Діяльність швейного підприємства
Вступ
Актуальність
теми. Характерезуючи легку
промисловість, можна з впевненістю сказати що вона є однією з найважливіших
серед галузей виробництва непродовольчих товарів. У даний час ефективність
підприємств галузі досить низька: товари, які випускають підприємства легкої
промисловості України, значно поступаються за якістю і кількістю продукції
розвинених країн; порівняно низька продуктивність праці; вищі в галузі,
порівняно зі світовим рівнем, затрати на виробництво продукції. Відсутність
реальної конкуренції спричиняє завищення цін, спонукає продавати низькоякісну
продукцію. Галузь губить свої позиції на вітчизняному ринку, що робить її
реформування необхідним.
Український
ринок швейних товарів у даний момент характеризується низькою насиченістю,
бурхливою динамікою, та великою кількістю товарів низької якості. У цей момент
необхідно проведення заходів, спрямованих на те, щоб вітчизняний виробник
зайняв гідне місце на цьому ринку. Аналіз стану споживчого ринку щодо
дотримання суб'єктами господарювання вимог законодавства про захист прав
споживачів при реалізації вечірніх суконь показав також, що на сьогодні, на
жаль, ще існує проблема незахищеності жінок від неякісних і небезпечних
товарів.
Хутрова
промисловість - галузь легкої промисловості, що переробляє різноманітні види
хутрової і овчинної сировини і виробляє хутряні вироби. Найбільш поширеними є
вироби із кролячих шкурок, каракулю, смушки, білки, лисиці, ховраха, ондатри. З
хутра виробляється теплий одяг - жіночі і дитячі хутряні шуби та пальта, одяг з
верхом із тканин на хутряній підкладці, головні убори, рукавиці, національний
одяг тощо. Хутрова промисловість випускає вироби, які є прикрасою жіночого
туалету - палантини, а також побутові хутряні вироби - килими, ковдри, спальні
мішки, сувеніри, цінність хутряних виробів зумовлена їх теплозахисними і
естетичними властивостями, міцністю хутра і здатністю протидіяти утворенню
повсті. Визначальною умовою вартості виробів з хутра є не тільки якість шкурок,
але й ступінь складності і характер обробки і відповідні вимоги до моди у той
чи інший час.
Хутро
натуральне - це напівфабрикати вироби із шкурок тварин, які повністю або,
частково зберегли волосяній покрив. Сировиною є шкури диких хутрових тварин і
тих, що спеціально розводяться у звірівницьких господарствах, а також
свійських: вівці, кози, кролі, коні та морських тюлені, нерпи та ін. тварин.
Виробництво хутра складається з первинної обробки, вичинки і, якщо це необхідно
фарбування сировини, дешеве і поширене хутро фарбують, наприклад, кролячим
шкуркам надають вигляду соболиних.
Обсяги
і асортимент продукції хутрової промисловості визначаються рівним розвитком її
сировинної бази. Підприємства галузі переробляють понад 50 видів сировини. В
Україні у структурі сировинних ресурсів переважає продукція вівчарства,
кролівництва і звірівництва.
На
підприємствах хутрової промисловості України використовують шкури каракулю,
одержаного від забою ягнят каракульських порід; смушки-шкурки ягнят українських
і молдавських смушково-молочних овець; мерлушка шкурки ягнят чубововняних порід
овець. Велике значення має також і така сировина, як хутряна і шубна овчина.
Ресурси хутрової сировини мисливства в Україні досить обмежені, хоча в її фауні
нараховується 30 видів хутрових звірів, у тому числі 12 видів гризунів і 2 види
комахоїдних. Територія України належить до Південно-європейської промислової
зони.
Серед
хижих звірів основу хутрового виробництва в Україні складає лисиця, поширена по
всій території. Цінне хутро одержують з куниці, майже скрізь зустрічається
видра, а на півдні поширений заєць-русак. У західних областях і у дніпровських
плавнях добувають акліматизовану в Україні ондатру. Хутрова сировина на
підприємства галузі надходить з таких джерел: хутряну і шубну овчину, кролячі
шкурки постачають м'ясокомбінати і рай заготконтори споживчої кооперації,
хутро-мисливського промислу і звірівництва - держпромгоспи і звірівницькі
господарства, хутрові бази, а каракуль і смушки - каракульські заводи. У даний
час виробництво і поставки хутра перестали бути збалансованими, у галузі
формуються нові напрями виробничих зв'язків.
Як
сировина у хутровій промисловості використовується штучне хутро - текстильний
виріб, який імітує натуральне хутро і відрізняється високими теплоізоляційними
і водовідштовхуючими властивостями. Штучне хутро має різноманітне забарвлення і
малюнок. Найширше поширеним е штучне хутро, що імітує натуральне хутро норки,
куниці, ондатри, єнота, ягнят каракульських овець. З штучного хутра виробляють
одяг і головні убори. В Україні штучне хутро виробляють на Дарницькому
шовковому комбінаті, у Київському виробничому трикотажному об'єднанні, і у
Ясенях /Закарпатська область/
Для
хутрового виробництва дореволюційного періоду характерними були вкрай низький
ступінь промислового розвитку. Обробка хутра здійснювалась кустарним способом з
застосуванням примітивної технології, здебільшого вдома промислова артіль з
пошиття кожухів. Після війни хутрові підприємства у Харкові бути
реконструйовані, здійснювалась інтенсифікація виробництва і перебудова його на
новий асортимент вироблюваної продукції.
Попит
на продукцію хутрової промисловості в Україні за рахунок власного виробництва
не задовольняється, хоча обсяги випуску цієї» продукції зростають
Метою
дослідження є проектування швейного
підприємства з виготовлення дитячих шуб.
Відповідно
до поставленої мети визначені такі основні завдання:
· проаналізувати наукової і методичної літератури;
· виконати аналіз технологічного процесу виготовлення дитячих шуб;
· виконати розрахунки цехів по виготовлення дитячих шуб;
· розробити плани та розміщення робочих місць у цехах по
виготовлення дитячих шуб.
Об’єктом дослідження виступає галузь легкої промисловості - швейне
виробництво.
Предметом
дослідження є проектування цехів з
виготовлення дитячих шуб.
Методологічну
основу дослідження становлять провідні
положення, що стосуються проектування та виготовлення одягу, положення про
розмірні особливості фігури людини, основні положення сучасних напрямів моди,
нормативно-технічна документація на виготовлення швейних виробів, законодавча
база швейних підприємств, загальнонаукові та дидактичні принципи професійного
навчання, концептуальні ідеї розвитку професійно-технічної (професійної)
освіти, спрямовані на удосконалення професійної компетентності робітничих
кадрів.
Теоретичну
основу дослідження становлять
положення і висновки, що стосуються: проектування швейних підприємств (А.Я.
Изместьева, Л.П. Юдина, П.Н. Умняков, Т.Ю. Воронкова), технології швейних
виробів (Є. Я. Борецька, П.М. Малюга, І. М. Братчик, А.М. Труханова А.М.),
обладнання швейного виробництва (М.Л. Рябчиков, Л.Б. Рейбрих),
матеріалознавство швейного виробництва (Е.П. Мальцева, Л.В. Мельникова),
конструювання швейних виробів (А.Ф. Бланк, З.М. Фомина, Є. М. Матузова, Л.Н.
Шершнева), проблем неперервної професійної освіти (С.Я. Батишев, А.П. Біляєва,
Т.М. Десятов, Н.Г. Ничкало, О.М. Новиков, С.О. Сисоєва та ін.), дидактики
професійної освіти (Ю.К. Бабанський, С.У. Гончаренко, В.В. Краєвський, І. Я.
Лернер, В.О. Радкевич, В.О. Скакун, І. М. Стариков, Ю.А. Якуба та ін.),
професійно-практичної підготовки фахівців у ПТНЗ (І. Б. Васильєв, Т.А.
Дев’ятьярова, В.А. Панкратова, Л.З. Тархан, О. І. Щербак та ін.).
Методи
дослідження. У роботі використані
традиційні та сучасні методи дослідження: систематизація, узагальнення
наукового досліду, аналіз наукової та спеціальної літератури, математичного
обчислення, графічного проектування, метод антропометрії та досліджень фігури
людини, методи проектування технології виготовлення швейних виробів, методи
удосконалених технологічних етапів обробки вузлів.
Теоретичне
значення полягає у розробці та
розрахунку цехів по виготовленню виробу (чоловічого зимового пальто), підбір та
опис необхідних матеріалів, інструментів та обладнання для пошиття пальто.
Практичне
значення. Розробка технічної
документації для впровадження у виробництво дитячих шуб, розрахунок та побудова
швейного підприємства та підбір його матеріально-технічного оснащення.
Структура
курсової роботи: робота складається
зі вступу, трьох розділів, висновків, додатків, списку використаних джерел.
Повний обсяг роботи - сторінок, з них основного тексту - сторінка. У тексті -
таблиць, - рисунків. У списку використаних джерел - - найменувань.
1.
Технологічний процес швейного підприємства
1.1 Характеристика асортиментного ряду дитячих шуб
Підприємство,
яке проектується буде зосереджене на виготовленні дитячих шуб. Для запуску
модельного ряду були обрані три моделі дитячих шуб. Основне призначення даних
виробів - шуба дитяча зимова. А отже головним завданням підприємства, є
завдання виготовити такі шуби, які б задовольнили найвибагливішого споживача
тому вони повинні бути теплі, сучасні, яскраві і в той же час подобатись дітям.
Це виявлено в конструкції даних моделей з урахуванням модних тенденцій. В даних
моделях представлене використання натурального та штучного хутра, натуральної
та штучної підкладки, членування деталей одягу, вільний, прямий силует.
Матеріали для даних моделей містять синтетичні волокна, але мають
неперевершений зовнішній вигляд.
Опис
зовнішнього вигляду моделей:
Модель
№1.
Зовнішній
вигляд моделі №1 (Базова модель)
Шуба
дитяча, виготовлена із хутра, на підкладці в класичному стилі. Виріб має
середню об’ємність форми, а довжина коливається нижче лінії стегон.
На
пілочках розташовані прорізні кишені, що надають моделі оригінального вигляду.
На спинці оброблений середній шов. Рукава вшивні двошовні звужені до низу,
класичної довжини. Шуба має зміщену однобортну відкриту застібку, яка виконана
на чотири обметані петлі і ґудзики. У даній моделі гарний капюшон. Дана шуба
може захистити від холоду та вітру що.
Модель
№2
Вона
відрізняється матеріалом з якого вона виготовлена, а також відсутністю кишень.
Капюшон оздоблено вушками, що надає моделі казкового вигляду Об’ємність форми
виробу середня, низ прямий, довжина - по лінії стегон. На рукавах та на
горловині оздоблення стрікою у формі бантів.
Модель
№3
Зовнішній
вигляд моделі №3
Дана
шуби виготовлена з натурального хутра чорного кольору. На пілочці відсутні кишені.
Об’ємність форми виробу велика, низ розширений, довжина - нижче лінії стегон.
Рукава розширені до низу але низ рукава оброблений ризинкою що дає можливість
зберігати теплові якості виробу.
Таблиця
1.1. Матриця елементів одягу, які відповідають напрямку моди
|
Шифр елементу
|
Назва елементу
|
Варіанти елементів
|
|
1
|
об’ємність форми
|
велика, середня, мала
|
|
2
|
силует
|
приталений, прилеглий,
напівприлеглий, прямий.
|
|
3
|
рівень довжини
|
до колін, вище колін, на весь
зріст.
|
|
4
|
покрій
|
Класичний, святковий.
|
|
5
|
конструктивно-декор. елементи
|
виточки, рельєфи, кокетки,
підрізи, складки, зборки
|
|
6
|
матеріал
|
Хутро, підкладочні тканини.
|
Таблиця
1.2. Характеристика основних силуетних і конструктивних ліній моделей-аналогів
порівняно із базовою моделлю
|
Силуетна, констр. лінія
|
Показник відмінності
|
Характеристика
|
|
|
|
Якісна
|
Кількісна
|
|
|
|
Модель №2
|
Модель №3
|
Модель №2
|
Модель №3
|
|
Лінія плечей
|
по ширині плечей
|
відповідає моделі №1
|
відповідає моделі №1
|
відповідає моделі №1
|
відповідає моделі №1
|
|
Лінія грудей
|
за ступенем прилягання
|
прилегла
|
прилегла
|
відповідає моделі №1
|
відповідає моделі №1
|
|
Лінія пройми
|
по глибині пройми
|
відповідає моделі №1
|
відповідає моделі №1
|
відповідає моделі №1
|
відповідає моделі №1
|
|
Лінія талії
|
за ступенем прилягання
|
розширена
|
напівприлегла
|
відповідає моделі №1
|
відповідає моделі №1
|
|
Лінія низу виробу
|
за рівнем довжини
|
максимальна
|
максимальна
|
відповідає моделі №1
|
відповідає моделі №1
|
|
за розширенням
|
максимальне
|
середнє
|
відповідає моделі №1
|
відповідає моделі №1
|
|
|
|
|
|
|
|
1.2
Розрахунок кількості деталей крою та аналіз однорідності моделей
За
рахунок використання багатомодельних потоків виконується розширення асортименту
виробів. Головною з умов їх успішної роботи є правильний підбір моделей. У
промисловості це завдання вирішується без достатнього технічного обґрунтування
шляхом візуальної оцінки однорідності випадково вибраних моделей, що приводить
або до зовнішньої однаковості моделей та гарним ТЕП роботи потоку, або,
навпаки, до зовнішньої різноманітності та низьким ТЕП. На підприємствах не
враховують критерії для оцінки одної моделі та вимоги до існуючих систем
моделей.
Головною
вимогою успішної роботи виробництва є максимальна виробничо-технологічна
однорідність (ВТО) виготовленої продукції, особливо на етапі її виготовлення.
На швейних підприємствах через низьку виробничо-технологічну однорідність
виробів одного потоку ефективність праці знижується на 8 - 14%. [6, с. 234]
Сутність
ВТО: моделі одного потоку повинні виготовлятися за допомогою однорідних видів
обладнання та пристроїв, технологічно-неподільні операції при цьому повинні
бути близькими по часу, номенклатурі та послідовності, робоча сила повинна бути
однорідною по кваліфікації та спеціальностям.
Якщо
моделі відповідають названим вимогам, то потік буде працювати ритмічно без
порушення збірних схем. Тому під виробниче - технологічною однорідністю моделей
треба розуміти таку подібність виробів, яка обумовлює однорідність процесів їх
виробництва. При цьому зовнішньо моделі повинні виглядати різноманітними.
Таблиця
1.3. Специфікація деталей крою базової моделі дитячої шуби
|
Код
|
Найменування деталей
|
Кількість лекал
|
Кількість деталей крою
|
Рисунок деталі з напрямком та
відхиленням від поздовжньої н.о.
|
|
1
|
Пілочка
|
1
|
2
|
|
|
2
|
Спинка
|
1
|
2
|
|
|
3
|
Рукав
|
1
|
1
|
|
|
4
|
Бічна деталь капюшона
|
1
|
2
|
|
|
5
|
Середня деталь капюшона
|
1
|
1
|
|
|
6
|
Підборт
|
1
|
1
|
|
|
Деталі крою підкладки
|
|
7
|
Пілочка
|
1
|
2
|
|
|
8
|
Спинка
|
1
|
2
|
|
|
9
|
Рукав
|
1
|
4
|
|
|
10
|
Бічна деталь капюшона
|
1
|
2
|
|
|
11
|
Середня деталь капюшона
|
1
|
2
|
|
1.3 Технологічна послідовність виготовлення чоловічого пальто
У
швейних цехах підприємства відповідно до раніше розробленої документації
(технологічної послідовності виготовлення), деталі крою подаються на робочі
місця, які розташовані за ходом технологічного процесу. Технологічна
послідовність представлена у табл. 1.8.
Таблиця
1.8. Технологічна послідовність виготовлення дитячої шуби
|
№ п/п
|
Моделі
|
Зміст технологічної операції
|
Спеціаль-ність.
|
Розряд
|
Витрати часу Нвр., с
|
Обладнання
|
|
|
|
|
|
1
|
2
|
3
|
|
|
Запуск
|
|
1
|
1 2 3
|
Привести крій, перевірити
кількість пачок крою і перевірити кількість деталей крою.
|
Р
|
2
|
20
|
20
|
20
|
Стіл запуску
|
|
2
|
1 2 3
|
Скомплектувати крій по коліру,
розміру, зросту.
|
Р
|
2
|
10
|
10
|
10
|
Стіл запуску
|
|
3
|
|
Зареєструвати крій в книгу запуску
|
Р
|
2
|
5
|
5
|
5
|
Стіл запуску
|
|
4
|
1 2 3
|
Роздати деталі крою по робочим
місцям
|
Р
|
2
|
5
|
5
|
5
|
Візки
|
|
5
|
1 2 3
|
Пронумерувати деталі підкладки
|
Р
|
2
|
3
|
3
|
3
|
Стіл ручний
|
|
6
|
1 2 3
|
Намітити розташування фірмового
знаку на підкладці виробу
|
Р
|
2
|
5
|
5
|
5
|
Стіл ручний, крейда, лекало
|
|
Заготовча секція
|
|
Обробка капюшона
|
|
7
|
1 2 3
|
Зшити праву частину капюшона з
середньою частиною.
|
М
|
3
|
12
|
12
|
12
|
1022 кл ОЗЛМ
|
|
8
|
1 2 3
|
Зшити ліву частину капюшона з
середньою частиною
|
М
|
3
|
12
|
12
|
12
|
1022 кл ОЗЛМ
|
|
Обробка вшивних рукавів
|
|
9
|
1 2 3
|
Продублювати окат та низ верхньої
частини рукава та низ нижньої частини рукава
|
П
|
4
|
10
|
10
|
10
|
Праска «Паннонія» Cs-392
|
|
10
|
1 2 3
|
Зшити зрізи рукавів
|
М
|
3
|
10
|
10
|
10
|
1022 кл ОЗЛМ
|
|
11
|
1 2 3
|
Припрасувати і розпрасувати шви
рукавів
|
П
|
4
|
10
|
10
|
10
|
Праска «Паннонія» Cs-392
|
|
12
|
1 2 3
|
Запрасувати нижній зріз рукавів
|
П
|
4
|
10
|
10
|
10
|
Праска «Паннонія» Cs-392
|
|
Обробка утеплюючої підкладки
|
|
13
|
1 2 3
|
З’єднання середньої частини спинки
з обшивкою горловини
|
М
|
3
|
12
|
12
|
12
|
1022 кл ОЗЛМ
|
|
14
|
1 2 3
|
Виконати шви з’єднання відрізного
бочка з середньою частиною спинки і передньою частиною пілочки, а також
плечові шви
|
М
|
3
|
120
|
120
|
120
|
1022 кл ОЗЛМ
|
|
15
|
1 2 3
|
Виконані шви розпрасувати
|
П
|
4
|
60
|
60
|
60
|
Праска «Паннонія» Cs-392
|
|
16
|
1 2 3
|
З’єднати деталі підкладки рукавів
|
М
|
3
|
30
|
30
|
30
|
1022 кл ОЗЛМ
|
|
17
|
1 2 3
|
Розпрасувати шви рукавів на
підкладці
|
П
|
4
|
20
|
20
|
20
|
Праска «Паннонія» Cs-392
|
|
18
|
1 2 3
|
З’єднати рукава підкладки з
підкладкою виробу
|
М
|
3
|
30
|
30
|
30
|
1022 кл ОЗЛМ
|
|
19
|
1 2 3
|
Шов вшивання рукава прирасувати
|
П
|
4
|
15
|
15
|
Праска «Паннонія» Cs-392
|
|
Обробка бортового краю
|
|
20
|
1 3
|
Продублювати підборт
|
П
|
4
|
20
|
|
20
|
Прес «Паннонія» Cs-313
|
|
21
|
1 3
|
Обшити край борта підбортом
|
М
|
4
|
40
|
|
40
|
1022 кл ОЗЛМ
|
|
22
|
1 3
|
Шов обшивання розпрасувати та
запрасувати утворюючи кант
|
П
|
3
|
30
|
|
30
|
Праска «Паннонія» Cs-392
|
|
23
|
2
|
До деталей пілочки та підборта
пришити підкладку
|
М
|
4
|
|
30
|
|
1022 кл ОЗЛМ
|
|
24
|
2
|
На підборті підкладку запрасувати
|
П
|
3
|
|
30
|
|
Праска «Паннонія» Cs-392
|
|
25
|
2
|
Намітити місце пришивання петель
на підбрті
|
Р
|
1
|
|
20
|
|
Шаблон, крейда
|
|
26
|
2
|
Пришити петлі
|
М
|
4
|
|
60
|
|
811 кл фірми «Мінерва «
|
|
27
|
2
|
Обшити бортовий край підбортом
|
М
|
4
|
|
50
|
|
1022 кл ОЗЛМ
|
|
З’єднання спинки та пілочки
|
|
28
|
1 2 3
|
Продублювати середню частину
спинки
|
П
|
4
|
20
|
20
|
20
|
Прес «Паннонія» Cs-313
|
|
29
|
1
|
Обробити у середньому шві спинки
шліцу
|
М
|
4
|
120
|
|
|
1022 кл ОЗЛМ
|
|
30
|
1 2 3
|
Обробити середній шов спинки
|
М
|
4
|
30
|
30
|
30
|
1022 кл ОЗЛМ
|
|
31
|
1 2 3
|
Припрасувати середній шов спинки
|
П
|
3
|
10
|
10
|
10
|
Праска «Паннонія» Cs-392
|
|
32
|
1 2 3
|
Виконати шви з’єднання спинки і
пілочки, а також плечові шви
|
М
|
3
|
120
|
120
|
120
|
1022 кл ОЗЛМ
|
|
33
|
1 2 3
|
Оброблені шви розпрасувати
|
П
|
4
|
110
|
110
|
110
|
Праска «Паннонія» Cs-392
|
|
Монтажна секція
|
|
34
|
1 2
|
З’єднаня рукавів з проймами
|
М
|
3
|
60
|
60
|
60
|
1022 кл ОЗЛМ
|
|
35
|
1 2 3
|
Припрасування шва вшивання рукавів
|
П
|
4
|
30
|
30
|
30
|
Праска «Паннонія» Cs-392
|
|
36
|
1 2 3
|
Закріплення плечових накладок
|
М
|
3
|
60
|
60
|
60
|
1022 кл ОЗЛМ
|
|
37
|
1 2 3
|
З’єднання капюшона горловиною
|
М
|
3
|
100
|
100
|
100
|
1022 кл ОЗЛМ
|
|
38
|
1 2 3
|
З’єднання утеплюючої підкладки з
верхом по нижньому краю рукава
|
М
|
4
|
50
|
50
|
50
|
1022 кл ОЗЛМ
|
|
39
|
1 2 3
|
З’єднання утеплюючої підкладки з
верхом по нижньому краю виробу.
|
М
|
4
|
100
|
100
|
100
|
1022 кл ОЗЛМ
|
|
40
|
1 2 3
|
Закріплення пройм верху виробу з
проймами підкладки
|
М
|
3
|
30
|
30
|
30
|
1022 кл ОЗЛМ
|
|
41
|
1 2 3
|
Обробка отвору залишеного у шві
рукава для обробки пройм.
|
М
|
3
|
35
|
35
|
35
|
1022 кл ОЗЛМ
|
|
Заключне оздоблення виробу
|
|
42
|
1 3
|
Намітити місце розташування петель
на лівій пілочці
|
Р
|
1
|
20
|
|
20
|
Шаблон, крейда
|
|
43
|
1 3
|
Обметати петлі
|
М
|
4
|
60
|
|
60
|
811 кл фірми «Мінерва «
|
|
44
|
1 2 3
|
Намітити місце роз-ташування
ґудзиків на лівій пілочці
|
Р
|
1
|
20
|
20
|
20
|
Шаблон, крейда
|
|
45
|
1 2 3
|
Пришити ґудзики до пілочки
|
М
|
4
|
70
|
70
|
70
|
1095 кл ПМЗ
|
|
46
|
1 2 3
|
Заключна волого-теплова обробка
пальто
|
П
|
4
|
120
|
120
|
120
|
Праска «Паннонія» Cs-392
|
|
47
|
1 2 3
|
Виконати заключну чистку виробу
|
Р
|
1
|
60
|
60
|
60
|
Стіл ручний
|
|
48
|
1 2 3
|
Прикріплення вішалки
|
Р
|
1
|
20
|
20
|
20
|
Стіл ручний
|
|
|
|
|
|
|
|
|
|
|
|
|
|
Отже,
процес дитячих шуб розподілений на 48 технологічних операцій, які в свою чергу
розподілені по секціям: запуск, заготовча секція, монтажна і заключне
оздоблення. Загальний час виконання моделі №1 - 1231с, моделі №2 - 1331с,
моделі №3 - 1255 с.
2.
Розрахунок цехів
На
швейних фабриках в загальному випадку прийнято розділяти схеми виробництва: із
закінченим технологічним процесом на швейній ділянці та з незавершеним
технологічним процесом на швейній ділянці.
Більшість
підприємств працює за схемою виробництва із закінченим технологічним процесом
на швейній ділянці, тобто до складу схеми виробництва входять наступні ділянки
або цехи: підготовчий, розкрійний, швейний та склад готової продукції.
На
підприємстві активно ведеться розробка нових моделей одягу, для запуску виробу
в промисловий процес розробляється конструктором від одного до трьох пакетів
конструкцій, за якими в експериментальному цеху виготовляються зразки моделей.
В найбільш точний комплект лекал вносять корекції, в подальшому він стає
основним.
Підприємство
має кваліфікований персонал. Працівники працюють для того щоб задовольнити
потреби клієнтів. Ціль швейної фабрики - забезпечити надійну, швидку доставку
якісних товарів і конкурентоспроможні ціни клієнтам в усьому світі.
На
підприємстві також працює служба охорони праці, яка створена згідно з Законом
України «Про охорону праці» для організації виконання правових,
організаційно-технічних, санітарно-гігієнічних, соціально-економічних і
лікувально-профілактичних заходів спрямованих на запобігання нещасним випадкам,
професійним захворюванням і аваріям в процесі праці. Підприємство працює в
наступному режимі: 5 робочих днів на тиждень, тривалість робочого дня - 8
годин, перерва складає 45 хв - основна, 15 хв - технічна.
В даний
період на підприємстві виготовляється дитячої шуби, на базі якої створено дві
моделі модифікації.
2.1
Підготовчий цех
У
підготовчому цеху займаються підготовкою матеріалів для розкрою. Підготовка
включає в себе: прийом, розпакування, контроль кількості і якості матеріалів, а
також зберігання і накопичування матеріалів; розрахунок кусків тканини для без
залишкового їх використання; подання матеріалу у розкрійний цех.
Тканину,
неткані матеріали, штучні, синтетичні і оздоблювальні матеріали, фурнітуру і
інше необхідне для виготовлення асортименту виробів, постачає фірма-замовник.
Кількість і зберігання отриманих матеріалів перевіряють за допомогою
супроводжуючих документів.
Отримані
матеріали розпаковують і направляють у склад, де вони зберігаються відповідно
до фірми. Їх уберігають від вологи, дії прямих сонячних променів, низької
температури, запилення. Вони піддаються контрольній перевірці, яка включає в
себе контроль сорту відрізів матеріалів, а також вимір їх довжини і ширини. При
перевірці якості виявляють і відмічають текстильні дефекти, що в подальшому
виробництві не допустить появу дефекту у деталях виробу. У процесі
розбракування і вимірювання на кожен відріз тканини заповнюють паспорт і
роблять відповідні записи [15, с. 56]. Після виконання технологічних транспортних і складських
операцій, матеріали направляють у розкрійний цех.
.
Розрахунок добової потреби в матеріалах на виготовлення певної кількості
виробів.
Робочих
днів в місяць - 22, за розрахунковий період (3 місяці) - 65.
Кількість
виробів за даний період 2000.
Випуск
одиниць за добу: 2000/65=30,76 шт.
. Запас
матеріалів за добу по ділянкам:
М=mр+mвх+mраз+mхр+mком (1.1)
mр - запас матеріалів
на розпаковувальній ділянці (2 дні);
mвх - запас роз
пакувального матеріалу (1-2 дні);
mраз - запас матеріалу
на розбракувальній ділянці (3 дні);
mхр - запас матеріалів
на ділянці збереження після розбракування (3-4дні);
mком - запас матеріалу
на ділянці комплектування матеріалів у настил (1 день).
М=2+1+3+3+1=10
днів.
.
Визначення вихідних даних за нормативними витратами матеріалів подано у табл.
1.9.
Таблиця
1.9. Вихідні дані за нормативними витратами матеріалів
|
Випуск за добу, одиниць
|
Тканина, пог. м
|
|
Верх
|
Підкладочна
|
Прокладка (боротова)
|
|
Норма на одиницю виробу
|
Всього
|
Норма на одиницю виробу
|
Всього
|
Норма на одиницю виробу
|
Всього
|
|
30,76
|
3,10
|
564
|
2,42
|
440
|
0,84
|
153
|
|
|
14 рулонів
|
|
7 рулонів
|
|
4 рулони
|
Хутро:
ширина - 1,52 м; довжина - 26 м. В 1 куску 39,5 м.
Підкладочна
тканина: ширина - 0,9 м; довжина - 68,4 м. В 1 куску 61,5 м.
Прокладочна
тканина: ширина - 0,9 м; довжина -45 м. В 1 куску 40,5 м.
.
Розрахунок площі розпакувальної ділянки, яка складається з площі, що займають
не розпакована тканина і приймальники сировини.
Кількість
піддонів для збереження кіп не розпакованого матеріалу в штабелях:
(1.2)
L - необхідна тканина на добу, м; m - запас матеріалів,
дні; v - об’єм однієї кіпи. м3; n - кількість кусків у
кіпі, шт.; l - середня довжина кусків, м; v1 - корисна вмістимість піддодну, м3.
шт.
Площа під штабелі
на піддонах:
F1=q*a* b
(1.3)
q - 1, a
і b - відповідно довжина і ширина піддону, м.
F1= 1*1,35*1=1,35м3.
Площа під всі
піддони:
Fпід. = Q *F1 (1.4)
Fпід. = 35*1,35 = 47,25.
F2 - площа для збереження тари, яка
приймається як половина площі, що займають штабелі.
F2=1\2 F1 (1.5)
F2= 1\2*1,35= 0,675м3.
Кількість
розпакувальників:
(1.6)
НРВ
- норма виробітки на одного роз пакувальника;
чол.
Число
приймальників:
(1.7)
НПВ
- норма виробітку на одного приймальника;
людина.
Загальна площа
розпакувального відділу:
(1.8)
F3 - площа, яку займають роз
пакувальники, м2;
F4 - площа, яку займають приймальники,
м2;
h - коефіцієнт
використання площі (0,5).
м2.
. Розрахунок
площі для зберігання розпакованого матеріалу на стелажах:

(1.9)
m - тривалість збереження матеріалів (3-4 днв);
Vk - об’єм одного куска тканини, м3;
h - висота укладки рулонів тканини в стелажах, м;
k - коефіцієнт заповнення стелажів (0,6-0,8).

м2.
Розрахунок
кількості піддонів:
(1.10)
M - складає 3-4 дні.
м2.
Площа збереження
розпакованого матеріалу на піддонах у стелажах:
(1.11)
f - площа однієї секції стелажу, м2;
h
- коефіцієнт використання виробничої площі (0,4-0,6);
Qc - кількість піддонів з матеріалами,
що вміщаються у одній секції стелажу (3-4).
м2.
. Визначення
числа працюючих для проміру і розбраковки тканини:
(1.12)
L - добова потреба у матеріалах, м;
t - затрати часу на обробку 1 м матеріалу, с;
T - тривалість зміни, с;
людина.
(1.13)
М - випуск
виробів за добу, од.;
tn - затрати часу на одиницю, с.
людини.
Площа зони для
проміру і розбраковки тканини:
(1.14)
f - площа, яку займає один робочий, м2 (2,24);
k - кількість робочих.
м2.
. Розрахунок
площі збереження проміряної і розбракованої тканини на стелажах:
(1.15)
hCT - висота ярусів у стелажах, м
(0,6-1);
n - кількість ярусів (2-3);
k - коефіцієнт заповнення яруса (0,6-0,8).
м2.
Розрахунок площі
збереження проміряної і розбракованої тканини в елеваторах:
(1.16)
a - довжина елеватора, м;
b - ширина секцій елеватора, м;
q - кількість рулонів у елеваторі, шт.
м2.
. Розрахунок
кількості робочих у зміну для обміловочних робіт:
(1.17)
людини.
. Розрахунок
площі стелажів для комплектування тканини у настили:
(1.18)
h - висота вкладання тканини (0,6).
м2.
При контейнерній
подачі тканини, площа стелажів для комплектування тканини у настили буде
дорівнювати:
(1.19)
Lк - добова необхідність матеріалів у
кусках;
mкон - запас матеріалу на ділянці
комплектування матеріалу в настил, дні;
Vкон - об’єм контейнеру, м2;
n - кількість кусків матеріалу в контейнері.
м2.
. Загальна площа
підготовчого цеху:
(1.20)
Fпр.роз.м., Fоб., Fком., Fпр., F р.к - площі відповідно
для прометру і розбраковки матеріалу, збереження промірного
матеріалу, для обміловочних робіт, для комплектування матеріалу в настили і
розрахунок кусків матеріалів;
h - коефіцієнт використання виробничої площі (0,5-0,6).
м2.
Отже, можна
зробити висновок за вище проведеними розрахунками, що: робочих днів в місяць -
22, за розрахунковий період (3 місяці) - 66, кількість виробів за даний період
2000, випуск одиниць за добу: 2000/65=30,76 шт. Запас матеріалів за добу по
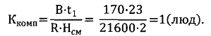
ділянкам: М= 10 днів. Кількість піддонів для збереження кіп не розпакованого
матеріалу в штабелях: 34 шт. Площа під штабелі на піддонах: 1,79м3.
Площа під всі піддони: 63, а площа для збереження тари, яка приймається як
половина площі, що займають штабелі = 0,9м3. Кількість
розпакувальників: 6 чол. Число приймальників: 4 людини. Загальна площа
розпакувального відділу: 17,5м2, а площа для зберігання
розпакованого матеріалу на стелажах: 3м2. Кількості піддонів: 1,5м2.
Площа збереження розпакованого матеріалу на піддонах у стелажах: 0,08м2.
Площа зони для проміру і розбраковки тканини: 4,48м2. Розрахунок
площі збереження проміряної і розбракованої тканини на стелажах: 3,7м2.
Розрахунок площі збереження проміряної і розбракованої тканини в елеваторах:
6,3м2. Кількість робочих у зміну для обміловочних робіт: 3 людини.
Площа стелажів для комплектування тканини у настили: 1,5м2, а при
контейнерній подачі тканини, площа стелажів для комплектування тканини у
настили буде дорівнювати:35м2. Загальна площа підготовчого цеху:
155,1м2.
.2
Розкрійний цех
Розкрійне
виробництво включає наступні операції: настилання матеріалів, розкрій деталей
виробів, нумерування та комплектування деталей крою, навішування талонів
кольорової послідовності, зберігання та транспортування кіп крою, оформлення
маршрутних листів, заповнення товарного та контрольного ярликів.
Настилання
полотен матеріалу може бути виконано внутрішньою стороною тканини до низу та
лицьовими сторонами всередину. Перший спосіб практично використовують для всіх
матеріалів без обліку парного чи непарного числа. Другий спосіб повинен
виконуватись обов'язково парним. Настилання матеріалів може бути із рулону або
окремими, заздалегідь відрізаними полотнами певної довжини відповідно до даних
розрахунку кусків і комплектування полотен до довжинам.
При
ручному виконанню процесу настилання столи обладнують пристроями для розмотки,
лінійками для притискання заднього кінця настилу, відрізання полотна та
притискання переднього кінця настилу. Полотна матеріалу настилають з
мінімальним натягом без перекосів і складок, вирівнюючи при цьому кромку по
одній із сторін і передньому кінцю. При настиланні керуються технічними умовами
на розкрій тканини з ворсом, начосом та ін.
При
наявності у полотні текстильного дефекту перевіряють можливість розкрою його в
настилі, щоб цей дефект розмістився на невидимих частинах виробу, або виріб
розкроюють індивідуально.
Розкрій
матеріалів здійснюється в два етапи: розтин настилу на частини та часткове
вирізання великих деталей рухомою розкрійною машиною та вирізання деталей із
окремих частин настилу по лініям лекала на розкрійній стрічковій машині.
Нумерування та комплектування деталей крою виконують на спецмашині,
прикріплюючи талон з номером на лицьовій стороні. На всіх деталях одного виробу
повинні бути однакові номера.
із
основної тканини, підкладки та прокладу зв'язують або скріплюють спеціальними
ременями і поставляють у склад крою. Кількість людей, які розкроюють деталі:
Кількість
людей, які комплектують деталі:
При
проектуванні розкрійного цеху, необхідне наступне обладнання: Розкрійний стіл:
2,24х1,5м2 - 2 шт.;
Прес:
1,5x2 м2;
Настил
очний стіл: 2,2x5 м2 - 2 шт.;
Стелаж:
1,7x1 м2 - 3 шт.;
Тележка:
1,2x0,9 м2 - 4 шт.;
Кількість
людей, які нумерують деталі:
Кількість
людей, які виконують термічну обробку:
Місце
на 1 працюючого: 1,2-1,4 м = 1,2x5= 6 м
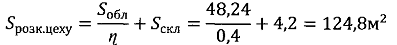
Soбл = 3,36 • 2 + 3 +
11 • 2 + 1,7 • 1 + 2,25 • 2 + 1,08 • 4 + 6 = 48,24 м2
Sсклада=4,2 м2;
з = 0,4
Тоді
загальна площа розкрійного цеху знайдеться по формулі:
Розміщення
обладнання в розкрійному цеху зображено на рис. 2 в масштабі 1:50.
2.3
Швейний цех
У
швейних цехах підприємства відповідно до раніше розробленої документації,
деталі крою подаються на робочі місця, які розташовані за ходом технологічного
процесу. Кожне робоче місце оснащене необхідним обладнанням і інструментом для
виконання певних операцій.
Процес
виготовлення виробу складається з обробки окремих деталей і вузлів, а також їх
з’єднання. Підприємство використовує агрегатно-групову форму, потокового
виробництва, яке характеризується неперервністю і ритмічністю виготовлення
виробів, на основі розділення технологічного процесу на операції рівні за
часом, а також закріплення кожної операції за робочим місцем з необхідним
обладнанням, передачею обробляємих виробів від робочого до робочого. Для їх
переміщення використовують візки.
У
процесі виготовлення одягу виконують також волого-теплові роботи, для цього у
цехах відведене спеціальне місце для міжопераційного і заключного прасування
виробів.
Так, як
і крій документом який супроводжує напівфабрикати і готову продукцію є
маршрутний лист. Облік виготовленої продукції в потоці здійснюється двома
способами: індивідуальним і при здачі готової продукції в склад. У кожній
бригаді якість перевіряє контролер відділу технічного контролю (ВТК). Для
бригади це кінцевий контроль при якому здійснюється 100% перевірка якості. У
процесі виробництва кожен працівник перед виконанням своєї операції повинен
перевірити виконання попередньої. Дефекти в залежності від їх характеру усуває
або працюючий, який його допустив або спеціально призначений працівник. Готову
продукцію перевіряє контролер цеху і відправляє її усклад готової продукції [46, с. 259].
Вибір
технологічного обладнання для швейного цеху:
1. Обробка
окремих деталей та з’єднання їх у готовий виріб:
універсальні
швейні машини - 25 шт.,
Sшв. маш =
1,2*0,5 =0,6 м2, Sшв. маш =
0,6*25 =15 м2,
швейні
машини напівавтомати - 3 шт.,
Sшв. н/а=
1,2*0,5 =0,6 м2, Sшв. н/а= 0,6*3
=1,8 м2;
робоче
місце для ручних робіт:
великий
стіл - 1 шт., Sвел. стіл = 2*3 =
6 м2;
маленький
стіл - 2 шт., Sручн. стіл =
1,2*0,5 =0,6 м2; Sручн. стіл = 0,6*2
= 1,2м2.
Sстолів= 6 +
1,2 = 7,2 м2.
. Волого-теплова
обробка:
прасувальні
столи - 10 шт.,
Sпрас. стіл =
0,5*1,5 =0,75 м2, Sпрас. стіл =
0,75*10 = 7,5 м2,
. Перевезення
деталей та вузлів виробів:
візок -
25 шт.,
Sвізка=
1,2*0,9 =1,08 м2, Sвізка= 1,08*25
=27 м2
. Перевезення
готових виробів:
кронштейн
- 4 шт.,
Sкроншт.= 0,6*2
= 1,2 м2, Sкроншт.= 1,2*4
= 4,8 м2,
Проходи
між робочими ділянками дорівнюють 0,8 м2.
Sпроходів =
0,8*29 =23,2м2.
Площа
робочої зони на одного працюючого дорівнює 1,2 м2. загальна площа на
всіх працюючих дорівнює: Sроб.місця =
1,2*38 = 35,1 м2.
Для
визначення загальної площі швейного цеху необхідно використати наступну
формулу:
Sшв. цеху = Sшв. маш + Sшв. н/а + Sручн. стіл + Sпрас. стіл + Sвізка + Sкроншт. + Sпроходів + Sроб.місця + Ѕ Sшв. цеху (1.27)
Sшв. цеху = 15 +
1,8 + 7,2 + 7,5 + 27 + 4,8 + 23,2 + 35,1 + 65 = 171,1м2.
Так як
універсальних швейних машин - 25 шт., швейних машин напівавтоматів - 3 шт.,
великих столів - 1 шт., маленьких столів - 2 шт., прасувальних столів - 10 шт.,
візків - 25 шт., кронштейнів - 4 шт., а площа робочої зони на одного працюючого
дорівнює 1,2м2, то загальна площа швейного цеху становить 171,1м2.
2.4
Склад готової продукції
У
складу готової продукції перевіряють кожну одиницю виробу, сортують і складають
вироби відповідно до моделей, розмірів та фірм-замовників. Готові посортовані
вироби перш ніж відправити замовнику маркують та упаковують. Контроль якості на
підприємстві. Головним при розробці системи управління якістю є
правильна організація виробництва. Необхідно, щоб усі працівники вважали гарну
якість продукції ціллю своєї роботи. Для цього передбачена посада контролера,
який здійснює вибірковий контроль якості напівфабрикатів, такий контроль
кінцевий для бригади. Кількість перевірок напівфабрикатів на кожній операції
встановлюється в залежності від ступеня її складності. На ділянці
волого-теплової обробки якість виконання всіх операцій контролюється п’ять
разів на день. На кожному робочому місці є карта якості, яка заповнюється
контролером чи майстром бригади. В ній зазначається кількість передбаченої за
зміну продукції і виділяється кількість виробів з відміткою «добре» і «погано».
У кінці кожного тижня заповнені бланки здають у відділ технічного контролю, де
їх опрацьовують і аналізують. За результатами обробки визначається процент
бездефектної здачі продукції по кожній бригаді, потоку, цеху.
На
потоці передбачено також робоче місце для операції по усуненню дефектів: в
потоках по виготовленню виробів і на кінцевому контролі - ділянці волого-теплової
обробки. Контроль готової продукції здійснюється в два етапи: перед заключною
волого-тепловою обробкою і перевірка волого-теплової обробки перед маркуванням
і пакуванням виробів [45, с. 220].
Маркування,
пакування виробів та транспортування продукції. Готові вироби
маркірують, прикріпляють до них товарний ярлик. Окремі вироби маркують
нанесенням на них незмивною фарбою тавро. Ярлики з картону чи щільного паперу
зазвичай бувають світлих тонів, мають гладку поверхню і у верхній частині
отвір. Ярлики підвішують до виробів на бавовняній нитці або на нитці із
синтетичними волокнами і ставиться пломба підприємством-виробником. Вироби
упаковані в індивідуальні пакети, маркуються товарним ярликом, який надягають
на ґудзик без нитки, з вказаними на лицьовому боці ярлика наступної інформації:
розмір, зріст, ціна, ґатунок. Вид товарного знаку, найменування і місце
знаходження підприємства-виробника розміщують на лицьовій стороні ярлика, іншу
інформацію розміщують на зворотній, де залишається місце для клейма контролера
підприємства-виробника. На тканинну стрічку вид товарного знаку наносять фарбою
стійкою до волого-теплової обробки і хімічної чистки. На пачки і коробки
навішують чи наклеюють пакувальний ярлик з усіма показниками, заповненими
печатним способом або чітко від руки, такі ж ярлики наклеюють і на кожний виріб
з додатковим вказанням назви і кількості виробів, які входять в упаковку.
Пакування
забезпечує збереження товарного виду виробів. Розсортовані і промаркіровані
підприємством-виробником готові вироби, складаються і упаковуються в коробки,
пачки і інші види упаковки. Вироби для пакування складають лицем вниз, бокові
сторони від плечових швів перегинають і вкладають на спинку. Рукава
розправляють, вкладають вздовж спинки, короткі рукава кладуть впоперек спинки.
Вироби перегинають навпіл в сторону спинки. В пачку пакують вироби однієї
моделі, одного розміру, зросту, артикулу тканини, ґатунку. Способи пакування,
кількість виробів в коробках і пачках узгоджують з підприємством-замовником і
можуть бути змінені. Всі вироби при перевозках автотранспортом, транспортують в
жорсткій тарі - вторинній упаковці. При перевозці виробів у ящиках і
контейнерах дно, стінки, гору вистилають папером. Пакування виробів не
передбачена стандартом, обумовлюється з замовником у договорі про поставки [4, с. 31].
1.
Визначення площі для зберігання одного виробу:
(1.28)
L - Вертикальна ширина виробу;
m - Маса виробу;
V - Об’єм виробу;
l - Горизонтальна ширина виробу;
h - Висота кронштейна.
.
. Визначення
площі зберігання на кронштейнах всієї партії виробів:
(1.29)
N
- кількість виробів у партії.
.
. Визначення
кількості виробів, які розташовані на одному кронштейні - Nвир.кроншт.:
Довжина
кронштейну - 2 м, відповідно на одному ярусі кронштейну розташовуються 20
виробів. Отже, один двоярусний кронштейн вміщує 40 виробів.
. Визначення
кількості кронштейнів Nкроншт.:
(1.30)
.
. Визначення
площі одного кронштейна:
(1.31)
a
- ширина кронштейна,
h - висота кронштейна.
м2.
6. Визначення
площі всіх кронштейнів:
(1.32)
м2.
. Визначення
площі робочих місць:
(1.33)
м2.
(1.34)
м2.
. Визначення
загальної площі цеху:
(1.35)
м2.
Так як
площа для зберігання одного виробу: 0,02м2; площа зберігання на
кронштейнах всієї партії виробів: 240м2; всього кронштейнів 300 шт.,
тобто площа всіх кронштейнів = 270м2; площа робочих місць 1,75 м2,
то загальна площа цеху = 307,6 м2.
Отже,
після проведення розрахунків кількості працюючих та обладнання ми отримали
площі цехів: 155,1м2 - підготовчий, 122,05м2 -
розкрійний, 197,1м2 - швейний цехи та 307,6м2 - склад
готової продукції.
3.
Планування та розміщення робочих місць у цехах
План
розміщення основного потоку виконують на основі технологічної схеми, монтажного
графіку і попереднього розрахунку потоку, вирішуючи наступні задачі: вибір типу
і розмірів робочих місць; розміщення технологічного обладнання і операцій по
робочим місцям; розміщення робочих місць і поточних ліній; визначення направлення
руху напівфабрикатів і готових виробів по поточним лініям; уточнення засобів
транспортування; розміщення потоків на плані цеху.
При
виконанні плану розміщення потоку необхідно дотримуватись правил виробничої
санітарії. Техніки безпеки і нормативно-технічної документації.
Таблиця
1.10. План розміщення
|
Номер групи
|
Номер операції
|
Зміст операції
|
|
Г1
|
9, 10, 11, 12
|
Обробка коміра-стійки
|
|
Г2
|
15, 16 19, 20 23, 34
|
Обробка клапана Обробка листочки
Обробка патів
|
|
Г3
|
32, 33, 34, 35, 36, 37, 38, 39
|
Обробка вшивних рукавів
|
|
Г4
|
27, 28, 29 48, 49, 50, 51, 52, 53,
54, 55, 56
|
Обробка накладних кишень Обробка
кишень у швах
|
|
Г5
|
40, 41, 42, 43, 44, 45
|
Обробка утеплюючої підкладки
|
|
Г6
|
59, 60, 61, 62, 63, 64, 65
|
Обробка бортового краю пілочок
|
|
Г7
|
68, 69
|
Обробка спинки
|
|
Г8
|
71
|
З’єднання спинки з пілочкою
|
|
Г9
|
78
|
З’єднання коміра-стійки з
горловиною
|
|
Г10
|
73, 74, 75, 77
|
З’єднання рукавів з проймами
|
|
Г11
|
80, 81, 82, 83
|
З’єднання верху виробу з
підкладкою
|
|
Г12
|
84, 85, 86, 87, 88, 89, 90
|
Оздоблення виробу
|
Підготовчий
цех. Основною задачею підготовчого виробництва є ритмічне забезпечення
матеріалами розкрійного цеху відповідно до планового завдання на розкрій.
Прийом і розпакування тканини виконується за допомогою передаточних візків
ТШП-82. Транспортування нерозбракованої тканини проводиться за допомогою
електропогрузчика ЄП4046, ЄП-0801. З метою скорочення ручних операцій при
транспортуванні і зберіганні матеріалів використовують піддони на яких матеріал
розміщують у багатоярусних стаціонарних стелажах. На складі з багатоярусними стелажами
використовують штабелери або крани-штабелери.
Якісний
і кількісний прийом тканини виконується за допомогою столів КРМ-1, БПМ-2. Усі
матеріали, що надійшли на підприємство піддаються контрольній перевірці, тобто
розбраковуванню. Контроль якості (розбраковування) виконують за допомогою
проміряльно-розбракувальних машин марки РР-1 органолептичним способом (Додаток
А). Перевезення розбракованої тканини виконують за допомогою механізованих
візків ТПП.
Розбраковані
матеріали в рулонах направляють на склад, що служить місцем їхнього накопичення
для подальшого підбору у настили. Склад розбракованих матеріалів обслуговується
електроштабелером який пересувається по рейках між рядами стелажів У його
задачу входить завантаження чарунок стелажу рулонами і розвантаження стелажів
при підборі кусків тканини для відправлення у розкрійний цех. Машини міні - та
мікро-ЕВМ використовують для розрахунку кусків тканини у підготовчому цеху.
Підсортування тканини здійснюється з допомогою електропогрузчика типу ШП-82
[31, с. 153].
Розкрійний
цех. Обробка матеріалів різанням представляє собою фізичний процес руйнування
матеріалу по заданим лініям, який виконується ножами різного типу.
Розкрій
матеріалів для швейних виробів в залежності від типу ріжучих інструментів можна
розділити на дві групи: розкрій тканини універсальним інструментом і розкрій
тканини спеціальним інструментом.
Застосування
для розкрою універсальних інструментів, наприклад різаків, розкрійних машин,
дозволяє вирізати деталі будь-якої конфігурації, не змінюючи ріжучого
інструменту та без переобладнання машини. Однак їх використання потребує
застосування ручної праці і ускладнює можливість автоматизації процесу розкрою.
Застосування
для розкрою спеціальних інструментів, наприклад різаків для вирубки деталей,
дає можливість автоматизації розкрою, але робить її спеціалізованою,
стандартною. Розрізання матеріалів механічним ріжучим інструментом може
виконуватися ножем, пилкою або ножицями. Способи різання цими інструментами
розрізняються між собою за направленням руху ножа відносно розрізних
матеріалів, що обумовлює різницю в кутах різання і величинах зусиль, які
прикладаються для розрізання.
Розкрійні
машини призначені для різання настилів тканин або інших матеріалів, розсікання
настилів на частини і вирізання деталей. В промисловості застосовуються
розкрійні машини двох типів: пересувні розкрійні машини з вертикальним або
дисковим ножем; стаціонарні розкрійні машини з ножем у вигляді замкненої
сталевої стрічки.
Пересувні
розкрійні машини з вертикальним ножем застосовуються для різання настилів на
частини і вирізання деталей швейних виробів із шерстяних, напіввовняних і
бавовняних тканин, прокладочних тканин, ватину (Додаток Б). Висота настилу може
бути до 10-16 см.
Пересувні
розкрійні машини з дисковим ножем призначаються для розрізання настилів на
частини і вирізання деталей нескладної конфігурації (Додаток В). Такі машини
використовуються для розкрою бавовняних тканин, тканин з натурального шовку і
штучних волокон, тонких, шерстяних і напівшерстяних, підкладкових тканин.
Допустима висота настилу 2,5-3 см.
Стаціонарні
машини використовують для вирізування дрібних деталей і деталей складних
конфігурацій з попередньо розсічених частин настилу (Додаток Г) [31, с. 186].
В
останні роки доцільно використовувати комп’ютерні програми та машини для
розкрою одягу.
Одним з
елементів автоматизації розкрійного виробництва є система автоматизованого
проектування розкладок (Додаток Д). В неї входить дві відносно самостійні
підсистеми: проектування лекал та проектування розкладок лекал.
Застосування
САПР дозволяє підвищити ефективність роботи, скоротити затрати часу на процес
розкрою, зменшити міжлекальні відходи тканин. Наприклад, застосування програми JULIVI для конструктора
прискорює його роботу в 4 рази, а програми для розкладника збільшують
ефективність розкрою у 10 разів. Застосування периферійних пристроїв для
виведення інформації з комп’ютера на папір через плотери заміняє креслення
лекал вручну, що значно прискорює виробничий процес
Швейний
цех. При виконанні плану розміщення потоку необхідно дотримуватись правил
виробничої санітарії, техніки безпеки і нормативно-технічної документації,
враховувати монтажний графік агрегатно-групового потоку по виготовленню
чоловічого зимового пальто.
Технологічні
процеси і операції, які застосовуються при виготовленні одягу, багато в чому
обумовлюють конструкцію та пристрої обладнання необхідного для його
виготовлення.
Усі
швейні машини поділяються на машини човникового та ланцюгового стібка, машини
спеціального призначення та машини-напівавтомати. У світі більше 100 фірм, які
випускають промислові та побутові швейні машини, а також вироби і пристрої для
їх доповнення (голки, електроприводи, вузли автоматизації). Технічна
характеристика швейних машин 97-Акл ОЗЛМ та 1022 кл ОЗЛМ представлена у табл.
1.10..
Таблиця
1.10. Характеристика універсальних швейних машин
|
Клас, марка, фірма-виробник,
країна
|
Технологічне призначення
|
Кодове позначення стібка (ГОСТ
12807-88 ISO 4915; ISO 4916)
|
Максимальна частота обертання
головного валу, хв.-1
|
Максимальна довжина стібка, мм
|
Максимальна товщина матеріалу під
лапкою, мм
|
Додаткові відомості (тип механізму
переміщення матеріалу, робочі органи, додаткові функції)
|
|
Зшивна машина 97-Акл ОЗЛМ
|
Для зшивання, застрочування,
настрочування
|
301
|
5500
|
4
|
4
|
Оснащена насосом для автоматичної
змазки механізмів
|
|
Зшивна машина 1022 кл ОЗЛМ
|
Для зшивання, застрочування,
настрочування
|
301
|
4500
|
5
|
3
|
Пристрій для регулювання довжини
стібка, виконання закріпок
|
У
процесі масового виробництва одягу доцільно використовувати швейні машини подані
у табл. 1.15., адже їхні технологічні показники досить високі.
Характеристика
швейних напівавтоматів. Швейні машини напівавтомати для прикріплення фурнітури
виконують трудомісткі технологічні операції від початку до кінця, але
підготовчі та операції переміщення на них виконують вручну. Машина-напівавтомат
1095 кл ПМЗ (Додаток З) призначена для пришивання плоских ґудзиків з двома та
чотирма отворами до виробів з пальтової тканини однонитковим стібком з
ланцюжковим переплетенням. Ґудзики можна пришивати до виробів щільно, з ніжкою
або з нижнім ґудзиком та потайним стібком. Ґудзик прикріпляється за 20 проколів
голки.
Машина
має механізми: механізм голки; механізм переміщення тканини; механізм
ґудзикотримача; механізм автоматичного вимкнення; механізм ниткопритягувача
замінений ниткоподавачем, який працює від голковода.
Залежно
від моделі, матеріалу, особливостей експлуатації виробу петлі виготовляють
різної форми з різноманітними видами стібків, шириною кромки, типами закріпок.
Машина-напівавтомат
811 кл фірми «Мінерва» призначена для виготовлення прямих петель з двома
закріпками, однонитковим ланцюжковим стібком. Частота обертання головного валу
1500 хв-1, або 3000 проколів голки за хвилину, довжина петлі
регулюється від 6 до 36 мм, ширина петлі - 5,4 мм, ширина пружка - 1,5-2 мм,
число проколів в закріпці - 5-6. Напівавтомат має кривошипно-коромисловий
механізм голки, коливальні петельники. Матеріал може переміщуватися вздовж та
впоперек платформи машини, ніж прорубує вхід в петлю в кінці циклу її вимотування.
Машина має механізм обрізки ниток. В залежності від натягу нитки петля може
виготовлятися гладдєвою або бісерною строчкою.
Характеристика
прасувального обладнання. До прасувального обладнання відносять праски,
преси, каландри, парові манекени. До робочих поверхонь при прасуванні відносять
прасувальні поверхні обладнання, прасувальні столи, дошки або спеціальні
колодки. Волого-теплова обробка сприяє пониженню напруги в волокнах, яка
виникає при виготовленні виробів. Вибір оптимальних режимів волого-теплової
обробки залежить від властивостей тканини й закономірностей їх зміни під дією
вологи, тепла, механічного впливу. Більшість операцій волого-теплової обробки
проводять на пресах, але у важкодоступних ділянках виробу необхідно
користуватися праскою. Прасувальні столи застосовують для міжопераційної і
заключної волого-теплової обробки. Прасувальні столи фірми «Паннонія»
(Угорщина) Cs-394 і Cs-1394, мають паровий нагрів і пристрій для відсмоктування вологи,
що необхідне після пропарювання деталей, яке проводиться при прасуванні
праскою. Праски нагріваються парою чи електричним струмом. Перевагою даних
прасувальних столів є можливість встановлення на них подушок для виконання
різноманітних операцій.
Рис. 1.6. Прасувальний стіл
фірми «Паннонія»
У
виробництві застосовують такі типи прасок: з електрообігрівом, з паровим
обігрівом, пароелектричні та електропарові. Температура праски може
регулюватися від 100°С до 250°С, що забезпечує обробку будь-яких матеріалів.
Промислові праски випускаються в комплекті із прасувальним столом та
призначаються для остаточної волого-теплової обробки легкого одягу.
Електропарові
праски фірми «Паннония» Cs-392 (Угорщина) (рис. 1.5.). Температура нагріву праски 100-2000С,
встановлена потужність 1кВт, витрати пари 2 кг/год. Габаритні розміри праски
«Паннония» Cs-392 - 215 мм*128 мм*160 мм, маса праски 2 кг.
Рис. 1.7. Електропарова праска
«Паннонія» Cs-392
Більша
кількість операцій волого-теплової обробки виконується пресами. Основним
робочим органом преса прасувального з індивідуальним парогенератором і
програмованим керуванням «Паннония» Cs-313 є подушки, які виготовляють литими з чавуна, алюмінію або
силуміну. Вони мають добру теплопровідність та малу вагу. Кожен прес має верхню
та нижню подушки. У даного пресу тип нагріву верхньої подушки електричний, а
нижньої - паровий; температура нагріву верхньої подушки 80-2500С,
нижньої - 105-1100С. Час розігріву подушок дорівнює 40 хвилин.
Прасувальні поверхні подушок пресів обтягуються сукном, фланеллю. В залежності
від операцій, які виконують на пресах, використовують подушки різної форми.
Габаритні розміри пресу 1200 мм*1265 мм*1450*[49, с. 65].
Характеристика
організації роботи у швейному цеху
Будь-яка
форма виробництва складається з трьох основних взаємодіючих складових: засобів
праці, предметів праці, працівників. Об’єм і характер праці між вказаними
елементами, ефективність їх використання обумовлюють форму організації
виробництва. Для швейного виробництва характерні дві основні форми організації
- не потокова і потокова.
Потокове
виробництво характеризується наступними факторами: неперервністю і ритмічністю
виготовлення виробів, яке ґрунтується на розділі процесу на операції, рівні чи
кратні за часом; закріплення кожної операції за робочим місцем з необхідним
обладнанням і розташування їх у відповідності до технологічної послідовності
обробки виробу; безперервній передачі оброблюваних виробів від операції до
операції.
Потоком
називається така форма організації виробничих процесів, при якій всі операції
на робочих місцях виконуються у відповідній, раніше встановленій, технологічній
послідовності із заданою кількістю працівників і обладнання. Тип потоку - це
комплексна характеристика, яка визначається організаційною структурою,
характером переміщання напівфабрикатів, використовуваними транспортними
засобами, способом запуску.
У цехах
швейних підприємств застосовують потоки, які залежно від виду виробу, його
розміру, ваги, об’єму випуску відрізняються ритмом, засобом передачі
напівфабрикатів між працюючими, розташуванням робочих місць на ділянці цеху,
розмірами транспортних засобів.
У
швейних цехах застосовують потоки наступних типів: групові, агрегатні, їх
поєднання - агрегатно-групові (АГП), конвеєрні ритмічні, конвеєрні з вільним
ритмом. Агрегатно-групові потоки використовують при виготовлення виробів
будь-якого асортименту. В даному випадку обробка вузлів і деталей виконується
одночасно і паралельно у часі. Для організації роботи агрегатно-групових
потоків необхідно:
~ велика
масивність потоку, вузька спеціалізація робочих місць, максимальне використання
потужностей обладнання;
~ технологічна
однорідність моделей;
~ розділення
усього потоку на групки з більш вузькими спеціалізаціями;
~ однотипність
методів обробки за моделями і однаковість режимів роботи обладнання;
~ максимальне
зосередження операцій у заготівельній секції з метою максимальної
продуктивності у монтажній секції;
~ пачковий
послідовно-асортиментний запуск моделей;
~ використання
без провідних транспортних засобів.
Агрегатно-групові
потоки одна з найбільш прогресивних форм потоку, яка дозволяє: досягти
мінімальної трудоємності виготовлення виробів за рахунок допоміжних прийомів
при обробці деталей пачками, спеціалізація робочих місць і максимальне
використання обладнання, раціональна організація раці і раціональне розміщення
робочих місць в потоці, забезпечують мінімальний шлях крою в потоці і
мінімальні затрати часу на монтажно-переміщувальні прийоми; краще
використовувати робочий час і продуктивність праці; підвищувати якість обробки
за рахунок вузької спеціалізації і правильної організації робочих місць [46, с.
298].
Організація
робочих місць. Типи і розміри робочих місць вибирають в залежності від виду
виробів, які виготовляють і наявності транспортних засобів. Правильна
організація надає більш комфортні умови для праці і сприяє зменшенню затрат
часу на ручні переміщуючи дії.
За
звичай швейне робоче місце складається зі швейної машини, стільця та візка чи
допоміжної площини для зберігання чи передачі напівфабрикатів. Доцільно
використовувати швейні машини необхідні для обробки саме таких виробів на яких
спеціалізується дане підприємство, також добре використовувати стільці зі
спинками висота яких регулюється. Необхідно намагатися розташувати найбільш
зручно і компактно працівників, які виконують один вузол виробу. Раціонально
організувати робоче місце можна також з допомогою додаткових площин (рис.
1.7.), які використовуються в якості міжстольних, стелажів і дозволяють
зменшити розміри кришки стола до 420-710 мм.
Використання
зажимів для пачок деталей виключає можливість переміщення деталей по столу,
зажими можуть монтуватися на кришці столу за допомогою заживного пристрою або
на пересувній площині. Раціональній організації сприяє також конструкція
станини швейної машини - двоопорна чи консольна. Також використовують станини з
вмонтованими домкратними пристроями для регулювання висоти робочого столу.
Рис. 1.8. Робоче місце з
додатковою площиною для напівфабрикатів.
Використання
зажимів для пачок деталей виключає можливість переміщення деталей по столу,
зажими можуть монтуватися на кришці столу за допомогою заживного пристрою або
на пересувній площині. Раціональній організації сприяє також конструкція
станини швейної машини - двоопорна чи консольна. Також використовують станини з
вмонтованими домкратними пристроями для регулювання висоти робочого столу [46, с. 320].
Виготовлення
виробу при використанні агрегатно-групової форми організації виробництва
передбачає розділення процесу виробництва на певні етапи. Початкова обробка
виробу починається заготовчій секції, яка включає в себе чотири групи:а група -
займається виготовленням дрібних деталей (коміра, хлястиків, пат, листочок,
клапанів і інші);а група - виконує обробку кишень та рукавів;а група - з’єднує
основні деталі крою - пілочка, спинка, відрізний бочок;- а група - працює над
обробкою утеплюючої підкладки.
Наступним
етапом виготовлення швейного виробу є монтажна секція, у якій передбачається
поєднання в єдине ціле спинки, рукавів, та коміра, а також з’єднання каркасу
виробу з утеплюючою підкладкою. Заключним етапом є оздоблювальна секція, яка
передбачає заключну волого-теплову обробку виробу, його чистку, виметування
петель та пришивання ґудзиків і вішалок.
Склад
готової продукції призначений для зберігання готових виробів, маркування та їх
упаковки перед відвантаженням. Такі вироби зберігають на стелажах або на
кронштейнах, що залежить від виробів, способу їх упаковки та транспортування.
Вид стелажів залежить від кількості виробів у партії, загальної маси виробу, а
також висоти приміщення. Вони можуть бути трьох - та чотирьохярусні, висота
ярусів також може варіюватися. Залежно від довжини виробу кронштейни можуть
бути одноповерхові та двоповерхові. Об’єм виробів впливає на кількість виробів
на кронштейні, що в свою чергу впливає на їх кількість.
Висновок
Охарактеризувавши
легку промисловість, було зроблено висновок що вона є однією з найважливіших
серед галузей виробництва непродовольчих товарів. У даний час ефективність
підприємств галузі досить низька: товари, які випускають підприємства легкої
промисловості України, значно поступаються за якістю і кількістю продукції
розвинених країн; порівняно низька продуктивність праці; вищі в галузі,
порівняно зі світовим рівнем, затрати на виробництво продукції.
В
результаті роботи над курсовим проектом було визначено мету роботи, у
відповідності з метою курсового пректу встановлено і виконано завдання, а також
визчено обєткт та предмет дослідження.
1. У
першому розділі було встановлено що, підприємство, яке проектується буде
зосереджене на виготовленні дитячих шуб. Для запуску модельного ряду були
обрані три моделі шуб (зовнішній вигляд моделей показано у додатках А, Б, В).
Основне призначення даних виробів - захист від холоду. А отже головнм завданням
підприємства, є завдання виготовити такі шуби, які б задовольнили
найвибагливішого споживача. Матеріали для даних моделей містять синтетичні
волокна, але мають неперевершений зовнішній вигляд.
В
результаті роботи над технологічним процесом виготовлення вечірніх суконь ми
визначились з асортиментним рядом моделей вечірніх суконь, розрахували
кількість деталей крою та проаналізували однорідність моделей. Основною
інформацією для проектування технологічних процесів є технологічна послідовність
обробки виробу. Після вибору обладнання та методу обробки вузлів складено
технологічна послідовність. Всі технологічні операції вказані в даному
дипломному проекті відповідають ДСТУ 2162-93. Технологічна послідовність
обробки виробу складеться на основі обраних методів обробки і технологічного
обладнання.
В
процесі виготовлення вечірніх суконь будуть використовуватись такі швейні
матеріали: атлас та тафта.
2. Після
складання технологічної послідовності визначено і підраховано загальну затрату
часу на виготовлення виробу, та загальну вартість пошиття
Для
розрахунку параметрів потоку застосовано наступні дані: асортимент - вечірня
сукня; випуск виробів - 500 одиниць за 1 місяць. Виконано розрахунки: групових
операцій по виготовлення вечірної сукні, техніко-економічних показників,
робітників по секціям та по вузлам, визначення кількості обладнання, яке
застосовується у швейному цеху.
З метою
забезпечення високого ступеня механізації і автоматизації процесу виготовлення
вечірніх суконь обрано, та охарактеризовано найбільш продуктивне сучасне
устаткування.
Визначено
що, форма виробництва складається з трьох основних взаємодіючих складових:
засобів праці, предметів праці, працівників. Об’єм і характер праці між
вказаними елементами, ефективність їх використання обумовлюють форму
організації виробництва. Зясовано що, швейного виробництва характерні дві
основні форми організації - не потокова і потокова.
. Утретьому
розділі визначено правила які регламентують безпечне виконання робіт та
технологічних процесів у швейному виробництві. Вимоги цих Правил є
обов'язковими для всіх працівників, які беруть участь у проектуванні,
будівництві та експлуатації підприємств швейного виробництва, для роботодавців,
які організовують безпечну роботу на виробництві та контролюють роботу з
охорони праці на підприємствах швейного виробництва.
Сьогодні,
легка промисловість України потребує впровадження нових технологій, а також
нових ідей. Тому головним завданням майбутніх інженерів - педагогів, є розробка
нових перспективних моделей одягу та впровадження їх у виробництво. Під час
роботи над курсовим проектом була виконана мета, яка полягала у розробці
процесу виготовлення вечірніх суконь, та розрахунку й планування швейного цеху.
Розроблений цех за всіма прогнозами повинен бути високоперспективним, та
високоприбутковим.
Список
використаних джерел
асортиментний
дитячий шуба цех
1. Воронкова
Т.Ю. Проектирование швейных предприятий. Технологические процессы пошива одежды
на предприятиях сервиса: Учеб. пособие./ Т.Ю. Воронкова - М.: ФОРУМ: ИНФРА-М.
2006. - 128 С.
2. Голичков
С.В. Технология одежды из меха: Учеб. пособие для ПТУ. / С.В Голичков - М.:
Легкая индустрия, 1974. - 360 с.
3. Головніна
М.В. Обробка деталей швейних виробів/ М.В. Головніна, В.М. Михайлець, А.М.
Ямпольська. - К.: Техніка, 1992. - 103с
. Головніна
М.В. Технологія крою та шиття. / М.В. Головніна, В.М. Михайлець - К: Техніка,
1988. - 304 с.
. Головніна
М.В. Технологія обробки деталей швейних виробів/ М.В. Головніна, В.М.
Михайлець, А.М. Ямпольська. - 2-ге вид. - К.: Техніка, 1986. - 356с
. Грановский
Т. С Строение и анализ тканей. Учеб.для сред. Проф.-тех. Училищ. /
Т.С. Грановский, А.П. Мшвенмерадзе - М.: Легпромбьітиздат, 1988. -96 с.
. Гриценок
І. А. Зміст виробничого навчання в ПТНЗ швейного профілю. / І. А. Гриценок //
Педагог професійної школи: Зб. наук. пр. / Редкол.: Н.Г. Ничкало (голова) та
ін.; Упорядники: Н.Г. Ничкало, О. І. Щербак. - К., 2006. - Вип. VII. - С.
124-129. - 0,36 авт. арк.
. Гриценок
І. А. Організація виробничого навчання учнів ПТНЗ швейного профілю:
Метод. реком./ І. А. Гриценок - К.: КВППУ, 2006. - 144 с.
. Гриценок
І.А. Дидактичні принципи виробничого навчання майбутніх фахівців швейного
профілю. / І.А. Гриценок // Педагогічні інновації: ідеї, реалії, перспективи:
Зб. наук. пр. / Ін-т педагогіки АПН України, Ін-т Реклами. 2005. - №9. - С.
91-94. - 0,3 авт. арк.
. Досова
А.А. Основы промышленной технологии поузловой обработки верхней одежди. / А.А.
Досова, Т.И. Куликова - М., 1976.
11. Изместьева
А.Я. Проектирование предприятий швейной промышленности / А.Я. Изместьева, Л.П. Юдина, П.Н. Умняков и др. - м:
Легкая и пищевая промышленность, 1983. - С. 325.
12. К.Р.
Лазур «Швейне матеріалознавство» Львів: «Світ» 2004. - 267 с.
13. Кальней
В.А. Основы методики трудового и профессионального обучения. / В.А. Кальней,
В.С. Капралова, В.А. Поляков, - М.: Просвещение, 1987. - 105 с.
. Климук
Л.В. Технологія виготовлення швейних виробів. / Л.В. Климук - К., 1998. - 181
с.
. Кокеткин
П.П. Механические и физико-химические способы соединения деталей швейных изделий.
/ П.П. Кокеткин - М.: Легкая и пищевая промышленность, 1983. - 200 с.
. Куренова
С.В. Конструирование одежды: Учебное пособие/ С.В. Куренова, Н.Ю. Савельева. -
Ростов-на-Дону: Феникс, 2003. - 482 с.
. Кучер
О.С. Обладнання швейних підприємств / О.С. Кучер - К., 1992 - 246 с.
. Липков
И.А. Изделия из искусственного меха. / И.А. Липков - М.: Экономика, 1966. - 87
с.
. Литвинова
И.Н. Изготовление женской верхней одежды: Учебник для ПТУ/ И.Н. Литвинова, Я.А.
Шахова. - 3-е изд., перераб. и доп. - М.: Легпромбытиздат, 1991. - 304с
. Литвинова
И.Н. Изготовление женской и детской верхней одежды: Учебник для ПТУ/ И.Н.
Литвинова, Я.А. Шахова. - М.: Легкая индустрия, 1981. - 288с
. Литвинова
І. Н. «Технічний вигляд жіночого верхнього одягу»/ І. Н. Литвинова - К., 1992.
- 236 с.
. М.Г.
Головніна «Технологія крою та шиття» / М.Г. Головніва, В.М. Михайлець Київ:
«Техніка» 1985 - 162 с.
. Малоопераційна
технологія виготовлення жіночого верхнього одягу костюмного асортименту з
елементами класифікації неподільних операцій: Методичні матеріали до виконання
лабораторних робіт, курсового та дипломного проектування для студ. спец.
«Швейні вироби»/ Уклад.: К.І. Бондар, Дубач В.С., Хальзова І.Ф. - Хмельницький:
ТУП, 2001. - 67 с.
. Мальцева
Е.П. Материаловедение швейного производства. / Е.П. Мальцева - М., 1986. -
146 с.
. Мельникова
Л.В. Методика трудового обучения. / Л.В. Мельникова - М.: Просвещение, 1985.
. Мельникова
Л.В. Обработка тканей. / Л. В Мельникова - К., 1993. - 172 с.
. Мотейл
В. Машины и оборудование в швейном производстве: Машины для технической
подготовки производства, раскроя, соединения, тепловой обработки и отделки/
Пер. с чешск. А.З. Маковской. - М.: Легпромбытиздат, 1986. - 240 с.
. Нечипорук
З.С. Профорієнтація учнів. / З.С. Нечипорук - К.: Радянська школа, 1971. - 361
с.
. О.В.
Радкевич «Моделювання одягу» Київ: «Вікторія», 2000. - 213 с.
. Основи
технології виробів: Лабораторний практикум для студ. спец. «Швейні вироби»
скороченої форми навчання. Ч. 1/ Уклад.: К.І. Бондар, В.С. Дубач. -
Хмельницький: ТУП, 2001. - 53 с.
. Павшошенков
Е.М. Формирование методов и мотивов выбора профессии. / Е.М. Павшошенков - К.:
Рад.шк., 1980. - 251 с.
. Панкратова
В.А. Основы производственного обучения швейников. / В.А. Панкратова - М., 1991.
- 237 с.
. Першина
Л.Ф. Технология швейного производства: Учеб. для сред. учеб. заведений/ Л.Ф.
Першина, С.В. Петрова. - 2-е изд., перераб. и доп. - М.: Легпромбытиздат, 1991.
- 416с
. Покропивний
С.Ф. Економіка підприємства: підручник. / С.Ф. Покропивний - К. КНЕУ, - 2001. -
528 с.
. Приспособления
малой механизации к промышленным швейным машинам. каталог-справочник. - М.:
ЦНИИТЭИлегпищемаш, 1972. - 28с
. Промышленная
технология одежды: Справочник. - М.: Легпромбытиздат, 1988. - 640 с.
. Рейбирх
Л.Б. Оборудование швейного производства. - М., 1988. / Л.Б. Рейбирх - 97 с.
. Ризер
В. Справочник по обработке швейных изделий/ В. Ризер, В. Ширбаум. - М.: Легкая
индустрия, 1979. - 224с
. Русаков
С.И. Технология машинных стежков и наладка швейных машин. / С.И. Русаков - М.:
Гизлегпром, 1959. - 339с
. Синяков
А.Б. Технология швейного производства: Учебник для средн. спец. учеб.
заведений/ А.Б. Синяков, А.И. Антипова, Н.Н. Карасева. - 2-е изд., испр. и доп.
- М.: Легкая индустрия. 1972. - 360с
. Стельмашенко
В. І., Розаренова Т.В. Материаловедение швейного производства: Учеб.
для вузов. / В. І. Стельмашенко, Т.В. Розаренова - М.: Легпромбьітиздат, 1987.
-224 с.
. Сучасні
виробничі технології: Програма курсу, лабораторні роботи, завдання контрольної
роботи та методичні вказівки до їх виконання для студ. заочної форми навчання
спец. «Економіка підприємства»/ Уклад.: Н.В. Прошина С.М. Лозінська, В.О.
Привала. - Хмельницький: ТУП, 2003. - 46 с.
. Тарангул
Л.Л. Розміщення продуктивних сил: Посібник / Л.Л. Тарангул, І. О. Горленко, Г.
І. Євтушенко. - К., 2000 - 264 с.
44. Тархан
Л.З. Організація виробничого навчання в ПТНЗі. Навчально-методичний посібник /
Л.З. Тархан, М. І. Михнюк. - Сімферополь: кримське навчально-педагогічне
державне видавництво, 2003. - 208 с.
. Техническое
творчество учащихся: Учеб. пособие для студ. педвузов /Под ред. Ю.С. Столярова,
Д.М. Комского. - М.: Просвещение, 1989. - 382 с.
46. Технология
швейного производства: Учебник для техникумов/ В.А. Шишова, Р.И. Виданова, Л.Ф.
Першина, С.В. Петрова. - М.: Легпромбытиздат, 1985. - 376с
. Третьякова
А.Т. Иллюстрированное пособие по технологии легкой одежды. / А.Т. Третьякова -
М., 1984. - 104 с.
. Третьякова
Л.И. Методы обработки швейных изделий. Практикум: Учеб.пособие/ Л.И.
Третьякова, Е.П. Турчинская. - К.: Вища школа, 1988. - 224с
. Труханова
А.Т. Основи швейного виробництва. / А.Т. Труханова - К., 1992. - 219 с.
. Труханова
А.Т. Основы технологии швейного производства. / А.Т. Труханова - М., 1987. -
187 с.
. Труханова
А.Т. Технология женской и детской легкой одежды. / А.Т. Труханова - М., 2000. -
261 с.
. Труханова
А.Н. - 2-е изд., стер./ А.Н. Труханова, О.В. Сакулина, Б.С. Сакулин - М.:
Академия, 2006. - 480 с.
. Труханова
А.Т. Справочник молодого швейника. - 3-е изд., перераб. и доп. / А.Т. Труханова
- М.: Высшая школа, 1985. - 319с
. Турчинская
Е.П. Поузловая обработка женской верхней одежды / Е.П. Турчинская, Н.И.
Алькснина. - К.: Техніка, 1989. - 176с
. Тхоржевський
Д.О. Методика трудового і професійного навчання та вкладання загальнотехнічних
дисциплін: Навч. Посібник. - 3-тє вид., перероб. і допов. / Д.О. Тхоржевський -
К.: Вища шк., 1992. - 334 с.
. Удосконалення
підготовки вчителя загальнотехнічних дисциплін / Д.О. Тхоржевський, В. І.
Андріяшин, Т.М. Антонів та ін. - К.: КДПІ, 1992. - 249 с.
. Устаткування
для виготовлення виробів (технологічне устаткування підприємств): Тези лекцій
та метод. вказ. до викон. лаб. і самост. роб. студ. спец. «Швейні вироби» та
«Професійне навчання»/ Уклад.: Капустенський П.Г., Параска Г.Б., Поліщук О.С.,
Михайловський Ю.Б., Смутко С.В., Лісевич С.П.; Від. за вип. Скиба М.Є. -
Хмельницький: ТУП, 2003. - 107с
. Шаньгина
В.Ф. Соединения деталей одежды. / В.Ф. Шаньгина - М.: Легкая индустрия, 1976. -
208с
. Шаньгина
В.Ф. Оценка качества соединений деталей одежды. / В.Ф. Шаньгина - М.: Легкая и
пищевая пром-сть, 1981. - 128с
. Шаффер
К.Б. Энциклопедия быстрого шитья. / К.Б. Шаффер - М.: Аквариум, 1994. - 320с
. Шваб
Л. І. Економіка підприємства: Навчальний посібник для студентів вищих
навчальних закладів. / Л. І. Шваб - К.: Каравела, 2004. - 568 с.
. Шершнева
Л.П. Конструирование женской одежды на типовые и нетиповые фигуры. / Л.П.
Шершнева - М.: Легкая индустрия, 1980. - 232с
. Шьем-перешиваем/
Н.В. Ерзенкова и др. - М.: Гарт, 1994. - 256с
. Юдина
Е.Н. Для тех, кто шьет/ Е.Н. Юдина, М.А. Евтушенко, О.А. Иерусалимская. - 3-е
изд., стереот. - СПб.: Лениздат, 1985. - 414 с.
. Арьефьєв
И.П. Профориентация учащихся в «Технологии» / И.П. Арьефьєв // Школа и
производство. - 2001. - №2. - С. 76-80.
. Арьефьєв
И.П. Профориентация учащихся в «Технологии» / И.П. Арьефьєв // Школа и
производство - 2001. - №3. - С. 77-80.
. Арьефьєв
И.П. Профориентация учащихся в «Технологии» / И.П. Арьефьєв // Школа и
производство - 2001. - №4. - С. 73-78.
. Вакарчук
І. Профтехосвіта - головна складова матеріальної культури. / І. Вакарчук //
Професійно-технічна освіта. - 2008. - №1. - С. 3-4.
69. Гайслер
Е. Модные тенденции. Мужчина в сером. / Е. Гайслер // Ателье. - 2009. - №4. -
С. 12-17.
70. Гайслер
Е. Тенденции моды. Легкость и непринужденность - главное в мужской моде сезона.
/ Е. Гайслер // Ателье. - 2009. - №4. - С. 19-21.
. Гриценок
І. А. Комплексне методичне забезпечення виробничого навчання кваліфікованих
робітників швейного профілю / І. А. Гриценок // Наукові записки Ніжинського
держ. ун-ту імені Миколи Гоголя. - 2006. - №3. - С. 82-85. - 0,33 авт. арк.
. Гриценок
І. А. Контроль та критерії оцінювання досягнень учнів з виробничого навчання у
ПТНЗ швейного профілю / І. А. Гриценок // Дидактика професійної школи: Зб.
наук. пр. / Редкол.: С.У. Гончаренко (голова), В.О. Радкевич, І.Є. Каньковський
(заст. голови) та ін. - К.; Хмельницький, 2005. - Вип. ІІ. - С. 86-94. - 0,63
авт. арк.
. Гриценок
І. А. Матеріально-технічне забезпечення виробничого навчання у ПТНЗ швейного
профілю / І. А. Гриценок // Педагогічні інновації: ідеї, реалії, перспективи:
Зб. наук. пр. / Ін-т педагогіки АПН України, Ін-т Реклами. - 2007. - №10. - С.
139-142. - 0,25 авт. арк.
. Гриценок
І. А. Моніторинг якості в діяльності майстра виробничого навчання / І. А.
Гриценок // Теоретичні та методичні засади розвитку педагогічної освіти:
педагогічна майстерність, творчість, технології: Зб. наук. пр. / За заг. ред.
Н.Г. Ничкало. - Харків, 2007. - С. 541-547. - 0,38 авт. арк.
. Гуманістичні
засади професійного навчання у ПТОЗ. // Професійно-технічна освіта. - 2008. - №1.
- С. 18-21.
. Донькова
І. В. Трудове навчання, як засіб формування естетичного смаку / І. В. Донькова
// Трудова підготовка в закладах освіти. - 2004. - №2. С. 11-13.
. Качаловський
П. Головне завдання профтехосвіти - підготовка кваліфікованих робітничих
кадрів. / П. Качаловський // Професійно-технічна освіта. - 2008. - №1. - С.
9-10.
. Кочанова
Н.М. Проектирование узла «горловина-воротник» по визуальному образу / Н.М.
Кочанова, Н.И. Ахмедулова, В.Е. Кузьмичев // Швейная промышленность. - 2006. -
№4. - С. 39-40.
. Лепкань
І. Оцінювання навчальних досягнень учнів з трудового навчання / І. Леп кань //
Трудова підготовка в закладах освіти. - 2004. №2. - С. 35.
. Скоблова
Ю. Клеєвые прокладочные материалы. / Ю. Скоблева // Ателье. - 2009. - №3.
- С. 16-19.