Механизм самопишущего прибора с диаграммной бумажной лентой

  • Вид работы:
    Курсовая работа (т)
  • Предмет:
    Другое
  • Язык:
    Русский
    ,
    Формат файла:
    MS Word
    1,14 Мб
  • Опубликовано:
    2013-10-17
Вы можете узнать стоимость помощи в написании студенческой работы.
Помощь в написании работы, которую точно примут!

Механизм самопишущего прибора с диаграммной бумажной лентой

Оглавление

1.    Техническое задание на курсовой проект. Механизм программного управления автоматической системы

2. Принцип работы механизма. Кинематическая схема

3. Расчёт механизма

3.1 Кинематический расчет механизма

.2 Расчет зубчатых колес

.3 Силовой расчет

.3.1 Определение статических моментов на валиках механизма с учетом КПД. Определение сил, действующих в кинематических парах

3.3.2 Выбор материала и допуска напряжения колес

3.3.3 Расчет зубьев на контактную прочность

3.3.4 Расчет зубьев на изгиб. Напряжение изгиба в опасном сечении зуба

3.4 Определение сил действующих на зубья колес

Список литературы

1.      Техническое задание на курсовой проект. Механизм самопишущего прибора с диаграммной бумажной лентой


Основные данные:

.        Пределы изменения измеряемой величины

Х - Х0 = 250 о.е.

2.      Цена деления и длина шкалы

Нш = 5 о.е.

Lш = 100 мм

.        Ширина диаграммы

B = Lш = 100 мм

скорость движения бумажной ленты в мм/ч

v = 5400’ = 1800’’ = 600’’’ = 200

4.      Диаметр ведущего зубчатого барабанчика

D4’’’ = 32 мм

.        Диаметры катушек

D6 max = D8 max = 40 мм,6 min = D8 min = 20 мм

6.      Натяжные ленты

Pmax = 5, Hmin = 2,5 H

7.      Тип двигателя - ДПМ-35, nДв = 2500 об/мин

.        Тип волнового зубчатого редуктора (ВЗР) - НЖОЖ

.        Угол поворота валика сельсина приемника φсп = 1,5π рад.

2. Принцип работы механизма. Кинематическая схема


Записывающее устройство приводится в движение сельсином-приемником СП. Углы поворота валика СП равны углам поворота валика сельсина-датчика, связанного с подвижным элементом измерительного прибора. На валике СП закреплен барабанчик 13. Гибкий тросик 12 огибает барабанчик 13 и два блока 14. Концы тросика прикреплены к каретке 11 с чернильницей и капиллярной трубкой 10. Углы поворота валика СП, пропорциональные величине измеряемого параметра, посредством передачи с гибкой связью преобразуются в линейные перемещения каретки 11 с указателем шкалы и трубкой 10, которая осуществляет запись изсеряемого параметра на движущейся диаграммной бумажной ленте 9.

Лентопротяжный механизм позволяет осуществить четыре скорости движения ленты 60, 180, 600 и 1800 мм/ч. Бумажная диаграммная лента разматывается с катушки 8 и наматывается на катушку 6. Заданная постоянная скорость ленты обеспечивается зацеплением зубьев ведущего барабанчика 4’’’ с перфорированной диаграммной бумагой 9. Ведущий ленту барабанчик 4’’’ вращается от электродвигателя Дв через ВЗР и трехступенчатую зубчатую передачу. Два блока зубчатых колес (2-2’’ и 4-4) позволяют осуществить четыре варианта зацепления зубчатых колес и обеспечить четыре скорости движения ленты. Наименьшая скорость получается при зацеплении колес 1 и 2-2’ и 3’-3’’ и 4’’, наибольшая - при 1 и 2-2’’ и 3’’-3 и 4, а промежуточные две скорости при 1 и 2-2’ и 3’-3 и 4. Для обеспечения прижатия ленты к ведущему барабанчику 4’’’ необходимо, чтобы окружная скорость на поверхности катушки 6 в начальный момент наматывания на нее бумаги была равна скорости ленты v6 = v4 = v и не изменялась за все время работы механизма, несмотря на постепенное увеличение диаметра катушки 6 при постоянной угловой скорости колес 4’, 5 и 6’. Это условие выполняется посредством фрикционной муфты, соединяющей зубчатое колесо 6’ с валиком катушки 6. Наименьшее допускаемое натяжение ленты при наибольшем диаметре катушки 6 регулируется вращением гайки 6’’, изменяющей деформацию пружины фрикционной муфты. Натяжение ленты на участке между ведущим барабанчиком 4’’’, роликом 7 и катушкой 8 обеспечивается торможением валика катушки 8 посредством пружинки, нажимающей на шкивок 15. Катушки 8 и 6 съемные.


Корпус механизма состоит из двух плат 12 и 13, скрепленных тремя поперечными пластинами 16, 17 и 18 с загнутыми краями. К плате 12 винтами прикреплен ВЗР с двумя жесткими колесами и встроенным в его корпус электродвигателем Дв. От колеса 1 выходного валика ВЗР к валику ведущего барабана 4’’’ движение передается через зубчатую передачу, смонтированную между платой 12 и прикрепленной к ней тремя стойками 19 малой платой 14. В связи с тем, что частота вращения валиков зубчатой передачи очень малая, используются подшипники скользящего трения. Для получения четырех скоростей ленты блоки зубчатых колес 2’-2’’ и 4-4’’ передвигаются и фиксируются в соответствующих положениях посредством вилок 15, которые расположены на двух стойках, поддерживающих малую плату 14. Ведущий барабанчик 4’’ соединен с четвертым валиком зубчатой передачи двухкулачковой муфтой. Момент трения фрикционной муфты, связывающей колесо 6’ с валиком катушки 6, регулируется гайкой 6’’, изменяющей величину деформации и силу нажатия пружины. На левые концы осей катушек 6 и 8 нажимают плоские пружины 9, удерживающие их правые концы в сцеплении с валиками. Для снятия катушек 6 и 8 при замене другими необходимо сначала их сдвинуть влево на 3-4 мм, а затем переместить в радиальном направлении вдоль паза в плате 13.


Натяжение диаграммной бумаги на катушках 6 и 8 должно быть наибольшим при наименьших диаметрах катушек (Д6 min и Д8 min) и наименьшим при наибольших диаметрах катушек (Д6 max и Д8 max). Требуемое натяжение бумажной ленты регулируется вращением гайки 6’’ фрикционной муфты катушки 6 и гайки 10 фрикционного с пружиной 11 тормоза катушки 8.


Рис. 1. Кинематическая схема механизма самопишущего прибора с диаграммной бумажной лентой

3.      Расчёт механизма


Определяем параметры записывающего и отсчетного устройства.

Диаметр шкива 13 сельсина D13 = 360B/πφ0сп. =

При Lш = В, число делений шкалы Nш = (Х-Х0)/Н = 250/5=50, длина деления b=B/Nш = 100/50=2

 

3.1 Кинематический расчет механизма

механизм программный зубчатый колесо

Числа оборотов ведущего барабанчика n4, n4’, n4’’ и n4’’’ определяем из условия v=πD4’’’n4 мм/ч.

4’’’=32; v= n=(v-60)/( πD4’’’)=(5400·60)/(3.14·32)=3224.5 об/мин

1.      Вычисляем передаточные отношения:

 

 

v=ω·

ω=

 

 

 

 

 

 

 

 

.        Определяем диаметр гибкого колеса

 

Диаметр корпуса двигателя DДв=35 мм

.        Определяем передаточное отношение ВЗР от генератора волн к выходному валу:

 при q=2

 

 

 

 

 

 

 


3.2 Расчет зубчатых колес

 

1. Предварительно задаемся стандартным модулем m = (0,4÷0,6) мм, определяем числа зубьев и диаметры колес. Числа зубьев колес определяют с учетом намечаемой компоновки механизма и диаметров двигателя, корпуса ВЗР и сельсина, а так же способов их крепления к корпусу механизма.

zmin ≥ 20 - 24, zш=; ;ш1=ш2=ш3=ш4=ш5=ш6=

 

 

 

 

 

 

 

мм

 

 мм

 

 

 

 

 

 

 

 

2. Конструкция колес (рис. 2)

Форму и размеры зубчатого колеса определяют в зависимости от числа зубъев, модуля, формы и длины зубьев, диаметра вала, а также от материала и технологии изготовления колес.

Ориентировочные размеры колес:

=(1,6÷1,8)D=1,7·35=60 мм

b=(0,3÷0,5)B=0,4·30=12 мм

H=(5÷8)m=6·0,6=3,6 мм

l=(1÷2)D≥B+3dш=2·35=70≥66 мм

dш=(0,2÷0,25)D=0,2·35=7 мм

 

3.3 Силовой расчет

 

3.3.1 Определение статических моментов на валиках механизма с учетом КПД. Определение сил, действующих в кинематических парах

Даны момент на валике 1 , , , , , , m, η = 0,9, число зубьев и диаметры колес d = z · m.

Коэфициент трения для стальных зубьев колес f = 0,1. Значения КПД каждой пары определяется по формуле:

 

- поправочный коэфициент (при р>30(Н))

 

Определяем окружные силы Р и крутящие моменты на валиках:

 

 

 

 = 3168 Н·мм

,

 

 

 

,

 

99

 

,

 

99

 

,

 

99

 

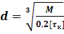
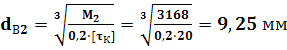
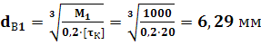
Находим диаметры валов (dВ):  , где [τК] = 20÷30 МПа, M=20 Н·мм. Для изготовления валов выбираем сталь 45.

 

 

 

 

 

 

 

3.3.2 Выбор материала и допуска напряжения колес

Для изготовления зубчатых колес выбираем сталь 45, по табл. 10.5 выбираем механические свойства: : HB кгс/мм2=167-217, Е=2,1·105, δв=600, δ-1=350, [δ]0=180, [δ]-1=115, [δ]к=460. Исходные данные для расчета: n2 и n4 (об/мин), передаточное отношение i1-2= n1/ n2, крутящий момент нагрузка на ведомом валу.

.        Рассчитываем удельную нагрузку:

 , при KK=1, KД=1,2, b =12

 

3.3.3 Расчет зубьев на контактную прочность

Контактная напряженность сжатия определяется по формуле:

 

Определяем межосевое расстояние

 

 

 = 22 (мм); i2-3 = 2,5; m = 0,5

 - приведенный модуль упругости (E = 2,1·105(МПа))

КД - коэффициент динамичности нагрузки = 1,2

KK - коэффициент концентраций нагрузки = 1

 = 12мм

 

 

Поскольку , значит контактная прочность обеспечена

3.3.4 Расчет зубьев на изгиб. Напряжение изгиба в опасном сечении зуба


 

 = 0,372 коэффициент формы зуба при z2 = 20

 

0] = 180 МПа - для стали 45

 ≤ [σ0]

,9 (МПа) ≤ 180 (МПа).

 

3.4 Определение сил действующих на зубья колес


Действующие на зубья силы N будут направлены по общей нормали к профилям зубьев колес 1 и 2 в зоне их контакта. Нормальные силы N можно разложить на составляющие - окружные Р и радиальные Q.



α = 200

 

 

 

 

 

Эти силы учитываются при расчете зубьев колес, валов и подшипников механизмов.

Список литературы


1. Рощин, Г. И. Курсовое проектирование механизмов РЭС.

. Курмаз, Л.В. Детали машин. Проектирование: учеб. пособие\ Л.В. Курмаз, А.Т. Скойбеда. - Минск: УП "Технопринт", 2002. - 290 с.

. Дунаев, П.Ф. Детали машин. Курсовое проектирование: учеб. пособие / П.Ф. Дунаев, О.П. Леликов. - М.: Машиностроение, 2004. - 560 с.

. Первицкий, Ю.Д. Расчет и конструирование точных механизмов: учеб. пособие. - Л.: Машиностроение, 1976. - 460 с.

Похожие работы на - Механизм самопишущего прибора с диаграммной бумажной лентой

 

Не нашли материал для своей работы?
Поможем написать уникальную работу
Без плагиата!
Без нейросетей!