Психологические особенности памяти и внимания детей 6–7 лет с синдромом гиперактивности

  • Вид работы:
    Дипломная (ВКР)
  • Предмет:
    Психология
  • Язык:
    Русский
    ,
    Формат файла:
    MS Word
    728,75 Кб
  • Опубликовано:
    2013-08-31
Вы можете узнать стоимость помощи в написании студенческой работы.
Помощь в написании работы, которую точно примут!

Психологические особенности памяти и внимания детей 6–7 лет с синдромом гиперактивности














ДИПЛОМНАЯ РАБОТА

По дисциплине «Нейропсихология детского возраста»

На тему: «Психологические особенности памяти и внимания детей 6 - 7 лет с синдромом гиперактивности»

Содержание

Введение

Глава I. ТЕОРЕТИЧЕСКИЙ АНАЛИЗ ПРОБЛЕМЫ РАЗВИТИЯ ПАМЯТИ И ВНИМАНИЯ У ДЕТЕЙ С СИНДРОМОМ ГИПЕРАКТИВНОСТИ

.1 Общая характеристика заболевания СДВГ

.2 Нейробиологические основы СДВГ

.3 Психологические особенности детей 6 -7 лет

.4 Психологические особенности детей 6-7 лет с СДВГ

.5 Особенности памяти и внимания здоровых детей и детей с СДВГ в возрасте 6-7 лет

ГЛАВА II. ЭМПИРИЧЕСКОЕ ИССЛЕДОВАНИЕ ОСОБЕННОСТЕЙ ПАМЯТИ И ВНИМАНИЯ ДЕТЕЙ 6-7 ЛЕТ С СИНДРОМОМ ГИПЕРАКТИВНОСТИ

.1 Организация и методы исследования

.2 Результаты исследования

Заключение

Библиографический список

Приложение

Введение

Актуальность проблемы определяется высокой частотой данного синдрома в детской популяции и его большой социальной значимостью. Дети с синдромом дефицита внимания, как правило, плохо учатся в школе. Помимо трудностей обучения, синдром дефицита внимания проявляется двигательной гиперактивностью, дефектами концентрации внимания, отвлекаемостью, импульсивностью поведения, проблемами во взаимоотношениях с окружающими. Следует отметить, что синдром дефицита внимания наблюдается как у детей, так и у взрослых. В последние годы доказана его генетическая природа. Совершенно очевидно, что в фокусе научных проблем синдрома дефицита внимания/гиперактивности концентрируются интересы различных специалистов - педиатров, педагогов, нейропсихологов, дефектологов, неврологов.

СДВГ - одна из форм проявления минимально-мозговой дисфункции (ММД). Синдром дефицита внимания и гиперактивности - это устойчивые проявления личности, характеризующиеся повышенной двигательной активностью и затрудненностью сосредоточения внимания на объекте, задачах, требованиях окружения. СДВГ это нозологическая категория, описывающая хроническое расстройство поведения в детском возрасте. Среди его клинических проявлений называют двигательное беспокойство, невозможность усидеть на одном месте, легкую отвлекаемость, импульсивность поведения и мысли, неспособность учиться на опыте и на сделанных ошибках, недостаток внимания, невозможность сконцентрироваться, легкую переключаемость с одного задания на другое без доведения начатого до конца, болтливость, рассеянность, недостаток чувства опасности, и т. д.

Статистика (Заваденко Н.Н.) говорит о том, что в России таких детей 4 - 18 %, в США - 4 - 20 %, Великобритании - 1 - 3 %, Италии - 3 - 10 %, В Китае - 1 - 13 %, в Австралии - 7 - 10 %. Мальчиков среди них в 9 раз больше, чем девочек. [7]

Согласно данным современных исследований, частота встречаемости СДВГ в школьной популяции составляет 6-9%. Среди этиологических причин СДВГ в качестве основной называется расстройство деятельности ЦНС, которое, в свою очередь, может являться результатом воздействия генетических или средовых (инфекция мозга, мозговая травма, перинатальные патологические факторы, неправильная диета при формировании и развитии мозга, отравление тяжелыми металлами) факторов.

Примерно 50% детей, страдающих СДВГ, продолжают демонстрировать симптомы этого заболевания во взрослом возрасте. Взрослая симптоматика обычно не включает гиперактивность, но трудности концентрации и импульсивность по-прежнему остаются составляющими расстройства.

В последние годы этому заболеванию начинают уделять все больше внимания во всех странах, в том числе и в России. Об этом свидетельствует растущее число публикаций по данной теме. Достигнуты большие успехи в изучении синдрома дефицита внимания/гиперактивности у детей: выявлены различные факторы риска развития синдрома (генетические, пренатальные и перинатальные, семейные факторы), установлено, что синдром гиперактивности может возникнуть в процессе развития очень рано (в младенческом возрасте), частота встречаемости среди детей разного возраста. Однако, глубокого изучения особенностей когнитивной сферы у детей с СДВГ не проводилось.

Цель исследования: изучить особенности памяти и внимания детей 6 - 7 лет с синдромом гиперактивности.

Объект исследования: особенности памяти и внимания у детей 6 - 7 лет с синдромом гиперактивности.

Предмет исследования: особенности памяти и внимания детей с синдромом гиперактивности.

Задачи исследования:

) Осуществить теоретический анализ научно методической литературы по проблеме исследования.

) Провести эмпирическое исследование особенностей памяти и внимания детей с синдромом гиперактивности.

Гипотеза исследования: мы полагаем, что у детей 6-7 лет с синдромом гиперактивности существуют специфические показатели объема памяти, устойчивости и концентрации внимания снижены.

Методологическая основа исследования:

возрастные концепции развития детей 6-7 лет: Мухина В.С., Эльконин Д.Б.

нейропсихологические подходы к изучению СДВГ: Н.Н.Заваденко, Брязгунов И. П.

Методы исследования:

) теоретический анализ литературных источников

) тестирование с помощью методик:

·        «Заучивание 10 слов» А.Р. Лурия

·        Тест Тулуз - Пьерона

·        «Запомни и расставь точки» В.С.Немова

) метод математико-статистического анализа.

Эмпирическая база исследования: МУЗ Детский психоневрологический санаторий №2 г. Владимира, 14 детей в возрасте 6 -7 лет, страдающих синдромом гиперактивности. Гимназии №1 г. Коврова, 14 детей в возрасте 6-7 лет.

Практическая значимость: Данная работа может быть использована школьными психологами и воспитателями специализированных учреждений (интернаты, санатории и др.) при работе с детьми, страдающими синдромом гиперактивности.

Структура работы: введение, 2 главы, выводы, заключение, библиографический список, всего 68 страниц.

Глава I. ТЕОРЕТИЧЕСКИЙ АНАЛИЗ ПРОБЛЕМЫ РАЗВИТИЯ ПАМЯТИ И ВНИМАНИЯ У ДЕТЕЙ С СИНДРОМОМ ГИПЕРАКТИВНОСТИ

.1 Общая характеристика заболевания СДВГ

Среди детей с расстройствами поведения можно выделить особую группу без выраженных органических повреждений мозга. Речь идет о детях, у которых постепенно количественно нарастают отклонения в отдельных психических функциях, выражающиеся главным образом в изменении поведения.

Среди этих нарушений наибольшее внимание привлекает повышенная двигательная активность ребенка, первое описание которой появилось около 100 лет назад. Интерес и сложность проблемы заключается в том, что она является комплексной: медицинской, психологической и педагогической.

Множественность используемых здесь терминов: “гиперкинетический хронический мозговой синдром”, “минимальное повреждение мозга”, “легкая детская энцефалопатия” и многие другие - объясняется в первую очередь тем, что симптоматология заболевания весьма вариабельна, а термин, как правило, носит отпечаток специальности автора. Однако все авторы сходятся в одном - такое состояние существует, его необходимо диагностировать и корректировать, лечить. В настоящий момент принято употреблять термин «синдром дефицита внимания и гиперактивности».

Синдром дефицита внимания и гиперактивности (СДВГ) - это нейробиологическое (связанное с нарушениями в работе некоторых структур и систем головного мозга) состояние, характеризующееся неадекватными для данного возраста уровнями невнимательности, гиперактивности (чрезмерной подвижности) и импульсивности (несдержанности). [5]

Эти признаки могут проявляться в различных комбинациях в разных условиях: в школе, дома и в иных ситуациях, и обычно обнаруживаются в дошкольном или раннем школьном возрасте.

Симптомы СДВГ появляются в течение многих месяцев, обычно симптомы импульсивности и гиперактивности предшествуют симптомам нарушения внимания, которые могут не появляться в течение года и более.

СДВГ является синдромом когнитивных и поведенческих нарушений и включает триаду симптомов: невнимательность, импульсивность, гиперактивность. Согласно резолюции, подписанной 86 ведущими мировыми специалистами по СДВГ, это психоневрологическое расстройство, встречающееся как среди взрослых, так и среди детей, должно рассматриваться как серьезное заболевание, требующее особых комплексных подходов к его диагностике и лечению. Этим расстройством страдают 3-7% детского и 3-5% взрослого населения мира. Если предположить, что частота встречаемости СДВГ в России соответствует мировой, то в России от 610 тыс. до 1.4 млн. детей и подростков (0-14 лет) и от 3 до 6 млн. молодых людей и взрослых (от 15 лет и старше) страдают СДВГ. Все авторитетные медицинские сообщества считают СДВГ реальным психоневрологическим расстройством, хотя существуют разногласия по поводу диагностики, частоты встречаемости, этиологии и наиболее эффективных способов лечения и коррекции СДВГ. СДВГ приводит к серьезной недостаточности целого комплекса психологических и поведенческих особенностей. Нет никаких сомнений в том, что СДВГ негативно влияет на важнейшие области жизнедеятельности человека, страдающего СДВГ, включая его социальные отношения, образование, семейную жизнь, профессиональные занятия, самодостаточность, следование социальным правилам, нормам и законам. Данные клинических исследований, приведенные в упомянутой выше резолюции, показывают, что страдающие СДВГ по сравнению с представителями генеральной популяции гораздо чаще бросают школу (32-40%), реже заканчивают вузы (5-10%), имеют меньше друзей или совсем их не имеют (50-70%), реже показывают высокие результаты на рабочем месте (70-80%) и чаще втягиваются в антисоциальную деятельность (40-50%). Более того, дети, растущие с СДВГ чаще страдают депрессией (20-30%) и расстройствами личности (18-25%).

Согласно американской классификации болезней DSM-IV выделяют 3 варианта этого нарушения:

синдром, сочетающий дефицит внимания и гиперактивность;

синдром дефицита внимания без гиперактивности;

синдром гиперактивности без дефицита внимания.

Чаще всего встречается первый вариант заболевания - сочетание гиперактивности и невнимательности. Вторым по распространённости является невнимательный вариант без гиперактивности. Он встречается гораздо чаще у девочек, чем у мальчиков и отличается своеобразным уходом в свои фантазии и мечтания, то есть ребёнок в течение дня может периодически витать в облаках.

Наконец, третий гиперактивный вариант без нарушения внимания может с одинаковой степенью вероятности быть проявлением определённых нарушений центральной нервной системы и также индивидуальными свойствами темперамента. Кроме того, нарушением внимания страдают дети с неврозами и невротическими реакциями. Другие заболевания также могут сопровождаться подобными нарушениями.

Этиология СДВГ не установлена, но общепринятыми заключениями являются заключения о том, что в развитии и проявлении СДВГ играют роль как генетические, так и средовые факторы.

Чрезвычайно важно также отметить роль средовых факторов в развитии СДВГ. Среди этих факторов можно выделить «первичные» факторы, которые связаны с этиологией синдрома (например, родовые травмы, ранние травмы головного мозга и т.п.) и «вторичные» факторы, которые связаны с протеканием синдрома (например, атмосфера в семье, родительские воспитательные способности, травмирующие жизненные события или отношения со сверстниками, склонными к асоциальному поведению). Важно помнить, что генетические предпосылки к развитию СДВГ проявляются во взаимодействии со средой и могут этой средой амплифицироваться или подавляться.

В современной литературе традиционно указывается на то, что СДВГ - одна из самых распространенных форм нарушений поведения у детей. Важно отметить, что единого «теста» для установления диагноза СДВГ не существует; соответственно, диагноз СДВГ устанавливается на основе критериев, дополненных экспертными заключениями специалистов нескольких профилей (например, психологов, и педиатров).

При использовании опросников в «группу с СДВГ» могут попасть дети с определенными особенностями темперамента или когнитивными характеристиками, которые могут перекрываться с СДВГ (т.е. походить на СДВГ, например, плохое поведение на уроке), но не характеризовать это расстройство. Например, невнимательность на уроке может быть вызвана многими разными причинами, среди которых может быть как СДВГ, так и разные типы неспособностей к обучению (дислексия, дискалькулия и т.п.).

В России также проведено несколько исследований по распространенности СДВГ. В результате были получены чрезвычайно высокие по сравнению с мировыми показатели встречаемости СДВГ: 28,1% для выборки в целом (34,4% для мальчиков и 21,7% для девочек). Считается, что СДВГ преобладает у мальчиков. [8] В генеральной популяции, примерно 9% мальчиков и мужчин и 3% девочек и женщин показывают симптоматику, характерную для этого синдрома. Во Владимире и Владимирской области симптомы СДВГ встречались в 3 раза чаще у мальчиков, чем у девочек.

Этиология возникновения СДВГ не установлена. СДВГ считается сложным расстройством развития биологической природы. Мнение большинства авторов, изучавших проблему СДВГ в последние годы, согласуется в части того, что при этом виде патологии у детей имеется ряд особенностей церебральных структур и функций, в особенности это касается поражения префронтально-стриато-таламокортикальных структур. Весьма вероятным считается вовлечение в патологический процесс спускающихся проекций нейронов определенных типов. Предполагается, что эта определённая биологическая «подпись» заболевания может сформироваться в результате воздействия и взаимодействия генетических и средовых факторов.

Сегодня предполагается, что СДВГ является полигенным расстройством, в развитие и манифестацию которого включены множественные гены.

Наряду с генетической предрасположенностью существенная роль в развитии СДВГ отводится средовым медико-биологическим факторам и социально-психологическим факторам. Средовые факторы, предположительно или верифицированно оказывающие влияние на формирование СДВГ, можно условно разделить, во-первых, на эндогенные и экзогенные, а во-вторых, на пренатальные (до рождения) и постнатальные (после рождения). Подобное деление в ряде случаев оказывается условным.

Среди пренатальных факторов, способствующих возникновению СДВГ, называются следующие: наличие абортов в анамнезе матери, токсикозы, обострение хронической патологии и перенесенные острые заболевания во время беременности.

Одним из пренатальных факторов риска СДВГ, кроме вышеперечисленных, эти авторы называют также иммунологическую несовместимость по резус-фактору.

Контакт матери во время беременности с токсическими веществами часто вызывает развитие у ребенка СДВГ.

Среди перинатальных факторов, связанных с синдромом, выделяют преждевременные, быстрые или затяжные роды, родовые осложнения, связанные с неправильным положением плода, обвитие пуповины, преждевременное излитие околоплодных вод, родостимуляцию, инфицирование плода в родах, родовую травму и асфиксию плода.

Одним из биологических факторов, определяющих развитие СДВГ, является возраст родителей. Риск возникновения синдрома выше, если возраст матери во время беременности превышал тридцать лет, отца - тридцать девять лет.

Вероятность развития СДВГ также связана с массой тела ребенка при рождении. Риск развития синдрома увеличивается при низкой (менее 3000 г) и высокой (более 4000 г) массе тела при рождении. Фактор малого веса, однако, не является специфичным фактором риска для СДВГ, а является общим фактором риска для целого набора расстройств развития.

Риск развития СДВГ у детей в результате курения, употребления алкоголя или перенесенного психологического стресса во время беременности подтверждается данными разных авторов.

Итак, ведущая роль в возникновении СДВГ у детей пре- и перинатальной патологии наряду с генетической обусловленностью отмечается большинством авторов. Однако какие именно факторы, в какой степени и в каком сочетании являются причиной синдрома - достоверно не установлено.

В постнатальном периоде СДВГ может развиваться у детей в результате травм головы, нарушающих деятельность мозга. Сильные ушибы, сотрясения головного мозга могут провоцировать развитие синдрома.

К нейробиологические факторам, способствующим возникновению СДВГ, можно отнести следующие:

Дисфункция нейромедиаторных систем мозга. В основе лежит гипотеза, выдвигающая в качестве основной дисфункции нейрохимические нарушения.

Нейромедиаторы - это общее название биологических веществ, которые выделяются нервными окончаниями и обеспечивают проведение нервных импульсов в синапсах. При СДВГ в определенных частях мозга может возникать дефицит нейромедиаторов, и в результате, некоторые сигналы не передаются нервными клетками. При СДВГ уровень нейромедиаторов может меняться. Это проявляется в том, что характерные симптомы то усиливаются, то ослабляются.

Нарушение функционирования ретикулярной формации, обеспечивающей головной мозг необходимой энергией, координирующей обучение и память, обработку поступающей информации и спонтанное поддержание внимания. Считается, что биохимическая причина нарушения - низкий уровень норадреналина в данном участке мозга.

По мнению М.И. Лохова, Ю.А. Фесенко и Л.П. Рубиной, в основе этиологии СДВГ лежит нарушение взаимодействия хвостатого ядра и фронтальной коры, вызванное, по-видимому, дисбалансом дофамина и норадреналина [16]. Для компенсации этого дисбаланса организм вынужден прибегать к своеобразной стимуляции коры головного мозга через двигательные центры, что и приводит к синдрому гиперактивности. Таким образом, повышенная двигательная активность служит своеобразным защитным механизмом, поддерживающим определенное функциональное взаимодействие между структурами мозга, ответственными за его нормальное развитие.

Исследования с помощью томографии позволяют говорить о вовлечении лобных долей в паталогические процессы, обусловленные СДВГ. Лу, используя фотонно-эмиссионную компьютерную томографию для измерения церебрального кровотока, обнаружил снижение кровообращения и низкую нейрональную активность в стриарной и префронтальной орбитальной зонах у детей с СДВГ по сравнению с контрольной группой, в то время как в первичных сенсорной и сенсомоторной зонах было отмечено повышение кровотока.

В исследованиях Сэттерфилда, использовавшего ЭЭГ методики картирования электрической активности мозга (BEAM), получены сходные с результатами Лу данные о нарушении процессов обработки информации в лобных долях у детей с СДВГ.

Наконец, Заметкин и др., изучая взрослых с признаками гиперактивности в детском возрасте, обнаружил снижение обмена глюкозы в различных участках мозга, в особенности в премоторной и верхней префронтальной зонах, связанных с регуляцией внимания, двигательной активностью и обработкой информации.

О верности выводов также говорит сходство симптомов СДВГ с симптоматикой и поведением "лобных больных". В обоих случаях имеет место трудности планирования и организации своей деятельности, нарушение активного внимания.

Такие заболевания, как астма, частые пневмонии, сердечная недостаточность, нефропатии, нарушение обмена веществ, аллергизация, перенесенные инфекции, менингит, энцефалит, аутоиммунные заболевания увеличивают риск развития СДВГ.

Важную роль в формировании особенностей течения и проявления синдрома играют социально-психологические факторы, в т.ч. внутрисемейные отношения и материально-бытовые условия семьи ребенка. Психологический микроклимат в семье в сильной степени влияет на развитие СДВГ, динамику и степень выраженности симптомов заболевания.

Многие авторы выявили связь между гиперактивностью и аффективными нарушениями у детей и алкоголизмом и антисоциальным поведением родителей и родственников первой степени родства, семейными конфликтами, низким социальным статусом родителей и большим размером семьи.

Тем не менее, большинство исследователей, изучавших проблему СДВГ у детей и взрослых, сходятся во мнении, что единую причину возникновения заболевания выявить не удается и, похоже, не удастся, и проявления синдрома, отражающие повреждения центральной нервной системы на разных стадиях ее развития, возникают под влиянием целого ряда факторов, причин и условий, действующих в комплексе и взаимосвязи.

1.2 Нейробиологические основы СДВГ

психологический дефицит внимание гиперактивность

СДВГ объединяет группу нарушений, многие из которых до недавнего времени нередко расценивались как чисто поведенческие и не имеющие прямого отношения к медико-биологической проблематике. Подобная позиция в настоящее время может считаться пересмотренной, поскольку для нарушений, составляющих клиническую картину СДВГ, объективно установлены нейробиологический генез и (частично) патогенез. Эти данные основаны на результатах многочисленных исследований, проводимых в различных странах с использованием междисциплинарных и узкоспецифических методов.

Исследования последних двух десятилетий были направлены на поиск специфических отклонений, которые могут выступать в роли признаков СДВГ и указывать на патологические механизмы его развития. Общий вывод этих исследований заключается в том, что, хотя такие специфические отклонения присутствуют, они затрагивают тонкие структурные и функциональные элементы деятельности мозга и обнаруживаются не у всех пациентов. Несмотря на то, что эти отклонения не могут быть использованы для диагностических целей, их изучение помогает исследователям лучше понять биологические основы СДВГ, его этиологию и патогенез. Учитывая важность этих исследований, приведем их краткие результаты ниже.

Исследования методом магнито-резонансной компьтерной томографии (МРТ), проведенные с использованием сравнительного морфометрического анализа головного мозга здоровых и страдающих СДВГ детей, позволили выявить у последних несколько меньшие размеры общего объема головного мозга, префронтальных отделов лобных долей коры головного мозга (особенно в правом полушарии), хвостатого ядра, а также мозолистого тела, особенно в областях колена и валика, где проходят волокна, связывающие лобные, затылочные, височные и теменные доли [17]. Кроме того, в литературе есть свидетельства нарушения ассиметрии определенных разделов головного мозга, которая характерна для нормального головного мозга (например, право-лево ассиметрии полушарии и хвостатого ядра и белого тела). На основе этих и других результатов предполагается, что отклонения в процессе кортикогенеза могут быть причиной СДВГ.

Исследования с применением методов функциональной нейровизуализации (ОФЭКТ) показали у детей с СДВГ снижение локального мозгового кровотока в лобной коре и базальных ганглиях (полосатом теле). Данные, полученные методом позитронно-эмульсионной томографии (ПЭТ), указывают на снижение метаболической активности (снижение потребления глюкозы) в базальных ганглиях и префронтальной коре и повышение метаболической активности в сенсомоторных областях [24].

Данные МРТ, ОФЭКТ, ПЭТ указывают на вовлечение в патогенетические механизмы СДВГ структур системы «ассоциативная кора - базальные ганглии - таламус - кора», отвечающей за внимание и организацию поведения. Вместе тем с эти исследования показали, что различия в структуре мозга и метаболической активности больных СДВГ и здоровых детей являются статистически значимыми только для относительно большой выборки пациентов с СДВГ. Таким образом, как и указывалось выше, методы МРТ и ПЭТ оказываются непригодными для практического использования в диагностике.

Нейрохимические исследования позволяют говорить о присутствии у больных СДВГ сдвигов концентрации различных нейромедиаторов и связанных с ними биоэлементов [17]. В то же время в исследованиях на животных (в первую очередь на крысах) были получены подтверждения важной роли, которую играют такие нейромедиаторы, как дофамин и серотонин лобных долей коры головного мозга, в модуляции внимания и контроле поведенческих реакций.

Электроэнцефалографические исследования с применением методов количественной электроэнцефалограммы (ЭЭГ) позволили получить интересные результаты. В контексте понимания СДВГ в России, особенно значимыми являются результаты отечественных исследований [13].

Во многих исследованиях у пациентов с СДВГ в сравнении со здоровыми детьми было показано усиление медленноволновой активности преимущественно в лобных областях головного мозга: более высокая амплитуда и низкая частота затылочного альфа-ритма. Исследователи предполагают, что замедление биоэлектрической активности мозга особенно в передних отделах у больных СДВГ может свидетельствовать о задержке созревания ЦНС, в первую очередь о нарушении формирования префронтально-стриатумной системы.

Эти предположения нашли подтверждение в нескольких исследованиях по возрастной динамике компонентов ЭЭГ, показавших, что формирование биоэлектрической активности головного мозга в онтогенезе у детей с СДВГ существенно отличается от закономерностей ее становления в норме.

В ряде работ в ЭЭГ детей с гиперактивностью были обнаружены также признаки ослабления реакции активации регуляторных систем ЦНС, что проявляется в виде высокого индекса и амплитуды активности альфа-диапазона во всех отведениях и низкого уровня бета-активности.

Снижение индекса бета-активности (в первую очередь низкочастотной) было отмечено и в других исследованиях больных с СДВГ. Методом количественного анализа ЭЭГ у больных СДВГ выявлено в сравнении со здоровыми детьми снижение выраженности бета-активности в узком частотном диапазоне - 14-20 Гц (бета1-диапазон) и повышение представленности тета-активности - 5-7 Гц. Изменения достигают максимума в лобных и центральных областях головного мозга. На основании таких наблюдений разработан метод лечения СДВГ - метод биологической обратной связи, который заключался в произвольном подавлении пациентом тета-активности и индукции активности бета1-диапазона.

Одной из особенностей ЭЭГ детей с СДВГ являются нарушения сенсомоторных ритмов. В ряде исследований показан дефицит сенсомоторного ритма альфа-диапазона и увеличение выраженности медленного сенсомоторного ритма, что может свидетельствовать о нарушениях процессов тормозного контроля в системе сенсомоторного анализатора, приводящих к его повышенной активации. Предполагается, что проявления СДВГ могут быть обусловлены дефицитом торможения в сенсомоторной системе, как на уровне корковых структур (лобной доли), так и на уровне подкорковых образований (хвостатое ядро), приводящим к повышенной активации сенсомоторной коры.

Таким образом, несмотря на большое количество работ по нейрофизиологическим и нейробиохимическим основам патогенеза СДВГ, имеется еще много неясностей. Возможно, это обусловлено гетерогенностью этого расстройства, т.е. отдельные его формы имеют разные причины и патогенез.

1.3 Психологические особенности детей 6 -7 лет

В возрасте 6-7 лет ребенок находится на границе между старшим дошкольным и младшим школьным возрастом. По мнению Д.Б. Эльконина, именно в достижении ребенком социальной зрелости, как непременного условия успешного вхождения в учебную деятельность, заключена важнейшая роль дошкольного периода. В этой связи последний год дошкольной жизни - от 6 до 7 лет - приобретает особую психологическую «ценность». В это время происходит интенсивное биологическое развитие детского организма (центральной и вегетативной нервных систем, костной и мышечной систем, деятельности внутренних органов). В основе такой перестройки (ее еще называют вторым физиологическим кризом) лежит отчетливый эндокринный сдвиг - включаются в действие «новые» железы внутренней секреции и перестают действовать «старые». Хотя физиологическая сущность этого криза еще полностью не определена, по мнению ряда ученых примерно в возрасте 7 лет прекращается активная деятельность вилочковой железы, в результате чего снимается тормоз с деятельности половых и ряда других желез внутренней секреции, например, гипофиза и коры надпочечников, что дает старт выработке таких половых гормонов, как андрогены и эстрогены. Такая физиологическая перестройка требует от организма ребенка большого напряжения для мобилизации всех резервов. [27]

В этот период возрастает подвижность нервных процессов, процессы возбуждения преобладают, и это определяет такие характерные особенности младших школьников, как повышенную эмоциональную возбудимость и непоседливость.

К 7 годам морфологически созревают лобные отделы больших полушарий головного мозга, что создает основу для большей, чем у дошкольников, гармонии процессов возбуждения и торможения, необходимой для развития целенаправленного произвольного поведения. Растущая физическая выносливость, повышение работоспособности носят относительный характер, и в целом для детей остается характерной повышенная утомляемость и нервно-психическая ранимость. Это проявляется в том, что их работоспособность обычно резко падает через 25- 30 минут после начала урока и после второго урока. Дети утомляются в случае посещения группы продленного дня, а также при повышенной эмоциональной насыщенности уроков и мероприятий.

Физиологические трансформации вызывают большие изменения в психической жизни ребенка. В центр психического развития выдвигается формирование произвольности (планирования, выполнения программ действий и осуществления контроля). Происходит совершенствование познавательных процессов (восприятия, памяти, внимания), формирование высших психических функций (речи, письма, чтения, счета), что позволяет ребенку младшего школьного возраста производить уже более сложные, по сравнению с дошкольником, мыслительные операции. При благоприятных условиях обучения и достаточном уровне умственного развития на этой основе возникают предпосылки к развитию теоретического мышления и сознания. Под руководством учителя дети начинают усваивать содержание основных форм человеческой культуры (науки, искусства, морали) и учатся действовать в соответствии с традициями и новыми социальными ожиданиями людей. Именно в этом возрасте ребенок впервые отчетливо начинает осознавать отношения между ним и окружающими, разбираться в общественных мотивах поведения, нравственных оценках, значимости конфликтных ситуаций, то есть постепенно вступает в сознательную фазу формирования личности. [22]

С приходом в школу изменяется эмоциональная сфера ребенка. С одной стороны, у младших школьников, особенно первоклассников, в значительной степени сохраняется характерное и для дошкольников свойство бурно реагировать на отдельные, задевающие их, события и ситуации. Дети чувствительны к воздействиям окружающих условий жизни, впечатлительны и эмоционально отзывчивы. Они воспринимают прежде всего те объекты или свойства предметов, которые вызывают непосредственный эмоциональный отклик, эмоциональное отношение. Наглядное, яркое, живое воспринимается лучше всего. С другой стороны, поступление в школу порождает новые, специфические эмоциональные переживания, т. к. свобода дошкольного возраста сменяется зависимостью и подчинением новым правилам жизни. Ситуация школьной жизни вводит ребенка в строго нормированный мир отношений, требуя от него организованности, ответственности, дисциплинированности, хорошей успеваемости. Ужесточая условия жизни, новая социальная ситуация у каждого ребенка, поступившего в школу, повышает психическую напряженность. Это отражается и на здоровье младших школьников, и на их поведении.

Поступивший в школу ребенок становится крайне зависимым от мнений, оценок и отношений окружающих его людей. Осознание критических замечаний в свой адрес влияет на его самочувствие и приводит к изменению самооценки. Если до школы некоторые индивидуальные особенности ребенка могли не мешать его естественному развитию, принимались и учитывались взрослыми людьми, то в школе происходит стандартизация условий жизни, в результате чего эмоциональные и поведенческие отклонения личностных свойств становятся особенно заметными. В первую очередь обнаруживают себя сверхвозбудимость, повышенная чувствительность, плохой самоконтроль, непонимание норм и правил взрослых. Все больше растет зависимость младшего школьника не только от мнения взрослых (родителей и учителей), но и от мнения сверстников. Это приводит к тому, что он начинает испытывать страхи особого рода: что его посчитают смешным, трусом, обманщиком или слабовольным. Как отмечает А. И. Захаров, если в дошкольном возрасте преобладают страхи, обусловленные инстинктом самосохранения, то в младшем школьном возрасте превалируют социальные страхи как угроза благополучию индивида в контексте его отношений с окружающими людьми.

В большинстве случаев ребенок приспосабливает себя к новой жизненной ситуации, и в этом ему помогают разнообразные формы защитного поведения. В новых отношениях со взрослыми и со сверстниками ребенок продолжает развивать рефлексию на себя и других. При этом, добиваясь успеха или терпя поражение, он может, по образному выражению В. С. Мухиной, попасть «в капкан сопутствующих негативных образований», испытывая чувство превосходства над другими или зависть. В то же время развивающаяся способность к идентификации с другими помогает снять напор негативных образований и развить принятые позитивные формы общения. [20]

Таким образом, поступление в школу ведет не только к формированию потребности в познании и признании, но и к развитию чувства личности. Ребенок начинает занимать новое место внутри семейных отношений: он - ученик, он - ответственный человек, с ним советуются и считаются. Усвоение норм поведения, выработанных обществом, позволяет ребенку постепенно превратить их в свои собственные, внутренние, требования к самому себе.

1.4 Психологические особенности детей 6-7 лет с СДВГ

Дети, страдающие синдромом гиперактивности, имеют специфические психологические особенности, определяющие их поведение и взаимодействие с социальным окружением. Ключевыми симптомами, свидетельствующими о наличии СДВГ, являются: дефекты концентрации внимания, гиперактивность и импульсивность. [14]

Нарушения внимания включают:

) неспособность сохранять внимание: ребенок не может выполнить задание до конца, несобран при его выполнении;

) снижение избирательного внимания, неспособность надолго сосредоточиться на предмете;

) частые забывания того, что нужно сделать;

) повышенная отвлекаемость, повышенная возбудимость: дети суетливы, неусидчивы, часто переключаются с одного занятия на другое;

) еще большее снижение внимания в непривычных ситуациях, когда необходимо действовать самостоятельно. Учителя и родители жалуются, что ребенок нигде не проявляет упорства - ни в учебе, ни в играх.

Гиперактивность - это спонтанная повышенная двигательная активность, чрезмерная для данного возраста. Из-за отсутствия объективных критериев оценки уровень активности ребенка сравнивается с усидчивостью на школьных уроках. Гиперактивность может выражаться в речи. Важно не перепутать повышенную речевую активность при СДВГ с маниакальным состоянием при биполярном расстройстве. Этот симптом вводит в заблуждение многих родителей и некоторых врачей.

Импульсивность при СДВГ настолько выражена, что становится основой для социально неприемлемых форм поведения. Неспособность ребенка контролировать импульсы в соответствии с возрастом усугубляет впечатление незрелости. Некоторые исследователи классифицируют импульсивность как синдром растормаживания. Поведение, связанное с расстройством контроля импульса, часто сопровождается СДВГ, который будет в таких случаях ошибочно диагностирован как оппозиционно-вызывающее поведение. Признаки импульсивности могут принимать разнообразные формы. Выделены понятия: «когнитивная импульсивность», что отражает дезорганизованность, необдуманность и поспешность выполнения мыслительных занятий и «поведенческая импульсивность», что характеризует поспешность действий и неспособность тормозить, подавлять спонтанные реакции. Когнитивная и поведенческая импульсивность предшествуют проблемам со школьной обучаемостью, однако лишь «поведенческая импульсивность» предшествует асоциальному поведению, поэтому может быть специфическим предиктором оппозиционно-вызывающего поведения и других поведенческих проблем.

Равновесие и вестибулярная чувствительность занимают одно из ведущих мест в развитии грубой моторики ребенка. Отклонения в вестибулярной чувствительности проявляются как сверчувствительность или как низкая чувствительность. Сверчувствительность - это гравитационная неуверенность. Дети со сверхчувствительным вестибулярным аппаратом не переносят быстрых поворотов головы или езды на автомобиле. При низкой вестибулярной чувствительности ребенок, наоборот, слишком хорошо переносит верчения, кручения и раскачивания. Для таких детей раскачивание на качелях, верчение на карусели или на канцелярском стуле - это естественное состояние. [2]

Так же при СДВГ выявляются нарушения координации. Это могут быть нарушения тонких движений (завязывание шнурков, пользование ножницами, раскрашивание, письмо), равновесия (детям трудно кататься на роликовой доске и двухколесном велосипеде), зрительно-пространственной координации (неспособность к спортивным играм, особенно с мячом). Эти дети имеют хронические трудности моторной координации, не позволяющие им легко и просто выполнять ежедневные бытовые задачи также искусно, как это делают их здоровые сверстники.

Нарушения координации крупной моторики выявлены примерно в половине случаев СДВГ. Слабая моторная координация проявляется в беспорядочных хаотических движениях. Несмотря на то, что сама по себе грубая моторика у детей с СДВГ развита хорошо, они испытывают значительные трудности в выполнении движений, требующих высокой степени автоматизма. Это, например, повороты рук вовнутрь и наружу или быстрые попеременные движения.

У детей и взрослых с СДВГ можно наблюдать сенсорную сверчувствительность, особенно к прикосновениям, даже очень легким. Раздражать могут ярлычки на одежде, сама одежда из шерсти или синтетических материалов, складки и неровности на простыне, резинки на поясе или рукавах одежды, тесные ботинки.

Липкая поверхность, грязь или земля на руках или других участках кожи могут казаться непереносимыми.

Взрослые и дети с тактильной сверхчувствительностью не переносят объятий при встрече. Если объятия затягиваются, у таких людей начинается паника и приступы клаустрофобии.

Некоторых детей могут раздражать звуки тикающих часов или звук работающего в другой комнате телевизора. Звуки кажутся очень громкими. Очень сложно отфильтровать фоновый шум. Например, сложно сосредоточиться на каком - то задании, когда на кухне капает из крана вода.

Некоторые чувствуют запахи, источник которых находится довольно далеко. Раздражает запах лука, чеснока, различных специй или же духов и лака для ногтей. У таких детей очень часто имеются различные аллергические реакции.

Дети с СДВГ, страдающие сверхчувствительностью очень часто избирательны в еде. Они, например, могут кушать только пищу с определенной текстурой и не переносить остальные продукты.

Очень часто вместе с гиперчувствительностью встречается низкая чувствительность к холоду или боли, а также пониженная чувствительность к стимулированию вестибулярного аппарата.

Ребёнок может не замечать царапины и не реагировать на ушибы, легче переносить боль, если он ударится. В холодное время года такие дети бегают без шапок и перчаток, с расстегнутыми куртками и пальто. Дома, когда всем остальным членам семьи температура кажется комфортной, ребёнку может быть жарко и он хочет ходить по дому в одном белье.

Пониженная вестибулярная чувствительность проявляется в раскачивании качель на рискованно большую высоту. Такие дети очень любят кружиться на каруселях или в креслах. Им это доставляет удовольствие, потому что они это легко переносят и заодно стимулируют себя вестибулярными ощущениями. Также, некоторыми специалистами отмечается, что дети с СДВГ любят кружиться или залазить повыше, потому что они хотят лучше почувствовать свое тело. [22]

Мотивационная сторона деятельности у детей с СДВГ всегда страдает. Такому ребенку не хватает побуждений, чтобы начать деятельность или ее продолжить. Его должно что-то очень сильно заинтересовать, чтобы он мог этим заниматься довольно долго и продуктивно.

Эмоциональные нарушения при синдроме нарушения внимания с гиперактивностью наблюдают часто. Эмоциональное развитие ребенка, как правило, запаздывает, что проявляется неуравновешенностью, вспыльчивостью, нетерпимостью к неудачам.

Аффективная лабильность и неустойчивость к фрустрации сохраняются у школьника со времени раннего детства: он плачет по пустякам, моментально приходит в ярость, его настроение внезапно меняется, изливаясь в потоке непристойных, провокационных, агрессивных слов. Ребенком овладевает хроническое недовольство на фоне ощущения себя несчастным. Это фоновое настроение скрывается за наигранной беззаботностью. Проявляемая им агрессивность обостряет положение ребенка в социальной среде.

Из-за недостаточной внимательности мимика и жестикуляция сверстников остаются для него вне поля зрения или превратно истолковываются. Это влечет за собой ошибочные реакции, часто сопровождаемые ругательствами или рукоприкладством. Такое поведение, естественно, лишь усугубляет социальную изоляцию.

У ребенка с СДВГ может развиваться депрессивное состояние на фоне низкой самооценки, помноженной на неприятие в кругу сверстников. Ребенок может проявлять мало интереса к жизни, спать меньше или наоборот больше, чем раньше. [18]

По данным исследований 25% детей с СДВГ имеют повышенный или высокий уровень тревожности. Если обнаруживается, что ребенок тревожен, то его состояние может быть обусловлено неуверенностью и сомнениями в своих силах и неумением эффективно строить отношения с другими людьми, особенно со сверстниками. Дети с СДВГ гораздо хуже адаптируются в новой обстановке и более подвержены воздействию негативных стресс-факторов. Это тоже увеличивает тревожный фон настроения ребенка.

Отклоняющееся поведение проявляется в том, что дети бывают агрессивными, взрывчатыми, импульсивными. Импульсивность остается сквозной чертой. Такие дети склонны к правонарушениям, к различным формам группирования, так как подражать плохому поведению легче, чем хорошему. А так как воля, высшие эмоции и высшие потребности не дозрели, то жизнь складывается таким образом, что идут уже личностные проблемы.

Отношения с окружающими. Как правило, нарушены отношения и со сверстниками, и со взрослыми. В психическом развитии дети с синдромом нарушения внимания с гиперактивностью отстают от сверстников, но стремятся руководить. Поэтому у них мало друзей. Причина одиночества в этом случае другая, чем при тревожных расстройствах и шизоидном складе личности, когда дети боятся общения. Напротив, дети с синдромом нарушения внимания с гиперактивностью - экстраверты: они ищут друзей, но быстро теряют их. Из-за неприязни со стороны сверстников, из-за стремления верховодить они вынуждены общаться с самыми «покладистыми» или с младшими детьми.

С поступлением ребенка в школу требования к нему существенно возрастают. Он должен вписаться в коллектив класса, а это требует подчинения определенным условиям. Если ребенку в отношениях с одним-двумя партнерами еще как-то удается следовать простым правилам, то в большой группе детей, например во время коллективной игры, данная задача оказывается ему не по силам.

Он пытается по-своему изменить правила, и если другие его не поддерживают, то возникает ссора. Уже очень скоро товарищи отказываются следовать требованиям своего гиперактивного сверстника, тем более что сами они принимают действующие условия. Беда в том, что этому ребенку попытки соблюдать правила не удаются. В отчаянии он начинает плакать, за что товарищи его высмеивают.

Такие дети не могут играть в коллективные игры, они не знают покоя, постоянно дергаются, ерзают, перебегают с места на место. Стоит им только где-то появиться, как тотчас возникает ссора. Родителям делают замечания: ребенок их невоспитан, плохо себя ведет. Дают совет: «Надо быть к нему строже».

Трудно складываются и отношения со взрослыми. На детей, страдающих синдромом нарушения внимания с гиперактивностью, обычные наказания и поощрения не действуют. И родители, и учителя жалуются, что, несмотря на все наказания, ребенок продолжает вести себя плохо. Выполнение домашнего задания особенно трудно для этих детей. Они забывают записать его или оставляют его в школе. Забывают принести учебник или приносят не тот. Если все-таки домашняя работа выполнена, она полна ошибок и помарок. С другой стороны, ни ласка, ни похвала не стимулируют хорошее поведение - более того, поощрения должны быть очень весомыми, иначе ребенок будет вести себя хуже. Именно «невоспитуемость» в сочетании с импульсивностью - основной повод обращения родителей к психиатру. Вообще же синдром нарушения внимания с гиперактивностью - нередкая причина «плохого поведения». Нелеченный синдром нарушения внимания с гиперактивностью - частая причина исключения из школы.

Многие дети, страдающие синдромом нарушения внимания с гиперактивностью, плохо учатся в школе, несмотря на нормальный IQ. Возможные причины - невнимательность, отсутствие упорства, нетерпимость к неудачам. Кроме того, у детей с синдромом нарушения внимания с гиперактивностью часто встречаются парциальные задержки развития, в том числе - школьных навыков (письма, счета, чтения). Их основной признак - несоответствие между реальной успеваемостью и той, которую можно ожидать исходя из IQ. Поскольку и успеваемость, и IQ поддаются измерению, то на их основе можно вывести численный критерий парциальной задержки развития школьных навыков. Обычно таким критерием считают отставание навыков от должных не менее чем на 2 года. Например, четвероклассник с IQ = 100 (то есть, соответствующим уровню 4 класса) читает, как второклассник. Парциальные задержки развития школьных навыков наблюдаются не только при синдроме нарушения внимания с гиперактивностью, но сочетаются с ним очень часто.

В тех случаях, когда при обследовании исключены расстройства восприятия, психологические и социальные преграды, низкий интеллект и плохое преподавание, причина плохой успеваемости - скорее всего, синдром нарушения внимания с гиперактивностью (возможно, в сочетании с парциальной задержкой развития школьных навыков). При обследовании неуспевающего ребенка с синдромом нарушения внимания с гиперактивностью особое внимание уделяют школьным навыкам (при обычном психологическом исследовании их обычно не проверяют).

Поведенческие расстройства при синдроме нарушения внимания с гиперактивностью наблюдаются часто, но не всегда; кроме того, не у всех детей с поведенческими расстройствами имеется синдром нарушения внимания с гиперактивностью.

У детей с синдромом нарушения внимания с гиперактивностью чаще бывает ночное недержание мочи, они хуже засыпают, а утром часто бывают сонливы.

При СДВГ негативному воздействию подвергается сфера формирования интересов и потребностей. В условиях, когда ребенок/подросток становится изгоем в семье и лишается поддержки, может вырасти человек с неправильными моральными ориентирами. [3]

Часто гиперактивность сочетается с недостаточной сформированностью мелкой моторики и навыков самообслуживания. Нарушения эмоциональной сферы у детей с СДВГ характеризуются импульсивностью, чрезмерной возбудимостью, раздражительностью, повышенным уровнем тревожности, частой сменой настроения и подверженностью депрессии. Школьные нагрузки часто приводят к срыву компенсаторных механизмов ЦНС и развитию синдрома школьной дезадаптации. Проявления СДВГ многообразны и этот список можно продолжать и дальше (по данным литературы, отмечается до 100 особенностей).

Прогноз заболевания зависит от выраженности симптомов, своевременной постановки диагноза и проведения восстановительного лечения. Специалисты отмечают, что симптомы СДВГ могут сохраняться и во взрослой жизни. Среди подростков с СДВГ наркомания, алкоголизм и правонарушения распространены в большей степени, чем среди здоровых сверстников. Лишь 15% детей с СДВГ (против 50% в контрольной группе) заканчивает школу. Дефицит внимания, импульсивность, социальная неадекватность, чувство низкой самооценки сохраняются в течение всей жизни. Так симптомы детского расстройства становятся причиной неудач в личной жизни и профессиональной карьере.

Хотя в течение длительного времени предполагали, что проявления СДВГ постепенно ослабевают и прекращаются в подростковом возрасте (Ковалев В.В. 1979; 1985), в настоящее время можно считать установленным, что это расстройство сохраняется у значительного числа пациентов с СДВГ и в подростковом, и во взрослом возрасте. [11]

Существует несколько сценариев развития СДВГ:

. Со временем симптомы СДВГ исчезают и дети становятся подростками, взрослыми без отклонений от нормы. Анализ результатов большинства исследований свидетельствует о том, что от 25 до 50% детей “перерастают” этот синдром.

. Симптомы в различной степени тяжести продолжают оставаться, но без признаков развития психопатологии. Таких детей большинство (от 50% и более). У них наблюдаются проблемы в их повседневной жизни. По данным опроса, их постоянно сопровождает чувство “нетерпеливости и неугомонности”, импульсивность, социальная неадекватность, чувство низкой самооценки в течение всей жизни. Имеются сообщения о большей частоте несчастных случаев, разводов, перемены мест работы у этой группы людей.

. Развиваются тяжелые осложнения у взрослых в виде личностных или антисоциальных изменений, алкоголизма и даже психотических состояний.

Антисоциальное поведение проявляется широким спектром нарушений, вплоть до серьезного криминала.

Таким образом, прогноз для детей с синдромом дефицита внимания с гиперактивностью - тревожный, а перспективы довольно мрачные. В подобной ситуации нельзя надеяться на то, что дети “перерастут” свое состояние. Поэтому существует необходимость в дальнейшей разработке способов диагностики, адаптированным к нашим условиям.

Дети с синдромом гиперактивности имеют достаточно развитые компенсаторные механизмы, для включения которых должны соблюдаться определенные условия:

         обеспечение родителями и учителями эмоционально-нейтрального развития и обучения;

         соблюдение режима, достаточное время для сна;

         обучение по личностно-ориентированной программе без интеллектуальных перегрузок;

         соответствующая медикаментозная поддержка;

         разработка индивидуальной помощи ребенку со стороны невролога, психолога, педагога, родителей;

         своевременная нейропсихологическая коррекция.

1.5 Особенности памяти и внимания здоровых детей и детей с СДВГ в возрасте 6-7 лет

В отличие от здоровых детей, детям с СДВГ трудно поддерживать умственное напряжение во время игры или другой какой-либо деятельности. Эти дети автоматически обращают внимание на то, что им нравится, но у них возникают значительные трудности, когда им нужно сконцентрировать внимание на новых или неинтересных, повторяющихся занятиях. Такой ребенок не слушает или не хочет слушать, не завершает работу или задание, он неорганизован, легко отвлекается и быстро теряет интерес к утомительным занятиям. Дети с СДВГ отвлекаются больше других детей на яркие и привлекательные, посторонние стимулы, присутствующие в заданиях, которые они выполняют.

Главный дефицит внимания при СДВГ - недостаток непрерывности внимания, и он рассматривается как один из основных критериев расстройства. Недостаток внимания снижает успеваемость по всем предметам, в то время как специфические неспособности к обучению (например, дислексия или дискалькулия) связаны с нарушением определенных областей школьной программы или с выполнением специфических действий (счет, письмо и пр.). Хотя эффекты неспособности научения всегда присутствуют, неуспеваемость из-за дефицита внимания связана с элементами школьной дезадаптации, но проявляется по-другому. У ребенка бывают «хорошие» и «плохие» дни (или более короткие периоды), которые затрудняют интерпретацию поведения. Ребенок с СДВГ очень изменчив. В начале обучения у детей преобладает непроизвольное внимание, поэтому способность сосредоточиться напрямую связана с тем, насколько ребенку интересна выполняемая работа. Чем больше первоклассники вовлечены в активную деятельность, тем устойчивее их внимание.

Учащиеся 1-ых классов не могут сохранять активное внимание более 10 минут, следовательно, через такие промежутки времени необходимо менять вид деятельности.

Формулируя задания для первоклассников, нужно учитывать, что объем их внимания еще очень невелик - всего 2-3 объекта. Следовательно, наиболее эффективная помощь в организации детьми своей работы - пошаговое управление, предъявление коротких и четких инструкций.

Дефекты концентрации внимания являются причиной плохого выполнения заданий на уроках в школе. По описаниям учителей, дети с СДВГ способны сохранять внимание не более нескольких минут. Вместе с тем, показатели внимания детей с СДВГ также подвержены существенным колебаниям. Родители часто сообщают о том, что во время занятий и игр, с которыми детям удается успешно справляться, они могут удерживать внимание на этих занятиях или играх до нескольких часов. Подобная "избирательность" внимания связана с заинтересованностью, увлеченностью и удовольствием от этой деятельности. Хуже всего гиперактивные дети выполняют задания, кажущиеся им скучными и трудными.

Ведущим типом памяти первоклассников остается непроизвольная память (непосредственное запечатление и воспроизведение материала, не требующее применения особых усилий или вспомогательных методов).

Однако в 7 лет процесс запоминания уже может быть опосредован использованием внешних стимулов, например схем или карточек.

На процесс запоминания начинает влиять наличие установки, систематизация материала, подведение итогов, что необходимо использовать при объяснении им нового материала.

В этом возрасте у детей начинает формироваться способность контролировать свои процессы памяти и мышления.

Очень часто у детей с СДВГ возникают проблемы с закреплением материала, то есть переведением усвоенного из кратковременной рабочей памяти в долговременную память, с возможностью извлечения материала в любой нужный момент. Если занятие по новой теме было единичное, гиперактивный ребенок может продемонстрировать понимание материала и ответить на вопросы, но на следующий день ничего не помнить.

Некоторым детям нужно меньшее количество повторений материала, некоторым большее.

Для детей с СДВГ характерны расстройства слухо-речевой памяти, тогда как нарушения зрительной памяти у них встречаются реже.

Выводы по I главе

Таким образом, синдром дефицита внимания и гиперактивности (СДВГ) является синдромом поведенческих расстройств и включает триаду симптомов: невнимательность, импульсивность, и гиперактивность. В отечественной литературе этот синдром обозначают: гиперактивность с дефицитом внимания (Заваденко, Н.Н., Н.Ю. Суворинова, Н.В. Григорьева) [7], дефицит внимания с гиперактивностью (Кучма, В.Р., А.Г. Платонова) [14], синдром нарушения внимания с гиперактивностью (Лохов, М.И., Ю.А. Фесенко, Л.П. Рубина) [16] и гиперактивное расстройство с дефицитом внимания (Заваденко, Н.Н.) [8].

Дефекты концентрации внимания характеризуются тем, что пациенты с СДВГ не способны удерживать внимание на одной активности или одном задании более нескольких минут, что часто является причиной плохого выполнения заданий на уроках в школе и низкой продуктивности работы.

Импульсивность выражается в совершении непродуманных действий: примерами импульсивного поведения являются ответы невпопад на заданные вопросы, перескакивание в разговоре с одной темы на другую и необдуманные поступки, часто заканчивающиеся повышенной травматизацией.

Гиперактивность выражается в повышенной подвижности и неспособности усидеть на месте.

СДВГ - серьезное расстройство развития и функционирования, требующее комплексных подходов к диагностике и лечению. Оценки частоты встречаемости СДВГ варьируют в зависимости от методов исследования, но даже при использовании максимально жестких критериев оцениваются примерно как 4%, как у детей, так и у взрослых [5].

Этиология СДВГ сложна, но понятно, что это расстройство имеет нейро-биологическую основу.

ГЛАВА II. ЭМПИРИЧЕСКОЕ ИССЛЕДОВАНИЕ ОСОБЕННОСТЕЙ ПАМЯТИ И ВНИМАНИЯ ДЕТЕЙ 6-7 ЛЕТ С СИНДРОМОМ ГИПЕРАКТИВНОСТИ

2.1 Организация и методы исследования

В качестве методов исследования памяти и внимания у детей с синдромом гиперактивности нами использовалась методика «Заучивание десяти слов» А.Р. Лурия, тест Тулуз-Пьерона, в адаптации Л.А. Ясюковой и методика «Запомни и расставь точки» В.С.Немова.

Численность выборки составила 28 детей, в возрасте 6-7 лет. Экспериментальную группу составили 14 детей, находящихся в МУЗ Детский психоневрологический санаторий №2 г. Владимира, из них 8 мальчиков и 6 девочек, контрольную группу составили 14 учеников 1 «А» класса Гимназии №1 г. Коврова, из них 7 мальчиков и 7 девочек.

) Исследование памяти с помощью методики А.Р. Лурия «Заучивание десяти слов». Данная методика позволяет исследовать процессы памяти: запоминание, сохранение и воспроизведение. Так же может использоваться для оценки состояния памяти, произвольного внимания. Применяется как для детей (с пяти лет), так и для взрослых. В ходе исследования экспериментатор отмечает ответы испытуемого в протоколе. Полученные данные оформляются в виде кривой запоминания. По форме кривой можно делать некоторые выводы относительно особенностей запоминания испытуемых. Наличие повторяющихся "лишних" слов, по наблюдениям некоторых психологов, выявляется при исследовании больных, страдающих текущими органическими заболеваниями мозга, а также иногда у больных шизофренией в период интенсивной медикаментозной терапии. Особенно много таких "лишних" слов продуцируют дети в состоянии расторможенности и взрослые по окончании или перед началом синдромов расстройств сознания.

"Кривая запоминания" может указывать и на ослабление активного внимания и на выраженную утомляемость испытуемых. Так, например, иногда он ко второму разу воспроизводит 8 или 9 слов, а затем после каждой пробы воспроизведения - все меньше и меньше. В жизни такой человек страдает обычно забывчивостью и рассеянностью, но в основе его забывчивости лежит преходящая астения, истощаемость внимания.

Истощаемость внимания испытуемых не обязательно проявляется в кривой с резким спуском вниз, иногда кривая принимает зигзагообразный характер, свидетельствующий о неустойчивости внимания, о его колебаниях. В отдельных, сравнительно редких случаях, они воспроизводят одно и то же количество одних и тех же слов. Кривая имеет форму плато. Такое отсутствие нарастания удержания слов после их повторения свидетельствует об эмоциональной вялости испытуемых, отсутствии заинтересованности в исследовании. Стимульный материал и интерпретация результатов приведены в Приложении 1.

) Диагностика функционального состояния и работоспособности (Тест Тулуз-Пьерона). Тест является модификацией корректурного теста - невербального теста достижений, направленного на выявление способности к произвольной концентрации внимания. Применение этой методики для диагностики ММД детей с шести лет и старше обосновано канд. психол. наук Л. А. Ясюковой.

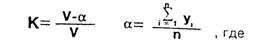
Методика может успешно применяться в сфере образования и здравоохранения - для диагностики ММД; в профориентации и профотборе - для изучения особенностей, динамики работоспособности и внимания. Основным показателем для диагностики ММД является коэффициент точности выполнения теста Тулуз-Пьерона, характеризующий развитость произвольного внимания и, в особенности, способность к произвольной концентрации.

Скорость выполнения теста (V) является интегральным показателем, суммарно характеризующим:

. Особенности нейродинамики.

. Оперативную память.

. Визуальное мышление.

. Личностные установки.

Точность выполнения теста (К), прежде всего, связана с концентрацией внимания, однако может зависеть и от следующих характеристик:

Переключение внимания

Объем внимания.

. Оперативная память.

. Визуальное мышление.

. Личностные особенности (исполнительность, ответственность, тревожность или, напротив, беспечность, расслабленность).

Таким образом, на основе типологических профилей выделяются следующие пять типов ММД:

. Астеничный.

. Реактивный.

. Ригидный.

. Активный.

. Субнормальный

Стимульный материал и ключ к методике приведены в Приложении 2.

) «Запомни и расставь точки» В.С.Немова для изучения внимания детей с оценкой таких качеств внимания, как продуктивность, устойчивость, переключаемость и объем. Выбор этой методики обусловлен тем, что с помощью данной методики оценивается объём внимания ребёнка.

Перед началом эксперимента ребенок получал следующую инструкцию:

«Сейчас мы поиграем с тобой в игру на внимание. Я буду тебе одну за другой показывать карточки, на которых нарисованы точки, а потом ты сам будешь рисовать эти точки в пустых клеточках в тех местах, где ты видел эти точки на карточках».

Далее ребенку последовательно, на 1-2 сек, показывалась каждая из восьми карточек с точками сверху вниз в стопке по очереди и после каждой очередной карточки предлагалось воспроизвести увиденные точки в пустой карточке за 15 сек. Это время давалось ребенку для того, чтобы он смог вспомнить, где находились увиденные точки, и отметить их в пустой карточке.

Стимульный материал и ключ к методике приведены в Приложении 3.

2.2 Результаты исследования

При проведении исследования памяти и внимания у детей 6-7 лет с синдромом гиперактивности были получены следующие результаты:

Все результаты, полученные по методике «Заучивание десяти слов» А.Р. Лурия систематизированы в таблицы: (см. Таблица 1 и Таблица 2).

Представим данные графически (см. Рис. 1).

Рис.1. Результаты исследования памяти здоровых детей и детей с СДВГ

(Ось х - количество предъявлений стимульного материала, ось у - количество воспроизведенных ребенком слов)

По результатам Таблицы 1, Таблицы 2 и Графика 1, можно сделать вывод, что детям, страдающим синдромом гиперактивности, требовалось гораздо большее количество предъявлений (9,56 раз), чем здоровым (4,3 раза), при норме 5 предъявлений. Это говорит о том, что гиперактивным детям сложнее концентрировать свое внимание на задании, они менее заинтересованы в успешном его выполнении, чем здоровые дети.

Кривая запоминания здоровых детей имеет восходящую структуру, что говорит об устойчивости внимания, положительной динамике процесса запоминания, позитивном настрое не выполнение задания. Дети данной группы более заинтересованы в исследовании, стремятся выполнить его как можно успешнее.

Кривую запоминания детей с СДВГ можно охарактеризовать следующим образом: график восходящий, но имеет несколько спадов и «плато». Это говорит об утомляемости, отсутствии интереса к исследованию. Зигзагообразный характер кривой свидетельствует о неустойчивости внимания. Так же, у испытуемых данной группы довольно часто возникало такое явление, как «застревание» на «лишних» словах. Большое количество «лишних» слов свидетельствует о расторможенности или расстройствах сознания.

При проведении исследования внимания с помощью теста Тулуз-Пьерона в адаптации Л.А. Ясюковой были получены следующие результаты:

Представим данные графически: (см. Рис. 2 и Рис. 3.).

Рис.2. Результаты исследования внимания здоровых детей

(Ось х - количество обработанных знаков, ось у - количество рабочих строчек)

Таблица 3. Результаты исследования внимания здоровых детей с помощью теста Тулуз-Пьерона

№№

кол-во знаков

кол-во ошибок

V

a

K

1

364

7

36,4

0,7

0,98

2

322

15

32,2

1,5

0,95

3

508

18

50,8

1,8

0,96

4

328

8

32,8

0,8

0,98

5

205

8

20,5

0,8

0,96

6

261

20

26,1

2

0,92

7

390

10

39

1

0,97

8

382

22

38,2

2,2

0,94

9

105

35

10,5

3,5

0,67

10

153

31

15,3

3,1

0,80

11

233

0

23,3

0

1,00

12

218

4

21,8

0,4

0,98

13

377

23

37,7

2,3

0,94

14

227

20

22,7

2

0,91

Ср.ар

290,93

15,79

29,09

1,58

0,93

 (кол-во знаков - сумма обработанных знаков; кол-во ошибок - сумма допущенных ошибок; V - скорость выполнения теста; а - среднее количество допущенных в строке ошибок; K - Коэффициент точности выполнения теста или показатель концентрации внимания.)

По результатам Таблицы 3. и Рис. 2. мы можем сделать следующие выводы:

Скорость выполнения теста (V) здоровыми детьми находится в верхней границе возрастной нормы (29,09 знаков) (см. Приложение 1). Этот результат говорит о том, что для здоровых детей характерно нахождение оптимальной стратегии выполнения теста, например, когда оперативная память и визуальное мышление соответствуют норме, происходит запоминание инструкции, операций, образцов, а также мысленное разделение квадратиков на категории по степени близости к образцам. Сравнение с образцами производится в уме, по памяти. В этом случае скорость определяется в основном особенностями нейродинамики.

Точность выполнения теста (К) прежде всего, связана с концентрацией внимания, однако может зависеть и от следующих характеристик:

. Переключение внимания

. Объем внимания.

. Оперативная память.

. Визуальное мышление.

. Личностные особенности (исполнительность, ответственность, тревожность или, напротив, беспечность, расслабленность).

У здоровых детей коэффициент точности выполнения теста так же находится в пределах возрастной нормы (0,93) (см. Приложение 2), что свидетельствует о хорошо развитом визуальном мышлении, процессах внимания и высокой его концентрации, хорошо развитой памяти, заинтересованности в успешном выполнении задания.

Так как контрольная группа представлена здоровыми детьми, судить о типологическом профиле ММД мы считаем нецелесообразным.

По Таблице 4. и Рис. 3. мы можем судить о том, что по сравнению со здоровыми детьми, дети с СДВГ имеют более низкие результаты. Показатель скорости выполнения теста (V) (14,63) лежит в верхней границе зоны патологии, что является потверждением дифференциального диагноза СДВГ (см. Приложение 4). Дети с гиперактивностью не могут выбрать оптимальную стратегию выполнения теста, в связи с этим мы можем предположить, что у детей данной группы:

1. Оперативная память и визуальное мышление почти отсутствуют. Ребенок улавливает только общий смысл инструкции: надо работать в соответствии с тем, как показано на доске. В связи с этим, для каждого квадратика на бланке он ищет аналог на доске и смотрит, как он обработан. Затем то же самое делает у себя на бланке. Образцы не учитывает никак. Работа продвигается исключительно медленно, даже у неиродинамически нормальных (или даже "быстрых") детей.

. Визуальное мышление почти отсутствует, а объема оперативной памяти хватает только на то, чтобы запомнить операциональный смысл инструкции: квадратики, совпадающие с образцами, надо зачеркивать, остальные - подчеркивать. Сами образцы ребенок запомнить не может. Задание выполняется в плане восприятия, путем непосредственного сравнения каждого встречающегося квадратика с образцами. Скорость работы низкая, особенности нейродинамики также могут маскироваться.

Коэффициент точности выполнения теста (К) так же лежит в зоне патологии (0,47) (см. Приложение 5), что свидетельствует о низко развитом визуальном мышлении, процессах внимания и низком уровне его концентрации, недостаточно развитой памяти, отсутствии заинтересованности в успешном выполнении задания.

На Рис. 3. мы можем видеть довольно существенные перепады количества обработанных знаков от строчки к строчке, это свидетельствует о неустойчивости внимания. Исходя из этого, мы соотносим данный профиль с реактивным типологическим профилем ММД (см. Приложение 6), активность, в данном случае понимаемая как самостоятельно направляемая деятельность, у детей данного типа полностью отсутствует. (Встречающееся определение этого типа как двигательно расторможенного является также достаточно точным). Более возросшая, по сравнению с активным и астеничным типом, рассогласованность перестает быть только внутренней и дезорганизует не только работу мозга, но и поведение ребенка. Произвольное управление невозможно, а ослабленность и истощаемость максимальны. Обычно такие дети не могут работать в одиночестве и самостоятельно. Когда такой ребенок один, он может быть вялым, как бы полусонным, может просто сидеть или слоняться без дела, повторять какое-нибудь монотонное действие. Чтобы что-то делать, эти дети нуждаются во внешней активации и управлении. Однако в группе они могут быстро перевозбуждаться и терять работоспособность. Происходит сдвиг баланса в сторону возбуждения.

Рис.3. Результаты исследования внимания детей с СДВГ


Таблица 4. Результаты исследования внимания детей с СДВГ с помощью теста Тулуз-Пьерона

кол-во знаков

кол-во ошибок

V

а

K

1

227

169

22,7

16,90

0,26

2

261

105

26,1

10,50

0,60

3

331

140

33,1

14,00

0,58

4

68

60

6,8

6,00

0,12

5

95

58

9,5

5,80

0,39

6

204

149

20,4

14,90

0,27

7

126

14

12,6

1,40

0,89

8

138

65

13,8

6,50

0,53

9

246

87

24,6

8,70

0,65

10

151

95

15,1

9,50

0,37

11

125

82

12,5

8,20

0,34

12

98

41

9,8

4,10

0,58

13

58

34

5,8

3,40

0,41

14

74

25

7,4

2,50

0,66

Ср. Ар.

157,29

80,29

14,63

8,03

0,47

(кол-во знаков - сумма обработанных знаков; кол-во ошибок - сумма допущенных ошибок; V - скорость выполнения теста; а - среднее количество допущенных в строке ошибок; K - Коэффициент точности выполнения теста или показатель концентрации внимания.)

Преобладание процесса возбуждения приводит к тому, что реактивный тип моментально отвечает на любые воздействия, он постоянно и неуправляемо реагирует, так как не реагировать не может. Это его быстро утомляет, и он не только теряет какой-либо контроль, но и перестает осознавать то, что делает. Постоянными резкими перепадами характеризуется работа реактивного типа. Она дезорганизована и неуправляема.

Эти дети выглядят исключительно деятельными (их и называют гиперактивными), но фактически - это двигательная расторможенность, вынужденная, неуправляемая реактивность, сочетающаяся с повышенной возбудимостью, переключаемостью и утомляемостью.

Их поведение в полном смысле "полевое", по определению Курта Левина. Оно направляется окружающими вещами, предметами и людьми. Предметы "притягивают" их к себе. Дети обязательно должны дотронуться до всего, что попадает им на глаза, взять в руки даже те предметы, которые им абсолютно не нужны. Свое поведение они контролировать не могут. Они сначала действуют, а потом понимают, что произошло.

Присутствие учителей или родителей не является для реактивных детей сдерживающим фактором. Они и при взрослых ведут себя так, как остальные дети могут вести себя только в их отсутствие. Часто одноклассники развлекаются тем, что провоцируют этих детей на грубые выходки и драки в присутствии учителей, которые начинают считать их хулиганами.

На резкое замечание реактивные дети дают резкий ответ. Попытки сдержать реактивного ребенка приводят к тому, что он начинает действовать по принципу отпущенной пружины. Именно "реактивные" дети доставляют больше всего хлопот, неприятностей учителям, родителям и друзьям (которых они быстро теряют), но и сами при этом сильно страдают. Они пытаются, но не могут выполнить обещания, дают слово и не могут его сдержать. Обычно они ни у кого не вызывают сочувствия, а только раздражение, осуждение и неприязнь. Постепенно их окружает барьер отторжения. Именно это и порождает агрессию.

Их судьба во многом зависит от отношения окружающих, особенно членов семьи. Если в семье сохраняются понимание, терпение и теплое отношение к ребенку, то после излечения ММД все отрицательные стороны поведения исчезают. В противном случае, даже при излечении, патология характера остается, а может и усиливаться.

Обучаемость у реактивных детей объективно лучше, чем у астеничных. Среди них нередко встречаются действительно оригинальные, талантливые дети. Но и случаи задержек психического развития у реактивных детей не являются редкостью. В процессе урока дети этого типа также периодически "отключаются", не замечая этого. Они быстро утомляются и не могут сохранять восприимчивость и умственную работоспособность до конца учебного дня, хотя остаются двигательно активными до позднего вечера.

Память у них может быть в норме, но из-за исключительной неустойчивости внимания неизвестно, что и в какой последовательности в ней оседает. Могут быть случайные "дыры" даже в хорошо усвоенном материале.

В спокойной обстановке, когда взрослые направляют их деятельность, реактивные дети могут успешно обучаться. Опыт частных школ показывает, что в небольших разновозрастных группах, в обществе более старших детей они ведут себя спокойнее и лучше работают. Старшие дети относятся к ним снисходительнее, терпимее и в то же время меньше общаются с ними. В обычном школьном классе реактивные дети быстро перевозбуждаются от переизбытка взаимодействий и впечатлений.

Эмоции могут оказывать исключительно сильное влияние на деятельность этих детей. Эмоции средней интенсивности могут ее активизировать, но при дальнейшем повышении эмоционального фона деятельность может быть полностью дезорганизована, а все только что усвоенное - разрушено. Эмоциональные реакции реактивных детей бурные, но обычно быстро проходящие. Богатые внешние проявления могут сочетаться с неглубокими внутренними переживаниями.

Обычно необходимо медикаментозное лечение, уменьшающее реактивность, чтобы дети этого типа могли без конфликтов посещать школу.

Достоверность различий выявлялась по U-критерию Манна-Уитни. Достоверность была выявлена по показателям объема памяти по методике «Заучивание десяти слов» А.Р. Лурия. Uэмп = 46. По таблице были найдены Uкр=61, при p ≤ 0,05; Uкр=47, при p ≤ 0,01. Uэмп< Uкр, при р£ 0,01, следовательно различия достоверны.

Достоверность была так же выявлена по количеству предъявлений стимульного материала. Uэмп = 7,5. По таблице были найдены Uкр=61, при p ≤ 0,05; Uкр=47, при p ≤ 0,01. Uэмп< Uкр, при р£ 0,01, следовательно различия достоверны.

Так же достоверность различий была получена по методике Тулуз-Пьерона. По шкале «скорость выполнения теста» Uэмп = 32. По таблице были найдены Uкр=61, при p ≤ 0,05; Uкр=47, при p ≤ 0,01. Uэмп< Uкр, при р£ 0,01, следовательно различия достоверны.

По шкале «точность выполнения теста» («показатель концентрации внимания») Uэмп = 2. По таблице были найдены Uкр=61, при p ≤ 0,05; Uкр=47, при p ≤ 0,01. Uэмп< Uкр, при р£ 0,01, следовательно различия достоверны.

При проведении исследования внимания с помощью методики “Запомни и расставь точки” В.С. Немова были получены следующие результаты:

Представим данные графически (см. Рис. 4).

Рис. 4. Результаты исследования отражены в диаграмме диагностики внимания детей с СДВГ и нормальных детей

Из диаграммы видно, что 20% детей с нормой развития выполнили задание на очень высокой балл. 30% детей с нормой развития выполнили задание на высокий балл. Средний результат получили дети с нормальным развитием 40% и дети с СДВГ 20%. Всего 10 % получили низкий результат это дети с нормальным развитием. И большинство детей с СДВГ 50% выполнили задание на низкий балл. Очень низкий результат по выполнению задания получили дети с СДВГ 30%

Из диаграммы диагностики внимания детей с СДВГ и с нормой развития видно, что: два ребёнка с нормой развития выполнили задание на очень высокий балл; трое детей с нормой развития получили высокий балл; четверо детей с нормой развития и двое детей с СДВГ показали средние результаты; пять детей с СДВГ и один ребёнок с нормой развития показали низкие результаты и трое детей с СДВГ показали очень низкие результаты выполнения заданий.

Достоверное понижение показателей в основной группе наблюдается по тесту «Запомни и расставь точки». Низкий результат выполнения задания свидетельствует о снижении объёма кратковременной памяти, опосредованной концентрацией внимания. В процессе обучения детей с СДВГ элементарным приёмом овладения произвольного внимания требуется значительно большая по сравнению с нормой развития в количественном и качественном отношении помощь педагога, взрослого.

Таким образом, все эмпирические данные получили свое подтверждение достоверности различий. Расчеты достоверности различий представлены в Приложении 3.

Выводы по II главе

По результатам проведенного исследования мы можем сделать выводы о том, что память и внимание детей с синдромом гиперактивности существенно снижены, по сравнению с контрольной группой здоровых детей. Исходя из этого, мы можем предположить, что неустойчивость внимания, его недостаточность, приводит к низкому уровню развития памяти, а возможно и других когнитивных процессов.

Гипотеза о том, что у детей 6-7 лет с синдромом гиперактивности снижен объем памяти, устойчивость и концентрация внимания, может считаться подтвержденной.

В дальнейшем планируется более полное исследование когнитивной сферы детей с диагнозом СДВГ, поиск взаимосвязи между характеристиками внимания и восприятием, интеллектом.

Заключение

Проанализировав психологическую литературу, мы выяснили, что синдром дефицита внимания с гиперактивностью представляет собой комплексное нарушение психических функций различных по этиологии, патогенезу и клиническим проявлениям. Характерными признаками ее являются повышенная возбудимость, эмоциональная лабильность, диффузные легкие неврологические симптомы, расстройство восприятия, повышенная отвлекаемость, трудности поведения, недостаточная сформированность навыков интеллектуальной деятельности, специфические трудности обучения. Этот синдром отмечается примерно у 4% детей дошкольного возраста, причем у мальчиков - в четыре раза чаще, чем у девочек. Для таких детей характерны постоянное двигательное беспокойство, проблемы с концентрацией внимания, импульсивность, «неуправляемое» поведение. Уровень сформированности таких познавательных процессов как внимание и память детей с СДВГ не соответствует возрастной норме.

Знание специфических особенностей психического развития детей с СДВГ позволяет разработать модель коррекционной помощи таким детям, т. к. переход от старшего дошкольного возраста к младшему школьному - это важный период развития личности ребенка. Особенно в плане предупреждения развития нарушений поведения, а также дезадаптационного школьного синдрома. В связи с этим поиск критериев диагностики и коррекции СДВГ в дошкольном возрасте крайне важен для своевременного выявления и коррекции отклонений, стимуляции развития незрелых высших мозговых функций. Эффективные результаты коррекции синдрома дефицита внимания и гиперактивности достигаются при оптимальном сочетании медикаментозных и немедикаментозных методов, к которым относятся психологические и нейропсихологические коррекционные программы.

Проведенное эмпирическое исследование полностью подтверждает гипотезу: у детей 6-7 лет с синдромом гиперактивности снижен объем памяти, устойчивость и концентрация внимания.

Все поставленные в работе задачи выполнены и поставленная цель достигнута.

Библиографический список

[1] Альтхерр П., Берг Л., Вельфль А., Пассольт М. Гиперактивные дети. Коррекция психомоторного развития. - М: Издательский центр «Академия», 2010

[2] Белоусова Е.Д., Никифорова М.Ю. Синдром дефицита внимания / гиперактивности. / Российский вестник перинатологии и педиатрии. - 2009. - № 3. - с.39-42

[3] Брязгунов И. П., Касатикова Е. В. Дефицит внимания с гиперактивностью у детей. - М.: Медпрактика-М, 2008

[4] Бурменская Г.А., Карабанова О.А., Лидерс А.Г. Возрастно-психологическое консультирование: Проблемы психологического развития детей. - М.: Изд-во МГУ, 2008. - 158 с.

[5] Головин С.Ю. Словарь практического психолога - Минск: Харвест, 1997. - 800 с.

[6] Дробинский А.О. Синдром гиперактивности с дефицитом внимания // Дефектология. - 2009. - №1. - с. 31-36.

[7] Заваденко Н.Н. Диагноз и дифференциальный диагноз синдрома дефицита внимания с гиперактивностью у детей // Школьный психолог. - 2010. - № 4.

[8] Заваденко Н. Н. Гиперактивность и дефицит внимания в детском возрасте. - М.: Издательский центр «Академия», 2006.

[9] Брязгунов, И.П., Е.В. Касатикова, Непоседливый ребёнок. 2007, Москва: Издательство Института Психиатрии.

[10] Касатикова, Е.В., Исследование особенностей обмена катехоламинов у детей с синдромом дефицита внимания и гиперактивностью. Вопросы Медицинской Химии, 2008.

[11] Ковалев В.В. Семиотика и диагностика психических заболеваний у детей и подростков. - М.: Медицина, 2009. - 288с.

[12] Кошелева А.Д., Алексеева Л.С. Диагностика и коррекция гиперактивности ребенка. - М.:НИИ семьи, 2007. - 64 с.

[13] Кропотов Ю. Д. Современная диагностика и коррекция синдрома нарушения внимания. Нейрометрика, электромагнитная томография и нейротерапия. СПб, ЭЛБИ-СПб, 2007.

[14] Кучма, В.Р., А.Г. Платонова, Дефицит внимания с гиперактивность у детей России: распространенность, факторы риска и профилактика. 1997, Москва: Рарогъ.

[15] Кучма В.Р., Брязгунов И.П. Синдром дефицита внимания с гиперактивностью у детей: (вопросы эпидемиологии, этиологии, диагностики, лечения, профилактики и прогноза). - М.: Олег и Павел, 1994. - 98 с.

[16] Лохов М.И., Ю.А. Фесенко, Л.П. Рубина, Анализ особенностей электоэнцефалограммы у детей с синдромом нарушения внимания и гиперактивностью. Обозрение Психиатрии и Медицинской Психологии имени В. М. Бехтерева, 2005.

[17] Любар Дж. Ф. Биоуправление, дефицит внимания и гиперактивность. Биоуправление-3. Теория и практика. Новосибирск, 1998

[18] Лютова Е.К., Монина Г.Б. Шпаргалка для взрослых: Псикоррекционная работа с гиперактивным, агрессивными, тревожными и аутичными детьми. - М.: Генезис, 2010. - 192 с.

[19] Мурашова Е. В. Дети - «тюфяки» и дети - «катастрофы». Гиподинамический и гипердинамический синдром. - Екатеринбург: У-Фактория, 2004.

[20] Мухина В. С. Возрастная психология. - М., 1997.

[21] Непомнящая Н. И. Становление личности ребенка 6-7 лет/Науч.-исслед. ин-т общей и педагогической психологии Акад. пед. наук СССР.-М.: Педагогика, 1992. - 160 с.

[22] Рассел Л. Баркли, Кристина М. Бентон Ваш непослушный ребенок. - С-Пб.: Питер 2004.

[23] Сиротюк, А.Л., Синдром дефицита внимания с гиперактивностью. 2003, Москва: Сфера Скороходова, Т.А., Характеристики мозговой организации психических процессов у успешно обучающихся школьников 7-11 лет: Лонгитюдный ЭЭГ-анализ, 2010.

[24] Чутко Л. С., Пальчик А. Б., Кропотов Ю. Д. Синдром нарушения внимания с гиперактивностью у детей и подростков. - СПб.: Издательский дом СПбМАПО, 2004

[25] Чутко Л. С. Синдром дефицита внимания с гиперактивностью и сопутствующие расстройства.- СПб.: Хока, 2009

[26]Шевченко Ю.С. Коррекция поведения детей с гиперактивностью и психопатоподобным синдромом. - Самара, 1997. - 58 с.

[27] Эльконин Д.Б., А. Л. Венгера собенности психологического развития детей 6-7-летнего возраста /; Науч.-исслед. ин-т. общей и педагогической психологии Акад. пед. наук СССР. - М.: Педагогика, 1988. - 136 с.

[28] Сидоренко Е.В. Методы математической обработки в психологии, Спб.,2003

Заучивание 10 слов (А.Р.Лурия) / Альманах психологических тестов. М., 1995, С.92-94.

[30] Заучивание 10 слов (А.Р.Лурия) / Альманах психологических тестов. М., 2007, С.92-94.

[31] Ясюкова Л. А. Оптимизация обучения и развития детей с ММД Диагностика и компенсация минимальных мозговых дисфункций Методическое руководство - СПб. ГП "ИМАТОН", 2004

Приложение 1

«Заучивание десяти слов» А.Р. Лурия.

Назначение теста:

Оценка состояния памяти, утомляемости, активности внимания.

Методика может быть использована как для детей (с пяти лет), так и для взрослых.

Инструкция к тесту

Вариант для детей:

«Сейчас мы проверим твою память. Я назову тебе слова, ты прослушаешь их, а потом повторишь сколько сможешь, в любом порядке».

Слова зачитываются испытуемому четко, не спеша.

«Сейчас я снова назову те же самые слова, ты их послушаешь и повторишь - и те, которые уже называл, и те которые запомнишь сейчас. Называть слова можешь в любом порядке».

Далее опыт повторяется без инструкций. Перед следующими 3-5 прочтениями экспериментатор просто говорит: «Еще раз». После 5-6 кратного повторения слов, экспериментатор говорит испытуемому: «Через час Вы эти же слова назовете мне еще раз». На каждом этапе исследования заполняется протокол. Под каждым воспроизведенным словом в строчке, которая соответствует номеру попытки, ставится крестик. Если испытуемый называет «лишнее» слово, оно фиксируется в соответствующей графе. Спустя час испытуемый по просьбе исследователя воспроизводит без предварительного зачитывания запомнившиеся слова, которые фиксируются в протоколе кружочками.

Тестовый материал

Хлеб Окно Стол Вода Брат  Гриб Мед Кот Дом Лес

Интерпретация результатов теста

По полученному протоколу составляется график, кривая запоминания. По форме кривой можно делать выводы относительно особенностей запоминания. Так, у здоровых детей с каждым воспроизведением количество правильно названных слов увеличивается, ослабленные дети воспроизводят меньшее количество, могут демонстрировать застревание на лишних словах. Большое количество «лишних» слов свидетельствует о расторможенности или расстройствах сознания. При обследовании взрослых к третьему повторению испытуемый с нормальной памятью обычно воспроизводит правильно до 9 или 10 слов.

Кривая запоминания может указывать на ослабление внимания, на выраженную утомленность. Повышенная утомляемость регистрируется в том случае, если испытуемый (взрослый или ребенок) сразу воспроизвел 8-9 слов, а затем, с каждым разом все меньше и меньше (кривая на графике не возрастает, а снижается). Кроме того, если испытуемый воспроизводит все меньше и меньше слов, это может свидетельствовать о забывчивости и рассеянности. Зигзагообразный характер кривой свидетельствует о неустойчивости внимания. Кривая, имеющая форму «плато», свидетельствует об эмоциональной вялости ребенка, отсутствии у него заинтересованности. Число слов, удержанных и воспроизведенных час спустя, свидетельствует о долговременной памяти. [30]

Протокол

ФИО___________________________________________________

Хлеб

Окно

Стол

Вода

Брат

Гриб

Мед

Кот

Дом

Лес

1











2











3











n











Спустя час












Приложение 2

Стимульный материал методики «Запомни и расставь точки» В.С.Немова


Лист с точками предварительно разрезался на 8 малых квадратов, которые затем складывались в стопку таким образом, чтобы вверху оказался квадрат с двумя точками, а внизу - квадрат с девятью точками (все остальные идут сверху вниз по порядку с последовательно увеличивающимся на них числом точек).

Перед началом эксперимента ребенок получал следующую инструкцию:

«Сейчас мы поиграем с тобой в игру на внимание. Я буду тебе одну за другой показывать карточки, на которых нарисованы точки, а потом ты сам будешь рисовать эти точки в пустых клеточках в тех местах, где ты видел эти точки на карточках».

Далее ребенку последовательно, на 1-2 сек, показывалась каждая из восьми карточек с точками сверху вниз в стопке по очереди и после каждой очередной карточки предлагалось воспроизвести увиденные точки в пустой карточке за 15 сек. Это время давалось ребенку для того, чтобы он смог вспомнить, где находились увиденные точки, и отметить их в пустой карточке.

Приложение 4

Тест Тулуз-Пьерона

Процедура тестирования и обработка результатов

Обследование с помощью теста Тулуз-Пьерона может проводиться как групповым способом, так и индивидуально. Однако следует помнить, что результаты индивидуального и группового тестирования детей до 12 лет могут не совпадать. Ситуации самостоятельной работы в группе и диалогового взаимодействия со взрослым оказываются неидентичными для детей этого возраста из-за того, что произвольность, волевое самоуправление у них еще развиты недостаточно. Когда ребенок находится один на один со взрослым, он как бы попадает в его "волевое поле" и действует намного более четко, собранно, чем ему это обычно свойственно. Для того, чтобы выяснить, как он будет работать в классе, тестирование должно проводиться групповым способом, воспроизводя типичную обстановку урока. Индивидуальное обследование показывает возможности ребенка при наличии внешнего контроля (родителей, репетитора), т. е. зону его ближайшего развития.

Для диагностики ММД необходимо групповое тестирование. Группа должна быть не менее 6-10 человек (для дошкольников и школьников соответственно). В условиях школы удобнее работать сразу со всем классом. Общее время работы для детей - 15-20 минут (чем младше дети, тем больше времени уходит на объяснение и проверку понимания инструкции).

Копирование ответных бланков с уменьшением (даже незначительным) нежелательно, так как при этом увеличиваются требования к визуальному анализу.

При групповом тестировании дети сначала подписывают бланки, а потом слушают инструкцию, сопровождаемую демонстрацией. Для демонстрации на классной доске рисуются квадратики-образцы и часть тренировочной строчки (не менее 10 квадратов), обязательно содержащая все возможные виды квадратов.

ИНСТРУКЦИЯ: "Внимание! Слева в верхней части Ваших ответных бланков нарисованы три (два) квадратика. Это - квадратики-образцы. С ними надо будет сравнивать все остальные квадратики, нарисованные на бланке. Строчка, находящаяся сразу под образцами и не имеющая номера - тренировочная строчка (или черновик). На ней Вы сейчас попробуете, как надо выполнять задание. Необходимо последовательно сравнивать каждый квадратик тренировочной строчки (не изменяя его пространственной ориентации) с образцами. В том случае, если квадратик тренировочной строчки совпадает с каким-либо из образцов, его следует зачеркнуть одной вертикальной черточкой. Если точно такого квадратика среди образцов нет, то его следует подчеркнуть (проговаривание инструкции необходимо сопровождать демонстрацией соответствующих действий). Сейчас Вы должны будете таким образом последовательно обработать все квадратики тренировочной строчки, зачеркивая совпадающие с образцами и подчеркивая несовпадающие. Работать необходимо строго по инструкции.

Нельзя:

. Сначала вычеркнуть все квадратики, совпадающие с образцами, а потом подчеркнуть оставшиеся.

. Ограничиться только вычеркиванием квадратиков.

. Подчеркивать сплошной чертой, если подряд встречаются несовпадающие с образцами квадратики.

. Выполнять инструкцию наоборот: подчеркивать совпадающие и вычеркивать несовпадающие с образцами квадратики».

При работе с детьми, особенно с дошкольниками и младшими школьниками, необходимо просить их отвечать хором. Показывайте последовательно на каждый квадратик тренировочной строчки, нарисованной на доске, и спрашивайте: "Похож? - Не похож?" и "Что делаем: зачеркиваем? - подчеркиваем?» Только после совместного проговаривания те дети, которые все поняли, могут приступать к самостоятельной обработке тренировочных строчек на своих бланках. Тем, кто не понял, необходимо индивидуально на их бланке показать, как надо работать. К таким детям обычно относятся "кинестетики", по Бэндлеру, а также дети с легкой теменной или лобной органикой. Кинестетикам недостаточно словесно-визуальной инструкции. Для понимания им необходимо практически опробовать работу под контролем взрослого, после чего они прекрасно с ней справляются. Дети с легкой лобной органикой в принципе не в состоянии выполнять инвертированные действия. Поэтому они зачеркивают несовпадающие с образцами квадратики и подчеркивают совпадающие, т. е. действуют по логике "удалить непохожее", а по инструкции работать не могут. Трудности работы при теменной патологии связаны с нарушениями зрительно-двигательной координации, для диагностики которой можно использовать графический тест Бендер.

Психолог, проходя по классу и наблюдая за работой детей, должен проверить, все ли правильно поняли инструкцию, и поправить тех, кто выполняет что-либо неверно. Необходимо проследить, чтобы у всех детей при выполнении подчеркиваний и зачеркиваний происходила смена ориентации движений с горизонтальных на вертикальные (или близкие к вертикали). Иногда дети неосознанно "устраняют" сбивающий их фактор и вычеркивают квадратики слегка скругленной, почти горизонтальной линией, проводя ее из нижнего левого угла квадратика до середины его правой стороны. В результате в движении постоянно сохраняется горизонтальная доминанта, и моторного переключения, предусмотренного методикой, не происходит. Таким образом. вся работа значительно упрощается.

Лучше выполнять задание шариковой ручкой, а не карандашом, так как дети пытаются стирать ошибки. Обследуемые предупреждаются, что исправлять ничего не надо, так как любое исправление все равно засчитывается как ошибка.

Закончившие обработку тренировочной строчки отдыхают и ждут, пока не закончат все дети. При переходе к основной части задания необходимо проверить, чтобы у всех детей пронумерованные строчки на бланках были "чистыми".

ПРОДОЛЖЕНИЕ ИНСТРУКЦИИ; "Теперь будем работать все вместе и точно по времени. На каждую строчку будет даваться 1 минута (55 секунд). Как только время пройдет, я буду говорить: "Стоп! Следующая строчка. "И в каком бы месте строки ни застал Вас этот сигнал, надо сразу перенести руку на следующую строчку и без перерыва продолжать работу. Работать надо как можно быстрее и как можно внимательнее».

К выполнению основной части работы дети приступают по команде; "Все поставили ручки на первую строчку! Начали!".

По истечении времени, отведенного на последнюю строчку, надо сказать: "Стоп! Все работу закончили".

В процессе тестирования необходимо следить за тем, чтобы обследуемые точно по сигналу, не задерживаясь, переходили к новой строчке и вовремя, по команде "Стоп", заканчивали работу. Школьники обычно продолжают обрабатывать последнюю строчку и после сигнала об окончании. В связи с этим при проведении расчетов ее следует "укоротить" по предшествующей. Необходимо также периодически напоминать обследуемым, чтобы они работали внимательнее.

Обработка результатов тестирования осуществляется с помощью наложения на бланк ключа, изготовленного из прозрачного материала. На ключе маркером выделены места, внутри которых должны оказаться зачеркнутые квадратики. Вне маркеров все квадратики должны быть подчеркнуты.

Для каждой строчки подсчитывается:

) Общее количество обработанных квадратиков (включая и ошибки);

) Количество ошибок.

За ошибку считается: неверная обработка (когда внутри маркера квадратик подчеркнут, а вне - зачеркнут), любые исправления и пропуски (когда квадратик вообще не обработан).

Соответствующие две цифры проставляются справа против каждой строчки и затем переносятся в соответствующую таблицу на Бланке фиксации результатов.

Утомляемость, врабатываемость а также цикличность в колебаниях внимания хорошо прослеживаются по падению или нарастанию количества обработанных знаков в строчке и по динамике ошибок При желании они могут быть оценены и количественно, посредством сравнения скорости и точности обработки первых двух строчек с соответствующими показателями по двум последним строчкам (как это обычно делается в корректурных пробах).

ОСНОВНЫЕ РАСЧЕТНЫЕ ПОКАЗАТЕЛИ:

. Скорость выполнения теста:

 - число рабочих строчек;

xi - количество обработанных знаков в строке.

Таким образом, общая сумма обработанных знаков делится на количество рабочих строчек.

. Коэффициент точности выполнения теста (или показатель концентрации внимания):

 - скорость;

а - среднее количество ошибок в строке;- количество рабочих строчек;

уi - количество ошибок в строке.

Таким образом находится отношение правильно обработанных знаков к общему числу обработанных знаков. [31]

Бланк


Приложение 4

Возрастные нормативы скорости выполнения теста Тулуз-Пьерона

Скорость выполнения (V)

Возрастные группы

Патология

Слабая

Средняя или возрастная норма

Хорошая

Высокая

Дошкольники (6-7 лет)

0 -14

15-17

18-29

30-39

40 и >

1 класс

0-19

20-27

28-36

37-44

45 и >

2 класс

0-22

23-32

33-41

42-57

58 и >

3-4 класс

0-15

16-25

26-37

38-48

49 и >

5 класс

0-19

20-29

30-39

40-50

51 и >

6 класс

0-24

25-31

32-41

42-55

56 и >

7 класс


36 и <

37-45

46-57

58 и >

8 класс


38 и <

39-48

49-59

60 и >

9 класс


40 и <

41-50

51-64

65 и >

10 класс


44 и <

45-54

55-69

70 и >

11 класс


49 и <

50-62

63-77

78 и >


Приложение 5


Точность выполнения теста (К)

Возрастные группы

патология

слабая

средняя или возрастная норма

хорошая

высокая

дошкольники (6-7 лет) - 1 классы

0,89 и <

0,9-0,91

0,92-0,95

0,96-0.97

0,98-1

2 классы

0,9 и <

0,91-0.92

0,93-0,96

0,97

0,98-1

3 - 5 классы

0,89 и <

0,9-0,91

0.92-0,94

0,95-0,96

0,97-1

6 - 8 классы

0,9 и <

0.91

0,92-0,95

0,96-0,97

0,98-1

9-11 классы

0,9 и <

0,91-0,92

0,96-0,97

0,98-1


Приложение 6

Типологические профили ММД

Субнормальный тип (а)


Субнормальный тип (б)


Активный тип

Ригидный тип


Астеничный тип


Реактивный тип

Приложение 7

Оценка достоверности различий эмпирических данных у детей с синдромом гиперактивности по U-критерию Манна-Уитни.

Критерий предназначен для оценки различий между двумя выборками по уровню какого-либо признака, количественно измеренного. Он позволяет выявлять различия между малыми выборками, когда n1, n2 ³ 3 и является более мощным, чем критерий Розенбаума. Этот метод определяет, достаточно ли мала зона перекрещивающихся значений между двумя рядами. Чем меньше область перекрещивающихся значений, тем более вероятно, что различия достоверны.

.        Перенести все показатели испытуемых на индивидуальные карточки.

.        Пометить карточки испытуемых группы 1 определенным цветом, например красным, карточки испытуемых группы 2 - синим. (Можно использовать, естественно, и любые другие обозначения.)

.        Разложить все карточки в единый ряд по степени нарастания признака, не считаясь с тем, к какой группе относятся карточки, как если бы мы работали с одной объединенной выборкой.

.        Проранжировать значения на карточках, приписывая меньшему значению меньший ранг. Надписать на каждой карточке ее ранг. Общее количество рангов будет равняться количеству испытуемых в объединенной выборке.

.        Вновь разложить карточки по группам, ориентируясь на цветные, или другие принятые обозначения.

.        Подсчитать суммы рангов отдельно по каждой группе. Проверить совпадение общей суммы рангов с расчетной.

.        Определить большую из двух ранговых сумм.

.        Подсчитать значение критерия U по формуле:


где n1- количество испытуемых в выборке 1;

n2- количество испытуемых в выборке 2;

nx- количество испытуемых в группе с большей суммой рангов;

Tx- большая из двух ранговых сумм.

9.      Определяем критические значения Uкр

( р ≤ 0,05)

Uкр =

( р ≤ 0,01)

«Ось значимости»:

              U 0.01             U0.05

!                           ?                         -

                   9                         15

Расчет достоверности различий по методике «Заучивание десяти слов»

А.Р. Лурия

) Н1: У детей 6-7 лет с синдромом гиперактивности показатели объема памяти снижены, по сравнению со здоровыми детьми того же возраста.

Uэмп = 46

, при p ≤ 0,05

Uкр   47, при p ≤ 0,01

              U 0.05                  U0.01

                             ?                         +

                     61                  47

Uэмп < Uкр , при p ≤ 0,05, следовательно Н1 подтверждается.

) Н1: Детям 6-7 лет с синдромом гиперактивности требуется большее количество предъявлений стимульного материала, по сравнению со здоровыми детьми того же возраста.

Uэмп = 7,5

, при p ≤ 0,05

Uкр   47, при p ≤ 0,01

              U 0.05                 U0.01

                             ?                         +

                  61                       47

Uэмп < Uкр , при p ≤ 0,05, следовательно Н1 подтверждается.

Расчет достоверности различий по методике Тулуз-Пьерона.

) Н1: У детей 6-7 лет с синдромом гиперактивности показатели скорости выполнения теста снижены, по сравнению со здоровыми детьми того же возраста.

Uэмп = 32

, при p ≤ 0,05

Uкр   47, при p ≤ 0,01

         U 0.05                     U0.01

                             ?                         +

               61                          47

Uэмп < Uкр , при p ≤ 0,05, следовательно Н1 подтверждается.

) Н1: У детей 6-7 лет с синдромом гиперактивности показатели концентрации внимания снижены, по сравнению со здоровыми детьми того же возраста.

Uэмп = 2

, при p ≤ 0,05

Uкр   47, при p ≤ 0,01

             U 0.05                   U0.01

                             ?                         +

                 61                       47

Uэмп < Uкр , при p ≤ 0,05, следовательно Н1 подтверждается.

Похожие работы на - Психологические особенности памяти и внимания детей 6–7 лет с синдромом гиперактивности

 

Не нашли материал для своей работы?
Поможем написать уникальную работу
Без плагиата!
Без нейросетей!