Диагностика двигателей до 1000В
Федеральное
государственное бюджетное образовательное бюджетное учреждение высшего
профессионального образования
“Петербургский
государственный университет путей сообщения”
Кафедра
«Электроснабжение железных дорог»
Курсовая
работа
по
дисциплине: Основы
технической диагностики
на
тему: Диагностика
двигателей до 1000В
Выполнил студент гр. ЭС-101(У): Мосеев С.В.
Проверил к. т. н., доцент: Варенцов В.М.
Санкт-Петербург,
2013
Содержание
Введение
. Факторы,
неблагоприятно влияющие на состояние электродвигателей
. Методы
диагностики неисправностей асинхронных эл. двигателей
. Диагностика
асинхронного электропривода по данным измерений рабочего режима
Заключение
Список использованной литературы
Приложения
ВВЕДЕНИЕ
электродвигатель
диагностика неисправность
На предприятиях для электропривода
технологических механизмов широко используются асинхронные электродвигатели
(АД). Простота управления ими способствует расширению сферы их применения для
привода различных механизмов во всех случаях, когда нет технологических
ограничений. Наибольшее распространение получили АД общего назначения мощностью
от 0,75 до 100 кВт, составляющие более половины всего количества на
производстве. Поэтому вопросы повышения надежности и долговечности АД, как
наиболее ответственного звена в комплексе технологического оборудования,
являются наиболее важными. Долговременная и надежная работа электрооборудования
па производстве, в большинстве случаев определяет эффективность всех
производственных циклов. Это вызвано тем, что выход электродвигателей из строя
приводит к нарушению взаимосвязанных технологических циклов, полной или
частичной остановке производственного оборудования и механизмов. В итоге
наносимый предприятию ущерб связан не только с ремонтом и заменой вышедших из строя
электродвигателей, но и с браком и недовыпуском продукции. Одно из важнейших
задач в работе ЭД является, своевременная диагностика отдельных узлов, в
процессе которой можно за ранее устранить начинающиеся дефекты, которые в
скором могут привести к выводу из строя ЭД и электрооборудование в целом.
Задачей курсовой работы предстоит выяснить, какие виды диагностики
неисправностей применяются к ЭД. АД являются примером сложной системы, на
безотказность работы которой влияет множество факторов. Ремонт электродвигателей
и их частей является трудоемким процессом, требующим значительного объема
ручного труда. Поэтому выявление причины выхода из строя и оптимизация
технологии их восстановления (ремонта) является весьма актуальной задачей.
1.
Факторы, неблагоприятно влияющие на состояние электродвигателей
Снижению надёжности и долговечности
электродвигателей способствуют тяжёлые режимы работы и неблагоприятные условия
эксплуатации. Высокая влажность, большие перепады и непостоянство температуры,
наличие агрессивных газов являются негативными чертами микроклимата
производственных помещений. Недогрузка электродвигателей по мощности,
сезонность их использования, а также зачастую низкое качество электроэнергии
осложняют эксплуатацию АД.
Принципиально все факторы, неблагоприятно
влияющие на состояние электродвигателей, можно разделить на две группы:
внешние, обусловленные воздействием окружающей
среды и условий работы АД, и внутренние, определяемые воздействием человека в
процессе изготовления и эксплуатации. ФАКТОРЫ внешние механические удары
вибрация климатические температура влага атмосферное давление примеси в воздухе
переходные процессы внутренние износ, старение;
внутренние факторы определяют старение и износ
оборудования. Под старением подразумевают естественный процесс постепенного
изменения физических и химических свойств материалов. Износ обусловлен, в
основном, трением, а также действием электрического тока и напряжения.
Внешние факторы можно разделить на три группы:
климатические, механические, электрические. К климатическим факторам относятся:
температура, влажность, примеси в воздухе. Действие температуры выражается в
изменении размеров узлов электродвигателя. Особенно опасны в этом отношении
резкие периодические изменения температуры. При термическом воздействии в
полимерной изоляции происходят физические и химические изменения. При этом
возникают термомеханические напряжения, которые приводят к частичному или
полному разрушению материала, имеющему меньшую прочность, например, полимерных
составляющих изоляции обмоток. Это имеет место при кратковременном и
повторно-кратковременном режимах, которые отличаются динамическими
воздействиями и перегревом обмотки.
Воздействие механических (вибрации) и
термомеханических нагрузок обусловливает механическое старение узлов
электродвигателей. Термомеханические нагрузки возникают в результате
периодического нагревания и охлаждения конструктивных элементов АД. Наличию
механических нагрузок способствуют электродинамические силы, возникающие в
машине, неуравновешенность вращающихся частей, магнитные стяжения, центробежные
усилия, удары и толчки со стороны привода или приводного механизма. Этим
усилиям присущ знакопеременный циклический характер. Во вращающихся
электрических машинах вибрация особенно пагубно воздействует на подшипники, что
приводит к деформации трущихся частей и, в конечном итоге, к их заклиниванию.
Ослабление винтовых, заклёпочных соединений, разрушение сварочных швов, мест
паек, отвинчивание винтов и гаек, деформации и поломка деталей могут иметь
место при механических воздействиях. Существенное влияние на процесс разрушения
изоляции электрических машин оказывают переходные процессы, которые вызывают
увеличение амплитуд вибраций в десятки раз, поскольку имеет место квадратичная
зависимость электродинамических сил от тока.
Среди электрических факторов, воздействующих на
электродвигатель при эксплуатации, следует выделить низкое качество
электрической энергии. Также необходимо учитывать воздействия коммутаций,
обусловливающих наличие значительных электрических нагрузок на изоляцию.
Кратность коммутационных перенапряжений, возникающих при включениях,
отключениях и реверсировании низковольтных ЭД, по отношению к номинальному
напряжению достигает 6-10. Такие кратковременные импульсные перенапряжения
представляют серьёзную опасность, особенно для увлажнённой и загрязнённой
изоляции, так как могут вызвать её электрический пробой.
Эти факторы отрицательно воздействуют на все
элементы электрической машины, но в первую очередь - на изоляцию обмотки
статора, являющуюся наиболее слабым узлом конструкции АД. По статистике
(собранной и проанализированной многими авторами) именно обмотки статора
являются причиной выхода из строя двигателей в 75-85% случаев. На повреждения
подшипникового узла приходится 5-8%, повреждения в роторе 5-8% от общего числа
отказов элементов конструкции АД. Реже встречаются дефекты корпуса и
магнитопровода машины.
. Методы диагностики
неисправностей асинхронных эл.двигателей
Двигатель при пуске не разворачивается или
скорость его вращения ненормальная: причинами указанной неисправности могут
быть механические и электрические неполадки.
К электрическим неполадкам относятся: внутренние
обрывы в обмотке статора или ротора, обрыв в питающей сети, нарушения
нормальных соединений в пусковой аппаратуре. При обрыве обмотки статора в нем
не будет создаваться вращающееся магнитное поле, а при обрыве в двух фазах
ротора в обмотке последнего не будет тока, взаимодействующего с вращающимся
полем статора, и двигатель не сможет работать. Если обрыв обмотки произошел во время
работы двигателя, он может продолжать работать с номинальным вращающим
моментом, но скорость вращения сильно понизится, а сила тока настолько
увеличится, что при отсутствии максимальной защиты может перегореть обмотка
статора или ротора.
В случае соединения обмоток двигателя в
треугольник и обрыва одной из его фаз двигатель начнет разворачиваться, так как
его обмотки окажутся соединенными в открытый треугольник, при котором
образуется вращающееся магнитное поле, сила тока в фазах будет неравномерной, а
скорость вращения - ниже номинальной. При этой неисправности ток в одной из фаз
в случае номинальной нагрузки двигателя будет в 1,73 раза больше, чем в двух
других. Когда у двигателя выведены все шесть концов его обмоток, обрыв в фазах
определяют мегаомметром. Обмотку разъединяют и измеряют сопротивление каждой
фазы;
Скорость вращения двигателя при полной нагрузке
ниже номинальной: может быть из-за пониженного напряжения сети, плохих
контактов в обмотке ротора, а также из-за большого сопротивления в цепи ротора
у двигателя с фазным ротором. При большом сопротивлении в цепи ротора
возрастает скольжение двигателя и уменьшается скорость его вращения.
Сопротивление в цепи ротора увеличивают плохие
контакты в щеточном устройстве ротора, пусковом реостате, соединениях обмотки с
контактными кольцами, пайках лобовых частей обмотки, а также недостаточное
сечение кабелей и проводов между контактными кольцами и пусковым реостатом.
Плохие контакты в обмотке ротора можно выявить,
если в статор двигателя подать напряжение, равное 20-25% номинального.
Заторможенный ротор медленно поворачивают вручную и проверяют силу тока во всех
трех фазах статора. Если ротор исправен, то при всех его положениях сила тока в
статоре одинакова, а при обрыве или плохом контакте будет изменяться в
зависимости от положения ротора.
Плохие контакты в пайках лобовых частей обмотки
фазного ротора определяют методом падения напряжения. Метод основан на
увеличении падения напряжения в местах недоброкачественной пайки. При этом
замеряют величины падения напряжения во всех местах соединений, после чего
результаты измерений сравнивают. Пайки считаются удовлетворительными, если
падение напряжения в них превышает падение напряжения в пайках с минимальными
показателями не более чем на 10%.
У роторов с глубокими пазами может
также происходить разрыв стержней из-за механических перенапряжений материала.
Разрыв стержней в пазовой части короткозамкнутого ротора определяют следующим
образом. Ротор выдвигают из статора и в зазор между ними забивают несколько деревянных
клиньев, чтобы ротор не мог повернуться. К статору подводят пониженное
напряжение не более 0,25 
. На каждый паз выступающей части
ротора поочередно накладывают стальную пластину, которая должна перекрывать два
зубца ротора. Если стержни целые, пластина будет притягиваться к ротору и
дребезжать. При наличии разрыва притяжение и дребезжание пластины исчезают;
Двигатель разворачивается при
разомкнутой цепи фазного ротора: причина неисправности - короткое замыкание в
обмотке ротора. При включении двигатель медленно разворачивается, а его обмотки
сильно нагреваются, так как в замкнутых накоротко витках вращающимся полем
статора наводится ток большой величины. Короткие замыкания возникают между
хомутиками лобовых частей, а также между стержнями при пробое или ослаблении
изоляции в обмотке ротора.
Это повреждение определяют
тщательным внешним осмотром и измерением сопротивления изоляции обмотки ротора.
Если при осмотре не удается обнаружить повреждение, то его определяют по
неравномерному нагреву обмотки ротора на ощупь, для чего ротор затормаживают, а
к статору подводят пониженное напряжение;
Равномерный нагрев всего двигателя
выше допустимой нормы: может получиться в результате длительной перегрузки и
ухудшения условий охлаждения. Повышенный нагрев вызывает преждевременный износ
изоляции обмоток.
Местный нагрев обмотки статора,
который обычно сопровождается сильным гудением, уменьшением скорости вращения
двигателя и неравномерными токами в его фазах, а также запахом перегретой
изоляции. Эта неисправность может возникнуть в результате неправильного
соединения между собой катушек в одной из фаз, замыкания обмотки на корпус в
двух местах, замыкания между двумя фазами, короткого замыкания между витками в
одной из фаз обмотки статора.
При замыканиях в обмотках двигателя
вращающимся магнитным полем в короткозамкнутом контуре будет наводиться э. д.
с, которая создаст ток большой величины, зависящий от сопротивления замкнутого
контура. Поврежденная обмотка может быть найдена по величине измеренного
сопротивления, при этом поврежденная фаза будет иметь меньшее сопротивление,
чем исправные. Сопротивление измеряют мостом или методом амперметра -
вольтметра. Поврежденную фазу можно также определить методом измерения тока в
фазах, если к двигателю подвести пониженное напряжение.
При соединении обмоток в звезду ток
в поврежденной фазе будет больше, чем в других. Если обмотки соединены в
треугольник, линейный ток в двух проводах, к которым присоединена поврежденная
фаза, будет больше, чем в третьем проводе. При определении указанного
повреждения у двигателя с короткозамкнутым ротором последний может быть
заторможенным или вращаться, а у двигателей с фазным ротором обмотка ротора
может быть разомкнута. Поврежденные катушки определяют по падению напряжения на
их концах: на поврежденных катушках падение напряжения будет меньше, чем на
исправных.
Местный нагрев активной стали
статора происходит из-за выгорания и оплавления стали при коротких замыканиях в
обмотке статора, а также при замыкании листов стали вследствие задевания ротора
о статор во время работы двигателя или вследствие разрушения изоляции между
отдельными листами стали. Признаками задевания ротора о статор являются дым,
искры и запах гари; активная сталь в местах задевания приобретает вид
полированной поверхности; появляется гудение, сопровождающееся вибрацией
двигателя. Причиной задевания служит нарушение нормального зазора между ротором
и статором в результате износа подшипников, неправильной их установки, большого
изгиб вала, деформации стали статора или ротора, одностороннего притяжения
ротора к статору из-за витковых замыканий в обмотке статора, сильной вибрации
ротора, который определяют щупом;
Ненормальный шум в двигателе:
нормально работающий двигатель издает равномерное гудение, которое характерно
для всех машин переменного тока. Возрастание гудения и появление в двигателе
ненормальных шумов могут явиться следствием ослабления запрессовки активной
стали, пакеты которой будут периодически сжиматься и ослабляться под
воздействием магнитного потока. Для устранения дефекта необходимо
перепрессовать пакеты стали. Сильное гудение и шумы в машине могут быть также
результатом неравномерности зазора между ротором и статором;
Повреждения изоляции обмоток: могут
произойти от длительного перегрева двигателя, увлажнения и загрязнения обмоток,
попадания на них металлической пыли, стружек, а также в результате
естественного старения изоляции. Повреждения изоляции могут вызвать замыкания
между фазами и витками отдельных катушек обмоток, а также замыкание обмоток на
корпус двигателя.
Увлажнение обмоток происходит в
случае длительных перерывов в работе двигателя, при непосредственном попадании
в него воды или пара в результате хранения двигателя в сыром неотапливаемом
помещении и т. д.
Металлическая пыль, попавшая внутрь
машины, создает токопроводящие мостики, которые постепенно могут вызвать
замыкания между фазами обмоток и на корпус. Необходимо строго соблюдать сроки
осмотров и планово-предупредительных ремонтов двигателей.
Сопротивление изоляции обмоток
двигателя напряжением до 1000 в не нормируется, изоляция считается
удовлетворительной при сопротивлении 1000 ом на 1 в номинального напряжения, но
не менее 0,5 Мом при рабочей температуре обмоток.
Замыкание обмотки на корпус
двигателя обнаруживают мегаомметром, а место замыкания - способом «прожигания»
обмотки или методом питания ее постоянным током.
Способ «прожигания» заключается в
том, что один конец поврежденной фазы обмотки присоединяют к сети, а другой - к
корпусу. При прохождении тока в месте замыкания обмотки на корпус образуется
«прожог», появляются дым и запах горелой изоляции;
Двигатель не идет в ход: в
результате перегорания предохранителей в обмотке якоря, обрыва обмотки
сопротивления в пусковом реостате или нарушения контакта в подводящих проводах.
Обрыв обмотки сопротивления в пусковом реостате обнаруживают контрольной лампой
или мегомметром.
. Диагностика
асинхронного электропривода по данным измерений рабочего режима
При проведении обследования на работающих
двигателях выполняется осциллографирование фазных токов и фазных напряжений
секции при помощи цифрового устройства регистрации параметров рабочего режима,
выполненного на базе ПЭВМ. Подключение токовых входов устройства регистрации
выполняется в соответствующих ячейках выключателей к токовым клеммам.
При цифровой регистрации токов
удовлетворительная точность имеет место при частотах их фиксации в (20
30) раз больше частоты сети 
. Время контроля должно быть не
менее
где 
= 1,5
2,5 - коэффициент запаса;ном -
номинальное скольжение асинхронного электродвигателя, %;ном, P - значения
потребляемой электродвигателем активной мощности соответственно номинальное и
определяемое по результатам контроля.
Алгоритм обработки параметров
рабочего режима имеет следующую последовательность.
. Производится расчет периода 
и частоты 
питающего напряжения, а также
начальных фаз токов и напряжений.
. Определение амплитуды фазных токов
в каждый момент времени их фиксации выполняется на основе определения
среднеквадратического значения тока для количества дискретных точек,
соответствующих перио-ду сигнала номинальной частоты и взятых слева и справа от
текущей -той точки:
. Для каждого момента времени
фиксации мгновенных значений фазных токов электродвигателя определяются вектора
фазных токов:

.
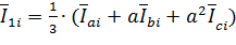
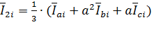
. По значениям векторов фазных токов
электродвигателя, рассчитываются симметричные составляющие прямой 
и обратной
последовательностей для каждого
момента времени 
:

, 
,
где 
- фазный множитель.
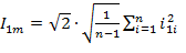
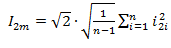
. Амплитуды составляющих тока прямой

и обратной 
последовательностей за полное время
контроля определяются по выражениям:

;
,
где, 
и 
- мгновенные значения составляющих
тока соответственно прямой и обратной последовательностей.
. Величина потребляемой
электродвигателем активной мощности р определяется на основании контроля фазных
токов и фазных или линейных напряжений по выражению:
или 
. Для определения величины
скольжения асинхронного электродвигателя используется кривая изменения
амплитуды фазного тока во времени 
(t), найденная по выражению (1) и
смещенная вниз до пересечения с осью времени t:

;
где 
- сред
ее значение амплитуды фазного тока
электродвигателя.
Находится период колебаний tкол
амплитуды фазного тока и рассчитывается величина скольжения 
электродвигателя по выражению:
. Определяется критерий наклона
характеристики 
, характеризующий крутизну
механической характеристики асинхронного электродвигателя в области рабочих
скольжений. Так как при наличии оборванных стержней короткозамкнутого ротора
скольжение S двигателя увеличивается при той же величине нагрузки, то указанное
отношение будет уменьшаться по сравнению с его значением для исправного
двигателя. Такой же характер изменения крутизны указанной характеристики будет
иметь место и при понижении напряжения. Поэтому вводится коррекция
предлагаемого критерия с учетом квадрата отношения номинального напряжения и
напряжения статора в опыте. В относительных единицах выражение для критерия
наклона характеристики имеет вид

,
где S, U -
определяемые по результатам эксперимента значения соответственно скольжения и
напряжения статора;

- номинальное напряжение статора.
. В качестве комплексного критерия
диагностирования асинхронного электродвигателя предложен коэффициент его
исправного состояния, который определяться как
где 
, 
- весовые коэффициенты, равные 1
3, которые в дальнейшем могут быть
уточнены на основе опыта эксплуатации.
Для исправного двигателя 
=1. Отклонение этого параметра в
сторону понижения от единицы свидетельствует о наличии дефектов обмоток
асинхронного электродвигателя.
Заключение о месте возникновения
(обмотка статора или ротора) и виде возникшего дефекта (обрыв ветвей
параллельной обмотки статора и стержней обмотки короткозамкнутого ротора,
витковое замыкание, нарушение контактов, паяных или сварных соединений в
обмотках статора и ротора) дается на основании анализа совокупности изменения
величины критерия диагностирования и параметров рабочего режима
электродвигателя, а также по частоте тока обратной последовательности (см.
табл.1, Приложение А).
Используя методики, приведенные в
работах, на основании контроля мгновенных значений фазных токов и напряжений
статора электродвигателя можно выявлять дефекты механической части (в том
числе, эксцентриситет).
Возникновение составляющей тока
обратной последовательности, имеющей частоту сети, вызвано либо несимметрией
обмоток статора, либо несимметрией питающего напряжения. Таким образом, для
достоверного диагностирования дефектов обмотки статора требуется четко выявлять
причину возникновения такой несимметрии параметров рабочего режима
электродвигателя (токов и напряжений).
Разработанный метод учета влияния
несимметрии питающего напряжения на результаты диагностики основан на
определении фазных сопротивлений электродвигателя и имеет следующую
последовательность:
на основе контроля мгновенных
значений фазных токов и напряжений электродвигателя определяются действующие
значения токов и напряжений фаз

;

,
где
,
- мгновенные значения соответственно
фазных токов и напряжений;- количество выборок сигнала за полное время контроля;
рассчитывается величина
сопротивлений фаз обмотки статора электродвигателя

, 
, 
,
на основании сравнения величины
фазных сопротивлений электродвигателя делается заключение о причинах
возникновения несимметрии параметров рабочего режима. Так, если 
= 
= 
, то причина несимметрии - питающая
сеть. Если же сопротивления отличаются по величине, то причина несимметрии -
несимметрия обмоток статора.
Результаты исследования влияния
несимметрии питающего напряжения и несимметрии обмотки статора (при обрыве
параллельных ветвей обмотки статора) на величину фазных сопротивлений
электродвигателя приведены в табл.2(Приложение Б).
ЗАКЛЮЧЕНИЕ
В работе изучено, что эффективное планирование
ремонтов электрооборудования во многом определяет надежность технологического
процесса предприятия и позволяет заблаговременно определить необходимые объемы
финансовых вложений для успешного проведения ремонтной компании. При анализе
ситуации, сложившейся на промышленных предприятиях в России, было выявлено, что
показатели надежности установленного в данном секторе производства
электрооборудования являются неудовлетворительными. Планирование отсутствует, а
ремонты происходят на 85% по факту выхода из строя электродвигателя, что влечет
за собой значительные убытки от простоя оборудования. Наряду с вышесказанным
стоит отметить значительный рост разработок новых методов диагностики.
Основными причинами слабого практического применения новейших методов является
отсутствие на предприятиях специалистов, способных правильно интерпретировать
результаты диагностики, сложность и высокая стоимость диагностической
аппаратуры. Наиболее рациональным путем решения обозначенной проблемы является
разработка метода, позволяющего наиболее точно и всесторонне оценить
фактическое состояние электродвигателя, при наименьших затратах, а также
создание экспертных систем интерпретации результатов диагностики.
Предложен метод непрерывного контроля состояния
обмоток статора и ротора асинхронных электродвигателей с короткозамкнутым
ротором по данным измерений фазных токов и напряжений. Полученные данные
используются для определения по разработанному алгоритму токов прямой и обратной
последовательностей, скольжения, потребляемой активной мощности и угла наклона
механической характеристики электродвигателя. Эти параметры положены в основу
комплексного критерия оценки технического состояния обмоток асинхронного
электродвигателя, который позволяет повысить точность диагностирования по
сравнению с известными методами.
СПИСОК ИСПОЛЬЗУЕМОЙ ЛИТЕРАТУРЫ
1. Сивокобыленко
В.Ф., Нури Абделбассет. Диагностика состояния короткозамкнутых роторов
асинхронных машин // Электричество. - 1997. - № 3. - с. 25-26.
2. Булычев
А.В., Ванин В.К. Метод контроля состояния механической части асинхронного
электродвигателя // Электротехника. - 1997. - № 10. - с.5-9.
3. <#"654394.files/image047.gif">
Ток в поврежденной фазе
Ток в здоровой фазе
|
|
|
Витковое
замыкание в фазе обмотки статора
|
|
|
|
|
|
|
|
Обрыв
в параллельной фазе одной ветви
|
m=1
|
|
0
|
0.861
|
|
|
|
|
|
|
m=2 m=3
0.6
0.95
0.92
|
094
|
|
|
|
m=4
|
|
0.82 0.96
|
|
|
Обрыв
одного стержня КЗР
|
|
Пульсации
тока статора
|
|
Дефекты
механической части
|
|
Пульсации
тока статора
|
|
Эксцентриситет
|
|
 на (х.х.)
|
* m - количество параллельных ветвей обмотки
статора электродвигателя.
Приложение Б
Таблица 2 - Результаты исследования влияния
несимметрии питающего напряжения и несимметрии обмотки статора электродвигателя
на величину фазных сопротивлений электродвигателя
|
Причина
несимметрии
|
Фазные
токи, о.е.
|
Фазные
токи, о.е.
|
Фазные
токи, о.е.
|
Фазные
напряжения, о.е.
|
Фазные
напряжения, о.е.
|
Фазные
напряжения, о.е.
|
Фазные
сопротивления, о.е.
|
Фазные
сопротивления, о.е.
|
Фазные
сопротивления, о.е.
|
|
---
|
Ia
|
Ic
|
Ua
|
Ub
|
Uc
|
Za
|
Zb
|
Zc
|
|
k2u*=0;
m**=2; na=nb=nc***
|
1
|
1
|
1
|
1
|
1
|
1
|
1
|
1
|
1
|
|
k2u=0;
m=2; na=1; nb=nc=0
|
0.6
|
0.917
|
0.917
|
1.2
|
0.917
|
0.917
|
2
|
1
|
1
|
|
k2u=5;
m=2; na=nb=nc
|
0.961
|
0.776
|
1.03
|
0.961
|
0.776
|
1.03
|
1
|
1
|
1
|
|
k2u=5;
m=2; na=1; nb=nc=0
|
0.577
|
0.741
|
0.874
|
1.15
|
0.741
|
0.874
|
2
|
1
|
1
|
* k2u - коэффициент несимметрии питающего
напряжения;
** m - количество параллельных ветвей обмотки статора
электродвигателя;
*** na, nb, nc - число оборванных параллельных
ветвей обмотки статора соответственно в фазах А, В и С.