятные условия для ведения сельского
хозяйства, доля населения, занятого в СХ обгоняет строительную сферу. Лидерами
становятся обрабатывающие производства и прочие виды деятельности, которые не
требуют ресурсной специфики региона. Развита торговля, сфера услуг.
Значительную роль играют машиностроительная, наукоёмкая, химическая, лесная и
целлюлозно-бумажная промышленность.
Вывод: Рост экономически активного населения повторяет
тенденции общего роста уровня населения Владимирской области, а колебания
связаны с воздействием экономических кризисов. Состояние по уровню безработицы
нельзя назвать удовлетворительным для большинства лет. 2009 год считался крайне
неблагоприятным в указанном аспекте, однако уровень безработицы в годы,
предшествующие 2005, оказался ещё выше. Сегодня ситуация существенно
улучшилась. По сферам занятости лидирует обрабатывающее производство.
Ориентируясь на предыдущие главы, можно связать это с отсутствием таких
полезных ископаемых как нефть, газ, железные руды в промышленных масштабах. Это
вызывает необходимость сместиться в сферу переработки и сферу услуг. Несмотря
на неблагоприятные агроклиматические условия, доля СХ остаётся на высоком
уровне, приближаясь к паритету со строительной отраслью.
4. Экономическое развитие по видам экономической
деятельности
.1
Добыча полезных ископаемых
Таблица 16. Индекс добычи полезных ископаемых (% к предыдущему
году)
|
2000
|
2001
|
2002
|
2003
|
2004
|
2005
|
2006
|
2007
|
2008
|
2009
|
2010
|
2011
|
|
96,4
|
83,7
|
78,5
|
114,7
|
102,2
|
98,8
|
132,3
|
124,3
|
104,2
|
63,8
|
112,7
|
108,7
|
Рисунок 17. Индексы добычи полезных ископаемых (% к предыдущему
году)
По графику видно, что уровень добычи полезных ископаемых в
период с 2000 по 2011 годы в Ленинградской области обладает цикличностью,
сохраняя до 2008 года тенденцию роста. Данная цикличность, скорее всего,
связана с короткими экономическими циклами, так называемыми циклами Китчина.
Спад экономической активности снижает необходимость в поступлении новых
ресурсов, и необходимость снова возрастает при освобождении рынка для новых
вливаний. Кризис 2008 года оказал существенное влияние на уровень добычи, и к
2009 произошло падение добычи на 36,2%.
Таблица 17. Структура добычи
|
Добыча полезных
ископаемых - всего
|
В том числе по
видам деятельности
|
|
добыча топливно-энергетических
полезных ископаемых
|
добыча полезных
ископаемых, кроме топливно-энергетических
|
|
100
|
3,2
|
96,8
|
Рисунок 18. Структура добычи
Представленный выше график ещё раз подтверждает
незначительность запасов топливно-энергетических ресурсов на территории
Владимирской области. Добыча данного рода ресурсов составляет всего лишь 3% от
общей добычи.
4.2
Агропромышленный комплекс
Сельское хозяйство области имеет ярко выраженную пригородную
специализацию, ведущие отрасли - молочно-мясное животноводство,
картофелеводство и овощеводство. При этом продукция животноводства заметно преобладает
над растениеводством.
Значительную часть урожая картофеля и овощей дают личные
подсобные хозяйства населения. Главные овощные культуры - капуста, морковь,
огурцы, лук, свёкла. Также в области выращивают зерновые культуры: ячмень,
рожь, овёс, в основном на корм скоту и птицам.
Таблица 18. Продукция сельского хозяйства млн. руб.
|
2000
|
2001
|
2002
|
2003
|
2004
|
2005
|
2006
|
2007
|
2008
|
2009
|
2010
|
2011
|
|
13749
|
17022
|
20896
|
20802
|
23203
|
25752
|
27098
|
31561
|
41342
|
44372
|
51361
|
57733
|
Рисунок 19. Продукция сельского хозяйства млн. руб.
Судя по графику, наблюдается планомерный рост продукции
сельского хозяйства в период с 2000 по 2011 годы без особых флуктуаций.
Таблица 19. Продукция сельского хозяйства. В % к предыдущему году
|
Продукция
сельского хозяйства
|
Продукция
растениеводства
|
Продукция
животноводства
|
|
2000
|
05
|
09
|
10
|
11
|
00
|
05
|
09
|
10
|
11
|
00
|
05
|
09
|
10
|
|
102,6
|
102
|
104,5
|
102,6
|
108,8
|
98,6
|
109,6
|
101,5
|
99,1
|
104,3
|
106,2
|
98,4
|
106
|
104,2
|
Мы видим, что значения редко спускаются ниже отметки в 100%.
В большинстве случаев наблюдается рост, а падения малозначительны.
Рисунок 20. Продукция сельского хозяйства (в% к предыдущему году)
Данный график показывает обратную зависимость между объёмами
продукции растениеводства и животноводства. Данные отрасли циклично заменяют
друг друга в период с 2000 по 2011 годы. Это кажется логичным на фоне того, что
земля не может выдавать равную продуктивность из года в год и требуется время
для восстановления. При этом для больших СХ организаций преобладает
животноводство, а для хозяйств населения и фермерских хозяйств -
растениеводство.
Рисунок 21. Структура СХ (%)
4.3
Обрабатывающее производство
Таблица 20. Обрабатывающие производства. Индекс в% к предыдущему
году
|
2000
|
2001
|
2002
|
2003
|
2004
|
2005
|
2006
|
2007
|
2008
|
2009
|
2010
|
2011
|
|
110,9
|
104,7
|
122,5
|
113
|
125,8
|
109,3
|
129,5
|
101,7
|
100,1
|
98,9
|
115,4
|
108,6
|
Рисунок 22. Обрабатывающие производства
Данный график так же показывает цикличность в уровнях
производства в период с 2000 по 2011 годы. Наблюдается нарушение цикличности в
период с 2007 по 2009 годы, приходящиеся на кризис, однако индекс лишь один раз
незначительно уходит ниже отметки в 100%. В общем, рост в отрасли
обрабатывающего производства в указанный период не наблюдается (как и падение).
Можно рассмотреть структуру производства и сравнить её со структурой обрабатывающего
производства РФ.
Таблица 22. Структура обрабатывающего производства на 2011 год, %
|
Влад область, %
|
РФ, %
|
|
Производство
пищевых продуктов, включая напитки и табак
|
27,9
|
15,8
|
|
Текстильное и
швейное производство
|
0,4
|
0,9
|
|
Производство
кожи, кожаных изделий, обуви
|
0
|
0,2
|
|
Обработка
древесины и производство из дерева
|
3,1
|
1,3
|
|
Целлюлозно-бумажное
производство, издательская, полиграфическая деятельность
|
10,7
|
3
|
|
производство
кокса и нефтепродуктов
|
8,5
|
19,9
|
|
химическое
производство
|
7,8
|
7,9
|
|
производство
резиновых и пластиковых изделий
|
5,4
|
2,5
|
|
производство
прочих неметаллических минеральных продуктов
|
7,9
|
4,5
|
|
металлургическое
проищводство
|
4,9
|
17,7
|
|
производство
машин и оборудования
|
2,7
|
5,4
|
|
производство
электро, электронного и оптического оборудования
|
2,3
|
5,8
|
|
производство
транспортных средств
|
16,4
|
10,3
|
|
прочие
производства
|
1,5
|
2,4
|
|
производство
прочих материалов и веществ, не включенных в другие группировки
|
0,5
|
2,4
|
По представленной таблице мы видим, что в структуре
обрабатывающего производства по Владимирской области по сравнению с РФ стоит
отметить: производство пищевых продуктов, обработку древесины и производство
продукции из дерева, целлюлозно-бумажное производство и производство
транспортных средств. Эти направления превышают среднероссийский уровень по
доле производства.
4.4
Производство и распределение электроэнергии, газа и воды
Таблица 23. Производство и распределение газа, электроэнергии и
воды в% к предыдущему году
|
2000
|
2001
|
2002
|
2003
|
2004
|
2005
|
2006
|
2007
|
2008
|
2009
|
2010
|
2011
|
|
97,6
|
109,9
|
103,8
|
116,4
|
111,1
|
100,9
|
100,8
|
102,5
|
103,4
|
94,6
|
107,1
|
97,9
|
Рисунок 24. Производство и распределение газа, электроэнергии и
воды
Уровень производства и распределения газа,
электроэнергии и воды в период с 2000 по 2011 годы находится на стабильном
уровне и незначительными флуктуациями вокруг показателя в 100%. Наибольшее
отклонение в отрицательную сторону приходится на 2009 год.
Таблица 24. Структура производства и распределения (%)
|
Производство,
передача и распределение электроэнергии, газа, пара и горячей воды
|
Из него
|
Сбор, очистка и
распределение воды
|
|
производство,
передача и распределение электроэнергии
|
производство и
распределение газообразного топлива
|
производство,
передача и распределение пара и горячей воды (тепловой энергии)
|
|
|
97,1
|
80,9
|
2,5
|
13,6
|
Таблица 25. Структура производства и распределения
На диаграмме видно, что большую часть в общей структуре
производства и распределения занимает электроэнергия (81%). Далее идут пар и
горячая вода (14%). Замыкают круг вода (3%) и газообразное топливо (2%).
Электроэнергетика представлена всеми основными её типами. В Сосновом Бору
расположена Ленинградская атомная электростанция, в Киришах и Кировске -
крупные теплоэлектростанции. На реках Вуокса, Свирь, Волхов построены небольшие
гидроэлектростанции. Электроснабжением области занимаются ОАО «ТГК-1»
(генерирующая компания) и ОАО «МРСК Северо-Запада» (передача и распределение).
4.5
Строительство
Таблица 26. Объём выполненных работ (млн. руб.)
|
2000
|
2002
|
2003
|
2004
|
2005
|
2006
|
2007
|
2008
|
2009
|
2010
|
2011
|
|
7256,8
|
8597,6
|
17839,3
|
22952,7
|
27258,2
|
53727
|
58188,1
|
77937,8
|
80035,8
|
89104,6
|
102960,4
|
Рисунок 25. Объём выполненных работ (млн. руб.)
За указанный период наблюдается планомерный рост объёмов
строительных работ, что может свидетельствовать о постоянном расширении и
уплотнении Ленинградской области.
Таблица 27. Распределение строительных работ по формам
собственности, %
|
2000
|
2005
|
2011
|
|
Государственная
|
Муниципальная
|
Частная
|
Смешанная
российская
|
Государственная
|
Муниципальная
|
Частная
|
Смешанная
российская
|
Государственная
|
Муниципальная
|
Частная
|
Смешанная
российская
|
|
13
|
0,3
|
76,4
|
6,6
|
3,7
|
0,05
|
89,1
|
2,7
|
1,7
|
0,1
|
85,9
|
1,2
|
Рисунок 26. Распределение строительных работ по формам
собственности, %
По данному графику видно, что преобладающим в строительной
сфере является частный сектор. При этом доля государственного строительства
значительно снизилась в период с 2000 по 2011 годы, как и доля смешанной
российской собственности.
4.6
Инвестиции
Таблица 28. Инвестиции в основной капитал (млн. руб.)
|
2000
|
2001
|
2002
|
2003
|
2004
|
2005
|
2006
|
2007
|
2008
|
2009
|
2010
|
2011
|
|
19241
|
32273
|
28212
|
49704
|
68561
|
82859
|
127209
|
126296
|
166112
|
190860
|
278864
|
304770
|
Рисунок 27. Инвестиции в основной капитал (млн. руб.)
В период с 2000 по 2011 годы наблюдается увеличение
инвестирования в основной капитал (основные фонды) с тенденцией ускорения
роста.
Таблица 29. Структура инвестиций по видам основных фондов (%)
|
2005
|
2010
|
2011
|
|
Жилища
|
Здания (кроме
жилых), сооружения
|
Машины,
оборудование, транспорт
|
Прочие
|
Жилища
|
Здания (кроме
жилых), сооружения
|
Машины,
оборудование, транспорт
|
Прочие
|
Жилища
|
Здания (кроме
жилых), сооружения
|
Машины, оборудование,
транспорт
|
Прочие
|
|
8,9
|
48,5
|
41,2
|
1,4
|
5,9
|
54,7
|
34,6
|
4,8
|
15,4
|
51,6
|
31
|
2
|
Рисунок 28. Структура инвестиций по видам ОФ (%)
Наибольший объём в структуре инвестирования во все года
составили здания и сооружения (т.к. обладают наибольшей капиталоёмкостью).
Следом за зданиями идут машины, оборудование и транспорт. При этом, вложение в
машины, оборудование и транспорт уменьшаются в период с 2005 по 2011 годы в
связи с удешевлением технологий производства.
Таблица 30. Источники инвестирования (%)
|
2000
|
|
Собственные
средства
|
Привлеченные
средства
|
из них
|
|
|
кредиты банков
|
бюджетные
средства
|
из них
|
|
|
|
|
федеральный
бюджет
|
бюджеты
субъектов РФ
|
|
39,7
|
60,3
|
1
|
12,5
|
9,6
|
2,1
|
Таблица 31. Источники инвестирования (%)
|
2005
|
|
Собственные
средства
|
Привлеченные
средства
|
из них
|
|
|
кредиты банков
|
бюджетные
средства
|
из них
|
|
|
|
|
федеральный
бюджет
|
бюджеты
субъектов РФ
|
|
55,8
|
44,2
|
4,2
|
7,3
|
5,9
|
1,3
|
Таблица 32. Источники инвестирования (%)
|
2010
|
|
Собственные
средства
|
Привлеченные
средства
|
из них
|
|
|
кредиты банков
|
бюджетные
средства
|
из них
|
|
|
|
|
федеральный
бюджет
|
бюджеты субъектов
РФ
|
|
15,9
|
84,1
|
7,8
|
12
|
9,4
|
0,9
|
Таблица 33. Источники инвестирования (%)
|
2011
|
|
Собственные
средства
|
Привлеченные
средства
|
из них
|
|
|
кредиты банков
|
бюджетные
средства
|
из них
|
|
|
|
|
федеральный
бюджет
|
бюджеты
субъектов РФ
|
|
18,3
|
81,7
|
13,5
|
12
|
10,7
|
1
|
Рисунок 29. Источники инвестирования (%)
По графику видно, что собственные средства составляли
доминирующую часть в инвестициях в ОФ во все годы, однако к 2010 и 2011 их доля
резко снизилась, будучи заменённой заёмными средствами. Бюджет Ленинградской
области играет наименьшую роль в инвестировании в основные фонды.
4.8 Цены
Таблица 38. Индексы потребительских цен в % к предыдущему году
|
2000
|
2001
|
2002
|
2003
|
2004
|
2005
|
2006
|
2007
|
2008
|
2009
|
2010
|
2011
|
|
123,5
|
119,6
|
114,8
|
113
|
114,9
|
112
|
109,9
|
112,8
|
114,9
|
110,1
|
111,1
|
106,4
|
Рисунок 33. Индексы потребительских цен в % к предыдущему году
По графику видно, что в период с 2000 по 2011 годы
происходило замедление темпов роста потребительских цен. Пики значений ИПЦ
приходятся на 2004 и 2008 годы. Так же видно, что наибольшая скорость роста цен
приходилась на период после 1998 года, темпы роста идут на понижение вплоть до
2003. Данный график отражает темпы роста инфляции.
Таблица 39. Индексы цен на первичном рынке жилья в% к предыдущему
году
|
2000
|
2001
|
2002
|
2003
|
2004
|
2005
|
2006
|
2007
|
2008
|
2009
|
2010
|
2011
|
|
108,1
|
113,9
|
117,7
|
132,8
|
114,7
|
107,2
|
121,5
|
113,7
|
126,1
|
94
|
95
|
99,6
|
Рисунок 34. Индексы цен на первичном рынке жилья в% к предыдущему
году
Ситуация на первичном рынке жилья кажется относительно
стабильной. Темпы роста цен на период с 2009 по 2011 год упали ниже отметки в
100% к предыдущему году. Наибольший рост цен наблюдался в 2003 и 2008 годах.
Вывод: По итогам рассмотренных глав можно определить
следующее. Ресурсодобывающие отрасли не являются основными для Ленинградской
области, а по итогам 2010 и 2011 данные отрасли имеют отрицательное сальдо. При
этом, добыча топливно-энергетических полезных ископаемых составляет всего лишь
3%. Продукция сельского хозяйства не показывает значительного роста, но при
этом остаётся на стабильном уровне, не смотря на неблагоприятные
агроклиматические условия. Основными отраслями, приносящими прибыль, являются
отрасли обрабатывающего производства (в том числе пищевые продукты и
целлюлозно-бумажное производство). Прибыль от этих отраслей во много раз
превышает показатели прибыли от остальных отраслей. Производство и
распределение газа и воды находится на стабильном уровне (81% составляет
электроэнергия). Происходит постоянное расширение и уплотнение Ленинградской
области за счёт строительства, осуществляемого негосударственными
организациями. Инвестирование в основные фонды в последние годы всё больше
производится за счёт заёмных средств, при этом доля расходов на транспорт
заметно сократилась. В области экспортной торговли с другими странами
доминируют нефтепродукты и продукты химического производства. Основным объектом
импорта являются машины и транспортные средства. На все сферы деятельности
наибольшее влиянии оказал кризис 2008, приведший к росту цен, снижению темпов
роста производств.
5. Бюджет субъекта РФ и оценка его устойчивости
.1
Доходы и расходы бюджета
Рисунок 35. Доходы бюджета Владимирской области млн. руб.
Рисунок 36. Расходы бюджета Владимирской области млн. руб.
Рисунок 37. Доходы и расходы Владимирской области млрд. руб.
По представленным данным видно, что за
период с 2005 по 2011 год как доходы, так и расходы консолидированного бюджета
Ленинградской области росли. При этом, в большинстве случаев наблюдается
профицит.
5.2
Сальдо
Таблица 40. Сальдо бюджета Владимирской области, млн. руб.
|
Год
|
2005
|
2006
|
2007
|
2008
|
2009
|
2010
|
2011
|
|
Доходы (млн.
руб.)
|
28147
|
37107
|
48567
|
63401
|
62357
|
71343
|
82312
|
|
Расходы (млн.
руб.)
|
29285
|
34603
|
44557
|
62291
|
66891
|
69147
|
80124
|
|
Сальдо (млн.
руб.)
|
-1138
|
2504
|
4010
|
1110
|
-4534
|
2196
|
2188
|
Рисунок 38. Сальдо бюджета Владимирской области млн. руб.
При более детальном рассмотрении динамики сальдо бюджета
можно увидеть, что максимальное положительное и отрицательное отклонение от
нуля приблизительно равны. Наибольший профицит зафиксирован на 2007 год, в 2008
наблюдался спад соотношения «доходы-расходы» и к 2009 сальдо ушло в
отрицательную зону, как следствие экономического кризиса. В 2010 и 2011 годах
сальдо находилось на стабильном уровне в положительной зоне.
5.3 Структура доходов
Таблица 41. Структура доходов в процентах
Из представленной таблицы видно, что большую часть доходов
бюджета Ленинградской области составляют налоговые поступления по статьям
«налог на прибыль организаций» и «налог на доходы физических лиц». При
рассмотрении всего периода процентная доля этих статей в общей сумме доходов
практически не меняется. Наименее восприимчивым к экономическим колебаниям
остаётся налог на имущество.
5.4
Структура расходов
Таблица 42. Структура расходов в процентах
Основную долю расходов бюджета во все годы составляет статья
«социально-культурные мероприятия». На втором месте стоит образование. Наименьшую
долю расходов составляет правоохранительная деятельность. Здравоохранение и
спорт с 2008 начинают сдавать позиции и наблюдается тенденция к уменьшению
расходов в данной области.
5.5
Оценка устойчивости бюджета
Количественную оценку финансовой устойчивости можно получить
на основе следующих коэффициентов:
· Дефицит (профицит) бюджета региона на душу
населения:
Таблица 43. Расчёт профицита на душу населения
|
Сумма дефицита
(профицита) на 2011 (млн. руб.)
|
2188
|
|
Доходы (млн.
руб.)
|
82312
|
|
Расходы (млн.
руб.)
|
80124
|
|
Численность
населения 2011 чел.
|
1734000
|
/1734000 = 1261,82 руб.
· Отношение дефицита к доходам:
/80124000000*100=2,66%
· Коэффициент соотношения регулирующих и
собственных доходов:
Крс = Др: Дс = 8920/73392*100 = 12,15%
· Коэффициент автономии:
Ка = Дс: Д = 73392/82312 = 89,16%
· Отношение собственных доходов к общему
объему текущих обязательств бюджета субъекта РФ:
/85168*100 = 86%
· Доля расходов бюджета региона,
финансируемая за счет средств федерального бюджета (2011):
Таблица 44. Федеральное финансирование
|
Безвозмездные
перечисления: от других уровней власти (тысяч рублей)
|
11066909,6
|
|
Кредит,
полученный от других уровней бюджета (тысяч рублей)
|
-151222
|
|
Бюджетные
ссуды, полученные от вышестоящего бюджета (тысяч рублей)
|
339620
|
,31/80124*100 = 14%
· Получение средств федерального бюджета на
душу населения:
,31/1734000*1000= 6,5 тыс. руб. на душу населения
· Коэффициент обеспеченности минимальных
(обязательных) расходов собственными доходами:
Ко= Дс: Рм = 73392/56410 = 1,3 = 130%
· Коэффициент бюджетного покрытия:
Кбп =Д: Рм = 82312/56410 = 1,46 = 146%
· Коэффициент бюджетной результативности
области:
Кбр = Д: Ч = 82312/1734000*1000 = 47,47 тыс. руб. на человека
· Собственные доходы на душу населения:
/1734000*1000 = 42,33 тыс. руб. на человека
· Коэффициент бюджетной задолженности:
Ккз = З:Р = 5054/80124*100 = 6,3%
Вывод: По итогам проведённых расчётов можно сказать,
что бюджет Ленинградской области достаточно стабилен. Отсутствует дефицит (по
данным на 2011 год). За период с 2005 по 2011 годы сальдо чаще находилось в
положительной зоне. Профицит составил в 2011 году 2,7% от общих доходов.
Регулирующие доходы представляют лишь 12%, а коэффициент автономии показал
достаточно высокое значение. Можно говорить о высокой степени самостоятельности
регионального бюджета. Могут быть покрыты 86% обязательств без привлечения
ресурсов федерального бюджета (оставшиеся 14 процентов могут быть
профинансированы из него). Коэффициенты бюджетного покрытия и обеспеченности
минимальных расходов указывают на то, что минимальные расходы могут быть
покрыты за счёт собственных доходов. Задолженность бюджета составила всего 6%.
Большая часть доходов была сформирована за счёт налога с прибыли организаций и
доходов физических лиц. Основной статьёй расходов являются социально-культурные
мероприятия.
6.
Расчёт показателей и анализ тенденций социально-экономического развития
Характеристика
коэффициентов специализации и монополизации отрасли
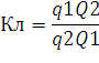
1. Коэффициент локализации производства - это отношение удельного
веса отрасли в структуре производства к удельному весу той же отрасли в стране.
q1 - отрасль региона; q2 - отрасль страны;
Q1 - хозяйство региона; Q2 - хозяйство страны.
. Индекс уровня специализации - отношение удельного веса
отрасли региона в объёме выпуска продукции отрасли страны к удельному весу
хозяйства региона в хозяйстве страны. Имеет то же содержание, что и коэффициент
специализации, но вычисляется другим способом.
. Коэффициент уровня развития отрасли в
регионе -
отношение объёма произведённой в регионе продукции к объёму её потребления в
регионе. Если коэффициент больше 1, то отрасль считается отраслью
специализации.
Оп - объём потребления
. Коэффициент межрайонной товарности - рассчитывается как
отношение объёма вывозимой продукции отрасли региона к объёму её производства в
регионе. При Кмт > 0,5 вывозится более половины
произведённой продукции.

. Коэффициент душевого производства - отношение удельного веса
отрасли в соответствующей отрасли страны к весу населения региона в населении
страны. Если коэффициент больше 1 (производство на душу населения в регионе больше,
чем по стране), то отрасль является отраслью специализации.
Нр - население региона
Нс - население страны
. Коэффициент эффективности производства (должен быть больше
единицы)
V - объём производства
. Индекс Лернера нацелен на измерение и
описание результатов работы рынка. Он отражает отклонение от цены предельных
затрат, связанных с условиями монополии.
- цена
С - предельные издержки
8. Индекс Герфинделя-Гиршмана показывает влияние
крупных компаний на состояние рынка и рассчитывается как сумма квадратов долей
всех действующих на рынке (в отрасли) хозяйствующих субъектов. Варьируетя от 0
(полная деконцентрация) до 10000 (абсолютная монополия).
Xi - доля i-го хозяйствующего субъекта в объёме
реализованной продукции на рынке (в отрасли), %.
N - число хозяйствующих субъектов отрасли, действующих на
рынке.
. НН1<1000 CR3<45% - неконцентрированный рынок (норма)
. 1000<НН1<2000 45%<CR<70% - средне
концентрированный
. НН1>2000 CR>70% - высоко концентрированный (слабая
конкурентная среда)
7.1.
Коэффициенты специализации и монополизации отрасли
Численность населения на 2011 год составила 143056 тыс.
человек. Численность населения Ленинградской области - 1734 тыс. человек. Для
рассмотрения были взяты следующие отрасли (2011 год):
Таблица 45. Показатели региона для расчёта коэффициентов
специализации 2011 г.
|
Отрасль
|
Продукц. регион
(млн. руб.)
|
Продукц. РФ
(млн. руб.)
|
Затраты регион
(млн. руб.)
|
Потребление
регион
|
Вывоз
|
|
Добыча полезных
ископаемых
|
9384
|
8031149
|
10664
|
104266,67
|
4128,96
|
|
Обрабатывающие
производства
|
449543
|
22802348
|
407140
|
232923,83
|
346148,11
|
|
Пр-во и распр.
э/э, газа и воды
|
103228
|
4219137
|
99753
|
52135,35
|
45420,32
|
|
Сельское
хозяйство
|
57733
|
3261695
|
53578
|
50642,98
|
39258,44
|
|
Строительство
|
102960,4
|
5140309,9
|
100725,4
|
55355,05
|
62805,844
|
Таблица 46. Показатели специализации и индексы 2011 г.
|
Кл
|
Ис
|
Кур
|
Кмт
|
Кдп
|
Кэ
|
L
|
НН1
|
|
Добыча полезных
ископаемых
|
0,11
|
0,11
|
0,76
|
0,44
|
0,10
|
0,88
|
45
|
2631
|
|
Обрабатывающие
производства
|
1,91
|
1,91
|
1,93
|
0,77
|
1,63
|
1,10
|
36
|
1785
|
|
Пр-во и распр.
э/э, газа и воды
|
2,37
|
2,37
|
1,98
|
0,44
|
2,02
|
1,03
|
50
|
2201
|
|
Сельское
хозяйство
|
1,71
|
1,71
|
1,14
|
0,68
|
1,46
|
1,08
|
33
|
1551
|
|
Строительство
|
1,94
|
1,94
|
1,86
|
0,61
|
1,65
|
1,02
|
42
|
908
|
После анализа представленных показателей можно выделить
отрасли специализации Ленинградской области. Из представленного списка к ним не
будет относиться добыча полезных ископаемых. Все остальные отрасли дали
значения индексов больше единицы и прошли проверку на наличие специализации по
данным направлениям. Основу экспорта составляет продукция обрабатывающего
производства. Наибольшая степень монополизации наблюдается в производстве и
распределении электроэнергии, газа и воды. Наилучшую конкурентную среду
показало строительство.
Заключение
Владимирская область является средним регионом. В структуре
отгруженной продукции обрабатывающих производств преобладают производства
пищевых продуктов и табака, оборудования, целлюлозно-бумажное производство,
издательская и полиграфическая деятельность. Развито машиностроение. Генерация
электроэнергии находится на высоком уровне. Сельское хозяйство, не смотря на не
слишком благоприятные природные условия, хорошо показывает себя в области
животноводства.
Уровень жизни население неуклонно следует за среднероссийским
с незначительным отставанием, а доля экономически активного населения полностью
отражает общую ситуацию в РФ. При этом безработица ниже среднероссийского уровня.
Область является привлекательным объектом для миграций из других регионов.
Бюджет стабилен и позволяет покрыть все виды внутренних
затрат региона, показывая профицит.
К сожалению, имеются и слабые стороны - отсутствие
собственных топливно-энергетических ресурсов не позволяет развиваться в этом
направлении и вынуждает импортировать сырьё. Так же не имеет возможности
масштабно развиваться растениеводство ввиду природно-географических факторов.
Обобщая вышесказанное, можно сказать, что сегодня регион
находится на пути успешного развитие и следует продолжить финансирование
обрабатывающих отраслей промышленности, т.к. они являются наиболее
перспективными и закладывают фундамент для развития региона.