Память как интегративный психический процесс

  • Вид работы:
    Курсовая работа (т)
  • Предмет:
    Психология
  • Язык:
    Русский
    ,
    Формат файла:
    MS Word
    89,48 Кб
  • Опубликовано:
    2013-10-07
Вы можете узнать стоимость помощи в написании студенческой работы.
Помощь в написании работы, которую точно примут!

Память как интегративный психический процесс

МИНИСТЕРСТВО ОБРАЗОВАНИЯ И НАУКИ РФ

Федеральное государственное бюджетное образовательное учреждение

высшего профессионального образования

«ТВЕРСКОЙ ГОСУДАРСТВЕННЫЙ УНИВЕРСИТЕТ»

Факультет психологии и социальной работы

Кафедра общей психологии и психологии развития





КУРСОВАЯ РАБОТА ПО ОБЩЕЙ ПСИХОЛОГИИ

Память как интегративный психический процесс




Выполнил: студент очного отделения 3 курса 33 группы

Жданов В.И.

Научный руководитель:

доктор психологических наук, профессор Копылова Н. В.






Тверь 2013

Оглавление

Введение

Глава 1. Теоретические основы исследования памяти как интегративного психического процесса

.1 Физиологические основы памяти

.2 Мозговые системы, обеспечивающие память

.3 Виды памяти

.4 Процессы памяти

.5 Индивидуальные особенности памяти

1.6 Методы исследования памяти

1.7 Развитие памяти в онтогенезе

Выводы по главе

Глава 2. Методы организации исследования

2.1 Цели, задачи, гипотезы, объект и предмет исследования

.2 Методы исследования

.3 Ход исследования и расчет статистических данных

Выводы по главе

Заключение

Список литературы

Приложение

Введение


Память в жизни людей играет очень существенную роль. Это - самая долговечная и одна из наиболее важных наших способностей. В старости мы помним события детства восьмидесятилетней, а то и большей давности. Случайно оброненное слово, какой-нибудь символ или предмет, может воскресить для нас давно забытые черты лица, образ, имя, морской или горный пейзаж. Память определяет нашу индивидуальность. Без памяти человек не мог бы ничему научиться, запомнить то, что усвоено, сохранить на будущее впечатления о правильных действиях и допущенных ошибках. Человек запоминает, воспроизводит и использует в нужный момент те знания, которые повторяются и которые, иначе, каждый раз пришлось бы находить заново. Только благодаря этой нашей способности мы можем, опираясь на предыдущий опыт, действовать тем или иным способом. Наша жизнь представляет собой путь из того, что мы уже пережили в неизвестное и непознанное будущее. Настоящее - это продолжение прошлого, которое исходит из него и формируется им благодаря памяти. Именно память спасает прошлое от забвения, не дает ему стать таким же непостижимым и неизведанным, как будущее. Таким образом, память - одно из наиболее важных свойств мозга, обеспечивающее усвоение из прошлого опыта необходимой информации, хранение ее и воспроизведение для решения актуальных задач и построения поведения в настоящем. Иначе говоря, память придает направленность ходу времени. Для каждого из нас память уникальна. Она позволяет нам осознавать и собственную индивидуальность, и личность других людей. Лишившись памяти, человек утрачивает информацию о своей личности, теряет собственное "я", а значит и перестает существовать.

В быстром темпе современной жизни на каждого человека обрушивается целая лавина информации, и нам приходится что-то запоминать, а что-то “отбрасывать”. Но информации становится все больше и больше, что служит причиной возникновения острых проблем (например, перегрузка и переутомление, которые встречаются не только у взрослых, но и у учащихся). Единственный выход из создавшейся ситуации - тренировка памяти.

Память лежит в основе любого психического процесса. Она является основой, на которой формируются поведение, мышление и сознание, т.е. психическая деятельность в целом.

В раннем детском возрасте память является одной из основных психических функций, в зависимости от которой строятся все остальные психические процессы. Память - это интегративный психический процесс, охватывающий результаты ощущений, восприятия и мышления.

Целью данной работы является исследование памяти и мышления в группе испытуемых и нахождение зависимости мышления от памяти - корреляции между мышлением и памятью. В соответствии с этим можно выделить следующие задачи:

.Исследовать уровень развития мышления у детей;

.Исследовать объем кратковременной памяти;

.Выявить взаимосвязь между мышлением и памятью.

Объект исследования:

Дети в возрасте 5-6 лет.

Предмет исследования:

Психологические процессы: мышление и память.

Гипотеза:

Мышление ребенка развивается в непосредственной зависимости от памяти.

Глава 1. Теоретические основы исследования памяти как интегративного психического процесса


1.1Физиологические основы памяти


В основе памяти лежит свойство нервной ткани изменяться под влиянием действия раздражителей, сохранять в себе следы нервного возбуждения. Под следами в данном случае понимают определенные электрохимические и биохимические изменения в нейронах. Любой вызванный внешним раздражением нервный процесс, будь то возбуждение или торможение, не проходит для нервной ткани бесследно, а оставляет на ней «след» в виде определенных изменений, которые обеспечивают течение повторяющихся нервных процессов, а также делают возможным их повторное возникновение при отсутствии вызвавшего их раздражителя[4]. Это последствие влияний раздражителя и есть наиболее элементарное проявление психологической памяти, которое можно наблюдать как на отдельном нейроне, так и на работе всей нервной системы в целом[5].

Исследования советского психолога Е.Н. Соколова показали, что длительное повторение одного и того же сигнала приводит к привыканию к нему, которое проявляется в исчезновении ориентировочных рефлексов на этот раздражитель, ставший привычным. Также стало известно, что чем чаще встречается определенный сигнал и чем больше испытуемый привыкает к нему, тем быстрее он дает на него двигательную реакцию (меньше латентный период реакции). Таким образом, мозг регистрирует не только сам факт подачи сигнала, но и ту частоту, с которой он предъявляется, а на основе этого регулирует быстроту ответной реакции.

Если исходить из психологического понятия ассоциации, то физиологический механизм их образования - временные нервные связи, которые прокладываются при движении нервных процессов к коре головного мозга. Большое значение имеет структура ассоциативных нейронов с короткими аксонами, составляющими вторичные поля, которые обеспечивают объединение различных комбинаций раздражений в блоки, осуществляя синтетическую функцию. Поражение первичных и вторичных полей задерживает формирование высших психических функций. Таким образом, образование и сохранение временных связей, их угасание и оживление представляют собой физиологическую основу ассоциаций. Об этом и говорил И.П. Павлов: Временная нервная связь есть универсальное физиологическое явление в животном мире и в нас самих, а вместе с тем оно же и психическое - то, что психологи называют ассоциацией[5].

Исследованиями американских нейрофизиологов Лоренте-де-Но и Мак Кэллонка было установлено, что в коре головного мозга существуют аппараты, позволяющие возбуждению длительно циркулировать по замкнутым цепям, а долговременная память обеспечивается распределением синаптических связей между нейронами. Строение нейрона (основного клеточного элемента мозга, субстрата долговременной памяти) можно представить следующим образом: сома (тело клетки), дендриты (клеточные отростки, куда поступают входные электрические импульсы) и аксон (ветвящийся на конце клеточный отросток, по нему нейрон посылает электрические импульсы). Нейроны контактируют между собой через синапсы, особые образования на дендритах и аксонах. Электрическое возбуждение, приходящее по дендритам, суммируется на соме, и если его величина превышает некоторое пороговое значение, генерируется выходной импульс, который распространяется по аксону. Когда этот импульс достигает аксонных окончаний (синапсов) из них выделяется медиатор (химическое вещество, специфическое для данного типа нейронов). Медиатор диффундирует к синаптическим окончаниям дендритов других нейронов, и когда медиатор достигает их, то в них генерируется электрическое возбуждение, которое передается в сому. В результате совокупной активности нейронов происходят постепенные изменения в структуре нейронов и межнейронных связей (в основном, меняется количество и расположение синапсов). Эти изменения и составляют основу обучения и долговременной памяти. Существенным механизмом сохранения следов, по этим предположениям, является механизм синаптической передачи возбуждения, который и обеспечивает переход возбуждения с одного нейрона на другой и дает возможность осуществлять длительное сохранение возбуждения, протекающего по «реверберационным кругам»[5].

С развитием биохимических методов исследования стало возможным изучение не только обменных процессов в мозговой ткани, но и в её элементах - нейронах. В 1959 г., шведский гистохимик Хиден показал, что во время возбуждения (раздражения) нервной системы в её клетках возрастают накопление и расход РНК, и усиливается синтез белка. Хиден высказал предположение, что обмен нуклеиновых кислот является основой мышления. В связи с тем, что схема синтеза белка может быть представлена в виде цепи ДНК - РНК - белок, возникла идея затормозить или нарушить одно какое-либо из звеньев этой цепи, чтобы посмотреть, как это отражается на процессе обучения и памяти[21]. В ходе исследований, при введении антибиотиков актимицина Д, а также пиромицина, которые нарушали синтез белка, было выявлено, что в результате этого страдают только что выработанные рефлексы, а прочные и долговременный остаются практически неизменными. Это говорит о том, что нарушение синтеза РНК и белка в первую очередь отражается на кратковременной памяти (РНК непосредственно участвует в образовании и сохранении условных рефлексов).

Исследования американского физиолога Морелля показали, что повышение содержания РНК, вызываемое повторным раздражением определенного участка мозга, проявляется не только в этом очаге, но и в симметричном ему пункте другого полушария. Из чего, он сделал вывод, что «реверберационные круги» возбуждения могут охватывать очень большие зоны мозга, распространяясь и на противоположное полушарие.

Если в основе кратковременной памяти лежит движение возбуждения по «реверберационным кругам», то, что же является механизмом долговременной памяти[21].

Известный морфофизиолог А.Капперс указал, что рост аксонов и дендритов не случаен и отростки нейрона ориентируются в направлении протекающего возбуждения, что подтвердилось в дальнейших наблюдениях. Упражнения и тренировки в значительной степени повышают число синапсов, увеличивают число пузырьков (везикул), переносящих возбуждение в нейронах. Такие же реакции движения и роста возникают не только в отростках нейрона, но и в глии (клетки нервной ткани, которые заполняют пространство между нейронами) (А.И. Ройтбак)[3]. Эффект образования новых синапсов многие ученые считают физиологической основой памяти.

 

1.2Мозговые системы, обеспечивающие память


А.Р. Лурия (1973) обобщил имеющиеся данные об анатомических структурах головного мозга, и, показав их физиологическую значимость для развития психических процессов человека, выделил три основных функциональных блока, осуществляющих психическую деятельность.

Первый блок - блок регуляции тонуса и бодрствования. Для обеспечения полноценного протекания психических процессов человек должен находиться в состоянии бодрствования. Для их поддержания необходим определенный тонус коры головного мозга, обеспечивающий прием и переработку информации, возникновение памяти определенных ассоциаций, планирование деятельности. Аппаратом, обеспечивающим и регулирующим тонус коры головного мозга и состояние бодрствования, является ретикулярная (сетевидная) формация. Объединяя стволовые образования, средний мозг, ретикулярная формация поддерживает регуляцию обменных процессов, обеспечивающих гомеостаз[31].

Второй блок - блок приема, переработки и хранения информации, который располагается в наружных отделах новой коры и включает зрительную (затылочную), слуховую (височную), общечувствительную (теменную) области. Аппараты этого блока приспособлены к приему внешних раздражений, приходящих в головной мозг от периферических рецепторов, к дроблению их на огромное количество компонентов (анализ сигналов) и к комбинированию их в нужные динамические функциональные структуры (синтез раздражителей). Он обладает высокой организацией клеточных структур и их связей. Гиппокамп и связанные с ним образования (миндалевидное тело, ядра зрительного бугра, мамиллярные тела) играют особую роль в фиксации и сохранении следов памяти. Нейроны, входящие в их состав, являются аппаратом, приспособленным для хранения следов возбуждений, сличения их с новыми раздражениями, и призваны либо активировать разряды (если новое возбуждение отличается от старого), либо тормозить их. Это играет существенную роль в процессах памяти. В ходе специальных опытов, проведенных канадским нейропсихологом Б. Милнером, было выявлено, что поражение гиппокампа ведет к выключению памяти и невозможности какой бы то ни было фиксации следов[31].

Третий блок - блок программирования, регуляции и контроля сложных форм деятельности, включающий лобную долю коры головного мозга. С ним связаны формирование планов и программ действий, регуляция поведения в соответствии с требованиями среды, а также контроль за сознательной деятельностью.

Эти три блока не могут функционировать независимо друг от друга, необходимо подчеркнуть их функциональное единство при формировании сложной психической деятельности человека[21]. Таким образом, память является сложным по своей нервной основе процессом, и в обеспечении памяти принимают участие разные системы мозга.

1.3 Виды памяти


Различают память генетическую (наследственную) и прижизненную. Наследственная память сохраняет в генах информацию, которая определяет анатомические и физиологические особенности организма, а также врожденные формы видового поведения (инстинкты). Прижизненная память - это хранилище информации, полученной с момента рождения до смерти.

Существует несколько основных подходов в классификации памяти. В настоящее время в качестве наиболее общего основания для выделения различных видов памяти принято рассматривать зависимость характеристик памяти от особенностей деятельности по запоминанию и воспроизведению. При этом основные виды памяти делятся в соответствии с тремя критериями:

1. по характеру психической активности, преобладающей в деятельности, память делят на двигательную, эмоциональную, образную и словесно- логическую;

2.      по характеру целей деятельности - на непроизвольную и произвольную;

.        по продолжительности закрепления и сохранения материала (в связи с его ролью и местом в деятельности) - на сенсорную, кратковременную, долговременную и оперативную[3].

Классификация видов памяти по характеру психической активности была впервые предложена П.П. Блонским. Хотя все четыре выделенные им вида памяти (двигательная, эмоциональная, образная и словесно-логическая) не существуют независимо друг от друга и находятся в тесном взаимодействии, Блонскому удалось определить различия между отдельными видами памяти.

Двигательная память - это запоминание, сохранение и воспроизведение различных движений или систем движений. Важность этого вида памяти в том, что она служит основой для форматирования практических и трудовых навыков, равно как навыков ходьбы или письма. Без памяти на движения мы должны были бы каждый раз учиться осуществлять соответствующие действия. Правда, при воспроизведении движений мы не всегда повторяем их точь-в-точь в том же виде, как раньше. Имеет место некоторая изменчивость, отклонение от первоначальных движений, но сохраняется их общий характер. Например, такая устойчивость движений вне зависимости от обстоятельств характерна для движений письма (почерк) или наших некоторых двигательных привычек: как мы подаем руку, приветствуя знакомого, как пользуемся столовыми приборами и т.п. Наиболее точно движения воспроизводятся в тех условиях, в которых они выполнялись ранее, а в совершенно новых и непривычных для нас условиях они воспроизводятся с большим несовершенством[6]. Это объясняется тем, что движения воспроизводятся нами не изолированно от того, с чем они были раньше связаны, а только на основе уже образовавшихся ранее связей.

Эмоциональная память - это память на эмоциональные переживания (память на чувства). Данный вид памяти заключается в нашей способности запоминать и воспроизводить чувства. Пережитые и сохраненные в памяти эмоции выступают как сигналы, либо побуждающие к действию, либо удерживающие от него. Например, всплывающие по ассоциации отрицательные эмоциональные переживания часто вызывают у учащихся нервозность, скованность, неуверенность при выполнении контрольной работы или сдаче экзамена. И наоборот, положительные эмоциональные воспоминания об успешно выполненной ранее контрольной работе тонизируют учащегося, укрепляют его уверенность в своих силах[31].

Следует отметить, что воспроизведенные, или вторичные чувства могут значительно отличаться от первоначальных. Это может выражаться как в изменении силы чувства, так и в изменении их содержания и характера[3]. По силе воспроизведенное чувство может быть слабее или сильнее первичного. Например, горе сменяется печалью, а восторг или сильная радость - спокойным удовлетворением; в другом случае, обида, перенесенная раньше, при воспоминании о ней обостряется, а гнев - усиливается. Заметные перемены могут произойти и в содержании нашего чувства: то, что раньше переживалось нами как досадное недоразумение, со временем может вспоминаться как забавный случай, или то событие, которое было испорчено мелкими неприятностями, со временем может вспоминаться как весьма приятное. Эмоциональная память имеет очень важное значение в жизни и деятельности каждого человека[4].

Образная память, как следует из ее названия, связана с запоминанием образов объектов (предметов, людей, животных) при их восприятии различными анализаторами. В зависимости от того, какие анализаторы принимают наибольшее участие в запоминании и воспроизведении материала, выделяют типы памяти: зрительная, слуховая, вкусовая, осязательная, обонятельная. Таким образом, это память на представления, картины природы и жизни, а также на звуки, запахи, вкусы, ощущения[31].

Суть образной памяти заключается в том, что воспринятое раньше воспроизводится затем в форме представлений. Характеризуя образную память, следует иметь в виду все те особенности, которые характерны для представлений, и, прежде всего их бледность, фрагментарность и неустойчивость. Эти характеристики присущи и для данного вида памяти, поэтому воспроизведение воспринятого раньше нередко расходится со своим оригиналом. Причем с течением времени эти различия могут существенно углубляться.

Следует отметить также то, что на воспроизведение образа влияет содержательные особенности образа, эмоциональная окраска и общее состояние человека в момент восприятия, а также состояние человека в момент воспроизведения. Сильные эмоциональные потрясения могут вызывать галлюцинаторное воспроизведение увиденного. Точность воспроизведения в значительной мере определяется степенью использования речи при восприятии. То, что при восприятии было названо, описано словом, воспроизводится более точно.

Словесно-логическая память связана с запоминанием слов, понятий и мыслей. Мысли не существуют без языка, поэтому и память называется словесно-логической. Мы запоминаем и воспроизводим мысли, возникающие у нас в процессе обдумывания, размышления, помним содержание прочитанной книги, разговора с друзьями[6].

Словесно-логическую память можно подразделить на два вида: запоминание смысла, а не подлинного выражения мысли; запоминание буквального словесного выражения мыслей. Если материал не подвергается смысловой обработке, то можно сказать о механическом запоминании материала[31].

В словесно-логической памяти главная роль отводится второй сигнальной системе, так как этот вид памяти характерен только для человека. В жизни человека она становится ведущей, и от ее развития в значительной степени зависит развитие всех других видов памяти.

Тульвинг (1972) разделил память на два типа: эпизодическую и семантическую. Эпизодическая память "получает и хранит информацию о датированных по времени эпизодах или событиях и о ... связях между этими событиями". Так, воспоминания о конкретном переживании - встреча с океаном, первый поцелуй, поход в отличный китайский ресторан в Сан-Франциско - это все события эпизодической памяти. Такие события всегда хранятся в виде "автобиографической вехи". Эпизодическая память подвержена изменениям или потерям информации, но она важна, поскольку составляет основу для опознания событий, людей и мест, встречавшихся в прошлом. Этим воспоминаниям во многом не хватает формальной структуры, которую мы применяем ко всякой другой информации, особенно той, что хранится в семантической памяти. Семантическая память - это память на слова, понятия, правила и абстрактные идеи; она необходима, чтобы пользоваться языком[5].

Как запоминание, так и воспроизведение материала происходит как преднамеренно (произвольно, потому что надо), так и помимо желания человека - непреднамеренно (непроизвольно). Отсюда и память, в зависимости от целей деятельности, подразделяют на произвольную и непроизвольную[6].

Произвольная память теснее связана с заучиванием, т.е. с преднамеренным закреплением знаний (в основном путем повторения). Заучивание связано с волевыми усилиями, произвольным вниманием, которые придают ему целенаправленность, организованность, избирательность и планомерность (что запомнить, зачем, на какой срок, как использовать). При этом ставится определенная цель что-то запомнить, и сам процесс требует волевого усилия.

Непроизвольная память больше связана с непосредственным запоминанием, для которого характерно то, что оно не имеет ярко выраженной установки на запоминание: увиденное или услышанное запоминается само собой, т.е. без контроля со стороны сознания. При этом не ставится специальная цель что-то запомнить, запоминание происходит автоматически.

Существует также разделение памяти на следующие виды: сенсорную, кратковременную, оперативную и долговременную.

Сенсорная память - непосредственное запечатление сенсорных воздействий, т.е. сохранение наглядных образов в виде четкого, полного отпечатка чувственных воздействий объекта на очень короткий промежуток времени (0,25 сек). Это так называемые послеобразы. Они быстро исчезают, если не находят подкрепления (если зрительный образ или звук в течение 1 секунды не переносятся в кратковременную память или не соотносятся каким-либо образом с имеющимися знаниями, они стираются). Например, когда мы едем по шоссе, в нашей сенсорной памяти регистрируются образы деревьев, растущих на обочине, однако эти образы не сохраняются, если мы не начинаем о них размышлять или как-либо ими оперировать. Этот вид памяти обеспечивает непрерывность, целостность восприятия динамических, быстроизменяющихся явлений.

Кратковременная память - непосредственное запечатление совокупности объектов при однократном восприятии ситуации, фиксация объектов, попавших в поле восприятия. В кратковременной памяти информация храниться максимум 30 секунд. Объем кратковременной памяти индивидуален, обычно он составляет 5-9 единиц информации и определяется по количеству информации, которую человек способен точно воспроизвести после однократного предъявления[17]. Он характеризует природную память человека и сохраняется, как правило, в течение всей жизни. Объем кратковременной памяти характеризует способность механически, т.е. без использования специальных приемов, запоминать воспринимаемую информацию. Информация из нее вытесняется следующей информацией. Кратковременная память играет очень большую роль в жизни человека. Благодаря ей перерабатывается значительный объем информации, сразу же отсеивается ненужная, и остается потенциально полезная. Вследствие этого не происходит перегрузки долговременной памяти. В целом же кратковременная память имеет огромное значение для организации мышления, и в этом она очень похожа на оперативную память.

Оперативная память - избирательное сохранение и актуализация информации, необходимой только для достижения цели данной деятельности. Это вид памяти, который проявляется в ходе определенной деятельности, обслуживает эту деятельность, благодаря сохранению информации, поступающей одновременно из кратковременной и долговременной памяти. Продолжительность оперативной памяти ограничивается временем соответствующей деятельности. Так, мы запоминаем элементы фразы, чтобы осмыслить ее в целом, помним условие задачи, которую решаем, помним промежуточные числа при сложных вычислениях. По мере продвижения к конечному результату конкретный «отработанный» материал может забываться. Продуктивность оперативной памяти определяется способностью человека организовывать запоминаемый материал, создавать целостные комплексы - единицы оперативной памяти. Примерами использования различных блоков оперативных единиц может служить чтение по буквам, слогам, целым словам или комплексам слов. Оперативная память функционирует на высоком уровне, если человек видит не частные, а общие свойства различных ситуаций, объединяет сходные элементы в более крупные блоки, перекодирует материал в единую систему (связана с мышлением)[17].

Долговременная память - запоминание на длительный срок содержания, имеющего большую значимость. Отбор информации, входящей в долговременную память, связан с вероятностной оценкой ее будущей значимости, применимости, предвидением будущих событий. Перевод информации из кратковременной памяти в долговременную осуществляется благодаря волевому усилию. Причем в долговременную память можно перевести информации гораздо больше, чем позволяет индивидуальный объем кратковременной памяти. Это достигается путем повторения материала, который надо запомнить. В результате происходит наращивание общего объема запоминаемого материала. Долговременная память способна хранить информацию в течение неограниченного срока, объем тоже не ограничен.

Запоминание происходит благодаря функционированию основных процессов памяти.

 

1.4 Процессы памяти

память мозг мышление дети

При выделении процессов памяти в качестве основания рассматривают различные функции, выполняемые памятью в жизни и деятельности. Память - это психический процесс, состоящий в запоминании, сохранении и последующем воспроизведении (узнавании) или забывании чего-либо. Вся память представляет собой многосложный, но единый и непрерывный процесс. Протекание процессов памяти детерминируется деятельностью личности, ее направленностью на достижение предстоящих целей. Соотношение этих процессов у разных людей может быть разным.

Деятельность памяти начинается с запоминания. Запоминание - активный процесс селективного отбора поступающей информации для: ее включение в уже существующую систему ассоциативных связей, а также ее последующего воспроизведения в виде воспоминаний человека или в виде поведенческих актов животного.

Запоминание начинается с запечатления, которое первоначально совершается непроизвольно в той или иной деятельности, не ставящей себе непосредственно цели что-либо запомнить. Многое запечатлевается у нас непреднамеренно. Учитывая необходимость сохранения в интересах своей практической и теоретической деятельности, человек, как существо сознательное, начинает специально - сознательно и преднамеренно запечатлевать особенно для него значимый материал: запечатление тогда переходит в сознательное запоминание и выделяется в особую сознательную целенаправленную деятельность[3]. Такая деятельность, направленная на запоминание и воспроизведение удержанного материала, называется мнестической деятельностью. В мнестической деятельности перед человеком ставится задача избирательно запомнить предлагаемый ему материал, удержать, а затем воспроизвести, или припомнить его. Мнестическая деятельность носит избирательный характер.

Таким образом, постановка специальных задач играет существенную роль в запоминании. Под ее влиянием может меняться сам процесс запоминания. По мнению С.Л. Рубинштейна, запоминание очень сильно зависит от характера деятельности, в ходе которой оно совершается. Исследования известного отечественного психолога П.И. Зинченко убедительно доказали, что установка на запоминание, делающая его прямой целью действия субъекта, не является сама по себе решающей для эффективности процесса запоминания. В определенных случаях непроизвольное запоминание может оказаться эффективнее произвольного. В его опытах непреднамеренное запоминание картинок в ходе деятельности, целью которой была их классификация (без задачи запомнить), оказалось выше, чем в случае, когда перед испытуемым была поставлена задача специально запомнить картинки.

Следовательно, запоминается - как и осознается - прежде всего, то, что составляет цель нашего действия. Поэтому если материал включен в целевое содержание действия, он может непроизвольно запомниться лучше, чем, если - при произвольном запоминании - поставлена цель на само запоминание. При этом в первую очередь все зависит от того, как организовано и на что направлено действие субъекта, в ходе которого совершается запоминание. В таком случае, в педагогическом плане встает важнейшая задача организовать учебную деятельность так, чтобы существенный материал запоминался учащимся и тогда, когда он работает с этим материалом, а не только запоминает его[25].

Другой характеристикой процесса запоминания является степень осмысления запоминаемого материала. Поэтому принято выделять осмысленное и механическое запоминание.

Механическое запоминание - это запоминание без осознания логической связи между различными частями воспринимаемого материала. Примером такого запоминания является заучивание статистических данных, исторических дат и т.д. Основой механического запоминания являются ассоциации по смежности. Одна часть материала связывается с другой только потому, что следует за ней во времени. Для того чтобы установилась такая связь, необходимо многократное повторение материала.

В отличие от этого осмысленное запоминание основано на понимании внутренних логических связей между отдельными частями материала. Два положения, из которых одно является выводом другого, запоминаются не потому, что следуют во времени друг за другом, а потому, что связаны логически. Поэтому осмысленное запоминание всегда связано с процессами мышления и опирается главным образом на обобщенные связи между частями материала на уровне второй сигнальной системы[5].

Доказано, что осмысленное запоминание во много раз продуктивнее механического. Механическое запоминание неэкономно, требует многих повторений. Механически заученное человек не всегда может припомнить к месту и ко времени. Осмысленное же запоминание требует от человека значительно меньше усилий и времени, но является более действенным. Однако, оба вида запоминания - механическое и осмысленное - тесно переплетаются друг с другом. Заучивая наизусть, мы главным образом основываемся на смысловых связях, но точная последовательность слов запоминается при помощи ассоциаций по смежности.

То что, запоминая предложенный материал, испытуемый, всегда пытается объединить его в известные смысловые группы, связать отдельные элементы ассоциациями, делает невозможным измерить объем «чистой» памяти. Эта задача была разрешена немецким психологом Г. Эббингаусом. Для исследования объема памяти он решил предлагать испытуемому ряд бессмысленных слогов, которые давали наименьшие возможности для осмысления и образования ассоциаций. Оказалось, что в среднем человек легко запоминает после первого чтения 5-7 отдельных элементов: это число значительно колеблется, и если люди с плохой памятью удерживают сразу только 4-6 изолированных элементов, то люди с хорошей памятью оказываются в состоянии сразу после первого чтения удержать 7-8 изолированных и бессмысленных элементов. Таким образом, запоминание 7±2 единицы является средним объемом памяти человека.

Всю информацию, которая была воспринята, мы не только запоминаем, но и сохраняем определенное время. Сохранение как процесс памяти имеет свои закономерности. Например, установлено, что сохранение может быть динамическим и статическим. Динамическое сохранение проявляется в оперативной памяти, а статическое - в долговременной. При динамическом сохранении материал изменяется мало, при статическом, наоборот, он обязательно подвергается реконструкции и определенной переработке. Реконструкция материала, сохраняемого долговременной памятью, происходит, прежде всего, под влиянием новой информации, непрерывно поступающей от наших органов чувств. Реконструкция проявляется в различных формах, например в исчезновении некоторых менее существенных деталей и замене их другими деталями, в изменении последовательности материала, в степени его обобщения.

В работе по сохранению материала значительное место отводится повторению. Рациональное распределение повторений содействует и более экономному заучиванию, и более длительному запоминанию[11].

Опыты Г. Эббингауса показали, что при многократном предъявлении одной и той же серии, состоящей из 12-15 элементов, число удержанных членов постепенно возрастает, и, таким образом, оказывается возможным вывести кривую возрастающего числа удержанных элементов, или кривую заучивания. Характерным оказался тот факт, что кривая заучивания у нормальных испытуемых носила регулярно возраставший характер, у человека, находящегося в состоянии сильного утомления, она задерживалась или сначала поднималась, а затем начинала опускаться. У человека с дефектами памяти (например, в старческом возрасте) она поднималась очень медленно и практически останавливала свой подъем. Естественно, что кривая существенно изменялась в зависимости от того, какой была длина заучиваемого ряда.

Извлечение материала из памяти осуществляется с помощью двух процессов - воспроизведения и узнавания.

Воспроизведение - это процесс воссоздания образа предмета, воспринимаемого нами ранее, но не воспринимаемого в данный момент. Воспроизведение отличается от восприятия тем, что оно осуществляется после него и вне его. Таким образом, физиологической основой воспроизведения является возобновление нервных связей, образовавшихся ранее при восприятии предметов или явлений. Как и запоминание, воспроизведение может быть непреднамеренным (непроизвольным) и преднамеренным (произвольным). В первом случае воспроизведение происходит неожиданно для нас самих. При произвольном воспроизведении, в отличие от непроизвольного, мы вспоминаем, имея сознательно поставленную цель[7].

При воспроизведении смыслового содержания особое значение приобретает реконструкция. Проблеме реконструкции посвящено исследование А.Г. Комм. Реконструкция как качественный аспект воспроизведения проявляется в различных формах (Например: изменение плана, различного рода перестановки и т.п.). По своей психологической природе она является, прежде всего, результатом непреднамеренной, но, безусловно, направленной работы мысли внутри воспроизведения. Реконструкция связана с переосмыслением содержания, и главную роль в преобразовании подлинника может играть эмоциональное отношение личности к воспроизводимому материалу. Реконструкция часто стимулируется самим текстом подлинника - его смысловым содержанием и речевым оформлением.

Исследование Комм показало, что у взрослых преимущественно выделяются два типа с более или менее ярко выраженной установкой: у представителей одного - на свободное воспроизведение смыслового содержания с большим или меньшим отклонением от формы, у представителей другого - на сохранение формы подлинника, воспроизведение текстуальное или близкое к тому.

Сравнительно-генетическое исследование показало, что дифференциация этих двух установок происходит постепенно. У маленьких школьников реконструкция слабо выражена и носит элементарный характер, порождая иногда типичные ошибки. На более высоких этапах обучения реконструкция принимает все более сложные формы, основанные на обобщении, интерпретации, различного рода умозаключениях и выводах. У старших школьников реконструкция проявляется и в смысле изменения общего плана или структуры воспроизведения. На более высоком уровне развития увеличивается свобода по отношению к материалу и возможность, реконструируя его, свободно оперировать им в разных контекстах.

Существуют и личностные тенденции к реконструкции хранящегося в памяти материала. Человек запоминает события в таком виде, в каком он их осмысливает в процессе восприятия. Уже элементарный акт синтеза восприятия и памяти - узнавание отличается рядом индивидуальных особенностей. Точность и полнота воспроизведения зависят от внушаемости и конформности индивида, его склонности к фантазированию[7]. Значительные деформации познавательных процессов происходят в эмоционально напряженных состояниях. Таким образом, материал воспроизведения - продукт не только памяти, но и всего психического своеобразия данной личности.

Помимо воспроизведения мы постоянно сталкиваемся с таким явлением, как узнавание. Узнавание какого-либо предмета происходит в момент его восприятия и означает, что происходит восприятие объекта, представление о котором сформировалось у человека на основе личных впечатлений (представление памяти), или на основе словесных описаний (представление воображения). Например, мы узнаем дом, в котором живет приятель, но в котором мы никогда не были, а узнавание происходит из-за того, что ранее нам описали этот дом, объяснили, по каким признака его найти, что отразилось в наших представлениях о нем[14].

Следует отметить, что процессы узнавания отличаются друг от друга степенью определенности. Наименее определенно узнавание в тех случаях, когда мы испытываем только чувство знакомости объекта, а отождествить его с чем-либо из прошлого не можем. Например, мы видим человека, лицо которого нам кажется знакомым, а вспомнить, кто он и при каких обстоятельствах мы могли с ним встречаться, не можем. Такие случаи характеризуются неопределенностью узнавания. В других случаях узнавание, наоборот, отличается полной определенностью: мы сразу узнаем человека как определенное лицо. Данные случаи характеризуются полным узнаванием[14].

Процессы узнавания и воспроизведения не всегда осуществляются с равным успехом. Иногда бывает так, что мы можем узнать какой-либо объект, но воспроизвести его, когда он отсутствует, оказываемся не в состоянии, или, наоборот, у нас появляются какие-то представления, но сказать, с чем они связаны, мы не можем. Но, как правило, мы бываем в состоянии узнать при невозможности воспроизвести. И, таким образом, можно сделать вывод: узнавание осуществляется легче, чем воспроизведение.

Забывание выражается в невозможности восстановить ранее воспринятую информацию. Таким образом, забывание - это процесс, приводящий к утрате четкости и уменьшению объема закрепленного в памяти материала, невозможности воспроизвести, а в крайних случаях даже и узнать то, что было известно из прошлого опыта. Забывается, как правило, то, что не приобрело или утратило жизненное значение для человека и в дальнейшем не играет роли в его деятельности. Физиологической основой забывания являются некоторые виды коркового торможения, мешающего актуализации временных нервных связей[14]. Чаще всего это так называемое угасательное торможение, которое развивается при отсутствии подкрепления[25].

Забывание впервые исследовалось Г. Эббингаусом (1885), который экспериментально установил временную зависимость сохранения в памяти бессмысленного вербального материала и изобразил ее на графике в виде кривой забывания. Его опыты позволили показать, что заученный материал удерживается полностью лишь относительно короткое время, после чего начинается его забывание и кривая, отражающая число удержанных элементов, резко опускается. В дальнейшем этот темп забывания уменьшается, и после нескольких дней небольшое число удержанных элементов практически остается одним и тем же.


Характерно, что кривая забывания зависит как от прочности заучивания (число безошибочного повторения ряда при заучивании), резко замедляя процесс забывания прочно заученного ряда, так и от степени организации ряда в осмысленные системы (забывание серии бессмысленных слогов протекает гораздо быстрее, чем забывание серии слов, организованных в известные смысловые структуры). Следует также заметить, что сохранение заученного материала в высшей степени зависит от того, чем было заполнено время испытуемого в промежутке между заучиванием и припоминанием. Так, если этот интервал был заполнен бодрствованием и интеллектуальной работой, забывание заученного материала протекало быстрее, если интервал был заполнен сном - значительно медленнее. Так же, материал, связанный с потребностями, целями действий человека, забывается медленнее, а многое из того, что имеет для данного субъекта особое значение, не забывается совсем. Из графика кривой видно, что основная потеря происходит уже на первые 1-2 суток. Если человек пытается зазубрить или запомнить бессмысленный материал - за полдня остается 20%, после первой ночи - 10%.

Для того чтобы замедлить процесс забывания, необходимо своевременно организовать повторение воспринятого материала, не откладывая на долго эту работу. Это хорошо подтверждают исследования М.Н. Шардакова. Он установил, что если не повторять полученный материал в день получения, то через день сохраняется в памяти 74% материала, через три-четыре дня - 66%, через месяц - 58% и через шесть месяцев - 38%. При повторении материала в первый день через день в памяти сохраняется 88%, через три-четыре дня 84%, через месяц 70% и через шесть месяцев - 60%. Если организовать периодическое повторение материала, то объем сохраняемой информации будет достаточно большим на протяжении значительного времени.

Рассматривая различные варианты проявления забывания, нельзя не сказать о случаях, когда человек не может вспомнить что-то в данный момент, но припоминает или узнает это спустя некоторое время. Такое явление носит название реминисценции (смутное воспоминание). Это явление часто наблюдается при воспроизведение словесного материала большого объема, что обусловлено утомлением нервных клеток[14]. Чаще всего обнаруживается у дошкольников и младших школьников.

Другими формами забывания являются ошибочное припоминание и ошибочное узнавание. В этом случае мы вспоминаем совсем не то, что было в действительности, так как в процессе забывания произошла более или менее глубокая перестройка воспринятого материала, его существенная и качественная переработка. Одним из таких примеров может служить ошибочное воспроизведение последовательности событий во времени, отчетливо воспроизводя отдельные события, человек не может вспомнить правильную их последовательность. Основной причиной подобного явления, как показали исследования Л.В. Занкова, является то, что в процессе забывания ослабевают случайные связи во времени, и вместо них на первый план выступают существенные, внутренние отношения вещей (логические связи, сходство вещей и т.п.), которые не всегда совпадают со связями во времени[37].

Причинами забывания могут быть как физическое или умственное переутомление, так и действие посторонних раздражителей, мешающих сосредоточиться на нужном материале, кроме того, основными его причинами являются различные болезни нервной системы, а также сильные психические и физические травмы (ушибы, связанные с потерей сознания, эмоциональные травмы).

1.5 Индивидуальные особенности памяти


Процессы памяти у людей протекают неодинаково. Сейчас принято выделять две основные группы индивидуальных различий в памяти. С одной стороны, память различных субъектов отличается по преобладанию той или иной модальности - зрительной, слуховой, двигательной. Например, некоторые люди, для того чтобы запомнить, нуждаются в зрительном восприятии того, что они запоминают. Это люди так называемого зрительного типа памяти. Другим для запоминания нужны слуховые образы. Данная категория людей обладает слуховым типом памяти. Кроме того, существуют люди, которые, для того чтобы запомнить, нуждаются в движениях и особенно речевых движениях[37]. Это люди, обладающие двигательным типом памяти (в частности, рече-двигательным). Однако чистые типы памяти встречаются не так часто. Как правило, большинство людей обладает смешанными типами. Так, чаще всего встречаются смешанные типы памяти - слухо-моторный, зрительно-двигательный, зрительно-слуховой. Смешанный тип памяти повышает вероятность быстрого и долговременного заучивания. Кроме того, участие в процессах памяти нескольких анализаторов ведет к большей подвижности в использовании образованных систем нервных связей[7].

Тип памяти зависит не только от природных способностей нервной системы, но и от воспитания. Учитель, активизируя на уроке деятельность разнообразных анализаторов, тем самым воспитывает смешанный тип памяти у детей. У взрослых людей тип памяти может зависеть от характера их профессиональной деятельности.

С другой стороны, память различных людей может отличаться и уровнем своей организации. Как показывают наблюдения, у одних лиц преобладают непосредственные чувственные формы запоминания (зрительные, слуховые и т.п.), в то время как у других запоминание носит преимущественно характер сложного кодирования материала, превращая его в вербально-логические схемы. Именно это имел в виду И.П. Павлов, когда делил людей на две группы, из которых одна относится к «художественному», а другая к «мыслительному» типу[35].

Различия в продуктивности заучивания выражаются также в скорости, прочности и точности запоминания, а также в готовности к воспроизведению материала. Для людей с сильной памятью характерно быстрое запоминание и длительное сохранение информации. Индивидуальные различия в памяти далеко не всегда являются лишь частными особенностями, не выходящими за пределы мнестических процессов[14]. Нередко они приводят и к значительным изменениям в структуре всей личности человека. На примере некого Ш., описанного А.Л. Лурия, необходимо отметить тот факт, что необычайные способности его памяти отражались на структуре его мышления и на способностях его личности. Обладая исключительной зрительной памятью, Ш. без труда решал сложные задачи, если их решение могло протекать в наглядном плане и опиралось на возможность зрительно фиксировать материал и оперировать наглядными образами. Однако для него представляли часто непреодолимую трудность решение абстрактных задач, которые требовали отвлечения от наглядных образов, решение которых в наглядном плане было невозможным. Наибольший интерес представляет особенность личности Ш. Наглядные образные представления были у него настолько сильны, что мир его воображения иногда сливался с миром реальных впечатлений, и именно эти границы между реальным и воображаемым миром, столь отчетливые у обычного человека, у него были очень размытыми. Поэтому поведение Ш. часто отличалось непрактичностью, смещением реальности и фантазии, и сверхмощное развитие наглядной образной памяти приводило к формированию особых черт его личности в целом.

1.6 Методы исследования памяти


Перед исследованием памяти может стоять одна из трех задач: установить объем и прочность запоминания различных видов памяти, дать характеристику физиологической природе забывания и описать возможные уровни смысловой организации памяти. В каждом конкретном случае выбор предмета или метода исследования зависит от конкретной задачи, которая стоит перед экспериментатором. Для первой задачи применяются приемы удержания ряда из изолированных, не связанных между собой элементов. Экспериментальное изучение памяти заключается обычно в том, что испытуемому предъявляют для запоминания тот или иной стимульный материал, который спустя некоторое время он должен узнать или воспроизвести.

Методы исследования объема и прочности элементарной памяти имеют несколько вариантов. К ним относятся, с одной стороны, методы исследования удержания ряда из несвязанных между собой элементов, с другой стороны, методы исследования заучивания длинного (запредельного) ряда таких элементов.

Для установления различий между слуховой и зрительной памятью данные ряды могут предъявляться на слух или зрительно. Разновидностью этого метода является опыт, в котором испытуемому предлагается определенная группа геометрических фигур (в последовательном порядке или одновременно), а затем предлагается либо найти эти фигуры среди группы других фигур (метод узнавания) либо нарисовать их (метод воспроизведения).

Исследование физиологической природы забывания ставит перед собой задачу изучения: лежит ли в основе забывания слабость следов или их торможение интерферирующими агентами. Для этого проводится серия исследований, при которых с одной стороны, проверяется способность удерживать в памяти следы данного ряда на известный промежуток времени (не заполненный никакой побочной деятельностью) и, с другой стороны, прослеживается, как влияет на удержание следов посторонняя (интерферирующая) деятельность[11].

Для исследования уровня доступной смысловой организации памяти обычно пользуются методами изучения опосредованного запоминания, разработанными Л.С. Выготским, А.И. Леонтьевым и Л.В. Занковым. Идея создания этой методики принадлежит Л.С. Выготскому. Методика разработана и апробирована в 30-х гг. А.Н. Леонтьевым. Метод опосредованного запоминания состоит в том, что испытуемому дают задачу использовать для запоминания предложенного ряда слов вспомогательные картинки, после чего испытуемый затем должен просматривать отобранные картинки и каждый раз называть то слово, для запоминания которого была использована данная картинка.

Метод исследования опосредованного запоминания имеет большую ценность при психологическом обследовании различных форм умственной отсталости. Также она представляет ценный материал для анализа характера мышления, способности ребенка к образованию смысловых связей между словом и наглядным образом (картинкой).

 

1.7 Развитие памяти в онтогенезе


В своем развитии память претерпевает драматическую историю, полную глубоких качественных перестроек и принципиальных изменений, как ее структуры, так и взаимоотношений с другими психическими процессами.

Память существует у ребенка с момента рождения. Преобладающими видами памяти являются двигательная и эмоциональная. Ребенок лучше запоминает то, что он сделал и переживал. При этом запоминание происходит непроизвольно. Никаких специальных мнестических действий ребенок не осуществляет и никаких усилий не прилагает. Единственным условием запоминания является частота повторений. Маленькие дети поражают взрослых тем, что запоминают довольно длинные стихотворения и сказки. Они запоминают и то, к какой странице относятся те или иные строки, которые они воспроизводят вслух. Такая память, которой могут позавидовать взрослые, обеспечивает овладение детьми разговорной речью практически за полтора года (с полутора до 3 лет).

У детей трех-четырех лет запоминание и воспроизведение является в основном непроизвольным. Продуктивность произвольного запоминания низкая. В старшем дошкольном возрасте происходит постепенный переход от непроизвольного запоминания и воспроизведения материала к произвольному. Именно в пять-шесть лет появляются первые попытки преднамеренного запоминания, причем чаще всего дети используют для запоминания простое повторение. Однако процесс произвольного воспроизведения на первом этапе опережает процесс произвольного запоминания. К шести-семи годам процесс произвольного запоминания с использованием логических связей в материале уже сформирован[25].

По сравнению с дошкольниками память детей младшего школьного возраста достигает весьма высокого уровня. Это касается, прежде всего, механической памяти, которая за первые три-четыре года развивается очень быстро. Бурное развитие характеристик памяти в школьные годы связано, прежде всего, с процессом обучения. Процесс усвоения новых знаний предопределяет развитие произвольной памяти. Продуктивность памяти младших школьников зависит от понимания ими характера мнестической задачи - буквальное запоминание или пересказ своими словами, а также от овладения приемами запоминания и воспроизведения. Показано, что если детей специально обучать мнестическим приемам, то это существенно увеличивает впоследствии продуктивность их логической памяти. Умение пользоваться этими приемами способствует развитию и произвольной памяти. В первом классе эффективность непроизвольного запоминания выше, чем произвольного, так как у детей еще не сформированы особые приемы мысленной обработки информации и самоконтроля[25]. У второклассников и третьеклассников произвольная память во многих случаях оказывается продуктивнее непроизвольной. Происходит качественное психологическое преобразование мнемической деятельности: прямая задача запомнить отступает на второй план, а на первый выходит осмысление материала, проникновение в существенные связи и отношения[14]. Поэтому к третьему классу эффективность запоминания словесной информации повышается быстрее, чем эффективность запоминания наглядной информации. Устанавливается тесная связь и взаимопереходы между произвольной и непроизвольной памятью, когда в учебной деятельности используется то одна, то другая. Несмотря на то, что с возрастом увеличивается роль словесно-логической памяти, в младших классах логическое запоминание все еще опирается на наглядно воспринимаемые связи между объектами и явлениями.

В подростковом возрасте снижается объем памяти. Временное ухудшение памяти у детей 10-12 лет можно объяснить тем, что в этом возрасте запоминание материала еще непосредственное, без использования специальных приемов, и в значительной мере зависит от врожденных задатков, в частности подвижности - инертности нервных процессов. Известно, что инертность нервных процессов способствует продуктивности памяти, подвижность же, характеризуемая быстрым исчезновением следовых процессов в центральной нервной системе, не дает долго оставаться возбуждению в нервных клетках, из-за чего полученная информация быстро исчезает. Именно в 10-12 лет, когда начинается половое созревание, у многих школьников нарастает подвижность нервных процессов. Возникают, следовательно, худшие предпосылки для механического запоминания и сохранения учебного материала.

С другой стороны, у подростка активно развивается логическая память, которая преимущественно и используется им в процессе учебной деятельности[36].

Развитие памяти в старших классах связано с освоением школьниками приемов мнестической деятельности, т.е. приемов, способствующих запоминанию теоретического материала (запоминание с помощью ассоциаций, предварительно составленного плана, выделение опорной информации и т.п.). Таким образом, с возрастом память из способности постепенно переходит в качество ума, в котором отражается сплав врожденных способностей (задатков) и приобретенных умений запоминать учебный материал.

В результате овладения мнестическими приемами и снижения подвижности нервных процессов объем и точность запоминания у старших школьников снова возрастают, превышая уровень младших школьников.

Можно заметить, что коренная перестройка процессов памяти в течение развития ребенка является не только измененным строением самой памяти, но вместе с тем и изменением в отношениях между основными психологическими процессами. Если на ранних этапах развития память носила наглядный характер и в значительной мере являлась продолжением восприятия, то с развитием опосредованного запоминания она теряет свою непосредственную связь с восприятием и приобретает новую решающую связь с процессами мышления. Старший школьник или взрослый, которые проводят сложные операции логического кодирования материала, подлежащего запоминанию, выполняют сложную интеллектуальную работу, и процесс памяти начинает приближаться к процессу речевого мышления, не теряя, однако, характера мнестической деятельности. Такое коренное изменение отношения между отдельными психологическими процессами и формирование новых функциональных систем является основной чертой психического развития ребенка, и процесс развития памяти на протяжении онтогенеза может быть понят только как та коренная перестройка процессов.

Выводы по главе

Таким образом, в современных психологических исследованиях память рассматривается как сложная психическая деятельность, как один из познавательных процессов, который заключается в закреплении, сохранении и последующем воспроизведении человеком своего опыта. В структуре памяти различают следующие основные процессы: запоминание, сохранение, забывание, восстановление (узнавание, воспроизведение). В основе классификации памяти лежат следующие критерии - объект запоминания, степень волевой регуляции памяти и длительность сохранения информации в памяти.

 

Глава 2. Методы организации исследования

 

.1 Цели, задачи, гипотезы, объект и предмет исследования

Цель:

Исследовать память и мышление в группе испытуемых и найти зависимость мышления от памяти - корреляцию между мышлением и памятью.

Объект:

Дети в возрасте 5-6 лет.

Предмет:

Психологические процессы: мышление и память.

Гипотеза:

Мышление ребенка развивается в непосредственной зависимости от памяти.

Задачи:

1.      Исследовать уровень развития мышления у детей.

.        Исследовать объем кратковременной памяти.

.        Выявить взаимосвязь между мышлением и памятью.

 

2.2 Методы исследования


В качестве методов исследования были выбраны следующие методики:

.        Тест «Классификация» (методика Гольдштейна - Выготского - Зейгарник) - для детей 5-7 лет. Методика взята из книги Т.В. Чередниковой «Проверьте развитие ребенка. - 105 психологических тестов». Эта методика направлена на проверку уровня развития логических операций подведения под класс, а также выделение функционально-смысловых и существенных признаков предметов. Методика выявляет уровень обобщающего мышления ребенка, его способность устанавливать родовидовые отношения между предметами и выделять их существенные признаки, а не только опираться на наглядные признаки сходства или, меньше того - на конкретно-ситуативные связи между предметами. Во время теста ребенку предлагается набор картинок (до 50 штук), которые необходимо сгруппировать по какому-то объединяющему их признаку. Тест проходит в три этапа. По результатам его работы дается оценка результата - оценивается самостоятельность, количество правильно образованных групп и умение объяснить ход своей работы.

.        Тест «Сложные фигуры» - для детей от 5 лет. Тест взят из серии методик Векслера, направленных на исследование памяти (шкала памяти Векслера). Методика «Сложные фигуры» - это визуальная репродукция, служит для проверки способностей произвольного зрительного запоминания сложных изображений. В ходе исследования ребенку предъявляются изображения геометрических фигур, после чего ему предлагается зарисовать на бланке (Приложение) то, что запомнилось. Оценка результатов происходит по количеству правильно воспроизведенных деталей фигур.

 

2.3 Ход исследования и расчет статистических данных


Во время исследования данные методики проводились на детях в возрасте 5-6 лет. Количество испытуемых в экспериментальной группе составило 20 человек. Вначале было предложено выполнить тест «Сложные фигуры» для исследования памяти, а на следующий день был проведен тест «Классификация» для определения уровня мышления. Результаты, полученные в ходе исследования представлены в виде таблицы (Таблица 1. Приложение).

Для удобства расчетов полученные данные можно представить в виде следующих таблиц:

1.      Для теста «Сложные фигуры»:

Результат теста "Сложные фигуры" (Х)

2

3

4

5

6

7

8

9

10

Итого:

Количество человек с таким результатом (f)

1

1

2

1

4

1

4

4

2

20

x*f

2

3

8

5

24

7

32

36

20

137


2.      Для теста «Классификация»:

Результат теста "Классификация" (Х)

2

3

5

6

7

8

9

10

11

13

15

Итого:

Количество человек с таким результатом (f)

1

2

1

1

2

1

4

2

2

2

2

20

x*f

2

6

5

6

14

8

36

20

22

26

30

175


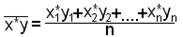
Средняя арифметическая является обобщающей характеристикой совокупности единиц по качественно однородному признаку. Средняя арифметическая равна сумме значений признака, деленная на их число.

Средняя арифметическая рассчитывается следующим образом:


Для теста «Сложные фигуры» она будет равна:


Для теста «Классификация» средняя арифметическая равна:


Расчет средней величины показал, что в данной экспериментальной группе развитие памяти (результат - 6,9) и мышления (результат - 8,8) находятся на среднем уровне, что является нормой для возраста детей 5-6 лет.

Мода - это величина признака, наиболее часто повторяющаяся в изучаемой совокупности.

Наиболее часто встречающимися результатами при проведении теста «Сложные фигуры» были 6, 7 и 9. Исходя из этого, можно говорить о мультимодальном распределении. Мультимодальность часто может показывать, что выборка не является однородной и наблюдения порождены двумя или более наложенными распределениями.

При проведении теста «Классификация», наиболее частым результатом был 9, следовательно, мода для этого теста равна 9.

Медиана - признак, расположенный в середине вариационного ряда, т.е. такое значение признака, которое делит объем совокупности пополам. Обозначается - Ме. Численное значение медианы можно определить по ряду накопленных частот. Если сумма накопленных частот против одного из признаков будет равна половине объема совокупности, то значение этого признака и будет равно значению медианы.

Сначала найдем медиану для теста «Сложные фигуры», для этого построим таблицу для определения суммы накопленных частот:

Результат теста "Сложные фигуры" (Х)

2

3

4

5

6

7

8

9

10

Итого:

Количество человек с таким результатом (f)

1

1

2

1

4

1

4

4

2

20

Сумма накопленных частот

 

2 (1+1)

4 (2+2)

5 (4+1)

9 (5+4)

10 (9+1)

14 (10+4)

 

 

 


Так как в нашем исследовании четное число испытуемых и сумма накопленных частот равная половине совокупности находится напротив результата 7 и результата 8, то необходимо рассчитать среднее значение этих чисел. Для теста «Сложные фигуры» Ме = 7,5

Теперь найдем медианы для теста «Классификация».

Результат теста "Классификация" (Х)

2

3

5

6

7

8

9

10

11

13

15

Итого:

Количество человек с таким результатом (f)

1

2

1

1

2

1

4

2

2

2

2

20

Сумма накопленных частот

 

3 (1+2)

4 (3+1)

5 (4+1)

7 (5+2)

8 (7+1)

12 (8+4)

 

 

 

 

 


Для теста «Классификация» Ме = 9

Для того чтобы определить разброс выборки, необходимо найти сначала дисперсию, а затем стандартное отклонение, которые вычисляются по формуле:


Но для этого сначала находим  и для каждого из тестов:


Для теста «Сложные фигуры» построим вначале вспомогательную таблицу:

 Результат теста "Сложные фигуры" (Х)

2

3

4

5

6

7

8

9

10

Итого:

Количество человек с таким результатом (f)

1

1

2

1

4

1

4

4

2

20

Х2*f

4

9

32

144

49

256

324

200

1043


Теперь рассчитаем необходимые величины:


Стандартное отклонение позволяет сказать, что большая часть результатов по этому тесту располагается в пределах 2,13 от средней величины, т.е. между 4,77 (6,9-2,13) и 9,03 (6,9+2,13) - (между результатами 5 и 9).

Построим вспомогательную таблицу для теста «Классификация»:

Результат теста "Классификация" (Х)

2

3

5

6

7

8

9

10

11

13

15

Итого:

Количество человек с таким результатом (f)

1

2

1

1

2

1

4

2

2

2

2

20

Х2*f

4

18

25

36

98

64

324

200

242

338

450

1799


И рассчитаем необходимые величины:


Большая часть результатов по этому тесту располагается в пределах 3,54 от средней величины, т.е. между 5,26 (8,8-3,54) и 12,34 (8,8+3,54) - (т.е. между результатами 5 и 12).

Относительным показателем колеблемости является коэффициент вариации (V):


Коэффициент вариации позволяет сравнивать вариации различных признаков, а также одноименных признаков в разных совокупностях.

Для теста «Сложные фигуры» этот коэффициент будет равен:


Полученное число, показывает меру рассеивания признака в процентном соотношении. Коэффициент равный 30,8% говорит о средней изменчивости разброса в выборке.

Для теста «Классификация» он равен:

Чем больше значение коэффициента вариации, тем относительно больший разброс и меньшая выравненность исследуемых значений. Коэффициент равный 40,2% говорит о неоднородности информации.

Корреляционный анализ говорит о взаимосвязи величин. Он включает в себя измерение тесноты и направления связи, а также установление аналитического выражения (формы) связи.

Связи между признаками могут быть слабыми и сильными (тесными). Их критерии показаны в таблице, расположенной ниже.

Количественные критерии оценки тесноты связи (шкала Чеддока):


Чтобы подтвердить или опровергнуть гипотезу практической работы, необходимо найти коэффициент корреляции и сравнить его со шкалой Чеддока. Коэффициент корреляции рассчитывается следующим образом:


Но сначала необходимо найти:


При сравнении полученного коэффициента со шкалой Чеддока, можно говорить о сильной зависимости между результатами этих двух тестов («Сложные фигуры» и «Классификация») и о сильной корреляции между памятью и мышлением.

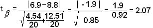
Теперь необходимо сделать проверку достоверности данных. Для этого используется сравнение групп методом Стьюдента. Он рассчитывается следующим образом:


По таблице t-критериев Стьюдента определим доверительную вероятность. Результат по методике Стьюдента равный 2,07 говорит о том, что вероятность допустимой ошибки составляет 0,05. Это говорит о достоверности данных.

Выводы по главе


При исследовании уровня развития памяти в экспериментальной группе, используя тест «Сложные фигуры», был получен средний результат 6,9 баллов, это является нормой для группы детей 5-6 лет с нормальным интеллектуальным развитием

Исследуя уровень развития логического мышления по тесту «Классификация», был получен средний результат - 8,8 баллов. Это говорит о способности детей, участвующих в эксперименте, устанавливать родовидовые отношения между предметами и выделять их функционально-смысловые и существенные признаки. Такой результат является нормой для детей 5-7 лет.

В процессе исследования была выявлена сильная зависимость между результатами теста «Сложные фигуры» - проверка способностей произвольного зрительного запоминания и тестом «Классификация» - для определения уровня развития логического мышления. Гипотеза, которая была поставлена на защиту в своей практической работе «Мышление ребенка развивается в непосредственной зависимости от памяти» подтвердилась.

 

Заключение

 

В заключении нашей работы подведём основные выводы.

. Память рассматривалась и анализировалась в рамках различных направлений и в рамках различных научных теорий. Среди основных можно отметить ассоциативный подход, подход социальный, генетический и множество других. Без сомнения в рамках каждой теории было множество практических и без сомнения ценных наработок.

. Многие из известных учёных-психологов рассматривали проблемы памяти. Родоначальником экспериментальных исследований памяти считается немецкий психолог Герман Эббингауз. Можно также отметить имена А. Бергсона, П. Жане, Ф. Баттлета, советских учёных П.П. Блонского, Л.С. Выготского, А.Н. Леонтьева, которые внесли значительный вклад в развитие теории и практических исследований памяти. Стоит упомянуть и имена П.И. Зинченко, А.А. Смирнова, А.Р. Лурия и др. Интересный материал в проблему механизмов забывания внёс известнейший психолог З. Фрейд.

. В современной психологии память понимается как форма психического отражения действительности, действие которой заключается в закреплении, сохранении и последующем воспроизведении человеком своего опыта. Память характеризуется на основе своих основных процессов: запоминания, хранения, воспроизведения и забывания информации. В основе классификации её видов лежат характер психической активности личности, характер целей деятельности, а также время закрепления и сохранения материала. Основываясь на этих критериях учёные выделяют такие виды памяти, как двигательная и образная, произвольная и непроизвольная, кратковременная, долговременная, оперативная и др.

. Все виды памяти подвергаются научному анализу и исследованию. Для исследования памяти применяется ряд методик, которые направлены на исследования процессов запоминания, факторов сохранения, причин забывания информации и возможности её воспроизведения.

Память является одним из основных психических познавательных процессов личности человека. Она является опорой его жизни. Именно благодаря ей человек может развиваться как личность, она является основой всех познавательных процессов. Тема психологического исследования памяти человека является без сомнения интересной и актуальной и может быть предметом для дальнейшего исследования.


Список литературы

 

1.      Арден Дж. Развитие памяти "для чайников". - М.: Вильямс, 2003. - 351с.

.        Аткинсон Р. Человеческая память и процесс обучения: Пер. с англ. - М.: Прогресс, 1980. - 528 с.

.        Аткинсон Р., Шифрин Р. Человеческая память: система памяти и процессы управления // Психология памяти: Хрестоматия / Ред. Ю.Б. Гиппенрейтер, В.Я. Романов. - М.: ЧеРо, 2000. - С.517-546.

.        Блонский П.П. Память и мышление. - СПб.: Питер, 2001. - 288 с.

.        Блонский П.П. Основные предположения генетической теории памяти // Психология памяти: Хрестоматия / Ред. Ю.Б. Гиппенрейтер, В.Я. Романов. - М.: ЧеРо, 2000. - С.380-389.

.        Веккер Л.М., Лещинский М.В. Современная теория памяти и обобщенность представлений // Материалы симпозиума по памяти. - Харьков, 1970. - 327 с.

.        Выготский Л.С., Лурия А.Р. Культурное развитие специальных функций: память // Психология памяти: Хрестоматия / Ред. Ю.Б. Гиппенрейтер, В.Я. Романов. - М.: ЧеРо, 2000. - С.406-419.

.        Громова Е.А. Эмоциональная память и ее механизмы. - М., 1980. - 451с.

.        Джеймс У. Память // Психология памяти: Хрестоматия / Ред. Ю.Б. Гиппенрейтер, В.Я. Романов. - М.: ЧеРо, 2000. - С.200-214.

10.    Жане П. Забывание в связи с последовательной сменой различных сознаний // Психология памяти: Хрестоматия / Ред. Ю.Б. Гиппенрейтер, В.Я. Романов. - М.: ЧеРо, 2000. - С.76-129.

11.    Жане П. Эволюция памяти и понятие времени // Психология памяти: Хрестоматия / Ред. Ю.Б. Гиппенрейтер, В.Я. Романов. - М.: ЧеРо, 2000. - С.371-379.

12.        Завьялова Е. К. Адаптация психологической субъективной оценки памяти // Физиология человека. - 1985. - Т. 15. - № 15. С 23-34.

13.    Зейгарник Б.В. Воспроизведение незавершенных и завершенных действий // Хрестоматия по общей психологии. Психология памяти. - М., 1979. - 321 с.

.        Зинченко П.И. Непроизвольное запоминание и деятельность // Психология памяти: Хрестоматия / Ред. Ю.Б. Гиппенрейтер, В.Я. Романов. - М.: ЧеРо, 2000. - С.465-476.

.        Зинченко Т. Память в экспериментальной и когнитивной психологии. - СПб.: Питер, 2002. - 320 с.

.        Иванова Е.И. О гендерных особенностях памяти // Гендерные исследования. - 1999. - № 3. С. 18-20.

.        Йейтс Ф. Искусство памяти / Пер. с англ. Е.В. Малышкина. - СПб.: Университетская книга, 1997. - 267 с.

.        Колеватов В.А. Социальная память и понимание. - М.: Мысль, 1984. - 190 с.

.        Лапп Д. Искусство помнить и забывать. - СПб.: Питер, 1995. - 216 с.

Лапп Д. Улучшаем память в любом возрасте / Пер.с фр.. - СПб.: Питер, 2002. - 224 с.

20.        Левин К. Об экспериментах Г.В. Биренбаум и Б.В. Зейгарник // Хрестоматия по общей психологии. Психология памяти. - М., 1979. - 389 с.

21.    Леонтьев А.Н. Логическая и механическая память // Психология памяти: Хрестоматия / Ред. Ю.Б. Гиппенрейтер, В.Я. Романов. - М.: ЧеРо, 2000. - С.626-652.

.        Леонтьев А.Н. Развитие высших форм запоминания // Психология памяти: Хрестоматия / Ред. Ю.Б. Гиппенрейтер, В.Я. Романов. - М.: ЧеРо, 2000. - С.420-436.

23.      Лорейн Г. Супер Память / Пер. с англ. - М.: Эксмо-Пресс, 2006. - 383с.

24.        Лурия А.Р. Маленькая книжка о большой памяти. - М.: Эйдос, 1994 - 96 с.

25.    Лурия А.Р. Маленькая книжка о большой памяти // Психология памяти: Хрестоматия / Ред. Ю.Б. Гиппенрейтер, В.Я. Романов. - М.: ЧеРо, 2000. - С.149-165.

.        Никитина Т. Самоучитель по развитию памяти. - М.: AD&T, 2002. - 304 с.

.        Норман Д. Память и научение / Пер. с англ. Н.Ю. Алексеенко; Под ред. П.В. Симонова. - М.: Мир, 1985. - 159 с.

.        Нуркова В.В. Автобиографическая память как проблема психологического исследования. // Психологический журнал. - 1996. - № 2. С. 28-35.

.        Нуркова В.В. Свершенное продолжается: Психология автобиографической памяти личности. - М, 2000. 178 с.

.        Познавательная активность в системе процессов памяти / Под ред. Н.И. Чуприковой. - М.: Педагогика, 1989. - 188 с.

.        Психология памяти: Хрестоматия / Под ред. Ю.Б. Гиппенрейтер, В.Я. Романова. - М.: ЧеРо, 2000. - 814 с.

.        Психофизиологические закономерности восприятия и памяти: Сб. статей / Отв. ред. А.Н. Лебедев. - М.: Наука, 1985. - 224 с.

.        Роговин М.С. Проблемы теории памяти. - М., 1977. 456 с.

34.      Середа Г.К. Что такое память? // Психологический журнал. - 1985. - Т. 6, № 6. С. 45-48.

35.    Смирнов А.А. Проблемы психологии памяти. - М., 1966. - 389 с.

36.        Смирнов А.А. Произвольное и непроизвольное запоминание // Психология памяти: Хрестоматия / Ред. Ю.Б. Гиппенрейтер, В.Я. Романов. - М.: ЧеРо, 2000. - С.476-486.

37.    Смирнов А.А. Психология памяти. - М.: Просвещение, 1965. - 455 с.

38.        Соколов Е.Н. Нейронные механизмы памяти и обучения. - М., Hаука, 1981. - 344 с.

39.    Солсо Р. Модели памяти // Психология памяти: Хрестоматия / Ред. Ю.Б. Гиппенрейтер, В.Я. Романов. - М.: ЧеРо, 2000. - С.547-563.

.        Уотсон Д. Удерживание видимых телесных навыков, или "память" // Психология памяти: Хрестоматия / Ред. Ю.Б. Гиппенрейтер, В.Я. Романов. - М.: ЧеРо, 2000. - С.264-269.

.        Фрейд З. Забывание впечатлений и намерений // Психология памяти: Хрестоматия / Ред. Ю.Б. Гиппенрейтер, В.Я. Романов. - М.: ЧеРо, 2000. - С.134-148.

Приложение


Таблица 1

Пол

Возраст

Тест "Сложные фигуры"

Тест "Классификация"

1

мальчик

6,1

10

15

2

мальчик

6

4

5

3

девочка

6,1

6

9

4

девочка

5,8

4

3

5

девочка

5,8

2

3

6

мальчик

5,9

5

6

7

мальчик

6,2

9

9

8

девочка

6,4

10

13

9

мальчик

6

6

8

10

девочка

6,1

8

10

11

мальчик

6

8

11

12

девочка

6

6

11

13

девочка

5,9

9

9

14

девочка

5,8

6

9

15

девочка

5,9

9

13

16

мальчик

5,5

8

10

17

мальчик

6,2

9

15

18

мальчик

6,2

3

2

19

мальчик

6,3

7

7

20

девочка

6,4

8

7

Средняя арифметическая

6,9

8,8


График корреляции:

Похожие работы на - Память как интегративный психический процесс

 

Не нашли материал для своей работы?
Поможем написать уникальную работу
Без плагиата!
Без нейросетей!